Preparation of Ion-Exchanged TEMPO-Oxidized Celluloses as Flame Retardant Products
Abstract
1. Introduction
2. Results and Discussion
2.1. FT-IR Spectroscopy Analysis
2.2. 13C-NMR Spectroscopy Analysis
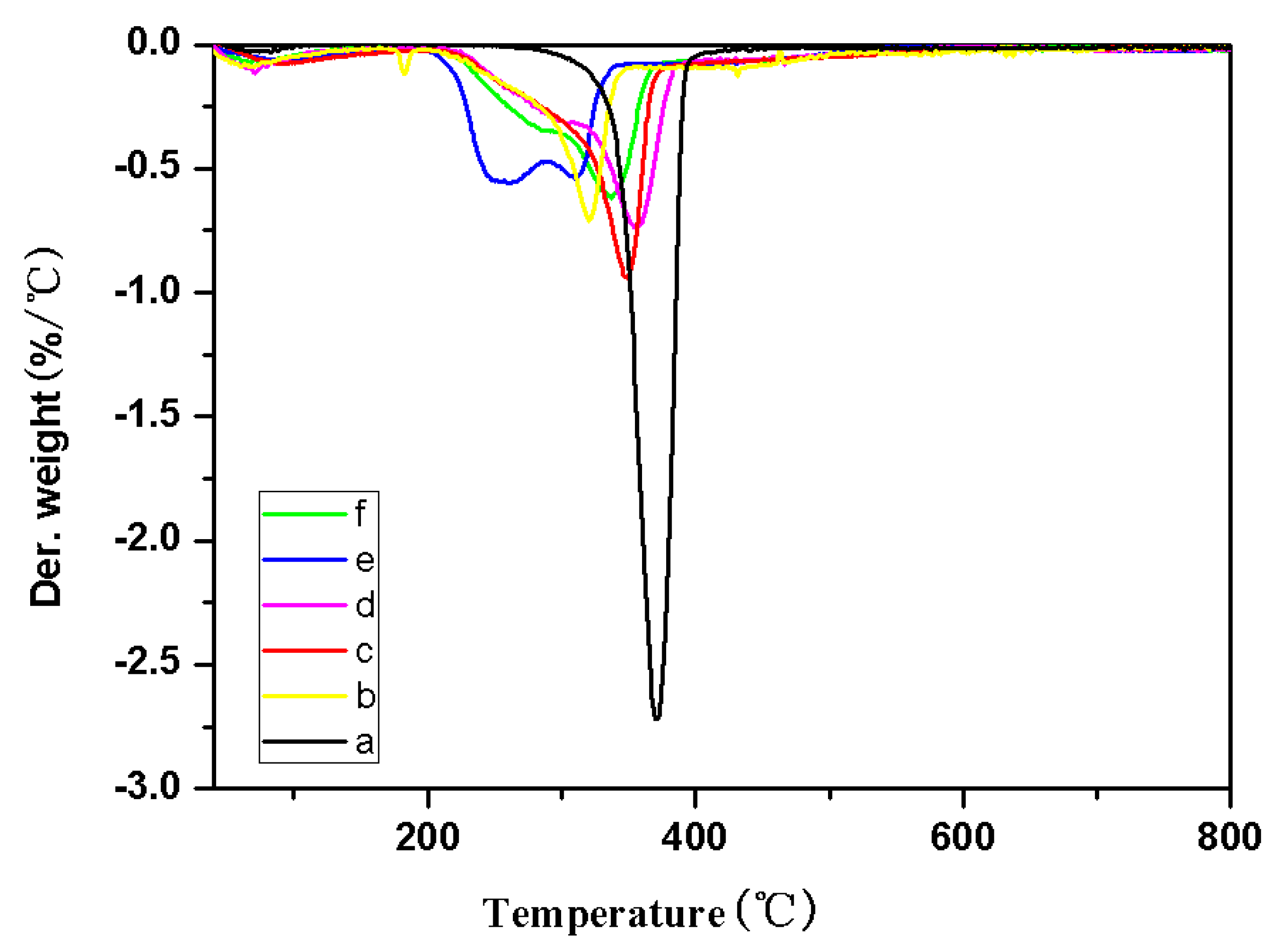
2.3. TG Analysis
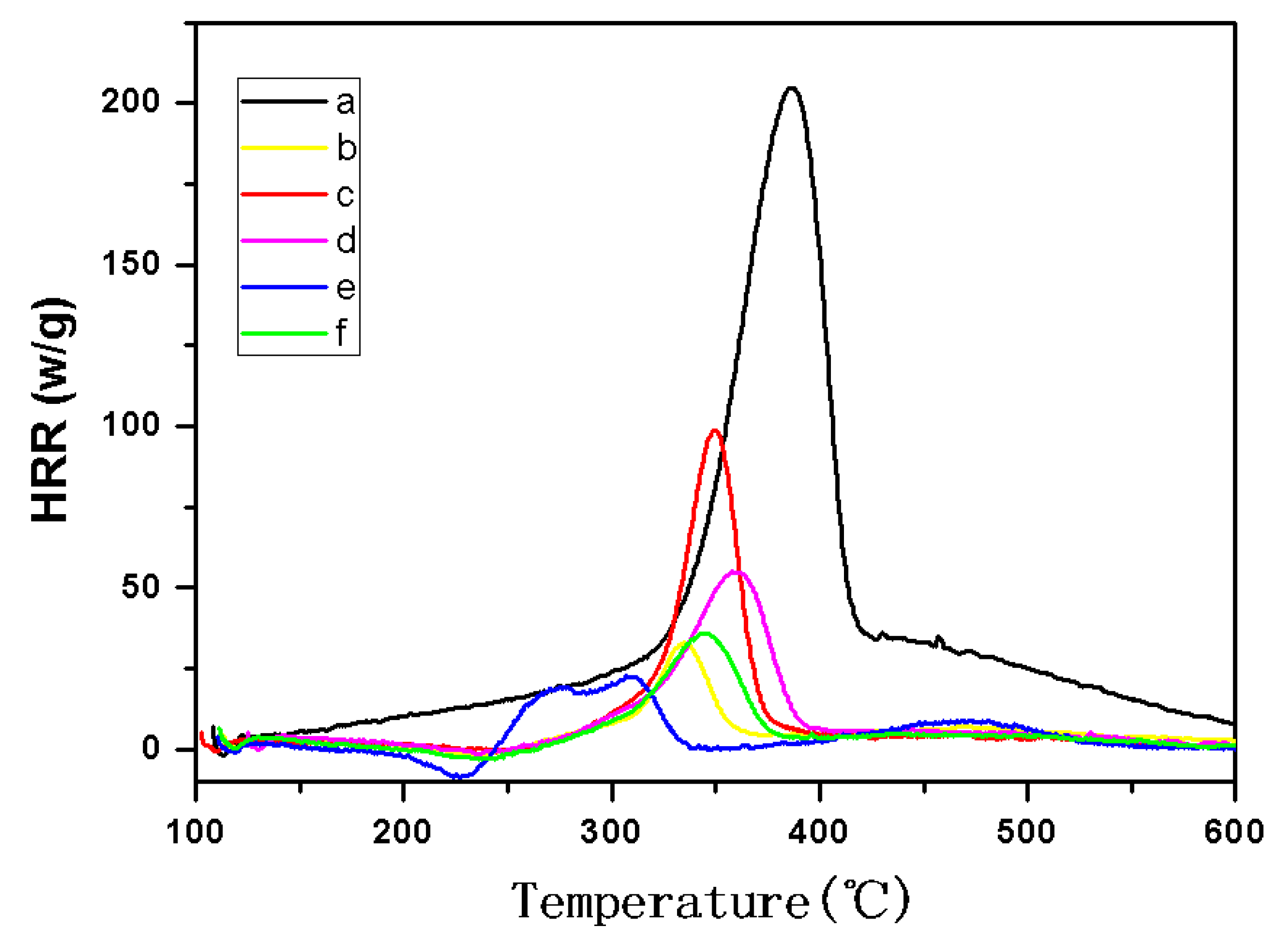
2.4. MCC Analysis
2.5. LOI Test Analysis
3. Materials and Methods
3.1. Materials
3.2. Synthesis of TOC
3.3. Characterization of TOC
3.3.1. Fourier Transform Infrared (FT-IR) Spectroscopy
3.3.2. 13C-NMR Spectroscopy
3.3.3. Thermogravimetry (TG)
3.3.4. Microscale Combustion Calorimetry (MCC)
3.3.5. Limiting Oxygen Index (LOI) Test
4. Conclusions
Author Contributions
Funding
Acknowledgments
Conflicts of Interest
References
- Ifuku, S.; Kadla, J.F. Preparation of a thermosensitive highly regioselective cellulose/N-isopropylacrylamide copolymer through atom transfer radical polymerization. Biomacromolecules 2008, 9, 3308–3313. [Google Scholar] [CrossRef] [PubMed]
- Lessan, F.; Montazer, M.; Moghadam, M.B. A novel durable flame-retardant cotton fabric using sodium hypophosphite, nano TiO2 and maleic acid. ThermochimActa 2011, 520, 48–54. [Google Scholar] [CrossRef]
- Shariatinia, Z.; Javeri, N.; Shekarriz, S. Flame retardant cotton fibers produced using novel synthesized halogen- free phosphoramide nanoparticles. CarbohydrPolym 2015, 118, 183–198. [Google Scholar] [CrossRef]
- Xie, K.L.; Gao, A.Q.; Zhang, Y.S. Flame retardant finishing of cotton fabric based on synergistic compounds containing boron and nitrogen. CarbohydrPolym 2013, 98, 706–710. [Google Scholar] [CrossRef]
- Alongi, J.; Carletto, R.A.; Bosco, F.; Carosio, F.; Di Blasio, A.; Cuttica, F.; Antonucci, V.; Giordano, M.; Malucelli, G. Caseins and hydrophobins as novel green flame retardants for cotton fabrics. PolymDegrad Stab 2014, 99, 111–117. [Google Scholar] [CrossRef]
- Salmeia, K.A.; Gaan, S.; Malucelli, G. Recent advances for flame retardancy of textiles based on phosphorus chemistry. Polymers 2016, 8, 319. [Google Scholar] [CrossRef] [PubMed]
- Feng, Y.J.; Zhou, Y.; Li, D.K.; He, S.; Zhang, F.X.; Zhang, G.X. A plant-based reactive ammonium phytate for use as a flame-retardant for cotton fabric. CarbohydrPolym 2017, 175, 636–644. [Google Scholar] [CrossRef] [PubMed]
- Ghanadpour, M.; Carosio, F.; Larsson, P.T.; Wågberg, L. Phosphorylated Cellulose Nanofibrils: A Renewable Nanomaterial for the Preparation of Intrinsically Flame-Retardant Materials. Biomacromolecules 2015, 16, 3399–3410. [Google Scholar] [CrossRef]
- Kong, Q.S.; Wang, B.B.; Ji, Q.; Xia, Y.Z.; Guo, Z.X.; Yu, J. Thermal degradation and flame retardancy of calcium alginate fibers. Chinese J. Polym. Sci. 2009, 27, 807–812. [Google Scholar] [CrossRef]
- Zhang, J.J.; Ji, Q.; Shen, X.H.; Xia, Y.Z.; Tan, L.W.; Kong, Q.S. Pyrolysis products and thermal degradation mechanism of intrinsically flame-retardant calcium alginate fibre. Polym. Degrad. Stabil. 2011, 96, 936–942. [Google Scholar] [CrossRef]
- Shibata, I.; Isoga, A. Depolymerization of cellouronic acid during TEMPO-mediated oxidation. Cellulose 2003, 10, 151–158. [Google Scholar] [CrossRef]
- Saito, T.; Isogai, A. TEMPO-mediated oxidation of native cellulose. The effect of oxidation conditions on chemical and crystal structures of the waterinsoluble fractions. Biomacromolecules 2004, 5, 1983–1989. [Google Scholar] [CrossRef]
- Isogai, A.; Kato, Y. Preparation of polyuronic acid from cellulose by TEMPO-mediated oxidation. Cellulose 1998, 5, 153–164. [Google Scholar] [CrossRef]
- Saito, T.; Nishiyama, Y.; Putaux, J.L.; Vignon, M.; Isogai, A. Homogeneous Suspensions of Individualized Microfibrils from TEMPO-Catalyzed Oxidation of Native Cellulose. Biomacromolecules 2006, 7, 1687–1691. [Google Scholar] [CrossRef] [PubMed]
- Ifuku, S.; Tsuji, M.; Morimoto, M.; Saimoto, H.; Yano, H. Synthesis of silver nanoparticles template by TEMPO-mediated oxidized bacterial cellulose nanofibers. Biomacromolecules 2009, 10, 2714–2717. [Google Scholar] [CrossRef] [PubMed]
- Keshk; Sherif, M.A.S. Homogenous reactions of cellulose from different natural sources. Carbohyd. Polym. 2008, 74, 942–945. [Google Scholar] [CrossRef]
- Saito, T.; Shibata, I.; Isogai, A.; Suguri, N.; Sumikwa, N. Distribution of carboxylate groups introduced into cotton linters by the TEMPO-mediated oxidation. Carbohyd. Polym. 2005, 61, 414–419. [Google Scholar] [CrossRef]
- Vieira, M.C.; Heinze, T.; Antonio-Cruz, R.; Mendoza-Martinez, A.M. Cellulose derivatives from cellulosic material isolated from Agave lechuguilla and fourcroydes. Cellulose 2002, 9, 203–212. [Google Scholar] [CrossRef]
- Zhang, H.; Westmoreland, P.R.; Farris, F.J.; Coughlin, E.B.; Plichta, A.; Brzozowski, Z.K. Thermal decomposition and flammability of fire-resistant, UV/visible-sensitive polyarylates, copolymers and blends. Polymer 2002, 43, 5463–5472. [Google Scholar] [CrossRef]
- Tripathy, A.R.; Farris, F.; Macknight, W.J. Novel fire resistant matrixes for composites from cyclic poly (butylenes terephthalate). Polym. Eng. Sci. 2007, 47, 1536–1543. [Google Scholar] [CrossRef]
- Lyon, R.E.; Walters, R.N. Pyrolysis combustion flow calorimetry. J. Anal. Appl. Pyrol. 2004, 71, 27–46. [Google Scholar] [CrossRef]
- Lyon, R.E.; Walters, R.N.; Stoliarov, S.I. Screening flame retardants for plastics using microscale combustion calorimetry. Polym. Eng. Sci. 2007, 47, 1501–1510. [Google Scholar] [CrossRef]
- Tai, Q.L.; Kan, Y.C.; Chen, L.J.; Xing, W.Y.; Hu, Y.; Song, L. Morphologies and thermal properties of flame-retardant polystyrene/ a -zirconium phosphate nanocomposites. React. Funct. Polym. 2010, 70, 340–345. [Google Scholar] [CrossRef]
- Laoutid, F.; Ferry, L.; Lopez-Cuesta, J.M.; Crespy, A. Flame-retardant action of red phosphorus/magnesium oxide and red phosphorus/iron oxide compositions in recycled PET. Fire Mater 2006, 30, 343–358. [Google Scholar] [CrossRef]
- Levchik, G.F.; Vorobyova, S.A.; Gorbarenko, V.V.; Levchik, S.V.; Weil, E.D. Some mechanistic aspects of the fire retardant action of red phosphorus in aliphatic nylons. J. Fire Sci. 2000, 18, 172–182. [Google Scholar] [CrossRef]
Sample Availability: Samples of the TOC are available from the authors. |








| Sample | T0.1 (°C) | DTGpeak (°C) | Tmax (°C) | Combustion Residue (800 °C, wt%) | MMLR (%/°C) |
|---|---|---|---|---|---|
| cellulose | 300 | 367 | 367 | 6.20 | 2.82 |
| cellulose-COOZn | 231 | 319 | 319 | 33.05 | 0.73 |
| cellulose-COOMg | 225 | 339 | 339 | 25.64 | 1.14 |
| cellulose-COOCa | 240 | 349 | 349 | 29.08 | 0.77 |
| cellulose-COONa | 229 | 260;307 | 260 | 25.70 | 0.56 |
| cellulose-COOBa | 243 | 334 | 334 | 32.92 | 0.61 |
| Samples | pHHR (w/g) | TpHHR (°C) | THR (KJ/g) | Combustion Residue (600 °C, %) |
|---|---|---|---|---|
| cellulose | 204.7 | 388 | 18.0 | 8.57 |
| cellulose-COOZn | 33.0 | 335 | 2.8 | 35.51 |
| cellulose-COOMg | 98.8 | 350 | 4.7 | 28.55 |
| cellulose-COOCa | 55.0 | 358 | 4.2 | 32.65 |
| cellulose-COONa | 22.7 | 307 | 2.2 | 29.73 |
| cellulose-COOBa | 36.0 | 345 | 2.7 | 35.89 |
| Samples | LOI (%) |
|---|---|
| Cellulose | 19 |
| cellulose-COOZn | 34 |
| cellulose-COOMg | 27 |
| cellulose-COOCa | 25 |
| cellulose-COONa | 27 |
| cellulose-COOBa | 25 |
© 2019 by the authors. Licensee MDPI, Basel, Switzerland. This article is an open access article distributed under the terms and conditions of the Creative Commons Attribution (CC BY) license (http://creativecommons.org/licenses/by/4.0/).
Share and Cite
Geng, C.; Zhao, Z.; Xue, Z.; Xu, P.; Xia, Y. Preparation of Ion-Exchanged TEMPO-Oxidized Celluloses as Flame Retardant Products. Molecules 2019, 24, 1947. https://doi.org/10.3390/molecules24101947
Geng C, Zhao Z, Xue Z, Xu P, Xia Y. Preparation of Ion-Exchanged TEMPO-Oxidized Celluloses as Flame Retardant Products. Molecules. 2019; 24(10):1947. https://doi.org/10.3390/molecules24101947
Chicago/Turabian StyleGeng, Cunzhen, Zhihui Zhao, Zhixin Xue, Peilong Xu, and Yanzhi Xia. 2019. "Preparation of Ion-Exchanged TEMPO-Oxidized Celluloses as Flame Retardant Products" Molecules 24, no. 10: 1947. https://doi.org/10.3390/molecules24101947
APA StyleGeng, C., Zhao, Z., Xue, Z., Xu, P., & Xia, Y. (2019). Preparation of Ion-Exchanged TEMPO-Oxidized Celluloses as Flame Retardant Products. Molecules, 24(10), 1947. https://doi.org/10.3390/molecules24101947

