A Portable Setup for the Voltammetric Determination of Total Mercury in Fish with Solid and Nanostructured Gold Electrodes
Abstract
1. Introduction
2. Results and Discussion
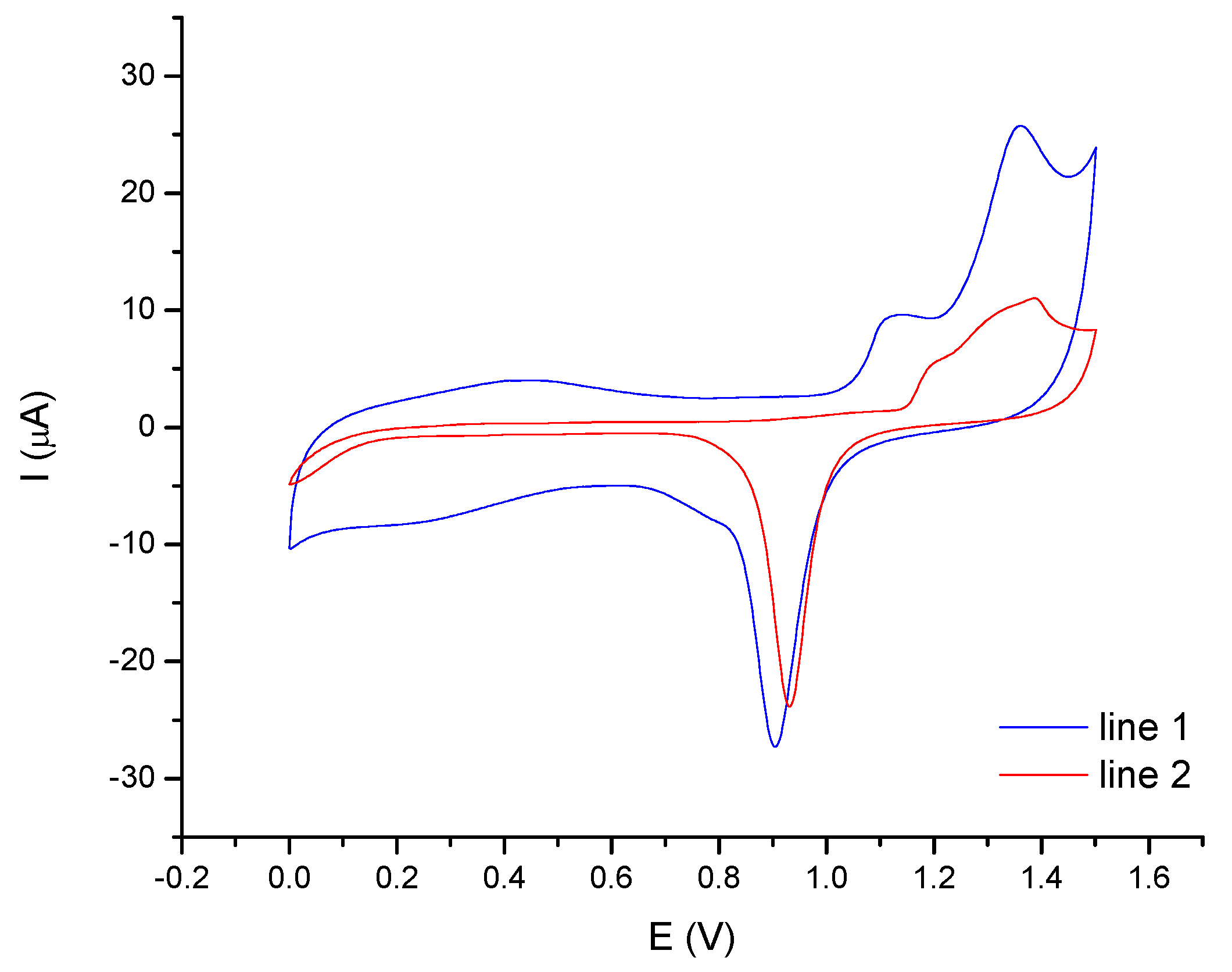
2.1. Monitoring of the Electrode Surface
2.2. AFM Analysis
2.3. Analytical Performance of ASV Using SGE or AuNPs-GCE for Hg Determination
2.4. Chronoamperometry
2.5. Hg Determination in Fish Samples
2.6. Considerations about the Whole Portable System
- A concentration as low as 0.5 µg L−1 in blank solution (0.06 mol L−1 HCl) was quantified with three standard additions. The results obtained in the case of the benchtop and the portable instrument were 0.51 µg L−1 ± 0.02 µg L−1 (relative error: 0.03; calibration curve: y = 1.49 × 10−5x + 7.7 × 10−6, R2 = 0.998) and 0.48 µg L−1 ± 0.03 µg L−1 (relative error: 0.05; calibration curve: y = 2.14 × 10−5x + 1.02 × 10−5, R2 = 0.999), respectively.
- The autonomy of the portable battery guarantees 18 h of work; recharging the battery at night. Therefore, the possibility of working for the whole next day is guaranteed.
- Comparing the time required for MWT with that for PT, the time determining step is the sample pretreatment, since the duration of the voltammetric analysis is the same. Digestion in a microwave oven requires about two hours for three samples in duplicate; then, the vessel have to be cleaned for the next samples’ digestion. Using PT, the time required for the sample pretreatment was reduced since the samples are treated in disposable Falcon tubes and it is possible to obtain three sample solutions in duplicate per hour.
- AuNPs-GCE shows better analytical performance, and in particular higher sensitivity, than SGE. However, the latter could be the best choice for on-site analysis since AuNP modification requires the use of N2 for the deoxygenation of the Au solution before the deposition and the obtained Au layer has to be treated with NaOH for 20 min and activated. Moreover, SGE can also be used to monitor the Hg concentration in fish, since the LOQ obtained is lower than the maximum admissible level.
- Small volumes of reagent could be adopted both for pretreatment and for the analysis step, to reduce the amount of liquid wastes. In particular, it could be very important to reduce the sample solution volume in the voltammetric cell, and consequently the volume of mercury added during the standard additions: spiked sample solutions represent a toxic waste, therefore it is fundamental to collect them and transport them to the laboratory for a proper disposal.
3. Material and Methods
3.1. Apparatus and Reagents
3.2. Samples and Sample Pretreatment
3.3. Deposition of Gold Nanoparticles onto the Glassy Carbon Electrode
3.4. Solid Gold Electrode Pretreatment
3.5. SW-ASV Analysis
3.6. DMA Analysis
4. Conclusions
Author Contributions
Funding
Acknowledgments
Conflicts of Interest
References
- Horowitz, H.M.; Jacob, D.J.; Amos, H.M.; Streets, D.G.; Sunderland, E.M. Historical mercury releases from commercial products: Global environmental implications. Environ. Sci. Technol. 2014, 48, 10242–10250. [Google Scholar] [CrossRef]
- Johansson, K.; Bergbäck, B.; Tyler, G. Impact of atmospheric long-range transport of lead, mercury and cadmium on the Swedish Forest Environment. Water Air Soil Pollut. Focus 2001, 1, 279–297. [Google Scholar] [CrossRef]
- Morel, F.M.M.; Kraepiel, A.M.L.; Amyot, M. The chemical cycle and bioaccumulation of mercury. An. Rev. Ecol. System. 1998, 29, 543–566. [Google Scholar] [CrossRef]
- Valdersnes, S.; Fecher, P.; Maage, A.; Julshamn, K. Collaborative study on determination of mono methylmercury in seafood. Food Chem. 2016, 194, 424–431. [Google Scholar] [CrossRef] [PubMed]
- Gosnell, K.J.; Mason, R.P. Mercury and methylmercury incidence and bioaccumulation in plankton from the central Pacific Ocean. Marine Chem. 2015, 177, 772–780. [Google Scholar] [CrossRef]
- Falandysz, J.; Chwir, A.; Wyrzykowska, B. Total mercury contamination of some fish species in the firth of vistula and the lower Vistula river, Poland. Polish J. Environ. Studies 2000, 9, 335–339. [Google Scholar]
- Baker, R.F.; Blanchfield, P.J.; Paterson, M.J.; Flett, R.J.; Wesson, L. Evaluation of nonlethal methods for the analysis of mercury in fish tissue. Trans. Amer. Fisheries Soc. 2004, 133, 568–576. [Google Scholar] [CrossRef]
- Jun Shao, L.J.; Gan, W.E.; Su, Q.D. Determination of total and inorganic mercury in fish samples with on-line oxidation coupled to atomic fluorescence spectrometry. Analy. Chim. Acta 2006, 562, 128–133. [Google Scholar] [CrossRef]
- Squadrone, S.; Benedetto, A.; Brizio, P.; Prearo, M.; Abete, M.C. Mercury and selenium in European catfish (Silurus glanis) from Northern Italian Rivers: Can molar ratio be a predictive factor for mercury toxicity in a top predator? Chemosphere 2015, 119, 24–30. [Google Scholar] [PubMed]
- Martín-Yerga, D.; González-García, M.B.; Costa-García, A. Electrochemical determination of mercury: A review. Talanta 2013, 116, 1091–1095. [Google Scholar] [CrossRef]
- EPA Method 7472. Available online: https://www.epa.gov/sites/production/files/2015-12/documents/7472.pdf (accessed on 17 May 2019).
- Radulescu, M.C.; Danet, A.F. Mercury determination in fish samples by chronopotentiometric stripping analysis using gold electrodes prepared from recordable CDs. Sensors 2008, 8, 7157–7171. [Google Scholar] [CrossRef] [PubMed]
- Meucci, V.; Laschi, S.; Minunni, M.; Pretti, C.; Intorre, L.; Soldani, G.; Mascini, M. An optimized digestion method coupled to electrochemical sensor for the determination of Cd, Cu, Pb and Hg in fish by square wave anodic stripping voltammetry. Talanta 2009, 77, 1143–1148. [Google Scholar] [CrossRef]
- Tamer, U.; Oymak, T.; Ertas, N. Voltammetric determination of mercury(II) at poly(3-hexylthiophene) film electrode. Effect of halide ions. Electroanalysis 2007, 19, 2565–2570. [Google Scholar] [CrossRef]
- Afkhami, A.; Madrakian, T.; Sabounchei, S.J.; Rezaei, M.; Samiee, S.; Pourshahbaz, M. Construction of a modified carbon paste electrode for the highly selective simultaneous electrochemical determination of trace amounts of mercury (II) and cadmium (II). Sensors Actuators B 2012, 161, 542–548. [Google Scholar] [CrossRef]
- Afkhami, A.; Madrakian, T.; Ghaedi, H.; Rezaeivala, M. Fabrication and application of a new modified electrochemical sensor using nano-silica and a newly synthesized Schiff base for simultaneous determination of Cd2+, Cu2+ and Hg2+ ions in water and some foodstuff samples. Analy. Chim. Acta 2013, 771, 21–30. [Google Scholar] [CrossRef]
- Bagheri, H.; Afkhami, A.; Khoshsafar, H.; Rezaei, M.; Shirzadmehr, A. Simultaneous electrochemical determination of heavy metals using a triphenylphosphine/MWCNTs composite carbon ionic liquid electrode. Sensors Actuators B 2013, 186, 451–460. [Google Scholar] [CrossRef]
- Azadmehr, F.; Zarei, K. Ultrasensitive determination of ceftizoxime using pencil graphite electrode modified by hollow gold nanoparticles/reduced graphene oxide. Arabian J. Chem. 2018. [CrossRef]
- Bernalte, E.; Sánchez, C.M.; Gil, E.P. Determination of Mercury in indoor dust samples by ultrasonic probe microextraction and stripping voltammetry on gold nanoparticles-modified screen-printed electrodes. Talanta 2012, 97, 187–192. [Google Scholar] [CrossRef]
- Wang, N.; Lin, M.; Dai, H.; Ma, H. Functionalized goldnanoparticles/reducedgrapheneoxide nanocomposites for ultrasensitive electrochemical sensing of mercury ions based on thymine–mercury–thymine structure. Biosens. Bioelectron. 2016, 79, 320–326. [Google Scholar] [CrossRef] [PubMed]
- Ojani, R.; Maleki, J.-B.R.; Asghar, A.; Saeid, S. Simultaneous and sensitive detection of dopamine and uric acid using a poly(l-methionine)/gold nanoparticle-modified glassy carbon electrode. Chin. J. Catal. 2014, 35, 423–429. [Google Scholar] [CrossRef]
- Liu, Z.; Puumala, E.; Chen, A. Sensitive electrochemical detection of Hg(II) via a FeOOH modified nanoporous gold microelectrode. Sensors Actuators B Chem. 2019, 287, 517–525. [Google Scholar] [CrossRef]
- Roditi, E.; Tsetsoni, M.; Kokkinos, C.; Economou, A. Integrated on-chip sensor with sputtered Ag-Au-Au electrodes for the voltammetric determination of trace Hg(II). Sensors Actuators B Chem. 2019, 286, 125–130. [Google Scholar] [CrossRef]
- Jin, H.; Zhang, M.; Wei, M.; Cheng, J.H. A voltammetric biosensor for mercury(II) using reduced graphene oxide@gold nanorods and thymine-Hg(II)-thymine interaction. Microchim. Acta 2019, 186, 264–272. [Google Scholar] [CrossRef]
- Wu, Z.; Cui, T. Shrink-Induced Microelectrode Arrays for Trace Mercury Ions Detection. Iee Sensors J. 2019, 19, 2435–2441. [Google Scholar] [CrossRef]
- Ponram, M.; Balijapalli, U.; Sambath, B.; Kulathu Iyer, S.; Kakaraparthi, H.; Thota, G.; Bakthavachalam, V.R.; Cingaram, R.; Sung-Ho, J.; Sundaramurthy, K.N. Inkjet-printed phosphorescent Iridium(III) complex based paper sensor for highly selective detection of Hg2+. Dyes Pigments 2019, 163, 176–182. [Google Scholar] [CrossRef]
- Manikandan, R.; Deepa, P.N.; Narayanan, S.S. Anodic stripping voltammetric determination of Hg(II) using poly xylenol orange film modified electrode. Ionics 2019, 25, 1387–1394. [Google Scholar] [CrossRef]
- Hasanjani, A.R.H.; Zarei, K. An electrochemical sensor for attomolar determination of mercury(II) using DNA/poly-L-methionine-gold nanoparticles/pencil graphite electrode. Biosensors Bioelectr. 2019, 128, 1–8. [Google Scholar] [CrossRef]
- Teodoro, K.B.R.; Migliorini, F.L.; Facure, M.H.M.; Correa, D.S. Conductive electrospun nanofibers containing cellulose nanowhiskers and reduced graphene oxide for the electrochemical detection of mercury(II). Carbohydrate Poly. 2019, 207, 747–754. [Google Scholar] [CrossRef]
- Pramanik, K.; Sarkar, P.; Bhattacharyay, D. Semi-quantitative colorimetric and supersensitive electrochemical sensors for mercury using rhodamine b hydrazide thio derivative. J. Mol. Liquids 2019, 276, 141–152. [Google Scholar] [CrossRef]
- Jeromiyas, N.; Elaiyappillai, E.; Kumar, A.S.; Huang, S.T.; Mani, V. Bismuth nanoparticles decorated graphenated carbon nanotubes modifie d screen-printe d electrode for mercury detection. J. Taiwan Instit. Chem. Eng. 2019, 95, 466–474. [Google Scholar] [CrossRef]
- Ramalingam, M.; Ponnusamy, V.K.; Sangilimuthu, S.N. A nanocomposite consisting of porous graphitic carbon nitride nanosheets and oxidized multiwalled carbon nanotubes for simultaneous stripping voltammetric determination of cadmium(II), mercury(II), lead(II) and zinc(II). Microchim. Acta 2019, 186, 69. [Google Scholar] [CrossRef]
- Wu, W.; Jia, M.; Wang, Z.; Zhang, W.; Zhang, Q.; Liu, G.; Zhang, Z.; Li, P. Simultaneous voltammetric determination of cadmium(II), lead(II), mercury(II), zinc(II), and copper(II) using a glassy carbon electrode modified with magnetite (Fe3O4) nanoparticles and fluorinated multiwalled carbon nanotubes. Microchim. Acta 2019, 186, 97. [Google Scholar] [CrossRef]
- Abollino, O.; Giacomino, A.; Ginepro, M.; Malandrino, M.; Zelano, I. Determination of mercury by anodic stripping voltammetry with a gold nanoparticle-modified glassy carbon electrode. Electroanalysis 2012, 24, 727–734. [Google Scholar] [CrossRef]
- Abollino, O.; Giacomino, A.; Malandrino, M.; Piscionieri, G.; Mentasti, E.; Mentasti, E. Determizione del mercurio mediante voltammetria di stripping anodico con elettrodo solido d’oro. Electroanalysis 2008, 20, 75–83. [Google Scholar] [CrossRef]
- Giacomino, A.; Abollino, O.; Malandrino, M.; Mentasti, E. Parameters affecting the determination of mercury by anodic stripping voltammetry using a gold electrode. Talanta 2008, 85, 266–273. [Google Scholar] [CrossRef]
- Salaun, P.; Planer-Friedrich, B.; Van den Berg, C.M.G. Inorganic arsenic speciation in water and seawater by anodic stripping voltammetry with a gold microelectrode. Analy. Chim. Acta 2007, 585, 312–322. [Google Scholar] [CrossRef]
- Priano, G.; González, G.; Günther, M.; Battaglini, F. Disposable Gold Electrode Array for Simultaneous Electrochemical Studies. Electroanalysis 2008, 20, 91–97. [Google Scholar] [CrossRef]
- Dai, X.; Nekrassova, O.; Hyde, M.E.; Compton, R.G. Anodic stripping voltammetry of arsenic (III) using gold nanoparticle-modified electrodes. Analy. Chem. 2004, 76, 5924–5929. [Google Scholar] [CrossRef]
- Shu, H.; Chang, G.; Wang, Z.; Li, P.; Zhang, Y.; He, Y. Pulse laser deposition fabricating gold nanoclasters on a glassy carbon surface for nonenzymatic glucose sensing. Analy. Sci. 2015, 31, 609–613. [Google Scholar] [CrossRef]
- Detcheva, A.; Grobecker, K.H. Analytical Note Determination of Hg, Cd, Mn, Pb and Sn in seafood by solid sampling Zeeman atomic absorption spectrometry. Spectrochimica Acta Part B 2006, 61, 454–459. [Google Scholar] [CrossRef]
- Regulation (EU) No 420/2011 of the European Parliament and of the Council of April 29th 2011. European: Amending Regulation (EC) No 1881/2006 of the European Parliament. Available online: https://eur-lex.europa.eu/LexUriServ/LexUriServ.do?uri=CONSLEG:2006R1881:20120901:EN:PDF (accessed on 17 May 2019).
- Voegborlo, R.B.; Adimado, A.A. A simple classical wet digestion technique for the determination of total mercury in fish tissue by cold vapour atomic absorption spectrometry in a low technology environment. Food Chem. 2010, 123, 936–940. [Google Scholar] [CrossRef]
Sample Availability: Not available. |





| Matrix | Pretreatment | Electrode | Method | Linear Range (µg L−1) | LOD (µg L−1) | Ref |
|---|---|---|---|---|---|---|
| Tap water and lake water | - | FeOOH/NPG a microelectrode | SWV | 4.01–441 | 1.57 | [22] |
| Fish oil | Sample was added with HCl and H2O2; sonicated—diluted | Sputtered Ag-Au-Au electrodes | DPV | 0−140 | 0.60–140 | [23] |
| Tap water and waste water | - | DNA-RGO b@AuNR-TH-SA c | DPV | 0.2–40 | 0.04 | [24] |
| - | - | Shrink d-Induced Microelectrode Arrays d | SWV | 0.2−1 | 0.09. | [25] |
| - | - | [Ir(TPQ)2(4-EO2-pic)] e paper based chemosensor | - | 3 × 10−3 | [26] | |
| Water sample | - | PXO f-film modified electrode | DPV | 0.13–20.5 | 0.04 | [27] |
| Sea water | - | DNA/PMET-AuNPs/PGE g | SWV | 0.01 × 10−11–0.02 | 8 × 10−13 | [28] |
| River water | - | FTO h coated with PA6/CNW:rGO i | DPV | 501−15044 | 1.4 | [29] |
| Waste water, tap water drinking water | - | RS j-gRGO k-GCE | DPV | 1–40 | 0.06 | [30] |
| Tap water, fish oil tablet, human serum, and urine samples (spiked method) | - | Bi NPs@Gr-CNTsi | DPV | 0.2–43500 | 0.04 | [31] |
| Vegetables (cabbage and capsicum) and food products (noodles) | Samples was ashed in a muffle furnace -the ashes were dissolved in HClO4 and HNO3-diluted | SPE-p-g-C3N4/O-MWCNTs l | DPV | 4.8–93 | 0.04 | [32] |
| Lake water and tap water and rice | Water samples were filtered—added with HNO3—heated to remove nitric acid. Rice samples were digested in a microwave oven with HNO3-diluted. | Fe3O4/F-MWCNTs-GCE m | SWV | 2.60–6500 | 0.78 | [33] |
| Sample | DMA | ASV SGE MWT | ASV AuNPs-GCE MWT | ASV AuNPs-GCE PT |
|---|---|---|---|---|
| CRM (2.85± 0.16) | 2.86 ± 0.06 (100%) | 2.69 ± 0.04 (94.4%) | 2.77 ± 0.09 (96.8%) | 2.66 ± 022 (93.4%) |
| CT1 | 0.66 ± 0.02 | 0.56 ± 0.04 (84.0%) | 0.56 ± 0.08 (84.1%) | 0.58 ± 0.01 (87.1%) |
| CT2 | 0.73 ± 0.02 | 0.65 ± 0.001 (88.4%) | 0.63 ± 0.07 (86.3%) | 0.68 ± 0.02 (93.4%) |
| CT3 | 0.10 ± 0.002 | <0.3 * | 0.10 ± 0.01 (97.3%) | 0.09 ± 0.01 (90.0%) |
| CT4 | 0.18 ± 0.01 | <0.3 * | 0.19 ± 0.09 (106%) | 0.20 ± 0.03 (110%) |
| CT5 | 1.11 ± 0.01 | 1.18 ± 0.02 (106%) | 0.91 ± 0.04 (82.0%) | 0.89 ± 0.06 (80.1%) |
| CT6 | 0.91 ± 0.03 | 0.81 ± 0.01 (88.8%) | 0.75 ± 0.08 (81.9%) | 0.84 ± 0.01 (91.2%) |
| CT7 | 0.40 ± 0.03 | 0.37 ± 0.02 (91.3%) | 0.41 ± 0.09 (102%) | 0.36 ± 0.01 (89.7%) |
| CT8 | 0.28 ± 0.01 | <0.3 * | 0.28 ± 0.03 (102%) | 0.26 ± 0.01 (92.1%) |
| CT9 | 1.43 ± 0.07 | 1.27 ± 0.06 (88.6%) | 1.13 ± 0.03 (79.0%) | 1.35 ± 0.02 (94.4%) |
| CT10 | 1.37 ± 0.04 | 1.21 ± 0.08 (88.3%) | 1.31 ± 0.04 (95.5%) | 1.21 ± 0.04 (88.3%) |
| SF | 0.55 ± 0.05 | 0.53 ± 0.03 (97.4%) | 0.54 ± 0.01 (98.7%) | 0.54 ± 0.02 (98.2%) |
| TF | 0.67 ± 0.03 | 0.63 ± 0.08 (93.8%) | 0.65 ± 0.06 (96.4%) | 0.65 ± 0.09 (96.7%) |
© 2019 by the authors. Licensee MDPI, Basel, Switzerland. This article is an open access article distributed under the terms and conditions of the Creative Commons Attribution (CC BY) license (http://creativecommons.org/licenses/by/4.0/).
Share and Cite
Ruo Redda, A.; Abollino, O.; Malandrino, M.; Squadrone, S.; Abete, M.C.; Berto, S.; Toniolo, R.; Durbiano, F.; Giacomino, A. A Portable Setup for the Voltammetric Determination of Total Mercury in Fish with Solid and Nanostructured Gold Electrodes. Molecules 2019, 24, 1910. https://doi.org/10.3390/molecules24101910
Ruo Redda A, Abollino O, Malandrino M, Squadrone S, Abete MC, Berto S, Toniolo R, Durbiano F, Giacomino A. A Portable Setup for the Voltammetric Determination of Total Mercury in Fish with Solid and Nanostructured Gold Electrodes. Molecules. 2019; 24(10):1910. https://doi.org/10.3390/molecules24101910
Chicago/Turabian StyleRuo Redda, Andrea, Ornella Abollino, Mery Malandrino, Stefania Squadrone, Maria Cesarina Abete, Silvia Berto, Rosanna Toniolo, Francesca Durbiano, and Agnese Giacomino. 2019. "A Portable Setup for the Voltammetric Determination of Total Mercury in Fish with Solid and Nanostructured Gold Electrodes" Molecules 24, no. 10: 1910. https://doi.org/10.3390/molecules24101910
APA StyleRuo Redda, A., Abollino, O., Malandrino, M., Squadrone, S., Abete, M. C., Berto, S., Toniolo, R., Durbiano, F., & Giacomino, A. (2019). A Portable Setup for the Voltammetric Determination of Total Mercury in Fish with Solid and Nanostructured Gold Electrodes. Molecules, 24(10), 1910. https://doi.org/10.3390/molecules24101910

