Molecular Dynamics Simulation of Distribution and Diffusion Behaviour of Oil–Water Interfaces
Abstract
:1. Introduction
2. Molecular Dynamics Simulation
3. Results and Discussion
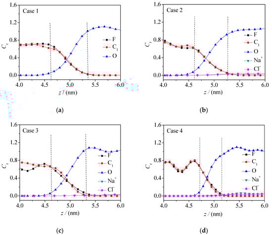
3.1. Microscopic Particle Distribution and Oil–Water Interface Morphology
3.2. Diffusion Characteristics of Microscopic Particles at the Oil–water Interface
4. Conclusions
Author Contributions
Funding
Conflicts of Interest
References
- Naskar, B.; Diat, O.; Nardello-Rataj, V.; Bauduin, P. Nanometer-size polyoxometalate anions adsorb strongly on neutral soft surfaces. J. Phys. Chem. C 2015, 119, 20985–20992. [Google Scholar] [CrossRef]
- Vichapong, J.; Burakham, R.; Srijaranai, S. Vortex-assisted surfactant-enhanced-emulsification liquid-liquid microextraction with solidification of floating organic droplet combined with hplc for the determination of neonicotinoid pesticides. Talanta 2013, 117, 221–228. [Google Scholar] [CrossRef]
- Chaudhary, J.P.; Vadodariya, N.; Nataraj, S.K.; Meena, R. Chitosan-based aerogel membrane for robust oil-in-water emulsion separation. Acs Appl. Mater. Interfaces 2015, 7, 24957–24962. [Google Scholar] [CrossRef]
- Chen, Y.; Liu, X.; Shi, M. Hydrodynamics of double emulsion droplet in shear flow. Appl. Phys. Lett. 2013, 102, 051609. [Google Scholar] [CrossRef]
- Zhao, Q.Q.; Sun, J.; Liu, B.J.; He, J.X. Novel kinetics model for third-liquid phase-transfer catalysis system of the “complex” carbanion: Competitive role between catalytic cycles. Chem. Eng. J. 2015, 280, 782–795. [Google Scholar] [CrossRef]
- De-La-Torre, P.; Osorio, E.; Alzate-Morales, J.H.; Caballero, J.; Trilleras, J.; Astudillo-Saavedra, L.; Brito, I.; Cardenas, A.; Quiroga, J.; Gutierrez, M. Ultrasound-assisted phase-transfer catalysis method in an aqueous medium to promote the knoevenagel reaction: Advantages over the conventional and microwave-assisted solvent-free/catalyst-free method. Ultrason. Sonochem. 2014, 21, 1666–1674. [Google Scholar] [CrossRef]
- Rodriguez-Aller, M.; Guillarme, D.; Veuthey, J.L.; Gurny, R. Strategies for formulating and delivering poorly water-soluble drugs. J. Drug Deliv. Sci. Technol. 2015, 30, 342–351. [Google Scholar] [CrossRef]
- Chen, Y.P.; Deng, Z.L. Hydrodynamics of a droplet passing through a microfluidic t-junction. J. Fluid Mech. 2017, 819, 401–434. [Google Scholar] [CrossRef]
- Sharipova, A.; Aidarova, S.; Fainerman, V.B.; Stocco, A.; Cernoch, P.; Miller, R. Dynamics of adsorption of polyallylamine hydrochloride/sodium dodecyl sulphate at water/air and water/hexane interfaces. Colloid Surf. A 2011, 391, 112–118. [Google Scholar] [CrossRef]
- Dani, A.; Keiser, G.; Yeganeh, M.; Maldarelli, C. Hydrodynamics of particles at an oil–water interface. Langmuir 2015, 31, 13290–13302. [Google Scholar] [CrossRef] [PubMed]
- Park, B.J.; Furst, E.M. Fabrication of unusual asymmetric colloids at an oil–water interface. Langmuir 2010, 26, 10406–10410. [Google Scholar] [CrossRef] [PubMed]
- Abimannan, P.; Selvaraj, V.; Rajendran, V. Sonication effect on the reaction of 4-bromo-1-methylbenzene with sodium sulfide in liquid-liquid multi-site phase-transfer catalysis condition - kinetic study. Ultrason. Sonochem. 2015, 23, 156–164. [Google Scholar] [CrossRef]
- Wang, J.; Sun, L.; Zou, M.; Gao, W.; Liu, C.; Shang, L.; Gu, Z.; Zhao, Y. Bioinspired shape-memory graphene film with tunable wettability. Sci. Adv. 2017, 3, e1700004. [Google Scholar] [CrossRef] [PubMed]
- Chen, Y.; Gao, W.; Zhang, C.; Zhao, Y. Three-dimensional splitting microfluidics. Lab Chip 2016, 16, 1332–1339. [Google Scholar] [CrossRef]
- Atkin, R.; El Abedin, S.Z.; Hayes, R.; Gasparotto, L.H.S.; Borisenko, N.; Endres, F. Afm and stm studies on the surface interaction of bmp tfsa and (emim tfsa ionic liquids with au(111). J. Phys. Chem. C 2009, 113, 13266–13272. [Google Scholar] [CrossRef]
- Han, K.S.; Moon, Y.S.; Han, O.H.; Hwang, K.J.; Kim, I.; Kim, H. Heat treatment and potential cycling effects on surface morphology, particle size, and catalytic activity of pt/c catalysts studied by c-13 nmr, tem, xrd and cv. Electrochem. Commun. 2007, 9, 317–324. [Google Scholar] [CrossRef]
- Patel, H.A.; Nauman, E.B.; Garde, S. Molecular structure and hydrophobic solvation thermodynamics at an octane-water interface. J. Chem. Phys. 2003, 119, 9199–9206. [Google Scholar] [CrossRef]
- Chen, M.; Lu, X.C.; Liu, X.D.; Hou, Q.F.; Zhu, Y.Y.; Zhou, H.Q. Retardation of water reorientation at the oil/water interface. J. Phys. Chem. C 2015, 119, 16639–16648. [Google Scholar] [CrossRef]
- Valente, M.; Sousa, S.F.; Magalhaes, A.L.; Freire, C. Transfer of the k+ cation across a water/dichloromethane interface: A steered molecular dynamics study with implications in cation extraction. J. Phys. Chem. B 2012, 116, 1843–1849. [Google Scholar] [CrossRef] [PubMed]
- Kadota, K.; Wake, T.; Gonda, K.; Kitayama, A.; Tozuka, Y.; Shimosaka, A.; Shirakawa, Y.; Hidaka, J. Effect of organic solvent on mutual diffusion and ionic behavior near liquid-liquid interface by molecular dynamics simulations. J. Mol. Liq. 2014, 197, 243–250. [Google Scholar] [CrossRef]
- Sun, H. Compass: An ab initio force-field optimized for condensed-phase applications - overview with details on alkane and benzene compounds. J. Phys. Chem. B 1998, 102, 7338–7364. [Google Scholar] [CrossRef]
- Rigby, D.; Sun, H.; Eichinger, B.E. Computer simulations of poly(ethylene oxide): Force field, pvt diagram and cyclization behaviour. Polym. Int. 1997, 44, 311–330. [Google Scholar] [CrossRef]
- Nymand, T.M.; Linse, P. Ewald summation and reaction field methods for potentials with atomic charges, dipoles, and polarizabilities. J. Chem. Phys. 2000, 112, 6152–6160. [Google Scholar] [CrossRef]
- Nose, S. A unified formulation of the constant temperature molecular-dynamics methods. J. Chem. Phys. 1984, 81, 511–519. [Google Scholar] [CrossRef]
- Materials Studio Accelrys, Release 6.0; Accelrys Software Inc.: San Diego, CA, USA, 2012.
- Choudhuri, J.R.; Chandra, A. Structure and dynamics of the liquid-liquid interface of an aqueous nacl solution with liquid carbon tetrachloride from first-principles simulations. J. Phys. Chem. C 2014, 118, 23083–23091. [Google Scholar] [CrossRef]
- Li, C.G.; Dong, S.; Zhang, G.X. Evaluation of the root-mean-square slope of 3d surface topography. Int. J. Mach. Tool Manu. 2000, 40, 445–454. [Google Scholar] [CrossRef]
- Abdi, N.; Abdi, Y.; Alemipour, Z.; NedaaeeOskoee, E. Chemical diffusion coefficient in dye sensitized solar cells as a function of porosity and surface roughness. Sol. Energy 2016, 135, 506–511. [Google Scholar] [CrossRef]
Sample Availability: Samples of the fluorobenzene–water and pentanol–water are not available from the authors. |










| Fluorobenzene–NaCl Aqueous Solution | Case Number | Case 1 | Case 2 | Case 3 | Case 4 |
| Fluorobenzene | 300 | 300 | 300 | 300 | |
| Water Molecule | 2000 | 2000 | 2000 | 2000 | |
| Sodium Ion | 0 | 10 | 20 | 40 | |
| Chloride | 0 | 10 | 20 | 40 | |
| Mass Concentration | ------ | 1.60% | 3.15% | 6.10% | |
| 1-Pentanol–NaCl Aqueous Solution | Case Number | Case 5 | Case 6 | Case 7 | Case 8 |
| 1-Pentanol | 200 | 200 | 200 | 200 | |
| Water Molecule | 2000 | 2000 | 2000 | 2000 | |
| Sodium Ion | 0 | 10 | 20 | 40 | |
| Chloride | 0 | 10 | 20 | 40 | |
| Mass Concentration | ------ | 1.60% | 3.15% | 6.10% |
| Diffusion Coefficient | Di | Db | |
| Fluoro benzene–NaCl Aqueous Solution | Case 1 | 0.45 | 0.50 |
| Case 2 | 0.37 | 0.39 | |
| Case 4 | 0.28 | 0.32 | |
| Diffusion Coefficient | Di | Db | |
| 1-Pentanol–NaCl Aqueous Solution | Case 5 | 0.33 | 0.43 |
| Case 6 | 0.47 | 0.40 | |
| Case 8 | 0.38 | 0.35 |
© 2019 by the authors. Licensee MDPI, Basel, Switzerland. This article is an open access article distributed under the terms and conditions of the Creative Commons Attribution (CC BY) license (http://creativecommons.org/licenses/by/4.0/).
Share and Cite
Zhang, C.; Dai, H.; Lu, P.; Wu, L.; Zhou, B.; Yu, C. Molecular Dynamics Simulation of Distribution and Diffusion Behaviour of Oil–Water Interfaces. Molecules 2019, 24, 1905. https://doi.org/10.3390/molecules24101905
Zhang C, Dai H, Lu P, Wu L, Zhou B, Yu C. Molecular Dynamics Simulation of Distribution and Diffusion Behaviour of Oil–Water Interfaces. Molecules. 2019; 24(10):1905. https://doi.org/10.3390/molecules24101905
Chicago/Turabian StyleZhang, Chengbin, Hanhui Dai, Pengfei Lu, Liangyu Wu, Bo Zhou, and Cheng Yu. 2019. "Molecular Dynamics Simulation of Distribution and Diffusion Behaviour of Oil–Water Interfaces" Molecules 24, no. 10: 1905. https://doi.org/10.3390/molecules24101905
APA StyleZhang, C., Dai, H., Lu, P., Wu, L., Zhou, B., & Yu, C. (2019). Molecular Dynamics Simulation of Distribution and Diffusion Behaviour of Oil–Water Interfaces. Molecules, 24(10), 1905. https://doi.org/10.3390/molecules24101905
