Determination of Kanamycin by High Performance Liquid Chromatography
Abstract
1. Introduction
2. The Pre-Treatment Methods of Food Sample
2.1. Protein Precipitation
2.2. Liquid-Liquid Extraction
2.3. Solid-Phase Extraction
3. Liquid Chromatography Methods
3.1. UV and Fluorescence-Reserved Phase Liquid Chromatography after Derivatization
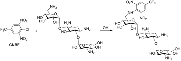
3.1.1. Pre-Column Derivatization
3.1.2. Post-Column Derivatization
3.2. ELSD and PED-Ion Pair Liquid Chromatography
3.2.1. Evaporative Light Scattering Detection (ELSD)
3.2.2. Pulsed Electrochemical Detection (PED)
3.3. Liquid Chromatography-Mass Spectrometry
3.3.1. IPLC-MS/MS
3.3.2. HILIC-MS/MS
3.3.3. ZIC-HILIC-MS/MS Method
3.3.4. Other HILIC-MS/MS Methods
4. Conclusions
Author Contributions
Funding
Acknowledgments
Conflicts of Interest
Abbreviations
| ACN | Acetonitrile |
| AGs | Aminoglycoside antibiotics |
| anti-TB drug | anti-Tuberculosis drug |
| APCI | Atmospheric Pressure Chemical Ionization |
| CBA | Carboxylic Acid |
| CBX | Carboxypropyl |
| CCα | Decision Limit |
| CCβ | Detection Capability |
| CNBF | 4-chloro-3,5-dinitrobenzotrifluoride |
| DBSs | Dried Blood Spots |
| DLLME-SFO | Dispersive Liquid-Liquid Microextraction Based on Solidification of Floating Organic Droplet |
| DPX | Disposable (or Dispersive) Pipet Extraction |
| ELSD | Evaporative light scattering detection |
| ESI | Electrospray ionization |
| FA | Fomic acid |
| FL | Fluorescence |
| FOMC-Cl | 9-Fluorenylmethyl chloroformate |
| HCl | Hydrochloricacid |
| HFBA | Heptafluorobutyric acid |
| HILIC | Hydrophilic interaction chromatography |
| HLB | Hydrophilic-lipophilic balanced |
| HPLC | High Performance Liquid Chromatography |
| IPLC | Ion-pair liquid Chromatography |
| IPR | Ion-pairing agent |
| IS | Internal standard |
| KANA | Kanamycin |
| LC-MS | Liquid chromatography-mass spectrometry methods |
| LLE | Liquid-liquid extraction |
| LOD | Limit of detection |
| LOQ | Limit of quantification |
| ME | Mercaptoethanol |
| MIPs | Molecularly imprinted polymers |
| MPA | Mobile phase A |
| MPB | Mobile phase B |
| MRLs | Maximum residue limits |
| MRM | Multiple reactions monitoring |
| MS | Mass Spectrometry |
| NITC | 1-Naphthyl isothiocyanate |
| NFPA | Nonafluoropentanoic acid |
| NPLC | Normal Phase liquid Chromatography |
| ODS | Octadecyl silane |
| OPA | O-phthaladehyde |
| PED | Pulsed Electrochemical Detection |
| PIC | Phenylisocyanate |
| Q1 | Precursor ion |
| Q3 | Product ion |
| RPLC | Reverse phase liquid chromatography |
| SPE | Solid-phase extraction |
| TCA | Trichloroacetic acid |
| TFA | Trifluoroacetic acid |
| UV | Ultraviolet |
| ZIC-HILIC | Zwitter ionic-hydrophilic interaction chromatography |
References
- Durante-Mangoni, E.; Grammatikos, A.; Utili, R.; Falagas, M.E. Do we still need the aminoglycosides? Int. J. Antimicrob. Ag. 2009, 33, 201–205. [Google Scholar] [CrossRef]
- Salimizand, H.; Zomorodi, A.R.; Mansury, D.; Khakshoor, M.; Azizi, O.; Khodaparast, S.; Baseri, Z.; Karami, P.; Zamanlou, S.; Farsiani, H.; et al. Diversity of aminoglycoside modifying enzymes and 16S rRNA methylases in Acinetobacter baumannii and Acinetobacter nosocomialis species in Iran; wide distribution of aadA1 and armA. Infect. Genet. Evol. 2018, 66, 195–199. [Google Scholar] [CrossRef]
- Lee, J.H.; Kim, H.J.; Suh, M.W.; Ahn, S.C. Sustained Fos expression is observed in the developing brainstem auditory circuits of kanamycin-treated rats. Neurosci. Lett. 2011, 505, 98–103. [Google Scholar] [CrossRef]
- Jiang, M.; Karasawa, T.; Steyger, P.S. Aminoglycoside-Induced Cochleotoxicity: A Review. Front. Cell Neurosci. 2017, 11, 308. [Google Scholar] [CrossRef] [PubMed]
- Shavit, M.; Pokrovskaya, V.; Belakhov, V.; Baasov, T. Covalently linked kanamycin-Ciprofloxacin hybrid antibiotics as a tool to fight bacterial resistance. Bioorgan. Med. Chem. 2017, 25, 2917–2925. [Google Scholar] [CrossRef] [PubMed]
- Jiang, Y.F.; Sun, D.W.; Pu, H.B.; Wei, Q.Y. Ultrasensitive analysis of kanamycin residue in milk by SERS-based aptasensor. Talanta 2019, 197, 151–158. [Google Scholar] [CrossRef] [PubMed]
- European Commission. European Commission Decision (2002/657/EC) of 12 August 2002 implementing council directive 96/23/EC concerning the performance of analytical methods and interpretation of results. Off. J. Eur. Communities 2002, 221, 8–36. [Google Scholar]
- Isoherranen, N.; Soback, S. Chromatographic methods for analysis of aminoglycoside antibiotics. J. AOAC Int. 1999, 82, 1017–1045. [Google Scholar]
- Blanchaert, B.; Poderós Jorge, E.; Jankovics, P.; Adams, E.; Van Schepdael, A. Assay of Kanamycin A by HPLC with Direct UV Detection. Chromatographia 2013, 76, 1505–1512. [Google Scholar] [CrossRef]
- Manyanga, V.; Dhulipalla, R.L.; Hoogmartens, J.; Adams, E. Improved liquid chromatographic method with pulsed electrochemical detection for the analysis of kanamycin. J. Chromatogr. A 2010, 1217, 3748–3753. [Google Scholar] [CrossRef]
- Khan, S.M.; Miguel, E.M.; de Souza, C.F.; Silva, A.R.; Aucelioa, R.Q. Thioglycolic acid-CdTe quantum dots sensing and molecularly imprinted polymer based solid phase extraction for the determination of kanamycin in milk, vaccine and stream water samples. Sensor. Actuat. B-Chem. 2017, 246, 444–454. [Google Scholar] [CrossRef]
- Wang, L.; Peng, J. LC Analysis of Kanamycin in Human Plasma, by Fluorescence Detection of the 9-Fluorenylmethyl Chloroformate Derivative. Chromatographia 2008, 69, 519–522. [Google Scholar] [CrossRef]
- Chen, S.H.; Liang, Y.C.; Chou, Y.W. Analysis of kanamycin A in human plasma and in oral dosage form by derivatization with 1-naphthyl isothiocyanate and high-performance liquid chromatography. J. Sep. Sci. 2006, 29, 607–612. [Google Scholar] [CrossRef]
- Kim, H.J.; Seo, K.A.; Kim, H.M.; Jeong, E.S.; Ghim, J.L.; Lee, S.H.; Lee, Y.M.; Kim, D.H.; Shin, J.G. Simple and accurate quantitative analysis of 20 anti-tuberculosis drugs in human plasma using liquid chromatography-electrospray ionization-tandem mass spectrometry. J. Pharmaceut. Biomed. Anal. 2015, 102, 9–16. [Google Scholar] [CrossRef] [PubMed]
- Cheng, C.; Liu, S.; Xiao, D.; Hansel, S. The Application of Trichloroacetic Acid as an Ion Pairing Reagent in LC–MS–MS Method Development for Highly Polar Aminoglycoside Compounds. Chromatographia 2010, 72, 133–139. [Google Scholar] [CrossRef]
- Han, M.; Jun, S.H.; Lee, J.H.; Park, K.U.; Song, J.; Song, S.H. Method for simultaneous analysis of nine second-line anti-tuberculosis drugs using UPLC-MS/MS. J. Antimicrob. Chemoth. 2013, 68, 2066–2073. [Google Scholar] [CrossRef] [PubMed]
- Dijkstra, J.A.; Sturkenboom, M.G.; Kv, H.; Koster, R.A.; Greijdanus, B.; Alffenaar, J.W. Quantification of amikacin and kanamycin in serum using a simple and validated LC-MS/MS method. Bioanalysis 2014, 6, 2125–2133. [Google Scholar] [CrossRef]
- Lee, K.; Jun, S.H.; Han, M.; Song, S.H.; Park, J.S.; Lee, J.H.; Park, K.U.; Song, J. Multiplex Assay of Second-Line Anti-Tuberculosis Drugs in Dried Blood Spots Using Ultra-Performance Liquid Chromatography-Tandem Mass Spectrometry. Ann. Lab. Med. 2016, 36, 489–493. [Google Scholar] [CrossRef] [PubMed]
- Morovjan, G.C.; Csokan, P.P.; Nemeth-Konda, L. HPLC Determination of Colistin and Aminoglycoside Antibiotics in Feeds by Post-Column Derivatization and Fluorescence Detection. Chromatographia 1998, 48, 32–36. [Google Scholar] [CrossRef]
- Arsand, J.B.; Jank, L.; Martins, M.T.; Hoff, R.B.; Barreto, F.; Pizzolato, T.M.; Sirtori, C. Determination of aminoglycoside residues in milk and muscle based on a simple and fast extraction procedure followed by liquid chromatography coupled to tandem mass spectrometry and time of flight mass spectrometry. Talanta 2016, 154, 38–45. [Google Scholar] [CrossRef]
- Bousova, K.; Senyuva, H.; Mittendorf, K. Quantitative multi-residue method for determination antibiotics in chicken meat using turbulent flow chromatography coupled to liquid chromatography-tandem mass spectrometry. J. Chromatogr. A 2013, 1274, 19–27. [Google Scholar] [CrossRef] [PubMed]
- Martos, P.A.; Jayasundara, F.; Dolbeer, J.; Jin, W.; Spilsbury, L.; Mitchell, M.; Varilla, C.; Shurmer, B. Multiclass, multiresidue drug analysis, including aminoglycosides, in animal tissue using liquid chromatography coupled to tandem mass spectrometry. J. Agr. Food Chem. 2010, 58, 5932–5944. [Google Scholar] [CrossRef]
- Hu, S.; Song, Y.h.; Bai, X.H.; Jiang, X.; Yang, X.L. Derivatization and Solidification of Floating Dispersive Liquid-phase Microextraction for the Analysis of Kanamycin in Wastewater and Soil by HPLC with Fluorescence Detection. CLEAN-Soil Air Water 2014, 42, 364–370. [Google Scholar] [CrossRef]
- Jia, X.Y.; Gong, D.R.; Xu, B.; Chi, Q.Q.; Zhang, X. Development of a novel, fast, sensitive method for chromium speciation in wastewater based on an organic polymer as solid phase extraction material combined with HPLC-ICP-MS. Talanta 2016, 147, 155–161. [Google Scholar] [CrossRef] [PubMed]
- Zhou, Q.X.; Lei, M.; Li, J.; Liu, Y.L.; Zhao, K.F.; Zhao, D.C. Magnetic solid phase extraction of N- and S-containing polycyclic aromatic hydrocarbons at ppb levels by using a zerovalent iron nanoscale material modified with a metal organic framework of type Fe@MOF-5, and their determination by HPLC. Microchim. Acta 2017, 184, 1029–1036. [Google Scholar] [CrossRef]
- Wang, T.; Zhu, Y.; Ma, J.; Xuan, R.; Gao, H.; Liang, Z.; Zhang, L.; Zhang, Y. Hydrophilic solid-phase extraction of melamine with ampholine-modified hybrid organic-inorganic silica material. J. Sep. Sci. 2015, 38, 87–92. [Google Scholar] [CrossRef] [PubMed]
- Yang, B.; Wang, L.; Luo, C.; Wang, X.; Sun, C. Simultaneous Determination of 11 Aminoglycoside Residues in Honey, Milk, and Pork by Liquid Chromatography with Tandem Mass Spectrometry and Molecularly Imprinted Polymer Solid Phase Extraction. J. AOAC Int. 2017, 100, 1869–1878. [Google Scholar] [CrossRef] [PubMed]
- Moreno-Gonzalez, D.; Hamed, A.M.; Garcia-Campana, A.M.; Gamiz-Gracia, L. Evaluation of hydrophilic interaction liquid chromatography-tandem mass spectrometry and extraction with molecularly imprinted polymers for determination of aminoglycosides in milk and milk-based functional foods. Talanta 2017, 171, 74–80. [Google Scholar] [CrossRef]
- Bohm, D.A.; Stachel, C.S.; Gowik, P. Validation of a method for the determination of aminoglycosides in different matrices and species based on an in-house concept. Food Addit. Contam. A 2013, 30, 1037–1043. [Google Scholar] [CrossRef]
- Wang, Y.; Li, S.; Zhang, F.; Lu, Y.; Yang, B.; Zhang, F.; Liang, X. Study of matrix effects for liquid chromatography-electrospray ionization tandem mass spectrometric analysis of 4 aminoglycosides residues in milk. J. Chromatogr. A 2016, 1437, 8–14. [Google Scholar] [CrossRef]
- Sun, Y.; Li, D.; He, S.; Liu, P.; Hu, Q.; Cao, Y. Determination and dynamics of kanamycin A residue in soil by HPLC with SPE and precolumn derivatization. Int. J. Environ. Anal. Chem. 2013, 93, 472–481. [Google Scholar] [CrossRef]
- Mahrouse, M.A. Simultaneous ultraperformance liquid chromatography/tandem mass spectrometry determination of four antihypertensive drugs in human plasma using hydrophilic-lipophilic balanced reversed-phase sorbents sample preparation protocol. Biomed. Chromatogr. 2018, 32, e4362. [Google Scholar] [CrossRef]
- Zhu, W.X.; Yang, J.Z.; Wei, W.; Liu, Y.F.; Zhang, S.S. Simultaneous determination of 13 aminoglycoside residues in foods of animal origin by liquid chromatography-electrospray ionization tandem mass spectrometry with two consecutive solid-phase extraction steps. J. Chromatogr. A 2008, 1207, 29–37. [Google Scholar] [CrossRef] [PubMed]
- Casado, N.; Damian, P.Q.; Morante-Zarcero, S.; Sierra, I. Bi-functionalized mesostructured silicas as reversed-phase/strong anion-exchange sorbents. Application to extraction of polyphenols prior to their quantitation by UHPLC with ion-trap mass spectrometry detection. Microchim. Acta 2019, 186, 1–13. [Google Scholar] [CrossRef] [PubMed]
- Zhou, Y.X.; Yang, W.J.; Zhang, L.Y.; Wang, Z.Y. Determination of Kanamycin A in Animal Feeds by Solid Phase Extraction and High Performance Liquid Chromatography with Pre-Column Derivatization and Fluorescence Detection. J. Liq. Chromatogr. R. T. 2007, 30, 1603–1615. [Google Scholar] [CrossRef]
- Chen, Y.; Chen, Q.; Tang, S.; Xiao, X. LC method for the analysis of kanamycin residue in swine tissues using derivatization with 9-fluorenylmethyl chloroformate. J. Sep. Sci. 2009, 32, 3620–3626. [Google Scholar] [CrossRef]
- Oertel, R.; Neumeister, V.; Kirch, W. Hydrophilic interaction chromatography combined with tandem-mass spectrometry to determine six aminoglycosides in serum. J. Chromatogr. A 2004, 1058, 197–201. [Google Scholar] [CrossRef]
- Tran, N.H.; Hu, J.Y.; Ong, S.L. Simultaneous determination of PPCPs, EDCs, and artificial sweeteners in environmental water samples using a single-step SPE coupled With HPLC-MS/MS and isotope dilution. Talanta 2013, 113, 82–92. [Google Scholar] [CrossRef]
- Kumar, P.; Rubies, A.; Companyo, R.; Centrich, F. Hydrophilic interaction chromatography for the analysis of aminoglycosides. J. Sep. Sci. 2011, 35, 498–504. [Google Scholar] [CrossRef] [PubMed]
- Kumar, P.; Rubies, A.; Companyo, R.; Centrich, F. Determination of aminoglycoside residues in kidney and honey samples by hydrophilic interaction chromatography-tandem mass spectrometry. J. Sep. Sci. 2012, 35, 2710–2717. [Google Scholar] [CrossRef]
- Diez, C.; Guillarme, D.; Staub Sporri, A.; Cognard, E.; Ortelli, D.; Edder, P.; Rudaz, S. Aminoglycoside analysis in food of animal origin with a zwitterionic stationary phase and liquid chromatography-tandem mass spectrometry. Anal. Chim. Acta 2015, 882, 127–139. [Google Scholar] [CrossRef] [PubMed]
- Lehotay, S.J.; Mastovska, K.; Lightfield, A.R.; Nunez, A.; Dutko, T.; Ng, C.; Bluhm, L. Rapid analysis of aminoglycoside antibiotics in bovine tissues using disposable pipette extraction and ultrahigh performance liquid chromatography-tandem mass spectrometry. J. Chromatog. A 2013, 1313, 103–112. [Google Scholar] [CrossRef]
- Tao, Y.; Chen, D.; Yu, H.; Huang, L.; Liu, Z.; Cao, X.; Yan, C.; Pan, Y.; Liu, Z.; Yuan, Z. Simultaneous determination of 15 aminoglycoside(s) residues in animal derived foods by automated solid-phase extraction and liquid chromatography-tandem mass spectrometry. Food Chem. 2012, 135, 676–683. [Google Scholar] [CrossRef] [PubMed]
- Ishii, R.; Horie, M.; Chan, W.; MacNeil, J. Multi-residue quantitation of aminoglycoside antibiotics in kidney and meat by liquid chromatography with tandem mass spectrometry. Food Addit. Contam. A 2008, 25, 1509–1519. [Google Scholar] [CrossRef] [PubMed]
- Figueiredo, L.; Erny, G.L.; Santos, L.; Alves, A. Applications of molecularly imprinted polymers to the analysis and removal of personal care products: A review. Talanta 2016, 146, 754–765. [Google Scholar] [CrossRef]
- Tan, F.; Sun, D.; Gao, J.; Zhao, Q.; Wang, X.; Teng, F.; Quan, X.; Chen, J. Preparation of molecularly imprinted polymer nanoparticles for selective removal of fluoroquinolone antibiotics in aqueous solution. J. Hazard. Mater. 2013, 244, 750–757. [Google Scholar] [CrossRef]
- Farouk, F.; Azzazy, H.M.; Niessen, W.M. Challenges in the determination of aminoglycoside antibiotics, a review. Anal. Chim. Acta 2015, 890, 21–43. [Google Scholar] [CrossRef]
- Patel, K.N.; Limgavkar, R.S.; Raval, H.G.; Patel, K.G.; Gandhi, T.R. High-Performance Liquid Chromatographic Determination of Cefalexin Monohydrate and Kanamycin Monosulfate with Precolumn Derivatization. J. Liq. Chromatogr. R. T. 2015, 38, 716–721. [Google Scholar] [CrossRef]
- Qian, K.; Tao, T.; Shi, T.; Fang, W.; Li, J.; Cao, Y. Residue determination of glyphosate in environmental water samples with high-performance liquid chromatography and UV detection after derivatization with 4-chloro-3,5-dinitrobenzotrifluoride. Anal. Chim. Acta 2009, 635, 222–226. [Google Scholar] [CrossRef]
- Megoulas, N.C.; Koupparis, M.A. Direct determination of kanamycin in raw materials, veterinary formulation and culture media using a novel liquid chromatography–evaporative light scattering method. Anal. Chim. Acta 2005, 547, 64–72. [Google Scholar] [CrossRef]
- Wei, J.; Shen, A.; Wan, H.; Yan, J.; Yang, B.; Guo, Z.; Zhang, F.; Liang, X. Highly selective separation of aminoglycoside antibiotics on a zwitterionic Click TE-Cys column. J. Sep. Sci. 2014, 37, 1781–1787. [Google Scholar] [CrossRef]
- Zhang, Y.; He, H.M.; Zhang, J.; Liu, F.J.; Li, C.; Wang, B.W.; Qiao, R.Z. HPLC-ELSD determination of kanamycin B in the presence of kanamycin A in fermentation broth. Biomed. Chromatogr. 2015, 29, 396–401. [Google Scholar] [CrossRef]
- Adams, E.; Dalle, J.; De, B.E.; De, S.I.; Roets, E.; Hoogmartens, J. Analysis of kanamycin sulfate by liquid chromatography with pulsed electrochemical detection. J. Chromatogr. A 1997, 766, 133–139. [Google Scholar] [CrossRef]
- Chopra, S.; Vanderheyden, G.; Hoogmartens, J.; Van Schepdael, A.; Adams, E. Comparative study on the analytical performance of different detectors for the liquid chromatographic analysis of tobramycin. J. Pharmaceut. Biomed. Anal. 2010, 53, 151–157. [Google Scholar] [CrossRef]
- Li, B.; Van Schepdael, A.; Hoogmartens, J.; Adams, E. Characterization of impurities in tobramycin by liquid chromatography-mass spectrometry. J. Chromatogr. A 2009, 1216, 3941–3945. [Google Scholar] [CrossRef]
- Gremilogianni, A.M.; Megoulas, N.C.; Koupparis, M.A. Hydrophilic interaction vs ion pair liquid chromatography for the determination of streptomycin and dihydrostreptomycin residues in milk based on mass spectrometric detection. J. Chromatogr. A 2010, 1217, 6646–6651. [Google Scholar] [CrossRef]
- Babin, Y.; Fortier, S. A high-throughput analytical method for determination of aminoglycosides in veal tissues by liquid chromatography/tandem mass spectrometry with automated cleanup. J. AOAC Int. 2007, 90, 1418–1426. [Google Scholar]
- Buszewski, B.; Noga, S. Hydrophilic interaction liquid chromatography (HILIC)—A powerful separation technique. Anal. Bioanal. Chem. 2012, 402, 231–247. [Google Scholar] [CrossRef]











| Detection | Matrix | Compound of Interest | Derivatization Agent and Condition | Extraction and Cleanup Methods | HPLC Type | Column Type and Temperature | Mobile Phases | Detector Wave Length | Recovery (%) | LOD | LOQ | Refs |
|---|---|---|---|---|---|---|---|---|---|---|---|---|
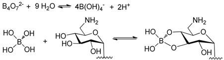
| UV | solvent | KANA A | disodium tetraborate, added in mobile phase | - | IPLC | Reversed-phase column, XBridge C18 (250 × 4.6 mm, 5 μm), 50 °C | 0.1 M disodium tetraborate (pH 9.0)-water (20:80, v/v) with 0.5 g/L sodium octanesulphonate, isocratic. | 205 nm | - | 38 mg/L | 128 mg/L | [9] |
| UV | soil | KANA A | CNBF, PH 9.0, 10 min, 70 °C | SPE, AccuBOND ODS-C18 | RPLC | Reversed-phase column, kromasil C18 (250 × 4.6 mm, 5 μm). | methanol-0.1% TFA in water, gradient | 245 nm | 72.3–92.5 | 0.006 mg/kg | 0.01 mg/kg | [31] |
| UV | solvent | KANA A | PIC, 10 min, 70 °C | - | RPLC | Reversed-phase column, Phenomenex C18 (250 × 4.6 mm, 5 μm) | ACN-1% tris buffer (40:60, v/v) pH adjusted to 6.5 with 1 N sulfuric acid, isocratic | 242 nm | 92–98 | 0.597 μg/mL | 1.021 μg/mL | [48] |
| UV | human plasma | KANA A | NITC in pyridine, 70 °C | Protein Precipitation with can | RPLC | Reversed-phase column, LichrocartPurospher STAR C18 (55 × 4 mm, 3 μm) | water-methanol (33:67, v/v), isocratic | 230 nm | 95.9–100.8 | 0.3 μg/mL | 1.2 μg/mL | [13] |
| FL | animal feeds | KANA A | OPA-ME | SPE, Oasis MCX cartridge (3 cc, 60 mg) | RPLC | Reversed-phase column, XTerraTMC18 (250 × 4.6 mm, 5 μm) | ammonium acetate solution-ACN (50:50, v/v), isocratic | Ex:230 nm; Em: 389 nm | 98.4–106 | 5 g/ton | 10 g/ton | [35] |
| FL | swine tissue | KANA A | FMOC-Cl, 15 min, RT | SPE, Oasis MCX cartridge (3 cc, 60 mg) | RPLC | Reversed-phase column, Waters symmetry C18 (150 × 3.9 mm, 5 μm) | ACN-water, gradient | Ex: 260 nm; Em: 315 nm | 80.7–91.3 | muscle: 0.03 mg/kg; liver: 0.06 mg/kg; kidney: 0.18 mg/kg | muscle: 0.1 mg/kg; liver: 0.2 mg/kg; kidney: 0.6 mg/kg. | [36] |
| FL | human plasma | KANA A | FMOC-Cl, 30 min, 25 °C | Protein Precipitation with ACN | RPLC | Reversed-phase column, Eclipse XDB C8 (150 × 4.6 mm, 5 μm), 25 °C | 70% ACN, isocratic | Ex: 268 nm; Em: 318 nm | 92.3–100.8 | 0.01 μg/mL | 0.05 μg/mL | [12] |
| FL | wastewater and soil | KANA A | FMOC-Cl, 15 min, RT | DLLME-SFO, extraction solvent: dodecanol. dispersive solvent: ethanol | RPLC | Reversed-phase column, Diamonsil C18 (250 × 4.6 mm, 5 μm), 40 °C | ACN-water (84:16 v/v), isocratic | Ex: 265 nm; Em: 315 nm | Wastewater: 91.3–102.7; soil: 90.3–107.7 | 0.012 ng/mL | 0.05 ng/mL | [23] |
| FL | pig feeds | KANA A | OPA-ME | Protein Precipitation with 0.1 M HCl | RPLC | Reversed-phase column, Eluent B: TSK ODS 120T (150 × 4.6 mm, 5 μm). Eluent C: Hypersil ODS for (150 × 3.2 mm, 5 μm), RT | Eluent B: THF-15 mM sodium sulphate, 3:97(v/v). Eluent C: 10 mM acetic acid-10 mM pentane sulphonate, 1.5:98.5 (v/v) | Ex: 355 nm; Em: 415 nm | 89.4–92.8 | 0.2 mg/L | 0.4 mg/L | [19] |
| Detection | Matrix | Compound of Interest | Extraction and Cleanup Methods | HPLC Type | Column Type and Temperature | Mobile Phases & IPR | Recovery (%) | LOD | LOQ | Refs |
|---|---|---|---|---|---|---|---|---|---|---|
| ELSD | solution | Kanamycin A, B and Sulfates | - | reversed-phase IPLC | Reversed-phase column, Spherisorb ODS-2 C18 (250 × 4.6 mm, 5 μm), RT | water-ACN (60:40, v/v), 11.6 mM HFBA, isocratic | Kanamycin A: 95–103, Kanamycin B: 95–105 | Kanamycin A: 0.2 μg/mL, Kanamycin B: 1.4 μg/mL. | Kanamycin A: 0.6 μg/mL, Kanamycin B: 4 μg/mL | [50] |
| ELSD | solution | Kanamycin sulfate | - | HILIC | Mixed-mode column, Click TE-Cys (150 × 4.6 mm, 5 μm), 30 °C | ammonium formate aqueous solution (A)-ACN (B)-water(C), gradient | - | - | - | [51] |
| ELSD | fermentation broth | Kanamycin B | CD180 resin column | reversed-phase IPLC | Reversed-phase column, Agilent SB-Aq C18, RT | water-ACN (65:35, v/v), 11.6 mM HFBA, isocratic | 93–96 | - | 0.05 mg/mL | [52] |
| PED | solution | Kanamycin | - | IPLC | Reversed-phase column, Platinum EPS (150 × 4.6 mm, 3 μm), 45 °C | MPA: sodium sulphate (5.0 g/L), sodium octanesulphonate (0.5 g/L) and 0.2M phosphate buffer pH 3.0 (50.0 mL/L) MPB: sodium sulphate (15 g/L), sodium octanesulphonate (0.5 g/L) and 0.2M phosphate buffer pH 3.0 (50.0 mL/L) Octanesulfonate as IPR, gradient | - | 1.7 ng | 5 ng | [10] |
| PED | solution | Kanamycin B,D | - | IPLC | Reversed-phase column, PLRP-S column packed with polystyrene-divinylbenzene, (250 × 4.6 mm, 8 μm), 45 °C | MPA: sodium sulphate (20 g/L), sodium octanesulphonate (1.3 g/L) and 0.2M phosphate buffer pH 3.0 (50.0 mL/L) MPB: sodium sulphate (60 g/L), sodium octanesulphonate (1.3 g/L) and 0.2M phosphate buffer pH 3.0 (50.0 mL/L). Octanesulfonate as IPR, gradient | - | Kanamycin D: 3 ng, Kanamycin B: 5 ng | Kanamycin D: 10 ng, Kanamycin B: 15 ng | [53] |
| Detection | Matrix | Compound of Interest | Extraction and Clean-up Methods | HPLC Type | Column Type and Temperature | Mobile Phases | Recovery (%) | LOD | LOQ | Refs |
|---|---|---|---|---|---|---|---|---|---|---|
| LC-MS/MS | rat plasma | kanamycin | Protein Precipitation with TCA added in sample | IPLC | Reversed-phase column, PhenomenexSynergi C12 Max-RP (50 × 2.0 mm, 4 μm) | 0.1% FA in water-0.1% FA in ACN, gradient | - | - | 20 ng/mL | [15] |
| UPLC-MS/MS TQD | bovine kidney, liver, muscle | kanamycin sulfate | SPE, Disposable pipet extraction (DPX), 5 mL tips containing 50 mg WCX sorbent | IPLC | Reversed-phase column, Waters BEH C18 (50 × 2.1 mm, 1.7 μm) | 20 mM HFBA in 5% ACN in H2O-20 mM HFBA in ACN, gradient, 3min. Tobramycin as IS | 84–92 | - | 0.005 μg/g | [42] |
| LC-MS/MS | muscle, kidney, liver, honey and milk | kanamycin | SPE, two-coupled Oasis HLB columns (3 mL/60 mg) | IPLC | Reversed-phase column, Capcell Pak C18 UG120 (150 × 2.0 mm, 5 μm), 30 °C | 20 mM HFBA in 5% ACN-20 mM HFBA in 50% ACN, gradient,10 min. 500 ng/mL Tobramycin as IS | 71–104 | CCα (μg/kg) 49.5 for muscle, 48.9 for liver, 49.1 for kidney, 9.8 for honey, 121.5 for milk | CCβ (μg/kg) 60.2 for muscle, 58.4 for liver, 59.4 for kidney, 12.4 for honey, 146.4 for milk. | [33] |
| LC-MS/MS TQD | chicken meat | kanamycin | Protein Precipitation with ACN: 2% TCA (45:55, v/v). On-line clean-up using column: Thermo Cyclone P (50 × 0.5 mm, 60 μm) | IPLC | Mixed-mode column, Thermo Betasil phenyl hexyl (50 × 2.1 mm,3 μm), RT | 1 mM HFBA and 0.5% FA in water-0.5% FA in ACN/methanol (1:1, v/v), gradient, 19 min | 109–120 | LOD: 10.0 μg/kg CCα: 121.3 μg/kg | LOQ: 25.0 μg/kg CCβ: 142.5 μg/kg | [21] |
| LC–MS/MS TQD | human serum | kanamycin | Protein Precipitation with TCA added in sample | IPLC | Reversed-phase column, Thermo ScientificTMHyPURITYTMC18 (5.0 × 2.1 mm, 3 μm) | water/methanol, containing 0.05% HFBA, gradient. Apramycin as IS | 93.9–98.4 | - | 100 ng/mL | [17] |
| LC-MS-TOF | bovine milk & swine, poultry muscle | kanamycin | Protein Precipitation with TCA added in sample, then supernatant go through a tube containing bulk C18 resin | IPLC | Reversed-phase column, Waters X-Terras C18 (100 × 2.1 mm, 3.5 μm) | 10 mM NFPA in H2O-10 mM NFPA in ACN, gradient | milk: 92, muscle: 36.8–67 | 15 ng/g for milk and muscle | 37.5 ng/g for milk, 25 ng/g for muscle | [20] |
| LC-MS/MS | muscle, liver, kidney, milk, egg | kanamycin | SPE, CBA cartridge (10 CC, 500 mg) | HILIC | HILIC column, CAPCELL PAK ST (150 × 2.0 mm, 4 μm), 30 °C | ACN-0.1%TFA, gradient | 75–98 | CCα (μg/kg) 8.1 for muscle, 8.5 for egg, 10.0 for liver, 11.2 for kidney, 11.5 for milk | CCβ (μg/kg) 17.6 for muscle, 21.9 for egg, 19.1 for liver, 17.4 for kidney, 18.5 for milk | [43] |
| LC-MS/MS | milk | kanamycin | Consecutive SPE of Sep-pak tC18 (6 mL/500 mg) and Oasis WCX (6 mL/500 mg), extraction with 3% TCA | HILIC | HILIC column, Click TE-Cys HILIC (150 × 3 mm, 3 μm) | 1% FA in H2O-1% FA in 80% ACN, both containing 30 mM ammonium formate, gradient, 10 min | 69.9–77.9 | 6.1μg/kg | 19.4μg/kg | [30] |
| UPLC-MS/MS | milk sample | Kanamycin acid salt | SPE, Supel, MISPE-Aminoglycoside cartridge (3 mL/50 mg) | HILIC | HILIC column, PhenomenexKinetex HILIC (100 × 2.1 mm, 1.7 μm), 35 °C | 150 mM ammonium acetate in 1% FA(A)-ACN(B), gradient, 12 min | 70–106 | 13.6 μg/kg | 45.5 μg/kg | [28] |
| LC-MS/MS | human plasma | kanamycin | Protein Precipitation with acidified methanol using HCl | HILIC | HILIC column, Atlantis HILIC (150 × 2.1 mm, 3 μm), 35 °C | 0.1% FA in water-0.1% FA in ACN, gradient, 9.0 min | 91.2–93.4 | - | 1 μg/mL | [14] |
| UPLC-MS/MS | human serum | kanamycin | Protein Precipitation with acidified methanol using HCl | HILIC | Reversed-phase column, Waters HSS T3 (50 × 2.1 mm, 1.8 μm), RT | 10 mM ammonium formate in 0.1% FA-ACN in 0.1% FA, gradient, 3 min | - | 0.5 μg/mL | 2.5 μg/mL | [16] |
| UPLC-MS/MS | dried blood spots | kanamycin | Protein Precipitation with acidified methanol using HCl | HILIC | Reversed-phase column, Waters Acquity HSS T3 (50 × 2.1 mm, 1.8 μm) | 10 mM ammonium formate in 0.1% FA-ACN in 0.1% FA, gradient, 4 min | - | 0.3 μg/mL | 5.0 μg/mL | [18] |
| Quattro Ultima LC-MS/MS | muscle and kidney | kanamycin | SPE, CBX cartridge (500 mg) | ZIC-HILIC | HILIC column, SeQuant ZIC-HILIC (100 × 2.1 mm, 5 μm), 32 °C | 1% FA in 150 mM ammonium acetate-ACN, gradient, 19 min | 81.1–104 | 18 ng/g | 58 ng/g | [44] |
| LC–MS/MS | muscle, kidney and milk | kanamycin | SPE, Chromabond HR-X cartridge (6 mL/500 mg) | ZIC-HILIC | HILIC column, SeQuant ZIC-HILIC (100 × 2.1 mm, 5 μm), 30 °C | 1% FA with 200 mM ammonium acetate in 5% ACN-ACN, gradient, 16 min | 95–102 | CCα (μg/kg) 118 for muscle, 2829 for kidney, 172 for milk | CCβ (μg/kg) 153 for muscle, 3401 for kidney, 215 for milk | [29] |
| Quattro Ultima UPLC-MS/MS | honey samples | Kanamycin A disulphatedihydrate | SPE, WCX cartridge, Accell Plus CM (6 mL/500 mg) | ZIC-HILIC | HILIC column, SeQuant ZIC-HILIC (150 × 2.1 mm, 3.5 μm), 40 °C | pH 4.5 with 125 mM ammonium formate-0.2% FA in ACN, gradient, 6 min. Amikacin as IS | 68–112 | 8 μg/L | 27 μg/L | [39] |
| Quattro Premier | kidney and honey | Kanamycin A disulphatedihydrate | SPE, WCX cartridge, Accell Plus CM (6 mL/500 mg) | ZIC-HILIC | HILIC column, SeQuant ZIC-HILIC (150 × 2.1 mm,3.5 μm), 40 °C | PH 4.5 with 175 mM ammonium formate-0.2% FA in ACN, gradient, 6 min. Amikacin as IS | 82–105 | CCα (μg/kg): 50 for honey, 2733 for kidney | CCβ (μg/kg) 67 for honey, 2965 for kidney. LOQ (μg/kg): 41 for honey, 85 for kidney. | [40] |
| UPLC-MS/MS | honey, milk and liver | kanamycin | SPE, Taurus WCX cartridge | ZIC-HILIC | Mixed-mode column, Obelisc R (100 × 2.1 mm, 5 μm), 40 °C | 0.1% FA in water-0.1% FA in ACN, gradient, 8.0 min | 58–96 | LOD (μg/kg): 1 for honey, 1 for milk. CCα: 3 for honey, 172 for milk, 793 for liver | LOQ (μg/kg): 3 for honey, 5 for milk. CCβ: 5 for honey, 175 for milk 881 for liver | [41] |
| HILIC-MS/MS | honey, milk and pork | kanamycin disulfate salt | SPE, Supel MISPE-Aminoglycoside cartridge (3 mL/50 mg) | ZIC-HILIC | HILIC column, Zwitterionic HILIC (50 × 2.1 mm, 3.5 μm), 40 °C | 175 mmol/L ammonium formate and 0.3% FA-methanol and 0.3% FA, gradient, 8 min | 72.8–97 | 10 μg/kg for honey, 11 μg/kg for milk and pork | 34 μg/kg for honey, 36 μg/kg for milk and pork | [27] |
| HILIC-MS/MS | human serum | kanamycin | SPE, Oasis MCX cartridge (30 mg) | ZIC-HILIC | HILIC column, SeQuant ZIC-HILIC (100 × 2.1 mm) | A (5/95/0.2, v/v/v) and B (95/5/0.2, v/v/v) each being a mixture of ACN: 2 mM ammonium acetate: FA, gradient | - | - | 100 ng/mL | [37] |
| LC-MS/MS | veal muscle | kanamycin disulfate salt | LLE, defatting using hexane | ZIC-HILIC | HILIC column, ZIC-HILIC (50 × 2.1 mm, 5 μm) | 0.4% formic acid inwater/ACN, gradient, 15 min | - | 6 ng/g | - | [22] |
© 2019 by the authors. Licensee MDPI, Basel, Switzerland. This article is an open access article distributed under the terms and conditions of the Creative Commons Attribution (CC BY) license (http://creativecommons.org/licenses/by/4.0/).
Share and Cite
Zhang, X.; Wang, J.; Wu, Q.; Li, L.; Wang, Y.; Yang, H. Determination of Kanamycin by High Performance Liquid Chromatography. Molecules 2019, 24, 1902. https://doi.org/10.3390/molecules24101902
Zhang X, Wang J, Wu Q, Li L, Wang Y, Yang H. Determination of Kanamycin by High Performance Liquid Chromatography. Molecules. 2019; 24(10):1902. https://doi.org/10.3390/molecules24101902
Chicago/Turabian StyleZhang, Xingping, Jiujun Wang, Qinghua Wu, Li Li, Yun Wang, and Hualin Yang. 2019. "Determination of Kanamycin by High Performance Liquid Chromatography" Molecules 24, no. 10: 1902. https://doi.org/10.3390/molecules24101902
APA StyleZhang, X., Wang, J., Wu, Q., Li, L., Wang, Y., & Yang, H. (2019). Determination of Kanamycin by High Performance Liquid Chromatography. Molecules, 24(10), 1902. https://doi.org/10.3390/molecules24101902






