Design, Synthesis, and Neuroprotective Effects of a Series of Pyrazolines against 6-Hydroxydopamine-Induced Oxidative Stress
Abstract
1. Introduction
2. Results and Discussion
3. Materials and Methods
3.1. Chemistry
3.1.1. General Procedure for the Synthesis of the Compounds
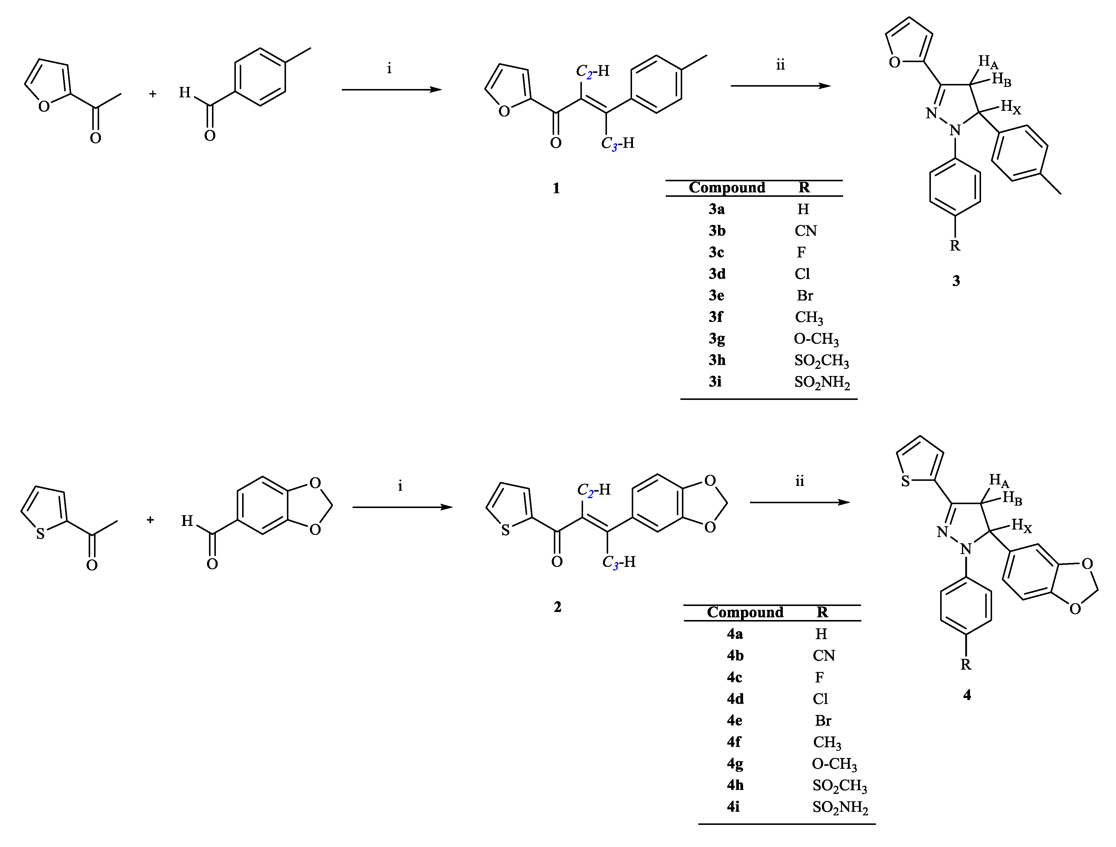
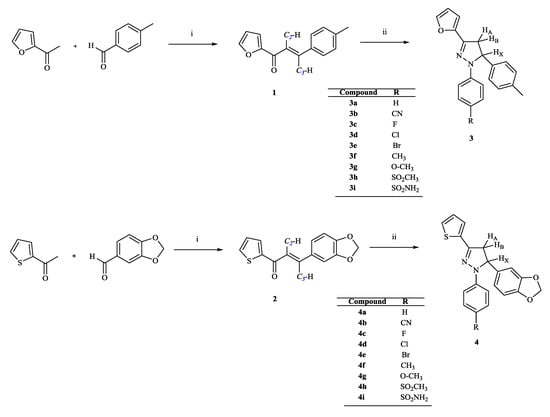
1-(2-Furanyl/thienyl)-3-aryl-2-propen-1-one (1, 2)
1-(Phenyl/4-Substituted phenyl)-3-(2-furanyl/thienyl)-5-aryl-2-pyrazolines (3a–i, 4a–i)
3.2. Pharmacology
3.2.1. Cell Culture
3.2.2. Determination of Non-Cytotoxic Concentrations
3.2.3. Determination of Neuroprotective Activity against 6-OHDA-Induced Neurodegeneration
3.2.4. Statistical Analysis
3.3. Prediction of Pharmacokinetic Parameters
4. Conclusions
Author Contributions
Funding
Conflicts of Interest
References
- Peden, A.H.; Ironside, J.W. Molecular pathology in neurodegenerative diseases. Curr. Drug Targets 2012, 13, 1548–1559. [Google Scholar] [CrossRef] [PubMed]
- Dugger, B.N.; Dickson, D.W. Pathology of neurodegenerative diseases. Cold Spring Harb. Perspect. Biol. 2017, 9, a028035. [Google Scholar] [CrossRef] [PubMed]
- Gitler, A.D.; Dhillon, P.; Shorter, J. Neurodegenerative disease: Models, mechanisms, and a new hope. Dis. Model. Mech. 2017, 10, 499–502. [Google Scholar] [CrossRef] [PubMed]
- Yacoubian, T.A. Neurodegenerative disorders: Why do we need new therapies? In Drug Discovery Approaches for the Treatment of Neurodegenerative Disorders: Alzheimer’s Disease, 1st ed.; Adejare, A., Ed.; Academic Press: London, UK, 2017; Volume 1, pp. 1–16. [Google Scholar]
- Brettschneider, J.; Del Tredici, K.; Lee, V.M.; Trojanowski, J.Q. Spreading of pathology in neurodegenerative diseases: A focus on human studies. Nat. Rev. Neurosci. 2015, 16, 109–120. [Google Scholar] [CrossRef] [PubMed]
- Williams-Gray, C.H.; Worth, P.F. Parkinson’s disease. Medicine 2016, 44, 542–546. [Google Scholar] [CrossRef]
- Deng, H.; Wang, P.; Jankovic, J. The genetics of Parkinson disease. Ageing Res. Rev. 2018, 42, 72–85. [Google Scholar] [CrossRef] [PubMed]
- Lees, A.J.; Hardy, J.; Revesz, T. Parkinson’s disease. Lancet 2009, 373, 2055–2066. [Google Scholar] [CrossRef]
- Youdim, M.B.; Kupershmidt, L.; Amit, T.; Weinreb, O. Promises of novel multi-target neuroprotective and neurorestorative drugs for Parkinson’s disease. Parkinsonism Relat. Disord. 2014, 20, 132–136. [Google Scholar] [CrossRef]
- Yacoubian, T.A.; Standaert, D.G. Targets for neuroprotection in Parkinson’s disease. Biochim. Biophys. Acta 2009, 1792, 676–687. [Google Scholar] [CrossRef] [PubMed]
- Newland, B.; Dunnett, S.B.; Dowd, E. Targeting delivery in Parkinson’s disease. Drug Discov. Today 2016, 21, 1313–1320. [Google Scholar] [CrossRef] [PubMed]
- Dexter, D.T.; Jenner, P. Parkinson disease: From pathology to molecular disease mechanisms. Free Radic. Biol. Med. 2013, 62, 132–144. [Google Scholar] [CrossRef] [PubMed]
- Al-Radaideh, A.M.; Rababah, E.M. The role of magnetic resonance imaging in the diagnosis of Parkinson’s disease: A review. Clin. Imaging 2016, 40, 987–996. [Google Scholar] [CrossRef] [PubMed]
- Eriksen, J.L.; Petrucelli, L. Parkinson’s disease—Molecular mechanisms of disease. Drug Discov. Today Dis. Mech. 2004, 1, 399–405. [Google Scholar] [CrossRef]
- De Virgilio, A.; Greco, A.; Fabbrini, G.; Inghilleri, M.; Rizzo, M.I.; Gallo, A.; Conte, M.; Rosato, C.; Ciniglio Appiani, M.; de Vincentiis, M. Parkinson’s disease: Autoimmunity and neuroinflammation. Autoimmun. Rev. 2016, 15, 1005–1011. [Google Scholar] [CrossRef] [PubMed]
- Ellis, J.M.; Fell, M.J. Current approaches to the treatment of Parkinson’s disease. Bioorg. Med. Chem. Lett. 2017, 27, 4247–4255. [Google Scholar] [CrossRef] [PubMed]
- Shimohama, S.; Sawada, H.; Kitamura, Y.; Taniguchi, T. Disease model: Parkinson’s disease. Trends Mol. Med. 2003, 9, 360–365. [Google Scholar] [CrossRef]
- Rezak, M. Current pharmacotherapeutic treatment options in Parkinson’s disease. Dis. Mon. 2007, 53, 214–222. [Google Scholar] [CrossRef] [PubMed]
- Abushouk, A.I.; Negida, A.; Ahmed, H.; Abdel-Daim, M.M. Neuroprotective mechanisms of plant extracts against MPTP induced neurotoxicity: Future applications in Parkinson’s disease. Biomed. Pharmacother. 2017, 85, 635–645. [Google Scholar] [CrossRef] [PubMed]
- Francardo, V.; Schmitz, Y.; Sulzer, D.; Cenci, M.A. Neuroprotection and neurorestoration as experimental therapeutics for Parkinson’s disease. Exp. Neurol. 2017, 298, 137–147. [Google Scholar] [CrossRef] [PubMed]
- Kuruvilla, K.P.; Nandhu, M.S.; Paul, J.; Paulose, C.S. Oxidative stress mediated neuronal damage in the corpus striatum of 6-hydroxydopamine lesioned Parkinson’s rats: Neuroprotection by serotonin, GABA and bone marrow cells supplementation. J. Neurol. Sci. 2013, 331, 31–37. [Google Scholar] [CrossRef] [PubMed]
- Lazzarini, M.; Martin, S.; Mitkovski, M.; Vozari, R.R.; Stühmer, W.; Bel, E.D. Doxycycline restrains glia and confers neuroprotection in a 6-OHDA Parkinson model. Glia 2013, 61, 1084–1100. [Google Scholar] [CrossRef] [PubMed]
- Magalingam, K.B.; Radhakrishnan, A.; Haleagrahara, N. Protective effects of flavonol isoquercitrin, against 6-hydroxy dopamine (6-OHDA)-induced toxicity in PC12 cells. BMC Res. Notes 2014, 7, 49. [Google Scholar] [CrossRef] [PubMed]
- Park, H.J.; Zhao, T.T.; Lee, K.S.; Lee, S.H.; Shin, K.S.; Park, K.H.; Choi, H.S.; Lee, M.K. Effects of (-)-sesamin on 6-hydroxydopamine-induced neurotoxicity in PC12 cells and dopaminergic neuronal cells of Parkinson’s disease rat models. Neurochem. Int. 2015, 83, 19–27. [Google Scholar] [CrossRef] [PubMed]
- Shaaban, M.R.; Mayhoub, A.S.; Farag, A.M. Recent advances in the therapeutic applications of pyrazolines. Expert. Opin. Ther. Pat. 2012, 22, 253–291. [Google Scholar] [CrossRef] [PubMed]
- Marella, A.; Ali, M.R.; Alam, M.T.; Saha, R.; Tanwar, O.; Akhter, M.; Shaquiquzzaman, M.; Alam, M.M. Pyrazolines: A biological review. Mini. Rev. Med. Chem. 2013, 13, 921–931. [Google Scholar] [CrossRef] [PubMed]
- Alex, J.M.; Kumar, R. 4,5-Dihydro-1H-pyrazole: An indispensable scaffold. J. Enzyme Inhib. Med. Chem. 2014, 29, 427–442. [Google Scholar] [CrossRef] [PubMed]
- Tripathi, A.C.; Upadhyay, S.; Paliwal, S.; Saraf, S.K. Privileged scaffolds as MAO inhibitors: Retrospect and prospects. Eur. J. Med. Chem. 2018, 145, 445–497. [Google Scholar] [CrossRef] [PubMed]
- Özdemir, A.; Altıntop, M.D.; Kaplancıklı, Z.A.; Turan-Zitouni, G.; Akalın Ciftçi, G.; Ulusoylar Yıldırım, Ş. Synthesis of 1-acetyl-3-(2-thienyl)-5-aryl-2-pyrazoline derivatives and evaluation of their anticancer activity. J. Enzyme Inhib. Med. Chem. 2013, 28, 1221–1227. [Google Scholar] [CrossRef] [PubMed]
- Özdemir, A.; Altıntop, M.D.; Kaplancıklı, Z.A.; Turan-Zitouni, G.; Akalın Ciftçi, G.; Demirci, F. Synthesis and biological evaluation of a new series of pyrazolines as new anticandidal agents. Pharm. Chem. J. 2014, 48, 603–612. [Google Scholar] [CrossRef]
- Koçyiğit-Kaymakçıoğlu, B.; Beyhan, N.; Tabanca, N.; Ali, A.; Wedge, D.E.; Duke, S.O.; Bernier, U.R.; Khan, I.A. Discovery and structure activity relationships of 2-pyrazolines derived from chalcones from a pest management perspective. Med. Chem. Res. 2015, 24, 3632–3644. [Google Scholar] [CrossRef]
- Sever, B.; Altıntop, M.D.; Karaca Gencer, H.; Kapkac, H.A.; Atli, O.; Baysal, M.; Özdemir, A. Synthesis of new thiazolyl-pyrazoline derivatives and evaluation of their antimicrobial, cytotoxic and genotoxic effects. Lett. Drug Des. Discov. 2018, 15, 744–756. [Google Scholar] [CrossRef]
- Özdemir, A.; Altıntop, M.D.; Kaplancıklı, Z.A.; Can, Ö.D.; Demir Özkay, Ü.; Turan-Zitouni, G. Synthesis and evaluation of new 1,5-diaryl-3-[4-(methyl-sulfonyl)phenyl]-4,5-dihydro-1H-pyrazole derivatives as potential antidepressant agents. Molecules 2015, 20, 2668–2684. [Google Scholar] [CrossRef] [PubMed]
- Özdemir, A.; Sever, B.; Altıntop, M.D. New benzodioxole-based pyrazoline derivatives: Synthesis and anticandidal, in silico ADME, molecular docking studies. Lett. Drug Des. Discov. 2018. [Google Scholar] [CrossRef]
- Frecer, V.; Berti, F.; Benedetti, F.; Miertus, S. Design of peptidomimetic inhibitors of aspartic protease of HIV-1 containing-PheψPr-core and displaying favourable ADME-related properties. J. Mol. Graph. Model. 2008, 27, 376–387. [Google Scholar] [CrossRef] [PubMed]
- Pardridge, W.M. Drug and gene delivery to the brain: The vascular route. Neuron 2002, 36, 555–558. [Google Scholar] [CrossRef]
- Ghose, A.K.; Herbertz, T.; Hudkins, R.L.; Dorsey, B.D.; Mallamo, J.P. Knowledge-based, central nervous system (CNS) lead selection and lead optimization for CNS drug discovery. ACS Chem. Neurosci. 2012, 3, 50–68. [Google Scholar] [CrossRef] [PubMed]
- Durham, E.; Dorr, B.; Woetzel, N.; Staritzbichler, R.; Meiler, J. Solvent accessible surface area approximations for rapid and accurate protein structure prediction. J. Mol. Model. 2009, 15, 1093–1108. [Google Scholar] [CrossRef] [PubMed]
- Lipinski, C.A.; Lombardo, F.; Dominy, B.W.; Feeney, P.J. Experimental and computational approaches to estimate solubility and permeability in drug discovery and development settings. Adv. Drug Deliv. Rev. 2001, 46, 3–26. [Google Scholar] [CrossRef]
- Jorgensen, W.L.; Duffy, E.M. Prediction of drug solubility from structure. Adv. Drug Deliv. Rev. 2002, 54, 355–366. [Google Scholar] [CrossRef]
- Zhang, M.; Xi, J.; Ruzi, R.; Li, N.; Wu, Z.; Li, W. Domino-fluorination-protodefluorination enables decarboxylative cross-coupling of α-oxocarboxylic acids with styrene via photoredox catalysis. J. Org. Chem. 2017, 82, 9305–9311. [Google Scholar] [CrossRef] [PubMed]
- Basaif, S.A.; Sobahi, T.R.; Khalil, A.K.; Hassan, M.A. Stereoselective crossed-aldol condensation of hetarylmethyl ketones with aromatic aldehydes in water: Synthesis of (2E)-3-aryl-1-hetarylprop-2-en-1-ones. Bull. Korean Chem. Soc. 2005, 26, 1677–1681. [Google Scholar] [CrossRef]
- Adibi, H.; Hajipour, A.R.; Jafari, H. Metal-free oxidative dehydrogenation of imidazolines and pyrazolines using silica-adsorbed peroxymonosulfate under aprotic and almost neutral conditions. Chem. Heterocycl. Comp. 2008, 44, 802. [Google Scholar] [CrossRef]
- Pragst, F.; Weber, F.G. Electrochemical behavior of N-aryl-Δ2-pyrazolines. VIII. Relations between the anodic and cathodic behavior and the absorption and fluorescence properties of N-aryl-Δ2-pyrazolines. J. Prakt. Chem. 1976, 318, 51–68. [Google Scholar] [CrossRef]
- Basaif, S.A.; Albar, H.A.; Faidallah, H.M. Synthesis of new pyrazoline and pyrazole derivatives. Indian J. Heterocycl. Chem. 1995, 5, 121–124. [Google Scholar]
- Engür, S.; Dikmen, M.; Öztürk, Y. Comparison of antiproliferative and apoptotic effects of a novel proteasome inhibitor MLN2238 with bortezomib on K562 chronic myeloid leukemia cells. Immunopharmacol. Immunotoxicol. 2016, 38, 87–97. [Google Scholar] [CrossRef] [PubMed]
- Liu, H.; Mao, P.; Wang, J.; Wang, T.; Xie, C.H. Allicin protects PC12 cells against 6-OHDA-induced oxidative stress and mitochondrial dysfunction via regulating mitochondrial dynamics. Cell. Physiol. Biochem. 2015, 36, 966–979. [Google Scholar] [CrossRef] [PubMed]
- Zou, X.D.; Guo, S.Q.; Hu, Z.W.; Li, W.L. NAMPT protects against 6-hydroxydopamine-induced neurotoxicity in PC12 cells through modulating SIRT1 activity. Mol. Med. Rep. 2016, 13, 4058–4064. [Google Scholar] [CrossRef] [PubMed]
Sample Availability: Samples of the compounds 1, 2, 3a-i, 4a-i are available from the authors. |



| Compound | IC50 (µg/mL) | Compound | IC50 (µg/mL) |
|---|---|---|---|
| 1 | 12 | 2 | 345 |
| 3a | >400 | 4a | >400 |
| 3b | 204 | 4b | >400 |
| 3c | 353 | 4c | >400 |
| 3d | >400 | 4d | >400 |
| 3e | 398 | 4e | >400 |
| 3f | >400 | 4f | 239 |
| 3g | >400 | 4g | 252 |
| 3h | >400 | 4h | >400 |
| 3i | 205 | 4i | >400 |
| 6-OHDA | 150 µM | 6-OHDA | 150 µM |
| Compound | Cell Viability % | Compound | Cell Viability % |
|---|---|---|---|
| Control | 100 | Control | 100 |
| 6-OHDA | 57 | 6-OHDA | 58 |
| 1 (100 µg/mL) | 3 | 2 | 66 |
| 1 (10 µg/mL) | 60 | 4a | 41 |
| 3a | 64 | 4b | 46 |
| 3b | 71 | 4c | 24 |
| 3c | 65 | 4d | 44 |
| 3d | 63 | 4e | 59 |
| 3e | 70 | 4f | 38 |
| 3f | 69 | 4g | 31 |
| 3g | 71 | 4h | 77 |
| 3h | 80 | 4i | 13 |
| 3i | 70 |
| Compound | QplogBB * (−3 to 1.2) | CNS * (−2 to 2) | SASA * (300.0 to 1000.0) | Human Oral Absorption% * (>80% Is High, <25% Is poor) | Rule of Five ** | Rule of Three *** |
|---|---|---|---|---|---|---|
| 1 | −0.12 | 0 | 482 | 100 | 0 | 0 |
| 2 | 0.02 | 1 | 467 | 100 | 0 | 0 |
| 3a | 0.49 | 2 | 594 | 100 | 1 | 1 |
| 3b | −0.31 | 0 | 632 | 100 | 0 | 1 |
| 3c | 0.60 | 2 | 603 | 100 | 1 | 1 |
| 3d | 0.66 | 2 | 618 | 100 | 1 | 1 |
| 3e | 0.67 | 2 | 623 | 100 | 1 | 1 |
| 3f | 0.48 | 2 | 626 | 100 | 1 | 1 |
| 3g | 0.42 | 1 | 631 | 100 | 1 | 1 |
| 3h | −0.40 | 0 | 680 | 100 | 0 | 1 |
| 3i | −1.08 | −2 | 666 | 93 | 0 | 1 |
| 4a | 0.59 | 2 | 582 | 100 | 1 | 1 |
| 4b | −0.16 | 0 | 620 | 100 | 0 | 1 |
| 4c | 0.71 | 2 | 591 | 100 | 1 | 1 |
| 4d | 0.77 | 2 | 606 | 100 | 1 | 1 |
| 4e | 0.78 | 2 | 611 | 100 | 1 | 1 |
| 4f | 0.59 | 2 | 614 | 100 | 1 | 1 |
| 4g | 0.53 | 2 | 619 | 100 | 1 | 1 |
| 4h | −0.26 | 0 | 669 | 100 | 0 | 0 |
| 4i | −0.91 | −1 | 654 | 92 | 0 | 0 |
© 2018 by the authors. Licensee MDPI, Basel, Switzerland. This article is an open access article distributed under the terms and conditions of the Creative Commons Attribution (CC BY) license (http://creativecommons.org/licenses/by/4.0/).
Share and Cite
Özdemir, A.; Sever, B.; Altıntop, M.D.; Kaya Tilki, E.; Dikmen, M. Design, Synthesis, and Neuroprotective Effects of a Series of Pyrazolines against 6-Hydroxydopamine-Induced Oxidative Stress. Molecules 2018, 23, 2151. https://doi.org/10.3390/molecules23092151
Özdemir A, Sever B, Altıntop MD, Kaya Tilki E, Dikmen M. Design, Synthesis, and Neuroprotective Effects of a Series of Pyrazolines against 6-Hydroxydopamine-Induced Oxidative Stress. Molecules. 2018; 23(9):2151. https://doi.org/10.3390/molecules23092151
Chicago/Turabian StyleÖzdemir, Ahmet, Belgin Sever, Mehlika Dilek Altıntop, Elif Kaya Tilki, and Miriş Dikmen. 2018. "Design, Synthesis, and Neuroprotective Effects of a Series of Pyrazolines against 6-Hydroxydopamine-Induced Oxidative Stress" Molecules 23, no. 9: 2151. https://doi.org/10.3390/molecules23092151
APA StyleÖzdemir, A., Sever, B., Altıntop, M. D., Kaya Tilki, E., & Dikmen, M. (2018). Design, Synthesis, and Neuroprotective Effects of a Series of Pyrazolines against 6-Hydroxydopamine-Induced Oxidative Stress. Molecules, 23(9), 2151. https://doi.org/10.3390/molecules23092151

