Increasing Yield and Antioxidative Performance of Litchi Pericarp Procyanidins in Baked Food by Ultrasound-Assisted Extraction Coupled with Enzymatic Treatment
Abstract
1. Introduction
2. Results and Discussion
2.1. Effect of Combined Enzyme/Ultrasonic Treatment on the Yield of LPOPC
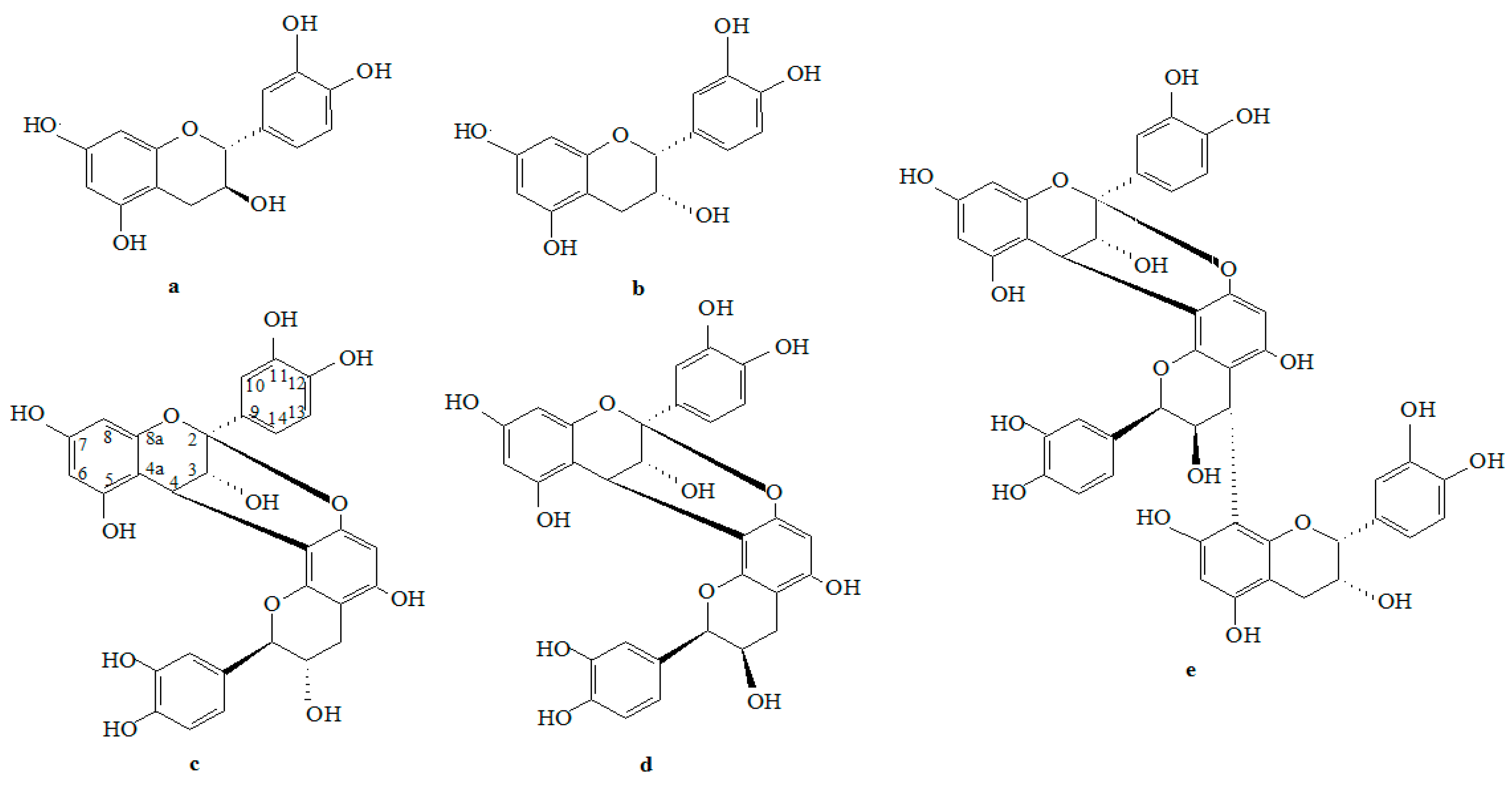
2.2. Oligomericcomposition of Different Litchi Pericarp Procyanidins
2.3. Inhibitory Effect of LPOPC on Lipid Oxidation in Cookies
2.3.1. Sensory Evaluation and Proper Addition of LPOPC
2.3.2. Changes of Procyanidins in Baked Food after Storage
3. Material and Methods
3.1. Chemicals and Materials
3.2. Determination of Procyanidin Content
3.3. Enzyme Treatment-Assisted Extraction of LPOPC
3.4. Enzyme/Ultrasound-Assisted Extraction of LPOPC
3.5. Analysis of Oligomeric Composition of LPOPC by HPLC
3.6. Determination of LPOPC on Lipid Peroxidation in Baked Food
3.6.1. Manual Preparation of Cookies
3.6.2. Determination of the Optimum Addition of LPOPC
3.6.3. Evaluation on Changes of LPOPC After Storage
3.7. Statistical Analysis
4. Conclusions
Author Contributions
Funding
Acknowledgments
Conflicts of Interest
References
- Liu, S.C.; Lin, J.T.; Wang, C.K.; Chen, H.Y.; Yang, D.J. Antioxidant properties of various solvent extracts from lychee (Litchi chinenesis Sonn.) flowers. Food Chem. 2009, 114, 577–581. [Google Scholar] [CrossRef]
- Liu, L.; Xie, B.; Cao, S.; Yang, E.; Xu, X.; Guo, S. A-type procyanidins from Litchi chinensis pericarp with antioxidant activity. Food Chem. 2007, 105, 1446–1451. [Google Scholar] [CrossRef]
- Prasad, K.N.; Bao, Y.; Yang, S.Y.; Chen, Y.L.; Zhao, M.M.; Ashraf, M.; Jiang, Y.M. Identification of phenolic compounds and appraisal of antioxidant and antityrosinase activities from litchi (Litchi sinensis Sonn.) seeds. Food Chem. 2009, 116, 1–7. [Google Scholar] [CrossRef]
- Li, S.; Zhu, Z.; Pinto, C.A.; Barba, F.J.; He, J.; Montesano, D.; Saraiva, J.A. Evaluation of gliadins-diglycosylated cyanidins interaction from litchi pericarp through ultraviolet and fluorescence measurements. Int. J. Food Prop. 2017, 20, S2418–S2428. [Google Scholar] [CrossRef]
- Li, S.; Xiao, J.; Chen, L.; Hu, C.; Chen, P.; Xie, B.; Sun, Z. Identification of a-series oligomeric procyanidins from pericarp of Litchi chinensis by FT-ICR-MS and LC-MS. Food Chem. 2012, 135, 31–38. [Google Scholar] [CrossRef]
- Vivas, N.; Glories, Y.; Pianet, I.; Barbe, B.; Laguerre, M. A complete structural and conformational investigation of procyanidin A2 dimer. Tetrahedron Lett. 1996, 37, 2015–2018. [Google Scholar] [CrossRef]
- Li, W.G.; Zhang, X.Y.; Wu, Y.J.; Tian, X. Anti-inflammatory effect and mechanism of proanthocyanidins from grape seeds. Acta Pharmacol. Sin. 2001, 22, 1117–1120. [Google Scholar] [PubMed]
- Gossé, F.; Guyot, S.; Roussi, S.; Lobstein, A.; Fischer, B.; Seiler, N.; Raul, F. Chemopreventive properties of apple procyanidins on human colon cancer-derived metastatic SW620 cells and in a rat model of colon carcinogenesis. Carcinogenesis 2005, 26, 1291–1295. [Google Scholar] [CrossRef] [PubMed]
- Xu, J.; Shuang, R.; Xie, B.; Sun, Z.; Li, Z.; Wu, H.; Ping, Y.; Hao, L.; Liu, L. Procyanidins extracted from the lotus seedpod ameliorate age-related antioxidant deficit in aged rats. J. Gerontol. A Biol. Sci. Med. Sci. 2010, 65, 236–241. [Google Scholar] [CrossRef] [PubMed]
- Rong, S.; Zhao, S.; Kai, X.; Zhang, L.; Zhao, Y.; Xiao, X.; Bao, W.; Liu, L. Procyanidins extracted from the litchi pericarp attenuate atherosclerosis and hyperlipidemia associated with consumption of a high fat diet in apolipoprotein-E knockout mice. Biomed. Pharm. 2018, 97, 1639–1644. [Google Scholar] [CrossRef] [PubMed]
- Gong, Y.; Fang, F.; Zhang, X.; Liu, B.; Luo, H.; Li, Z.; Zhang, X.; Zhang, Z.; Pang, X. B type and complex a/b type epicatechin trimers isolated from litchi pericarp aqueous extract show high antioxidant and anticancer activity. Int. J. Mol. Sci. 2018, 19, 301. [Google Scholar] [CrossRef] [PubMed]
- Li, X.; Wu, Q.; Sui, Y.; Li, S.; Xie, B.; Sun, Z. Dietary supplementation of A-type procyanidins from litchi pericarp improves glucose homeostasis by modulating mTOR signaling and oxidative stress in diabetic ICR mice. J. Funct. Foods 2018, 44, 155–165. [Google Scholar] [CrossRef]
- Moriwaki, Y.; Okuda, C.; Yamamoto, A.; Ka, T.; Tsutsumi, Z.; Takahashi, S.; Yamamoto, T.; Kitadate, K.; Wakame, K. Effects of Oligonol®, an oligomerized polyphenol formulated from lychee fruit, on serum concentration and urinary excretion of uric acid. J. Funct. Foods 2011, 3, 13–16. [Google Scholar] [CrossRef]
- Zhu, Z.; Guan, Q.; Koubaa, M.; Barba, F.J.; Roohinejad, S.; Cravotto, G.; Yang, X.; Li, S.; He, J. HPLC-DAD-ESI-MS(2) analytical profile of extracts obtained from purple sweet potato after green ultrasound-assisted extraction. Food Chem. 2017, 215, 391–400. [Google Scholar] [CrossRef] [PubMed]
- Benucci, I.; Segade, S.R.; Cerreti, M.; Giacosa, S.; Paissoni, M.A.; Liburdi, K.; Bautista-Ortín, A.B.; Gómez-Plaza, E.; Gerbi, V.; Esti, M. Application of enzyme preparations for extraction of berry skin phenolics in withered winegrapes. Food Chem. 2017, 237, 756–765. [Google Scholar] [CrossRef] [PubMed]
- Liu, H.; Du, X.; Yuan, Q.; Zhu, L. Optimisation of enzyme assisted extraction of silybin from the seeds of Silybum marianum by Box-Behnken experimental design. Phytochem. Anal. 2010, 20, 475–483. [Google Scholar] [CrossRef] [PubMed]
- Zhu, Z.; Li, S.; He, J.; Thirumdas, R.; Montesano, D.; Barba, F.J. Enzyme-assisted extraction of polyphenol from edible lotus (Nelumbo nucifera) rhizome knot: Ultra-filtration performance and HPLC-MS 2 profile. Food Res. Int. 2018, 111, 291–298. [Google Scholar] [CrossRef] [PubMed]
- Chemat, F.; Rombaut, N.; Sicaire, A.G.; Meullemiestre, A.; Fabiano-Tixier, A.S.; Abert-Vian, M. Ultrasound assisted extraction of food and natural products. Mechanisms, techniques, combinations, protocols and applications. A review. Ultrason. Sonochem. 2017, 34, 540–560. [Google Scholar] [CrossRef] [PubMed]
- Barba, F.J.; Brianceau, S.; Turk, M.; Boussetta, N.; Vorobiev, E. Effect of alternative physical treatments (ultrasounds, pulsed electric fields, and high-voltage electrical discharges) on selective recovery of bio-compounds from fermented grape pomace. Food Bioproc. Technol. 2015, 8, 1139–1148. [Google Scholar] [CrossRef]
- Zhao, Z.Y.; Zhang, Q.; Li, Y.F.; Dong, L.L.; Liu, S.L. Optimization of ultrasound extraction of Alisma orientalis polysaccharides by response surface methodology and their antioxidant activities. Carbohydr. Polym. 2015, 119, 101–109. [Google Scholar] [CrossRef] [PubMed]
- Bhutada, P.R.; Jadhav, A.J.; Pinjari, D.V.; Nemade, P.R.; Jain, R.D. Solvent assisted extraction of oil from Moringa oleifera Lam. seeds. Ind. Crop. Prod. 2016, 82, 74–80. [Google Scholar] [CrossRef]
- Zhou, W.J.; Sun, Z.D.; Xie, B.J.; Yang, E.N. Extraction, purification and antioxidation evaluation of procyanidins from Litchi chinensis pericarp. Food Sci. 2009, 30, 68–71. [Google Scholar]
- Yong, S.; Yan, Z.; Li, X.; Li, S.; Xie, B.; Sun, Z. Characterization and preparation of oligomeric procyanidins from Litchi chinensis pericarp. Fitoterapia 2016, 112, 168–174. [Google Scholar]
- Li, S.; Chen, L.; Yang, T.; Wu, Q.; Lv, Z.; Xie, B.; Sun, Z. Increasing antioxidant activity of procyanidin extracts from the pericarp of Litchi chinensis processing waste by two probiotic bacteria bioconversions. J. Agric. Food Chem. 2013, 61, 2506–2512. [Google Scholar] [CrossRef] [PubMed]
- Yun, S. Relationship between the degree of polymerization and antioxidant activities of grape seed procyanidins. Food Ferment. Ind. 2006, 32, 41–46. [Google Scholar]
- Gu, L.; House, S.E.; Wu, X.; Ou, B.; Prior, R.L. Procyanidin and catechin contents and antioxidant capacity of cocoa and chocolate products. J. Agric. Food. Chem. 2006, 54, 4057–4061. [Google Scholar] [CrossRef] [PubMed]
- Zhou, H.C.; Tam, N.F.; Lin, Y.M.; Ding, Z.H.; Chai, W.M.; Wei, S.D. Relationships between degree of polymerization and antioxidant activities: A study on proanthocyanidins from the leaves of a medicinal mangrove plant ceriops tagal. PLoS ONE 2014, 9, e107606. [Google Scholar] [CrossRef] [PubMed]
- Lotito, S.B.; Actisgoretta, L.; Renart, M.L.; Caligiuri, M.; Rein, D.; Schmitz, H.H.; Steinberg, F.M.; Keen, C.L.; Fraga, C.G. Influence of oligomer chain length on the antioxidant activity of procyanidins. Biochem. Biophys. Res. Commun. 2000, 276, 945–951. [Google Scholar] [CrossRef] [PubMed]
- Porter, L.J.; Hrstich, L.N.; Chan, B.G. The conversion of procyanidins and prodelphinidins to cyanidin and delphinidin. Phytochem. 1986, 25, 223–230. [Google Scholar] [CrossRef]
- Baş, D.; Boyacı, İ.H. Modeling and optimization I: Usability of response surface methodology. J. Food Eng. 2007, 78, 836–845. [Google Scholar] [CrossRef]
| Sample Availability: Samples of the compounds are available from the authors. | 






| Run (No.) | Ultrasound Power (W) | Ultrasound Time (min) | Liquid-to-Solid Ratio (mL/g) | Yield (%) | 
|---|---|---|---|---|
| 1 | 300 (0 | 60 (−1) | 20 (1) | 9.45 | 
| 2 | 400 (1) | 80 (0) | 10 (−1) | 11.85 | 
| 3 | 200 (−1) | 80 (0) | 20 (1) | 9.60 | 
| 4 | 300 (0) | 80 (0) | 15 (0) | 13.75 | 
| 5 | 300 (0) | 80 (0) | 15 (0) | 13.05 | 
| 6 | 200 (−1) | 100 (1) | 15 (0) | 8.25 | 
| 7 | 400 (1) | 80 (0) | 20 (1) | 12.95 | 
| 8 | 200 (−1) | 80 (0) | 10 (−1) | 11.85 | 
| 9 | 300 (0) | 80 (0) | 15 (0) | 12.45 | 
| 10 | 200 (−1) | 60 (−1) | 15 (0) | 10.20 | 
| 11 | 300 (0) | 80 (1) | 15 (0) | 12.30 | 
| 12 | 300 (0) | 60 (−1) | 10 (−1) | 12.15 | 
| 13 | 300 (0) | 100 (1) | 20 (1) | 9.70 | 
| 14 | 300 (0) | 100 (1) | 10 (−1) | 11.35 | 
| 15 | 300 (0) | 80 (0) | 15 (0) | 14.20 | 
| 16 | 400 (1) | 100 (1) | 15 (0) | 8.25 | 
| 17 | 400 (1) | 60 (−1) | 15 (0) | 10.50 | 
| Source | df | SS | MS | F-Value | Prob > F | Significant | 
|---|---|---|---|---|---|---|
| X1 | 1 | 1.67 | 1.67 | 1.72 | 0.2316 | |
| X2 | 1 | 2.82 | 2.81 | 2.91 | 0.1320 | |
| X3 | 1 | 3.78 | 3.78 | 3.90 | 0.0890 | |
| X1 × X2 | 1 | 0.023 | 0.023 | 0.023 | 0.8833 | |
| X1 × X3 | 1 | 2.81 | 2.81 | 2.89 | 0.1329 | |
| X2 × X3 | 1 | 0.28 | 0.28 | 0.28 | 0.6106 | |
| X12 | 1 | 9.16 | 9.16 | 9.44 | 0.0180 | |
| X22 | 1 | 23.75 | 23.75 | 24.47 | 0.0017 | |
| X32 | 1 | 0.053 | 0.053 | 0.055 | 0.8214 | |
| Models | 9 | 46.38 | 5.15 | 5.31 | 0.0193 | Significant | 
| Residual | 7 | 6.79 | 0.97 | |||
| Lack of fit | 3 | 4.11 | 1.37 | 2.04 | 0.2509 | Not Significant | 
| Pure error | 4 | 2.68 | 0.67 | |||
| Cor Total | 16 | 53.17 | ||||
| Adeq Precision | 6.386 | |||||
| C.V. (%) | 8.73 | 
| No. | Storage Time (d) | PV (meq/Kg) | 
|---|---|---|
| 1 | 4 | 50.45 ± 2.14 | 
| 2 | 7 | 68.21 ± 1.85 | 
| 3 | 10 | 113.94 ± 4.39 | 
| Factors | Levels | ||
|---|---|---|---|
| −1 | 0 | 1 | |
| Ultrasound Power (X1)/W | 200 | 300 | 400 | 
| Ultrasound Time (X2)/min | 60 | 80 | 100 | 
| Liquid-to-material ratio (X3)/mL/g | 10 | 15 | 20 | 
© 2018 by the authors. Licensee MDPI, Basel, Switzerland. This article is an open access article distributed under the terms and conditions of the Creative Commons Attribution (CC BY) license (http://creativecommons.org/licenses/by/4.0/).
Share and Cite
Li, S.; Yang, Y.; Li, J.; Zhu, Z.; Lorenzo, J.M.; Barba, F.J. Increasing Yield and Antioxidative Performance of Litchi Pericarp Procyanidins in Baked Food by Ultrasound-Assisted Extraction Coupled with Enzymatic Treatment. Molecules 2018, 23, 2089. https://doi.org/10.3390/molecules23092089
Li S, Yang Y, Li J, Zhu Z, Lorenzo JM, Barba FJ. Increasing Yield and Antioxidative Performance of Litchi Pericarp Procyanidins in Baked Food by Ultrasound-Assisted Extraction Coupled with Enzymatic Treatment. Molecules. 2018; 23(9):2089. https://doi.org/10.3390/molecules23092089
Chicago/Turabian StyleLi, Shuyi, Yanjie Yang, Junsheng Li, Zhenzhou Zhu, Jose M. Lorenzo, and Francisco J. Barba. 2018. "Increasing Yield and Antioxidative Performance of Litchi Pericarp Procyanidins in Baked Food by Ultrasound-Assisted Extraction Coupled with Enzymatic Treatment" Molecules 23, no. 9: 2089. https://doi.org/10.3390/molecules23092089
APA StyleLi, S., Yang, Y., Li, J., Zhu, Z., Lorenzo, J. M., & Barba, F. J. (2018). Increasing Yield and Antioxidative Performance of Litchi Pericarp Procyanidins in Baked Food by Ultrasound-Assisted Extraction Coupled with Enzymatic Treatment. Molecules, 23(9), 2089. https://doi.org/10.3390/molecules23092089
 
         
                                                




 
       