Next Article in Journal
Hepatic Metabolism of Sakuranetin and Its Modulating Effects on Cytochrome P450s and UDP-Glucuronosyltransferases
Previous Article in Journal
Phytochemical Composition of the Decoctions of Greek Edible Greens (Chórta) and Evaluation of Antioxidant and Cytotoxic Properties
 
 
Font Type:
Arial Georgia Verdana
Font Size:
Aa Aa Aa
Line Spacing:
Column Width:
Background:
Article

Design, Synthesis and Biological Evaluation of 6,7-Disubstituted-4-phenoxyquinoline Derivatives Bearing Pyridazinone Moiety as c-Met Inhibitors

1
Jiangxi Provincial Key Laboratory of Drug Design and Evaluation, School of Pharmacy, Jiangxi Science & Technology Normal University, Nanchang 330013, China
2
Teaching and Research Department of Mathematics and Chemistry, Nanchang Health School, Nanchang 330006, China
*
Authors to whom correspondence should be addressed.
Molecules 2018, 23(7), 1543; https://doi.org/10.3390/molecules23071543
Submission received: 1 June 2018 / Revised: 18 June 2018 / Accepted: 19 June 2018 / Published: 26 June 2018
(This article belongs to the Section Medicinal Chemistry)

Abstract

Deregulation of the receptor tyrosine kinase mesenchymal epithelial transition factor (MET) has been implicated in several human cancers and is an attractive target for small molecule drug discovery. Herein, a series of 6,7-disubstituted-4-phenoxyquinoline derivatives bearing pyridazinone derivatives were designed, synthesized and evaluated for their enzymatic inhibitory activity against c-Met kinase and cellular potency against A549, HepG2, and MCF-7 cell lines. Eight of them are equal to more active than positive control Foretinib against one or more cell lines and enzyme. The most promising compound 53 showed superior activity to Foretinib, which possessed excellent c-Met kinase inhibition on a singledigital nanomolar level (IC50 = 0.6 nM), and cancer cells of A549 (IC50 = 0.003 µM), HepG2 (IC50 = 0.49 µM) and MCF-7 cells (IC50 = 0.006 µM). The result of AO single staining indicated that compound 53 could induce remarkable apoptosis of HepG2 cell.

Graphical Abstract

1. Introduction

The c-mesenchymal-epithelia transition factor (c-Met), known as hepatocyte growth factor receptor (HGFR), belongs to the receptor tyrosine kinases (RTKs) subfamily [1,2]. The MET receptor tyrosine kinase is activated by binding to its ligand HGF, resulting in the dimerization of the receptor. Then, Tyr1234/1235 is autophosphorylated, and activates the kinase domain and downstream multiple signaling pathways (including RAS/MAPK and PI3K/AKT), which promotes cell proliferation, survival, movement, invasion, angiogenesis and morphogenesis [3,4]. Aberrant c-Met signaling activation due to gene amplification, rearrangement, point mutations, and autocrine or paracrine HGF stimulation has been implicated in many types of human malignancies [5,6,7,8,9]. In addition, HGF/c-Met over-activation is involved in mediating intrinsic or acquired resistance to target therapies. For example, amplification of the Met has been detected in 20% of acquired resistance to epidermal growth factor receptor (EGFR) inhibitors [10,11]. Therefore, the c-Met axis has emerged as an attractive target for targeted cancer therapy.
In recent years, significant progress has been made in the development of small molecule c-Met kinase inhibitors. Cabozantinib (1 XL-184) is the first multitarget small molecule c-Met kinase inhibitor approved by the FDA for the treatment of medullary thyroid carcinoma on 29 November 2012 [12]. Foretinib (2 GSK1363089), the first small molecule oral inhibitor to enter clinical trials, is in clinical stage II currently [13]. Many other kinds of c-Met inhibitor are also reported, such as TAS-115, Altiratinib, Merestinib, BMS-777607 (36, Figure 1) [14,15,16,17,18].
Because of its excellent efficacy in vivo, favorable pharmacokinetics and preclinical safety profiles, Foretinib was chosen as an extension of our work on the development of novel potent c-Met inhibitors. And many researches have shown that almost all Foretinib derivatives containing 5-atom linker between the aminophenoxy at C-4 position of quinoline and aryl group, which we called “5-atom regulation” exhibit excellent activity. The ‘5-atom regulation’ have two obvious structural characteristics. One is that there is six chemical bonds distance between aminophenoxy at C-4 position of quinoline moiety and aryl group moiety, and the other one is that the “six chemical bonds linker” contains hydrogen, oxygen, and nitrogen atoms which could form hydrogen-bond donor or acceptor (Figure 1) [19].
In our previous research, most of these compounds showed potent activity, especially the most promising compound 7 (Figure 2) with the enzyme activity IC50 values in the nanomole level [20]. The SARs and docking study exhibited that 6-oxo-pyridazinone moiety may be benefit to the in vitro activity. From the 3D model of Foretinib, we can know that Foretinib contain an intermolecular hydrogen (distance = 1.64 A°) in the 5-atom linker. And inspired by compound 7, 4-oxo-pyridazinone was introduced into 5-atom linker moiety to limit the conformation deeply.
The biological activity of compound 7 incorporating pyrrolo[2,3-b]pyridine was not optimal. Therefore, reference was made to the target compound Foretinib, which retains the 3-carbon tether at the 7 position of quinolone. In order to further increase the solubility of the compound to increase activity, the morpholinyl group was replaced by other water-soluble substituents, including piperidinyl, 4-methylpiperidinyl and 4-methylpiperazine, to observe the effects of the different cyclic tertiary amino groups on activity of the novel compounds. Furthermore, various substituents (R2) were introduced at the phenyl ring to investigate their effects on activity. Accordingly, we designed a novel series of 6,7-disubstituted-4-phenoxy quinoline derivatives bearing pyridazinone moiety.
The target compounds were evaluated for their enzymatic inhibitory activity against c-Met kinase and cellular potency in human liver cancer (HepG2), human breast cancer (MCF-7) and human lung adenocarcinoma (A549) cell lines [21]. Moreover, AO single staining and docking studies were presented in this paper as well.

2. Results and Discussion

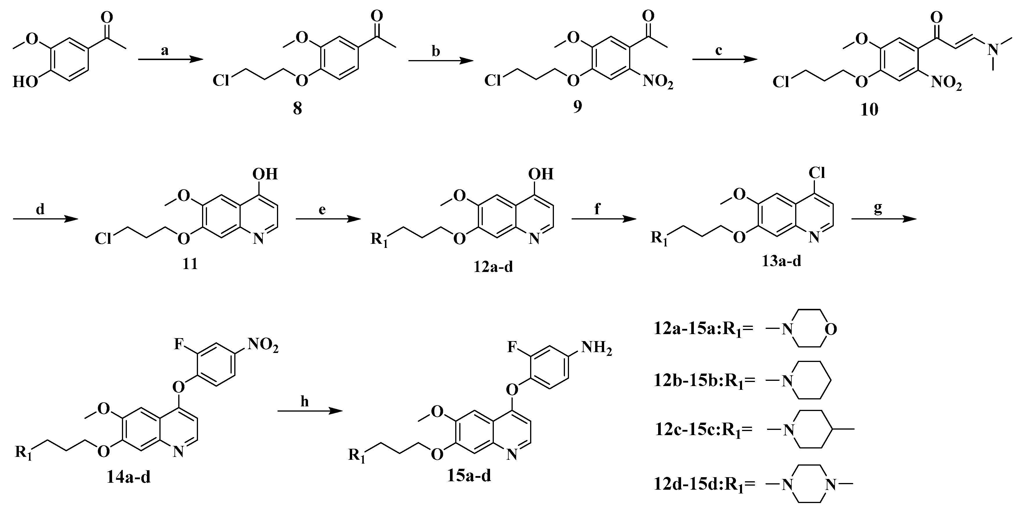
The synthesis of the key intermediates of 6,7-disubstituted-4-phenoxyquinolines 15ad was illustrated in Scheme 1. The commercially available starting material 1-(4-hydroxy-3-methoxyphenyl) ethanone was alkylated with 1-bromo-3-chloropropane in acetone under basic condition to provide compound 8, which was converted to nitro compound 9 using fuming nitric acid as nitration reagent in dichloromethane at −20 °C for 6 h. Next, condensation of 9 with dimethyl formamide dimethyl acetal (DMF-DMA) in refluxing toluene afforded yellow solid 10, which was reduced and cyclized using glacial acetic acid and iron powder to provide hydroxy-quinoline 11 with a high yield and purity in a single step. Substitution of 11 with excessive secondary amines (piperidine, 4-methyl piperidine, morpholine, and pyrrolidine) in acetonitrile at reflux provided intermediates 12ad, which were treated with phosphorus oxychloride to afford chloro-quinoline 13ad, respectively. Further, the obtained compounds 13ad were etherified with 2-fluoro-4-nitrophenol in chlorobenzene to obtain purified compounds 14ad, which were reduced using iron powder and catalytic amounts of ammonium chloride in ethanol to obtain amides 15ad [22].
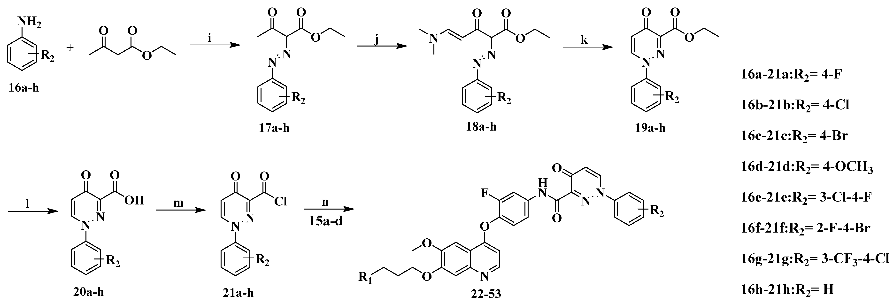
The target compounds 2253 were prepared as illustrated in Scheme 2 Substituted anilines 16ah were diazotized and then reacted with ethyl aceto-acetate to get compounds 17ah, which condensed with DMF-DMA to yield compounds 18ah. Following by cyclization reaction, hydrolysis reaction and chlorination reaction, 21ah were obtained. Finally, reaction of amides 15ad with acyl chlorides 21ah promoted by DIPEA in dichloromethane at room temperature yielded the target compounds 2253.

2.1. Biological Evaluation

Taking Foretinib as reference compound, the target compounds (2253) were evaluated for the activity against c-Met kinase and the cytotoxicity against three cancer cell lines A549, HepG2, MCF-7 by 3-(4,5-dimethylthiazolyl-2)-2, 5-diphenyltetrazolium bromide (MTT) cell proliferation assay. The results expressed as IC50 values were summarized in Table 1, and the values were the average of at least two independent experiments.
As illustrated in Table 1, most target compounds showed moderate to significant cytotoxic activities against one or more tested cancer cells with potencies in the single digit micromole range, which suggested that the introduction “5-atom linker” to 4-oxo-pyridazinone framework maintained the potent cytotoxic activity. Six compounds (37, 41, 42, 43, 52 and 53) exhibited promising cytotoxicity with IC50 values ranging from 0.002 to 1.03 µM, which was comparable to that of Foretinib. It is worth noting that the most significant candidate compound 53 showed significant activity with IC50 values of 0.003 µM, 0.49 µM, 0.006 µM for A549, HepG2 and MCF-7 cells, respectively, which were higher than those of Foretinib against A549 cell (0.26 µM), HepG2 cell (0.84 µM), MCF-7 cell (2.76 µM).
Target compounds were further determined for c-Met kinase activity through homogenous time-resolved fluorescence (HTRF) assays. As shown in Table 1, most target compounds exhibited moderate to excellent c-Met enzymatic potency with IC50 values ranging, suggesting that the inhibition of c-Met may be a main mechanism for the antitumor activity of the prepared compounds. Four compounds 41 (0.9 nM), 42 (1.2 nM), 52 (0.8 nM) and 53 (0.6 nM) exhibited promising enzymatic activity, which were more active than reference compound Foretinib (1.8 nM).
The structure-activity relationship (SAR) was commenced by the morpholinyl group was replaced by other water-soluble substituents, including piperidinyl, 4-methylpiperidinyl and 4-methylpiperazine. The pharmacological activity data indicated that the R1 group affected the activity dramatically. The compounds (2229) substituted with morpholine have slight reduced the cytotoxicity activity against A549, HepG-2 and MCF-7 cell lines than the compounds (3053) substituted with other three water-soluble groups (piperidine, 4-methylpiperidine and 4-methylpiperazine). Furthermore, the cell lines data revealed a clear preference for activity when the R1 group was 4-methyl piperazinyl group, which indicated that a more water-soluble cyclic tertiary amino group at the C-7 position of quinoline contributed to the potency of the target compounds. Such as, the IC50 values of compound 52 were (0.8 nM, 0.04 µM) against c-Met kinases and A549 cell lines, which were clearly lower than that of compound 28 (382.0 nM, 5.25 µM), compound 36 (11.0 nM, 0.79 µM) and compound 44 (19.0 nM, 0.15 µM).
Further investigations were performed to study the effect of different substituents on the phenyl ring on the cytotoxic activity. In general, it seems to be that target compounds with no less than one electron-withdrawing groups (EWGs) showed better in vitro activity, and the aryl group substituted with double-EWGs is more preferred. For instance, the enzymatic potency of double-EWGs compounds 34 (2.0 nM), 35 (8.0 nM) and 36 (11.0 nM), were clearly lower than that of mono-EWGs compounds 30 (17.0 nM), 31 (78.0 nM) and 32 (246.0 nM). These data also showed that when there is only one EWGs (4-F, 4-Cl, 4-Br), the compounds substituted with the substituent of increasing electrophilic ability were beneficial to the antiproliferative activity. In addition, compounds without substituent group on aryl group exhibit the best activity, such as compounds 29, 37 and 53. However, compound 45 is an exception, compounds substituted with the substituent of increasing electrophilic ability were beneficial to the antiproliferative activity.

2.2. Acridine Orange (AO) Staining Is Used to Analyze Cell Morphological Changes of the HepG2 Cells

Potential compound 53 was selected for validation and evaluation of inhibition of cell proliferation and induction of apoptosis in HepG2 cells. AO staining fluorescence analysis results showed that compared to the control group (Figure 3a), compound 53 (Figure 3b) significantly inhibited HepG2 cells proliferation and induced apoptosis at the concentration of 0.01 μM. Moreover, from the results of the inverted fluorescence microscopy, it can be observed that the cells in the control group (Figure 3a) were full and the edge was clear, which was added without nothing. And HepG2 cells were treated with compound 53, it can be seen in (Figure 3b) that the HepG2 cells showed obviously shrink into chromatin, with sharp edges and consistent with the phenomenon of apoptosis.

2.3. Molecular Docking Study

In order to explore the binding mode of the target compounds with the c-Met active site, molecular docking simulation studies were performed using AutoDock vina v1.02 (The Scripps Research Institute, La Jolla, CA, USA) and Discovery Studio 3.5 (Dassault Systèmes BIOVIA, San Diego, CA, USA). Based on the in vitro inhibition results, we selected compound 53, our best c-Met inhibitor in this study, as the ligand example, and the structure of c-Met was selected as the docking model (PDB ID code: 3LQ8).
The binding modes of compound 53 and c-Met were depicted in Figure 4a,b. In the binding mode, compound 53 is potently bound to the active binding site of c-Met via four hydrogen bonds and one pi–pi interactions. The the quinoline group (A ring) formed one hydrogen bond and one pi–pi interaction with MET 1160 and TYR 1159 respectively. Then the oxygen atom of the 5-atom linker moiety and the nitrogen atom of the pyridazinone moiety (C ring) formed bidentate hydrogen bond with the amino hydrogen of ASP 1222. In addition, the oxygen atom of the pyridazinone moiety (C ring) formed one hydrogen bond with the amino hydrogen of LYS 1110. In general, these results of the molecular docking study showed that 6,7-disubstituted-4-phenoxyquinoline derivatives bearing pyridazinone moiety could act synergistically to interact with the active binding site of c-Met, suggested that compound 53 may be a potential inhibitor of c-Met.

3. Experimental Section

3.1. General Information

All melting points were obtained on a Büchi Melting Point B-540 apparatus (Büchi Labortechnik, Flawil, Switzerland) and were uncorrected. Nuclear Magnetic Resonance (NMR) spectra were performed using Bruker 400 MHz spectrometers (Bruker Bioscience, Billerica, MA, USA) with tetramethylsilane (TMS) as an internal standard. Mass spectra (MS) were taken in electrospray ionization (ESI) mode on Agilent 1100 Liquid chromatography–mass spectrometry (LC-MS) (Agilent, Palo Alto, CA, USA). Thin layer chromatography (TLC) analysis was carried out on silica gel plates GF254 (Qingdao Haiyang Chemical, Qingdao, China). All materials were obtained from commercial suppliers and used without purification, unless otherwise specified. Yields were optimized.

3.2. Chemistry

3.2.1. Preparation of 3-Fluoro-4-(6,7-disubstituted quinolin-4-yloxy)anilines 15ad

The preparation of the key intermediates 15ad has been illustrated in detail in our previous work [22], and so the synthesis method would not be listed here.

3.2.2. Preparation of Compounds 17ah

Appropriate substituted anilines 16ah (0.101 mol) was added to the mixture solution of hydrogen chloride/water (1:1, 10 mL), sodium nitrite (0.1 mol) and stirred for 5 min at 0 °C, respectively. Then the mixture was added to the ethanol solution which ammonium acetate (1 mol) and ethyl acetoacetate (0.1 mol) were dissolved in. The reaction was monitored by TLC until completed. Finally the solution was filtered and washed with a plenty of water to give a yellow solid.

3.2.3. Preparation of Compounds 18ah

The yellow solid 17ah (0.115 mol) was dissolve in the DMF-DMA (50 mL), heated from 0 °C to 100 °C and stirred for 3–4 h. After the reaction was completed, poured the mixture to the petroleum ether and filtered to obtain the compounds 18ah.

3.2.4. Preparation of Compounds 19ah

The compounds 18ah were dissolved in ethanol at 80 °C. Then 10% NaOH was added in the reaction solution slowly, refluxed for 1 h and monitored by TLC. The solution was concentrated in vacuum, the residue was resolved with dichloromethane (300 mL), washed with brine (60 mL), dried over anhydrous Na2SO4, and concentrated in vacuum to give the yellow solids 19ah.

3.2.5. Preparation of Compounds 20ah

Ethanol (100 mL) and water (10 mL) were added to a flask containing compounds 19ah (0.01 mol), and then sodium hydroxide (0.02 mol) was added portionwise, and the reaction was carried out at room temperature. As the reaction progresses, a large amount of precipitate is generated. Water was added to dissolve the precipitate, and then activated carbon was added to remove the pigment and remove it from the aqueous solution. The filtrate was extracted and the pH adjusted to 3-4 with hydrochloric acid to give a white solid 20ah.

3.2.6. Preparation of Compounds 21ah

The compounds 20ah (1 mmol) and appropriate DMF (0.1 mmol) were dissolved in dichloromethane, then appropriate oxalyl chloride was added slowly and monitored by TLC. The solution was used for next step without further purification.

3.2.7. Preparation of Compounds 2253

A solution of phenylpyrdazinone carbonyl chloride 21ah (0.82 mmol) in dichloromethane (10 mL) was added drop-wise to a solution of aniline 15ad (0.41 mmol) and diisopropylethylamine (0.49 mmol) in dichloromethane (10 mL) in an ice bath. Upon completion of the addition, the reaction mixture was removed from the ice bath and placed in room temperature for 30 min and monitored by TLC. The mixture was concentrated in vacuum to yield 2253 which were recrystallized by isopropanol.
N-(3-Fluoro-4-((6-methoxy-7-(3-morpholinopropoxy)quinolin-4-yl)xy)phenyl)-1-4-fluorophenyl)-4-oxo-1,4-dihydropyridazine-3-carboxamide (22). Light yellow solid. 37.2% yield, m.p: 152.3–153.5 °C. 1H NMR (400 MHz, DMSO) δ 12.02 (s, 1H), 8.99 (d, J = 7.8 Hz, 1H), 8.48 (d, J = 5.2 Hz, 1H), 8.02 (d, J = 12.7 Hz, 1H), 7.86 (dd, J = 8.9, 4.6 Hz, 2H), 7.55 (d, J = 12.2 Hz, 2H), 7.49 (dt, J = 15.2, 7.6 Hz, 3H), 7.40 (s, 1H), 6.93 (d, J = 7.8 Hz, 1H), 6.49 (d, J = 5.2 Hz, 1H), 4.20 (t, J = 6.4 Hz, 2H), 3.95 (s, 3H), 3.59 (t, J = 4.2 Hz, 4H), 2.47 (d, J = 7.0 Hz, 2H), 2.40 (s, 4H), 2.02–1.94 (m, 2H). 13C NMR (101 MHz, DMSO) δ 169.09, 162.83, 159.92, 159.17, 154.74, 152.30, 151.93, 149.58, 148.81, 147.50, 146.37, 142.03, 139.41, 137.05, 136.95, 124.33, 123.87, 123.79, 120.46, 116.62, 116.38, 114.45, 108.53, 102.09, 101.50, 99.02, 66.66, 66.18(2C), 55.76, 54.79, 53.34(2C), 25.66. TOF MS ES+ (m/z): (M + H)+, calcd for C34H31F2N5O6: 644.2321, found, 644.2304.
1-(4-Chlorophenyl)-N-(3-fluoro-4-((6-methoxy-7-(3-morpholinopropoxy)quinolin-4-yl)oxy)phenyl)-4-oxo-1,4-dihydropyridazine-3-carboxamide (23). Light yellow solid. 36.2% yield, m.p: 138.2–139.1 °C. 1H NMR (400 MHz, DMSO) δ 11.95 (s, 1H), 9.02 (d, J = 7.9 Hz, 1H), 8.49 (d, J = 5.0 Hz, 1H), 8.02 (d, J = 12.8 Hz, 1H), 7.86 (d, J = 8.5 Hz, 2H), 7.70 (d, J = 8.5 Hz, 2H), 7.55 (d, J = 10.6 Hz, 2H), 7.50 (t, J = 8.7 Hz, 1H), 7.44 (s, 1H), 6.93 (d, J = 7.8 Hz, 1H), 6.51 (d, J = 5.0 Hz, 1H), 4.26 (s, 2H), 3.96 (s, 3H), 3.78 (s, 4H), 3.04 (s, 4H), 2.50–2.48 (m, 2H), 2.20 (s, 2H). TOF MS ES+ (m/z): (M + H)+, calcd for C34H31ClFN5O6: 660.2025, found, 660.2009.
1-(4-Bromophenyl)-N-(3-fluoro-4-((6-methoxy-7-(3-morpholinopropoxy)quinolin-4-yl)oxy)phenyl)-4-oxo-1,4-dihydropyridazine-3-carboxamide (24). Light yellow solid. 37.9% yield, m.p: 125.7–127.1 °C. 1H NMR (400 MHz, DMSO) δ 12.03 (s, 1H), 9.12 (d, J = 7.8 Hz, 1H), 8.58 (d, J = 5.2 Hz, 1H), 8.11 (d, J = 12.8 Hz, 1H), 7.91 (q, J = 8.6 Hz, 4H), 7.66 (d, J = 9.9 Hz, 2H), 7.60 (t, J = 8.7 Hz, 2H), 7.52 (s, 1H), 7.03 (d, J = 7.8 Hz, 1H), 6.60 (d, J = 5.1 Hz, 1H), 4.31 (d, J = 5.9 Hz, 2H), 4.05 (s, 3H), 3.76 (s, 4H), 2.76 (s, 4H), 2.60 (s, 2H), 2.15 (s, 2H). TOF MS ES+ (m/z): (M + H)+, calcd for C34H31BrFN5O6: 704.1520, found, 704.1501.
N-(3-Fluoro-4-((6-methoxy-7-(3-morpholinopropoxy)quinolin-4-yl)oxy)phenyl)-1-(4-methoxyphenyl)-4-oxo-1,4-dihydropyridazine-3-carboxamide (25). White solid. 38.1% yield, m.p: 153.8–155.2 °C. 1H NMR (400 MHz, DMSO) δ 12.18 (s, 1H), 8.95 (d, J = 7.8 Hz, 1H), 8.69 (d, J = 5.8 Hz, 1H), 8.08 (d, J = 12.6 Hz, 1H), 7.77–7.67 (m, 3H), 7.59 (dd, J = 20.1, 9.7 Hz, 3H), 7.15 (d, J = 9.0 Hz, 2H), 6.92 (d, J = 7.8 Hz, 1H), 6.81 (d, J = 4.7 Hz, 1H), 4.33 (s, 2H), 4.02 (s, 3H), 3.84 (s, 3H), 3.49 (s, 4H), 3.12 (s, 4H), 2.50–2.49 (m, 2H), 2.35 (s, 2H). 13C NMR (101 MHz, DMSO) δ 169.48, 160.52, 159.82, 159.74, 155.18, 152.73, 152.11, 149.98, 149.21, 147.60, 146.46, 142.42, 137.63, 136.81, 124.77, 123.44(2C), 121.10, 117.15, 115.14(2C), 109.25, 109.04, 102.70, 101.95, 99.60, 66.58, 63.96, 56.30, 56.10(2C), 54.20, 51.79(2C), 23.59. TOF MS ES+ (m/z): (M + H)+, calcd for C35H34FN5O7: 656.2521, found, 656.2503.
1-(3-Chloro-4-fluorophenyl)-N-(3-fluoro-4-((6-methoxy-7-(3-morpholinopropoxy)quinolin-4-yl)oxy)phenyl)-4-oxo-1,4-dihydropyridazine-3-carboxamide (26). Pure white solid. 35.1% yield, m.p: 138.1–140.6 °C. 1H NMR (400 MHz, DMSO) δ 11.84 (s, 1H), 8.93 (d, J = 7.3 Hz, 1H), 8.39 (d, J = 4.6 Hz, 1H), 8.05 (s, 1H), 7.92 (d, J = 12.9 Hz, 1H), 7.77 (s, 1H), 7.61 (t, J = 8.8 Hz, 1H), 7.47 (d, J = 11.6 Hz, 2H), 7.44–7.38 (m, 1H), 7.31 (s, 1H), 6.85 (d, J = 7.5 Hz, 1H), 6.40 (d, J = 4.8 Hz, 1H), 4.11 (s, 2H), 3.87 (s, 3H), 3.50 (s, 4H), 2.37 (d, J = 6.5 Hz, 2H), 2.31 (s, 4H), 1.90 (d, J = 5.5 Hz, 2H). 13C NMR (101 MHz, DMSO) δ 169.67, 160.19, 159.65, 158.56, 156.09, 155.23, 152.78, 152.45, 150.11, 149.26, 147.94, 146.91, 142.28, 140.13, 137.45, 124.72, 124.21, 122.72, 120.84, 118.39, 118.17, 117.17, 115.01, 109.09, 102.62, 99.57, 67.19, 66.70(2C), 56.26, 55.29, 53.85(2C), 26.19. TOF MS ES+ (m/z): (M + H)+, calcd for C34H30ClF2N5O6: 678.1931, found, 678.1908.
1-(4-Bromo-2-fluorophenyl)-N-(3-fluoro-4-((6-methoxy-7-(3-morpholinopropoxy)quinolin-4-yl)oxy)phenyl)-4-oxo-1,4-dihydropyridazine-3-carboxamide (27). White solid. 35.7% yield, m.p: 113.7–115.1 °C. 1H NMR (400 MHz, DMSO) δ 11.82 (s, 1H), 8.75 (d, J = 7.7 Hz, 1H), 8.47 (d, J = 5.2 Hz, 1H), 7.97 (d, J = 10.3 Hz, 2H), 7.76 (t, J = 8.3 Hz, 1H), 7.69 (d, J = 8.7 Hz, 1H), 7.53 (s, 2H), 7.51–7.45 (m, 1H), 7.40 (s, 1H), 6.90 (d, J = 7.8 Hz, 1H), 6.48 (d, J = 5.0 Hz, 1H), 4.19 (t, J = 6.1 Hz, 2H), 3.95 (s, 3H), 3.59 (d, J = 3.7 Hz, 4H), 2.46 (t, J = 6.9 Hz, 2H), 2.39 (s, 4H), 2.04–1.93 (m, 2H). TOF MS ES+ (m/z): (M + H)+, calcd for C34H30BrF2N5O6: 722.1426, found, 722.1403.
1-(4-Chloro-3-(trifluoromethyl)phenyl)-N-(3-fluoro-4-((6-methoxy-7-(3-morpholinopropoxy)quinolin-4-yl)oxy)phenyl)-4-oxo-1,4-dihydropyridazine-3-carboxamide (28). Light yellow solid. 47.3% yield, m.p: 203.5–204.7 °C. 1H NMR (400 MHz, DMSO) δ 11.75 (s, 1H), 9.02 (d, J = 7.8 Hz, 1H), 8.37 (d, J = 5.3 Hz, 1H), 8.19 (s, 1H), 8.06 (d, J = 7.1 Hz, 1H), 7.91 (d, J = 9.6 Hz, 2H), 7.49–7.42 (m, 2H), 7.39 (d, J = 9.3 Hz, 1H), 7.30 (s, 1H), 6.85 (d, J = 7.9 Hz, 1H), 6.39 (d, J = 5.2 Hz, 1H), 4.10 (s, 2H), 3.85 (s, 3H), 3.49 (s, 4H), 2.38–2.37 (m, 2H), 2.30 (s, 4H), 1.88 (s, 2H). 13C NMR (101 MHz, DMSO) δ 169.17, 159.80, 159.18, 154.74, 152.28, 151.90, 149.60, 148.83, 148.05, 146.35, 141.80, 141.62, 136.87, 136.41, 133.06, 130.37, 126.69, 124.31, 120.91, 120.86, 120.19, 116.70, 114.52, 108.83, 108.60, 102.17, 99.07, 66.61, 65.84(2C), 55.80, 54.67, 53.09(2C), 25.32. TOF MS ES+ (m/z): (M + H)+, calcd for C35H30ClF4N5O6: 728.1899, found, 728.1875.
N-(3-Fluoro-4-((6-methoxy-7-(3-morpholinopropoxy)quinolin-4-yl)oxy)phenyl)-4-oxo-1-phenyl-1,4-dihydropyridazine-3-carboxamide (29). Pure white solid. 39.7% yield, m.p: 118.7–119.8 °C. 1H NMR (400 MHz, DMSO) δ 12.00 (s, 1H), 9.03 (d, J = 7.8 Hz, 1H), 8.47 (d, J = 5.2 Hz, 1H), 8.02 (d, J = 12.7 Hz, 1H), 7.82 (d, J = 7.7 Hz, 2H), 7.63 (t, J = 7.2 Hz, 2H), 7.59–7.47 (m, 4H), 7.40 (s, 1H), 6.93 (d, J = 7.9 Hz, 1H), 6.49 (d, J = 5.3 Hz, 1H), 4.20 (t, J = 6.1 Hz, 2H), 3.95 (s, 3H), 3.59 (s, 4H), 2.50–2.48 (m, 2H), 2.40 (s, 4H), 1.99 (d, J = 6.6 Hz, 2H). TOF MS ES+ (m/z): (M + H)+, calcd for C34H32FN5O6: 626.2415, found, 626.2396.
N-(3-Fluoro-4-((6-methoxy-7-(3-(piperidin-1-yl)propoxy)quinolin-4-yl)oxy)phenyl)-1-(4-fluorophenyl)-4-oxo-1,4-dihydropyridazine-3-carboxamide (30). Light yellow solid. 43.4% yield, m.p: 149.4–151.1 °C. 1H NMR (400 MHz, DMSO) δ 12.03 (s, 1H), 9.00 (d, J = 7.8 Hz, 1H), 8.48 (d, J = 5.1 Hz, 1H), 8.03 (d, J = 12.5 Hz, 1H), 7.87 (dd, J = 8.6, 4.3 Hz, 2H), 7.56 (d, J = 10.6 Hz, 2H), 7.50 (dd, J = 16.0, 7.8 Hz, 3H), 7.41 (s, 1H), 6.94 (d, J = 7.8 Hz, 1H), 6.50 (d, J = 5.0 Hz, 1H), 4.20 (d, J = 6.1 Hz, 2H), 3.96 (s, 3H), 2.51 (s, 2H), 2.42 (s, 4H), 2.00 (d, J = 6.7 Hz, 2H), 1.53 (s, 4H), 1.41 (s, 2H). 13C NMR (101 MHz, DMSO) δ 169.09, 162.82, 160.37, 159.92, 159.17, 154.74, 152.29, 151.93, 149.59, 148.80, 147.49, 146.38, 142.02, 139.40, 124.31, 123.87, 123.78, 120.46, 116.62(2C), 116.38, 114.46, 108.77, 108.53, 102.09, 99.02, 66.77, 55.76, 54.98, 53.97(2C), 25.91, 25.39(2C), 23.94. TOF MS ES+ (m/z): (M + H)+, calcd for C35H33F2N5O5: 642.2528, found, 642.2511.
1-(4-Chlorophenyl)-N-(3-fluoro-4-((6-methoxy-7-(3-(piperidin-1-yl)propoxy)quinolin-4-yl)oxy)phenyl)-4-oxo-1,4-dihydropyridazine-3-carboxamide (31). White solid. 42.7% yield, m.p: 158.2–159.6 °C. 1H NMR (400 MHz, DMSO) δ 12.05 (s, 1H), 9.11 (d, J = 7.8 Hz, 1H), 8.57 (d, J = 5.1 Hz, 1H), 8.11 (d, J = 12.4 Hz, 1H), 7.95 (d, J = 8.6 Hz, 2H), 7.80 (d, J = 8.6 Hz, 2H), 7.70–7.55 (m, 3H), 7.49 (s, 1H), 7.03 (d, J = 7.8 Hz, 1H), 6.58 (d, J = 4.9 Hz, 1H), 4.27 (d, J = 6.0 Hz, 2H), 4.05 (s, 3H), 2.52 (t, J = 6.8 Hz, 2H), 2.44 (s, 4H), 2.06 (d, J = 6.0 Hz, 2H), 1.60 (s, 4H), 1.48 (s, 2H). 13C NMR (101 MHz, DMSO) δ 169.65, 160.56, 159.75, 155.31, 152.57, 150.20, 149.38, 148.49, 146.95, 142.19, 142.17, 142.16, 137.63, 133.58, 130.20(2C), 124.87, 123.61(2C), 120.95, 117.25, 115.04, 109.35, 109.12, 102.69, 99.63, 67.44, 56.36, 55.65, 54.67(2C), 26.68, 26.17(2C), 24.70. TOF MS ES+ (m/z): (M + H)+, calcd for C35H33ClFN5O5: 658.2233, found, 658.2209.
1-(4-Bromophenyl)-N-(3-fluoro-4-((6-methoxy-7-(3-(piperidin-1-yl)propoxy)quinolin-4-yl)oxy)phenyl)-4-oxo-1,4-dihydropyridazine-3-carboxamide (32). Light yellow solid. 48.3% yield, m.p: 141.3–143.4 °C. 1H NMR (400 MHz, DMSO) δ 11.94 (s, 1H), 9.02 (d, J = 7.8 Hz, 1H), 8.49 (d, J = 5.2 Hz, 1H), 8.02 (d, J = 12.7 Hz, 1H), 7.84 (d, J = 9.0 Hz, 2H), 7.79 (d, J = 8.5 Hz, 2H), 7.56 (s, 2H), 7.50 (t, J = 8.8 Hz, 1H), 7.43 (s, 1H), 6.93 (d, J = 7.9 Hz, 1H), 6.51 (d, J = 5.0 Hz, 1H), 4.23 (s, 2H), 3.96 (s, 3H), 2.80 (s, 4H), 2.12 (s, 2H), 1.64 (s, 4H), 1.47 (s, 2H), 1.23 (s, 2H). TOF MS ES+ (m/z): (M + H)+, calcd for C35H33BrFN5O5: 702.1727, found, 702.1703.
N-(3-Fluoro-4-((6-methoxy-7-(3-(piperidin-1-yl)propoxy)quinolin-4-yl)oxy)phenyl)-1-(4-methoxyphenyl)-4-oxo-1,4-dihydropyridazine-3-carboxamide (33). White solid. 35.2% yield, m.p: 105.4–106.5 °C. 1H NMR (400 MHz, DMSO) δ 12.14 (s, 1H), 8.94 (d, J = 7.7 Hz, 1H), 8.47 (d, J = 4.9 Hz, 1H), 8.02 (d, J = 12.7 Hz, 1H), 7.72 (d, J = 7.7 Hz, 2H), 7.55 (d, J = 8.8 Hz, 2H), 7.49 (t, J = 8.8 Hz, 1H), 7.40 (s, 1H), 7.15 (d, J = 7.7 Hz, 2H), 6.92 (d, J = 7.7 Hz, 1H), 6.49 (d, J = 4.9 Hz, 1H), 4.19 (s, 2H), 3.95 (s, 3H), 3.83 (s, 3H), 2.50 (s, 4H), 2.49–2.40 (m, 2H), 2.01 (d, J = 6.1 Hz, 2H), 1.54 (s, 4H), 1.41 (s, 2H). 13C NMR (101 MHz, DMSO) δ 169.05, 159.97, 159.28, 159.18, 154.73, 152.29, 151.88, 149.57, 148.81, 147.00, 146.35, 141.92, 136.98, 136.36, 124.30, 122.95(2C), 120.66, 116.65, 114.68(2C), 114.49, 108.76, 108.55, 102.10, 99.04, 66.69, 55.77, 55.62, 54.83, 53.76(2C), 25.61, 25.07(2C), 23.65. TOF MS ES+ (m/z): (M + H)+, calcd for C36H36FN5O6: 654.2728, found, 654.2705.
1-(3-Chloro-4-fluorophenyl)-N-(3-fluoro-4-((6-methoxy-7-(3-(piperidin-1-yl)propoxy)quinolin-4-yl)oxy)phenyl)-4-oxo-1,4-dihydropyridazine-3-carboxamide (34). Light yellow solid. 37.9% yield, m.p: 121.7–123.4 °C. 1H NMR (400 MHz, DMSO) δ 11.93 (s, 1H), 9.02 (d, J = 7.8 Hz, 1H), 8.48 (d, J = 5.2 Hz, 1H), 8.17–8.13 (m, 1H), 8.03 (d, J = 13.0 Hz, 1H), 7.90–7.84 (m, 1H), 7.71 (t, J = 9.0 Hz, 1H), 7.60–7.54 (m, 2H), 7.51 (t, J = 8.7 Hz, 1H), 7.40 (s, 1H), 6.94 (d, J = 7.9 Hz, 1H), 6.50 (d, J = 5.2 Hz, 1H), 4.19 (t, J = 6.3 Hz, 2H), 3.96 (s, 3H), 2.43 (t, J = 7.0 Hz, 2H), 2.36 (s, 4H), 2.00–1.93 (m, 2H), 1.55–1.47 (m, 4H), 1.39 (s, 2H). TOF MS ES+ (m/z): (M + H)+, calcd for C35H32ClF2N5O5: 676.2138, found, 676.2109.
1-(4-Bromo-2-fluorophenyl)-N-(3-fluoro-4-((6-methoxy-7-(3-(piperidin-1-yl)propoxy)quinolin-4-yl)oxy)phenyl)-4-oxo-1,4-dihydropyridazine-3-carboxamide (35). White solid. 42.1% yield, m.p: 105.9–107.4 °C. 1H NMR (400 MHz, DMSO) δ 11.79 (s, 1H), 8.74 (d, J = 7.9 Hz, 1H), 8.45 (d, J = 5.1 Hz, 1H), 7.96 (d, J = 11.9 Hz, 2H), 7.74 (t, J = 8.3 Hz, 1H), 7.69 (d, J = 8.9 Hz, 1H), 7.57–7.50 (m, 2H), 7.48 (t, J = 8.8 Hz, 1H), 7.38 (s, 1H), 6.90 (d, J = 7.9 Hz, 1H), 6.47 (d, J = 5.2 Hz, 1H), 4.17 (t, J = 6.3 Hz, 2H), 3.93 (s, 3H), 2.48 (s, 4H), 2.41 (t, J = 7.0 Hz, 2H), 1.99–1.89 (m, 2H), 1.55–1.42 (m, 4H), 1.36 (s, 2H). 13C NMR (101 MHz, DMSO) δ 168.74, 159.81, 159.16, 154.73, 152.27, 151.96, 149.60, 149.03, 148.80, 146.37, 144.52, 136.87, 130.47, 128.70, 128.53, 124.33, 122.89, 120.60, 120.38, 119.69, 116.64, 114.45, 108.75, 108.51, 102.07, 99.02, 66.81, 55.77, 55.05, 54.06(2C), 26.04, 25.54(2C), 24.08. TOF MS ES+ (m/z): (M + H)+, calcd for C35H32BrF2N5O5: 720.1633, found, 720.1612.
1-(4-Chloro-3-(trifluoromethyl)phenyl)-N-(3-fluoro-4-((6-methoxy-7-(3-(piperidin-1-yl)propoxy)quinolin-4-yl)oxy)phenyl)-4-oxo-1,4-dihydropyridazine-3-carboxamide (36). Light yellow solid. 48.7% yield, m.p: 185.7–186.6 °C. 1H NMR (400 MHz, DMSO) δ 11.77 (s, 1H), 9.01 (d, J = 8.0 Hz, 1H), 8.37 (d, J = 5.1 Hz, 1H), 8.19 (s, 1H), 8.06 (d, J = 8.8 Hz, 1H), 7.90 (d, J = 8.6 Hz, 2H), 7.46 (d, J = 13.6 Hz, 2H), 7.39 (t, J = 8.8 Hz, 1H), 7.30 (s, 1H), 6.84 (d, J = 7.8 Hz, 1H), 6.39 (d, J = 5.0 Hz, 1H), 4.10 (s, 2H), 3.85 (s, 3H), 2.56 (s, 4H), 1.95 (s, 2H), 1.48 (s, 4H), 1.34 (s, 2H), 1.12 (s, 2H). TOF MS ES+ (m/z): (M + H)+, calcd for C36H32ClF4N5O5: 726.2106, found, 726.2097.
N-(3-Fluoro-4-((6-methoxy-7-(3-(piperidin-1-yl)propoxy)quinolin-4-yl)oxy)phenyl)-4-oxo-1-phenyl-1,4-dihydropyridazine-3-carboxamide (37). Pure white solid. 38.9% yield, m.p: 152.3–153.1 °C. 1H NMR (400 MHz, DMSO) δ 12.02 (s, 1H), 9.03 (d, J = 7.7 Hz, 1H), 8.47 (d, J = 4.6 Hz, 1H), 8.02 (d, J = 12.7 Hz, 1H), 7.81 (d, J = 7.6 Hz, 2H), 7.63 (t, J = 7.3 Hz, 2H), 7.58–7.46 (m, 4H), 7.39 (s, 1H), 6.94 (d, J = 7.7 Hz, 1H), 6.49 (d, J = 4.5 Hz, 1H), 4.18 (s, 2H), 3.95 (s, 3H), 2.43 (t, J = 6.7 Hz, 2H), 2.35 (s, 4H), 1.96 (d, J = 6.0 Hz, 2H), 1.50 (s, 4H), 1.39 (s, 2H). 13C NMR (101 MHz, DMSO) δ 168.65, 159.48, 158.66, 154.24, 151.79, 151.46, 149.10, 148.28, 147.12, 145.89, 142.34, 141.26, 136.56, 129.20(2C), 128.11, 123.79, 120.82(2C), 120.02, 116.14, 113.97, 108.27, 108.04, 101.60, 98.54, 66.32, 55.27, 54.53, 53.54(2C), 25.54, 25.02(2C), 23.56. TOF MS ES+ (m/z): (M + H)+, calcd for C35H34FN5O5: 624.2622, found, 624.2605.
N-(3-Fluoro-4-((6-methoxy-7-(3-(4-methylpiperidin-1-yl)propoxy)quinolin-4-yl)oxy)phenyl)-1-(4-fluorophenyl)-4-oxo-1,4-dihydropyridazine-3-carboxamide (38). White solid. 35.8% yield, m.p: 210.1–211.4 °C. 1H NMR (400 MHz, DMSO) δ 12.02 (s, 1H), 9.00 (d, J = 7.8 Hz, 1H), 8.49 (s, 1H), 8.03 (d, J = 12.9 Hz, 1H), 7.88 (d, J = 4.8 Hz, 2H), 7.64–7.45 (m, 5H), 7.40 (s, 1H), 6.94 (d, J = 7.4 Hz, 1H), 6.50 (s, 1H), 4.19 (s, 2H), 3.96 (s, 3H), 2.87 (d, J = 10.5 Hz, 2H), 2.46 (s, 2H), 1.97 (s, 2H), 1.91 (d, J = 10.2 Hz, 2H), 1.59 (d, J = 11.5 Hz, 2H), 1.33 (s, 1H), 1.15 (d, J = 12.2 Hz, 2H), 0.89 (d, J = 6.0 Hz, 3H). TOF MS ES+ (m/z): (M + H)+, calcd for C36H35F2N5O5: 656.2685, found, 656.2673.
1-(4-Chlorophenyl)-N-(3-fluoro-4-((6-methoxy-7-(3-(4-methylpiperidin-1-yl)propoxy)quinolin-4-yl)oxy)phenyl)-4-oxo-1,4-dihydropyridazine-3-carboxamide (39). Light yellow solid. 51.4% yield, m.p: 220.6–222.1 °C. 1H NMR (400 MHz, DMSO) δ 11.96 (s, 1H), 9.02 (d, J = 7.8 Hz, 1H), 8.48 (d, J = 4.4 Hz, 1H), 8.02 (d, J = 12.9 Hz, 1H), 7.86 (d, J = 7.5 Hz, 2H), 7.70 (d, J = 7.5 Hz, 2H), 7.59–7.46 (m, 3H), 7.39 (s, 1H), 6.94 (d, J = 7.9 Hz, 1H), 6.49 (d, J = 4.6 Hz, 1H), 4.18 (s, 2H), 3.96 (s, 3H), 2.85 (d, J = 10.3 Hz, 2H), 2.44 (t, J = 6.4 Hz, 2H), 1.97 (d, J = 6.2 Hz, 2H), 1.88 (t, J = 11.2 Hz, 2H), 1.57 (d, J = 11.7 Hz, 2H), 1.30 (s, 1H), 1.16 (t, J = 11.5 Hz, 2H), 0.89 (d, J = 6.0 Hz, 3H). 13C NMR (101 MHz, DMSO) δ 169.67, 160.51, 159.74, 155.31, 152.87, 152.57, 150.22, 149.38, 148.42, 146.98, 142.18, 137.59, 136.96, 133.59, 130.21(2C), 124.87, 123.60(2C), 120.97, 117.24, 115.06, 109.36, 109.14, 102.71, 99.66, 67.43, 56.37, 55.25, 54.02(2C), 34.57(2C), 30.93, 26.79, 22.34. TOF MS ES+ (m/z): (M + H)+, calcd for C36H35ClFN5O5: 672.2389, found, 672.2367.
1-(4-Bromophenyl)-N-(3-fluoro-4-((6-methoxy-7-(3-(4-methylpiperidin-1-yl)propoxy)quinolin-4-yl)oxy)phenyl)-4-oxo-1,4-dihydropyridazine-3-carboxamide (40). Light yellow solid. 49.8% yield, m.p: 220.7–221.4 °C. 1H NMR (400 MHz, DMSO) δ 11.94 (s, 1H), 9.03 (d, J = 7.4 Hz, 1H), 8.49 (s, 1H), 8.02 (d, J = 12.3 Hz, 1H), 7.84 (d, J = 8.7 Hz, 2H), 7.80 (d, J = 8.0 Hz, 2H), 7.55 (s, 2H), 7.50 (s, 1H), 7.40 (s, 1H), 6.94 (d, J = 7.8 Hz, 1H), 6.51 (s, 1H), 4.20 (s, 2H), 3.96 (s, 3H), 2.92 (s, 2H), 2.53 (s, 2H), 2.00 (s, 4H), 1.61 (d, J = 11.7 Hz, 2H), 1.36 (s, 1H), 1.17 (d, J = 12.0 Hz, 2H), 0.90 (d, J = 5.8 Hz, 3H). TOF MS ES+ (m/z): (M + H)+, calcd for C36H35BrFN5O5: 716.1884, found, 716.1863.
N-(3-Fluoro-4-((6-methoxy-7-(3-(4-methylpiperidin-1-yl)propoxy)quinolin-4-yl)oxy)phenyl)-1-(4-methoxyphenyl)-4-oxo-1,4-dihydropyridazine-3-carboxamide (41). Light yellow solid. 40.3% yield, m.p: 145.1–146.3 °C. 1H NMR (400 MHz, DMSO) δ 12.12 (s, 1H), 8.94 (d, J = 7.7 Hz, 1H), 8.47 (d, J = 5.3 Hz, 1H), 8.02 (d, J = 12.9 Hz, 1H), 7.73 (d, J = 8.7 Hz, 2H), 7.54 (s, 2H), 7.49 (t, J = 8.3 Hz, 1H), 7.39 (s, 1H), 7.16 (d, J = 7.4 Hz, 2H), 6.92 (d, J = 8.0 Hz, 1H), 6.50 (s, 1H), 4.18 (s, 2H), 3.95 (s, 3H), 3.84 (s, 3H), 2.85 (d, J = 9.0 Hz, 2H), 2.44 (d, J = 6.5 Hz, 2H), 1.97 (d, J = 6.9 Hz, 2H), 1.87 (t, J = 11.4 Hz, 2H), 1.57 (d, J = 11.9 Hz, 2H), 1.30 (s, 1H), 1.19–1.11 (m, 2H), 0.88 (d, J = 6.3 Hz, 3H). TOF MS ES+ (m/z): (M + H)+, calcd for C37H38FN5O6: 668.2884, found, 668.2836.
1-(3-Chloro-4-fluorophenyl)-N-(3-fluoro-4-((6-methoxy-7-(3-(4-methylpiperidin-1-yl)propoxy)quinolin-4-yl)oxy)phenyl)-4-oxo-1,4-dihydropyridazine-3-carboxamide (42). Light yellow solid. 41.5% yield, m.p: 112.5–113.7 °C. 1H NMR (400 MHz, DMSO) δ 11.94 (s, 1H), 9.03 (d, J = 7.8 Hz, 1H), 8.49 (d, J = 5.1 Hz, 1H), 8.15 (d, J = 4.0 Hz, 1H), 8.03 (d, J = 12.7 Hz, 1H), 7.88 (d, J = 9.0 Hz, 1H), 7.71 (t, J = 8.8 Hz, 1H), 7.57 (d, J = 13.1 Hz, 2H), 7.51 (t, J = 8.8 Hz, 1H), 7.42 (s, 1H), 6.94 (d, J = 7.8 Hz, 1H), 6.50 (d, J = 5.0 Hz, 1H), 4.22 (s, 2H), 3.97 (s, 3H), 3.10 (s, 2H), 2.75 (s, 2H), 2.09 (s, 2H), 1.67 (d, J = 12.3 Hz, 2H), 1.30 (s, 1H), 1.25 (d, J = 12.3 Hz, 4H), 0.91 (d, J = 6.3 Hz, 3H). TOF MS ES+ (m/z): (M + H)+, calcd for C36H34ClF2N5O5: 690.2295, found, 690.2273.
1-(4-Bromo-2-fluorophenyl)-N-(3-fluoro-4-((6-methoxy-7-(3-(4-methylpiperidin-1-yl)propoxy)quinolin-4-yl)oxy)phenyl)-4-oxo-1,4-dihydropyridazine-3-carboxamide (43). White solid. 35.3% yield, m.p: 115.8–117.3 °C. 1H NMR (400 MHz, DMSO) δ 11.78 (s, 1H), 8.74 (d, J = 7.9 Hz, 1H), 8.46 (s, 1H), 7.96 (d, J = 12.2 Hz, 2H), 7.79–7.66 (m, 2H), 7.52 (s, 2H), 7.51–7.44 (m, 1H), 7.37 (s, 1H), 6.90 (d, J = 7.8 Hz, 1H), 6.47 (d, J = 5.1 Hz, 1H), 4.17 (t, J = 5.9 Hz, 2H), 3.93 (s, 3H), 2.85 (d, J = 10.6 Hz, 2H), 2.45 (s, 2H), 1.99–1.93 (m, 2H), 1.90 (d, J = 11.9 Hz, 2H), 1.56 (d, J = 12.3 Hz, 2H), 1.22 (d, J = 10.2 Hz, 1H), 1.13 (d, J = 12.3 Hz, 2H), 0.87 (d, J = 6.3 Hz, 3H). 13C NMR (101 MHz, DMSO) δ 168.76, 159.78, 159.16, 154.73, 153.28, 151.96, 149.60, 148.97, 148.78, 146.38, 136.87, 130.37, 128.71, 128.70, 128.52, 124.32, 122.97, 122.89, 120.61, 120.38, 119.71, 116.64, 108.76, 108.52, 102.08, 99.03, 66.80, 55.76, 54.67, 53.43(2C), 33.93(2C), 30.33, 26.16, 21.77. TOF MS ES+ (m/z): (M + H)+, calcd for C36H34BrF2N5O5: 734.1790, found, 734.1773.
1-(4-Chloro-3-(trifluoromethyl)phenyl)-N-(3-fluoro-4-((6-methoxy-7-(3-(4-methylpiperidin-1-yl)propoxy)quinolin-4-yl)oxy)phenyl)-4-oxo-1,4-dihydropyridazine-3-carboxamide (44). Light yellow solid. 38.7% yield, m.p: 137.7–138.6 °C. 1H NMR (400 MHz, DMSO) δ 11.77 (s, 1H), 9.02 (d, J = 7.9 Hz, 1H), 8.37 (d, J = 5.3 Hz, 1H), 8.19 (s, 1H), 8.06 (d, J = 8.4 Hz, 1H), 7.90 (d, J = 8.5 Hz, 2H), 7.50–7.42 (m, 2H), 7.39 (t, J = 8.9 Hz, 1H), 7.30 (s, 1H), 6.84 (d, J = 8.2 Hz, 1H), 6.39 (d, J = 5.3 Hz, 1H), 4.09 (s, 2H), 3.85 (s, 3H), 2.91 (s, 2H), 1.99 (d, J = 48.7 Hz, 4H), 1.53 (d, J = 10.0 Hz, 2H), 1.30 (s, 1H), 1.12 (s, 4H), 0.79 (d, J = 6.3 Hz, 3H). 13C NMR (101 MHz, DMSO) δ 169.66, 160.26, 159.66, 155.22, 152.77, 152.34, 150.03, 149.30, 148.44, 146.84, 142.26, 142.08, 137.47, 136.98, 133.53, 130.85, 127.13, 124.79, 121.39, 121.33, 120.70, 117.17, 115.00, 109.06, 102.61, 101.99, 99.53, 67.12, 56.25, 54.85, 53.52(2C), 33.67(2C), 30.28, 26.04, 22.04. TOF MS ES+ (m/z): (M + H)+, calcd for C37H34ClF4N5O5: 740.2263, found, 740.2237.
N-(3-Fluoro-4-((6-methoxy-7-(3-(4-methylpiperidin-1-yl)propoxy)quinolin-4-yl)oxy)phenyl)-4-oxo-1-phenyl-1,4-dihydropyridazine-3-carboxamide (45). Pure white solid. 44.1% yield, m.p: 148.5–150.1 °C. 1H NMR (400 MHz, DMSO) δ 12.02 (s, 1H), 9.03 (d, J = 7.7 Hz, 1H), 8.47 (d, J = 5.1 Hz, 1H), 8.02 (d, J = 13.1 Hz, 1H), 7.82 (d, J = 7.8 Hz, 2H), 7.63 (t, J = 7.7 Hz, 2H), 7.51 (dd, J = 17.2, 8.4 Hz, 4H), 7.39 (s, 1H), 6.94 (d, J = 7.8 Hz, 1H), 6.49 (d, J = 4.8 Hz, 1H), 4.18 (s, 2H), 3.95 (s, 3H), 2.86 (d, J = 10.9 Hz, 2H), 2.45 (t, J = 6.7 Hz, 2H), 2.01–1.94 (m, 2H), 1.89 (t, J = 11.7 Hz, 2H), 1.57 (d, J = 11.2 Hz, 2H), 1.32 (s, 1H), 1.20–1.11 (m, 2H), 0.88 (d, J = 6.2 Hz, 3H). 13C NMR (101 MHz, DMSO) δ 169.63, 160.54, 159.68, 155.25, 152.44, 150.13, 149.33, 148.26, 146.90, 143.37, 142.29, 137.48, 136.85, 130.23(2C), 129.13, 124.81, 121.86(2C), 121.00, 117.17, 115.02, 109.29, 109.12, 102.67, 99.60, 67.27, 56.31, 55.03, 53.76(2C), 34.12(2C), 30.58, 26.42, 22.16. TOF MS ES+ (m/z): (M + H)+, calcd for C36H36FN5O5: 638.2779, found, 638.2754.
N-(3-Fluoro-4-((6-methoxy-7-(3-(4-methylpiperazin-1-yl)propoxy)quinolin-4-yl)oxy)phenyl)-1-(4-fluorophenyl)-4-oxo-1,4-dihydropyridazine-3-carboxamide (46). White solid. 36.1% yield, m.p: 184.6–185.7 °C. 1H NMR (400 MHz, DMSO) δ 12.03 (s, 1H), 9.00 (d, J = 7.7 Hz, 1H), 8.48 (d, J = 4.7 Hz, 1H), 8.02 (d, J = 12.5 Hz, 1H), 7.88 (s, 2H), 7.55 (s, 2H), 7.54–7.44 (m, 3H), 7.40 (s, 1H), 6.94 (d, J = 7.7 Hz, 1H), 6.50 (s, 1H), 4.19 (s, 2H), 3.96 (s, 3H), 2.47 (s, 2H), 2.42 (d, J = 42.1 Hz, 8H), 2.17 (s, 3H), 1.97 (s, 2H). 13C NMR (101 MHz, DMSO) δ 168.57, 162.32, 159.87, 159.44, 158.67, 154.24, 151.44, 149.09, 148.31, 147.05, 145.88, 141.53, 138.91, 136.44, 123.82, 123.38(2C), 123.30, 119.95, 116.12(2C), 115.88, 113.96, 108.03, 101.61, 98.53, 66.20, 55.27, 54.02(2C), 53.73, 51.91(2C), 44.90, 25.46. TOF MS ES+ (m/z): (M + H)+, calcd for C35H34F2N6O5: 657.2637, found, 657.2612.
1-(4-Chlorophenyl)-N-(3-fluoro-4-((6-methoxy-7-(3-(4-methylpiperazin-1-yl)propoxy)quinolin-4-yl)oxy)phenyl)-4-oxo-1,4-dihydropyridazine-3-carboxamide (47). White solid. 59.1% yield, m.p: 163.5–165.3 °C. 1H NMR (400 MHz, DMSO) δ 11.95 (s, 1H), 9.03 (d, J = 7.1 Hz, 1H), 8.48 (d, J = 4.5 Hz, 1H), 8.02 (d, J = 13.1 Hz, 1H), 7.86 (d, J = 7.2 Hz, 2H), 7.71 (d, J = 8.3 Hz, 2H), 7.59–7.47 (m, 3H), 7.40 (s, 1H), 6.94 (d, J = 7.8 Hz, 1H), 6.50 (s, 1H), 4.19 (s, 2H), 3.96 (s, 3H), 2.46 (d, J = 6.6 Hz, 2H), 2.35–2.22 (s, 8H), 2.15 (s, 3H), 1.97 (s, 2H). TOF MS ES+ (m/z): (M + H)+, calcd for C35H34ClFN6O5: 673.2341, found, 673.2315.
1-(4-Bromophenyl)-N-(3-fluoro-4-((6-methoxy-7-(3-(4-methylpiperazin-1-yl)propoxy)quinolin-4-yl)oxy)phenyl)-4-oxo-1,4-dihydropyridazine-3-carboxamide (48). White solid. 38.2% yield, m.p: 159.7–161.2 °C. 1H NMR (400 MHz, DMSO) δ 11.95 (s, 1H), 9.03 (d, J = 7.9 Hz, 1H), 8.49 (d, J = 5.2 Hz, 1H), 8.03 (d, J = 12.6 Hz, 1H), 7.82 (m, J = 8.9 Hz, 4H), 7.57 (d, J = 10.4 Hz, 2H), 7.54–7.48 (m, 1H), 7.42 (s, 1H), 6.94 (d, J = 7.8 Hz, 1H), 6.51 (d, J = 5.1 Hz, 1H), 4.21 (s, 2H), 3.97 (s, 3H), 2.78 (s, 4H), 2.60 (s, 4H), 2.47 (s, 2H), 2.03 (d, J = 6.1 Hz, 2H), 1.23 (s, 3H). TOF MS ES+ (m/z): (M + H)+, calcd for C35H34BrFN6O5: 717.1836, found, 717.1804.
1-(4-((l1-Oxidanyl)-l5-methyl)phenyl)-N-(3-fluoro-4-((6-methoxy-7-(3-(4-methylpiperazin-1-yl)propoxy)quinolin-4-yl)oxy)phenyl)-4-oxo-1,4-dihydropyridazine-3-carboxamide (49). Light yellow solid. 47.5% yield, m.p: 167.5–169.1 °C. 1H NMR (400 MHz, DMSO) δ 12.02 (s, 1H), 8.83 (d, J = 7.7 Hz, 1H), 8.36 (d, J = 4.0 Hz, 1H), 7.91 (d, J = 12.9 Hz, 1H), 7.62 (d, J = 8.8 Hz, 2H), 7.44 (d, J = 10.3 Hz, 2H), 7.39 (t, J = 8.7 Hz, 1H), 7.28 (s, 1H), 7.05 (d, J = 8.7 Hz, 2H), 6.82 (d, J = 7.9 Hz, 1H), 6.39 (s, 1H), 4.08 (s, 2H), 3.84 (s, 3H), 3.73 (s, 3H), 2.35 (d, J = 6.8 Hz, 2H), 2.37–2.14 (s, 8H), 2.06 (s, 3H), 1.86 (s, 2H). 13C NMR (101 MHz, DMSO) δ 168.79, 159.80, 159.17, 155.77, 154.70, 153.23, 152.26, 151.91, 149.56, 148.93, 148.78, 146.33, 144.46, 137.06, 128.67, 128.49, 124.27, 122.96, 120.57, 120.34, 119.70, 116.66, 114.45, 108.46, 102.05, 99.00, 66.65, 66.18(3C), 55.74, 54.79, 53.34(3C), 25.65. TOF MS ES+ (m/z): (M + H)+, calcd for C36H37FN6O6: 669.2837, found, 669.2801.
1-(3-Chloro-4-fluorophenyl)-N-(3-fluoro-4-((6-methoxy-7-(3-(4-methylpiperazin-1-yl)propoxy)quinolin-4-yl)oxy)phenyl)-4-oxo-1,4-dihydropyridazine-3-carboxamide (50). Light yellow solid. 35.4% yield, m.p: 144.7–146.2 °C. 1H NMR (400 MHz, DMSO) δ 11.92 (s, 1H), 9.02 (d, J = 7.9 Hz, 1H), 8.48 (d, J = 5.1 Hz, 1H), 8.14 (dd, J = 6.3, 2.7 Hz, 1H), 8.02 (d, J = 12.6 Hz, 1H), 7.94–7.83 (m, 1H), 7.71 (t, J = 9.0 Hz, 1H), 7.61–7.54 (m, 2H), 7.51 (t, J = 8.8 Hz, 1H), 7.40 (s, 1H), 6.94 (d, J = 7.9 Hz, 1H), 6.50 (d, J = 5.2 Hz, 1H), 4.19 (t, J = 6.2 Hz, 2H), 3.96 (s, 3H), 2.51 (s, 2H), 2.49–2.45 (m, 2H), 2.35 (s, 4H), 2.16 (s, 3H), 2.02–1.93 (m, 2H), 1.37–1.17 (m, 2H). 13C NMR (101 MHz, DMSO) δ 169.66, 160.22, 159.66, 158.57, 156.09, 155.23, 152.47, 150.12, 149.27, 148.00, 146.88, 142.31, 140.17, 137.44, 137.03, 124.75, 124.24, 122.75, 120.84, 118.40, 118.18, 117.19, 115.00, 109.04, 102.62, 99.57, 67.26, 56.26, 55.24(2C), 54.82, 53.19(2C), 46.18, 26.54. TOF MS ES+ (m/z): (M + H)+, calcd for C35H33ClF2N6O5: 691.2247, found, 691.2255.
1-(4-Bromo-2-fluorophenyl)-N-(3-fluoro-4-((6-methoxy-7-(3-(4-methylpiperazin-1-yl)propoxy)quinolin-4-yl)oxy)phenyl)-4-oxo-1,4-dihydropyridazine-3-carboxamide (51). White solid. 39.8% yield, m.p: 103.1–104.7 °C. 1H NMR (400 MHz, DMSO) δ 11.82 (s, 1H), 8.76 (dd, J = 7.8, 1.8 Hz, 1H), 8.48 (d, J = 5.2 Hz, 1H), 8.00 (s, 1H), 7.97 (d, J = 1.9 Hz, 1H), 7.77 (t, J = 8.4 Hz, 1H), 7.71 (d, J = 8.5 Hz, 1H), 7.55 (d, J = 8.8 Hz, 2H), 7.49 (t, J = 8.8 Hz, 1H), 7.40 (s, 1H), 6.91 (d, J = 7.9 Hz, 1H), 6.49 (d, J = 5.1 Hz, 1H), 4.20 (t, J = 6.4 Hz, 2H), 3.96 (s, 3H), 2.67 (s, 4H), 2.57 (s, 4H), 2.39 (s, 3H), 2.05–1.95 (m, 2H), 1.23 (s, 2H). 13C NMR (101 MHz, DMSO) δ 169.21, 160.34, 159.67, 156.32, 155.21, 153.78, 152.76, 152.43, 150.10, 149.60, 149.32, 146.85, 144.99, 129.19, 129.05, 124.79, 123.46, 121.10, 120.87, 120.16, 117.16, 114.99, 109.04, 102.62, 99.56, 67.16, 56.29, 54.55(3C), 52.32(2C), 45.29, 26.33. TOF MS ES+ (m/z): (M + H)+, calcd for C35H33BrF2N6O5: 735.1742, found, 735.1713.
1-(4-Chloro-3-(trifluoromethyl)phenyl)-N-(3-fluoro-4-((6-methoxy-7-(3-(4-methylpiperazin-1-yl)propoxy)quinolin-4-yl)oxy)phenyl)-4-oxo-1,4-dihydropyridazine-3-carboxamide (52). Light yellow solid. 43.7% yield, m.p: 211.7–212.6 °C. 1H NMR (400 MHz, DMSO) δ 11.77 (s, 1H), 9.03 (t, J = 8.1 Hz, 1H), 8.37 (d, J = 5.2 Hz, 1H), 8.19 (s, 1H), 8.06 (d, J = 8.7 Hz, 1H), 7.93–7.88 (m, 2H), 7.48–7.42 (m, 2H), 7.42–7.36 (m, 1H), 7.30 (d, J = 7.9 Hz, 1H), 6.85 (t, J = 8.0 Hz, 1H), 6.38 (d, J = 5.2 Hz, 1H), 4.09 (d, J = 6.5 Hz, 2H), 3.85 (d, J = 7.9 Hz, 3H), 2.42 (d, J = 6.3 Hz, 4H), 2.40 (s, 4H), 2.20 (d, J = 7.6 Hz, 3H), 1.89 (d, J = 6.9 Hz, 2H), 1.12 (s, 2H). 13C NMR (101 MHz, DMSO) δ 169.16, 159.80, 159.17, 154.73, 152.28, 151.94, 149.61, 148.80, 148.03, 146.38, 141.60, 139.90, 136.99, 136.53, 133.04, 132.81, 130.34, 126.64, 125.45, 124.27, 120.86, 120.19, 116.70, 114.51, 108.58, 102.14, 99.08, 66.67, 55.78, 54.02(3C), 51.78(2C), 44.76, 25.85. TOF MS ES+ (m/z): (M + H)+, calcd for C36H33ClF4N6O5: 741.2215, found, 741.2216.
N-(3-Fluoro-4-((6-methoxy-7-(3-(4-methylpiperazin-1-yl)propoxy)quinolin-4-yl)oxy)phenyl)-4-oxo-1-phenyl-1,4-dihydropyridazine-3-carboxamide (53). Pure white solid. 45.2% yield, m.p: 151.3–152.1°C. 1H NMR (400 MHz, DMSO) δ 12.02 (s, 1H), 9.03 (d, J = 7.8 Hz, 1H), 8.47 (d, J = 4.8 Hz, 1H), 8.02 (d, J = 12.0 Hz, 1H), 7.82 (d, J = 7.4 Hz, 2H), 7.63 (t, J = 7.4 Hz, 2H), 7.51 (dd, J = 16.5, 8.1 Hz, 4H), 7.39 (s, 1H), 6.94 (d, J = 7.7 Hz, 1H), 6.49 (d, J = 4.7 Hz, 1H), 4.18 (s, 2H), 3.95 (s, 3H), 2.45 (d, J = 6.7 Hz, 2H), 2.42–2.22 (s, 8H), 2.15 (s, 3H), 1.97 (d, J = 5.9 Hz, 2H). 13C NMR (101 MHz, DMSO) δ 169.14, 160.02, 159.18, 154.75, 152.30, 151.97, 149.63, 148.81, 147.69, 146.40, 142.87, 141.78, 137.07, 129.72(2C), 128.62, 124.30, 121.35(2C), 120.52, 116.67, 114.50, 108.79, 108.57, 102.14, 99.08, 66.74, 55.80, 54.62(2C), 54.27, 52.53(2C), 45.52, 26.02. TOF MS ES+ (m/z): (M + H)+, calcd for C35H35FN6O5: 639.2731, found, 639.2689.

3.3. Cytotoxicity Assay In Vitro

The cytotoxic activities of target compounds (2253) were evaluated with A549, HepG2, and MCF-7 cell lines by the standard MTT assay in vitro, with compounds c-MET inhibitors Foretinib as positive control. The cancer cell lines were cultured in minimum essential medium (MEM) supplement with 10% fetal bovine serum (FBS). Approximately 4 × 103 cells, suspended in MEM medium, were plated onto each well of a 96-well plate and incubated in 5% CO2 at 37 °C for 24 h. The test compounds at indicated final concentrations were added to the culture medium and the cell cultures were continued for 72 h. Fresh MTT was added to each well at a terminal concentration of 5 μg/mL and incubated with cells at 37 °C for 4 h. The formazan crystals were dissolved in 100 μL DMSO each well, and the absorbency at 492 nm (for absorbance of MTT formazan) and 630 nm (for the reference wavelength) was measured with the ELISA reader. All of the compounds were tested two times in each of the cell lines. The results expressed as inhibition rates or IC50 (half-maximal inhibitory concentration) were the averages of two determinations and calculated by using the Bacus Laboratories Incorporated Slide Scanner (Bliss) software (the Bacus Laboratories Inc. Slide Scanner (BLISS) system, Lombard, IL, USA). [20].

3.4. Tyrosine Kinases Assay In Vitro

The selected compounds (2253) are tested for their activity against c-Met Tyrosine kinases through the mobility shift assay [8,9]. All kinase assays were performed in 96-well plates in a 50 µL reaction volume. The kinase buffer contains 50 mM HEPES, pH 7.5, 10 mM MgCl2, 0.0015% Brij-35 and 2 mM DTT. The stop buffer contains 100 mM HEPES, pH 7.5, 0.015% Brij-35, 0.2% Coating Reagent 3 and 50 mM EDTA. Dilute the compounds to 500 µM by 100% DMSO, then transfer 10 µL of compound to a new 96-well plate as the intermediate plate, add 90 µL kinase buffer to each well. Transfer 5 µL of each well of the intermediate plate to 384-well plates. The following amounts of enzyme and substrate were used per well: kinase base buffer, FAM-labeled peptide, ATP and enzyme solution. Wells containing the substrate, enzyme, DMSO without compound were used as DMSO control. Wells containing just the substrate without enzyme were used as low control. Incubate at room temperature for 10 min. Add 10 µL peptide solution to each well. Incubate at 28 °C for specified period of time and stop reaction by 25 µL stop buffer. At last collect data on Caliper program and convert conversion values to inhibition values. Percent inhibition = (max − conversion)/(max − min) × 100. ‘max’ stands for DMSO control; ‘min’ stands for low control [20].

3.5. Observation of Nuclear Morphology

The cancer cell lines were cultured in minimum essential medium (MEM) supplement with 10% fetal bovine serum (FBS). Approximately 2 × 104 cells, suspended in MEM medium, were plated onto each well of a 24-well plate and incubated in 5% CO2 at 37 °C for 24 h. Then the medium was removed, and 1 mL drug-free medium and 1mL medium with the test compound 7c at indicated final concentrations were added to each well in control group and test group respectively and the cell cultures were continued for 12 h. While the medium was removed, AO-PBS buffer was added to each well at a terminal concentration of 10 µg/mL and stained in dark for 10 min. Each well was washed with PBS buffer three times and observed under a fluorescence microscope.

3.6. Docking Studies

For docking purposes, the three-dimensional structure of the c-Met (PDB code: 3LQ8) was obtained from RCSB Protein Data Bank [10]. Hydrogen atoms were added to the structure allowing for appropriate ionization at physiological pH and the water was removed. The protonated state of several important residues were adjusted by using AutoDock vina v1.02 in favor of forming reasonable hydrogen bond with the ligand. And using AutoDock vina v1.02 to produce nine ligand conformation, the best molecular conformation was used as a ligand that complex bonding affinity score was −32.83 kcal/mol. Molecular docking of 53 into the 3D c-Met complex structure (PDB code: 3LQ8) was carried out using the Discovery Studio 3.5, as implemented through the graphical user interface LibDock protocol. Using the receptor-ligand interaction part to defined the 3LQ8 as receptor to show the interaction between the 53 and c-Met, then display the residues that contact with 53 and hide others to produce the Figure 4a after adding the activity pocket. Follow by point the “show 2D diagram” to obtain the Figure 4b. All calculations were performed on Silicon Graphics workstation [20].

4. Conclusions

In summary, we designed and synthesized a series of 6,7-disubstituted-4-phenoxyquinoline derivatives bearing pyridazinone skeleton as potential c-Met kinase inhibitors and evaluated for the IC50 values against three cancer cell lines and enzymatic. Eight of them are equal or more active than positive control Foretinib against one or more cell lines and enzymatic. The most promising compound 53 showed superior activity to Foretinib, which possessed excellent c-Met kinase inhibition on a single digital nanomolar level (IC50 = 0.6 nM), and cancer cells of A549 (IC50 = 0.003 µM), HepG2 (IC50 = 0.49 µM) and MCF-7 (IC50 = 0.006 µM). Moreover, SARs and docking studies indicated that 6,7-disubstituted-4-phenoxyquinoline derivatives bearing pyridazinone were favorable to the activity. What’s more, the morpholino group was substituted with other water-soluble substituents to favor this activity. In particular, the 4-methylpiperazinyl group was most active. According to the result of AO single staining, it’s claimed that the 53 could induce remarkable apoptosis of HepG2 cells. And further study will be carried out to identify the exact action mechanism in near future.

Supplementary Materials

Supplementary File 1

Author Contributions

X.L. and F.T. synthesized all of novel compounds. Z.X., J.H. and J.K. run the bioassay evaluation and statistics analysis. P.Z. started the project and designed the molecules, and W.Z. wrote the paper.

Funding

We gratefully acknowledge the generous support provided by The National Natural Science Funds (No. 21662014), Outstanding Youth Foundation of Jiangxi, Natural Science Foundation of Jiangxi, China (20171BCB23078), Natural Science Foundation of Jiangxi, China (20171ACB21052 & 20171BAB215073), Science and Technology Project Founded by the Education Department of Jiangxi Province (GJJ160787), Jiangxi Provincial Key Laboratory of Drug Design and Evaluation (20171BCD40015), Innovative Research Team of Jiangxi Science & Technology Normal University (2017CXTD002), Graduate Students’ Science and Technology Innovation Project of Jiangxi Science & Technology Normal University (YC2017-X21). This research received no external funding.

Conflicts of Interest

The authors declare no conflict of interest.

References

  1. Gherardi, E.; Stoker, M. Hepatocytes and scatter factor. Nature 1990, 346, 228. [Google Scholar] [CrossRef] [PubMed]
  2. Trovato, M.; Grosso, M.; Vitarelli, E.; Benvenga, S.; Trimarchi, F.; Barresi, G. Immunoexpression of the hepatocyte growth factor (HGF), HGF-receptor (c-met) and STAT3 on placental tissues from malformed fetuses. Histol. Histopathol. 2002, 17, 691–698. [Google Scholar] [PubMed]
  3. Gherardi, E.; Birchmeier, W.; Birchmeier, C.; Vande Woude, G. Targeting MET in cancer: Rationale and progress. Nat. Rev. Cancer 2012, 12, 89–103. [Google Scholar] [CrossRef] [PubMed]
  4. Ugolini, A.; Kenigsberg, M.; Rak, A.; Vallée, F.; Houtmann, J.; Lowinski, M.; Capdevila, C.; Khider, J.; Albert, E.; Martinet, N.; et al. Discovery, pharmacokinetic and pharmacological properties of the potent and selective MET kinase inhibitor, 1-{6-[6-(4-Fluoro-phenyl)-[1,2,4]triazolo[4,3-b]pyridazin-3-ylsulfanyl]-benzothiazol-2-yl-3-(2-morpholin-4-yl-ethyl)-urea (SAR125844). J. Med. Chem. 2016, 59, 7066–7074. [Google Scholar] [CrossRef] [PubMed]
  5. Jeffers, M.; Rong, S.; Anver, M.; Vande Woude, G.F. Autocrine hepatocyte growth factor/scatter factor-Met signaling induces transformation and the invasive/metastastic phenotype in C127 cells. Oncogene 1996, 13, 853–856. [Google Scholar] [PubMed]
  6. Takayama, H.; LaRochelle, W.J.; Sharp, R.; Otsuka, T.; Kriebel, P.; Anver, M.; Aaronson, S.A.; Merlino, G. Diverse tumorigenesis associated with aberrant development in mice overexpressing hepatocyte growth factor/scatter factor. Proc. Natl. Acad. Sci. USA 1997, 94, 701–706. [Google Scholar] [CrossRef] [PubMed]
  7. Otsuka, T.; Takayama, H.; Sharp, R.; Celli, G.; LaRochelle, W.J.; Bottaro, D.P.; Ellmore, N.; Vieira, W.; Owens, J.W.; Anver, M.; et al. c-Met autocrine activation induces development of malignant melanoma and acquisition of the metastatic phenotype. Cancer Res. 1998, 58, 5157. [Google Scholar] [PubMed]
  8. Aguirre Ghiso, J.A.; Alonso, D.F.; Farías, E.F.; Gomez, D.E.; de Kier Joffè, E.B. Deregulation of the signaling pathways controlling urokinase production. Its relationship with the invasive phenotype. FEBS J. 1999, 263, 295–304. [Google Scholar] [CrossRef]
  9. Parr, C.; Watkins, G.; Mansel, R.E.; Jiang, W.G. The hepatocyte growth factor regulatory factors in human breast cancer. Clin. Cancer Res. 2004, 10 Pt 1, 202–211. [Google Scholar] [CrossRef] [PubMed]
  10. Straussman, R.; Morikawa, T.; Shee, K.; Barzily-Rokni, M.; Qian, Z.R.; Du, J.; Davis, A.; Mongare, M.M.; Gould, J.; Frederick, D.T.; et al. Tumour micro-environment elicits innate resistance to RAF inhibitors through HGF secretion. Nature 2012, 487, 500–504. [Google Scholar] [CrossRef] [PubMed]
  11. Bean, J.; Brennan, C.; Shih, J.Y.; Riely, G.; Viale, A.; Wang, L.; Chitale, D.; Motoi, N.; Szoke, J.; Broderick, S.; et al. MET amplification occurs with or without T790M mutations in EGFR mutant lung tumors with acquired resistance to gefitinib or erlotinib. Proc. Natl. Acad. Sci. USA 2007, 104, 20932–20937. [Google Scholar] [CrossRef] [PubMed]
  12. You, W.K.; Sennino, B.; Williamson, C.W.; Falcón, B.; Hashizume, H.; Yao, L.C.; Aftab, D.T.; McDonald, D.M. VEGF and c-Met blockade amplify angiogenesis inhibition in pancreatic islet cancer. Cancer Res. 2011, 71, 4758–4768. [Google Scholar] [CrossRef] [PubMed]
  13. Moffat, D.F.C.; Batchellor, M.J.; Brookings, D.C.; David, P.D. 4-Aminosulfonylquinazolines and—Quinolines as Tyrosine Kinase Inhibitors. WO Patent 2002/087587 A2, 7 November 2002. [Google Scholar]
  14. Fujita, H.; Miyadera, K.; Kato, M.; Fujioka, Y.; Ochiiwa, H.; Huang, J.; Ito, K.; Aoyagi, Y.; Takenaka, T.; Suzuki, T.; et al. The novel VEGF receptor/MET-targeted kinase inhibitor TAS-115 has marked in vivo antitumor properties and a favorable tolerability profile. Mol. Cancer Ther. 2013, 12, 2685–2696. [Google Scholar] [CrossRef] [PubMed]
  15. Takigawa, N. MET-inhibitors meet MET mutations in lung cancer. Transl. Cancer Res. 2016, 5, S1248–S1254. [Google Scholar] [CrossRef]
  16. Yan, S.B.; Peek, V.L.; Ajamie, R.; Buchanan, S.G.; Graff, J.R.; Heidler, S.A.; Hui, Y.H.; Huss, K.L.; Konicek, B.W.; Manro, J.R.; et al. LY2801653 is an orally bioavailable multi-kinase inhibitor with potent activity against MET, MST1R, and other oncoproteins, and displays anti-tumor activities in mouse xenograft models. Investig. New Drugs 2013, 31, 833–844. [Google Scholar] [CrossRef] [PubMed]
  17. Werner, T.; Heist, R.; Carvajal, R.; Adkins, D.; Alva, A.; Goel, S.; Hong, D.; Bazhenova, L.; Saleh, M.; Siegel, R.; et al. P2. 06-001 A Study of MGCD516, a Receptor Tyrosine Kinase (RTK) Inhibitor, in Molecularly Selected Patients with NSCLC or Other Advanced Solid Tumors: Topic: Phase I Trials. J. Thorac. Oncol. 2017, 12, S1068–S1069. [Google Scholar] [CrossRef]
  18. Smith, B.D.; Kaufman, M.D.; Leary, C.B.; Turner, B.A.; Wise, S.C.; Ahn, Y.M.; Booth, R.J.; Caldwell, T.M.; Ensinger, C.L.; Hood, M.M.; et al. Altiratinib Inhibits Tumor Growth, Invasion, Angiogenesis, and Microenvironment-Mediated Drug Resistance via Balanced Inhibition of MET, TIE2, and VEGFR2. Mol. Cancer Ther. 2015, 14, 2023–2034. [Google Scholar] [CrossRef] [PubMed]
  19. Li, S.; Zhao, Y.; Wang, K.; Gao, Y.; Han, J.; Cui, B.; Gong, P. Discovery of novel 4-(2-fluorophenoxy)quinoline derivatives bearing 4-oxo-1,4-dihydrocinnoline-3-carboxamide moiety as c-Met kinase inhibitors. Bioorg. Med. Chem. 2013, 21, 2843–2855. [Google Scholar] [CrossRef] [PubMed]
  20. Tang, Q.; Wang, L.; Duan, Y.; Wang, W.; Huang, S.; Zhi, J.; Zhu, W.; Wang, P.; Luo, R.; Zheng, P. Discovery of novel 7-azaindole derivatives bearing dihydropyridazine moiety as c-Met kinase inhibitors. Eur. J. Med. Chem. 2017, 133, 97–106. [Google Scholar] [CrossRef] [PubMed]
  21. Kataoka, Y.; Mukohara, T.; Tomioka, H.; Funakoshi, Y.; Kiyota, N.; Fujiwara, Y.; Yashiro, M.; Hirakawa, K.; Hirai, M.; Minami, H. Foretinib (GSK1363089), a multi-kinase inhibitor of MET and VEGFRs, inhibits growth of gastric cancer cell lines by blocking inter-receptor tyrosine kinase networks. Investig. New Drugs 2012, 30, 1352–1360. [Google Scholar] [CrossRef] [PubMed]
  22. Li, X.; Zhao, T.; Chen, Q.; Li, P.; Wang, K.; Zhong, M.; Wei, J.; Wu, D.; Weief, B.; Zhu, H. Flexible all solid-state supercapacitors based on chemical vapor deposition derived graphene fibers. Phys. Chem. Chem. Phys. 2013, 15, 17752–17757. [Google Scholar] [CrossRef] [PubMed]
Sample Availability: Samples of the compounds 2253 are available from the authors.
Figure 1. The representative small-molecule c-Met kinase inhibitors.
Figure 1. The representative small-molecule c-Met kinase inhibitors.
Molecules 23 01543 g001
Figure 2. Structures and design strategy for target compounds.
Figure 2. Structures and design strategy for target compounds.
Molecules 23 01543 g002
Scheme 1. Reagents and conditions: (a) Br(CH2)3Cl, acetone, 0 °C, 30 min, rt, 12 h; (b) 98% HNO3, CH2Cl2, 0 °C, 4 h; (c) DMF-DMA, toluene, 110 °C, 10 h; (d) Fe powder, AcOH, rt, 30 min, 80 °C, 2 h; (e) secondary amines, CH3CN, 85 °C, 10 h; (f) POCl3, 85 °C, 6 h; (g) 2-fluoro-4-nitrophenol, PhCl, 140 °C, 30 h; (h) Fe powder, NH4Cl(cat.), EtOH/H2O, reflux, 5 h.
Scheme 1. Reagents and conditions: (a) Br(CH2)3Cl, acetone, 0 °C, 30 min, rt, 12 h; (b) 98% HNO3, CH2Cl2, 0 °C, 4 h; (c) DMF-DMA, toluene, 110 °C, 10 h; (d) Fe powder, AcOH, rt, 30 min, 80 °C, 2 h; (e) secondary amines, CH3CN, 85 °C, 10 h; (f) POCl3, 85 °C, 6 h; (g) 2-fluoro-4-nitrophenol, PhCl, 140 °C, 30 h; (h) Fe powder, NH4Cl(cat.), EtOH/H2O, reflux, 5 h.
Molecules 23 01543 sch001
Scheme 2. Reagents and conditions: (i) sodium nitrite, EtOH, ethyl acetoactate, 0 °C, 30 min; (j) DMF-DMA, 100 °C, reflux, 6–10 h; (k) EtOH, 10% NaOH, 80 °C, 1 h; (l) sodium carbonate, EtOH/H2O (5:1), 80 °C, 3-5 h; (m) oxalyl chloride, DMF, CH2Cl2, rt, 5 min; (n) DIPEA, CH2Cl2, rt, 0.5 h.
Scheme 2. Reagents and conditions: (i) sodium nitrite, EtOH, ethyl acetoactate, 0 °C, 30 min; (j) DMF-DMA, 100 °C, reflux, 6–10 h; (k) EtOH, 10% NaOH, 80 °C, 1 h; (l) sodium carbonate, EtOH/H2O (5:1), 80 °C, 3-5 h; (m) oxalyl chloride, DMF, CH2Cl2, rt, 5 min; (n) DIPEA, CH2Cl2, rt, 0.5 h.
Molecules 23 01543 sch002
Figure 3. The cell morphology of HepG2 cells of the control and test groups. (a) HepG2 cells treated without any compounds; (b) HepG2 cells were treated with 0.01 µM for 12 h; Changes of nuclear morphology were determined by AO staining.
Figure 3. The cell morphology of HepG2 cells of the control and test groups. (a) HepG2 cells treated without any compounds; (b) HepG2 cells were treated with 0.01 µM for 12 h; Changes of nuclear morphology were determined by AO staining.
Molecules 23 01543 g003
Figure 4. The docking mode of 53 with c-Met. (a) The 3D interaction map between the 53 and c-Met, the hydrogen bonds was colored with yellow; (b) 2D depiction of the ligand-protein interaction.
Figure 4. The docking mode of 53 with c-Met. (a) The 3D interaction map between the 53 and c-Met, the hydrogen bonds was colored with yellow; (b) 2D depiction of the ligand-protein interaction.
Molecules 23 01543 g004
Table 1. c-Met Enzymatic and Cellular Activities of the target compounds 2253.
Table 1. c-Met Enzymatic and Cellular Activities of the target compounds 2253.
Molecules 23 01543 i001
CompoundsR1R2IC50 a (nM)IC50 (µM)
c-MetA549HepG2MCF-7
22Molecules 23 01543 i0024-F47.00.25 ± 0.012.23 ± 0.350.21 ± 0.02
234-Cl>500NA bNANA
244-Br>500NANANA
254-OCH3233.04.24 ± 0.626.75 ± 0.8227.24 ± 1.44
263-Cl-4F352.03.70 ± 0.57NA5.96 ± 0.77
272-F-4Br478.0NANANA
283-CF3-4Cl382.05.25 ± 0.72NA7.49 ± 0.87
29H16.00.20 ± 0.022.27 ± 0.360.03 ± 0.01
30Molecules 23 01543 i0034-F17.00.31 ± 0.010.99 ± 0.010.69 ± 0.02
314-Cl78.00.57 ± 0.020.69 ± 0.031.16 ± 0.06
324-Br246.02.89 ± 0.461.75 ± 0.242.45 ± 0.39
334-OCH356.02.78 ± 0.440.63 ± 0.082.35 ± 0.37
343-Cl-4F2.00.36 ± 0.041.28 ± 0.110.15 ± 0.04
352-F-4Br8.01.36 ± 0.193.10 ± 0.491.19 ± 0.08
363-CF3-4Cl11.00.79 ± 0.061.80 ± 0.260.73 ± 0.08
37H4.00.06 ± 0.010.18 ± 0.010.03 ± 0.01
38Molecules 23 01543 i0044-F>50028.89 ± 1.4647.23 ± 1.6722.47 ± 1.35
394-Cl169.012.43 ± 1.097.81 ± 0.8914.14 ± 1.15
404-Br345.013.47 ± 1.138.84 ± 0.959.74 ± 0.99
414-OCH30.90.02 ± 0.010.008 ± 0.0010.02 ± 0.01
423-Cl-4F1.20.005 ± 0.0011.03 ± 0.010.007 ± 0.001
432-F-4Br2.00.03 ± 0.010.003 ± 0.0010.005 ± 0.001
443-CF3-4Cl19.00.15 ± 0.030.65 ± 0.055.96 ± 0.07
45H187.02.95 ± 0.474.66 ± 0.672.01 ± 0.30
46Molecules 23 01543 i0054-F39.01.64 ± 0.227.51 ± 0.871.66 ± 0.22
474-Cl145.019.99 ± 1.3014.25 ± 1.1521.08 ± 1.32
484-Br>500NANANA
494-OCH378.09.12 ± 0.963.68 ± 0.578.12 ± 0.91
503-Cl-4F2.00.02 ± 0.012.46 ± 0.390.02 ± 0.01
512-F-4Br123.05.63 ± 0.756.39 ± 0.815.43 ± 0.74
523-CF3-4Cl0.80.04 ± 0.010.33 ± 0.030.15 ± 0.02
53H0.60.003 ± 0.0010.49 ± 0.030.006 ± 0.001
Foretinib c--1.80.26 ± 0.030.84 ± 0.072.76 ± 0.53
a The values are an average of two separate determinations. b NA: Not active (IC50 > 50 µM). c Used as a positive control.

Share and Cite

MDPI and ACS Style

Liu, X.; Kou, J.; Xiao, Z.; Tian, F.; Hu, J.; Zheng, P.; Zhu, W. Design, Synthesis and Biological Evaluation of 6,7-Disubstituted-4-phenoxyquinoline Derivatives Bearing Pyridazinone Moiety as c-Met Inhibitors. Molecules 2018, 23, 1543. https://doi.org/10.3390/molecules23071543

AMA Style

Liu X, Kou J, Xiao Z, Tian F, Hu J, Zheng P, Zhu W. Design, Synthesis and Biological Evaluation of 6,7-Disubstituted-4-phenoxyquinoline Derivatives Bearing Pyridazinone Moiety as c-Met Inhibitors. Molecules. 2018; 23(7):1543. https://doi.org/10.3390/molecules23071543

Chicago/Turabian Style

Liu, Xiaobo, Jianlan Kou, Zhen Xiao, Fajuan Tian, Jiayi Hu, Pengwu Zheng, and Wufu Zhu. 2018. "Design, Synthesis and Biological Evaluation of 6,7-Disubstituted-4-phenoxyquinoline Derivatives Bearing Pyridazinone Moiety as c-Met Inhibitors" Molecules 23, no. 7: 1543. https://doi.org/10.3390/molecules23071543

APA Style

Liu, X., Kou, J., Xiao, Z., Tian, F., Hu, J., Zheng, P., & Zhu, W. (2018). Design, Synthesis and Biological Evaluation of 6,7-Disubstituted-4-phenoxyquinoline Derivatives Bearing Pyridazinone Moiety as c-Met Inhibitors. Molecules, 23(7), 1543. https://doi.org/10.3390/molecules23071543

Article Metrics

Back to TopTop