Microbial Hydrolysis of Racemic β-Aryl-γ-ethylidene-γ-lactones and Antifeedant Activity of the Products against Alphitobius diaperinus Panzer
Abstract
:1. Introduction
2. Results and Discussion
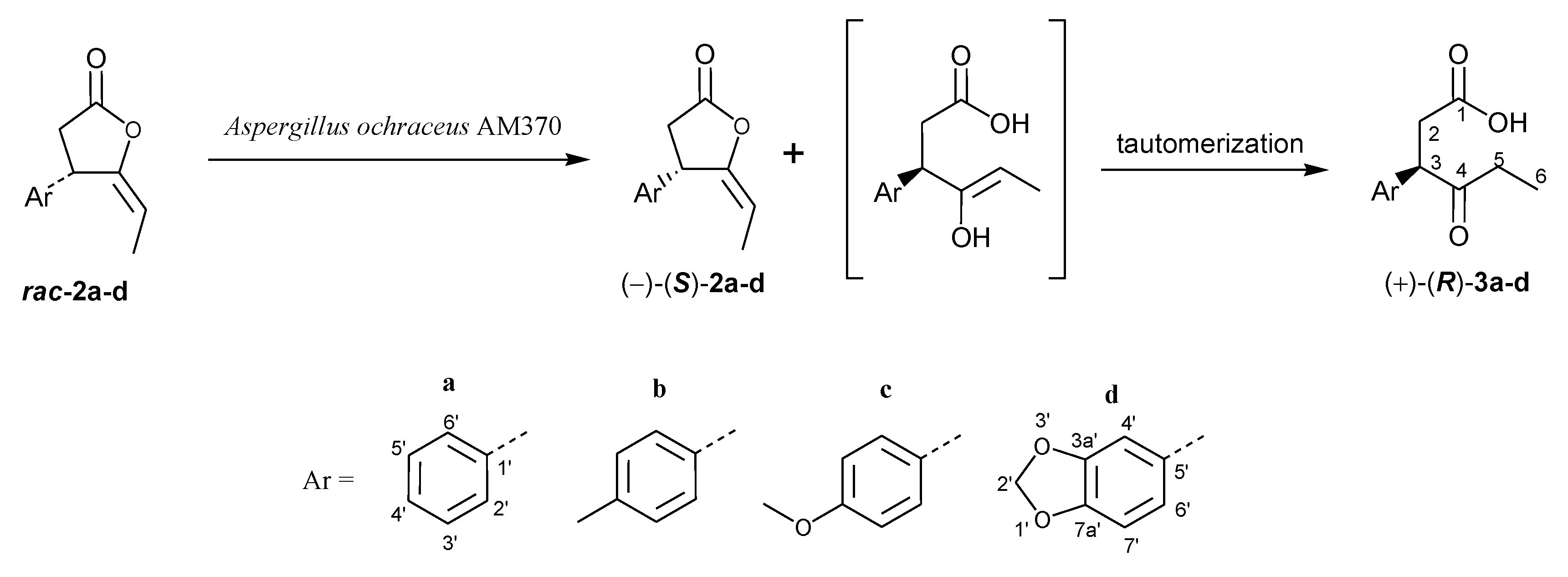
2.1. Hydrolysis of Lactones 2a–d
2.2. Antifeedant Activity
3. Materials and Methods
3.1. Analysis
3.2. Chemicals
3.3. Synthesis of (−)-(S,E)-5-Ethylidene-4-(4′methylphenyl)dihydrofuran-2-one [(−)-2b]
3.4. Microorganism and Growing Medium
3.5. Screening Procedure
3.6. General Procedure for Multiplied Scale Biotransformation of Racemic γ-Lactones 2a–d and Isolation of the Products
3.7. Biotransformation of (±)-(E)-5-Ethylidene-4-phenyldihydrofuran-2-one (2a)
3.8. Biotransformation of (±)-(E)-5-Ethylidene-4-(4′-methylphenyl)dihydrofuran-2-one (2b)
3.9. Biotransformation of (±)-(E)-5-Ethylidene-4-(4′-methoxyphenyl)dihydrofuran-2-one (2c)
3.10. Biotransformation of (±)-(E)-4-(benzo[d][1,′3′]dioxol-5′-yl)-5-ethylidenedihydrofuran-2 one (2d)
3.11. Antifeedant Activity Assays
3.12. Statistical Analysis
4. Conclusions
Author Contributions
Funding
Acknowledgments
Conflicts of Interest
References
- Straathof, A.J.J.; Panke, S.; Schmid, A. The production of fine chemicals by biotransformations. Curr. Opin. Biotechnol. 2002, 13, 548–556. [Google Scholar] [CrossRef]
- Borges, K.B.; De Souza Borges, W.; Durán-Patrón, R.; Tallarico Pupo, M.; Sueli Bonato, P.; González Collado, I. Stereoselective biotransformations using fungi as biocatalysts. Tetrahedron Asymmetry 2009, 20, 385–397. [Google Scholar] [CrossRef]
- Pàmies, O.; Bäckvall, J.-E. Combined metal catalysis and biocatalysis for an efficient deracemization process. Curr. Opin. Biotechnol. 2003, 14, 407–413. [Google Scholar] [CrossRef]
- Kamal, A.; Ameruddin Azhar, M.; Tadiparthi Krishnaji, M.; Malik, S.; Azeeza, S. Approaches based on enzyme mediated kinetic to dynamic kinetic resolutions: A versatile route for chiral intermediates. Coord. Chem. Rev. 2008, 252, 569–592. [Google Scholar] [CrossRef]
- Strauss, U.T.; Felfer, U.; Faber, K. Biocatalytic transformation of racemates into chiral building blocks in 100% chemical yield and 100% enantiomeric excess. Tetrahedron Asymmetry 1998, 10, 107–117. [Google Scholar] [CrossRef]
- Im, J.-S.; Ahn, S.-H.; Park, Y.-H. Reaction characteristics of the dynamic kinetic resolution of 1-phenylethanol over Ru complexes immobilized on PTA-modified γ-alumina and Novozym 435®. Chem. Eng. J. 2013, 234, 49–56. [Google Scholar] [CrossRef]
- Adam, W.; Hoch, U.; Lazarus, M.; Saha-Möller, C.R.; Schreier, P. Enzyme-catalyzed asymmetric synthesis: Kinetic resolution of racemic hydroperoxides by enantioselective reduction to alcohols with horseradish peroxidase. J. Am. Chem. Soc. 1995, 117, 11898–11901. [Google Scholar] [CrossRef]
- Soriano-Maldonado, P.; Rodríguez-Alonso, M.J.; Hernández-Cervantes, C.; Rodríguez-García, I.; Clemente-Jiménez, J.M.; Rodríguez-Vico, F.; Martínez-Rodríguez, S.; Las Heraz Vázquez, F.J. Amidohydrolase process: Expanding the use of l-N-carbamoylase/N-succinyl-amino acid racemase tandem for the production of different optically pure l-amino acids. Process Biochem. 2014, 49, 1281–1287. [Google Scholar] [CrossRef]
- Gotor-Fernández, V.; Brieva, R.; Gotor, V. Lipases: Useful biocatalysts for the preparation of pharmaceuticals. J. Mol. Catal. B Enzym. 2006, 40, 111–120. [Google Scholar] [CrossRef]
- Jaeger, K.-E.; Eggert, T. Lipases for biotechnology. Curr. Opin. Biotechnol. 2002, 13, 390–397. [Google Scholar] [CrossRef]
- Chojnacka, A.; Obara, R.; Wawrzeńczyk, C. Kinetic resolution of racemic secondary aliphatic allylic alcohols in lipase-catalyzed transesterification. Tetrahedron Asymmetry 2007, 18, 101–107. [Google Scholar] [CrossRef]
- Szczepanik, M.; Grudniewska, A.; Wawrzeńczyk, C. Structure-related antifeedant activity of halolactones with a p-menthane system against the lesser mealworm, Alphitobius diaperinus Panzer. Pest Manag. Sci. 2014, 70, 953–958. [Google Scholar] [CrossRef] [PubMed]
- Nawrot, J.; Dams, I.; Wawrzeńczyk, C. Feeding deterrent activity of terpenoid lactones with a p-menthane system against stored-product pests. J. Stored Prod. Res. 2009, 45, 221–225. [Google Scholar] [CrossRef]
- Pour, M.; Špulák, M.; Balšánek, V.; Kuneš, J.; Kubanová, P.; Buchta, V. Synthesis and structure–antifungal activity relationships of 3-aryl-5-alkyl-2,5-dihydrofuran-2-ones and their carbanalogues: Further refinement of tentative pharmacophore group. Bioorg. Med. Chem. 2003, 11, 2843–2866. [Google Scholar] [CrossRef]
- Olejniczak, T.; Boratyński, F.; Białońska, A. Fungistatic activity of bicyclo[4.3.0]-γ-lactones. J. Agric. Food Chem. 2011, 59, 6071–6081. [Google Scholar] [CrossRef] [PubMed]
- Mazur, M.; Gładkowski, W.; Podkowik, M.; Bania, J.; Nawrot, J.; Białońska, A.; Wawrzeńczyk, C. Lactones 43. New biologically active lactones: β-cyclocitral derivatives. Pest Manag. Sci. 2014, 70, 286–294. [Google Scholar] [CrossRef] [PubMed]
- Singh, S.B.; Jayasuriya, H.; Dewey, R.; Polishook, J.D.; Dombrowski, A.W.; Zink, D.L.; Guan, Z.; Collado, J.; Platas, G.; Pelaez, F.; et al. Isolation, structure, and HIV-1-integrase inhibitory activity of structurally diverse fungal metabolites. J. Ind. Microbiol. Biotechnol. 2003, 30, 286–294. [Google Scholar]
- Da Silva, R.; De Souza, G.H.B.; Da Silva, A.A.; De Souza, V.A.; Pereira, A.C.; Royo, V.d.A.; Silva, M.L.A.; Donate, P.M.; De Matos Araújo, A.L.S.; Carvalho, J.C.T.; et al. Synthesis and biological activity evaluation of lignin lactones derived from (–)-cubebin. Bioorg. Med. Chem. Lett. 2005, 15, 1033–1037. [Google Scholar] [CrossRef] [PubMed]
- Willför, S.M.; Ahotupa, M.O.; Hemming, J.E.; Reunanen, M.H.T.; Eklund, P.C.; Sjöholm, R.E.; Eckerman, C.S.E.; Pohjamo, S.P.; Holmbom, B.R. Antioxidant activity of knotwood extractives and phenolic compounds of selected tree species. J. Agric. Food Chem. 2003, 51, 7600–7606. [Google Scholar] [CrossRef] [PubMed]
- Habrant, D.; Poigny, S.; Ségur-Derai, M.; Brunel, Y.; Heurtaux, B.; Le Gall, T.; Strehle, A.; Saladin, R.; Meunier, S.; Mioskowski, C.; et al. Evaluation of antioxidant properties of monoaromatic derivatives of pulvinic Acids. J. Med. Chem. 2009, 52, 2454–2464. [Google Scholar] [CrossRef] [PubMed]
- Chen, J.-L.; Lin, S.-Z.; Chang, J.-Y.; Cheng, Y.-L.; Tsai, N.-M.; Chen, S.-P.; Chang, W.-L.; Harn, H.-J. In vitro and in vivo studies of a novel potential anticancer agent of isochaihulactone on human lung cancer A549 cells. Biochem. Pharmacol. 2006, 72, 308–319. [Google Scholar] [CrossRef] [PubMed]
- Ho, P.-J.; Chou, C.-K.; Kou, Y.-H.; Tu, L.-C.; Yeh, S.-F. Taiwanin A induced cell cycle arrest and p53-dependent apoptosis in human hepatocellular carcinoma HepG2 cells. Life Sci. 2007, 80, 493–503. [Google Scholar] [CrossRef] [PubMed]
- Brown, H.C.; Kulkarni, S.V.; Racherla, U.S. Chiral synthesis via organoboranes. 39. A facile synthesis of γ-substituted-γ-butyrolactones in exceptionally high enantiomeric purity. J. Org. Chem. 1994, 59, 365–369. [Google Scholar] [CrossRef]
- Koch, S.S.C.; Chamberlin, R. Enantioselective preparation of 8-alkyl-γ-butyrolactones from functionalized ketene dithioacetals. J. Org. Chem. 1993, 58, 2725–2737. [Google Scholar] [CrossRef]
- Holland, H.L. Microbial transformations. Curr. Opin. Chem. Biol. 1998, 2, 77–84. [Google Scholar] [CrossRef]
- Kataoka, M.; Shimizu, K.; Sakamoto, K.; Yamada, H.; Shimizu, S. Lactonohydrolaze-catalyzed optical resolution of a potent enzyme producer and optimization of culture and reaction conditions for practical resolution. Appl. Microbiol. Biotechnol. 1995, 44, 333–338. [Google Scholar] [CrossRef]
- Shimizu, S.; Kataoka, M.; Honda, K.; Sakamoto, K. Lactone-ring-cleaving enzymes of microorganisms: Their diversity and applications. J. Biotechnol. 2001, 92, 187–194. [Google Scholar] [CrossRef]
- Sakamoto, K.; Honda, K.; Wada, K.; Kita, S.; Tsuzaki, K.; Nose, H.; Kataoka, M.; Shimizu, S. Practical resolution of system for dl-pantoyl lactone using the lactonase from Fusarium oxysporum. J. Biotechnol. 2005, 118, 99–106. [Google Scholar] [CrossRef] [PubMed]
- Tang, X.-Z.; Sun, Z.-H.; Hua, L.; Lv, C.-F.; Gou, X.-F.; Wang, J. Kinetic resolution of dl-pantolactone by immobilized Fusarium moniliforme SW-902. Process Biochem. 2002, 38, 545–549. [Google Scholar] [CrossRef]
- Enzelberger, M.M.; Bornscheuer, U.T.; Gatfield, I.; Schmid, R.D. Lipase-catalyzed resolution of γ- and δ-lactones. J. Biotechnol. 1997, 56, 129–133. [Google Scholar] [CrossRef]
- Fajkowska, M.; Obara, R.; Wawrzeńczyk, C. Lactones 29. Enzymatic resolution of racemic γ-lactones. Biocatal. Biotransform. 2001, 25, 79–83. [Google Scholar] [CrossRef]
- Gładkowski, W.; Skrobiszewski, A.; Mazur, M.; Siepka, M.; Pawlak, A.; Obmińska-Mrukowicz, B.; Białońska, A.; Poradowski, D.; Drynda, A.; Urbaniak, M. Synthesis and anticancer activity of novel halolactones with β-aryl substituents from simple aromatic aldehydes. Tetrahedron 2013, 69, 10414–10423. [Google Scholar] [CrossRef]
- Skrobiszewski, A.; Gładkowski, W.; Walczak, P.; Gliszczyńska, A.; Maciejewska, G.; Klejdysz, T.; Nawrot, J.; Wawrzeńczyk, C. Synthesis of β-aryl-γ-lactones and relationship: Structure–antifeedant and antifungal activity. J. Chem. Sci. 2015, 127, 687–699. [Google Scholar] [CrossRef]
- Mazur, M.; Skrobiszewski, A.; Gładkowski, W.; Podkowik, M.; Bania, J.; Nawrot, J.; Klejdysz, T.; Wawrzeńczyk, C. Lactones 46. Synthesis, antifeedant and antibacterial activity of γ-lactones with a p-methoxyphenyl substituent. Pest Manag. Sci. 2016, 72, 489–496. [Google Scholar] [CrossRef] [PubMed]
- Gładkowski, W.; Skrobiszewski, A.; Mazur, M.; Siepka, M.; Białońska, A. Convenient chemoenzymatic route to optically active β-aryl-δ-iodo-γ-lactones and β-aryl-γ-iodo-δ-lactones with the defined configurations of stereogenic centers. Eur. J. Org. Chem. 2015, 2015, 605–615. [Google Scholar] [CrossRef]
- Gładkowski, W.; Skrobiszewski, A.; Mazur, M.; Gliszczyńska, A.; Czarnecka, M.; Pawlak, A.; Obmińska-Mrukowicz, B.; Maciejewska, G.; Białońska, A. Chiral δ-iodo-γ-lactones derived from cuminaldehyde, 2,5-dimethylbenzaldehyde and piperonal: Chemoenzymatic synthesis and antiproliferative activity. Tetrahedron Asymmetry 2016, 27, 227–237. [Google Scholar] [CrossRef]
- Skrobiszewski, A.; Gładkowski, W.; Maciejewska, G.; Wawrzeńczyk, C. Chemoenzymatic synthesis of trans-β-aryl-δ-hydroxy-γ-lactones and enzymatic kinetic resolution of their racemic mixtures. Molecules 2016, 21, 1552. [Google Scholar] [CrossRef] [PubMed]
- Boratyński, F.; Szczepańska, E.; Grudniewska, A.; Olejniczak, T. Microbial kinetic resolution of aroma compounds using solid-state fermentation. Catalysts 2018, 8, 28. [Google Scholar] [CrossRef]
- Langlois, M.; Guillonneau, C.; Maillard, J. Synthesis and antidepressant properties of 2-amino-4-phenyl-1-pyrroline derivatives. Eur. J. Med. Chem. 1978, 13, 161–169. [Google Scholar]
- Gładkowski, W.; Gliszczyńska, A.; Siepka, M.; Czarnecka, M.; Maciejewska, G. Kinetic resolution of (E)-4-(2′,5′-dimethylphenyl)-but-3-en-2-ol and (E)-4-(benzo[d][1′,3′]dioxol-5′-yl)-but-3-en-2-ol through lipase-catalyzed transesterification. Tetrahedron Asymmetry 2015, 26, 702–709. [Google Scholar] [CrossRef]
- Kong, X.D.; Yuan, S.; Li, L.; Chen, S.; Xu, J.H.; Zhou, J. Engineering of an epoxide hydrolase for efficient bioresolution of bulky pharmaco substrates. Proc. Natl. Acad. Sci. USA 2014, 111, 15717–15722. [Google Scholar] [CrossRef] [PubMed]
- Szczepanik, M.; Dams, I.; Wawrzeńczyk, C. Terpenoid lactones with p-menthane system as feeding deterrents to the lesser mealworm (Alphitobius diaperinus Panzer) (Coleoptera: Tenebrionidae). Entomol. Exp. Appl. 2008, 128, 337–345. [Google Scholar] [CrossRef]
Sample Availability: Samples of the compounds 2a–d, (−)-2a–d and (+)-3a–d are available from the authors. |



| Substrate | ||||
|---|---|---|---|---|
| 2a | 2b | 2c | 2d | |
| Conversion a [%] | 48 | 55 | 52 | 48 |
| ee [%] | 77 | 56 | 22 | 15 |
| Entry | Compound | Deterrence Coefficients 1 | |||||
|---|---|---|---|---|---|---|---|
| Larvae | Adults | ||||||
| A | R | T | A | R | T | ||
| 1 | (±)-2a | 8.59 ± 5.63a | 64.01 ± 6.21ab | 72.60 ± 12.43a | 64.13 ± 11.44bc | 83.07 ± 3.60cd | 147.19 ± 14.07def |
| 2 | (±)-2b | 84.4 ± 4.49d | 78.96 ± 2.25bc | 163.36 ± 4.66b | 81.16 ± 10.67de | 72.54 ± 5.25abcd | 153.7 ± 6.68def |
| 3 | (±)-2c | 53.87 ± 6.71d | 90.48 ± 4.61bc | 144.35 ± 5.82ab | 91.88 ± 1.97e | 93.64 ± 0.73d | 185.52 ± 2.09ef |
| 4 | (±)-2d | 67.92 ± 13.34d | 96.19 ± 0.58c | 164.11 ± 11.88b | 71.12 ± 9.97de | 85.56 ± 6.81bcd | 156.67 ± 8.73def |
| 5 | (−)-(S)-2a | 9.33 ± 1.34a | 94.87 ± 1.52bc | 104.20 ± 3.04a | 22.47 ± 8.98a | 90.83 ± 3.58cd | 113.31 ± 12.53abc |
| 6 | (−)-(S)-2b | 30.15 ± 4.16ab | 70.62 ± 12.86ab | 100.76 ± 12.76a | 47.19 ± 3.48ab | 90.23 ± 2.86cd | 137.41 ± 6.85bcd |
| 7 | (−)-(S)-2c | 55.11 ± 12.11bcd | 85.84 ± 2.21bc | 140.95 ± 10.88b | 94.69 ± 1.64e | 94.06 ± 1.22d | 188.75 ± 1.87f |
| 8 | (−)-(S)-2d | 44.10 ± 2.07bc | 91.49 ± 2.19bc | 135.59 ± 1.33ab | 76.07 ± 9.66de | 94.29 ± 1.39d | 170.36 ± 9.85def |
| 9 | (+)-(R)-3a | 43.61 ± 3.38bc | 86.87 ± 3.78bc | 130.48 ± 5.33a | 33.12 ± 3.65ab | 75.59 ± 4.38bcd | 108.71 ± 7.34abc |
| 10 | (+)-(R)-3b | 82.60 ± 0.39d | 66.45 ± 7.29ab | 149.05 ± 6.32b | 29.18 ± 2.19a | 65.17 ± 5.62ab | 94.35 ± 5.92ab |
| 11 | (+)-(R)-3c | 59.08 ± 1.43d | 50.08 ± 5.99ab | 109.16 ± 2.14a | 30.67 ± 4.48ab | 53.16 ± 2.93a | 83.83 ± 5.61a |
| 12 | (+)-(R)-3d | 60.16 ± 6.23bcd | 39.59 ± 9.08a | 99.75 ± 7.51a | 31.36 ± 5.99ab | 50.22 ± 11.46a | 81.58 ± 9.25a |
| 13 | Azadirachtin [42] | 97.00 | 82.62 | 179.62 | 99.14 | 98.44 | 197.58 |
© 2018 by the authors. Licensee MDPI, Basel, Switzerland. This article is an open access article distributed under the terms and conditions of the Creative Commons Attribution (CC BY) license (http://creativecommons.org/licenses/by/4.0/).
Share and Cite
Skrobiszewski, A.; Gładkowski, W.; Mazur, M.; Szczepanik, M.; Maciejewska, G.; Wawrzeńczyk, C. Microbial Hydrolysis of Racemic β-Aryl-γ-ethylidene-γ-lactones and Antifeedant Activity of the Products against Alphitobius diaperinus Panzer. Molecules 2018, 23, 1516. https://doi.org/10.3390/molecules23071516
Skrobiszewski A, Gładkowski W, Mazur M, Szczepanik M, Maciejewska G, Wawrzeńczyk C. Microbial Hydrolysis of Racemic β-Aryl-γ-ethylidene-γ-lactones and Antifeedant Activity of the Products against Alphitobius diaperinus Panzer. Molecules. 2018; 23(7):1516. https://doi.org/10.3390/molecules23071516
Chicago/Turabian StyleSkrobiszewski, Andrzej, Witold Gładkowski, Marcelina Mazur, Maryla Szczepanik, Gabriela Maciejewska, and Czesław Wawrzeńczyk. 2018. "Microbial Hydrolysis of Racemic β-Aryl-γ-ethylidene-γ-lactones and Antifeedant Activity of the Products against Alphitobius diaperinus Panzer" Molecules 23, no. 7: 1516. https://doi.org/10.3390/molecules23071516
APA StyleSkrobiszewski, A., Gładkowski, W., Mazur, M., Szczepanik, M., Maciejewska, G., & Wawrzeńczyk, C. (2018). Microbial Hydrolysis of Racemic β-Aryl-γ-ethylidene-γ-lactones and Antifeedant Activity of the Products against Alphitobius diaperinus Panzer. Molecules, 23(7), 1516. https://doi.org/10.3390/molecules23071516
