Synthesis and Promotion of the Osteoblast Proliferation Effect of Morroniside Derivatives
Abstract
1. Introduction
2. Results and Discussions
2.1. Preparations of Morroniside Derivatives
2.2. Cell Viability Assay
2.3. Activities of OC and ALP Assay
3. Materials and Methods
3.1. General
3.2. Synthesis
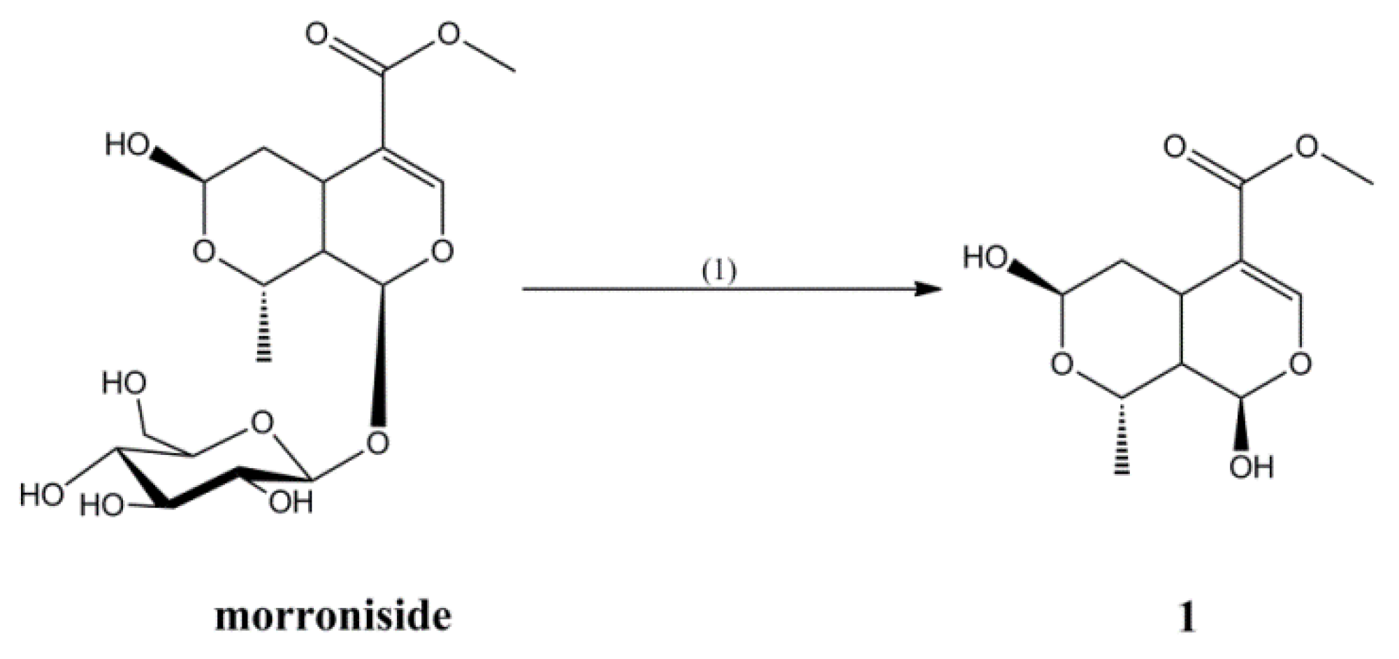
3.2.1. Synthesis of Compound 1
3.2.2. Synthesis of Compounds 2–9
3.2.3. Synthesis of Compounds 10 and 11
3.2.4. Synthesis of Compound 12
3.2.5. Synthesis of Compound 13
3.2.6. Synthesis of Compound 14
3.3. Biological Assays
3.4. Activities of OC and ALP Assays
4. Conclusions
Author Contributions
Funding
Conflicts of Interest
References
- Marsell, R.; Einhorn, T.A. The Biology of fracture healing. Inj.-Int. J. Care Inj. 2011, 42, 551–555. [Google Scholar] [CrossRef] [PubMed]
- Kanis, J.A.; Odén, A. A systematic review of hip fracture incidence and probability of fracture worldwide. Osteoporos. Int. J. Establ. Result Cooper. Eur. Found. Osteoporos. Natl. Osteoporos. Found. USA 2012, 23, 2239–2256. [Google Scholar] [CrossRef] [PubMed]
- Boonen, S.; Reginster, J.Y.; Kaufman, J.M.; Lippuner, K.; Zanchetta, J.; Langdahl, B.; Rizzoli, R.; Lipschitz, S.; Dimai, H.P.; Witvrouw, R. Fracture risk and zoledronic acid therapy in men with osteoporosis. N. Engl. J. Med. 2012, 367, 1714–1723. [Google Scholar] [CrossRef] [PubMed]
- Ensrud, K.E.; Ewing, S.K.; Taylor, B.C.; Fink, H.A.; Stone, K.L.; Cauley, J.A.; Tracy, J.K.; Hochberg, M.C.; Rodondi, N.; Cawthon, P.M. Frailty and Risk of Falls, Fracture, and Mortality in Older Women: The Study of Osteoporotic Fractures. J. Gerontol. 2017, 62, 744–751. [Google Scholar] [CrossRef]
- Sugiyama, T.; Torio, T.; Sato, T.; Matsumoto, M.; Kim, Y.T.; Oda, H. Improvement of skeletal fragility by teriparatide in adult osteoporosis patients: A novel mechanostat-based hypothesis for bone quality. Front. Endocrinol. 2015, 6, 6. [Google Scholar] [CrossRef] [PubMed]
- Edwards, M.H.; Dennison, E.M.; Aihie, S.A.; Fielding, R.; Cooper, C. Osteoporosis and sarcopenia in older age. Bone 2015, 80, 126–130. [Google Scholar] [CrossRef] [PubMed]
- Avenell, A.; Handoll, H.H. Nutritional supplementation for hip fracture aftercare in older people. Int. J. Older People Nurs. 2011, 6, 315–317. [Google Scholar]
- Donell, S.; Ryder, J.J. Bone morphogenetic protein (BMP) for fracture healing in adults. Cochrane Database Syst. Rev. 2010, 65. [Google Scholar] [CrossRef]
- Bischoff-Ferrari, H.A.; Willett, W.C.; Orav, E.J.; Lips, P.; Meunier, P.J.; Lyons, R.A.; Flicker, L.; Wark, J.; Jackson, R.D.; Cauley, J.A. A pooled analysis of vitamin D dose requirements for fracture prevention. N. Engl. J. Med. 2012, 367, 40–49. [Google Scholar] [CrossRef] [PubMed]
- Badescu, L.; Badulescu, O.; Badescu, M.; Ciocoiu, M. Mechanism by Sambucus nigra Extract Improves Bone Mineral Density in Experimental Diabetes. Evid.-Based Complement. Altern. Med. 2012, 2012. [Google Scholar] [CrossRef] [PubMed]
- Wang, Z.Y.; Han, H.; Yang, B.Y.; Xia, Y.G.; Kuang, H.X. Two new iridoid glycosides from the root barks of Sambucus williamsii Hance. Molecules 2012, 17, 3869–3874. [Google Scholar] [CrossRef] [PubMed]
- Zhang, K.; Ding, Y.; Kou, Z.; Dong, L.; Guo, Y.; Zhu, J. Researching Progress in Chemical Constituents and Biological Activity of Sambucus Williamsii Hance. Mod. Chin. Med. 2014, 10, 870–876. [Google Scholar]
- Hu, N.; Ren, S.; Li, W.; Zhang, T.; Zhao, C. Morroniside promotes bone marrow mesenchymal stem cell proliferation in rats. Mol. Med. Rep. 2013, 7, 1565–1570. [Google Scholar] [CrossRef] [PubMed]
- Hua, H.; Yang, B.; Xia, Y.; Wang, Q.; Kuang, H. Pharmacological Mechanism of Sambucus williamsii Hance in Promoting Fracture Healing. China Pharm. 2013, 16, 482–485. [Google Scholar]
- Hua, H.; Yang, B.Y.; Liu, Y.; Xia, Y.G.; Wang, Q.H. Promotion of Sambucus williamsii root barks on fracture healing. Chin. Tradit. Herb. Drugs 2013, 44, 1957–1961. [Google Scholar]
- Yang, B.; Lin, X.; Yang, C.; Tan, J.; Li, W.; Kuang, H. Sambucus Williamsii Hance Promotes MC3T3-E1 Cells Proliferation and Differentiation via BMP-2/Smad/p38/JNK/Runx2 Signaling Pathway. Phytother. Res. 2015, 29, 1692–1699. [Google Scholar] [CrossRef] [PubMed]
- Park, C.H.; Yamabe, N.; Noh, J.S.; Kang, K.S.; Tanaka, T.; Yokozawa, T. The beneficial effects of morroniside on the inflammatory response and lipid metabolism in the liver of db/db mice. Biol. Pharm. Bull. 2009, 32, 1734–1740. [Google Scholar] [CrossRef] [PubMed]
- Zhu, J.; Xu, K.; Zhang, X.; Cao, J.; Jia, Z.; Yang, R.; Ma, C.; Chen, C.; Zhang, T.; Yan, Z. Studies on the regulation of lipid metabolism and its mechanism of the iridoids rich fraction in Valeriana jatamansi Jones. Biomed. Pharmacother. 2016, 84, 1891–1898. [Google Scholar] [CrossRef] [PubMed]
- Hui-Hua, Q.U.; Zhang, G.L.; Zhao, Y.; Wan, F.; Jia-Yang, S.; Wang, Y.; Kong, H.; Wang, Q.G. Synthesis and identification of artificial antigen of geniposide. J. Beijing Univ. Tradit. Chin. Med. 2013, 36, 387–392. [Google Scholar]
- Fan, H.; Peng, J.; Hamann, M.T.; Hu, J.F. Lamellarins and Related Pyrrole-Derived Alkaloids from Marine Organisms. Chem. Rev. 2008, 39, 264–287. [Google Scholar] [CrossRef] [PubMed]
- Toxqui, L.; Vaquero, M.P. Chronic iron deficiency as an emerging risk factor for osteoporosis: A hypothesis. Nutrients 2015, 7, 2324–2344. [Google Scholar] [CrossRef] [PubMed]
- Xiao, W.; Hu, Z.; Li, T.; Li, J. Bone fracture healing is delayed in splenectomic rats. Life Sci. 2016, 173, 55–61. [Google Scholar] [CrossRef] [PubMed]
- Ibrahim, N.I.; Mohamed, N.; Soelaiman, I.N.; Shuid, A.N. The Effects of Targeted Deliveries of Lovastatin and Tocotrienol on Ossification-Related Gene Expressions in Fracture Healing in an Osteoporosis Rat Model. Int. J. Environ. Res. Public Health 2015, 12, 12958–12976. [Google Scholar] [CrossRef] [PubMed]
- Xue, S.; Ding, K.; Liu, J. Color forming property of derivatives and modificacion products of natural iridoids with methylamine. J. Am. Leather Chem. Assoc. 2015, 110, 1–6. [Google Scholar]
- Sunghwa, F.; Sakurai, H.; Saiki, I.; Koketsu, M. Iodine-catalyzed etherification of morroniside. Chem. Pharm. Bull. 2009, 40, 112–115. [Google Scholar] [CrossRef]
- Endo, T.; Taguchi, H. Study on the constituents of Cornus officinalis Sieb. et Zucc. Yakugaku Zasshi J. Pharm. Soc. Jpn. 1973, 93, 30–32. [Google Scholar] [CrossRef]
- Bennasar, M.L.; Roca, T.; Monerris, M. Total synthesis of the proposed structures of indole alkaloids lyaline and lyadine. J. Org. Chem. 2004, 69, 752–756. [Google Scholar] [CrossRef] [PubMed]
Sample Availability: Samples of the compounds are not available from the authors. |





| Compound | EC50 (μg/mL) | Compound | EC50 (μg/mL) |
|---|---|---|---|
| 1 | 2042 ± 3.310 | 8 | 1068 ± 3.029 |
| 2 | 118.2 ± 2.073 | 9 | 656.0 ± 2.817 |
| 3 | 14.78 ± 1.170 | 10 | 961.6 ± 2.983 |
| 4 | 434.2 ± 2.638 | 11 | 1022 ± 3.009 |
| 5 | 164.4 ± 2.216 | 12 | 927.0 ± 2.967 |
| 6 | 1342 ± 3.128 | 13 | 637.2 ± 2.804 |
| 7 | 1028 ± 3.012 | 14 | 307.8 ± 2.488 |
© 2018 by the authors. Licensee MDPI, Basel, Switzerland. This article is an open access article distributed under the terms and conditions of the Creative Commons Attribution (CC BY) license (http://creativecommons.org/licenses/by/4.0/).
Share and Cite
Han, H.; Li, Z.; Qu, N.; Chen, S.; Dong, P. Synthesis and Promotion of the Osteoblast Proliferation Effect of Morroniside Derivatives. Molecules 2018, 23, 1412. https://doi.org/10.3390/molecules23061412
Han H, Li Z, Qu N, Chen S, Dong P. Synthesis and Promotion of the Osteoblast Proliferation Effect of Morroniside Derivatives. Molecules. 2018; 23(6):1412. https://doi.org/10.3390/molecules23061412
Chicago/Turabian StyleHan, Hua, ZhengQing Li, Na Qu, Si Chen, and PeiLiang Dong. 2018. "Synthesis and Promotion of the Osteoblast Proliferation Effect of Morroniside Derivatives" Molecules 23, no. 6: 1412. https://doi.org/10.3390/molecules23061412
APA StyleHan, H., Li, Z., Qu, N., Chen, S., & Dong, P. (2018). Synthesis and Promotion of the Osteoblast Proliferation Effect of Morroniside Derivatives. Molecules, 23(6), 1412. https://doi.org/10.3390/molecules23061412
