Abstract
Genus Cynanchum L. belongs to the family Asclepiadaceae, which comprise more than 200 species distributed worldwide. In Chinese medical practice, numerous drugs (such as tablets and powders) containing different parts of plants of this genus are used to treat snake bites, bruises, osteoblasts, rheumatoid arthritis and tumors. A search for original articles published on the cynanchum genus was performed by using several resources, including Flora of China Official Website and various scientific databases, such as PubMed, SciFinder, the Web of Science, Science Direct, and China Knowledge Resource Integrated (CNKI). Advances in the botanical, ethnomedicinal, phytochemical, and pharmacological studies of this genus are reviewed in this paper. Results showed that more than 440 compounds, including C21 steroids, steroidal saponins, alkaloids, flavonoids and terpene, have been isolated and identified from Cynanchum plants up to now. In vivo and in vitro studies have shown that plants possess an array of biological activities, including anti-tumor, neuroprotective and anti-fungal effects. Popular traditional prescription of Cynanchum sp. was also summed up in this paper. However, many Cynanchum species have received little or no attention. Moreover, few reports on the clinical use and toxic effects of Cynanchum sp. are available. Further attention should be focused on the study of these species to gather information on their respective toxicology data and relevant quality-control measures and clinical value of the crude extracts, active compounds, and bioactive metabolites from this genus. Further research on Cynanchum sp. should be conducted, and bioactivity-guided isolation strategies should be emphasized. In addition, systematic studies of the chemical composition of plants should be enhanced.
1. Introduction
Cynanchum L. is a large genus in the Asclepiadaceae family comprising approximately 200 species. Many of these plants have been used for a long time in traditional Chinese medicine (TCM) for the treatment of common and chronic diseases. Plants of this genus are distributed worldwide, including in East Africa, the Mediterranean region, the tropical zone of Europe, and the subtropical and temperate zones of Asia [1]. A total of 53 species and 12 varieties are native to the southwestern region of China [2]. However, only 33 species of the genus Cynanchum have been systematically studied to date [3].
Cynanchum L. is an important taxonomic group in the Asclepiadaceae family because numerous species of this genus have several application prospects other than in the field of medicine. These species of Cynanchum include C. sibiricum, C. chinense, C. auriculatum, C. officinale, C. bungei, C. otophyllum, C. corymbosum, C. amplexicaule, C. forrestii, C. stauntonii, C. vincetoxicum, C. inamoenum, C. atratum (CA), C. glaucescens, C. paniculatum, C. komarovii, C. versicolor, C. chekiangense and C. mooreanum (http://frps.eflora.cn/frps/Cynanchum). These plants are traditionally used to treat snake bites, bruises, osteoblasts, rheumatoid arthritis and tumors. Some plants are poisonous; thus, they are used to kill agricultural pests and tigers because of their higher toxicity than other plants [1]. In addition, modern pharmacological studies showed that Cynanchum plants exert significant immune regulation, anti-oxidation, anti-tumor and other pharmacological effects [4].
Given the high medicinal value of anti-tumor, immune regulation and anti-oxidation of Cynanchum, a growing number of studies have been carried out on the chemical composition of the genus [5]. At present, 450 compounds from Cynanchum sp. have been isolated. Results showed that C21 steroids are the main chemical constituents of this genus, as well as acetophenones, alkaloids and certain alkyd compounds.
For our literature review, we systematically summarized the resources, folk application, chemical composition and pharmacological activity of Cynanchum, and proposed certain suggestions according to its research status to provide reference for the comprehensive development and sustainable utilization of the species in this genus.
2. Ethnomedicinal Uses
According to our review on the monographs and literature, 17 medicinal plants are included in genus Cynanchum; which are C. sibiricum, C. chinense, C. auriculatum, C. officinale, C. bungei, C. otophyllum, C. corymbosum, C. amplexicaule, C. forrestii, C. stauntonii, C. vincetoxicum, C. inamoenum, CA, C. glaucescens, C. paniculatum, C. komarovii, C. versicolor, C. chekiangense and C. mooreanum. In China, plants of genus Cynanchum are mainly distributed in the southwest, northwest and northeast provinces. In local medicine, some plant roots have been used to clear away heat evil and expel superficial evils, eliminate stasis, activate blood circulation, induce diuresis and reduce edema. This review summarizes local using of Cynanchum plants in the national medicine, as shown in Table 1.
Table 1.
Traditional use of Cynanchum species in different regions of the world.
In addition, compound medication has always been an important feature of folk medicine. Cynanchum plants and other Chinese herbs are used in a number of prescriptions, such as Baiweiwan and Baiweisan. Cynanchum plants also present a long history as a folk medicine, thus providing an important reference for clinical practice (Table 2).
Table 2.
Popular traditional prescription composition of Cynanchum species.
3. Chemical Constituents
At present, more than 400 compounds have been isolated from genus Cynanchum. These compounds include 388 steroids, 30 benzenes and its derivatives, 13 alkaloids, 10 flavonoids, 9 terpenes and other compounds (Table 3). The chemical structures of the primary compounds are shown in Figure 1.
Table 3.
Compounds isolated from Cynanchum species.
Figure 1.
Structures of newly isolated C21 steroid compounds from Cynanchum species in 2016–2017.
3.1. C21 Steroids
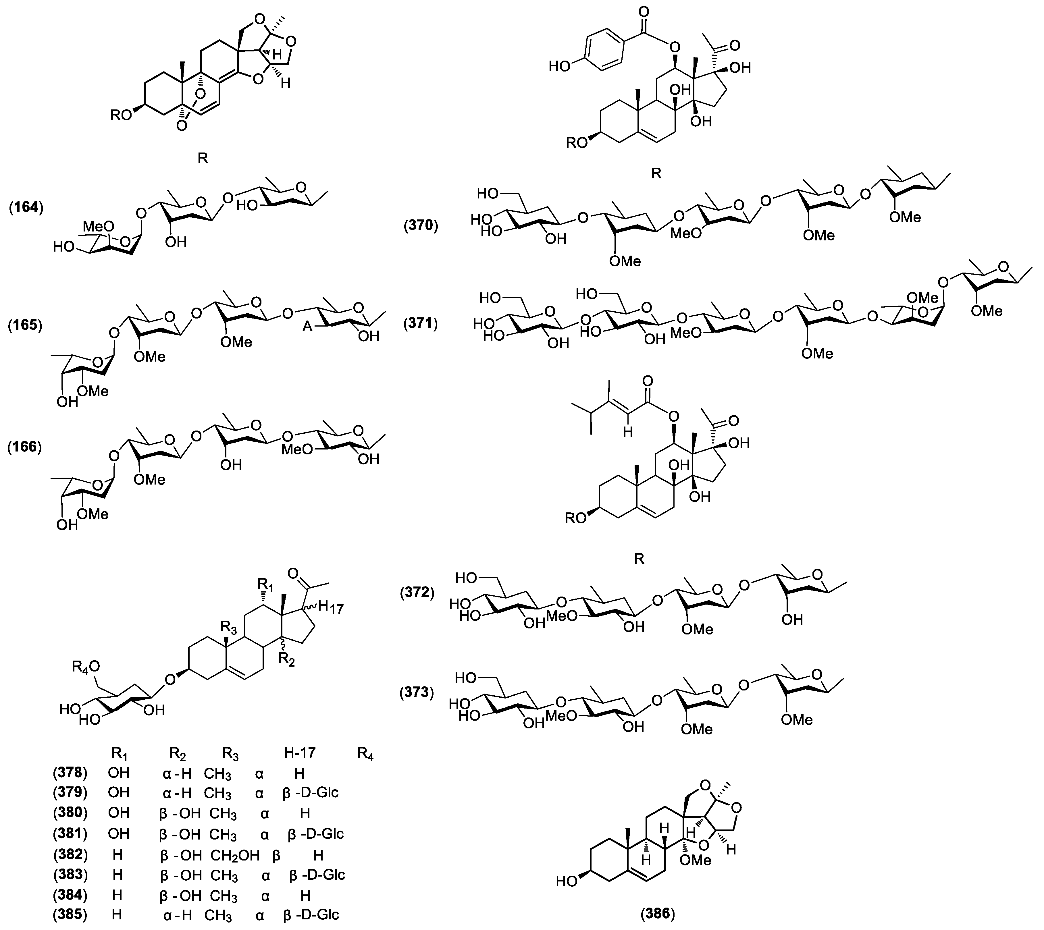
The C21 steroid compounds all have the basic skeleton of pregnane, which containing 21 carbon atoms or a derivative of its isomers. C21 steroid constituents in Cynanchum sp. can be classified into two groups on the basis of their carbon frameworks as typical and modified C21 steroids. According to the different pregnane skeletons, these compounds can be finally divided into the following five types: the normal four-ring pregnane type, 14,15-secopregnanetype, 13,14:14,15-diseco-pregnane type, aberrant 14,15-seco-pregnane type and 12,13-seco-14,18-nor-pregnane type. In C21 steroidal glycosides, sugar moiety is linked most frequently at C-3 to a hydroxyl group of the pregnane aglycone, which contains one to seven sugar units with mode of 1→4, and is generally composed of a linear (rather than a branched) oligosaccharide chain. The most common sugar residues are hexose (glucose), 6-deoxyhexose (thevetose) and 2,6-dideoxyhexoses (cymarose, oleandrose, digitoxose, diginose, sarmentose and canarose). In 2016, Gu et al. on the C21 steroid have been comprehensively and fully explained [2]. Therefore, we summarized the newly isolated compounds from Cynanchum sp. in 2016–2017 (Figure 1).
3.2. Benzene and Its Derivatives
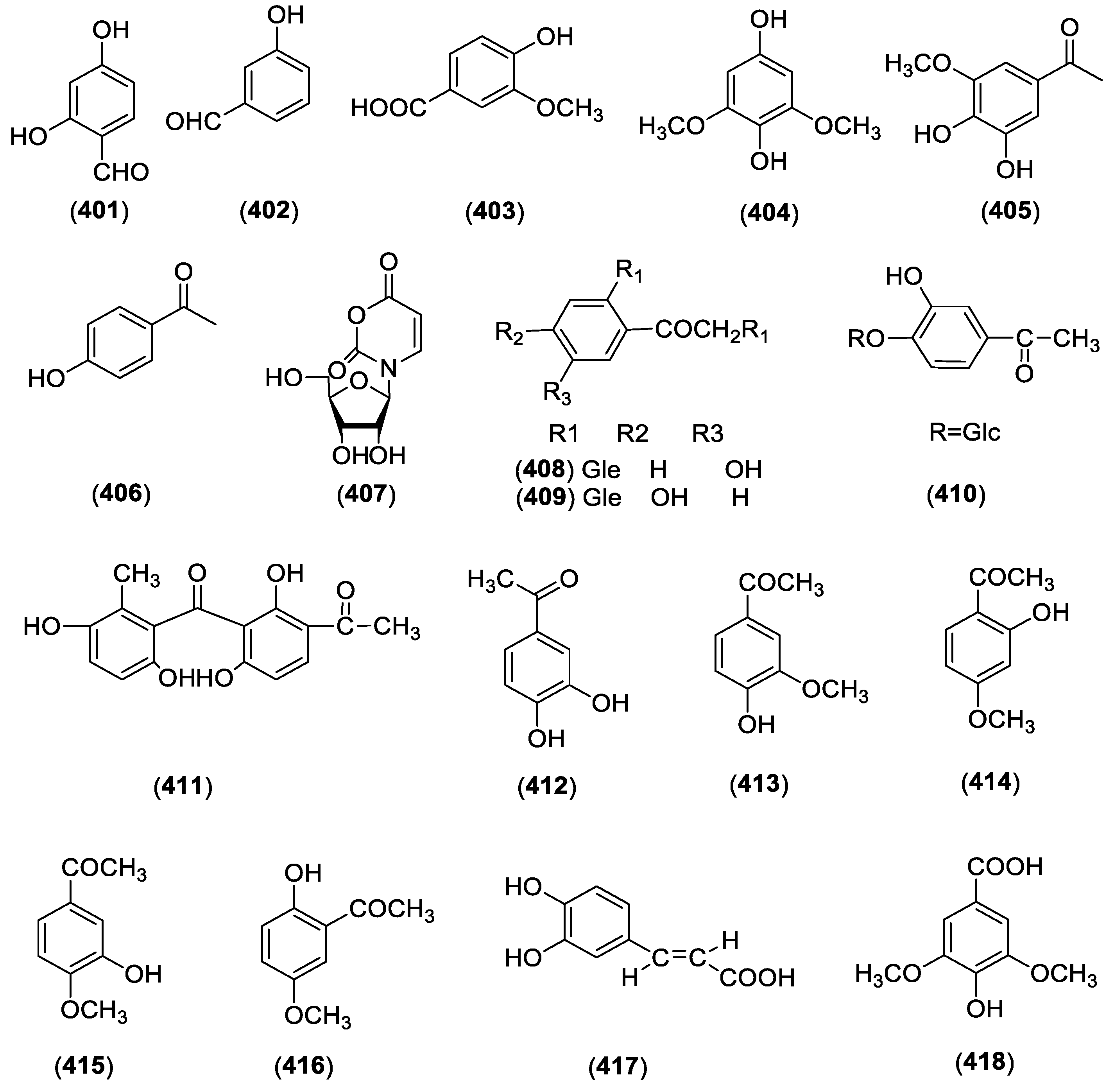
Benzene and its derivatives are also found in Cynanchum plants. These components are mainly acetophenone derivatives, and most of them were isolated from C. paniculatum, C. auriculatum and C. stauntonii. The acetophenones in Cynanchum sp. include cynantetrone (389), cynantetrone A (390), cynandione A (391), cynandione B (392) [78], 2,4-dihydroxyacetophenone (393), 2,5-dihydroxyacetophenone (394) [79], 4-hydroxyacetophenone (395) [25], 4-acetylphenol (396), 2,5-dihydroxy-4-methoxyacetophenone (397), 2,3-dihydroxy-4-methoxyacetophenone (398) [81], acetoveratrone (399), 2,5-dimethoxyhydroquinone (400), resacetophenone (401), m-acetylphenol (402), vanillic acid (403), 3,5-dimethoxyhydroquinone (404) [80], acetovanillone (405), p-hydroxyacetophenone (406), 3-(β-d-ribofuranosyl)-2,3-dihydro-6H-1,3-oxazine-2,6-dione (407), bungeiside A (408), cynanoneside B (409) [3], cynanoneside A (410) [82], baishouwubenzophenone (411) [83], 3,4-dihydroxyacetophenone (412) [39], 4′-hydroxy-3′-methoxyacetophenone (413) [84], paeonol (414), isopaeonol (415), 2-hydroxy-5-methoxyacetophenone (416) [86], caffeic acid (417) [85] and syringic acid (418) [25]. Structures of these compounds are shown in Figure 2.

Figure 2.
Structures of compounds 389–418 from Cynanchum species.
3.3. Alkaloids
Studies showed that alkaloids are only found in several plants of genus Cynanchum, and some of these alkaloids showed notable bioactivity. To date, 13 alkaloids were identified from genus Cynanchum. These alkaloids include a steroidal alkaloid gagaminine (419) [94] and fourteen phenanthroindolizidine alkaloids. The phenanthroindolizidine is an alkaloid with a basic skeleton that is a pentacyclic structure with a phenanthrene ring and a indolizidine ring, in which the phenanthrene ring contains a plurality of methoxy groups or hydroxyl groups, and some of the alkaloids also contain a methyl group or a hydroxyl group on the indolizidine ring. In this type of alkaloid, the phenanthrene ring of some compounds is not formed, and some compounds are nitrogen oxides. In addition to compound 419, compounds 420–432 have been identified as phenanthroindolizidine alkaloids. These compounds were isolated from aerial parts of C. vincetoxicum and identified as antofine (420), tylophorine (421), vincetene (422) [88], (-)-10β, 13aα-14β-hydroxyantofine N-oxide (423), (-)-10-β, 13aα-secoantofine N-oxide (424) [90], (−)-(R)-13aα-6-O-desmethylantofine (425), (−)-(R)-13aα-secoantofine (426), (−)-(R)-13aα-6-O-desmethylsecoantofine (427) [91], (-)-10β-antofine N-oxide (428) [90], 2,3-dimethoxy-6-(3-oxo-butyl)-7,9,10,11,11a,12-hexahydrobenzo[f]pyrrolo[1,2-b]isoquinoline (429), 7-demethoxytylophorine (430) and 7-demethoxy-tylophorine N-oxide (431) [92]. Structures of these compounds are shown in Figure 3.
Figure 3.
Structures of compounds 419–431 from Cynanchum species.
3.4. Flavones
To date, there are few flavonoids isolated and identified from genus Cynanchum and most of them are flavonoid glycosides with 3- or 7-linked glycans. 7-O-α-l-rhamnopyranosyl-kaempferol-3-O-β-d-glucopyranoside (432) and 7-O-α-l-rhamnopyranosyl-kaempferol-3-O-α-l-rhamnopyranoside (433) were identified from C. chinense [93]. Eight flavone components kaempferol (434), astragalin (435), afzelin (436), trifolin (437), quercetin (438), isoquercitrin (439), quercitrin (440) and hyperin (441) [85] were isolated from the aerial part of C. taiwanianum. Structures of these compounds are shown in Figure 4.
Figure 4.
Structures of compounds 432–441 from Cynanchum species.
3.5. Terpene
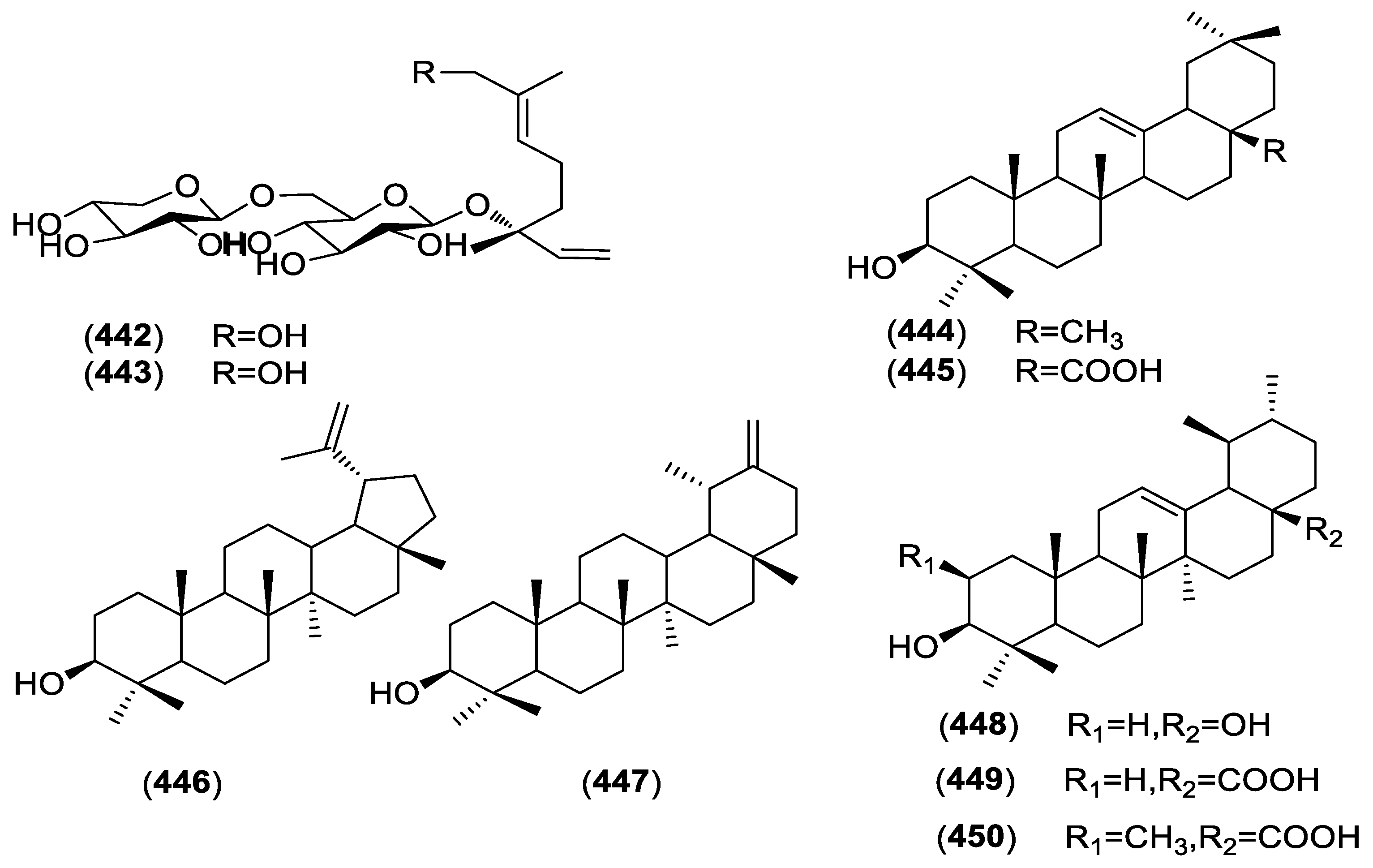
The basic skeleton of terpenoids is a type of compound composed of isoprene structural units linked. There are two monoterpene diglycosides neohancoside A (442) and B (443) are monoterpene diglycosides isolated from C. hancockianum A and B [95]. In addition, there are also seven pentacyclic triterpene compounds β-amyrin (444), α-amyrin (445), lupeol (446), taraxasterol (447), ursolic acid (448), oleanolic acid (449) and maslinic acid (450), were isolated from the roots of C. paniculatum [86]. The structures of these compounds are shown in Figure 5.
Figure 5.
Structures of compounds 442–450 from Cynanchum species.
3.6. Others
In addition to the above-mentioned main components, other components, such as carboxylic acid, alcohol, ester and lignin, are foundin Cynanchum. These compounds include azelaic acid, suberic acid and succinic acid [85]; 3,3′-dimethoxy-4,9,9′-trihydroxy-benzofuranoid ligan-7′-ene-9-O-β-d-glucoside; 3,5-dihydroxybenzoic acid methyl ester; 4-dydroxybenzoic acid; 2,5-dihydroxybenzoic acid methyl ester [56]; conduritol F [3], p-menthane-1,7,8-triol, 1-p-menthane-8,9-triol, p-menthane-1,8,9-triol,trans-terpin [37], 2,6,2′,6′-tetramethoxy-4,4′-bis(2,3-epoxy-1-hydroxypropyl)-biphenyl [39] and (+)-(7S,8R,7′E)-5-hydroxy-3,5′-dimethoxy-4′,7-epoxy-8,3′-neolign-7′-ene-9,9′-diol 9′-ethyl ether [63].
4. Pharmacology
In recent years, research reports on the chemical constituents and pharmacological activities of plants of genus Cynanchum have shown an increasing trend. An increasing number of researchers show special interest in this genus and its therapeutic properties in the field of traditional Chinese medicine. In Table 4, it was summarized on the major ethnic pharmacological uses of Cynanchum sp. and the status of modern pharmacological evaluation. Its pharmacological effects are mainly anti-cancer, anti-inflammatory, anti-virus, appetite suppressing and other effects.
Table 4.
Summary of pharmacological activities of the extracts/compounds from different parts of Cynanchum species.
4.1. Anti-Cancer
Crude extracts and compounds have significant activity against tumor cells, such as the SMMC-7721, MCF-7, Hela, K562, SHG44, HCT-8, A549, PC3, PLC/PRF/5, KB, T-24, A549, SK-OV-3, SK-MEL-2, HCT-15, Col2, 212, HepG2 and U251 cell lines in vitro. However, few studies have been conducted on the anti-cancer activity of Cynanchum plants in vivo.
The anti-cancer activity of the ethanol extract of C. auriculatum and different solvent extraction fractions was studied by inhibiting the growth of sarcoma S180 in mice and In vitro MTT assay. The ethanol extract inhibits K562 cell growth, with the highest inhibition ratio of 24.06% at a concentration of 1 μg/mL [96]. The inhibition rate of petroleum ether to PC3 cells at a concentration of 100 μg/mL is 33.63%. At a concentration of 100 μg/mL, the inhibition ratio of the CHCl3 fraction against K562, SHG44, HCT-8, A549 and PC3 are 35.64%, 20.61%, 31.64%, 26.99% and 52.11%, respectively. The inhibitory rates of EtOAc fraction on A549 and PC3 cells are 37.86% and 28.41%, respectively. The n-BuOH fraction shows weak cytotoxicity to other cells at the same concentration except for K562 cells. In addition, the ethanol extract and n-BuOH fraction inhibit the growth of sarcoma S180 in mice compared with the blank control (p < 0.01) at a dose of 100 mg/kg.
Compounds 389 and 392 from the rhizomes of C. taiwanianum showed significant cytotoxic effects against T-24 cell lines with ED50 values of ca. 3.5 and 2.5 mg/mL, respectively. Compound 385 also adversely affected PLC/PRF/5 cell lines (ED50 = 2.7 mg/mL) [78].
In 1992, alkaloids 420–423 extracted from C. vincetoxicum, were found to inhibit the growth of MDA-MB-231 mammary carcinoma cells. Compounds 420, 425–429 and 430, which were isolated from the aerial parts of C. vincetoxicum, are assessed In vitro using both drug-sensitive KB-3-1 and multidrug-resistant KB-V1 cancer cell lines [90,91]. The results showed that compounds 420, 425, 427 and 430 exhibited pronounced cytotoxicity against KB-3-1 and KB-V1 cell lines with IC50 (the concentration required for 50% inhibition) values in the low nanomolar range. In addition, Sang et al. found that compound 420, which is isolated from the root of C. paniculatum, inhibits the growth of A549 and Col2 cell lines with IC50 values of 7.0 ± 0.2 and 8.6 ± 0.3 ng/mL [100]. Ellipticine, as a positive control, exhibited IC50 value for A549 and Col2 cancer cells ranging from 300–500 ng/mL. Moreover, Col2 cells considerably accumulate in the G2/M cell cycle when treated with antofine (50 pg/mL) for 48 h. Therefore, this mechanism may be the main process by which antofine inhibits the growth of Col2 cells [100].
Compound 215 was isolated from the roots of C. wilfordii (CWW) and completely reverse the multidrug resistance of KB-V1 and MCF7/ADR cells to Adriamycin, vinblastine and colchicine at a concentration level of 1 μM [54].The inhibitory ratio of compound 116 isolated from ethyl acetate extract of C. paniculatum to HL-60 cells at a concentration of 10 μg/mL is 98.14% [35]. Kim et al. evaluated the anti-cancer activity of compounds 232 and 233 isolated from the roots of C. paniculatum against A549, SK-OV-3, SK-MEL-2 and HCT-15 cell lines In vitro by using the SRB bioassay [58]. Experimental results showed that compounds 232 and 233 have selective cytotoxicity on SK-MEL-2 cells with IC50 values of 26.55 and 17.36 μM, respectively.
C21 steroidal compounds, which isolated from genus Cynanchum also exhibit strong anti-cancer activity. Compound 120 isolated from the roots of CA showed significant cytotoxic effect against 212 cells, with ED50 value of 0.96 μg/mL [39].
Two C21 steroidal glycosides, namely, compounds 175 and 176 that were isolated from the roots of C. auriculatum are tested on SMMC-7721, MCF-7 and Hela cell lines. The results showed that the IC50 values of the two compounds against SMMC-7721 cells are 13.49 and 24.95 μM, respectively. Then, the in vivo assay by using solid tumor model H22 in mice was performed [48]. It was found that compounds 175 and 176 can significantly inhibit the growth of transplantable H22 tumors in mice at doses of 10, 20, and 40 mg/kg compared with positive control 5-FU.
The anti-cancer activities of 17 C21-steroidal pregnane sapogenins, namely, compounds 8, 167, 170–172, 174, 175, 177, 200, 209–212, 221, 223, 228 and 417, were evaluated by activity using HL-60, K-562 and MCF-7 cancer cells [9]. The results suggested that compound 8 shows evident cytotoxicity on HL-60 (IC50 = 6.72 μM) and MCF-7 cell lines (IC50 = 2.89 μM), whereas compounds 200 and 221 show strong inhibitory activities against K-562 (IC50 = 6.72 μM) and MCF-7 cell lines (IC50 = 2.49 μM), respectively.
Zhang et al. [46] studied the anti-cancer activity of 26 pregnane glycosides (compounds 37, 38, 43, 168, 184–195, 204–207, 214, 220, 323, 325, 368 and 369) by using three cancer cells (HepG2, Hela and U251). All of these pregnane glycosides compared with the positive compounds 5-FU and cisplatin showed cytotoxic activities (IC50 < 100 μM) in varying degrees against these cell lines except compounds 189 and 205 (IC50 > 100 μM). Moreover, the cytotoxicity of compounds 38, 219, 310–317 is evaluated against three human cancer cell lines, that is, HepG2, Hela and U251 [55].
4.2. Neuroprotective Effect
With the development of the aging population, the incidence of the neurodegenerative diseases also shows a clear upward trend [118]. Therefore, the mechanisms of prevention and early treatment of these diseases have become one of the focuses of research. Research showed that numerous compounds isolated from genus Cynanchum exhibit good neuroprotective effects, thereby indicating its potential for further development.
Compound 391 can protect cultured cortical neurons from toxicity induced by H2O2, l-glutamate and kainate. Compound 391 showed the most potent neuroprotective activity at a concentration of 50 μM. Given its significant neuroprotective effect on cultured cortical neurons, the compound can effectively protect the neurons from oxidative stress mediated by activating a-amino-3-hydroxy-5-methyl-4-isoxazolepropionate/kainate receptors [104].
The inhibitory activities of compounds 85–87 and 278 were tested against acetylcholinesterase (AChE). The result showed that compounds 85 and 86 exhibit the most potent inhibitory activity against AchE, with IC50 values of ca.6.4 and 3.6 μM, respectively. Compounds 87 and 278 also show AChE inhibition activity, with IC50 values of ca. 52.3 and 152.9 μM, respectively [25]. In addition, the anti-amnesic activity of compound 86 was investigated in passive avoidance and Morris water maze tests [105]. The results showed that compound 86 (1.0 mg/kg body weight i.p.) has significantly ameliorated the memory impairments induced in mice by scopolamine (1.0 mg/kg body weight s.c.).
The neuroprotective effect of compound 398 against glutamate-induced neurotoxicity in mouse hippocampal HT22 cells was investigated; the result revealed that this compound exerts a neuroprotective effect on glutamate-induced neurotoxicity in HT22 cells, with relatively effective protection of 47.55% at 10 μM [81]. In the hippocampal neuronal cell line HT22, compounds 363, 364 and 322 resist HCA-induced neuronal cell death within a concentration range of 1–30 μM in a concentration-dependent manner [71].
The effects of 19 compounds which have C21 steroidal structure on anti-seizure-like locomotor activity caused by pentylenetetrazole in zebrafish model were also evaluated. The results showed that compounds 30, 28 and 223 exert a significant therapeutic effect on epilepsy. The results revealed that compound 30 has a therapeutic efficacy of 55% at a concentration of 300 μM, whereas compound 28 shows therapeutic efficacies of 77% and 90% at 100 and 200 μM concentrations, respectively. Meanwhile, compound 223 showed therapeutic efficacies of 65% and 52% at 100 and 200 μM concentrations, respectively. In comparison, the positive control, phenytoin sodium, shows 66% therapeutic efficacy at a concentration of 300 μM. The results also suggested that these three compounds do not exert any nonspecific neurotoxic or sedative effects or affect locomotor activity [16].
In addition, the anti-epileptic activity of 10 C21 steroidal compounds were evaluated by Li et al. by using the mouse maximal electroshock (MES) model after oral administration. The results suggested that five compounds, namely, compounds 326, 240, 99, 96 and 302, exhibit significant protection activity in a MES-induced mouse seizure model, with ED50 values of 48.5, 95.3, 124.1, 72.3 and 88.1 mg/kg, respectively. Under identical experimental conditions, the ED50 value of the positive control retigabine is 15.0 mg/kg [50].
4.3. Anti-Fungal, Anti-Parasitic and Anti-Viral Activities
In the recent years, both compounds and the crude extracts, such as volatile oil and ethyl acetate extracts, from CWW, CA, C. komarovii and other plants were investigated for their anti-fungal, parasitic or anti-viral activity, as shown below.
Six compounds, namely, compounds 96–99, 103 and 230 isolated from CWW roots, were evaluated against barley powdery mildew In vivo and compared with the anti-fungal activity of polyoxin B. The results suggested that compounds 98, 99 and 103 exhibit potent In vivo anti-fungal activities and present disease-control values of >77% at a concentration of 63 μg/mL. The IC50 values (the concentration required for 50% inhibition) are 3.24, 12.90, and 28.35 μg/mL for compounds 99, 103 and 98, respectively [27].
Compound 20 was isolated from CA roots and was used to treat Ichthyophthirius multifiliis. This compound demonstrates 100% mortality rate of I. multifiliis in vitro after 5 h of exposure at 0.25 mg/L. The 5-hmedian effective concentration of compound to non-encysted tomonts is 0.083 mg/L [10].
Compounds 431–433 exhibit inhibitory activities against Tobacco mosaic virus (TMV). The results showed that alkaloids 432 and 433 exhibit anti-viral activities against TMV. The major active ingredient 432 exhibits 65% inhibition against the TMV at a concentration of 1.0 mg/mL. Alkaloid 433 shows 60% inhibition at 500 mg/mL, whereas compound 431 shows 15% inhibition at 500 mg/mL [92]. In comparison, 2,4-dioxo-hexahydro-1,3,5-triazine shows 50% inhibition at 500 mg/mL under the same conditions.
In addition, Yan et al. studied the anti-TMV activities of 42 compounds isolated from the roots of CA by using the conventional half-leaf method, enzyme-linked immunosorbent assay, and Western blot [36]. The results suggested that compounds 52, 58, 64, 127 and 135 show significant anti-TMV activities with IC50 values of 20.5, 18.6, 22.0, 19.2 and 22.2 μg/mL, respectively. Moreover, the anti-TMV activities of these compounds are considerably more effective than that of the positive control, ningnanmycin (IC50 = 49.6 μg/mL).
The ethyl acetate extract of C. paniculatum exert an anti-viral effect against Bovine viral diarrhea (BVD) virus. The cytotoxic concentration (CC50 for the ethyl acetate extracts is 18.2 μg/mL. In the tissue culture infectious dose assay, the BVD virus decreased when treated with 18.2 μg/mL of the ethyl acetate extracts [107].
4.4. Anti-Inflammatory and Immunosuppressive Effects
Li et al. tested four C21 steroidal glycosides, namely, compounds 81, 277, 82 and 16, for their immunological activities In vitro against concanavalin A (Con A)- and lipopolysaccharide (LPS)-induced proliferation of mice splenocytes [23]. The results showed that these compounds significantly inhibit the proliferation of Con A- and LPS-induced mice splenocytes in vitro in a dose-dependent manner.
Compound 120 has a significant inhibitory effect on TNF-α formation on the RAW 264.7 mouse macrophage-like cell line stimulated with LPS and N9 microglial cell line stimulated with LPS/IFN-γ (interferon-γ) [39].
Cho et al. investigated the anti-inflammatory effects and related molecular mechanisms of a crude polysaccharide (HMFO) which obtained from CWW in mice with dextran sulphate sodium (DSS)-induced colitis and in LPS-induced RAW 264.7 macrophages. It suggested that HMFO ameliorates the pathological characteristics of colitis and significantly reduces the production of proinflammatory cytokines in the serum [113]. Histological analysis indicated that HMFO improves the signs of histological damage. In addition, HMFO inhibits the protein expression levels of inducible nitric oxide synthase (iNOS) and cyclooxygenase-2 (COX-2) and phosphorylates the nuclear factor-kappa B (NF-κB) p65 levels in the colon tissue of mice with DSS-induced colitis. In macrophages, HMFO inhibits several cytokines and enzymes involved in inflammation. HMFO also attenuates inflammation both in vitro and in vivo primarily by inhibiting NF-κB activation.
Zhang et al. investigated the immunosuppressive activities of compounds 335–337 and 9 isolated from 80% ethanol extract of the CA root by using an In vitro model of Con A-induced proliferation of T lymphocytes from mice. As a result, these four compounds exhibit strong inhibition on Con A-stimulated cell proliferation, showing IC50 values of 3.3, 7.0, 6.7 and 10.9 μM [72]. In addition, compounds 341–346, 348–350, 352–354 and 356 were assessed for their immunological activities in vitro against Con A-induced proliferation of mice splenocytes [73]. The results revealed that compounds 341, 342 and 354 at the concentration of 100 μmol/L, compounds 343, 352 and 354 at the concentration of 10 μmol/L and compound 353 at the concentration of 1 μmol/L exhibit weak activity against the proliferation of T lymphocyte In vitro.
Yu et al. found that compounds 358 and 359 inhibit nitric oxide production in C57bl/6j mouse peritoneal macrophages with 17.0% and 6.9% inhibition rates, respectively, at a concentration of 10 μM [74].
Fourteen steroidal glycosides were investigated by detecting the inhibitory effects of iNOS and COX-2 on RAW 246.7 murine macrophage cells stimulated by LPS [44]. The results revealed that compounds 158, 162, 156, 157, 122 and 146 can significantly inhibit iNOS expression, whereas compounds 162 and 148 can clearly inhibit COX-2 expression in RAW 246.7 cells stimulated by LPS compared with cells stimulated with LPS and not treated with other compounds.
The effects of compound 391 and extracts of CWW roots (CWE) on the expression of iNOS and proinflammatory cytokines in LPS-induced BV-2 microglial cells was investigated and the results suggested that CWE and compound 391 significantly decrease the LPS-induced NO production and the expression of iNOS in a concentration-dependent manner. Meanwhile, they did not show cytotoxic activity (CWE up to 500 μg/mL and compound 391 up to 80 μM). In addition, RT-PCR analysis and ELISA showed that compound 391 significantly attenuates the expression of TNF-α, interleukin-6, and interleukin -1β in LPS-stimulated BV-2 cells. Furthermore, compound 391 inhibits the phosphorylation of inhibitor kappa B-alpha and translocation of NF-κB to the BV-2 cell nucleus. It indicates that CWE and compound 391 may exert effective anti-inflammatory activities via NF-κB inactivation in stimulated microglial cells [110].
Choi et al. investigated the anti-atopic dermatitis (AD) effect and molecular mechanism of the aqueous extract of CA. Topical concentrations of CA at 1 and 100 mg/mL are applied to AD-like skin lesions induced by 2,4-dinitrochlorobenzene for 11 days. Scratching behavior occurrences were evaluated for 20 min. The results showed that topical application of CA attenuates the total serum IgE level [112].
4.5. Anti-Oxidizing Effect
Compound 419, a steroidal alkaloid, was isolated from CWW roots, and its effects on lipid peroxidation and the activity of aldehyde oxidase (EC. 1.2.3.1) were investigated In vitro. The results showed that it suppresses the formation of lipid peroxides in rat liver tissues significantly and potently inhibits hepatic aldehydeoxidase activity in a dose-dependent manner, with a IC50 value of 0.8 μM (0.5 μg/mL) [94].
4.6. Hepatoprotective Function
Lee et al. investigated the hepatoprotective activity of compound 391 by using primary cultures of rat hepatocytes injured by CCl4. The results suggested that compound 391 (50 μM) significantly reduces (approximately 50%) the release into the culture medium of glutamic pyruvic transaminase and sorbitol dehydrogenase from the primary cultures of rat hepatocytes exposed to CCl4. Simultaneously, this compound ameliorates lipid peroxidation by up to 50%, as demonstrated by the reduction in malondialdehyde production [114]. In addition, Jang et al. found that CWE (100 and 200 mg/Kg) can decrease fat accumulation in the liver by suppressing COX-2, NF-κB and p38 mitogen-activated protein kinase [115].
4.7. Appetite Suppressant Effect
Compound 96 isolated from C. auriculatum roots can suppress appetite and reduce body weight in rats. Moreover, appetite suppressant isolated from Hoodia gordonii shows significant appetite suppressing effect, resulting in weight loss in rats [30].
4.8. Anti-Depressant Effect
Yang et al. assessed the anti-depressant activities of compounds 294–296, 35 and 231 by using forced swimming, tail suspension and open field tests in despair mice models. The results suggested that these compounds show significant anti-depressant activities at the dosage of 50 mg/kg (i.g.). The most potential one is compound 295, with potency close to that of the positive control fluoxetine (20 mg/kg) [67].
4.9. Vasodilating Activity
Compound 284 was isolated from the C. stauntonii roots, and its vasodilatation activity was investigated. The results indicated that this compound exerts a dose-dependent relaxation effect on aortic rings with endothelium contracted by phenylepherine, with IC50 value of 5.37 × 10−6 mol/L. The inhibitory effect of this compound on aortic rings with endothelium contracted by phenylepherine was exhibited by the relaxation effect at high concentration (10−4 mol/L), with a relaxation percentage 64.8% ± 26.9%. Meanwhile, compound 28 also relaxes the aorta rings contracted by KCl at high concentration (10−4 mol/L), with a relaxation percentage 53.4% ± 7.3% [40].
Moreover, Wang et al. [116] investigated the anti-angiogenic properties of compound 175 from C. auriculatum. The results revealed that it can significantly inhibit the proliferation of HUVEC human umbilical vein endothelial cell proliferation and block the HUVEC migration, invasion and capillary-like tube formation by disturbing the vascular endothelial growth factor (VEGF)-VEGFR2-protein kinase B (AKT)/focal adhesion kinase signal axis.
4.10. Others
In addition to the pharmacological activity of the above-mentioned reviewed Cynanchum plants, compound 394 from C. bungei exerts depigmenting activity [79]. Compounds 387 and 388 from C. stauntonii exhibit anti-cardiac congestion activity [77]. Compounds 392 and 394 have an anti-platelet effect [117]. Ten-week-old female rats were ovariectomized (OVX) and treated with the aqueous extract of CWW for 1 week. The administration of CWW (200 mg/kg/d for 7 days, per os) significantly improves skin temperature increase in OVX rats [119]. Moreover, the aqueous extract of CWW inhibits the development of benign prostatic hyperplasia (BPH) in a testosterone-induced BPH rat model [120]. In addition, compound 22 showed an airway smooth muscle relaxant effect [12].
5. Conclusions
Cynanchum L. is an important genus in the Asclepiadaceae family because numerous plants in this genus show several application prospects other than in the field of medicine. Moreover, Cynanchum plants present a long history as traditional folk medicine.
At present, more than 400 compounds have been isolated from genus Cynanchum. These compounds include steroids, flavonoids, acetophenones, triterpenoids, alkaloids, phytosterols, polysaccharides and other compounds. Among these compounds, C21 steroid is the characteristic ingredient. In China, several species have been used to treat chronic diseases in TCM for thousands of years, and the roots and stems of these species have been used as a component of TCM or in combination with other Chinese medicinal plants.
Recently, increased attention has been focused on C. taiwanianum, C. auriculatum, C. paniculatum, CA, CWW, C. otophyllum and C. stauntonii because of their anti-tumor, neuroprotective, anti-fungal, parasitic and anti-viral, anti-depressant, anti-oxidant, anti-inflammatory and immunosuppressive effects. These plants also can suppress appetite, induce weight loss and expand blood vessels.
Although a number of reports on the chemical components and pharmacological activities of these plants are available, studies on the chemical composition are still not systematic enough because they only focus on the chemical components of several species of this genus. However, research on the pharmacological activities are mostly based on in vitro activity screening, and pharmacodynamic studies in vivo represent only a few reports. Therefore, further investigations are required for systematic research of the chemical composition and in vivo pharmacological activities of Cynanchum sp. We believe that this work is of particular value by providing not only the fundamental insight into the medicinal value of plants in this genus; moreover, this work can provide reference for clinical medication, sustainable development and utilization of plants in this genus.
Author Contributions
C.B. reviewed the literature, discussed the layout, finished the artworks (Figures, Schemes and Tables), and finalized the paper. X.Z. reviewed the literature, discussed the layout, wrote the text and finalized the paper. L.H., W.W., L.Z., X.D. and X.Q. retrieved the relevant literature, discussed the layout, and finalized the paper. M.Y., Z.W. and S.W. retrieved the relevant literature, discussed the layout, checked for accuracy and verified that the information was factual, and finalized the paper.
Funding
This research received no external funding.
Acknowledgments
Ningxia University’s First-Class Subject (Traditional Chinese Medicine) Construction Project (NXYLXK2017A06), the National Natural Science Foundation of China (No. 81460592), the Natural Science Foundation of Ningxia (No. NZ17090), the Ministry of education Chunhui project (No. Z2016064), and the Innovative education College Students Project (No. NXCX2016130) supported this work.
Conflicts of Interest
The authors declare no conflict of interest.
References
- Wu, Z.; Ding, L.; Zhao, S. Chemical constituents and pharmacological effects of Cynanchum Linn. World Phytomed. 1991, 6, 147–154. [Google Scholar]
- Gu, X.J.; Hao, D.C. Recent advances in phytochemistry and pharmacology of C21 steroid constituents from Cynanchum plants. Chin. J. Nat. Med. 2016, 14, 321–334. [Google Scholar] [PubMed]
- Jiang, Y.; Choi, H.G.; Li, Y.; Park, Y.M.; Lee, J.H.; Kim, D.H.; Lee, J.H.; Son, J.K.; Na, M.; Lee, S.H. Chemical constituents of Cynanchum wilfordii and the chemotaxonomy of two species of the family asclepiadacease, C. wilfordii and C. auriculatum. Arch. Pharm. Res. 2011, 34, 2021–2027. [Google Scholar] [CrossRef] [PubMed]
- Liu, W.; Zhang, C.; Wu, L.; Dai, Y.; Wu, Q. Research advances on chemical constituents and pharmacological actions of Cynanchum Linn. J. Chin. Med. Mater. 2003, 3, 216–218. [Google Scholar]
- Wu, Y.; Zhou, H. Research advances on chemical constituents of Cynanchum Linn. Central South Pharm. 2006, 4, 371–375. [Google Scholar]
- Sheng-Xiang, Q.; Zhuang-Xin, Z.; Lin, Y.; Jun, Z. Two new glycosides from the roots of Cynanchum versicolor. Planta Med. 1991, 57, 454–456. [Google Scholar] [CrossRef] [PubMed]
- Zheng, Z.; Zhang, W.; Kong, L.; Liang, M.; Li, H.; Lin, M.; Liu, R.; Zhang, C. Rapid identification of C21 steroidal saponins in Cynanchum versicolor bunge by electrospray ionization multi-stage tandem mass spectrometry and liquid chromatography/tandem mass spectrometry. Rapid Commun. Mass Spectrom. 2007, 21, 279–285. [Google Scholar] [CrossRef] [PubMed]
- Tang, W.; Eisenbrand, G. Cynanchum glaucescens (decne.) hand.-mazz. In Chinese Drugs of Plant Origin: Chemistry, Pharmacology, and Use in Traditional and Modern Medicine; Tang, W., Eisenbrand, G., Eds.; Springer: Berlin/Heidelberg, Germany, 1992; pp. 417–428. [Google Scholar]
- Huang, L.-J.; Wang, B.; Zhang, J.-X.; Yan, C.; Mu, S.-Z.; Hao, X.-J. Studies on cytotoxic pregnane sapogenins from Cynanchum wilfordii. Fitoterapia 2015, 101, 107–116. [Google Scholar] [CrossRef] [PubMed]
- Fu, Y.-W.; Zhang, Q.-Z.; Xu, D.-H.; Liang, J.-H.; Wang, B. Antiparasitic effect of cynatratoside-c from Cynanchum atratum against Ichthyophthirius multifiliis on grass carp. J. Agric. Food Chem. 2014, 62, 7183–7189. [Google Scholar] [CrossRef] [PubMed]
- Ji-Hong, W.; Yan-Li, W.; Yu-Hua, L.; Ji-Yuan, Z.; Ze-Hong, L.I. Activity of two extracts of Cynanchum paniculatum against Ichthyophthirius multifiliis theronts and tomonts. Parasitology 2017, 144, 179–185. [Google Scholar] [CrossRef] [PubMed]
- Yue, G.G.; Chan, K.M.; To, M.H.; Cheng, L.; Fung, K.P.; Leung, P.C.; Lau, C.B. Potent airway smooth muscle relaxant effect of cynatratoside B, a steroidal glycoside isolated from Cynanchum stauntonii. J. Nat. Prod. 2014, 77, 1074–1077. [Google Scholar] [CrossRef] [PubMed]
- Bai, H.; Li, W.; Koike, K. Pregnane glycosides from Cynanchum atratum. Steroids 2008, 73, 96–103. [Google Scholar] [CrossRef] [PubMed]
- Bai, H.; Li, W.; Asada, Y.; Satou, T.; Wang, Y.; Koike, K. Twelve pregnane glycosides from Cynanchum atratum. Steroids 2009, 74, 198–207. [Google Scholar] [CrossRef] [PubMed]
- Ma, X.-X.; Wang, D.; Zhang, Y.-J.; Yang, C.-R. Identification of new qingyangshengenin and caudatin glycosides from the roots of Cynanchum otophyllum. Steroids 2011, 76, 1003–1009. [Google Scholar] [CrossRef] [PubMed]
- Li, J.L.; Zhou, J.; Chen, Z.H.; Guo, S.Y.; Li, C.Q.; Zhao, W.M. Bioactive C21 steroidal glycosides from the roots of Cynanchum otophyllum that suppress the seizure-like locomotor activity of zebrafish caused by pentylenetetrazole. J. Nat. Prod. 2015, 78, 1548–1555. [Google Scholar] [CrossRef] [PubMed]
- Ma, X.-X.; Jiang, F.-T.; Yang, Q.-X.; Liu, X.-H.; Zhang, Y.-J.; Yang, C.-R. New pregnane glycosides from the roots of Cynanchum otophyllum. Steroids 2007, 72, 778–786. [Google Scholar] [CrossRef] [PubMed]
- Shen, D.-Y.; Wei, J.-C.; Wan, J.-B.; Huang, X.-J.; Xiang, C.; Li, B.-C.; Zhang, Q.-W.; Wang, Y.-T.; Li, P. Four new C21 steroidal glycosides from Cynanchum otophyllum Schneid. Phytochem. Lett. 2014, 9, 86–91. [Google Scholar] [CrossRef]
- Tursunova, R.N.; Maslennikova, V.A.; Abubakirov, N.K. Pregnane glycosides of Cynanchum sibiricum III. The structure of sibiricosides d and e. Chem. Nat. Compd. 1975, 11, 183–187. [Google Scholar] [CrossRef]
- Maslennikova, V.A.; Tursunova, R.N.; Abubakirov, N.K. Pregnane glycosides of Cynanchum sibiricum. Chem. Nat. Compd. 1969, 5, 279–280. [Google Scholar] [CrossRef]
- Gan, H.; Xiang, W.-J.; Ma, L.; Hu, L.-H. Six new C21 steroidal glycosides from Cynanchum bungei Decne. Helv. Chim. Acta 2008, 91, 2222–2234. [Google Scholar] [CrossRef]
- Bai, H.; Li, W.; Koike, K.; Satou, T.; Chen, Y.; Nikaido, T. Cynanosides a–j, ten novel pregnane glycosides from Cynanchum atratum. Tetrahedron 2005, 61, 5797–5811. [Google Scholar] [CrossRef]
- Li, X.; Sun, H.; Ye, Y.; Chen, F.; Pan, Y. C-21 steroidal glycosides from the roots of Cynanchum chekiangense and their immunosuppressive activities. Steroids 2006, 71, 61–66. [Google Scholar] [CrossRef] [PubMed]
- Tai, Y.; Cao, X.; Li, X.; Pan, Y. Identification of C-21 steroidal glycosides from the roots of Cynanchum chekiangense by high-performance liquid chromatography/tandem mass spectrometry. Analy. Chim. Acta 2006, 572, 230–236. [Google Scholar] [CrossRef] [PubMed]
- Lee, K.Y.; Sung, S.H.; Kim, Y.C. New acetylcholinesterase-inhibitory pregnane glycosides of Cynanchum atratum roots. Helv. Chim. Acta 2003, 86, 474–483. [Google Scholar] [CrossRef]
- Xiang, W.-J.; Ma, L.; Hu, L.-H. C21 steroidal glycosides from Cynanchum wilfordii. Helv. Chim. Acta 2009, 92, 2659–2674. [Google Scholar] [CrossRef]
- Yoon, M.-Y.; Choi, N.H.; Min, B.S.; Choi, G.J.; Choi, Y.H.; Jang, K.S.; Han, S.-S.; Cha, B.; Kim, J.-C. Potent in vivo antifungal activity against powdery mildews of pregnane glycosides from the roots of Cynanchum wilfordii. J. Agric. Food Chem. 2011, 59, 12210–12216. [Google Scholar] [CrossRef] [PubMed]
- Lin, Y.-L.; Lin, T.-C.; Kuo, Y.-H. Five new pregnane glycosides from Cynanchum taiwanianum. J. Nat. Prod. 1995, 58, 1167–1173. [Google Scholar] [CrossRef] [PubMed]
- Gu, X.-J.; Yao, N.; Qian, S.-H.; Li, Y.-B.; Li, P. Four new C21 steroidal glycosides from the roots of Cynanchum auriculatum. Helv. Chim. Acta 2009, 92, 88–97. [Google Scholar] [CrossRef]
- Liu, S.; Chen, Z.; Wu, J.; Wang, L.; Wang, H.; Zhao, W. Appetite suppressing pregnane glycosides from the roots of Cynanchum auriculatum. Phytochemistry 2013, 93, 144–153. [Google Scholar] [CrossRef] [PubMed]
- Li, X.; Luo, Y.; Li, G.P.; Yang, Q.X. Pregnane glycosides from the antidepressant active fraction of cultivated Cynanchum otophyllum. Fitoterapia 2016, 110, 96–102. [Google Scholar] [CrossRef] [PubMed]
- Chen, H.; Xu, N.; Zhou, Y.; Qiao, L.; Cao, J.; Yao, Y.; Hua, H.; Pei, Y. Steroidal glycosides from the roots of Cynanchum amplexicaule Sieb. et Zucc. Steroids 2008, 73, 629–636. [Google Scholar] [CrossRef] [PubMed]
- Liqin, W.; Yuemao, S.; Xing, X.; Yuqing, W.; Jun, Z. Five new C21 steroidal glycosides from Cynanchum komarovii al.Iljinski. Steroids 2004, 69, 319–324. [Google Scholar] [CrossRef] [PubMed]
- Konda, Y.; Toda, Y.; Harigaya, Y.; Lou, H.; Li, X.; Onda, M. Two new glycosides, hancoside and neohancoside a, from Cynanchum hancockianum. J. Nat. Prod. 1992, 55, 1447–1453. [Google Scholar] [CrossRef]
- Dou, J.; Li, P.; Bi, Z.M.; Zhou, J.L. New c21 steroidal glycoside from Cynanchum paniculatum. Chin. Chem. Lett. 2007, 18, 300–302. [Google Scholar] [CrossRef]
- Yan, Y.; Zhang, J.X.; Liu, K.X.; Huang, T.; Yan, C.; Huang, L.J.; Liu, S.; Mu, S.Z.; Hao, X.J. Seco-pregnane steroidal glycosides from the roots of Cynanchum atratum and their anti-TMV activity. Fitoterapia 2014, 97, 50–63. [Google Scholar] [CrossRef] [PubMed]
- Konda, Y.; Toda, Y.; Takayanagi, H.; Ogura, H.; Harigaya, Y.; Lou, H.; Li, X.; Onda, M. A new modified steroid, hancopregnane, and a new monoterpene from Cynanchum hancockianum. J. Nat. Prod. 1992, 55, 1118–1123. [Google Scholar] [CrossRef]
- Fu, M.H.; Wang, Z.J.; Yang, H.J.; Maimai, M.; Fang, J.; Tang, L.Y.; Yang, L. A new C21-steroidal glycoside from Cynanchum stauntonii. Chin. Chem. Lett. 2007, 18, 415–417. [Google Scholar] [CrossRef]
- Day, S.-H.; Wang, J.-P.; Won, S.-J.; Lin, C.-N. Bioactive constituents of the roots of Cynanchum atratum. J. Nat. Prod. 2001, 64, 608–611. [Google Scholar] [CrossRef] [PubMed]
- Wang, P.; Qin, H.-L.; Zhang, L.; Li, Z.-H.; Wang, Y.-H.; Zhu, H.-B. Steroids from the roots of Cynanchum stauntonii. Planta Med. 2004, 70, 1075–1079. [Google Scholar] [CrossRef] [PubMed]
- Dou, J.; Li, P.; Song, Y.; Qi, L.W.; Bi, Z.M. Application of liquid chromatography coupled with electrospray ionization time-of-flight mass spectrometry for screening and quantitative analysis of C21 steroids in the roots and rhizomes of Cynanchum paniculatum. J. Sep. Sci. 2007, 30, 992–998. [Google Scholar] [CrossRef] [PubMed]
- Zhu, N.; Wang, M.; Kikuzaki, H.; Nakatani, N.; Ho, C.-T. Two C21-steroidal glycosides isolated from Cynanchum stauntoi. Phytochemistry 1999, 52, 1351–1355. [Google Scholar] [CrossRef]
- Yu, J.-Q.; Deng, A.-J.; Qin, H.-L. Nine new steroidal glycosides from the roots of Cynanchum stauntonii. Steroids 2013, 78, 79–90. [Google Scholar] [CrossRef] [PubMed]
- Lai, C.-Z.; Liu, J.-X.; Pang, S.-W.; Dai, Y.; Zhou, H.; Mu, Z.-Q.; Wu, J.; Tang, J.-S.; Liu, L.; Yao, X.-S. Steroidal glycosides from the roots of Cynanchum stauntonii and their effects on the expression of iNOS and COX-2. Phytochem. Lett. 2016, 16, 38–46. [Google Scholar] [CrossRef]
- Deng, A.J.; Yu, J.Q.; Li, Z.H.; Ma, L.; Zhang, Z.H.; Qin, H.L. 14,15-secopregnane-type glycosides with 5alpha:9alpha-peroxy and delta(6,8(14))-diene linkages from the roots of Cynanchum stauntonii. Molecules 2017, 22, 860. [Google Scholar] [CrossRef] [PubMed]
- Zhang, M.; Li, X.; Xiang, C.; Qin, Y.; He, J.; Li, B.C.; Li, P. Cytotoxicity of pregnane glycosides of Cynanchum otophyllum. Steroids 2015, 104, 49–60. [Google Scholar] [CrossRef] [PubMed]
- Ma, L.-F.; Shan, W.-G.; Zhan, Z.-J. Polyhydroxypregnane glycosides from the roots of Cynanchum otophyllum. Helv. Chim. Acta 2011, 94, 2272–2282. [Google Scholar] [CrossRef]
- Peng, Y.R.; Li, Y.B.; Liu, X.D.; Zhang, J.F.; Duan, J.A. Antitumor activity of C-21 steroidal glycosides from Cynanchum auriculatum Royle ex Wight. Phytomedicine 2008, 15, 1016–1020. [Google Scholar] [CrossRef] [PubMed]
- Zhao, Y.-B.; He, H.-P.; Lu, C.-H.; Mu, Q.-Z.; Shen, Y.-M.; Hao, X.-J. C21 steroidal glycosides of seven sugar residues from Cynanchum otophyllum. Steroids 2006, 71, 935–941. [Google Scholar] [CrossRef] [PubMed]
- Li, J.L.; Gao, Z.B.; Zhao, W.M. Identification and evaluation of antiepileptic activity of C21 steroidal glycosides from the roots of Cynanchum wilfordii. J. Nat. Prod. 2016, 79, 89–97. [Google Scholar] [CrossRef] [PubMed]
- Zhao, Y.; Shen, Y.; He, H.; Du, Z.; Mu, Q.; Hao, X. C21 steroidal saponins from Cynanchum otophyllum. Chin. Herb. Med. 2015, 7, 273–278. [Google Scholar] [CrossRef]
- Yang, X.-X.; Bao, Y.-R.; Wang, S.; Zhu, R.-Q.; Bao, L.-N.; Guan, Y.-P.; Meng, X.-S. Steroidal glycosides from roots of Cynanchum otophyllum. Chem. Nat. Compd. 2015, 51, 703–705. [Google Scholar] [CrossRef]
- Wang, D.; Bao, Y.-R. A new steroidal glycoside from roots of Cynanchum wallichii. Chem. Nat. Compd. 2015, 51, 897–899. [Google Scholar] [CrossRef]
- Hwang, B.Y.; Kim, S.E.; Kim, Y.H.; Kim, H.S.; Hong, Y.-S.; Ro, J.S.; Lee, K.S.; Lee, J.J. Pregnane glycoside multidrug-resistance modulators from Cynanchum wilfordii. J. Nat. Prod. 1999, 62, 640–643. [Google Scholar] [CrossRef] [PubMed]
- Zhang, M.; Rao, L.L.; Xiang, C.; Li, B.C.; Li, P. C21 steroidal glycosides from the roots of Cynanchum saccatum. Steroids 2015, 101, 28–36. [Google Scholar] [CrossRef] [PubMed]
- Rao, L.-L.; Zhang, M.; Xiang, C.; Li, B.-C.; Li, P. Steroid glycosides and phenols from the roots of Cynanchum saccatum. Phytochem. Lett. 2015, 11, 49–52. [Google Scholar] [CrossRef]
- Qi, L.W.; Gu, X.J.; Li, P.; Liang, Y.; Hao, H.; Wang, G. Structural characterization of pregnane glycosides from Cynanchum auriculatum by liquid chromatography on a hybrid ion trap time-of-flight mass spectrometer. Rapid Commun. Mass Spectrom. 2009, 23, 2151–2160. [Google Scholar] [CrossRef] [PubMed]
- Kim, C.S.; Oh, J.Y.; Choi, S.U.; Lee, K.R. Chemical constituents from the roots of Cynanchum paniculatum and their cytotoxic activity. Carbohydr. Res. 2013, 381, 1–5. [Google Scholar] [CrossRef] [PubMed]
- Liu, Y.; Hu, Y.; Yu, S.; Fu, G.; Huang, X.; Fan, L. Steroidal glycosides from Cynanchum forrestii Schlechter. Steroids 2006, 71, 67–76. [Google Scholar] [CrossRef] [PubMed]
- Liu, Y.; Qu, J.; Yu, S.-S.; Hu, Y.-C.; Huang, X.-Z. Seven new steroidal glycosides from the roots of Cynanchum forrestii. Steroids 2007, 72, 313–322. [Google Scholar] [CrossRef] [PubMed]
- Li, S.L.; Tan, H.; Shen, Y.M.; Kawazoe, K.; Hao, X.J. A pair of new C-21 steroidal glycoside epimers from the roots of Cynanchum paniculatum. J. Nat. Prod. 2004, 67, 82–84. [Google Scholar] [CrossRef] [PubMed]
- Lou, H.; Li, X.; Onda, M.; Konda, Y.; Machida, T.; Toda, Y.; Harigaya, Y. Further isolation of glycosides from Cynanchum hancockianum. J. Nat. Prod. 1993, 56, 1437–1443. [Google Scholar] [CrossRef] [PubMed]
- Yu, J.-Q.; Zhao, L. Two new glycosides and one new neolignan from the roots of Cynanchum stauntonii. Phytochem. Lett. 2015, 13, 355–359. [Google Scholar] [CrossRef]
- Deng, A.J.; Zhang, D.; Li, Q.; Zhang, Z.H.; Li, Z.H.; Qin, H.L. Sugar-free pregnane-type steroids from the roots of Cynanchum stauntonii. J. Asian Nat. Prod. Res. 2017, 19, 557–563. [Google Scholar] [CrossRef] [PubMed]
- Chen, G.; Chen, H.; Li, W.; Pei, Y.H. Steroidal glycosides from Cynanchum amplexicaule. J. Asian Nat. Prod. Res. 2011, 13, 756–760. [Google Scholar] [CrossRef] [PubMed]
- Yeo, H.; Kim, K.W.; Kim, J.; Choi, Y.H. Steroidal glycosides of the 14,15-seco-18-nor-pregnane series from Cynanchum ascyrifolium. Phytochemistry 1998, 49, 1129–1133. [Google Scholar] [CrossRef]
- Yang, Q.-X.; Ge, Y.-C.; Huang, X.-Y.; Sun, Q.-Y. Cynanauriculoside C–E, three new antidepressant pregnane glycosides from Cynanchum auriculatum. Phytochem. Lett. 2011, 4, 170–175. [Google Scholar] [CrossRef]
- Huang, X.; Tan, A.-M.; Yang, S.-B.; Zhang, A.-Y.; Zhang, H. Two new C21 steroidal glycosides from the stems of Cynanchum paniculatumkitag. Helv. Chim. Acta 2009, 92, 937–943. [Google Scholar] [CrossRef]
- Lu, Y.; Teng, H.-L.; Yang, G.-Z.; Mei, Z.-N. Three new steroidal glycosides from the roots of Cynanchum auriculatum. Helv. Chim. Acta 2011, 94, 1296–1303. [Google Scholar] [CrossRef]
- Zhao, Y.; Fan, Q.; Xu, G.; Feng, Z.; Hao, X. C21 steroidal glycosides from acidic hydrolysate of Cynanchum otophyllum. Chin. Herb. Med. 2014, 6, 319–323. [Google Scholar] [CrossRef]
- Zhao, Z.-M.; Sun, Z.-H.; Chen, M.-H.; Liao, Q.; Tan, M.; Zhang, X.-W.; Zhu, H.-D.; Pi, R.-B.; Yin, S. Neuroprotective polyhydroxypregnane glycosides from Cynanchum otophyllum. Steroids 2013, 78, 1015–1020. [Google Scholar] [CrossRef] [PubMed]
- Zhang, Z.J.; Ding, M.L.; Tao, L.J.; Zhang, M.; Xu, X.H.; Zhang, C.F. Immunosuppressive C21 steroidal glycosides from the root of Cynanchum atratum. Fitoterapia 2015, 105, 194–201. [Google Scholar] [CrossRef] [PubMed]
- Cui, B.; Wang, X.; Yang, Y.; Yang, Y.; Shi, S.; Guo, F.; Li, Y. Sixteen novel C-21 steroidal glycosides from the roots of Cynanchum mooreanum. Steroids 2015, 104, 79–94. [Google Scholar] [CrossRef] [PubMed]
- Yu, J.-Q.; Zhao, L. Seco-pregnane steroidal glycosides from the roots of Cynanchum stauntonii. Phytochem. Lett. 2016, 16, 34–37. [Google Scholar] [CrossRef]
- Tsoukalas, M.; Psichas, A.; Reimann, F.; Gribble, F.M.; Lobstein, A.; Urbain, A. Pregnane glycosides from Cynanchum menarandrense. Steroids 2017, 125, 27–32. [Google Scholar] [CrossRef] [PubMed]
- Sheng, F.; Chen, M.; Tan, Y.; Xiang, C.; Zhang, M.; Li, B.; Su, H.; He, C.; Wan, J.; Li, P. Protective effects of otophylloside n on pentylenetetrazol-induced neuronal injury in vitro and in vivo. Front. Pharmacol. 2016, 7, 224. [Google Scholar] [CrossRef] [PubMed]
- Shibano, M.; Misaka, A.; Sugiyama, K.; Taniguchi, M.; Baba, K. Two secopregnane-type steroidal glycosides from Cynanchum stauntonii (Decne.) Schltr.ex Levl. Phytochem. Lett. 2012, 5, 304–308. [Google Scholar] [CrossRef]
- Huang, P.-L.; Won, S.-J.; Day, S.-H.; Lin, C.-N. A cytotoxic acetophenone with a novel skeleton, isolated from Cynanchum taiwanianum. Helv. Chim. Acta 1999, 82, 1716–1720. [Google Scholar] [CrossRef]
- Ding, H.-Y.; Chang, T.-S.; Shen, H.-C.; Tai, S.S.-K. Murine tyrosinase inhibitors from Cynanchum bungei and evaluation of in vitro and in vivo depigmenting activity. Exp. Dermatol. 2011, 20, 720–724. [Google Scholar] [CrossRef] [PubMed]
- Weon, J.B.; Lee, B.; Yun, B.R.; Lee, J.; Ma, C.J. Simultaneous determination of ten bioactive compaounds from the roots of Cynanchum paniculatum by using high performance liquid chromatography coupled-diode array detector. Pharmacogn. Mag. 2012, 8, 231–236. [Google Scholar] [PubMed]
- Weon, J.B.; Kim, C.Y.; Yang, H.J.; Ma, C.J. Neuroprotective compounds isolated from Cynanchum paniculatum. Arch. Pharm. Res. 2012, 35, 617–621. [Google Scholar] [CrossRef] [PubMed]
- Lin, Y.-L.; Lin, T.-C.; Kuo, Y.-H. Two acetophenone glucosides, cynanonesides A and B, from Cynanchum taiwanianum and revision of the structure for cynandione a. J. Nat. Prod. 1997, 60, 368–370. [Google Scholar] [CrossRef]
- Sun, Y.; Liu, Z.; Wang, J.; Xiang, L.; Zhu, L. Separation and purification of baishouwubenzophenone, 4-hydroxyacetophenone and 2,4-dihydroxyacetophenone from Cynanchum auriculatum Royle ex Wight by HSCCC. Chromatographia 2009, 70, 1–6. [Google Scholar] [CrossRef]
- Yeo, H.; Kim, J. A benzoquinone from Cynanchum wilfordii. Phytochemistry 1997, 46, 1103–1105. [Google Scholar] [CrossRef]
- Chen, Z.-S.; Lai, J.-S.; Kao, Y.-H. The constituents of Cynanchum taiwanianum. J. Chin. Chem. Soc. 1991, 38, 393–396. [Google Scholar] [CrossRef]
- Niu, Y.-L.; Chen, X.; Wu, Y.; Jiang, H.-Q.; Zhang, X.-L.; Li, E.-T.; Li, Y.-Y.; Zhou, H.-L.; Liu, J.-G.; Wang, D.-Y. Chemical constituents from Cynanchum paniculatum (Bunge) Kitag. Biochem. Syst. Ecol. 2015, 61, 139–142. [Google Scholar] [CrossRef]
- Lee, D.-U.; Kang, S.-I.; Yoon, S.-H.; Budesinsky, M.; Kasal, A.; Mayer, K.K.; Wiegrebe, W. A new steroidal alkaloid from the roots of Cynanchum caudatum. Planta Med. 2000, 66, 480–482. [Google Scholar] [CrossRef] [PubMed]
- Tanner, U.; Wiegrebe, W. Alkaloids of Cynanchum vincetoxicum: Efficacy against MDA-MB-231 mammary carcinoma cells. Arch. Pharm. (Weinheim) 1993, 326, 67–72. [Google Scholar] [CrossRef] [PubMed]
- Budzikiewicz, H.; Faber, L.; Herrmann, E.-G.; Perrollaz, F.F.; Schlunegger, U.P.; Wiegrebe, W. Vinceten, ein benzopyrroloisochinolin-alkaloid, aus Cynanchum vincetoxicum (L.) pers. (Asclepiadaceae). Liebigs Annalen der Chemie 1979, 1979, 1212–1231. [Google Scholar] [CrossRef][Green Version]
- Stærk, D.; Christensen, J.; Lemmich, E.; Duus, J.Ø.; Olsen, C.E.; Jaroszewski, J.W. Cytotoxic activity of some phenanthroindolizidine N-oxide alkaloids from Cynanchum vincetoxicum. J. Nat. Prod. 2000, 63, 1584–1586. [Google Scholar] [CrossRef] [PubMed]
- Staerk, D.; Lykkeberg, A.K.; Christensen, J.; Budnik, B.A.; Abe, F.; Jaroszewski, J.W. In vitro cytotoxic activity of phenanthroindolizidine alkaloids from Cynanchum vincetoxicum and tylophora tanakae against drug-sensitive and multidrug-resistant cancer cells. J. Nat. Prod. 2002, 65, 1299–1302. [Google Scholar] [PubMed]
- An, T.; Huang, R.-Q.; Yang, Z.; Zhang, D.-K.; Li, G.-R.; Yao, Y.-C.; Gao, J. Alkaloids from cynanchum komarovii with inhibitory activity against the tobacco mosaic virus. Phytochemistry 2001, 58, 1267–1269. [Google Scholar] [CrossRef]
- Liu, H.; Gao, Y.; Wang, K.; Hu, Z. Determination of active components in Cynanchum chinense R. Br. by capillary electrophoresis. Biomed. Chromatogr. 2006, 20, 451–454. [Google Scholar] [CrossRef] [PubMed]
- Lee, D.-U.; Shin, U.-S.; Huh, K. Inhibitory effects of gagaminine, a steroidal alkaloid from Cynanchum wilfordi, on lipid peroxidation and aldehyde oxidase activity. Planta Med. 1996, 62, 485–487. [Google Scholar] [CrossRef] [PubMed]
- Konda, Y.; Toida, T.; Kaji, E.; Takeda, K.; Harigaya, Y. First total synthesis of two new diglycosides, neohancosides a and b, from Cynanchum hancockianum. Carbohydrate Res. 1997, 301, 123–143. [Google Scholar] [CrossRef]
- Shan, L.; Zhang, W.D.; Zhang, C.; Liu, R.H.; Su, J.; Zhou, Y. Antitumor activity of crude extract and fractions from root tuber of Cynanchum auriculatum Royle ex Wight. Phytother. Res. 2005, 19, 259–261. [Google Scholar] [CrossRef] [PubMed]
- Hu, S.; Zhao, J.; Wang, S.; Han, J. The mechanism of antitumor activity of total glucosides extracted from Cynanchum auriculatum royle (CA). Chin. J. Cancer Res. 1989, 1, 33–40. [Google Scholar] [CrossRef]
- Li, Y.; Zhang, J.; Gu, X.; Peng, Y.; Huang, W.; Qian, S. Two new cytotoxic pregnane glycosides from Cynanchum auriculatum. Planta Med. 2008, 74, 551–554. [Google Scholar] [CrossRef] [PubMed]
- Zhang, R.-S.; Ye, Y.-P.; Shen, Y.-M.; Liang, H.-L. Two new cytotoxic C-21 steroidal glycosides from the root of Cynanchum auriculatum. Tetrahedron 2000, 56, 3875–3879. [Google Scholar] [CrossRef]
- Lee, S.K.; Nam, K.A.; Heo, Y.H. Cytotoxic activity and G2/M cell cycle arrest mediated by antofine, a phenanthroindolizidine alkaloid isolated from Cynanchum paniculatum. Planta Med. 2003, 69, 21–25. [Google Scholar] [CrossRef] [PubMed]
- Yin, Z.Q.; Yu, S.L.; Wei, Y.J.; Ma, L.; Wu, Z.F.; Wang, L.; Zhang, Q.W.; Zhao, M.; Ye, W.C.; Che, C.T.; et al. C21 steroidal glycosides from Cynanchum stauntonii induce apoptosis in HepG2 cells. Steroids 2016, 106, 55–61. [Google Scholar] [CrossRef] [PubMed]
- Zhao, D.; Feng, B.; Chen, S.; Chen, G.; Li, Z.; Lu, X.; Sang, X.; An, X.; Wang, H.; Pei, Y. C21 steroidal glycosides from the roots of Cynanchum paniculatum. Fitoterapia 2016, 113, 51–57. [Google Scholar] [CrossRef] [PubMed]
- Zhang, J.; Ma, L.; Wu, Z.F.; Yu, S.L.; Wang, L.; Ye, W.C.; Zhang, Q.W.; Yin, Z.Q. Cytotoxic and apoptosis-inducing activity of C21 steroids from the roots of Cynanchum atratum. Steroids 2017, 122, 1–8. [Google Scholar] [CrossRef] [PubMed]
- Lee, M.K.; Yeo, H.; Kim, J.; Markelonis, G.J.; Oh, T.H.; Kim, Y.C. Cynandione a from Cynanchum wilfordii protects cultured cortical neurons from toxicity induced by H2O2, L-glutamate, and kainate. J. Neurosci. Res. 2000, 59, 259–264. [Google Scholar] [CrossRef]
- Lee, K.Y.; Yoon, J.S.; Kim, E.S.; Kang, S.Y.; Kim, Y.C. Anti-acetylcholinesterase and anti-amnesic activities of a pregnane glycoside, cynatroside b, from Cynanchum atratum. Planta Med. 2005, 71, 7–11. [Google Scholar] [CrossRef] [PubMed]
- Yang, J.; Huang, X.B.; Wan, Q.L.; Ding, A.J.; Yang, Z.L.; Qiu, M.H.; Sun, H.Y.; Qi, S.H.; Luo, H.R. Otophylloside b protects against abeta toxicity in Caenorhabditis elegans models of alzheimer’s disease. Nat. Prod. Bioprospect. 2017, 7, 207–214. [Google Scholar] [CrossRef] [PubMed]
- Kim, W.; Oh, T.S.; Park, Y.J. Anti-viral effect of herbal medicine korean traditional Cynanchum paniculatum (BGE.) kitag extracts. Afr J. Tradit. Complement Altern. Med. 2017, 14, 194–198. [Google Scholar] [CrossRef] [PubMed]
- Kim, M.-G.; Yang, J.-Y.; Lee, H.-S. Acaricidal potentials of active properties isolated from Cynanchum paniculatum and acaricidal changes by introducing functional radicals. J. Agric. Food Chem. 2013, 61, 7568–7573. [Google Scholar] [CrossRef] [PubMed]
- Yang, Z.-C.; Wang, B.-C.; Yang, X.-S.; Wang, Q. Chemical composition of the volatile oil from Cynanchum stauntonii and its activities of anti-influenza virus. Colloids Surf. B Biointerfaces 2005, 43, 198–202. [Google Scholar]
- Yang, S.B.; Lee, S.M.; Park, J.H.; Lee, T.H.; Baek, N.I.; Park, H.J.; Lee, H.; Kim, J. Cynandione a from Cynanchum wilfordii attenuates the production of inflammatory mediators in LPS-induced BV-2 microglial cells via NF-κB inactivation. Biol. Pharm. Bull. 2014, 37, 1390–1396. [Google Scholar] [CrossRef] [PubMed]
- Yu, J.Q.; Lin, M.B.; Deng, A.J.; Hou, Q.; Bai, J.Y.; Li, Z.H.; Ma, L.; Zhang, Z.H.; Yuan, S.P.; Jiang, R.T.; et al. 14,15-secopregnane-type C21-steriosides from the roots of Cynanchum stauntonii. Phytochemistry 2017, 138, 152–162. [Google Scholar] [CrossRef] [PubMed]
- Choi, Y.Y.; Kim, M.H.; Lee, H.; Ahn, K.S.; Um, J.Y.; Lee, S.G.; Kim, J.; Yang, W.M. Cynanchum atratum inhibits the development of atopic dermatitis in 2,4-dinitrochlorobenzene-induced mice. Biomed. Pharmacother. 2017, 90, 321–327. [Google Scholar] [CrossRef] [PubMed]
- Cho, C.W.; Ahn, S.; Lim, T.G.; Hong, H.D.; Rhee, Y.K.; Yang, D.C.; Jang, M. Cynanchum wilfordii polysaccharides suppress dextran sulfate sodium-induced acute colitis in mice and the production of inflammatory mediators from macrophages. Mediators Inflamm. 2017, 2017, 3859856. [Google Scholar] [CrossRef] [PubMed]
- Lee, M.K.; Yeo, H.; Kim, J.; Kim, Y.C. Protection of rat hepatocytes exposed to CCl4 in-vitro by cynandione a, a biacetophenone from Cynanchum wilfordii. J. Pharm. Pharmacol. 2000, 52, 341–345. [Google Scholar] [CrossRef] [PubMed]
- Jang, S.A.; Lee, S.; Sohn, E.H.; Yang, J.; Park, D.W.; Jeong, Y.J.; Kim, I.; Kwon, J.E.; Song, H.S.; Cho, Y.M.; et al. Cynanchum wilfordii radix attenuates liver fat accumulation and damage by suppressing hepatic cyclooxygenase-2 and mitogen-activated protein kinase in mice fed with a high-fat and high-fructose diet. Nutr. Res. 2016, 36, 914–924. [Google Scholar] [CrossRef] [PubMed]
- Wang, X.; Fu, X.; Zhao, S.; Fu, X.; Zhang, H.; Shao, L.; Li, G.; Fan, C. Antiangiogenic properties of caudatin in vitro and in vivo by suppression of VEGF-VEGFR2-AKT/FAK signal axis. Mol. Med. Rep. 2017, 16, 8937–8943. [Google Scholar] [CrossRef] [PubMed]
- Lin, C.N.; Huang, P.L.; Wang, J.J.; Day, S.H.; Lin, H.C.; Wang, J.P.; Ko, Y.L.; Teng, C.M. Stereochemistry and biological activities of constituents from Cynanchum taiwanianum. Biochim. Biophys. Acta 1998, 1380, 115–122. [Google Scholar] [CrossRef]
- Devitt, G.; Howard, K.; Mudher, A.; Mahajan, S. Raman spectroscopy: An emerging tool in neurodegenerative disease research and diagnosis. ACS Chem. Neurosci. 2018, 9, 404–420. [Google Scholar] [CrossRef] [PubMed]
- Lee, G.; Choi, C.Y.; Jun, W. Effects of aqueous extracts of Cynanchum wilfordii in rat models for postmenopausal hot flush. Prev. Nutr. Food Sci. 2016, 21, 373–377. [Google Scholar] [CrossRef] [PubMed][Green Version]
- Lee, G.; Shin, J.; Choi, H.; Jo, A.; Pan, S.; Bae, D.; Lee, Y.; Choi, C. Cynanchum wilfordii ameliorates testosterone-induced benign prostatic hyperplasia by regulating 5alpha-reductase and androgen receptor activities in a rat model. Nutrients 2017, 9, 1070. [Google Scholar] [CrossRef] [PubMed]
© 2018 by the authors. Licensee MDPI, Basel, Switzerland. This article is an open access article distributed under the terms and conditions of the Creative Commons Attribution (CC BY) license (http://creativecommons.org/licenses/by/4.0/).





