Green Extraction of Natural Antioxidants from the Sterculia nobilis Fruit Waste and Analysis of Phenolic Profile
Abstract
:1. Introduction
2. Results and Discussion
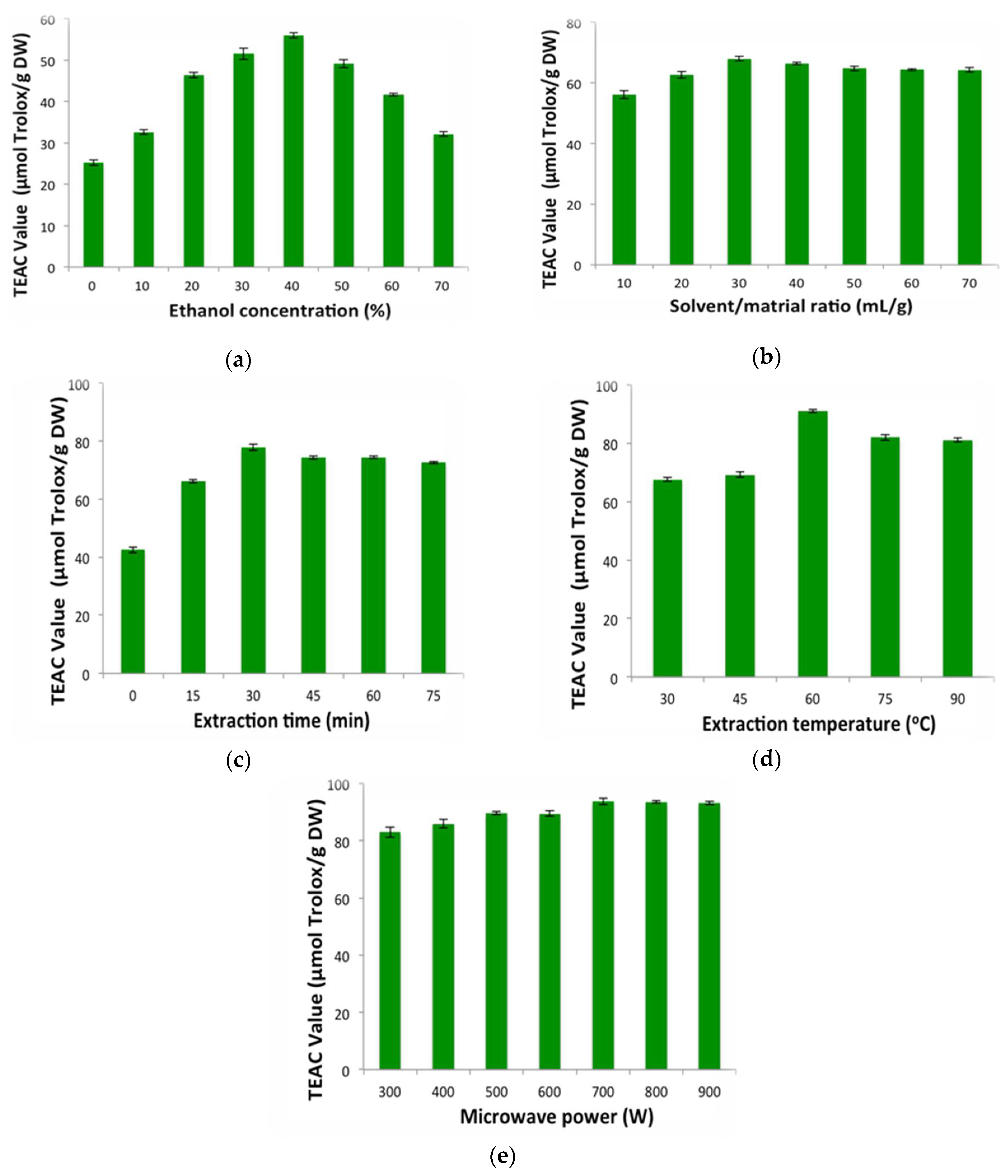
2.1. Single-Factor Experiment Analysis
2.1.1. Influence of Ethanol Concentration
2.1.2. Influence of Solvent/Material Ratio
2.1.3. Influence of Extraction Time
2.1.4. Influence of Temperature
2.1.5. Influence of Microwave Power
2.2. RSM Analysis
2.2.1. Central Composite Rotatable Design (CCRD) and Results
2.2.2. Fitting the Model
2.2.3. Response Surfaces Analysis
2.2.4. Validation of Predicted Value
2.3. Comparison of MAE with Conventional Methods
2.4. Analysis of Phenolic Compounds
3. Materials and Methods
3.1. Chemicals and Reagents
3.2. Instruments
3.3. Sample Preparation
3.4. Extraction of Antioxidants
3.4.1. Microwave-Assisted Extraction
3.4.2. Maceration Extraction
3.4.3. Soxhlet Extraction
3.5. Determination of Antioxidant Capacity
3.6. Determination of Total Phenolic Content
3.7. Determination of Total Flavonoid Content
3.8. Identification and Quantification of Phenolic Compounds
3.9. Experiment Design
3.9.1. Single-Factor Experiments
3.9.2. Response Surface Methodology
3.9.3. Statistical Analysis
4. Conclusions
Author Contributions
Funding
Conflicts of Interest
References
- Grzesik, M.; Naparlo, K.; Bartosz, G.; Sadowska-Bartosz, I. Antioxidant properties of catechins: Comparison with other antioxidants. Food Chem. 2018, 241, 480–492. [Google Scholar] [CrossRef] [PubMed]
- Guo, Y.J.; Deng, G.F.; Xu, X.R.; Wu, S.; Li, S.; Xia, E.Q.; Li, F.; Chen, F.; Ling, W.H.; Li, H.B. Antioxidant capacities, phenolic compounds and polysaccharide contents of 49 edible macro-fungi. Food Funct. 2012, 3, 1195–1205. [Google Scholar] [CrossRef] [PubMed]
- Kandikattu, H.K.; Rachitha, P.; Krupashree, K.; Jayashree, G.V.; Abhishek, V.; Khanum, F. LC-ESI-MS/MS analysis of total oligomeric flavonoid fraction of Cyperus rotundus and its antioxidant, damage protective and antihemolytic effects. Pathophysiology 2015, 22, 165–173. [Google Scholar] [CrossRef] [PubMed]
- Obrenovich, M.E.; Li, Y.; Parvathaneni, K.; Yendluri, B.B.; Palacios, H.H.; Leszek, J.; Aliev, G. Antioxidants in health, disease and aging. CNS Neurol. Disord.-Drug Targets 2011, 10, 192–207. [Google Scholar] [CrossRef] [PubMed]
- Stolarzewicz, I.A.; Ciekot, J.; Fabiszewska, A.U.; Bialecka-Florjanczyk, E. Plant and microbial sources of antioxidants. Postep. Hig. Med. Doswiadczalnej 2013, 67, 1359–1373. [Google Scholar] [CrossRef]
- Moure, A.; Cruz, J.M.; Franco, D.; Dominguez, J.M.; Sineiro, J.; Dominguez, H.; Nunez, M.J.; Parajo, J.C. Natural antioxidants from residual sources. Food Chem. 2001, 72, 145–171. [Google Scholar] [CrossRef]
- Fu, L.; Xu, B.T.; Xu, X.R.; Qin, X.S.; Gan, R.Y.; Li, H.B. Antioxidant capacities and total phenolic contents of 56 wild fruits from South China. Molecules 2010, 15, 8602–8617. [Google Scholar] [CrossRef] [PubMed]
- Song, F.L.; Gan, R.Y.; Zhang, Y.; Xiao, Q.; Kuang, L.; Li, H.B. Total phenolic contents and antioxidant capacities of selected Chinese medicinal plants. Int. J. Mol. Sci. 2010, 11, 2362–2372. [Google Scholar] [CrossRef] [PubMed]
- Fu, L.; Xu, B.T.; Gan, R.Y.; Zhang, Y.A.; Xu, X.R.; Xia, E.Q.; Li, H.B. Total phenolic contents and antioxidant capacities of herbal and tea infusions. Int. J. Mol. Sci. 2011, 12, 2112–2124. [Google Scholar] [CrossRef] [PubMed]
- Fu, L.; Xu, B.T.; Xu, X.R.; Gan, R.Y.; Zhang, Y.; Xia, E.Q.; Li, H.B. Antioxidant capacities and total phenolic contents of 62 fruits. Food Chem. 2011, 129, 345–350. [Google Scholar] [CrossRef]
- Deng, G.F.; Xu, X.R.; Zhang, Y.; Li, D.; Gan, R.Y.; Li, H.B. Phenolic compounds and bioactivities of pigmented rice. Crit. Rev. Food Sci. 2013, 53, 296–306. [Google Scholar] [CrossRef] [PubMed]
- Deng, G.F.; Lin, X.; Xu, X.R.; Gao, L.L.; Xie, J.F.; Li, H.B. Antioxidant capacities and total phenolic contents of 56 vegetables. J. Funct. Foods 2013, 5, 260–266. [Google Scholar] [CrossRef]
- Li, A.N.; Li, S.; Li, H.B.; Xu, D.P.; Xu, X.R.; Chen, F. Total phenolic contents and antioxidant capacities of 51 edible and wild flowers. J. Funct. Foods 2014, 6, 319–330. [Google Scholar] [CrossRef]
- Gan, R.Y.; Shah, N.P.; Wang, M.F.; Lui, W.Y.; Corke, H. Fermentation alters antioxidant capacity and polyphenol distribution in selected edible legumes. Int. J. Food Sci. Technol. 2016, 51, 875–884. [Google Scholar] [CrossRef]
- Li, Y.; Zhang, J.J.; Xu, D.P.; Zhou, T.; Zhou, Y.; Li, S.; Li, H.B. Bioactivities and health benefits of wild fruits. Int. J. Mol. Sci. 2016, 17, 1258. [Google Scholar] [CrossRef] [PubMed]
- Li, Y.W.; Lu, Y.Y.; Chen, X.L.; Ren, H.; Su, W.Q.; Liu, Y.Q.; Luo, R.H. Nutritional and health care valuation of seed embryo Sterculia nobilis Smith. J. South. Agric. 2012, 43, 641–648. [Google Scholar]
- Song, J.L.; Sun, P.; Wang, R.; Zhao, X. Gastroprotective effects of methanolic extract of Sterculia nobilis Smith seeds in reserpine-induced gastric ulcer in mice. J. Food Biochem. 2015, 39, 230–237. [Google Scholar] [CrossRef]
- Ren, H.; Zhou, J.; Li, Y.W.; Wei, C.Z.; Lu, Y.Y.; Lu, Y.C.; Luo, R.H. Study on nutrition and antioxidant activities of Sterculia nobilis Smith seeds. Plant Sci. J. 2013, 31, 203–208. [Google Scholar] [CrossRef]
- Xu, D.P.; Li, Y.; Meng, X.; Zhou, T.; Zhou, Y.; Zheng, J.; Zhang, J.J.; Li, H.B. Natural antioxidants in foods and medicinal plants: Extraction, assessment and resources. Int. J. Mol. Sci. 2017, 18, 96. [Google Scholar] [CrossRef] [PubMed]
- Zhou, Y.; Zheng, J.; Gan, R.; Zhou, T.; Xu, D.; Li, H. Optimization of ultrasound-assisted extraction of antioxidants from the mung bean coat. Molecules 2017, 22, 638. [Google Scholar] [CrossRef] [PubMed]
- Xu, D.P.; Zheng, J.; Zhou, Y.; Li, Y.; Li, S.; Li, H.B. Ultrasound-assisted extraction of natural antioxidants from the flower of Limonium sinuatum: Optimization and comparison with conventional methods. Food Chem. 2017, 217, 552–559. [Google Scholar] [CrossRef] [PubMed]
- Li, A.N.; Li, S.; Li, Y.; Xu, D.P.; Li, H.B. Optimization of ultrasound-assisted extraction of natural antioxidants from the Osmanthus fragrans flower. Molecules 2016, 21, 218. [Google Scholar] [CrossRef] [PubMed]
- Wang, H.; Ding, J.; Ren, N.Q. Recent advances in microwave-assisted extraction of trace organic pollutants from food and environmental samples. TrAC Trends Anal. Chem. 2016, 75, 197–208. [Google Scholar] [CrossRef]
- Sahin, S.; Samli, R.; Tan, A.; Barba, F.J.; Chemat, F.; Cravotto, G.; Lorenzo, J.M. Solvent-free microwave-assisted extraction of polyphenols from olive tree leaves: Antioxidant and antimicrobial properties. Molecules 2017, 22, 1056. [Google Scholar] [CrossRef] [PubMed]
- Perino-Issartier, S.; Abert-Vian, M.; Chemat, F. Solvent free microwave-assisted extraction of antioxidants from sea buckthorn (Hippophae rhamnoides) food by-products. Food Bioprocess Technol. 2011, 4, 1020–1028. [Google Scholar] [CrossRef]
- Nemes, S.M.; Orsat, V. Screening the experimental domain for the microwave-assisted extraction of secoisolariciresinol diglucoside from flaxseed prior to optimization procedures. Food Bioprocess Technol. 2010, 3, 300–307. [Google Scholar] [CrossRef]
- Kappe, C.O. Controlled microwave heating in modern organic synthesis. Angew. Chem. Int. Ed. 2004, 43, 6250–6284. [Google Scholar] [CrossRef] [PubMed]
- Xia, E.Q.; Cui, B.; Xu, X.R.; Song, Y.; Ai, X.X.; Li, H.B. Microwave-assisted extraction of oxymatrine from Sophora flavescens. Molecules 2011, 16, 7391–7400. [Google Scholar] [CrossRef] [PubMed]
- Xia, E.Q.; Wang, B.W.; Xu, X.R.; Zhu, L.; Song, Y.; Li, H.B. Microwave-assisted extraction of oleanolic acid and ursolic acid from Ligustrum lucidum Ait. Int. J. Mol. Sci. 2011, 12, 5319–5329. [Google Scholar] [CrossRef] [PubMed]
- Kala, H.K.; Mehta, R.; Sen, K.K.; Tandey, R.; Mandal, V. Critical analysis of research trends and issues in microwave-assisted extraction of phenolics: Have we really done enough. TrAC Trend. Anal. Chem. 2016, 85, 140–152. [Google Scholar] [CrossRef]
- Gan, C.Y.; Latiff, A.A. Optimization of the solvent extraction of bioactive compounds from Parkia speciosa pod using response surface methodology. Food Chem. 2011, 124, 1277–1283. [Google Scholar] [CrossRef]
- Ameer, K.; Bae, S.W.; Jo, Y.; Lee, H.G.; Ameer, A.; Kwon, J.H. Optimization of microwave-assisted extraction of total extract, stevioside and rebaudioside-A from Stevia rebaudiana (Bertoni) leaves, using response surface methodology (RSM) and artificial neural network (ANN) modelling. Food Chem. 2017, 229, 198–207. [Google Scholar] [CrossRef] [PubMed]
- Sinha, K.; Chowdhury, S.; Das Saha, P.; Datta, S. Modeling of microwave-assisted extraction of natural dye from seeds of Bixa orellana (Annatto) using response surface methodology (RSM) and artificial neural network (ANN). Ind. Crop. Prod. 2013, 41, 165–171. [Google Scholar] [CrossRef]
- Lefsih, K.; Giacomazza, D.; Dahmoune, F.; Mangione, M.R.; Bulone, D.; Biagio, P.; Passantino, R.; Costa, M.A.; Guarrasi, V.; Madani, K.; et al. Pectin from Opuntia ficus indica: Optimization of microwave-assisted extraction and preliminary characterization. Food Chem. 2017, 221, 91–99. [Google Scholar] [CrossRef] [PubMed]
- Yanik, D.K. Alternative to traditional olive pomace oil extraction systems: Microwave-assisted solvent extraction of oil from wet olive pomace. LWT-Food Sci. Technol. 2017, 77, 45–51. [Google Scholar] [CrossRef]
- Bhan, M.; Satija, S.; Garg, C.; Dureja, H.; Garg, M. Optimization of ionic liquid-based microwave-assisted extraction of a diterpenoid lactone-andrographolide from Andrographis paniculata by response surface methodology. J. Mol. Liq. 2017, 229, 161–166. [Google Scholar] [CrossRef]
- Saikia, S.; Mahnot, N.K.; Mahanta, C.L. Optimization of phenolic extraction from Averrhoa carambola pomace by response surface methodology and its microencapsulation by spray and freeze drying. Food Chem. 2015, 171, 144–152. [Google Scholar] [CrossRef] [PubMed]
- Chen, C.; Shao, Y.; Tao, Y.D.; Wen, H.X. Optimization of dynamic microwave-assisted extraction of Armillaria polysaccharides using RSM, and their biological activity. LWT-Food Sci. Technol. 2015, 64, 1263–1269. [Google Scholar] [CrossRef]
- Bezerra, M.A.; Santelli, R.E.; Oliveira, E.P.; Villar, L.S.; Escaleira, L.A. Response surface methodology (RSM) as a tool for optimization in analytical chemistry. Talanta 2008, 76, 965–977. [Google Scholar] [CrossRef] [PubMed]
- Dailey, A.; Vuong, Q. Optimization of aqueous extraction conditions for recovery of phenolic content and antioxidant properties from Macadamia (Macadamia tetraphylla) skin waste. Antioxidants 2015, 4, 699–718. [Google Scholar] [CrossRef] [PubMed]
- Ren, B.B.; Chen, C.; Li, C.; Fu, X.; You, L.J.; Liu, R.H. Optimization of microwave-assisted extraction of Sargassum thunbergii polysaccharides and its antioxidant and hypoglycemic activities. Carbohydr. Polym. 2017, 173, 192–201. [Google Scholar] [CrossRef] [PubMed]
- Ghasemzadeh, A.; Jaafar, H.; Rahmat, A.; Swamy, M.K. Optimization of microwave-assisted extraction of zerumbone from Zingiber zerumbet L. rhizome and evaluation of antiproliferative activity of optimized extracts. Chem. Cent. J. 2017, 11, 5. [Google Scholar] [CrossRef] [PubMed]
- Hu, B.; Li, C.; Zhang, Z.Q.; Zhao, Q.; Zhu, Y.D.; Su, Z.; Chen, Y.Z. Microwave-assisted extraction of silkworm pupal oil and evaluation of its fatty acid composition, physicochemical properties and antioxidant activities. Food Chem. 2017, 231, 348–355. [Google Scholar] [CrossRef] [PubMed]
- Routray, W.; Orsat, V. MAE of phenolic compounds from blueberry leaves and comparison with other extraction methods. Ind. Crop. Prod. 2014, 58, 36–45. [Google Scholar] [CrossRef]
- Li, Y.; Li, S.; Lin, S.J.; Zhang, J.J.; Zhao, C.N.; Li, H.B. Microwave-assisted extraction of natural antioxidants from the exotic Gordonia axillaris fruit: Optimization and identification of phenolic compounds. Molecules 2017, 22, 1481. [Google Scholar] [CrossRef] [PubMed]
- Qiu, D.R.; Guo, J.; Yu, H.M.; Yan, J.; Yang, S.X.; Li, X.; Zhang, Y.M.; Sun, J.Z.; Cong, J.; He, S.L.; et al. Antioxidant phenolic compounds isolated from wild Pyrus ussuriensis Maxim. fruit peels and leaves. Food Chem. 2017, 241, 182–187. [Google Scholar] [CrossRef] [PubMed]
- Pang, Y.H.; Ahmed, S.; Xu, Y.J.; Beta, T.; Zhu, Z.W.; Shao, Y.F.; Bao, J.S. Bound phenolic compounds and antioxidant properties of whole grain and bran of white, red and black rice. Food Chem. 2017, 240, 212–221. [Google Scholar] [CrossRef] [PubMed]
- Mandel, S.A.; Amit, T.; Kalfon, L.; Reznichenko, L.; Weinreb, O.; Youdim, M.B.H. Cell signaling pathways and iron chelation in the neurorestorative activity of green tea polyphenols: Special reference to epigallocatechin gallate (EGCG). J. Alzheimers Dis. 2008, 15, 211–222. [Google Scholar] [CrossRef] [PubMed]
- Shay, J.; Elbaz, H.A.; Lee, I.; Zielske, S.P.; Malek, M.H.; Huttemann, M. Molecular mechanisms and therapeutic effects of (−)-epicatechin and other polyphenols in cancer, inflammation, diabetes, and neurodegeneration. Oxid. Med. Cell. Longev. 2015, 2015, 181260. [Google Scholar] [CrossRef] [PubMed]
- Hosseinzadeh, H.; Nassiri-Asl, M. Review of the protective effects of rutin on the metabolic function as an important dietary flavonoid. J. Endocrinol. Investig. 2014, 37, 783–788. [Google Scholar] [CrossRef] [PubMed]
- Xu, D.P.; Zheng, J.; Zhou, Y.; Li, Y.; Li, S.; Li, H.B. Extraction of natural antioxidants from the Thelephora ganbajun mushroom by an ultrasound-assisted extraction technique and evaluation of antiproliferative activity of the extract against human cancer cells. Int. J. Mol. Sci. 2016, 17, 1664. [Google Scholar] [CrossRef] [PubMed]
- Zhou, T.; Xu, D.P.; Lin, S.J.; Li, Y.; Zheng, J.; Zhou, Y.; Zhang, J.J.; Li, H.B. Ultrasound-assisted extraction and identification of natural antioxidants from the fruit of Melastoma sanguineum Sims. Molecules 2017, 22, 306. [Google Scholar] [CrossRef] [PubMed]
- Kalia, K.; Sharma, K.; Singh, H.P.; Singh, B. Effects of extraction methods on phenolic contents and antioxidant activity in aerial parts of Potentilla atrosanguinea Lodd. and quantification of its phenolic constituents by RP-HPLC. J. Agric. Food Chem. 2008, 56, 10129–10134. [Google Scholar] [CrossRef] [PubMed]
Sample Availability: Samples of the compounds are not available from the authors. |




| Run | X1 (Ethanol Concentration, %) | X2 (Extraction Time, min) | X3 (Temperature, °C) | Y (TEAC Value, μmol Trolox/g DW) | |
|---|---|---|---|---|---|
| Actual Value | Predicted Value | ||||
| 1 | 40 | 55.23 | 60 | 80.50 | 82.38 |
| 2 | 40 | 30 | 60 | 92.64 | 89.16 |
| 3 | 30 | 45 | 70 | 88.26 | 85.23 |
| 4 | 30 | 15 | 50 | 46.08 | 46.38 |
| 5 | 30 | 15 | 70 | 76.50 | 71.37 |
| 6 | 40 | 30 | 76.82 | 80.73 | 86.10 |
| 7 | 40 | 30 | 60 | 94.25 | 89.16 |
| 8 | 23.18 | 40 | 60 | 65.21 | 70.08 |
| 9 | 30 | 45 | 50 | 67.75 | 65.55 |
| 10 | 40 | 30 | 60 | 93.10 | 89.16 |
| 11 | 50 | 45 | 70 | 89.64 | 87.01 |
| 12 | 40 | 30 | 60 | 90.79 | 89.16 |
| 13 | 40 | 4.77 | 60 | 54.38 | 55.78 |
| 14 | 50 | 45 | 50 | 65.44 | 68.25 |
| 15 | 40 | 30 | 60 | 92.41 | 89.16 |
| 16 | 50 | 15 | 70 | 74.66 | 74.54 |
| 17 | 40 | 30 | 43.18 | 51.39 | 49.31 |
| 18 | 40 | 30 | 60 | 72.36 | 89.16 |
| 19 | 56.82 | 30 | 60 | 76.60 | 75.02 |
| 20 | 50 | 15 | 50 | 49.77 | 50.48 |
| Source | Sum of Squares | df | Mean Square | F Value | p Value | Significant |
|---|---|---|---|---|---|---|
| Model | 4252.35 | 9 | 472.48 | 10.06 | 0.0006 | significant |
| X1 | 29.51 | 1 | 29.51 | 0.63 | 0.4463 | |
| X2 | 854.21 | 1 | 854.21 | 18.19 | 0.0016 | |
| X3 | 1633.58 | 1 | 1633.58 | 34.79 | 0.0002 | |
| X1X2 | 0.97 | 1 | 0.97 | 0.021 | 0.8888 | |
| X1X3 | 0.42 | 1 | 0.42 | 0.009 | 0.9262 | |
| X2X3 | 14.04 | 1 | 14.04 | 0.30 | 0.5964 | |
| X12 | 497.42 | 1 | 497.42 | 10.59 | 0.0087 | |
| X22 | 726.50 | 1 | 726.50 | 15.47 | 0.0028 | |
| X32 | 829.77 | 1 | 829.77 | 17.67 | 0.0018 | |
| Residual | 469.59 | 10 | 46.96 | |||
| Lack of Fit | 120.65 | 5 | 24.13 | 0.35 | 0.8657 | not significant |
| Pure Error | 348.94 | 5 | 69.79 | |||
| Cor Total | 4721.94 | 19 | ||||
| R-Squared | 0.9006 | |||||
| Adj R-Squared | 0.8110 |
| Extraction Methods | Ethanol Conc. (%) | Extraction Time (min) | Temp. (°C) | TEAC (μmol Trolox/g DW) | TPC (mg GAE/g DW) | TFC (mg QE/g DW) |
|---|---|---|---|---|---|---|
| Maceration | 40.96 | 24 h | 25 | 41.92 ± 1.96 | 2.74 ± 0.69 | 0.30 ± 0.17 |
| Soxhlet | 40.96 | 4 h | 95 | 23.84 ± 3.06 | 2.56 ± 0.64 | 0.24 ± 0.10 |
| MAE | 40.96 | 37.37 | 66.76 | 93.72 ± 1.05 | 3.67 ± 0.80 | 0.45 ± 0.13 |
| Number | Phenolic Compounds | Retention Time (tR, min) | Paront Ion (m/z, [M − H]−) | Product Ion (m/z) | Contents (μg/g DW) |
|---|---|---|---|---|---|
| 1 | Epicatechin | 12.3 | 289 | 203 | 56.63 ± 0.58 |
| 2 | Protocatechuic acid | 8.08 | 153.1 | 109 | 21.09 ± 0.16 |
| 3 | Ferulic acid | 14.3 | 193.1 | 134 | 0.84 ± 0.003 |
| 4 | Gallic acid | 4.79 | 169.1 | 125 | 0.53 ± 0.008 |
| 5 | p-Coumaric acid | 15.4 | 162.7 | 119 | 0.45 ± 0.003 |
| 6 | Caffeic acid | 12.4 | 179.1 | 135 | 0.35 ± 0.010 |
| 7 | Quercetin | 16.5 | 301 | 179 | 0.041 ± 0.001 |
| 8 | p-Hydroxycinnamic acid | 14 | 163.1 | 119 | 0.027 ± 0.001 |
| Variable | Units | Symbol | Code Levels | ||||
|---|---|---|---|---|---|---|---|
| −1.68 | −1 | 0 | 1 | 1.68 | |||
| Ethanol concentration | % (v/v) | X1 | 23.18 | 30 | 40 | 50 | 56.82 |
| Extraction time | min | X2 | 4.77 | 15 | 30 | 45 | 55.23 |
| Temperature | °C | X3 | 43.18 | 50 | 60 | 70 | 76.82 |
© 2018 by the authors. Licensee MDPI, Basel, Switzerland. This article is an open access article distributed under the terms and conditions of the Creative Commons Attribution (CC BY) license (http://creativecommons.org/licenses/by/4.0/).
Share and Cite
Zhang, J.-J.; Li, Y.; Lin, S.-J.; Li, H.-B. Green Extraction of Natural Antioxidants from the Sterculia nobilis Fruit Waste and Analysis of Phenolic Profile. Molecules 2018, 23, 1059. https://doi.org/10.3390/molecules23051059
Zhang J-J, Li Y, Lin S-J, Li H-B. Green Extraction of Natural Antioxidants from the Sterculia nobilis Fruit Waste and Analysis of Phenolic Profile. Molecules. 2018; 23(5):1059. https://doi.org/10.3390/molecules23051059
Chicago/Turabian StyleZhang, Jiao-Jiao, Ya Li, Sheng-Jun Lin, and Hua-Bin Li. 2018. "Green Extraction of Natural Antioxidants from the Sterculia nobilis Fruit Waste and Analysis of Phenolic Profile" Molecules 23, no. 5: 1059. https://doi.org/10.3390/molecules23051059
APA StyleZhang, J.-J., Li, Y., Lin, S.-J., & Li, H.-B. (2018). Green Extraction of Natural Antioxidants from the Sterculia nobilis Fruit Waste and Analysis of Phenolic Profile. Molecules, 23(5), 1059. https://doi.org/10.3390/molecules23051059

