Abstract
The thienopyridines class of drugs used as P2Y12 receptor antagonists plays a vital role in antiplatelet therapy. To further optimized this compound class, we designed and synthesized a series of amino acid prodrugs of 2-hydroxytetrahydrothienopyridine. All compounds were then evaluated for their inhibitory effect on ADP-induced platelet aggregation in rats and then ED50 and bleeding time of the most potent compounds were compared with commercial drugs. The results showed compound 5c could be a potent and safe candidate for further research.
1. Introduction
Platelets play a critical role in the development of acute coronary syndromes (ACS) and contribute to cerebrovascular events through adhesion, aggregation and subsequent thrombus formation [1]. After platelet activation, ADP is released from intracellular storage granules and then further activates platelets, enlarging the activation and thus aggregation processes [2,3]. It was shown that the ADP response was due to activation of two receptors, the Gq-coupled P2Y1 receptor, which induces a calcium response and shape change of the blood platelet and the Gi-coupled P2Y12R, which decreases the intracellular adenylyl cyclase activity and prolongs intracellular calcium signaling, thereby stabilizing the formed platelet aggregates [4,5,6,7]. Consequently, blocking the P2Y12R is a valid strategy to antiplatelet therapy, as demonstrated by the thienopyridine class of drugs, including clopidogrel and prasugrel (Figure 1). Thienopyridines are prodrugs those are converted into their respective active metabolites (AMs) through thiolactone intermediates. Clopidogrel is oxidized by cytochrome P450 (CYP) isoforms to its thiolactone, while prasugrel is rapidly hydrolysed by esterases to its thiolactone intermediate (Figure 2) [8]. Until now, dual antiplatelet therapy with aspirin and clopidogrel has remained the treatment of choice for patients with ACS and for those undergoing percutaneous coronary interventions [9,10,11,12]. However, up to 30% of Caucasian patients carry CYP2C19 loss-of-function alleles. They cannot complete the oxidative biotransformation after receiving clopidogrel and thus are prone to suffer a high rate of subsequent cardiovascular events [13,14]. Prasugrel achieved more pronounced inhibition of platelet aggregation and lower interindividual variability of pharmacological response, but the improved efficacy was associated with an increased bleeding risk [15]. Ticagrelor, unlike the thienopyridines, is an oral cyclopentyl-triazolopyrimidine (CPTP) that is a direct and reversible inhibitor of the P2Y12 receptor and does not require CYP450-mediated activation. Although it effectively reduces the ischaemic events and mortality rates of cardiovascular patients, high nonlethal bleeding rates are observed and obvious undesirable side-effect appear [16]. The TRITON and PLATO clinical trials have both accounted for the long-standing hypothesis of more potent platelet inhibition translating into reduced atherothrombotic events at the expense of increased bleeding [15,16,17,18]. All these considerations reinforce the strong need of novel and safe P2Y12 antagonists.
Figure 1.
The representative chemical structures of drugs of ADP receptor antagonist.
Figure 2.
Simplified biosynthetic mechanism of the active units of thienopyridines and prodrug design.
In this study, we mimicked the metabolic pattern of prasugrel and aimed to find a drug candidate overcoming the drawbacks of clopidogrel and prasugrel, assuming that ester prodrugs might be readily converted to thiolactones by esterase-mediated hydrolysis and subsequently to the active metabolite through only one CYP-dependent step. We chose the most potential intermediates 3a and 3b (Scheme 1) which are, respectively, the thiolactone of clopidogrel and prasugrel, as a parent part of the target compounds.
Scheme 1.
Synthetic route of compounds 5a–5p. Reagents and conditions: (i) K2CO3, CH3CN, r.t. overnight (60–65% yield); (ii) N-Boc-l-amino acid, EDCI, DMAP, DCM, 0 °C-r.t., 4 h (71–86% yield); (iii) hydrochloric ethyl acetate, r.t., 5 h (84–93% yield).
Furthermore, amino acid prodrug design has been approached into our work as an attractive strategy. There are some good reasons for amino acid prodrugs: (1) they can be conveniently hydrolysed to their parent drug and amino acid part by enzymes in vivo. Amino acids are generally regarded as safe because they building blocks for proteins; (2) it is also proven that they can improve oral delivery and sustained release [19].
Taking the above information into account, we introduced several amino acids into the thiolactone moiety and synthesized a series of amino acid prodrugs of 2-hydroxytetra-hydrothienopyridine as novel antiplatelet agents. We also describe the inhibition of ADP-induced platelet aggregation in rats. Moreover, the potent compounds were tested for most ED50 and bleeding time.
2. Results
2.1. Chemistry
The synthesis of the molecules was designed and carried out as shown in Scheme 1. The thienopyridine hydrochloride 1 was reacted with substituted intermediates 2a–b in the absence of potassium bicarbonate to afford the N-alkylated thiolactones 3a–b, which were converted to 4a–4p with N-boc-l-amino acids via EDCI and DMAP [20,21]. We chose several aliphatic and aromatic amino acids, especially including the l-proline and l-2-pyrrolidone-5-carboxylic acid with an imine and amide structure, respectively. Finally, the target amino acid esters 5a–5p were obtained as hydrochloride salts after treating with hydrochloric acid in ethyl acetate for the removal of the Boc-group. All the structures are outlined in Table 1.
Table 1.
Structures of target compounds.
2.2. Biological Activity Evaluation
2.2.1. Inhibition of ADP-induced Platelet Aggregation in Rats at a Dose of 3 mg/kg and 1 mg/kg
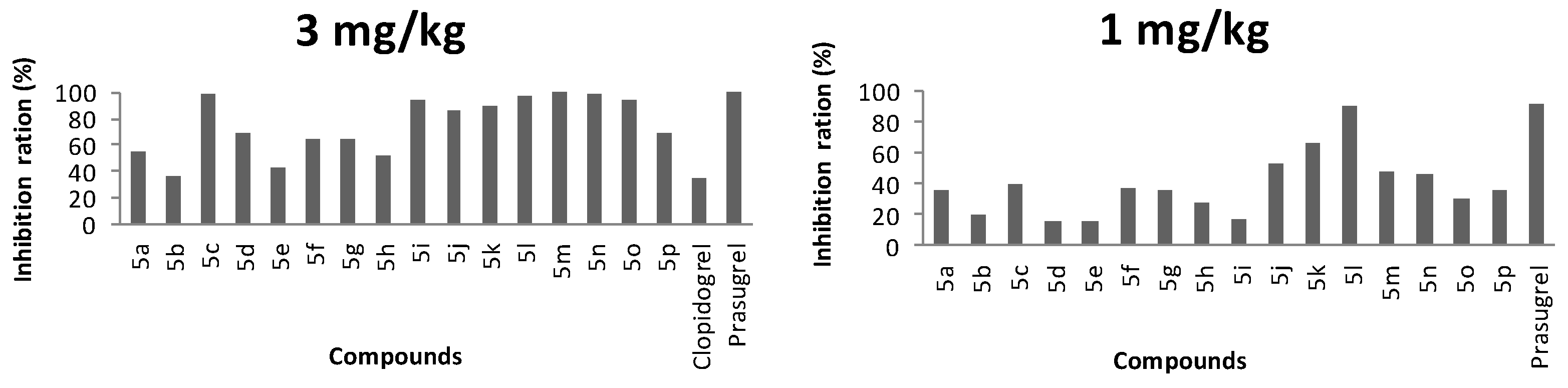
All the targeted analogues were evaluated for their inhibitory effect on ADP-induced platelet aggregation in rats, with clopidogrel and prasugrel as positive controls. The assay results are summarized in Table 2 and Figure 3. Considering that prasugrel exhibited strong potency at a dose of 3 mg/kg, while clopidogrel was almost inactive, we initiated the screening at a dose of 3 mg/kg for all compounds. As we expected, almost all the first screening round compounds presented outstanding inhibitory effect on platelet aggregation that was more potent than clopidogrel. In particular, 5c and 5i–5p showed almost equal activity to that of prasugrel at 3 mg/kg dose. To make better option for further study, we attempted to increase the difference behavior among the targeted compounds on platelet aggregation via carrying out a secondary screening of all compounds at a reduced dose of 1 mg/kg.
Table 2.
Inhibitory effect of target compounds on ADP-induced platelet aggregation in rats at a dose of 3 mg/kg and 1mg/kg.
Figure 3.
Inhibition ratios of all compounds at doses of 3 mg/kg and 1 mg/kg.
As shown in the 1 mg/kg level results, 5l approached prasugrel in inhibition behavior and 5c, 5j, 5k, 5m and 5n presented slightly less potency than prasugrel at the 1 mg/kg level. Although these compounds should covert to the same activate metabolites 6a or 6b to behave efficaciously [22,23], the hindrance of hydrolysis at the 2-ester moiety might have a significant impact on the potency. It was notable that 5c, based on the 2-oxoclopidogrel structure, was superior to clopidogrel and approach to prasugrel on inhibitory of platelet aggregation.
2.2.2. Determination of ED50 and BT2 of 5c and 5l
Aiming to find a candidate which has a balance between antiplatelet effects and bleeding complications, we selected 5c and 5l to further test for ED50 value and bleeding risk, because 5c and 5l performed the best in the aggregation assays among their own series of backbone structures which included 3a (2-oxoclopidogrel) and 3b (thiolactone of prasugrel), respectively. Firstly, we executed above bio-assay at doses of 0.5–4 mg/kg to determine the ED50 values of compounds 5c and 5l (Figure 4). The results showed that 5c (ED50 = 2.16 mg/kg) and 5l (ED50 = 0.74 mg/kg) had a moderate value between clopidogrel (ED50 = 3.96 mg/kg) and prasugrel (ED50 = 0.50 mg/kg). Moreover, in the tail bleeding test (Figure 5), 5c induced much shorter bleeding time in rats, while 5l showed a slightly shorter bleeding time than prasugrel. Table 3 summarizes the ED50 and BT2 values for the tested compounds. The BT2 was defined as the dose that doubled the vehicle bleeding time. The ED50 and BT2 values of clopidogrel and prasugrel were in good agreement with those reported [24,25]. In addition, the ratios of ED50 to BT2 indicated the tested compounds have a similar benefit/bleeding ratio risk. It should be noted that the ratio of 5c was the lowest one, although its efficacy was lower than that of prasugrel. Taken together, these results suggest that 5c is a potent antiplatelet agent with relatively moderate antiheamostatic potency, but this remains to be proven in future clinical studies.
Figure 4.
The platelet aggregation of 5c, 5k, clopidogrel and prasugrel at different doses. ** p < 0.01 vs. vehicle. Data are the mean ± SD, n = 5).
Figure 5.
The bleeding time of 5c and 5k at different doses. * p < 0.05, ** p < 0.01, *** p < 0.001 vs. vehicle. Data are the mean ± SD, n = 5).
Table 3.
Comparison of antiplatelet antihaemostatic effects of potent compounds.
3. Discussion
It has been reported that, at same dose, the activite metabolite of prasugrel (compound 6b) is more potent at inhibiting platelet aggregation than that of clopidogrel (compound 6a) [26]. This very important point is exactly conformed by our study results wherebyt compounds 5i–5p generally were more effective than 5a–5h, because of the generation of their respective AM after administration at the same dose. It is also indicated that 5a–5h can easier and more directly transform into 3a than clopidogrel via the evidence that 5a–5h are superior to clopidogrel while 5i–5p are not so to prasugrel. Taking all this into account, we believe that the compounds we designed and synthesized, especially 5a–5h, are metabolized to 3a via a one-esterase hydrolysis-step and one-P450-step in vivo, which exactly overcomes the drawback of clopidogrel resistance. Further studies will focus on the pharmacokinetics of 5c.
4. Materials and Methods
4.1. General Information
All reagents and solvents were purchased from commercial suppliers and used without further purification. Reactions were monitored by thin layer chromatography. The melting points (m.p.) of the compounds were determined on a YRT-3 Melting Point Tester (Precision Instrument of Tianjin University, Tianjin, China). 1H-NMR and 13C-NMR spectra were recorded for DMSO-d6 solutions on a 400 MHz Bruker spectrometer (Bruker, Billerica, MA, USA). MS were measured on a Finnigan LCQ Mass (Thermo Fisher Scientific, Waltham, MA, USA), HRMS were measured on a TOF LC/MS instrument (Agilent Technologies, Santa Clara, CA, USA). Blood sample were handled with a low speed table centrifuge (LD5-2A, Beijing, China) and an aggregometer (LBY-NJ4, Beijing, China). The ED50 was calculated using the SPSS software (IBM, North Castle, NY, USA).
4.2. Chemistry
Methyl 2-(2-chlorophenyl)-2-(2-oxo-7,7a-dihydrothieno[3,2-c]pyridin-5(2H,4H,6H)-yl)acetate (3a). To a stirred solution of methyl 2-bromo-2-(2-chlorophenyl)acetate (2a, 26.3 g, 0.1 mol) in CH3CN (500 mL) were added 5,6,7,7a-tetrahydrothieno[3,2-c]pyridin-2(4H)-one hydrochloride (1, 20.9 g, 0.11 mol) and potassium bicarbonate (30.0 g, 0.3 mol). The reaction was stirred at room temperature overnight. The reaction mixture was filtered and the liquid was concentrated under reduced pressure. The residue was purified by column chromatography to give a yellow oil, which was recrystallized from EtOH to afford a white solid (20.9 g, 62% yield). m.p.: 118–119 °C. 1H-NMR(400 MHz, DMSO-d6): δ 7.50–7.46 (m, 2H), 7.41–7.35 (m, 2H), 6.20 (s, 1H), 4.85 (s, 1H), 4.50 (q, 1H, J = 6.0 Hz), 3.86 (dd, 1H, J = 1.2 Hz), 3.65 (s, 3H), 3.22 (d, 1H, J = 12.0 Hz), 2.92 (d, 1H, J = 12.0 Hz), 2.58 (t, 1H, J = 12.0 Hz), 2.40–2.35 (m, 1H), 1.62–1.53 (m, 1H). ESI-MS (m/z) = 338.16 [M + H]+. The 1H-NMR and MS data were in good agreement with those reported [27].
5-(2-Cyclopropyl-1-(2-fluorophenyl)-2-oxoethyl)-5,6,7,7a-tetrahydrothieno[3,2-c]pyridin-2(4H)-one (3b). Compound 3b was synthesized from 2b and compound 1 according to the procedure described for the preparation of 3a. White solid product (20.0 g, 65% yield), m.p. 122–124 °C. 1H-NMR (400 MHz, DMSO-d6): δ 7.37–7.31 (m, 2H), 7.24–7.10 (m, 2H), 6.03 (s, 1H), 4.82 (s, 1H), 4.07 (q, 1H, J = 4.8 Hz), 3.94 (dd, 1H, J = 12.0 Hz), 3.08–3.05 (m, 2H), 2.35–2.30 (m, 2H), 2.12–2.06 (m, 1H), 1.93–1.83 (m, 1H), 1.04–1.01 (m, 2H), 0.90–0.78 (m, 2H). ESI-MS (m/z) = 332.19 [M + H]+. The 1H-NMR and MS data were in good agreement with those reported [20].
5-(1-(2-chlorophenyl)-2-methoxy-2-oxoethyl)-4,5,6,7-tetrahydrothieno[3,2-c]pyridin-2-yl-2-((tert-butoxy-carbonyl)amino)propanoate (4a). EDCI (1.2 g, 6 mmol) was slowly added to an ice-cooled mixture of 3a (1.0 g, 3 mmol), l-N-Boc-alanine (0.7 g, 3.6 mmol), DMAP (40 mg, 0.3 mmol) in DCM (15 mL). The mixture was gradually warmed to room temperature and stirred for additional 4.0 h until the completion of the reaction detected by TLC. Then it was poured into ice-water (500 mL). The organic was separated and the aqueous was extracted with DCM. The combined organic was successively washed with cold 1.0 M aq HCl, saturated aq Na2CO3, and brine. It was dried over Na2SO4 and vacuum evaporated to give 4a (1.2 g, 81.2% yield) as a yellow oil. 1H-NMR (400 MHz, DMSO-d6): 7.55 (d, 1H, J =7.8 Hz), 7.50–7.45 (m, 2H), 7.38–7.32 (m, 2H), 6.40 (s, 1H), 4.82 (s, 1H), 4.21–4.18 (m, 1H), 3.63 (s, 3H), 3.52 (s, 2H), 2.83–2.74 (m, 2H), 2.66 (s, 2H), 1.45–1.30 (m, 12H). ESI-MS (m/z) = 509.08 [M + H]+.
Compounds 4b–4p were synthesized according to the procedure described for the preparation of 4a.
5-(1-(2-Chlorophenyl)-2-methoxy-2-oxoethyl)-4,5,6,7-tetrahydrothieno[3,2-c]pyridin-2-yl-2-((tert-butoxy- carbonyl)-amino)-3-methylbutanoate (4b). Yellow oil. 1H-NMR (400 MHz, DMSO-d6): δ 7.55 (d, 1H, J = 7.2 Hz), 7.45 (t, 2H, J = 8.0 Hz and 9.2 Hz), 7.38–7.31 (m, 2H), 6.40 (s, 1H), 4.81 (s, 1H), 3.99 (t, 1H, J = 6.8 Hz), 3.63 (s, 3H), 3.52 (s, 2H), 2.83–2.66 (m, 4H), 2.10–2.05 (m, 1H), 1.37 (s, 9H), 0.92–0.89 (m, 6H). ESI-MS (m/z) = 537.04 [M + H]+.
5-(1-(2-Chlorophenyl)-2-methoxy-2-oxoethyl)-4,5,6,7-tetrahydrothieno[3,2-c]pyridin-2-yl-2-((tert-butoxy-carbonyl)amino)-4-methylpentanoate (4c). Yellow oil. 1H-NMR (400 MHz, DMSO-d6): 7.55 (d, 1H, J = 6.8 Hz), 7.47 (d, 2H, J = 7.2 Hz), 7.39–7.32 (m, 2H), 6.40 (s, 1H), 4.83 (s, 1H), 4.16–4.10 (m, 1H), 3.63 (s, 3H), 3.52 (s, 2H), 2.83–2.60 (m, 4H), 1.65–1.40 (m, 3H), 1.36 (s, 9H), 0.88–0.84 (m, 6H). ESI-MS (m/z) = 551.05 [M + H]+, HRMS(ESI) calcd. for C27H36ClN2O6S+: [M + H]+ m/z: 551.1977, found: 551.1968.
5-(1-(2-Chlorophenyl)-2-methoxy-2-oxoethyl)-4,5,6,7-tetrahydrothieno[3,2-c]pyridin-2-yl-2-((tert-butoxy-carbonyl)amino)-3-methylpentanoate (4d). Yellow oil. 1H-NMR (400 MHz, DMSO-d6): δ 7.57 (d, 1H, J = 9.2 Hz), 7.48–7.34 (m, 4H), 6.42 (s, 1H), 4.83 (s, 1H), 4.08–4.04 (m, 1H), 3.65 (s, 3H), 3.53 (s, 2H), 2.85–2.75 (m, 2H), 2.65–2.63 (m, 2H), 1.88–1.80 (m, 1H), 1.38–1.18 (m, 11H), 0.88–0.73 (m, 6H). ESI-MS (m/z) = 551.10 [M + H]+.
5-(1-(2-Chlorophenyl)-2-methoxy-2-oxoethyl)-4,5,6,7-tetrahydrothieno[3,2-c]pyridin-2-yl-2-((tert-butoxy-carbonyl)amino)-3-phenylpropanoate (4e). Yellow oil. 1H-NMR (400 MHz, DMSO-d6): δ 7.38 (t, 2H, J = 6.4 Hz), 7.31–7.29 (m, 1H), 7.22–7.16 (m, 2H), 7.12–7.03 (m, 5H), 6.16 (s, 1H), 4.66 (s, 1H), 4.23–4.14 (m, 1H), 3.47 (s, 3H), 3.35 (s, 2H), 3.26–3.10 (m, 2H), 2.92–2.80 (m, 2H), 2.67–2.57 (m, 2H), 1.16 (s, 9H). ESI-MS (m/z) = 585.11 [M + H]+.
5-(1-(2-Chlorophenyl)-2-methoxy-2-oxoethyl)-4,5,6,7-tetrahydrothieno[3,2-c]pyridin-2-yl-2-((tert-butoxy-carbonyl)amino)-3-(1H-indol-2-yl)propanoate (4f). Yellow oil. 1H-NMR (400 MHz, DMSO-d6): δ 10.86 (s, 1H), 7.59 (d, 1H, J = 8.0 Hz), 7.53–7.48 (m, 3H), 7.39–7.33 (m, 2H), 7.18 (s, 1H), 7.06 (t, 1H, J = 8.0 Hz), 6.98 (t, 1H, J = 8.0 Hz), 6.26 (s, 1H), 4.83 (s, 1H), 4.42–4.37 (m, 1H), 3.65 (s, 3H), 3.52 (s, 2H), 3.19–3.12 (m, 2H), 2.86–2.75 (m, 2H), 2.66–2.58 (m, 2H), 1.35 (s, 9H). ESI-MS (m/z) = 624.17 [M + H]+.
1-tert-Butyl 2-(5-(1-(2-chlorophenyl)-2-methoxy-2-oxoethyl)-4,5,6,7-tetrahydrothieno[3,2-c]pyridin-2-yl) pyrrolidine-1,2-dicarboxylate (4g). Yellow oil. 1H-NMR (400 MHz, DMSO-d6): δ 7.56 (t, 1H, J = 2.0 Hz and 6.8 Hz), 7.46 (t, 1H, J = 13.6 Hz), 7.38–7.32 (m, 2H), 6.44 (s, 1H), 4.82 (s, 1H), 4.37–4.34 (m, 1H), 3.63 (s, 3H), 3.52 (s, 2H), 3.41–3.27 (m, 2H), 2.80–2.74 (m, 2H), 2.66 (s, 2H), 2.33–2.26 (m, 1H), 1.98–1.94 (m, 1H), 1.86–1.80 (m, 2H), 1.35 (s, 9H). ESI-MS (m/z) = 535.05 [M + H]+.
1-tert-Butyl 2-(5-(1-(2-chlorophenyl)-2-methoxy-2-oxoethyl)-4,5,6,7-tetrahydrothieno[3,2-c]pyridin-2-yl) 5-oxopyrrolidine-1,2-dicarboxylate (4h). Yellow oil. 1H-NMR (400 MHz, DMSO-d6): δ 7.35 (dd, 1H, J = 7.2 Hz), 7.28–7.25 (m, 1H), 7.17–7.14 (m, 2H), 6.30 (s, 1H), 4.66–4.62 (m, 2H), 3.43 (s, 3H), 3.22 (s, 2H), 2.60–2.47 (m, 4H), 2.30–2.18 (m, 3H), 1.85–1.76 (m, 1H), 1.17 (s, 9H). ESI-MS (m/z) = 549.05 [M + H]+.
5-(2-Cyclopropyl-1-(2-fluorophenyl)-2-oxoethyl)-4,5,6,7-tetrahydrothieno[3,2-c]pyridin-2-yl-2-((tert-butoxy- carbonyl)amino)propanoate (4i). Yellow oil. 1H-NMR (400 MHz, DMSO-d6): 7.52–7.49 (m, 1H), 7.40–7.38 (m, 2H), 7.27–7.22 (m, 2H), 6.43 (s, 1H), 4.78 (s, 1H), 4.08–4.06 (m, 1H), 3.48 (s, 2H), 2.89–2.72 (m, 4H), 2.27–2.25 (m, 1H), 1.47–1.15 (m, 12H), 0.88–0.80 (m, 4H). ESI-MS (m/z) = 503.11 [M + H]+.
5-(2-Cyclopropyl-1-(2-fluorophenyl)-2-oxoethyl)-4,5,6,7-tetrahydrothieno[3,2-c]pyridin-2-yl-2-((tert-butoxy-carbonyl)amino)-3-methylbutanoate (4j). White solid. m.p. 106–108 °C. 1H-NMR (400 MHz, DMSO-d6): δ 7.52–7.45 (m, 2H), 7.42–7.37 (m, 1H), 7.26–7.22 (m, 2H), 6.44 (s, 1H), 4.78 (s, 1H), 4.00 (t, 1H, J = 6.4 Hz), 3.44 (t, 2H, J = 16.0 Hz), 2.80–2.69 (m, 4H), 2.38–2.36 (m, 1H), 2.11–2.06 (m, 1H), 1.38 (s, 9H), 0.94–0.78 (m, 10H). ESI-MS (m/z) = 531.22 [M + H]+, HRMS(ESI) calcd. for C28H36FN2O5S+: [M + H]+ m/z: 531.2323, found: 531.2314.
5-(2-Cyclopropyl-1-(2-fluorophenyl)-2-oxoethyl)-4,5,6,7-tetrahydrothieno[3,2-c]pyridin-2-yl-2-((tert-butoxy- carbonyl)amino)-4-methylpentanoate (4k). Yellow oil. 1H-NMR (400 MHz, DMSO-d6): 7.52–7.48 (m, 2H), 7.40 (dd, 1H, J = 13.6 Hz), 7.26–7.21 (m, 2H), 6.43 (s, 1H), 4.78 (s, 1H), 4.17–4.12 (m, 1H), 3.44 (t, 2H, J = 6.4 Hz), 2.80–2.70 (m, 4H), 2.37–2.35 (m, 1H), 1.66–1.42 (m, 3H), 1.37 (s, 9H), 0.90–0.80 (m, 10H). ESI-MS (m/z) = 545.14 [M + H]+.
5-(2-Cyclopropyl-1-(2-fluorophenyl)-2-oxoethyl)-4,5,6,7-tetrahydrothieno[3,2-c]pyridin-2-yl-2-((tert-butoxy-carbonyl)amino)-3-methylpentanoate (4l). White solid. m.p.: 80–82 °C. 1H-NMR (400 MHz, DMSO-d6): δ 7.52–7.45 (m, 2H), 7.40 (dd, 1H, J = 12.8 Hz), 7.26–7.21 (m, 2H), 6.43 (s, 1H), 4.77 (s, 1H), 4.05 (t, 1H, J = 6.8 Hz), 3.44 (t, 2H, J = 15.2Hz), 2.80–2.69 (m, 4H), 2.39–2.35 (m, 1H), 1.86–1.82 (m, 1H), 1.38–1.20 (m, 11H), 0.88–0.73 (m, 10H). ESI-MS (m/z) = 545.10 [M + H]+, HRMS(ESI) calcd. for C29H38FN2O5S+: [M + H]+ m/z: 545.2480, found: 545.2467.
5-(2-Cyclopropyl-1-(2-fluorophenyl)-2-oxoethyl)-4,5,6,7-tetrahydrothieno[3,2-c]pyridin-2-yl-2-((tert-butoxy-carbonyl)amino)-3-phenylpropanoate (4m). White solid. m.p.: 110–112 °C. 1H-NMR (400 MHz, DMSO-d6): δ 7.54 (d, 1H, J = 7.2 Hz), 7.48 (t, 1H, J = 7.2 Hz), 7.40–7.36 (m, 1H), 7.28–7.20 (m, 7 H), 6.32 (s, 1H), 4.76 (s, 1H), 4.35–4.14 (m, 1H), 3.45–3.36 (m, 2H), 3.05–3.00 (m, 2H), 2.79–2.66 (m, 4H), 2.36–2.34 (m, 1H), 1.31 (s, 9H), 0.87–0.76 (m, 4H). ESI-MS (m/z) = 579.17 [M+H]+, HRMS(ESI) calcd. for C32H36FN2O5S+: [M + H]+ m/z: 579.2323, found: 579.2315.
5-(2-Cyclopropyl-1-(2-fluorophenyl)-2-oxoethyl)-4,5,6,7-tetrahydrothieno[3,2-c]pyridin-2-yl-2-((tertbutoxy- carbonyl)amino)-3-(1H-indol-2-yl)propanoate (4n). Yellow oil. 1H-NMR (400 MHz, DMSO-d6): δ 10.86 (s, 1H), 7.52–7.49 (m, 3H), 7.40 (dd, 1H, J = 13.2Hz), 7.33 (d, 1H, J = 8.0 Hz), 7.27–7.22 (m, 2H), 7.18 (s, 1H), 7.08–6.95 (m, 2H), 6.26 (s, 1H), 4.78 (s, 1H), 4.40–4.36 (m, 1H), 3.45–3.37 (m, 2H), 3.18–3.14 (m, 2H), 2.80–2.68 (m, 4H), 2.38–2.36 (m, 1H), 1.34 (s, 9H), 0.88–0.80 (m, 4H). ESI-MS (m/z) = 618.23 [M + H]+.
1-tert-Butyl 2-(5-(2-cyclopropyl-1-(2-fluorophenyl)-2-oxoethyl)-4,5,6,7-tetrahydrothieno[3,2-c]pyridin-2-yl) pyrrolidine-1,2-dicarboxylate (4o). Yellow oil. 1H-NMR (400 MHz, DMSO-d6): δ 7.50, (t, 1H, J = 7.2 Hz), 7.40 (dd, 1H, J = 13.6 Hz), 7.28–7.22 (m, 2H), 6.47 (s, 1H), 4.78 (s, 1H), 4.42–4.36 (m, 1H), 3.65 (m, 1H), 3.48–3.33 (m, 4H), 3.03–2.79 (m, 4H), 2.37–2.24 (m, 2H), 2.02–2.00 (m, 1H), 1.98–1.87 (m, 2H), 1.39 (s, 9H), 0.88–0.75 (m, 4H). ESI-MS (m/z) = 529.10 [M + H]+.
1-tert-Butyl 2-(5-(2-cyclopropyl-1-(2-fluorophenyl)-2-oxoethyl)-4,5,6,7-tetrahydrothieno[3,2-c]pyridin-2-yl) 5-oxopyrrolidine-1,2-dicarboxylate (4p). Yellow oil. 1H-NMR (400 MHz, DMSO-d6): δ 7.50 (t, 1H, J = 7.2 Hz), 7.40 (dd, 1H, J = 13.2Hz), 7.27–7.22 (m, 2H), 6.53 (s, 1H), 4.87(q, 1H, J = 5.6 HZ), 4.79 (s, 1H), 3.49–3.41 (m, 2H), 2.82–2.69 (m, 4H), 2.56–2.34 (m, 4H), 2.08–2.01 (m, 1H), 1.39 (s, 9H), 0.88–0.84 (m, 4H). ESI-MS (m/z) = 543.15 [M + H]+.
5-(1-(2-Chlorophenyl)-2-methoxy-2-oxoethyl)-4,5,6,7-tetrahydrothieno[3,2-c]pyridin-2-yl 2-aminopropanoate hydrochloride (5a). Compound 4a (1.0 g, 2.0 mmol) was stirred with hydrochloric ethyl acetate (10 mL, 2.0 M) at r.t. for 5.0 h. The formed precipitate was filtered and dried to give compound 5a (0.82 g, 92.1%) as a white solid. m.p.: 149−151 °C. 1H-NMR (400 MHz, DMSO-d6): δ 8.80 (s, 3H), 7.57–7.55 (m, 1H), 7.52–7.40 (m, 3H), 6.62 (s, 1H), 5.30 (m, 1H), 4.38 (s, 1H), 3.93 (s, 2H), 3.70 (s, 3H), 3.20–2.88 (m, 4H), 1.52 (d, 3H, J = 8.0 Hz). ESI-MS (m/z) = 408.98 [M + H]+, HRMS(ESI) calcd. for C19H22ClN2O4S+: [M + H]+ m/z: 409.0983, found: 409.0986.
Compounds 5b–5p were synthesized according to the procedure described for the preparation of 5a.
5-(1-(2-Chlorophenyl)-2-methoxy-2-oxoethyl)-4,5,6,7-tetrahydrothieno[3,2-c]pyridin-2-yl-2-amino-3-methyl-butanoate hydrochloride (5b). White solid. m.p.: 165–167 °C. 1H-NMR (400 MHz, DMSO-d6): δ 8.93 (s, 3H), 7.77 (s, 1H), 7.63–7.58 (m, 1H), 7.52–7.46 (m, 2H), 6.64 (s, 1H), 5.34 (m, 1H), 4.15 (s, 1H), 3.93 (s, 2H), 3.70 (s, 3H), 3.23–2.92 (m, 4H), 2.34–2.29 (m, 1H), 1.05–0.98 (m, 6 H). ESI-MS (m/z) = 437.02 [M + H]+, HRMS(ESI) calcd. for C21H26ClN2O4S+: [M + H]+ m/z: 437.1296, found: 437.1333.
5-(1-(2-Chlorophenyl)-2-methoxy-2-oxoethyl)-4,5,6,7-tetrahydrothieno[3,2-c]pyridin-2-yl-2-amino-4-methyl-pentanoate hydrochloride (5c). White solid. m.p.: 133–135 °C. 1H-NMR (400 MHz, DMSO-d6): δ 8.82 (s, 3H), 7.69–7.64 (m, 1H), 7.62–7.59 (m, 1H), 7.51–7.40 (m, 2H), 6.62 (s, 1H), 5.20 (m, 1H), 4.26 (s, 1H), 3.89 (s, 2H), 3.70 (s, 3H), 3.12–2.86 (m, 4H), 2.70–2.66 (m, 2H), 1.63–1.59 (m, 1H), 0.92–0.90 (m, 6 H). ESI-MS (m/z) = 451.03 [M + H]+, HRMS(ESI) calcd. for C22H28ClN2O4S+: [M + H]+ m/z: 451.1453, found: 451.1455. HPLC purity: 94.00%.
5-(1-(2-Chlorophenyl)-2-methoxy-2-oxoethyl)-4,5,6,7-tetrahydrothieno[3,2-c]pyridin-2-yl-2-amino-3-methyl-pentanoate hydrochloride (5d). White solid. m.p.: 150–153 °C. 1H-NMR (400 MHz, DMSO-d6): δ 8.91 (s, 3H), 7.75–7.72 (m, 1H), 7.64–7.62 (m, 1H), 7.56–7.46 (m, 2H), 6.63 (s, 1H), 5.30–5.26 (m, 1H), 4.21 (s, 1H), 3.87 (s, 2H), 3.70 (s, 3H), 3.17–2.88 (m, 4H), 2.08–1.99 (m, 1H), 1.56–1.49 (m, 1H), 1.36–1.29 (m, 1H), 0.94–0.87 (m, 6 H). ESI-MS (m/z) = 451.04 [M + H]+, HRMS(ESI) calcd. for C22H28ClN2O4S+: [M + H]+ m/z: 451.1453, found: 451.1459.
5-(1-(2-Chlorophenyl)-2-methoxy-2-oxoethyl)-4,5,6,7-tetrahydrothieno[3,2-c]pyridin-2-yl-2-amino-3-phenyl-propanoate hydrochloride (5e). White solid. m.p.: 166–168 °C. 1H-NMR (400 MHz, DMSO-d6): δ 9.01 (s, 3H), 7.65–7.57 (m, 3H), 7.46 (d, 2H, J = 6.4 Hz), 7.33–7.27 (m, 4H), 6.43 (s, 1H), 5.30–5.25 (m, 1H), 4.54 (s, 1H), 3.89 (s, 2H), 3.70 (s, 3H), 3.39–3.16 (m, 2H), 3.14–2.87 (m, 4H). ESI-MS (m/z) = 485.03 [M + H]+, HRMS(ESI) calcd. for C25H26ClN2O4S+: [M + H]+ m/z: 485.1296, found: 485.1296.
5-(1-(2-Chlorophenyl)-2-methoxy-2-oxoethyl)-4,5,6,7-tetrahydrothieno[3,2-c]pyridin-2-yl-2-amino-3-(1H-indol-2-yl)propanoate hydrochloride (5f). White solid. m.p.: 173–175 °C. 1H-NMR (400 MHz, DMSO-d6): δ 11.10 (s, 1H), 8.92 (s, 3H), 7.57 (d, 2H, J = 7.2 Hz), 7.52–7.50 (m, 3H), 7.38 (d, 1H, J = 6.4 Hz), 7.25 (s, 1H), 7.08 (t, 1H, J = 12.0 Hz), 6.98 (t, 1H, J = 16.0 Hz), 6.36 (s, 1H), 5.28–5.24 (m, 1H), 4.50 (s, 1H), 3.93 (s, 2H), 3.70 (s, 3H), 3.51–3.46 (m, 1H), 3.38–3.33 (m, 1H), 3.20–2.88 (m, 4H). ESI-MS (m/z) = 524.09 [M + H]+, HRMS(ESI) calcd. for C27H27ClN3O4S+: [M + H]+ m/z: 524.1405, found: 524.1408.
5-(1-(2-Chlorophenyl)-2-methoxy-2-oxoethyl)-4,5,6,7-tetrahydrothieno[3,2-c]pyridin-2-yl-pyrrolidine-2-carboxylate hydrochloride (5g). White solid. m.p.: 102–104 °C. 1H-NMR (400 MHz, DMSO-d6): δ 10.47 (s, 1H), 9.47 (s, 1H), 7.72 (d, 1H, J = 8.8 Hz), 7.62–7.52 (m, 1H), 7.41–7.39 (m, 2H), 6.63 (s, 1H), 5.29–5.24 (m, 1H), 4.64 (s, 1H), 3.88 (s, 2H), 3.70 (s, 3H), 3.23–3.20 (m, 4H), 2.90–2.88 (m, 2H), 2.38–2.29 (m, 1H), 2.17–2.10 (m,1H), 1.97–1.90 (m, 2H). ESI-MS (m/z) = 434.96 [M + H]+, HRMS(ESI) calcd. for C21H24ClN2O4S+: [M + H]+ m/z: 435.1140, found: 435.1147.
5-(1-(2-Chlorophenyl)-2-methoxy-2-oxoethyl)-4,5,6,7-tetrahydrothieno[3,2-c]pyridin-2-yl-5-oxopyrrolidine-2-carboxylate hydrochloride (5h). White solid. m.p.: 88–90 °C. 1H-NMR (400 MHz, DMSO-d6): δ 8.10 (s, 1H), 7.76 (s, 1H), 7.61–7.59 (m, 1H), 7.51–7.39 (m, 3H), 6.59 (s, 1H), 5.42–5.37 (m, 1H), 4.49–4.46 (m, 1H), 3.71 (s, 3H), 3.67 (s, 2H), 3.04–2.90 (m, 4H), 2.47–2.10 (m, 4H). ESI-MS (m/z) = 449.00 [M + H]+, HRMS(ESI) calcd. for C21H22ClN2O5S+: [M + H]+ m/z: 449.0932, found: 449.0932.
5-(2-Cyclopropyl-1-(2-fluorophenyl)-2-oxoethyl)-4,5,6,7-tetrahydrothieno[3,2-c]pyridin-2-yl-2-amino-propanoate hydrochloride (5i). White solid. m.p.: 148–150 °C. 1H-NMR (400 MHz, DMSO-d6): δ 8.90 (s, 3H), 7.66–7.55 (m, 2H), 7.50–7.33 (m, 2H), 6.67 (s, 1H), 6.08–6.03 (m, 1H), 4.38 (s, 1H), 3.99 (s, 2H), 3.61–3.57 (m, 2H), 3.10–2.91 (m, 2H), 1.98–1.89 (m, 1H), 1.50 (d, 3H, J = 17.2 Hz), 1.07–0.93 (m, 4H). ESI-MS (m/z) = 403.05 [M + H]+, HRMS(ESI) calcd. for C21H24FN2O3S+: [M + H]+ m/z: 403.1486, found: 403.1491.
5-(2-Cyclopropyl-1-(2-fluorophenyl)-2-oxoethyl)-4,5,6,7-tetrahydrothieno[3,2-c]pyridin-2-yl-2-amino-3-methylbutanoate hydrochloride (5j). White solid. m.p.: 147–148 °C. 1H-NMR (400 MHz, DMSO-d6): δ 8.90 (s, 3H), 7.62 (d, 2H, J =6.4 Hz), 7.45–7.36 (m, 2H), 6.69 (s, 1H), 6.01–5.97 (m, 1H), 4.16 (s, 1H), 3.96 (s, 2H), 3.65–3.49 (m, 2H), 3.04–3.00 (m, 2H), 2.34–2.26 (m, 1H), 1.97–1.93 (m, 1H), 1.16–0.90 (m, 10H). ESI-MS (m/z) = 431.09 [M + H]+, HRMS(ESI) calcd. for C23H28FN2O3S+: [M + H]+ m/z: 431.1799, found: 431.1798.
5-(2-Cyclopropyl-1-(2-fluorophenyl)-2-oxoethyl)-4,5,6,7-tetrahydrothieno[3,2-c]pyridin-2-yl-2-amino-4-methylpentanoate hydrochloride (5k). White solid. m.p.: 141–143 °C. 1H-NMR (400 MHz, DMSO-d6): δ 8.64 (s, 3H), 7.70–7.62 (m, 2H), 7.47–7.37 (m, 2H), 6.68 (s, 1H), 6.08–6.01 (m, 1H), 4.23 (s, 1H), 3.98 (s, 2H), 3.61–3.48 (m, 2H), 3.05–3.00 (m, 2H), 2.76–2.71 (m, 2H), 1.97–1.87 (m, 1H), 1.65–1.63 (m, 1H), 0.91–0.90 (m, 10H). ESI-MS (m/z) = 445.08 [M + H]+, HRMS(ESI) calcd. for C24H30FN2O3S+: [M + H]+ m/z: 445.1956, found: 445.1958.
5-(2-Cyclopropyl-1-(2-fluorophenyl)-2-oxoethyl)-4,5,6,7-tetrahydrothieno[3,2-c]pyridin-2-yl-2-amino-3-methylpentanoate hydrochloride (5l). White solid. m.p.: 142–144 °C. 1H-NMR (400 MHz, DMSO-d6): δ 8.90 (s, 3H), 7.62–7.60 (m, 2H), 7.45–7.36 (m, 2H), 6.68 (s, 1H), 6.08–6.03 (m, 1H), 4.22 (s, 1H), 3.85 (s, 2H), 3.15–2.92 (m, 4H), 2.06–1.88 (m, 2H), 1.54–1.49 (m, 1H),1.36–1.32 (m, 1H), 1.03–0.87 (m, 10H). ESI-MS (m/z) = 445.07 [M + H]+, HRMS(ESI) calcd. for C24H30FN2O3S+: [M + H]+ m/z: 445.1956, found: 445.1957.
5-(2-Cyclopropyl-1-(2-fluorophenyl)-2-oxoethyl)-4,5,6,7-tetrahydrothieno[3,2-c]pyridin-2-yl-2-amino-3-phenylpropanoate hydrochloride (5m). White solid. m.p.: 156–158 °C. 1H-NMR (400 MHz, DMSO-d6): δ 9.06 (s, 3H), 7.65–7.63 (m, 2H), 7.43–7.28 (m, 7 H), 6.48 (s, 1H), 6.06–6.02 (m, 1H), 4.53 (s, 1H), 3.88 (s, 2H), 3.39–3.15 (m, 2H), 3.14–2.87 (m, 4H), 1.99–1.95 (m, 1H), 0.91–0.89 (m, 4H). ESI-MS (m/z) = 479.05 [M + H]+, HRMS(ESI) calcd. for C27H28FN2O3S+: [M + H]+ m/z: 479.1799, found: 479.1798.
5-(2-Cyclopropyl-1-(2-fluorophenyl)-2-oxoethyl)-4,5,6,7-tetrahydrothieno[3,2-c]pyridin-2-yl-2-amino-3-(1H-indol-2-yl)propanoate hydrochloride (5n). White solid. m.p.: 166–168 °C. 1H-NMR (400 MHz, DMSO-d6): δ 11.11 (s, 1H), 8.93 (s, 3H), 7.61–7.56 (m, 3H), 7.46–7.30 (m, 3H), 7.25 (s, 1H), 7.07 (t, 1H, J = 7.6 Hz), 6.99 (t, 1H, J = 7.2 Hz), 6.43 (s, 1H), 4.97–4.95 (m, 1H), 4.50 (s, 1H), 4.00 (s, 2H), 3.51–3.23 (m, 2H), 3.20–2.88 (m, 4H), 1.91–1.89 (m, 1H), 1.04–0.89 (m, 4H). ESI-MS (m/z) = 518.09 [M + H]+, HRMS(ESI) calcd. for C29H29FN3O3S+: [M + H]+ m/z: 518.1908, found: 518.1912.
5-(2-Cyclopropyl-1-(2-fluorophenyl)-2-oxoethyl)-4,5,6,7-tetrahydrothieno[3,2-c]pyridin-2-yl-pyrrolidine-2-carboxylate hydrochloride (5o). White solid. m.p.: 96–98 °C. 1H-NMR (400 MHz, DMSO-d6): δ 10.74 (s, 1H), 9.72 (s, 1H), 7.69–7.62 (m, 2H), 7.47–7.37 (m, 2H), 6.69 (s, 1H), 6.10–6.03 (m, 1H), 4.63 (s, 1H), 4.23–4.19 (s, 2H), 3.57–3.47 (m, 2H), 3.28–3.06 (m, 4H), 2.34–2.10 (m,2H), 1.97–1.90 (m, 3H), 1.07–0.90 (m, 4H). ESI-MS (m/z) = 429.08 [M + H]+, HRMS(ESI) calcd. for C23H26FN2O3S+: [M + H]+ m/z: 429.1643, found: 429.1640.
5-(2-Cyclopropyl-1-(2-fluorophenyl)-2-oxoethyl)-4,5,6,7-tetrahydrothieno[3,2-c]pyridin-2-yl-5-oxo-pyrrolidine-2-carboxylate hydrochloride (5p). White solid. m.p.: 98–101 °C. 1H-NMR (400 MHz, DMSO-d6): δ 8.11 (s, 1H), 7.64–7.39 (m, 5 H), 6.63 (s, 1H), 6.09–6.03 (m, 1H), 4.48–4.47 (m, 1H), 3.44 (s, 2H), 3.04 (m, 2H), 2.44–2.40 (m, 1H), 2.20–2.12 (m, 3H), 1.97–1.90 (m, 3H), 1.05–0.90 (m, 4H). ESI-MS (m/z) = 443.06 [M + H]+, HRMS(ESI) calcd. for C23H24FN2O4S+: [M + H]+ m/z: 443.1435, found: 443.1433.
4.3. Inhibition of ADP-Induced Platelet Aggregation in Rats
ADP-induced platelet aggregation was determined by Born’s method [28]. Male SD rats (200–300 g, 5 in each group) were orally gavaged at random with vehicle control, target compounds, clopidogrel and prasugrel. The volume of target compounds and positive control was 10 mL/kg × body weight, while the vehicle group was equal volume as experimental group instead of 0.5% CMC-Na. Two hours after administration, the animals were anesthetized (with 0.7% chloral hydrate intraperitoneal injection) and bloods were collected via aorta ventralis puncture into anticoagulant solution (3.8% sodium citrate). Platelet rich plasma (PRP) was centrifuged at 230 rpm for 15 mins and then adjusted by platelet poor plasma (PPP, centrifuged at 2000 rpm for 10 mins). Platelet count was 5 × 108/mL. Aggregation was induced by ADP (20 μM) and measured using an aggregometer (LBY-NJ4, Beijing, China ). The platelet aggregation was observed maximum platelet aggregation (MPA) from the aggregometer. The percentage of inhibition of platelet aggregation (IPA) was calculated from the observed MPA by the following equation:
IPA (%) = (MPAvehicle − MPAcompound)/MPAvehicle × 100%
Inhibition rats at different doses were calculated ED50 by the software named Statistical Product and Service Solutions (SPSS). The animal laboratory got animal use certificate issued by Science and Technology department of Tianjin (SYXK(jin)2016-0013).
4.4. Determination of Bleeding Time
The tail transection bleeding time was determined by the method of Dejana et al. [29]. Male SD rats (200–300 g, 5 in each group) were orally gavaged at random with vehicle control, target compounds, clopidogrel and prasugrel. The volume of target compounds and positive control was 10 mL/kg × body weight, while the vehicle group was equal volume as experimental group instead of 0.5% CMC-Na. The test drugs were orally administered 1H before the tail transection. Under anaesthesia with urethane (5 mL/kg), the rat tail was transected at 5 mm from the tip by a scalpel, and the tail was immediately immersed into warmed (37 °C) saline until blood flow stopped. Bleeding time was assessed as the time from the tail transection to the termination of blood flow. Bleeding times beyond 60 min were regarded as 60 min for the purpose of statistical analysis. BT2 values were calculated from linear-regression analysis.
5. Conclusions
In summary, we designed and synthesized a series of amino acid prodrugs based on thienopyridine scaffolds as novel potent P2Y12R inhibitors. Inhibition of ADP-induced platelet aggregation in rat assays showed that compounds 5k, 5l, 5c, 5j, 5m, and 5n displayed good activity and compounds 5c and 5l have moderate ED50 values between those of clopidogrel and prasugrel. In the tail bleeding test, 5c induced much shorter bleeding time in rats and 5l behaved slightly better than prasugrel. Based on their ratio of benefit/bleeding risk, we will take 5c as a drug candidate for further research.
Supplementary Materials
Supplementary File 1Author Contributions
Nan Lu and Lingjun Li conceived, designed and performed the synthetic experiment part; Yuquan Li and Jing Yuan analyzed the data; Xuemin Zheng, Shijun Zhang and Qunchao Wei conceived, designed and performed the pharmacological test part; Nan Lu wrote the paper. Youjun Xu and Fancui Meng assisted paper revision.
Acknowledgments
This project was supported by Tianjin Natural Science Foundation-Young Foundation (Nos. 17JCQNJC13700 and 17JCQNJC13100) and Innovative Research Team in SYPHU by the supporting Fund for Universities from the Chinese Central Government (51150039). And we also thank the innovative research team of the Ministry of Education and program for Liaoning innovative research team in university.
Conflicts of Interest
The authors declare no conflict of interest.
References
- Davì, G.; Patrono, C. Platelet Activation and Atherothrombosis. N. Engl. J. Med. 2007, 357, 2482–2494. [Google Scholar] [CrossRef] [PubMed]
- Angiolillo, D.J. ADP Receptor Antagonism. Am. J. Cardiovasc. Drugs 2007, 7, 423–432. [Google Scholar] [CrossRef] [PubMed]
- Hollopeter, G.; Jantzen, H.M.; Vincent, D.; Li, G.; England, L.; Ramakrishnan, V.; Yang, R.B.; Nurden, P.; Nurden, A.; Julius, D.; et al. Identification of the platelet ADP receptor targeted by antithrombotic drugs. Nature 2001, 409, 202–207. [Google Scholar] [CrossRef] [PubMed]
- Fagura, M.S.; Dainty, I.A.; McKay, G.D.; Kirk, I.P.; Humphries, R.G.; Robertson, M.J.; Dougall, I.G.; Leff, P. P2Y1-receptors in human platelets which are pharmacologically distinct from P2YADP-receptors. Br. J. Pharmacol. 1998, 124, 157–164. [Google Scholar] [CrossRef] [PubMed]
- André, P.; Delaney, S.M.; LaRocca, T.; Vincent, D.; DeGuzman, F.; Jurek, M.; Koller, B.; Phillips, D.R.; Conley, P.B. P2Y12 regulates platelet adhesion/activation, thrombus growth, and thrombus stability in injured arteries. J. Clin. Investig. 2003, 112, 398–406. [Google Scholar] [CrossRef] [PubMed]
- Cattaneo, M. P2Y12 receptors: Structure and function. J. Thromb. Haemost. 2015, 13 (Suppl. 1), 10–16. [Google Scholar] [CrossRef] [PubMed]
- Faria, R.; Ferreira, L.; Bezerra, R.; Frutuoso, V.; Alves, L. Action of Natural Products on P2 Receptors: A Reinvented Era for Drug Discovery. Molecules 2012, 17, 13009–13025. [Google Scholar] [CrossRef] [PubMed]
- Hagihara, K.; Kazui, M.; Ikenaga, H.; Nanba, T.; Fusegawa, K.; Takahashi, M.; Kurihara, A.; Okazaki, O.; Farid, N.A.; Ikeda, T. Comparison of formation of thiolactones and active metabolites of prasugrel and clopidogrel in rats and dogs. Xenobiotica 2009, 39, 218–226. [Google Scholar] [CrossRef] [PubMed]
- Franchi, F.; Angiolillo, D.J. Novel antiplatelet agents in acute coronary syndrome. Nat. Rev. Cardiol. 2015, 12, 30–47. [Google Scholar] [CrossRef] [PubMed]
- Moon, J.Y.; Franchi, F.; Rollini, F.; Rivas Rios, J.R.; Kureti, M.; Cavallari, L.H.; Angiolillo, D.J. Role of Genetic Testing in Patients undergoing Percutaneous Coronary Intervention. Expert Rev. Clin. Pharmacol. 2017, 11, 151–154. [Google Scholar] [CrossRef] [PubMed]
- Golwala, H.; Bhatt, D.L. The timing of P2Y12 inhibitor initiation in the treatment of ACS? Dose the evidence exist in this era? Prog. Cardiovasc. Dis. 2018, 60, 471–477. [Google Scholar] [CrossRef] [PubMed]
- Tantry, U.; Navarese, E.P.; Myat, A.; Gurbel, P. Selection of P2Y12 inhibitor in percutaneous coronary intervention and/or acute coronary syndrome. Prog. Cardiovasc. Dis. 2018, 60, 460–470. [Google Scholar] [CrossRef] [PubMed]
- Mega, J.L.; Simon, T.; Collet, J.P.; Anderson, J.L.; Antman, E.M.; Bliden, K.; Cannon, C.P.; Danchin, N.; Giusti, B.; Gurbel, P.; et al. Reduced-Function CYP2C19 Genotype and Risk of Adverse Clinical Outcomes Among Patients Treated With Clopidogrel Predominantly for PCI. J. Am. Med. Assoc. 2010, 304, 1821–1830. [Google Scholar] [CrossRef] [PubMed]
- Simon, T.; Verstuyft, C.; Mary-Krause, M.; Quteineh, L.; Drouet, E.; Méneveau, N.; Steg, P.G.; Ferrières, J.; Danchin, N.; Becquemont, L. Genetic Determinants of Response to Clopidogrel and Cardiovascular Events. N. Engl. J. Med. 2009, 360, 363–375. [Google Scholar] [CrossRef] [PubMed]
- Wiviott, S.D.; Braunwald, E.; McCabe, C.H.; Montalescot, G.; Ruzyllo, W.; Gottlieb, S.; Neumann, F.J.; Ardissino, D.; De Servi, S.; Murphy, S.A.; et al. Prasugrel versus Clopidogrel in Patients with Acute Coronary Syndromes. N. Engl. J. Med. 2007, 357, 2001–2015. [Google Scholar] [CrossRef] [PubMed]
- James, S.K.; Roe, M.T.; Cannon, C.P.; Cornel, J.H.; Horrow, J.; Husted, S.; Katus, H.; Morais, J.; Steg, P.G.; Storey, R.F.; et al. Ticagrelor versus clopidogrel in patients with acute coronary syndromes intended for non-invasive management: Substudy from prospective randomized PLATelet inhibition and patient Outcomes (PLATO) trial. BMJ 2011, 342, 3527. [Google Scholar] [CrossRef] [PubMed]
- Yousuf, O.; Bhatt, D.L. The evolution of antiplatelet therapy in cardiovascular disease. Nat. Rev. Cardiol. 2011, 8, 547–559. [Google Scholar] [CrossRef] [PubMed]
- Schoener, L.; Jellinghaus, S.; Richter, B.; Pfluecke, C.; Ende, G.; Christoph, M.; Quick, S.; Loehn, T.; Speiser, U.; Poitz, D.M.; et al. Reversal of the platelet inhibitory effect of the P2Y12 inhibitors clopidogrel, prasugrel, and ticagrelor in vitro: A new approach to an old issue. Clin. Res. Cardiol. 2017, 106, 868–874. [Google Scholar] [CrossRef] [PubMed]
- Vig, B.S.; Huttunen, K.M.; Laine, K.; Rautio, J. Amino acids as promoieties in prodrug design and development. Adv. Drug Deliv. Rev. 2013, 65, 1370–1376. [Google Scholar] [CrossRef] [PubMed]
- Sastry, T.U.; Rao, K.N.; Reddy, T.A.; Gandhi, P. Identification and Synthesis of Impurities Formed During Prasugrel Hydrochloride Preparation. Asian J. Chem. 2013, 25, 7783. [Google Scholar] [CrossRef]
- Liu, J.A.; Guo, X.P.; Liang, S.; An, F.; Shen, H.Y.; Xu, Y.J. Regioselective synthesis of 5’-amino acid esters of some nucleosides via orthogonal protecting protocol. Tetrahedron 2015, 71, 1409–1412. [Google Scholar] [CrossRef]
- Farid, N.A.; Smith, R.L.; Gillespie, T.A.; Rash, T.J.; Blair, P.E.; Kurihara, A.; Goldberg, M.J. The Disposition of Prasugrel, a Novel Thienopyridine, in Humans. Drug Metab. Dispos. 2007, 35, 1096–1104. [Google Scholar] [CrossRef] [PubMed]
- Pereillo, J.M.; Maftouh, M.; Andrieu, A.; Uzabiaga, M.F.; Fedeli, O.; Savi, P.; Pascal, M.; Herbert, J.M.; Maffrand, J.P.; Picard, C. Structure and stereochemistry of the active metabolite of clopidogrel. Drug Metab. Dispos. 2002, 30, 1288–1295. [Google Scholar] [CrossRef] [PubMed]
- Sugidachi, A.; Asai, F.; Ogawa, T.; Inoue, T.; Koike, H. The in vivo pharmacological profile of CS-747, a novel antiplatelet agent with platelet ADP receptor antagonist properties. Br. J. Pharmacol. 2000, 129, 1439–1446. [Google Scholar] [CrossRef] [PubMed]
- Niitsu, Y.; Jakubowski, J.A.; Sugidachi, A.; Asai, F. Pharmacology of CS-747 (Prasugrel, LY640315), a Novel, Potent Antiplatelet Agent with in Vivo P2Y12 Receptor Antagonist Activity. Semin. Thromb. Hemost. 2005, 31, 184–194. [Google Scholar] [CrossRef] [PubMed]
- Jakubowski, J.A.; Winters, K.J.; Naganuma, H.; Wallentin, L. Prasugrel: A Novel Thienopyridine Antiplatelet Agent. A Review of Preclinical and Clinical Studies and the Mechanistic Basis for Its Distinct Antiplatelet Profile. Cardiovasc. Drug Rev. 2007, 25, 357–374. [Google Scholar] [CrossRef] [PubMed]
- Velder, J.; Hirschhäuser, C.; Waldmann, C.; Taubert, D.; Bouman, H.J.; Schmalz, H.G. A Scalable Synthesis of (±)-2-Oxoclopidogrel. Synlett 2010, 3, 467–469. [Google Scholar] [CrossRef]
- Born, G.V.R. Aggregation of blood platelets by adenosine diphosphate and its reversal. Nature 1962, 194, 927–929. [Google Scholar] [CrossRef] [PubMed]
- Dejana, E.; Callioni, A.; Quintana, A.; de Gaetano, G. Bleeding time in laboratory animals II—A comparison of different assay conditions in rats. Thromb. Res. 1979, 15, 191–197. [Google Scholar] [CrossRef]
Sample Availability: Samples of the compounds reported in this paper are available from the authors. |
© 2018 by the authors. Licensee MDPI, Basel, Switzerland. This article is an open access article distributed under the terms and conditions of the Creative Commons Attribution (CC BY) license (http://creativecommons.org/licenses/by/4.0/).
















