Design, Synthesis and Docking Studies of Flavokawain B Type Chalcones and Their Cytotoxic Effects on MCF-7 and MDA-MB-231 Cell Lines
Abstract
1. Introduction
2. Results and Discussion
2.1. Chemistry
2.2. Structure–Activity Relationships
2.3. Computational Studies
3. Materials and Methods
3.1. Chemistry
3.2. Docking Analysis Method
3.3. Synthesis of Flavokawain B derivatives
3.4. Characterization Data
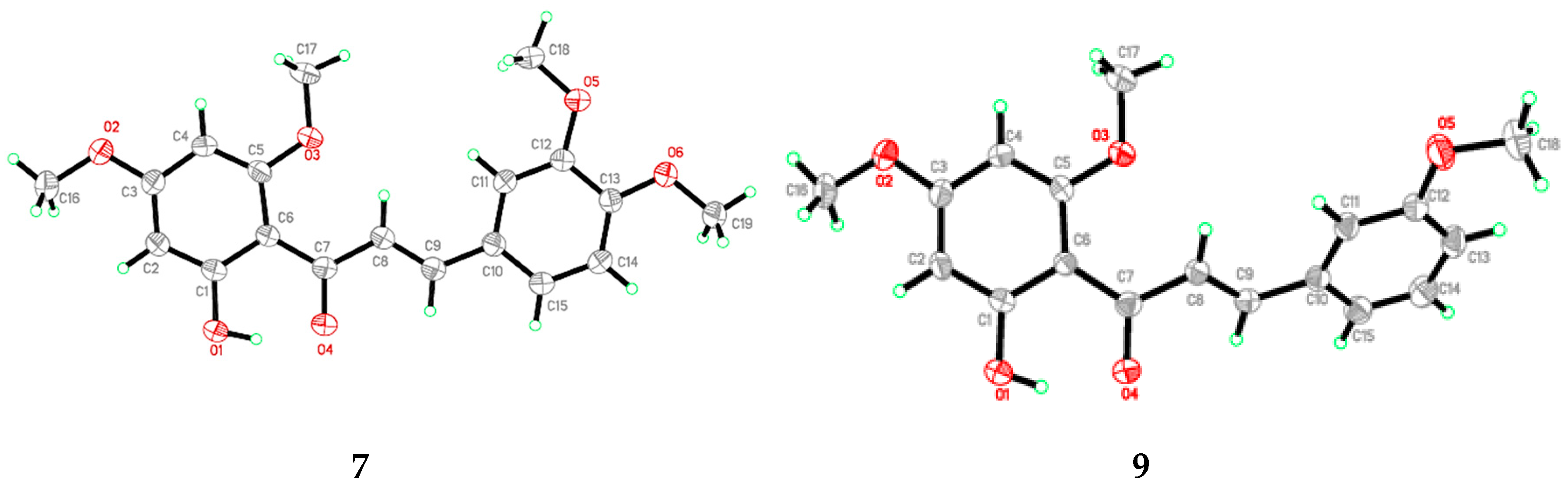
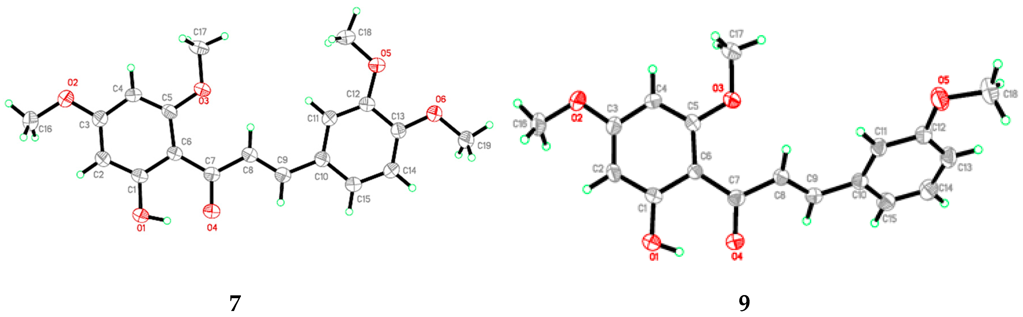
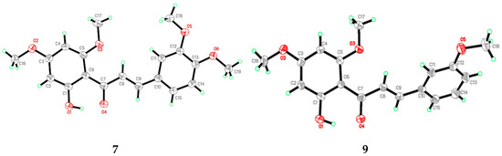
3.5. X-ray Crystallographic Analysis
3.6. Anticancer Activity
3.6.1. Sample preparation
3.6.2. MTT Cell Viability Assay
4. Conclusions
Supplementary Materials
Acknowledgments
Author Contributions
Conflicts of Interest
References
- Polyak, K. Breast cancer: Origins and evolution. J. Clin. Investig. 2007, 117, 3155–3163. [Google Scholar] [CrossRef] [PubMed]
- Perou, C.M.; Sørlie, T.; Eisen, M.B.; Van de Rijn, M.; Jeffrey, S.S.; Rees, C.A.; Pollack, J.R.; Ross, D.T.; Johnsen, H.; Akslen, L.A.; et al. Molecular portraits of human breast tumours. Nature 2000, 406, 747–752. [Google Scholar] [CrossRef] [PubMed]
- Sørlie, T.; Perou, C.M.; Tibshirani, R.; Aas, T.; Geisler, S.; Johnsen, H.; Hastie, T.; Eisen, M.B.; Van de Rijn, M.; Jeffrey, S.S.; et al. Gene expression patterns of breast carcinomas distinguish tumor subclasses with clinical implications. PNAS 2001, 98, 10869–10874. [Google Scholar] [CrossRef] [PubMed]
- Rao, S.D.; Kumar, P.G.; Harika, G.; Pooja, B.; Rao, S.; Kumar, A.Y. Recent advances and potential pharmacological activities of chalcones and their heterocyclic derivatives a valuable insight. J. Chem. Pharm. Res. 2016, 8, 458–477. [Google Scholar]
- Patil, C.B.; Mahajan, S.K.; Katti, S.A. Chalcone: A Versatile Molecule. J. Pharm. Sci. Res. 2009, 1, 11–22. [Google Scholar]
- Dyrager, C.; Wickström, M.; Fridén-Saxin, M.; Friberg, A.; Dahlén, K.; Wallén, E.A.A.; Gullbo, J.; Grøtli, M.; Luthman, K. Inhibitors and promoters of tubulin polymerization: Synthesis and biological evaluation of chalcones and related dienones as potential anticancer agents. Bioorg. Med. Chem. 2011, 19, 2659–2665. [Google Scholar] [CrossRef] [PubMed]
- Echeverria, C.; Santibañez, J.F.; Donoso-Tauda, O.; Escobar, C.A.; Ramirez-Tagle, R. Structural Antitumoral Activity Relationships of Synthetic Chalcones. Int. J. Mol. Sci. 2009, 10, 221–231. [Google Scholar] [CrossRef] [PubMed]
- Ilango, K.; Valentina, P.; Saluja, G.S. Synthesis and in vitro anticancer activity of some substituted chalcone derivatives. Res. J. Pharm. Biol. Chem. Sci. 2010, 1, 354–359. [Google Scholar]
- Kamal, A.; Ramakrishna, G.; Raju, P.; Viswanath, A.; Ramaiah, M.J.; Balakishan, G.; Pal-Bhadra, M. Synthesis and anti-cancer activity of chalcone linked imidazolones. Bioorg. Med. Chem. Lett. 2010, 20, 4865–4869. [Google Scholar] [CrossRef] [PubMed]
- Szliszka, E.; Czuba, Z.P.; Mazur, B.; Sedek, L.; Paradysz, A.; Krol, W. Chalcones Enhance TRAIL-Induced Apoptosis in Prostate Cancer Cells. Int. J. Mol. Sci. 2010, 11, 1–13. [Google Scholar] [CrossRef] [PubMed]
- Bandgar, B.P.; Gawande, S.S.; Bodade, R.G.; Totre, J.V.; Khobragade, C.N. Synthesis and biological evaluation of simple methoxylated chalcones as anticancer, anti-inflammatory and antioxidant agents. Bioorg. Med. Chem. 2010, 18, 1364–1370. [Google Scholar] [CrossRef] [PubMed]
- Herencia, F.; Lo, M.P.; Ubeda, A.; Ferrándiz, M.L. Nitric oxide-scavenging properties of some chalcone derivatives. Nitric Oxide 2002, 6, 242–246. [Google Scholar] [CrossRef] [PubMed]
- Yadav, H.L.; Gupta, P.; Pawar, R.S.; Singour, P.K.; Patil, U.K. Synthesis and biological evaluation of anti-inflammatory activity of 1,3 diphenyl propenone derivatives. Med. Chem. Res. 2010, 20, 461–465. [Google Scholar] [CrossRef]
- Zhang, X.W.; Zhao, D.H.; Quan, Y.C.; Sun, L.P.; Yin, X.M.; Guan, L.P. Synthesis and evaluation of antiinflammatory activity of substituted chalcone derivatives. Med. Chem. Res. 2010, 19, 403–412. [Google Scholar] [CrossRef]
- Awasthi, S.K.; Mishra, N.; Kumar, B.; Sharma, M.; Bhattacharya, A.; Mishra, L.C.; Bhasin, V.K. Potent antimalarial activity of newly synthesized substituted chalcone analogs in vitro. Med. Chem. Res. 2009, 18, 407–420. [Google Scholar] [CrossRef]
- Hans, R.H.; Guantai, E.M.; Lategan, C.; Smith, P.J.; Wan, B.; Franzblau, S.G.; Gut, J.; Rosenthal, P.J.; Chibale, K. Synthesis, antimalarial and antitubercular activity of acetylenic chalcones. Bioorg. Med. Chem. Lett. 2010, 20, 942–944. [Google Scholar] [CrossRef] [PubMed]
- Boeck, P.; Falcão, C.A.B.; Leal, P.C.; Yunes, R.A.; Filho, V.C.; Torres-Santos, E.C.; Rossi-Bergmann, B. Synthesis of chalcone analogues with increased antileishmanial activity. Bioorg. Med. Chem. 2006, 14, 1538–1545. [Google Scholar] [CrossRef] [PubMed]
- Roussaki, M.; Lima, S.C.; Kypreou, A.M.; Kefalas, P.; Silva, A.C.D.; Detsi, A. Aurones: A promising heterocyclic scaffold for the development of potent antileishmanial agents. Int. J. Med. Chem. 2012, 2012, 1–8. [Google Scholar] [CrossRef] [PubMed]
- Zainuri, D.A.; Arshad, S.; Khalib, N.C.; Razak, I.A.; Pillai, R.R.; Sulaiman, S.F.; Hashim, N.S.; Ooi, K.L.; Armaković, S.; Armaković, S.J.; et al. Synthesis, XRD crystal structure, spectroscopic characterization (FT-IR, 1H and 13C NMR), DFT studies, chemical reactivity and bond dissociation energy studies using molecular dynamics simulations and evaluation of antimicrobial and antioxidant activities of a novel chalcone derivative, (E)-1-(4-bromophenyl)-3-(4-iodophenyl)prop-2-en-1-one. J. Mol. Struct. 2017, 1128, 520–533. [Google Scholar] [CrossRef]
- Wang, Y.H.; Dong, H.H.; Zhao, F.; Wang, J.; Yan, F.; Jiang, Y.Y.; Jin, Y.S. The synthesis and synergistic antifungal effects of chalcones against drug resistant Candida albicans. Bioorg. Med. Chem. Lett. 2016, 26, 3098–3102. [Google Scholar] [CrossRef] [PubMed]
- Doan, T.N.; Tran, D.T. Synthesis, Antioxidant and Antimicrobial Activities of a Novel Series of Chalcones, Pyrazolic Chalcones, and Allylic Chalcones. Pharmacol. Pharm. 2011, 2, 282–288. [Google Scholar] [CrossRef]
- Shenvi, S.; Kumar, K.; Hatti, K.S.; Rijesh, K.; Diwakar, L.; Reddy, G.C. Synthesis, anticancer and antioxidant activities of 2,4,5-trimethoxy chalcones and analogues from asaronaldehyde: Structure-activity relationship. Eur. J. Med. Chem. 2013, 62, 435–442. [Google Scholar] [CrossRef] [PubMed]
- Sivakumar, P.M.; Prabhakar, P.K.; Doble, M. Synthesis, antioxidant evaluation, and quantitative structure-activity relationship studies of chalcones. Med. Chem. Res. 2011, 20, 482–492. [Google Scholar] [CrossRef]
- Kaushik, S.; Kumar, N.; Drabu, S. Synthesis and anticonvulsant activities of phenoxychalcones. Pharma Res. 2010, 3, 257–262. [Google Scholar]
- Sukumaran, S.D.; Chee, C.F.; Viswanathan, G.; Buckle, M.J.; Othman, R.; Abd Rahman, N.; Chung, L.Y. Synthesis, Biological Evaluation and Molecular Modelling of 2′-Hydroxychalcones as Acetylcholinesterase Inhibitors. Molecules 2016, 21, 955. [Google Scholar] [CrossRef] [PubMed]
- Akhtar, M.N.; Sakeh, N.M.; Zareen, S.; Gul, S.; Lo, K.M.; Ul-Haq, Z.; Shah, S.A.A.; Ahmad, S. Design and synthesis of chalcone derivatives as potent tyrosinase inhibitors and their structural activity relationship. J. Mol. Struct. 2015, 1085, 97–103. [Google Scholar] [CrossRef]
- Chimenti, F.; Fioravanti, R.; Bolasco, A.; Chimenti, P.; Secci, D.; Rossi, F.; Yáñez, M.; Orallo, F.; Ortuso, F.; Alcaro, S. Chalcones: A valid scaffold for monoamine oxidases inhibitors. J. Med. Chem. 2009, 52, 2818–2824. [Google Scholar] [CrossRef] [PubMed]
- Dharmaratne, H.R.W.; Nanayakkara, N.P.D.; Khan, I.A. Kavalactones from Piper methysticum, and their 13C-NMR spectroscopic analyses. Phytochemistry 2002, 59, 429–433. [Google Scholar] [CrossRef]
- Abu, N.; Ho, W.Y.; Yeap, S.K.; Akhtar, M.N.; Abdullah, M.P.; Omar, A.R.; Alitheen, N.B. The flavokawain: Uprising medicinal chalcones. Cancer Cell Int. 2013, 13, 1–7. [Google Scholar] [CrossRef] [PubMed]
- Abu, N.; Mohamed, N.E.; Yeap, S.K.; Lim, K.L.; Akhtar, M.N.; Zulfadli, A.J.; Kee, B.B.; Abdullah, M.P.; Omar, A.R.; Alitheen, N.B. In vivo antitumor and antimetastatic effects of flavokawain B in 4T1 breast cancer cell-challenged mice. Drug Des. Dev. Ther. 2015, 9, 1401–1417. [Google Scholar] [CrossRef]
- Abu, N.; Akhtar, M.N.; Yeap, S.K.; Lim, K.L.; Ho, W.Y.; Abdullah, M.P.; Ho, C.L.; Omar, A.R.; Ismail, J.; Alitheen, N.B. Flavokawain B induced cytotoxicity in two breast cancer cell lines, MCF-7 and MDA-MB231 and inhibited the metastatic potential of MDA-MB231 via the regulation of several tyrosine kinases in vitro. BMC Complement. Altern. Med. 2016, 16, 1–14. [Google Scholar] [CrossRef] [PubMed]
- Kamaldin, M.N.; Akhtar, M.N.; Mohamad, A.S.; Lajis, N.; Perimal, E.K.; Akira, A.; Ming-Tatt, L.; Israf, D.A.; Sulaiman, M.R. Peripheral antinociception of a chalcone, flavokawin B and possible involvement of the nitric oxide/cyclic guanosine monophosphate/potassium channels pathway. Molecules 2013, 18, 4209–4220. [Google Scholar] [CrossRef] [PubMed]
- Mohamad, A.S.; Akhtar, M.N.; Khalivulla, S.I.; Perimal, E.K.; Khalid, M.H.; Ong, H.M.; Zareen, S.; Akira, A.; Israf, D.A.; Lajis, N.; et al. Possible Participation of Nitric Oxide⁄Cyclic Guanosine Monophosphate⁄Protein Kinase C/ATP-Sensitive K+ Channels Pathway in the Systemic Antinociception of Flavokawin B. Basic Clin. Pharmacol. Toxicol. 2011, 108, 400–405. [Google Scholar] [CrossRef] [PubMed]
- Abu, N.; Akhtar, M.N.; Yeap, S.K.; Lim, K.L.; Ho, W.Y.; Zulfadli, A.J.; Omar, A.R.; Sulaiman, M.R.; Abdullah, M.P.; Alitheen, N.B. Flavokawain A induces apoptosis in MCF-7 and MDA-MB231 and inhibits the metastatic process in vitro. PLoS ONE 2014, 9, 1–12. [Google Scholar] [CrossRef] [PubMed]
- Abu, N.; Mohamed, N.E.; Yeap, S.K.; Lim, K.L.; Akhtar, M.N.; Zulfadli, A.J.; Kee, B.B.; Abdullah, M.P.; Omar, A.R.; Alitheen, N.B. In Vivo Anti-Tumor Effects of Flavokawain A in 4T1 Breast Cancer Cell-Challenged Mice. Anticancer Agents Med. Chem. 2015, 15, 905–915. [Google Scholar] [CrossRef] [PubMed]
- Ali, N.M.; Akhtar, M.N.; Ky, H.; Lim, K.L.; Abu, N.; Zareen, S.; Ho, W.Y.; Alan-Ong, H.K.; Tan, S.W.; Alitheen, N.B.; et al. Flavokawain derivative FLS induced G2/M arrest and apoptosis on breast cancer MCF-7 cell line. Drug Des. Dev. Ther. 2016, 10, 1897–1907. [Google Scholar] [CrossRef]
- Bandgar, B.P.; Patil, S.A.; Gacche, R.N.; Korbad, B.L.; Hote, B.S.; Kinkar, S.N.; Jalde, S.S. Synthesis and biological evaluation of nitrogen-containing chalcones as possible anti-inflammatory and antioxidant agents. Bioorg. Med. Chem. Lett. 2010, 20, 730–733. [Google Scholar] [CrossRef] [PubMed]
- Mai, C.W.; Yaeghoobi, M.; Abd-Rahman, N.; Kang, Y.B.; Pichika, M.R. Chalcones with electron-withdrawing and electron-donating substituents: Anticancer activity against TRAIL resistant cancer cells, structure-activity relationship analysis and regulation of apoptotic proteins. Eur. J. Med. Chem. 2014, 77, 378–387. [Google Scholar] [CrossRef] [PubMed]
- Pouget, C.; Lauthier, F.; Simon, A.; Fagnere, C.; Basly, J.P.; Delage, C.; Chulia, A.J. Flavonoids: Structural Requirements for Antiproliferative Activity on Breast Cancer Cells. Bioorg. Med. Chem. Lett. 2001, 11, 3095–3097. [Google Scholar] [CrossRef]
- Jin, F.; Jin, X.Y.; Jin, Y.L.; Sohn, D.W.; Kim, S.A.; Sohn, D.H.; Kim, Y.C.; Kim, H.S. Structural Requirements of 2′,4′,6′-Tris(methoxymethoxy) chalcone Derivatives for Anti-inflammatory Activity: The Importance of a 2′-Hydroxy Moiety. Arch. Pharm. Res. 2007, 30, 1359–1367. [Google Scholar] [CrossRef] [PubMed]
- Nakhjiri, M.; Safavi, M.; Alipour, E.; Emami, S.; Atash, A.F.; Jafari-Zavareh, M.; Ardestani, S.K.; Khoshneviszadeh, M.; Foroumadi, A.; Shafie, A. Asymmetrical 2,6-bis(benzylidene)cyclohexanones: Synthesis, cytotoxic activity and QSAR study. Eur. J. Med. Chem. 2012, 50, 113–123. [Google Scholar] [CrossRef] [PubMed]
- Alnemri, E.S.; Livingston, D.J.; Nicholson, D.W.; Salvesen, G.; Thornberry, N.A.; Wong, W.W.; Yuan, J. Human ICE/CED-3 Protease Nomenclature. Cell 1996, 87, 171. [Google Scholar] [CrossRef]
- Molecular Operating Environment (MOE). Available online: https://www.chemcomp.com/MOE-Molecular_Operating_Environment.htm (accessed on 23 November 2017).
- Baffert, F.; Régnier, C.H.; De Pover, A.; Pissot-Soldermann, C.; Tavares, G.A.; Blasco, F.; Brueggen, J.; Chéne, P.; Drueckes, P.; Erdmann, D.; et al. Potent and selective inhibition of polycythemia by the quinoxaline JAK2 inhibitor NVP-BSK805. Mol. Cancer Ther. 2010, 9, 1945–1955. [Google Scholar] [CrossRef] [PubMed]
- Pettersen, E.F.; Goddard, T.D.; Huang, C.C.; Couch, G.S.; Greenblatt, D.M.; Meng, E.C.; Ferrin, T.E. UCSF Chimera—A visualization system for exploratory research and analysis. J. Comput. Chem. 2004, 25, 1605–1612. [Google Scholar] [CrossRef] [PubMed]
- Case, D.A.; Cheatham III, T.E.; Darden, T.; Gohlke, H.; Luo, R.; Merz, K.M., Jr.; Onufriev, A.; Simmerling, C.; Wang, B.; Woods, R.J. The Amber Biomolecular Simulation Programs. J. Comput. Chem. 2005, 26, 1668–1688. [Google Scholar] [CrossRef] [PubMed]
- Roe, D.R.; Cheatham, T.E., III. PTRAJ and CPPTRAJ: Software for processing and analysis of molecular dynamics trajectory data. J. Chem. Theory Comput. 2013, 9, 3084–3095. [Google Scholar] [CrossRef] [PubMed]
- Case, D.A.; Betz, R.M.; Cerutti, D.S.; Cheatham III, T.E.; Darden, T.A.; Duke, R.E.; Giese, T.J.; Gohlke, H.; Goetz, A.W.; Homeyer, N.; Izadi, S.; et al. AMBER 2016 Reference Manual; University of California: San Francisco, CA, USA, 2016; pp. 1–923. [Google Scholar]
- Lagunin, A.; Stepanchikova, A.; Filimonov, D.; Poroikov, V. PASS: prediction of activity spectra for biologically active substances. Bioinformatics 2000, 16, 747–748. [Google Scholar] [CrossRef] [PubMed]
- Kadir, F.A.; Kassim, N.M.; Abdulla, M.A.; Yehye, W.A. Hepatoprotective Role of Ethanolic Extract of Vitex negundo in Thioacetamide-Induced Liver Fibrosis in Male Rats. Evid. Based Complement. Alternat. Med. 2013, 2013, 1–9. [Google Scholar] [CrossRef] [PubMed]
- Jänicke, R.U.; Sprengart, M.L.; Wati, M.R.; Porter, A.G. Caspase-3 Is Required for DNA Fragmentation and Morphological Changes Associated with Apoptosis. J. Biol. Chem. 1998, 273, 9357–9360. [Google Scholar] [CrossRef] [PubMed]
- Yang, X.H.; Sladek, T.L.; Liu, X.; Butler, B.R.; Froelich, C.J.; Thor, A.D. Reconstitution of Caspase 3 Sensitizes MCF-7 Breast Cancer Cells to Doxorubicin- and Etoposide-induced Apoptosis. Cancer Res. 2001, 61, 348–354. [Google Scholar] [PubMed]
- Fulda, S.; Debatin, K.M. Caspase activation in cancer therapy. In Madame Curie Bioscience Database [Internet]; Landes Bioscience: Austin, TX, USA, 2013; pp. 1–29. [Google Scholar]
- Sun, H.; Nikolovska-Coleska, Z.; Lu, J.; Qiu, S.; Yang, C.Y.; Gao, W.; Meagher, J.; Stuckey, J.; Wang, S. Design, synthesis, and evaluation of a potent, cell-permeable, conformationally constrained second mitochondria derived activator of caspase (Smac) mimetic. J. Med. Chem. 2006, 49, 7916–7920. [Google Scholar] [CrossRef] [PubMed]
- Cheung, C.S.F.; Chung, K.K.W.; Lui, J.C.K.; Lau, C.P.; Hon, P.M.; Chan, J.Y.W.; Fung, K.P.; Au, S.W.N. Leachianone A as a potential anti-cancer drug by induction of apoptosis in human hepatoma HepG2 cells. Cancer Lett. 2007, 253, 224–235. [Google Scholar] [CrossRef] [PubMed]
- Kiss, R.; Sayeski, P.P.; Keserű, G.M. Recent developments on JAK2 inhibitors: A patent review. Expert Opin. Ther. Pat. 2010, 20, 471–495. [Google Scholar] [CrossRef] [PubMed]
- Mohamad, A.S.; Akhtar, M.N.; Zakaria, Z.A.; Perimal, E.K.; Khalid, S.; Mohd, P.A.; Khalid, M.H.; Israf, D.A.; Lajis, N.H.; Sulaiman, M.R. Antinociceptive activity of a synthetic chalcone, flavokawain B on chemical and thermal models of nociception in mice. Eur. J. Pharmacol. 2010, 647, 103–109. [Google Scholar] [CrossRef] [PubMed]
- Srinivas, K.V.N.S.; Koteswara Rao, Y.; Mahender, I.; Das, B.; Rama Krishna, K.V.S.; Hara Kishore, K.; Murty, U.S.N. Flavanoids from Caesalpinia pulcherrima. Phytochemistry 2003, 63, 789–793. [Google Scholar] [CrossRef]
- Rao, Y.K.; Fang, S.H.; Tzeng, Y.M. Differential effects of synthesized 2′-oxygenated chalcone derivatives: modulation of human cell cycle phase distribution. Bioorg. Med. Chem. 2004, 12, 2679–2686. [Google Scholar] [CrossRef] [PubMed]
- Chiaradia, L.D.; Mascarello, A.; Purificação, M.; Vernal, J.; Cordeiro, M.N.S.; Zenteno, M.E.; Villarino, A.; Nunes, R.J.; Yunes, R.A.; Terenzi, H. Synthetic chalcones as efficient inhibitors of Mycobacterium tuberculosis protein tyrosine phosphatase PtpA. Bioorg. Med. Chem. Lett. 2008, 18, 6227–6230. [Google Scholar] [CrossRef] [PubMed]
- Srinivasarao, V.; Krishna, C.R.; Ramesh, M.; Parthasarathy, T. Synthesis, in vitro anticancer activity evaluation and docking investigations of novel aromatic chalcones. Mod. Chem. 2013, 1, 1–7. [Google Scholar] [CrossRef][Green Version]
- Bruker, S. APEX2 and SAINT; Bruker AXS Inc.: Madison, WI, USA, 2009. [Google Scholar]
- Sheldrick, G.M. A short History of SHELX. Acta Cryst. A 2008, 64, 112–122. [Google Scholar] [CrossRef] [PubMed]
- Mosmann, T. Rapid colorimetric assay for cellular growth and survival: Application to proliferation and cytotoxicity assays. J. Immunol. Methods 1983, 65, 55–63. [Google Scholar] [CrossRef]
Sample Availability: Samples of the compounds 1–23 are available from the authors. |




| Carbon | 8 | 13′ | 23 | ||||||
|---|---|---|---|---|---|---|---|---|---|
| 1H (δ) | Multiplicity | 13C (δ) | 1H (δ) | Multiplicity | 13C (δ) | 1H (δ) | Multiplicity | 13C (δ) | |
| 1′ | - | - | 106.89 | - | - | 106.38 | - | - | 106.25 |
| 2′ | - | - | 162.36 | - | - | 162.57 | - | - | 161.84 |
| 3′ | 6.16 | (d, J = 2.22 Hz, 1H) | 94.38 | 6.11 | (d, J = 2.40 Hz, 1H) | 93.81 | 6.00 | (d, J = 2.50 Hz, 1H) | 93.86 |
| 4′ | - | - | 165.98 | - | - | 168.42 | - | - | 165.57 |
| 5′ | 6.13 | (d, J = 2.46 Hz, 1H) | 91.59 | 5.96 | (d, J = 2.34 Hz, 1H) | 91.29 | 5.88 | (d, J = 2.35 Hz, 1H) | 91.06 |
| 6′ | - | - | 165.98 | - | - | 166.37 | - | - | 165.55 |
| 1 | - | - | 124.18 | - | - | 124.40 | - | - | 127.05 |
| 2 | - | - | 153.65 | - | - | 134.87 | - | - | 113.28 |
| 3 | 7.06 | (d, J = 9.06 Hz, 1H) | 113.65 | 7.11 | (m, 1H) | 116.29 | - | - | 140.87 |
| 4 | 7.03 | (d, J = 9.06 Hz, 1H) | 113.58 | 7.18 | (td, J = 7.56 Hz, 7.50 Hz, 1H) | 131.28 | - | - | 149.86 |
| 5 | - | - | 153.16 | 7.59 | (td, J = 7.56 Hz, 7.68 Hz, 1H) | 129.73 | 6.78 | (d, J = 8.55 Hz, 1H) | 110.95 |
| 6 | 7.22 | (brs, J = 2.76 Hz, 1H) | 118.10 | 7.35 | (m, 1H) | 130.27 | 7.20 | (d, J = 8.60 Hz, 1H) | 118.85 |
| α | 7.84 | (d, J = 15.80 Hz, 1H, H-α) | 128.59 | 7.86 | (d, J = 15.78 Hz, 1H, H-α) | 123.73 | 7.67 | (d, J = 15.45 Hz, 1H, H-α) | 127.05 |
| β | 7.86 | (d, J = 15.80 Hz, 1H, H-β) | 137.83 | 8.00 | (d, J = 15.78 Hz, 1H, H-β) | 160.83 | 8.02 | (d, J = 15.45 Hz, 1H, H-β) | 144.09 |
| OCH3 (C4′) | 3.84 | (s, 3H) | 56.62 | 3.84 | (s, 3H) | 55.78 | 3.75 | (s, 3H) | 56.15 |
| OCH3 (C6′) | 3.89 | (s, 3H) | 56.58 | 3.91 | (s, 3H) | 55.60 | 3.85 | (s, 3H) | 55.63 |
| OCH3 (C2) | 3.82 | (s, 3H) | 55.95 | - | - | - | - | - | - |
| OCH3 (C4) | - | - | - | - | - | - | 3.81 | (s, 3H) | 56.22 |
| OCH3 (C5) | 3.77 | (s, 3H) | 56.16 | - | - | - | - | - | - |
| OH (C2′) | 13.46 | (s, 1H) | - | 14.25 | (s, 1H) | - | - | (s, 1H) | - |
| C=O | - | - | 193.03 | - | - | 192.62 | - | - | 191.86 |
| Compounds Substituted Groups | IC50 Values (μg/mL) | ||||||
|---|---|---|---|---|---|---|---|
| Compounds | R1 | R2 | R3 | R4 | R5 | MCF-7 | MDA-MB-231 |
| 1 | H | H | H | H | H | 7.70 ± 0.30 | 5.90 ± 0.30 |
| 2 | H | H | CH3O | H | H | 8.90 ± 0.60 | 6.80 ± 0.45 |
| 3 | H | H | SCH3 | H | H | 12.30 ± 1.40 | 18.10 ± 1.10 |
| 4 | CH3O | CH3O | H | H | H | 25.00 ± 1.80 | 21.10 ± 1.20 |
| 5 | CH3O | H | CH3O | H | H | >30 | >30 |
| 6 | CH3O | H | CH3O | H | CH3O | >30 | >30 |
| 7 | H | CH3O | CH3O | H | H | 9.70 ± 0.70 | 8.30 ± 0.56 |
| 8 | CH3O | H | H | CH3O | H | >30 | >30 |
| 9 | H | CH3O | H | H | H | 8.43 ± 0.40 | 7.22 ± 0.70 |
| 10 | H | CH3O | H | CH3O | H | >30 | >30 |
| 11 | H | H | CH3 | H | H | >30 | >30 |
| 12 | CH3O | H | H | H | H | >30 | 9.50 ± 0.60 |
| 13 | F | H | H | H | H | 7.12 ± 0.80 | 4.04 ± 0.30 |
| 14 | H | H | F | H | H | >30 | >30 |
| 15 | H | Cl | H | H | H | 5.50 ± 0.35 | 5.50 ± 0.40 |
| 16 | Cl | H | H | H | H | 6.50 ± 0.40 | 4.12 ± 0.20 |
| 17 | H | H | Cl | H | H | >30 | >30 |
| 18 | H | H | Br | H | H | >30 | >30 |
| 19 | H | CH3O | OH | H | H | >30 | 27.00 ± 1.50 |
| 20 | H | NO2 | H | H | H | 13.30 ± 3.10 | 17.10 ± 2.15 |
| 21 | H | H | N(CH3)2 | H | H | >30 | 20.5 ± 1.60 |
| 22 | OH | H | H | Br | H | 6.50 ± 0.35 | 14.16 ± 1.10 |
| 23 | Br | OH | OCH3 | H | H | >30 | >30 |
| Compound | 7 | 9 |
|---|---|---|
| CCDC Number | 1548734 | 1548733 |
| Molecular Formula | C19H20O6 | C18H18O5 |
| Molecular Weight | 344.35 | 314.32 |
| Crystal System | Triclinic | Orthorhombic |
| Space Group | Pī | Pbca |
| a (Å) | 8.4560 (17) | 14.447 (3) |
| b (Å) | 8.4790 (17) | 7.9755 (15) |
| c (Å) | 12.549 (3) | 26.203 (5) |
| α (°) | 104.166 (3) | 90 |
| β (°) | 92.063 (3) | 90 |
| γ (°) | 106.227 (3) | 90 |
| V (Å3) | 832.4 (3) | 3019.0 (10) |
| Z | 2 | 8 |
| Dcalc (g cm−3) | 1.374 | 1.383 |
| Crystal dimensions (mm) | 0.58 × 0.18 × 0.11 | 0.55 × 0.27 × 0.14 |
| μ (mm−1) | 0.10 | 0.10 |
| Tmin/Tmax | 0.7665, 0.9584 | 0.8489, 0.9495 |
| Reflections measured | 28,367 | 14,974 |
| Ranges/indices (h, k, l) | −11→11; −11→11; −17→17 | −16→16; −9→9; −30→28 |
| θ limit (°) | 1.7−29.2 | 1.6−24.6 |
| Unique reflections | 4491 | 2516 |
| Observed reflections (I > 2σ(I)) | 2352 | 1594 |
| Parameters | 234 | 211 |
| Goodness of fit on F2 | 1.02 | 1.05 |
| R1, wR2 [I ≥ 2σ(I)] | 0.055, 0.176 | 0.056, 0.156 |
© 2018 by the authors. Licensee MDPI, Basel, Switzerland. This article is an open access article distributed under the terms and conditions of the Creative Commons Attribution (CC BY) license (http://creativecommons.org/licenses/by/4.0/).
Share and Cite
Abu Bakar, A.; Akhtar, M.N.; Mohd Ali, N.; Yeap, S.K.; Quah, C.K.; Loh, W.-S.; Alitheen, N.B.; Zareen, S.; Ul-Haq, Z.; Shah, S.A.A. Design, Synthesis and Docking Studies of Flavokawain B Type Chalcones and Their Cytotoxic Effects on MCF-7 and MDA-MB-231 Cell Lines. Molecules 2018, 23, 616. https://doi.org/10.3390/molecules23030616
Abu Bakar A, Akhtar MN, Mohd Ali N, Yeap SK, Quah CK, Loh W-S, Alitheen NB, Zareen S, Ul-Haq Z, Shah SAA. Design, Synthesis and Docking Studies of Flavokawain B Type Chalcones and Their Cytotoxic Effects on MCF-7 and MDA-MB-231 Cell Lines. Molecules. 2018; 23(3):616. https://doi.org/10.3390/molecules23030616
Chicago/Turabian StyleAbu Bakar, Addila, Muhammad Nadeem Akhtar, Norlaily Mohd Ali, Swee Keong Yeap, Ching Kheng Quah, Wan-Sin Loh, Noorjahan Banu Alitheen, Seema Zareen, Zaheer Ul-Haq, and Syed Adnan Ali Shah. 2018. "Design, Synthesis and Docking Studies of Flavokawain B Type Chalcones and Their Cytotoxic Effects on MCF-7 and MDA-MB-231 Cell Lines" Molecules 23, no. 3: 616. https://doi.org/10.3390/molecules23030616
APA StyleAbu Bakar, A., Akhtar, M. N., Mohd Ali, N., Yeap, S. K., Quah, C. K., Loh, W.-S., Alitheen, N. B., Zareen, S., Ul-Haq, Z., & Shah, S. A. A. (2018). Design, Synthesis and Docking Studies of Flavokawain B Type Chalcones and Their Cytotoxic Effects on MCF-7 and MDA-MB-231 Cell Lines. Molecules, 23(3), 616. https://doi.org/10.3390/molecules23030616

