Assessment of Chitosan-Based Hydrogel and Photodynamic Inactivation against Propionibacterium acnes
Abstract
1. Introduction
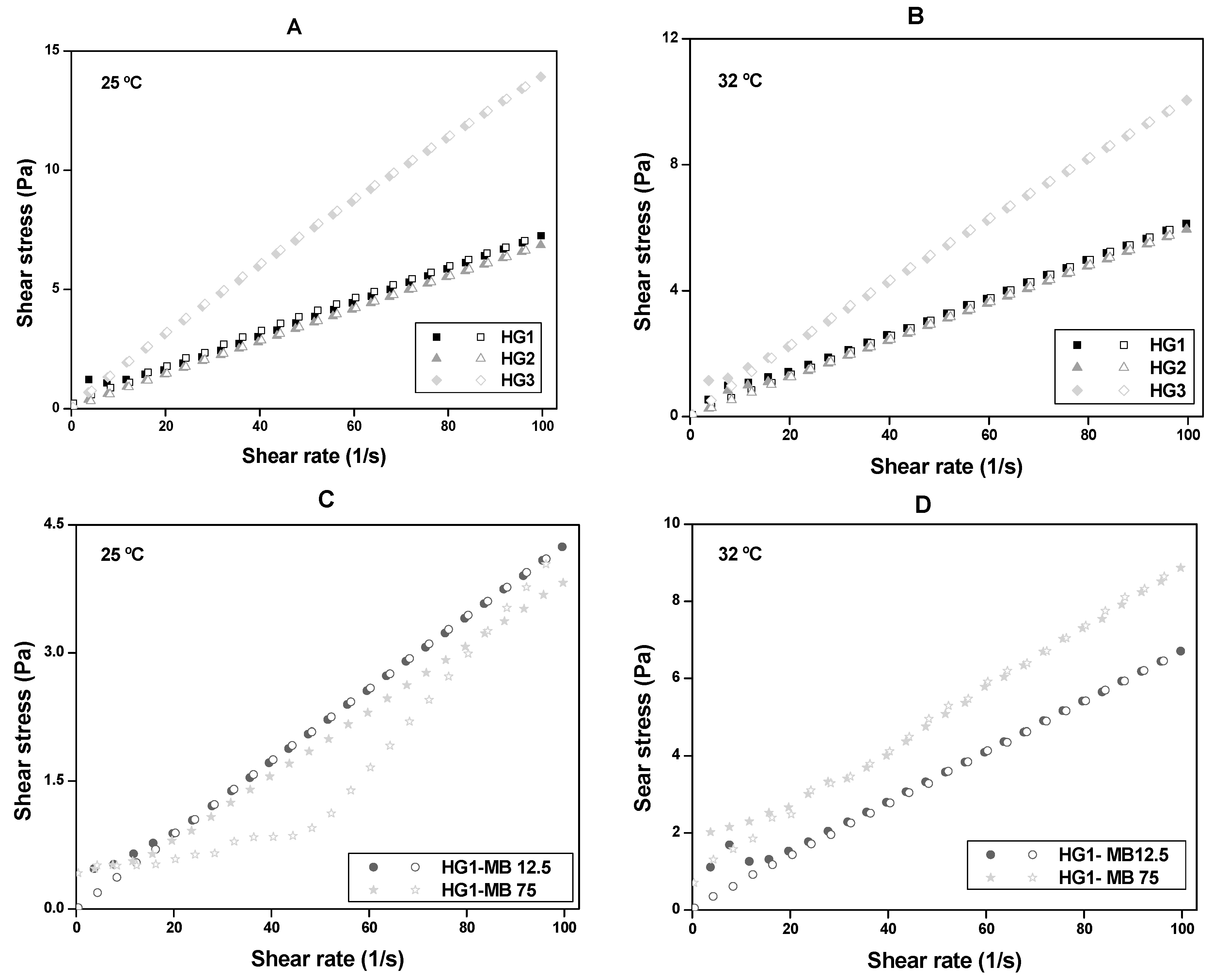
2. Results
2.1. Structural Characterization of Formulations
2.2. Photodynamic Therapy Studies
3. Discussion
4. Material and Methods
4.1. Materials
4.2. Preparation of Hydrogels for the Structural Characterization
4.3. Structural Characterization of the Formulations
4.3.1. Rheological Studies
4.3.2. Determination of Flow Properties
4.3.3. Oscillatory Analyses
4.3.4. In Vitro Bioadhesion Test
4.4. Photodynamic Therapy Studies
4.4.1. Bacterial Strain and Culture Medium
4.4.2. Development of P. acnes Biofilm
4.4.3. Photosensitizer and Light Source
4.4.4. Light Absorption Spectrum of the Photosensitizer
4.4.5. Photodynamic Therapy
4.4.6. Planktonic Bacterial Susceptibility Test
4.5. Statistical Analysis
5. Conclusions
Acknowledgments
Author Contributions
Conflicts of Interest
References
- Dessinioti, C.; Katsambas, A.D. The role of Propionibacterium acnes in acne pathogenesis: Facts and controversies. Clin. Dermatol. 2010, 28, 2–7. [Google Scholar] [CrossRef] [PubMed]
 - Ribas, J.; Oliveira, C.M.P.B.; Simas Ribeiro, J.C. Acne vulgaris and wellness in medical academics. An. Bras. Dermatol. 2008, 83, 520–525. [Google Scholar] [CrossRef]
 - Da silva, A.M.F.; Da costa, F.P.; Moreira, M. Acne vulgaris: Diagnosis and management by the family doctor and community. Rev. Bras. Med. Fam. Comunidade 2014, 9, 54–63. [Google Scholar] [CrossRef]
 - Oprica, C.; Nord, C.E. European surveillance study on the antibiotic susceptibility of Propionibacterium acnes. Clin. Microbiol. Infect. 2005, 11, 204–213. [Google Scholar] [CrossRef] [PubMed]
 - Wan, M.T.; Lin, J.Y. Current evidence and applications of photodynamic therapy in dermatology. Clin. Cosmet. Investig. Dermatol. 2014, 7, 145. [Google Scholar] [CrossRef] [PubMed]
 - Fontana, C.R.; Abernethy, A.D.; Som, S.; Ruggiero, K.; Doucette, S.; Marcantonio, R.C.; Boussios, C.I.; Kent, R.; Goodson, J.M.; Tanner, A.C.R.; et al. The antibacterial effect of photodynamic therapy in dental plaque-derived biofilms. J. Periodontal Res. 2009, 44, 751–759. [Google Scholar] [CrossRef] [PubMed]
 - Nemezio, M.A.; De Souza, S.S.F.; Borsatto, M.C.; Aires, C.P.; Corona, S.A.M. Effect of methylene blue-induced photodynamic therapy on a Streptococcus mutans biofilm model. Photodiagn. Photodyn. Ther. 2017, 20, 234–237. [Google Scholar] [CrossRef] [PubMed]
 - Ahangari, Z.; Mojtahed Bidabadi, M.; Asnaashari, M.; Rahmati, A.; Tabatabaei, F.S. Comparison of the antimicrobial efficacy of calcium hydroxide and photodynamic therapy against Enterococcus faecalis and Candida albicans in teeth with periapical lesions; an in vivo study. J. Lasers Med. Sci. 2017, 8, 72–78. [Google Scholar] [CrossRef] [PubMed]
 - Silva, Z.S., Jr.; Huang, Y.Y.; De Freitas, L.F.; França, C.M.; Botta, S.B.; Ana, P.A.; Mesquita-Ferrari, R.A.; Santos Fernandes, K.P.; Deana, A.; Lima Leal, C.R.; et al. Papain gel containing methylene blue for simultaneous caries removal and antimicrobial photoinactivation against Streptococcus mutans biofilms. Sci. Rep. 2016, 6, 33270. [Google Scholar] [CrossRef] [PubMed]
 - Kang, M.L.; Cho, C.S.; Yoo, H.S. Application of chitosan microspheres for nasal delivery of vaccines. Biotechnol. Adv. 2009, 27, 857–886. [Google Scholar] [CrossRef] [PubMed]
 - Lin, C.C.; Metters, A.T. Hydrogels in controlled release formulations: Network design and mathematical modeling. Adv. Drug Deliv. Rev. 2006, 58, 1379–1408. [Google Scholar] [CrossRef] [PubMed]
 - Raafat, D.; Sahl, H.-G. Chitosan and its antimicrobial potential—A critical literature survey. Microb. Biotechnol. 2009, 2, 186–201. [Google Scholar] [CrossRef] [PubMed]
 - Fontana, C.R.; dos Santos Junior, D.S.; Bosco, J.M.; Spolidorio, D.M.; Chierici Marcantonio, R.A. Evaluation of chitosan gel as antibiotic and photosensitizer delivery. Drug Deliv. 2008, 15, 417–422. [Google Scholar] [CrossRef] [PubMed]
 - Liu, H.; Du, Y.; Wang, X.; Sun, L. Chitosan kills bacteria through cell membrane damage. Int. J. Food Microbiol. 2004, 95, 147–155. [Google Scholar] [CrossRef] [PubMed]
 - Park, B.K.; Kim, M.-M. Applications of chitin and its derivatives in biological medicine. Int. J. Mol. Sci. 2010, 11, 5152–5164. [Google Scholar] [CrossRef] [PubMed]
 - Raafat, D.; Von Bargen, K.; Haas, A.; Sahl, H.G. Insights into the mode of action of chitosan as an antibacterial compound. Appl. Environ. Microbiol. 2008, 74, 3764–3773. [Google Scholar] [CrossRef] [PubMed]
 - Camacho-Alonso, F.; Julián-Belmonte, E.; Chiva-García, F.; Martínez-Beneyto, Y. Bactericidal efficacy of photodynamic therapy and chitosan in root canals experimentally infected with Enterococcus faecalis: An in vitro study. Photomed. Laser Surg. 2017, 35, 184–189. [Google Scholar] [CrossRef] [PubMed]
 - Costa, E.M.; Silva, S.; Pina, C.; Tavaria, F.K.; Pintado, M.M. Evaluationand insights into chitosan antimicrobial activity against anaerobic oral pathogens. Anaerobe 2012, 18, 305–309. [Google Scholar] [CrossRef] [PubMed]
 - Hoffman, A.S. Hydrogels for biomedical application. Adv. Drug Deliv. Rev. 2002, 43, 3–12. [Google Scholar] [CrossRef]
 - Williams, H.C.; Dellavalle, R.P.; Garner, S. Acne vulgaris. Lancet 2012, 379, 361–372. [Google Scholar] [CrossRef]
 - Canavan, T.N.; Chen, E.; Elewski, B.E. Optimizing non-antibiotic treatments for patients with acne: A review. Dermatol. Ther. 2016, 6, 555–578. [Google Scholar] [CrossRef] [PubMed]
 - Elviri, L.; Bianchera, A.; Bergonzi, C.; Bettini, R. Controlled local drug delivery strategies from chitosan hydrogels for wound healing. Expert Opin. Drug Deliv. 2017, 14, 897–908. [Google Scholar] [CrossRef] [PubMed]
 - Kim, J.H.; Yu, D.; Eom, S.H.; Kim, S.H.; Oh, J.; Jung, W.K.; Kim, Y.M. Synergistic Antibacterial Effects of chitosan-caffeic acid conjugate against antibiotic-resistant acne-related bacteria. Mar. Drugs 2017, 15, 167. [Google Scholar] [CrossRef] [PubMed]
 - Choi, S.S.; Lee, H.K.; Chae, H.S. Synergistic in vitro photodynamic antimicrobial activity of methylene blue and chitosan against Helicobacter pylori 26695. Photodiagn. Photodyn. Ther. 2014, 11, 526–532. [Google Scholar] [CrossRef] [PubMed]
 - Grijalvo, S.; Mayr, J.; Eritja, R.; Díaz, D.D. Biodegradable liposome-encapsulated hydrogels for biomedical applications: A marriage of convenience. Biomater. Sci. 2016, 4, 555–574. [Google Scholar] [CrossRef] [PubMed]
 - Carvalho, F.C.; da Luz, G.M.; da Silva Barbi, M.; Landgraf, D.S.; Chiavacci, L.A.; Sarmento, V.H.V.; Gremião, M.P.D. Rheological, mechanical and adhesive properties of surfactant-containing systems designed as a potential platform for topical drug delivery. J. Biomed. Nanotechnol. 2012, 8, 280–289. [Google Scholar] [CrossRef] [PubMed]
 - Rinaudo, M. Chitin and chitosan: Properties and applications. Prog. Polym. Sci. 2006, 31, 603–632. [Google Scholar] [CrossRef]
 - Kong, M.; Chen, X.G.; Xing, K.; Park, H.J. Antimicrobial properties of chitosan and mode of action: A state of the art review. Int. J. Food Microbiol. 2010, 144, 51–63. [Google Scholar] [CrossRef] [PubMed]
 - Salmazi, R.; Calixto, G.; Bernegossi, J.; dos Santos Ramos, M.A.; Bauab, T.M.; Chorilli, M. A curcumin-loaded liquid crystal precursor mucoadhesive system for the treatment of vaginal candidiasis. Int. J. Nanomed. 2015, 10, 4815–4824. [Google Scholar] [CrossRef]
 - Park, D.M.; Song, Y.K.; Jee, J.P.; Kim, H.T.; Kim, C.K. Development of chitosan-based ondansetron buccal delivery system for the treatment of emesis. Drug Dev. Ind. Pharm. 2012, 38, 1077–1083. [Google Scholar] [CrossRef] [PubMed]
 - Oyafuso, M.H.; Carvalho, F.C.; Takeshita, T.M.; De Souza, A.L.R.; Araújo, D.R.; Merino, V.; Gremião, M.P.D.; Chorilli, M. Development and in vitro evaluation of lyotropic liquid crystals for the controlled release of dexamethasone. Polymers 2017, 9, 2–16. [Google Scholar] [CrossRef]
 - Smart, J.D.; Riley, R.G.; Tsibouklis, J.; Young, S.A.; Hampson, F.C.; Davis, J.A.; Kelly, G.; Dettmar, P.W.; Wilber, W.R. The retention of 14C-labelled poly(acrylic acids) on gastric and oesophageal mucosa: An in vitro study. Eur. J. Pharmacol. 2003, 20, 83–90. [Google Scholar] [CrossRef]
 - Cintra, G.A.; Pinto, L.A.; Calixto, G.M.; Soares, C.P.; Von Zuben Ede, S.; Scarpa, M.V.; Gremião, M.P.; Chorilli, M. Bioadhesive surfactant systems for methotrexate skin delivery. Molecules 2016, 21, 2–13. [Google Scholar] [CrossRef] [PubMed]
 - Friedman, A.J.; Phan, J.; Schairer, D.O.; Champer, J.; Qin, M.; Pirouz, A.; Blecher- Paz, K.; Oren, A.; Liu, P.T.; Modlin, R.L.; Kim, J. Antimicrobial and anti-inflammatory activity of chitosan–alginate nanoparticles: A targeted therapy for cutaneous pathogens. J. Investig. Dermatol. 2013, 133, 1231–1239. [Google Scholar] [CrossRef] [PubMed]
 - Lim, S.H.; Hudson, S.M. Synthesis and antimicrobial activity of a water-soluble chitosan derivative with a fiber-reactive group. Carbohydr. Res. 2004, 339, 313–319. [Google Scholar] [CrossRef] [PubMed]
 - Bayston, R.; Ashraf, W.; Barker-Davies, R.; Tucker, E.; Clement, R.; Clayton, J.; Freeman, B.J.; Nuradeen, B. Biofilm formation by Propionibacterium acnes on biomaterials in vitro and in vivo: Impact on diagnosis and treatment. J. Biomed. Mater. Res. A 2007, 81, 705–709. [Google Scholar] [CrossRef] [PubMed]
 - Holmberg, A.; Lood, R.; Mörgelin, M.; Söderquist, B.; Holst, E.; Collin, M.; Christensson, B.; Rasmussen, M. Biofilm formation by Propionibacterium acnes is a characteristic of invasive isolates. Clin. Microbiol. Infect. 2009, 15, 787–795. [Google Scholar] [CrossRef] [PubMed]
 - Jahns, A.C.; Alexeyev, O.A. Three dimensional distribution of Propionibacterium acnes biofilms in human skin. Exp. Dermatol. 2014, 23, 687–689. [Google Scholar] [CrossRef] [PubMed]
 - Jahns, A.C.; Lundskog, B.; Ganceviciene, R.; Palmer, R.H.; Golovleva, I.; Zouboulis, C.C.; McDowell, A.; Patrick, S.; Alexeyev, O.A. An increased incidence of Propionibacterium acnes biofilms in acne vulgaris: A case-control study. Br. J. Dermatol. 2012, 167, 50–58. [Google Scholar] [CrossRef] [PubMed]
 - Burkhart, C.G.; Burkhart, C.N. Expanding the microcomedone theory and acne therapeutics: Propionibacterium acnes biofilm produces biological glue that holds corneocytes together to form plug. J. Am. Acad. Dermatol. 2007, 57, 722–724. [Google Scholar] [CrossRef] [PubMed]
 - Coenye, T.; Peeters, E.; Nelis, H.J. Biofilm formation by Propionibacterium acnes is associated with increased resistance to antimicrobial agents and increased production of putative virulence factors. Res. Microbiol. 2007, 158, 386–392. [Google Scholar] [CrossRef] [PubMed]
 - Beylot, C.; Auffret, N.; Poli, F.; Claudel, J.P.; Leccia, M.T.; Del Giudice, P.; Dreno, B. Propionibacterium acnes: An update on its role in the pathogenesis of acne. J. Eur. Acad. Dermatol. Venereol. 2014, 28, 271–278. [Google Scholar] [CrossRef] [PubMed]
 - Ronqui, M.R.; De Aguiar Coletti, T.M.; de Freitas, L.M.; Miranda, E.T.; Fontana, C.R. Synergistic antimicrobial effect of photodynamic therapy and ciprofloxacin. J. Photochem. Photobiol. B 2016, 158, 122–129. [Google Scholar] [CrossRef] [PubMed]
 - Honraet, K.; Rossel, B.; Coenye, T. The Acne biofilm. In Pathogenesis and Treatment of Acne and Rosacea; Zouboulis, C., Katsambas, A., Kligman, A., Eds.; Springer: Berlin/Heidelberg, Germany, 2014; pp. 155–159. [Google Scholar]
 - De Aguiar Coletti, T.M.S.F.; de Freitas, L.M.; Almeida, A.M.F.; Fontana, C.R. Optimization of antimicrobial photodynamic therapy in biofilms by inhibiting efflux pump. Photomed. Laser Surg. 2017, 35, 378–385. [Google Scholar] [CrossRef] [PubMed]
 - Kishen, A.; Upadya, M.; Tegos, G.P.; Hamblin, M.R. Efflux pump inhibitor potentiates antimicrobial photodynamic inactivation of Enterococcus faecalis biofilm. Photochem. Photobiol. 2010, 86, 1343–1349. [Google Scholar] [CrossRef] [PubMed]
 - Gratieri, T.; Gelfuso, G.M.; Rocha, E.M.; Sarmento, V.H.; de Freitas, O.; Lopez, R.F. A poloxamer/chitosan in situ forming gel with prolonged retention time for ocular delivery. Eur. J. Pharm. Biopharm. 2010, 75, 186–193. [Google Scholar] [CrossRef] [PubMed]
 - Gratieri, T.; Gelfuso, G.M.; de Freitas, O.; Rocha, E.M.; Lopez, R.F. Enhancing and sustaining the topical ocular delivery of fluconazole using chitosan solution and poloxamer/chitosan in situ forming gel. Eur. J. Pharm. Biopharm. 2011, 79, 320–327. [Google Scholar] [CrossRef] [PubMed]
 - Calixto, G.; Yoshii, A.C.; Rocha e Silva, H.; Stringhetti Ferreira Cury, B.; Chorilli, M. Polyacrylic acid polymers hydrogels intended to topical drug delivery: Preparation and characterization. Pharm. Dev. Technol. 2015, 20, 490–496. [Google Scholar] [CrossRef] [PubMed]
 
Sample Availability: Samples of the compounds are available from the authors.   | 








| Temperature (°C) | Formulations | Flow Index (η) | Consistency Index (k) | 
|---|---|---|---|
| 25 °C | HG1 | 0.90680 ± 0.02237 | 0.11022 ± 0.01066 | 
| HG2 | 0.96372 ± 0.00389 | 0.08112 ± 0.00137 | |
| HG3 | 0.92231 ± 0.00076 | 0.20006 ± 0.00066 | |
| 32 °C | HG1 | 0.87836 ± 0.02885 | 0.10582 ± 0.01317 | 
| HG2 | 0.95296 ± 0.01441 | 0.07338 ± 0.00459 | |
| HG3 | 0.91371 ± 0.01426 | 0.14924 ± 0.00920 | |
| 25 °C | HG1-MB12.5 | 0.95514 ± 0.01731 | 0.05200 ± 0.00390 | 
| HG1-MB75 | 0.95345 ± 0.01982 | 0.04711 ± 0.00405 | |
| 32 °C | HG1-MB12.5 | 0.8717 ± 0.03723 | 0.11857 ± 0.01904 | 
| HG1-MB75 | 0.71933 ± 0.03334 | 0.31082 ± 0.04419 | 
| Temperature (°C) | Formulations | Formulation Strength (S) | Viscoelastic Exponent (n) | 
|---|---|---|---|
| 25 °C | HG1 | 0.00564 ± 0.00096 | 0.66476 ± 0.04482 | 
| HG2 | 0.02120 ± 0.00395 | 0.34040 ± 0.05131 | |
| HG3 | 0.05149 ± 0.00174 | 0.01859 ± 0.01020 | |
| 32 °C | HG1 | 106.18612 ± 1.62739 | 0.00920 ± 0.00466 | 
| HG2 | 154.58812 ± 1.65599 | 0.00360 ± 0.00325 | |
| HG3 | 335.40866 ± 1.99548 | 0.00062 ± 0.00181 | |
| 25 °C | HG1-MB12.5 | 0.98450 ± 0.47602 | 0.61013 ± 0.12848 | 
| HG1-MB75 | 0.00152 ± 0.00089 | 1.78589 ± 0.14604 | |
| 32 °C | HG1-MB12.5 | 72.48737 ± 2.79814 | 0.31668 ± 0.01068 | 
| HG1-MB75 | 67.61907 ± 3.38183 | 0.32623 ± 0.01381 | 
| Formulation | Chitosan (%) (w/v) | Poloxamer (%) (w/v) | Methylene Blue (µg/mL) | 
|---|---|---|---|
| HG1 | 0.25 | 16 | - | 
| HG2 | 0.50 | 16 | - | 
| HG3 | 1.00 | 16 | - | 
| HG1-MB12.5 | 0.25 | 16 | 12.5 | 
| HG1-MB75 | 0.25 | 16 | 75 | 
© 2018 by the authors. Licensee MDPI, Basel, Switzerland. This article is an open access article distributed under the terms and conditions of the Creative Commons Attribution (CC BY) license (http://creativecommons.org/licenses/by/4.0/).
Share and Cite
Frade, M.L.; De Annunzio, S.R.; Calixto, G.M.F.; Victorelli, F.D.; Chorilli, M.; Fontana, C.R. Assessment of Chitosan-Based Hydrogel and Photodynamic Inactivation against Propionibacterium acnes. Molecules 2018, 23, 473. https://doi.org/10.3390/molecules23020473
Frade ML, De Annunzio SR, Calixto GMF, Victorelli FD, Chorilli M, Fontana CR. Assessment of Chitosan-Based Hydrogel and Photodynamic Inactivation against Propionibacterium acnes. Molecules. 2018; 23(2):473. https://doi.org/10.3390/molecules23020473
Chicago/Turabian StyleFrade, Maria Lucia, Sarah Raquel De Annunzio, Giovana Maria Fioramonti Calixto, Francesca Damiani Victorelli, Marlus Chorilli, and Carla Raquel Fontana. 2018. "Assessment of Chitosan-Based Hydrogel and Photodynamic Inactivation against Propionibacterium acnes" Molecules 23, no. 2: 473. https://doi.org/10.3390/molecules23020473
APA StyleFrade, M. L., De Annunzio, S. R., Calixto, G. M. F., Victorelli, F. D., Chorilli, M., & Fontana, C. R. (2018). Assessment of Chitosan-Based Hydrogel and Photodynamic Inactivation against Propionibacterium acnes. Molecules, 23(2), 473. https://doi.org/10.3390/molecules23020473
        
