Agar Extraction By-Products from Gelidium sesquipedale as a Source of Glycerol-Galactosides
Abstract
1. Introduction
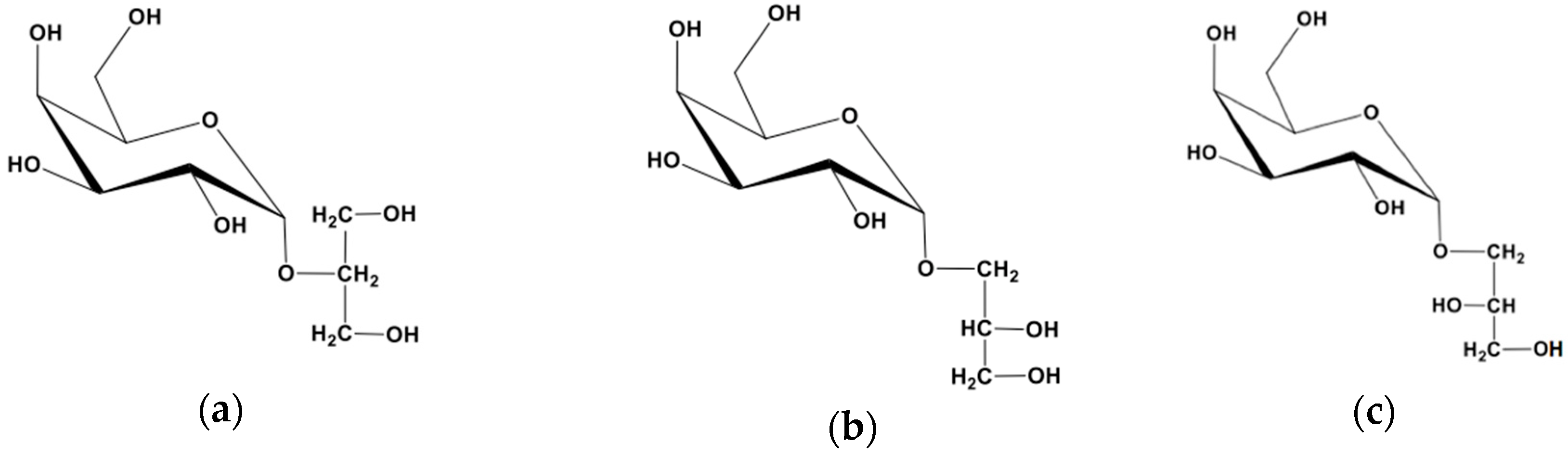
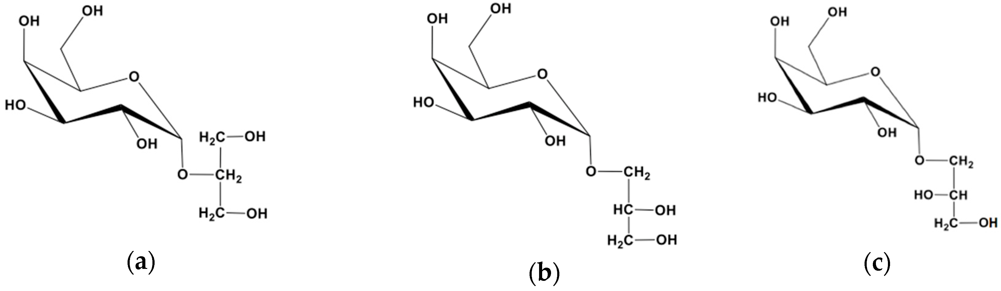
2. Results
3. Discussion
4. Materials and Methods
4.1. Raw Material
4.2. Alkali Treatment
4.3. Fractionation of the Alkaline Extract
4.4. Electrospray Mass Spectrometry Analyses
4.5. 1H-Nuclear Magnetic Resonance (NMR) Experiments
4.6. Determination of the Glycosidic Linkage
5. Conclusions
Supplementary Materials
Author Contributions
Funding
Acknowledgments
Conflicts of Interest
References
- Marinho-Soriano, E.; Bourret, E. Polysaccharides from the red seaweed Gracilaria dura (Gracilariales, Rhodophyta). Bioresour. Technol. 2005, 96, 379–382. [Google Scholar] [CrossRef] [PubMed]
- Nishinari, K.; Fang, Y. Relation between structure and rheological/thermal properties of agar. A mini-review on the effect of alkali treatment and the role of agaropectin. Food Struct. 2017, 13, 24–34. [Google Scholar] [CrossRef]
- Herrero, M.; Sánchez-Camargo, A.D.P.; Cifuentes, A.; Ibáñez, E. Plants, seaweeds, microalgae and food by-products as natural sources of functional ingredients obtained using pressurized liquid extraction and supercritical fluid extraction. Trends Anal. Chem. 2015, 71, 26–38. [Google Scholar] [CrossRef]
- Cheong, K.-L.; Qiu, H.-M.; Du, H.; Liu, Y.; Khan, B.M. Oligosaccharides Derived from Red Seaweed: Production, Properties, and Potential Health and Cosmetic Applications. Molecules 2018, 23, 2451. [Google Scholar] [CrossRef] [PubMed]
- Eggert, A.; Karsten, U. Low molecular weight carbohydrates in red algae—an ecophysiological and biochemical perspective. In Red Algae in the Genomic Age, Cellular Origin, Life in Extreme Habitats, and Astrobiology; Seckbach, J., Chapman, D., Eds.; Springer: Dordrecht, The Netherlands, 2010; Volume 13, pp. 443–456. ISBN 978-90-481-3795-4. [Google Scholar]
- Li, S.-Y.; Shabtai, Y.; Arad, S. Floridoside as a carbon precursor for the synthesis of cell-wall polysaccharide in the red microalga Porphyridium sp. (Rhodophyta). J. Phycol. 2002, 38, 931–938. [Google Scholar] [CrossRef]
- Majak, W.; Craigie, J.S.; McLachlan, J. Photosynthesis in algae–accumulation products in Rhodophyceae. Can. J. Bot. 1966, 44, 541–549. [Google Scholar] [CrossRef]
- Kim, M.; Li, Y.X.; Dewapriya, P.; Ryu, B.; Kim, S.K. Floridoside suppresses pro-inflammatory responses by blocking MAPK signaling in activated microglia. BMB Rep. 2013, 46, 398–403. [Google Scholar] [CrossRef] [PubMed]
- Tang, K.; Zhang, X.-H. Quorum quenching agents: Resources for antivirulence therapy. Mar. Drugs 2014, 12, 3245–3282. [Google Scholar] [CrossRef] [PubMed]
- Gao, Y.; Li, J.; Yan, X.; Yang, R.; Zhang, C.; Chen, H. Extraction of floridoside and the effect of floridoside on Ctenopharyngodon idella surimi during frozen storage. J. Fish. China 2017, 41, 311–318. [Google Scholar] [CrossRef]
- Barbosa, M.; Valentão, P.; Andrade, P.B. Bioactive compounds from macroalgae in the new millennium: Implications for neurodegenerative diseases. Mar. Drugs 2014, 12, 4934–4972. [Google Scholar] [CrossRef]
- Li, Y.-X.; Li, Y.; Lee, S.-H.; Qian, Z.-J.; Kim, S.-K. Inhibitors of oxidation and matrix metalloproteinases, floridoside, and D-isofloridoside from marine red alga Laurencia undulata. J. Agric. Food Chem. 2010, 58, 578–586. [Google Scholar] [CrossRef] [PubMed]
- Ryu, B.; Li, Y.-X.; Kang, K.-H.; Kim, S.-K.; Kim, D.G. Floridoside from Laurencia undulata promotes osteogenic differentiation in murine bone marrow mesenchymal cells. J. Funct. Foods 2015, 19, 505–511. [Google Scholar] [CrossRef]
- Karsten, U.; Michalik, D.; Michalik, M.; West, J.A. A new unusual low molecular weight carbohydrate in the red algal genus Hypoglossum (Delesseriaceae, Ceramiales) and its possible function as an osmolyte. Planta 2005, 222, 319–326. [Google Scholar] [CrossRef] [PubMed]
- Chen, J.; Song, D.; Luo, Q.; Mou, T.; Yang, R.; Chen, H.; He, S.; Yan, X. Determination of floridoside and isofloridoside in red algae by high-performance liquid chromatography–tandem mass spectrometry. Anal. Lett. 2014, 47, 2307–2316. [Google Scholar] [CrossRef]
- Obando, C.Z.; Linossier, I.; Kervarec, N.; Zubia, M.; Turquet, J.; Faÿ, F.; Rehel, K. Rapid identification of osmolytes in tropical microalgae and cyanobacteria by 1H HR-MAS NMR spectroscopy. Talanta 2016, 153, 372–380. [Google Scholar] [CrossRef]
- Kono, H.; Kondo, N.; Hirabayashi, K.; Ogata, M.; Totani, K.; Ikematsu, S.; Osada, M. NMR spectroscopic structural characterization of a water-soluble β-(1->3, 1->6)-glucan from Aureobasidium pullulans. Carbohydr. Polym. 2017, 174, 876–886. [Google Scholar] [CrossRef]
- Kienteka, S.S.; Corrêa-Ferreira, M.L.; de Oliveira Petkowicz, C.L. Characterization of cell wall polysaccharides from Sicana odorifera fruit and structural analysis of a galactan-rich fraction pectins as side chains. Carbohydr. Polym. 2018, 197, 395–402. [Google Scholar] [CrossRef]
- Sakugawa, H.; Handa, N.; Yagi, K. Distribution of glycosylglycerols and oligosaccharides in the marine environment and their ecological significance in the deep sea. Mar. Biol. 1990, 106, 309–313. [Google Scholar] [CrossRef]
- Benson, A.A.; Wiser, R.; Ferrari, R.A.; Miller, J.A. Photosynthesis of galactolipids. J. Am. Chem. Soc. 1958, 80, 4740. [Google Scholar] [CrossRef]
- Doehlert, D.C.; Moreau, R.A.; Welti, R.; Roth, M.R.; McMullen, M.S. Polar lipids from oat kernels. Cereal Chem. 2010, 87, 467–474. [Google Scholar] [CrossRef]
- Deslandes, E.; Bodeau, C. Cosmetic Composition Containing Red Algae Extract Comprising a Combination of Floridoside and Isethionic Acid. European Patent 1743628, 17 January 2007. [Google Scholar]
- Lebbar, S.; Faugeron-Girard, C.; Gloaguen, V. Utilisation d’un extrait ou d’une fraction d’extrait d’algue rouge agarophyte comme éliciteur/stimulateur de défense végétal et application dudit extrait ou de ladite fraction d’extrait. French Patent deposited under registration number 1870542, 7 May 2018. [Google Scholar]
- Buffetto, F.; Cornuault, V.; Rydahl, M.G.; Ropartz, D.; Alvarado, C.; Echasserieau, V.; Le Gall, S.; Bouchet, B.; Tranquet, O.; Verhertbruggen, Y.; et al. The deconstruction of pectic rhamnogalacturonan I unmasks the occurrence of a novel arabinogalactan oligosaccharide epitope. Plant Cell Physiol. 2015, 56, 2181–2196. [Google Scholar] [CrossRef] [PubMed]
Sample Availability: Samples of the alkaline extract are not available from the authors. |





| Linked Sugar | % Total Sugar (Mean) | Standard Deviation |
|---|---|---|
| t-Gal | 88.0 | 2.6 |
| (1,3)-Gal | 6.2 | 0.7 |
| (1,4)-Gal | 5.7 | 1.9 |
| Compounds | Molecular Weight |
|---|---|
| Isethionic acid | 126 |
| 3,6-Anhydrogalactose | 162 |
| Hexose | 180 |
| Floridoside (Gal-glycerol) | 254 |
| Disaccharide (hexose) | 342 |
| Gal2-glycerol | 416 |
| Trisaccharide (hexose) | 504 |
| Gal3-glycerol | 578 |
| Disaccharide (hexose) | 666 |
| Gal4-glycerol | 740 |
| Yield (algal dry mass) | 8.4% |
© 2018 by the authors. Licensee MDPI, Basel, Switzerland. This article is an open access article distributed under the terms and conditions of the Creative Commons Attribution (CC BY) license (http://creativecommons.org/licenses/by/4.0/).
Share and Cite
Lebbar, S.; Fanuel, M.; Le Gall, S.; Falourd, X.; Ropartz, D.; Bressollier, P.; Gloaguen, V.; Faugeron-Girard, C. Agar Extraction By-Products from Gelidium sesquipedale as a Source of Glycerol-Galactosides. Molecules 2018, 23, 3364. https://doi.org/10.3390/molecules23123364
Lebbar S, Fanuel M, Le Gall S, Falourd X, Ropartz D, Bressollier P, Gloaguen V, Faugeron-Girard C. Agar Extraction By-Products from Gelidium sesquipedale as a Source of Glycerol-Galactosides. Molecules. 2018; 23(12):3364. https://doi.org/10.3390/molecules23123364
Chicago/Turabian StyleLebbar, Salim, Mathieu Fanuel, Sophie Le Gall, Xavier Falourd, David Ropartz, Philippe Bressollier, Vincent Gloaguen, and Céline Faugeron-Girard. 2018. "Agar Extraction By-Products from Gelidium sesquipedale as a Source of Glycerol-Galactosides" Molecules 23, no. 12: 3364. https://doi.org/10.3390/molecules23123364
APA StyleLebbar, S., Fanuel, M., Le Gall, S., Falourd, X., Ropartz, D., Bressollier, P., Gloaguen, V., & Faugeron-Girard, C. (2018). Agar Extraction By-Products from Gelidium sesquipedale as a Source of Glycerol-Galactosides. Molecules, 23(12), 3364. https://doi.org/10.3390/molecules23123364

