Abstract
It has been established that an electron-deficient cationic CpE-rhodium(III) complex catalyzes the non-oxidative [2+2+2] annulation of N-(1-naphthyl)acetamide with two alkynoates via cleavage of the adjacent C–H and C–N bonds to give densely substituted phenanthrenes under mild conditions (at 40 °C under air). In this reaction, a dearomatized spiro compound was isolated, which may support the formation of a cationic spiro rhodacycle intermediate in the catalytic cycle. The use of N-(1-naphthyl)acetamide in place of acetanilide switched the reaction pathway from the oxidative [2+2+2] annulation-lactamization via C–H/C–H cleavage to the non-oxidative [2+2+2] annulation via C–H/C–N cleavage. This chemoselectivity switch may arise from stabilization of the carbocation in the above cationic spiro rhodacycle by the neighboring phenyl and acetylamino groups, resulting in the nucleophilic C–C bond formation followed by β-nitrogen elimination.
1. Introduction
The transition-metal-catalyzed [2+2+2] annulation of three unsaturated compounds is a useful method for the synthesis of six-membered carbocycles and heterocycles [1,2,3,4,5,6,7,8,9]. For example, the transition-metal-catalyzed [2+2+2] annulation of three alkynes is able to afford densely substituted benzenes with an atom- and step-economical manner [10,11,12,13,14]. For the synthesis of naphthalene derivatives, benzynes have been employed as one of the three alkynes but the use of the benzynes suffers from the redundant precursor synthesis and harsh reaction conditions [15,16,17]. Alternatively, several examples of the transition-metal-catalyzed oxidative [2+2+2] annulation via cleavage of adjacent two C–H bonds of benzenes, in which formally dehydrogenated benzenes are employed as benzyne equivalents, have been reported [18,19,20,21,22]. As such, our research group reported that an electron-deficient cationic CpE-rhodium(III) complex, derived from 1, catalyzes the oxidative tandem [2+2+2] annulation-lactamization of acetanilide (2a) with two alkynoates 3 via cleavage of adjacent two C–H bonds at room temperature under air to give densely substituted banzo[cd]indolones 4a (Scheme 1, top) [23]. In this catalysis, not only acetanilide (2a) but also ortho-substituted acetanilide 2b was able to react with two alkynoates 3 to give the corresponding banzo[cd]indolones 4b after treatment with KOH in ethanol (Scheme 1, top) [23]. In this paper, we have established that the electron-deficient cationic CpE-rhodium(III) complex is able to catalyze the non-oxidative [2+2+2] annulation of N-(1-naphthyl)acetamide (2c) with two alkynoates 3 via cleavage of the adjacent C–H and C–N bonds, leading to densely substituted phenanthrenes 5, under mild conditions (at 40 °C under air) (Scheme 1, middle). Although several examples of the transition-metal-catalyzed decarboxylative and oxidative [2+2+2] annulation of benzoic acids with two alkynoates via cleavage of the adjacent C–H and C–C bonds, leading to densely substituted naphthalenes, have been reported [24,25,26,27], only a single example of the non-oxidative [2+2+2] annulation via cleavage of the adjacent C–H and C–N bonds, in which the acylamino moiety is employed as a traceless directing group, has been reported in the neutral Cp*-rhodium(III) complex-catalyzed synthesis of tetraarylnaphthalenes from N-acylanilines and two diarylacetylenes at elevated temperature (110 °C) (Scheme 1, bottom) [28].
Scheme 1.
Cationic CpE-rhodium(III) complex-catalyzed [2+2+2] annulations of acetanilides 2a/2b and N-(1-naphthyl)acetamide (2c) with two alkynoates 3 via cleavage of adjacent C–H/C–H and C–H/C–N bonds, respectively.
2. Results
In the course of our study of the cationic CpE-rhodium(III) complex-catalyzed oxidative tandem [2+2+2] annulation-lactamization of acetanilides with two alkynoates, leading to banzo[cd]indolones, the reaction of 2-methyl acetanilide 2b and ethyl 2-butynoates (3a) was examined. As already shown in Scheme 1, the expected banzo[cd]indolones 4b were generated after treatment with KOH in ethanol [23]. Surprisingly, the use of N-(1-naphthyl)acetamide (2c) in place of 2b failed to afford the expected naphtho[cd]indolone 4ca. Instead, densely substituted phenanthrene 5ca was generated as a major product along with a mixture of the corresponding regioisomeric [3+2] annulation products 6ca/6ca′ (Scheme 2). In addition to the above products, unidentified oligomerization products derived from 2c and 3a were generated as by-products.
Scheme 2.
Cationic CpE-rhodium(III) complex-catalyzed non-oxidative [2+2+2] annulation of N-(1-naphthyl)acetamide (2c) with two ethyl 2-butynoates (3a).
Then the screening of the reaction conditions and the acyl groups on the nitrogen of 1-aminonaphthalene was conducted as shown in Table 1. Elevating the reaction temperature (40 °C) slightly increased the yields of 5ca and 6ca/6ca′ (entry 2). Increasing the amount of 3a increased the yield of 5ca and decreased that of 6ca/6ca′ (entry 3). However, this increase was very small, therefore, the conditions of entry 2 were selected as the best conditions. With respect to the acyl groups on the nitrogen of the 1-aminonaphthalene moiety, electron-poor N-(1-naphthyl)amide 2d, possessing the highly acidic amide proton, was tested in place of 2c, while no reaction was observed even at 80 °C (entry 4). Sterically demanding N-(1-naphthyl)amide 2e was also tested with expectation for acceleration of reductive elimination. Unfortunately, the use of 2e significantly increased the yield of not the [2+2+2] annulation product 5ea but the [3+2] annulation products 6ea/6ea′ (entry 5). Finally, the reaction was conducted using the Cp*-rhodium(III) complex instead of the CpE-rhodium(III) complex 1, which resulted in significant decrease of the yields of 5ca and 6ca/6ca′ (entry 6).
Table 1.
Optimization of reaction conditions for rhodium (III)-catalyzed [2+2+2] annulation of N-(1-naphthyl)amides 2 with two ethyl 2-butynoates (3a) a.
The scope of the present cationic CpE-rhodium(III) complex-catalyzed [2+2+2] annulation is shown in Table 2. As with our previously reported cationic CpE-rhodium(III) complex-catalyzed oxidative tandem [2+2+2] annulation-lactamization of acetanilides with two alkynoates, leading to banzo[cd]indolones, a wide variety of primary alkyl-substituted alkynoates 3a–e reacted with N-(1-naphthyl)acetamide (2c) to give the corresponding [2+2+2] annulation products 5ca–ce (entries 1–5). However, phenyl-substituted alkynoate 3f failed to afford the corresponding [2+2+2] annulation product 5cf and gave the corresponding [3+2] annulation product 6cf′ in good yield with perfect regioselectivity (entry 6). This product switch is also the same as our previously reported tandem [2+2+2] annulation-lactamization of acetanilide (2a) with 3f [23]. Unfortunately, the use electron-deficient alkynes did not afford the corresponding annulation products at all. For example, the use of ethyl propiolate afforded a complex mixture of products and no reaction was observed when using ethyl 2-butynoate. The structure and regiochemistry of the [2+2+2] annulation product 5ce were unambiguously determined by the X-ray crystallographic analysis as shown in Figure 1.
Table 2.
Scope of alkynoates 3 on rhodium(III)-catalyzed [2+2+2] annulation with N-(1-naphthyl)acetamide (2c) a.
Figure 1.
ORTEP diagram of 5ce with ellipsoids at 50% probability. All hydrogen and disordered atoms are omitted for clarity.
Importantly, an interesting by-product was generated in the reaction of 2c and 3a as shown in Scheme 3. When using 3 equiv of 3a, a very small amount of dearomatized spiro compound 7ca was detected in the crude reaction mixture (3% yield). An isolable amount (13% yield) of 7ca was generated when using an excess amount of 3a.
Scheme 3.
Formation of dearomatized spiro compound 7ca. The yields were determined by 1H NMR yield using C6Me6 as an internal standard.
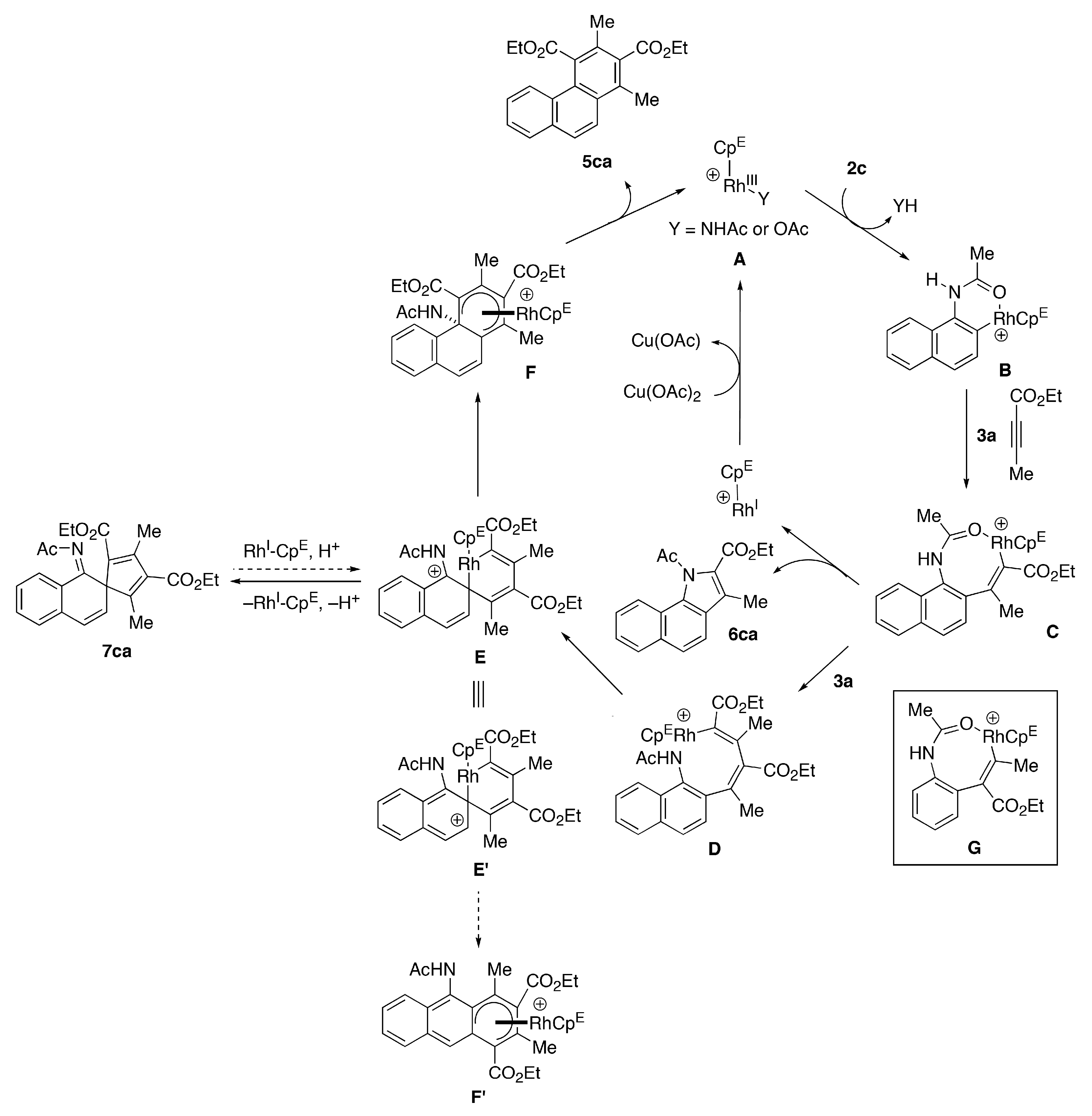
Plausible mechanisms for the formation of 5ca, 6ca and 7ca from 2c and 3a are shown in Scheme 4. First, C–H bond cleavage of 2c by CpE-rhodium(III) species A affords naphthylrhodium B. Next, insertion of 3a into B gives alkenylrhodium C. The subsequent insertion of 3a into C gives dienylrhodium D. The second alkyne insertion may not proceed in the case of sterically demanding phenyl-substituted alkynoate 3f, thus generating [3+2] annulation product 6cf′ (Table 2, entry 6). Electrophilic metalation of the electron-rich 1-aminonaphthalene ring produces cationic spiro rhodacycle E, in which the carbocation is stabilized by the neighboring phenyl and acetylamino groups. Nucleophilic attack of the dienylrhodium moiety to the electrophilic 1-position of the 1-aminonaphthalene ring gives π-pentadienyl complex F [29]. Importantly, nucleophilic attack of the dienylrhodium moiety to the 3-position of the 1-aminonaphthalene ring in spiro rhodacycle E′, leading to π-pentadienyl complex F′, would be unfavorable due to the unstable dearomatized quinodimethane structures in E′ and F′. β-Nitrogen elimination [30,31] from intermediate F affords 5ca and the catalytically active rhodium(III) species A. However, the copper(II) co-catalyst was necessary in order to reoxidize rhodium(I) species generated through the competing oxidative [3+2] annulation giving 6ca. In this reaction, dearomatized spiro compound 7ca was isolated as a by-product. This compound may be generated by reductive elimination and deprotonation from spiro rhodacycle E. Increasing the amount of 3a may facilitate the reductive elimination, which increased the yield of 7ca. This result may support the intermediacy of spiro rhodacycle E in the catalytic cycle. Interestingly, the regioselectivity of both the present CpE-rhodium(III)-catalyzed [2+2+2] and [3+2] annulations of N-(1-naphthyl)acetamide (2c) is opposite to that of our previously reported CpE-rhodium(III)-catalyzed [2+2+2] and [3+2] annulations of acetanilides that proceed presumably via alkenylrhodium G [23], although the reason is not clear at the present stage.
Scheme 4.
Plausible mechanisms for formation of 5ca, 6ca and 7ca from 2c and 3a.
We considered that it is possible to regenerate spiro rhodacycle E by oxidative addition with a neutral rhodium(I) complex and protonation of 7ca. Therefore, 7ca was treated with acetic acid and an in situ generated neutral CpE-rhodium(I) complex, prepared by the reaction of 1, AgNTf2, NaOAc, 2a and 3a. However, no reaction was observed, thus excluding the intermediacy of 7ca in the catalytic cycle (Scheme 5).
Scheme 5.
Reaction of 7ca with an in situ generated CpE-rhodium(III) complex and acetic acid.
3. Materials and Methods
3.1. General Information
Anhydrous acetone (No. 27,072-5) and CH2Cl2 (No. 130-02457) were obtained from Aldrich (St. Louis, MO, USA) and Wako (Osaka, Japan) and used as received. Solvents for the synthesis of substrates were dried over Molecular Sieves 4Å (Wako) prior to use. Anilides 2d [32] and 2e [33] were prepared according to the literature. Internal alkynes 3d [34] and 3e [35] were prepared according to the literature. All other reagents were obtained from commercial sources and used as received. 1H and 13C data were collected on a Bruker AVANCE III (Billerica, MA, USA) HD 400 (400 MHz) at ambient temperature. HRMS data were obtained on a Bruker micro TOF Focus II (Billerica, MA, USA). A single crystal X-ray diffraction measurement was made on Rigaku XtaLAB mini II diffractometer (Akishima, Japan) using graphite monochromated Mo-Kα radiation. All reactions were carried out in oven-dried glassware with magnetic stirring.
3.2. General Procedure for the Rhodium-Catalyzed Annulation of N-(1-Naphthyl)amides with Two Alkynoates (5ca, 6ca and 6ca′; Table 1, entry 2)
To a Schlenk tube was added AgNTf2 (15.5 mg, 0.040 mmol), [CpERhCl2]2 1 (8.5 mg, 0.010 mmol), Cu(OAc)2·H2O (4.0 mg, 0.020 mmol), N-(naphthalen-1-yl)acetamide (2c, 18.5 mg, 0.100 mmol), ethyl 2-butynoate (3a, 33.6 mg, 0.300 mmol), acetone (0.5 mL) and CH2Cl2 (0.5 mL) under air in this order. The mixture was sealed and stirred at 40 °C under air for 16 hours. The resulting mixture was diluted with ether, filtered through a silica gel pad and washed with ether. The solvent was removed under reduced pressure and the residue was purified by a preparative thin layer chromatography (TLC, hexane/AcOEt = 2:1), to give a mixture of 5ca, 6ca and 6ca′. The yields of 5ca (31%), 6ca (22%) and 6ca′ (10%) were determined by 1H NMR with hexamethylbenzene as an internal standard.
3.3. Product Characterization
Diethyl 1,3-dimethylphenanthrene-2,4-dicarboxylate (5ca). Analytically pure 5ca was isolated from a mixture of 5ca, 6ca and 6ca′ (21.8 mg, 5ca/6ca/6ca′ = 45:41:14) by a gel permeation chromatography (GPC). The regiochemistry of the title compound was determined by the NOESY experiment as well as analogy to the 1H NMR chemical shifts of 5ce. Colorless solid, 7.2 mg, 0.0205 mmol, 21% isolated yield, mp 83.8–85.0 °C; 1H NMR (CDCl3, 400 MHz) δ 8.44 (d, J = 8.4 Hz, 1H), 7.95 (d, J = 9.2 Hz, 1H), 7.92–7.87 (m, 1H), 7.79 (d, J = 9.2 Hz, 1H), 7.63–7.51 (m, 2H), 4.57–7.44 (m, 4H), 2.70 (s, 3H), 2.47 (s, 3H), 1.95 (s, 3H), 1.44 (t, J = 7.1 Hz, 3H), 1.35 (t, J = 7.2 Hz, 3H); 13C NMR (CDCl3, 100 MHz) δ 172.0, 170.0, 134.1, 133.0, 132.3, 129.8, 129.6, 129.5, 129.1, 128.7, 127.8, 127.5, 127.0, 126.3, 125.6, 122.4, 61.8, 61.4, 17.4, 17.2, 14.3, 13.9; HRMS (ESI) calcd for C22H22O4Na [M + Na]+ 373.1414, found 373.1410.
Ethyl 1-acetyl-3-methyl-1H-benzo[g]indole-2-carboxylate (6ca) and ethyl 1-acetyl-2-methyl-1H-benzo[g]indole-3-carboxylate (6ca′) [36]. An analytically pure mixture of 6ca and 6ca′ was isolated from a mixture of 5ca, 6ca and 6ca′ (21.8 mg, 5ca/6ca/6ca′ = 45:41:14) by GPC. The regiochemistry of the title compounds was determined by comparison with the 1H NMR chemical shifts of the literature. Colorless solid, 7.6 mg, 0.0257 mmol, 26% isolated yield, 6ca/6ca′ = 75:25, mp 86.1–87.2 °C; 1H NMR (CDCl3, 400 MHz) δ 6ca: 8.17–8.11 (m, 1H), 7.96–7.90 (m, 1H), 7.67 (d, J = 8.7 Hz, 1H), 7.59 (d, J = 8.7 Hz, 1H), 7.55–7.48 (m, 2H), 4.43 (q, J = 7.1 Hz, 2H), 2.76 (s, 3H), 2.65 (s, 3H), 2.04 (s, 3H), 1.45 (t, J = 7.1 Hz, 3H); 6ca′: 8.28 (d, J = 8.7 Hz, 1H), 7.97 (d, J = 7.9 Hz, 1H), 7.74 (t, J = 7.9 Hz, 1H), 7.57–7.44 (m, 3H), 4.50–4.40 (m, 2H), 2.85 (s, 3H), 2.62 (s, 3H), 1.49 (t, J = 7.1 Hz, 3H); 13C NMR (CDCl3, 100 MHz) δ 177.6, 162.3, 133.5, 129.41, 129.36, 126.3, 126.2, 125.8, 125.2, 124.7, 124.4, 124.0, 123.7, 123.2, 121.8, 121.7, 121.3, 120.8, 119.0, 61.2, 30.0, 14.3, 10.4; HRMS (ESI) calcd for C17H15NONa [M + Na]+ 318.1101, found 318.1115.
Dimethyl 1,3-dimethylphenanthrene-2,4-dicarboxylate (5cb). The yield of 5cb (30%) was determined by 1H NMR with hexamethylbenzene as an internal standard. Analytically pure 5cb was isolated from a mixture of 5cb, 6cb and 6cb′ (19.2 mg, 5cb/6cb/6cb′ = 51:37:12) by GPC. The regiochemistry of the title compound was determined by analogy to the 1H NMR chemical shifts of 5ce. Colorless solid, 8.8 mg, 0.0273 mmol, 27% isolated yield, mp 62.8–64.5 °C; 1H NMR (CDCl3, 400 MHz); 1H NMR (CDCl3, 400 MHz) δ 8.35 (d, J = 8.4 Hz, 1H), 7.95 (d, J = 9.1 Hz, 1H), 7.93–7.87 (m, 1H), 7.79 (d, J = 9.2 Hz, 1H), 7.64–7.53 (m, 2H), 4.00 (s, 3H), 3.99 (s, 3H), 2.68 (s, 3H), 2.44 (s, 3H); 13C NMR (CDCl3, 100 MHz) δ 172.4, 170.5, 133.9, 133.1, 132.6, 129.83, 129.79, 129.1, 129.0, 128.8, 127.9, 127.7, 127.1, 126.4, 125.3, 122.3, 52.7, 52.3 17.5, 17.4; HRMS (ESI) calcd for C20H18O4Na [M + Na]+ 345.1097, found 345.1101.
Methyl 1-acetyl-3-methyl-1H-benzo[g]indole-2-carboxylate (6cb) and methyl 1-acetyl-2-methyl-1H-benzo[g]indole-3-carboxylate (6cb′). The yields of 6cb (22%) and 6cb′ (8%) was determined by 1H NMR with hexamethylbenzene as an internal standard. An analytically pure mixture of 6cb and 6cb′ was isolated from a mixture of 5cb, 6cb and 6cb′ (19.2 mg, 5cb/6cb/6cb′ = 51:37:12) by GPC. The regiochemistry of the title compounds was determined by analogy to the 1H NMR chemical shifts of 6ca and 6ca′. Colorless solid, 6.0 mg, 0.0213 mmol, 21% isolated yield, 6cb/6cb′ = 75:25, mp 93.7–95.0 °C; 1H NMR (CDCl3, 400 MHz) 6cb: δ 8.17–8.10 (m, 1H), 7.95–7.89 (m, 1H), 7.66 (d, J = 8.7 Hz, 1H), 7.59 (d, J = 8.7 Hz, 1H), 7.57–7.44 (m, 2H), 3.97 (s, 3H), 2.76 (s, 3H), 2.64 (s, 3H); 6cb′: δ 8.26 (d, J = 8.8 Hz, 1H), 7.97 (d, J = 8.1 Hz, 1H), 7.93–7.87 (m, 1H), 7.79 (d, J = 9.2 Hz, 1H), 7.64–7.53 (m, 2H), 4.00 (s, 3H), 3.99 (s, 3H), 2.68 (s, 3H), 2.44 (s, 3H); 13C NMR (CDCl3, 100 MHz) δ 171.0, 136.8, 134.9, 133.6, 130.3, 130.2, 128.7, 128.5, 125.3, 123.4, 118.6, 118.1, 116.3, 27.6, 9.2; HRMS (ESI) calcd for C17H15NONa [M + Na]+ 304.0944, found 304.0952.
Diethyl 1,3-dibutylphenanthrene-2,4-dicarboxylate (5cc). The yield of 5cc (32%) was determined by 1H NMR with hexamethylbenzene as an internal standard. Analytically pure 5cc was isolated from a mixture of 5cc, 6cc and 6cc′ (40.0 mg, 5cc/6cc/6cc′ = 42:9:49) by GPC. The regiochemistry of the title compound was determined by analogy to the 1H NMR chemical shifts of 5ce. Pale yellow oil, 11.7 mg, 0.0269 mmol, 27% isolated yield; 1H NMR (CDCl3, 400 MHz) δ 8.42 (d, J = 8.6 Hz, 1H), 7.93 (d, J = 9.2 Hz, 1H), 7.90–7.86 (m, 1H), 7.77 (d, J = 9.1 Hz, 1H), 7.61–7.56 (m, 1H), 7.55–7.50 (m, 1H), 4.51–4.43 (m, 4H), 3.04–2.97 (m, 2H), 2.80–2.68 (m, 2H), 1.78–1.64 (m, 4H), 1.55–1.29 (m, 4H), 1.44 (t, J = 7.1 Hz, 3H), 1.34 (t, J = 7.2 Hz, 3H), 1.02–0.92 (m, 6H); 13C NMR (CDCl3, 100 MHz) δ 171.9, 170.0, 137.5, 135.0, 133.7, 132.9, 129.4, 129.2, 129.1, 128.5, 128.1, 127.7, 127.0, 126.1, 125.7, 122.3, 61.7, 61.3, 33.9, 33.5, 32.1, 31.3, 23.4, 23.3, 14.2, 13.9, 13.83, 13.79; HRMS (ESI) calcd for C28H34O4Na [M + Na]+ 457.2349, found 457.2359.
Ethyl 1-acetyl-3-butyl-1H-benzo[g]indole-2-carboxylate (6cc) and ethyl 1-acetyl-2-butyl-1H-benzo[g]indole-3-carboxylate (6cc′). The yields of 6cc (37%) and 6cc′ (7%) were determined by 1H NMR with hexamethylbenzene as an internal standard. An analytically pure mixture of 6cc and 6cc′ was isolated from a mixture of 5cc, 6cc and 6cc′ (40.0 mg, 5cc/6cc/6cc′ = 42:9:49) by GPC. The regiochemistry of the title compounds was determined by analogy to the 1H NMR chemical shifts of 6ca and 6ca′. Colorless solid, 13.2 mg, 0.0391 mmol, 39% isolated yield, 6cc/6cc′ = 86:14, mp 61.0–62.4 °C; 1H NMR (CDCl3, 400 MHz) δ 6cc: 8.16–8.09 (m, 1H), 7.95–7.88 (m, 1H), 7.67 (d, J = 8.7 Hz, 1H), 7.58 (d, J = 8.6 Hz, 1H), 7.56–7.43 (m, 2H), 4.43 (q, J = 7.1 Hz, 2H), 3.11 (t, J = 7.7 Hz, 2H), 2.77 (s, 3H), 1.75–1.63 (m, 2H), 1.52–1.40 (m, 2H), 1.44 (t, J = 7.1 Hz, 3H), 0.97 (t, J = 7.2 Hz, 3H); 6cc′: 8.30 (d, J = 8.8 Hz, 1H), 8.00–7.95 (m, 1H), 7.77–7.71 (m, 2H), 7.56–7.43 (m, 2H), 4.50–4.39 (m, 2H), 3.25–3.18 (m, 2H), 1.75–1.63 (m, 2H), 1.52–1.40 (m, 5H), 1.00–0.93 (m, 3H); 13C NMR (CDCl3, 100 MHz) δ 177.7, 162.2, 133.4, 131.0, 129.4, 129.0, 126.3, 125.7, 124.8, 123.4, 123.1, 121.9, 121.6, 119.1, 61.2, 33.4, 30.0, 24.7, 22.9, 14.2, 14.0; HRMS (ESI) calcd for C21H23NO3Na [M + Na]+ 360.1570, found 360.1575.
Dimethyl 1,3-bis(3-phenylpropyl)phenanthrene-2,4-dicarboxylate (5cd). The yield of 5cd (35%) was determined by 1H NMR with hexamethylbenzene as an internal standard. Analytically pure 5cd was isolated from a mixture of 5cd, 6cd and 6cd′ (42.3 mg, 5cd/6cd/6cd′ = 46:7:47) by GPC. The regiochemistry of the title compound was determined by analogy to the 1H NMR chemical shifts of 5ce. Pale yellow solid, 16.4 mg, 0.0294 mmol, 29% isolated yield, mp 91.0–92.6 °C; 1H NMR (CDCl3, 400 MHz) δ 8.30 (d, J = 8.4 Hz, 1H), 7.89–7.83 (m, 1H), 7.78–7.68 (m, 2H), 7.61–7.44 (m, 2H), 7.36–7.14 (m, 10H), 3.84 (s, 3H), 3.65 (s, 3H), 3.00–2.90 (m, 2H), 2.78 (t, J = 7.2 Hz, 2H), 2.70 (t, J = 7.2 Hz, 2H), 2.70–2.62 (m, 2H), 2.10–1.94 (m, 4H); 13C NMR (CDCl3, 100 MHz) δ 172.2, 170.1, 141.8, 141.6, 137.3, 134.6, 133.5, 132.9, 129.3, 129.2, 128.9, 128.7, 128.6, 128.4, 128.3, 128.2, 128.0, 127.1 126.3, 126.0, 125.8, 125.3, 122.1, 52.5, 52.0, 36.4, 36.2, 33.2, 32.6, 32.0, 30.9; HRMS (ESI) calcd for C36H34O4Na [M + Na]+ 553.2349, found 553.2354.
Ethyl 1-acetyl-3-(3-phenylpropyl)-1H-benzo[g]indole-2-carboxylate (6cd) and ethyl 1-acetyl-2-(3-phenylpropyl)-1H-benzo[g]indole-3-carboxylate (6cd′). The yields of 6cd (38%) and 6cd′ (5%) were determined by 1HNMR with hexamethylbenzene as an internal standard. An analytically pure mixture of 6cd and 6cd′ was isolated from a mixture of 5cd, 6cd and 6cd′ (42.3 mg, 5cd/6cd/6cd′ = 46:7:47) by GPC. The regiochemistry of the title compounds was determined by analogy to the 1H NMR chemical shifts of 6ca and 6ca′. Pale yellow oil, 14.1 mg, 0.0353 mmol, 35% isolated yield, 6cd/6cd′ = 89:11; 1H NMR (CDCl3, 400 MHz) δ 8.15–8.08 (m, 1H), 7.95–7.87 (m, 1H), 7.61–7.54 (m, 2H), 7.53–7.48 (m, 2H), 7.33–7.26 (m, 2H), 7.25–7.15 (m, 3H), 3.85 (s, 3H), 3.18–3.10 (m, 2H), 2.78–2.72 (m, 2H), 2.76 (s, 3H), 2.07–1.97 (m, 2H); 13C NMR (CDCl3, 100 MHz) δ 177.6, 162.6, 142.1, 133.4, 131.1, 129.4, 128.5, 128.3, 126.3, 125.84, 125.80, 124.7, 123.3, 123.2, 121.8, 121.6, 119.0, 51.9, 35.9, 32.5, 29.9, 24.5; HRMS (ESI) calcd for C36H34O4Na [M + Na]+ 408.1570, found 408.1574.
Diethyl 1,3-dibutylphenanthrene-2,4-dicarboxylate (5ce). The yield of 5ce (36%) was determined by 1H NMR with hexamethylbenzene as an internal standard. Analytically pure 5ce was isolated from a mixture of 5ce, 6ce and 6ce′ (42.6 mg, 5ce/6ce/6ce′ = 50:7:43) by GPC. The regiochemistry of the title compound was determined by the X-ray crystallographic analysis as shown in Figure 1. Colorless solid, 13.5 mg, 0.0284 mmol, 28% isolated yield, mp 108.1–109.2 °C; 1H NMR (CDCl3, 400 MHz) δ 8.34 (d, J = 8.4 Hz, 1H), 7.97 (d, J = 9.2 Hz, 1H), 7.93–7.88 (m, 1H), 7.82 (d, J = 9.2 Hz, 1H), 7.65–7.53 (m, 2H), 4.02 (s, 3H), 3.98 (s, 3H), 3.68 (t, J = 6.1 Hz, 2H), 3.63 (t, J = 6.1 Hz, 2H), 3.24–3.16 (m, 2H), 2.93–2.84 (m, 2H), 2.26–2.13 (m, 4H); 13C NMR (CDCl3, 100 MHz) δ 172.0, 170.0, 136.1, 133.9, 133.3, 133.0, 129.6, 129.5, 129.2, 128.8, 128.6, 128.4, 127.4, 126.6, 125.3, 121.8, 52.8, 52.5, 45.2, 45.0, 34.4, 33.7, 30.1, 28.9; HRMS (ESI) calcd for C24H24Cl2O4Na [M + Na]+ 469.0944, found 469.0948.
Methyl 1-acetyl-3-(3-chloropropyl)-1H-benzo[g]indole-2-carboxylate (6ce) and methyl 1-acetyl-2-(3-chloropropyl)-1H-benzo[g]indole-3-carboxylate (6ce′). The yields of 6ce (31%) and 6ce′ (5%) were determined by 1H NMR with hexamethylbenzene as an internal standard. An analytically pure mixture of 6ce and 6ce′ was isolated from a mixture of 5ce, 6ce and 6ce′ (42.6 mg, 5ce/6ce/6ce′ = 50:7:43) by GPC. The regiochemistry of the title compounds was determined by analogy to the 1H NMR chemical shifts of 6ce and 6ce′. Colorless oil, 8.6 mg, 0.0240 mmol, 24% isolated yield, 6ce/6ce′ = 83:17. 1H NMR (CDCl3, 400 MHz) 6ce: δ 8.14–8.07 (m, 1H), 7.96–7.89 (m, 1H), 7.71 (d, J = 8.8 Hz, 1H), 7.60 (d, J = 8.8 Hz, 1H), 7.58–7.46 (m, 2H), 3.98 (s, 3H), 3.61 (t, J = 6.3 Hz, 2H), 3.32–3.26 (m, 2H), 2.79 (s, 3H), 2.30–2.13 (m, 2H); 6ce′: δ 8.76 (d, J = 8.8 Hz 1H), 8.00–7.97 (m, 1H), 7.77–7.75 (m, 1H), 7.75–7.73 (m, 1H), 7.58–7.46 (m, 2H), 4.00 (s, 3H), 3.68 (t, J = 6.6 Hz, 2H), 3.37–3.32 (m, 2H), 2.62 (s, 3H), 2.30–2.13 (m, 2H); 13C NMR (CDCl3, 100 MHz) δ 177.5, 162.3, 133.5, 131.1, 129.5, 126.8, 126.5, 126.0, 125.0, 124.6, 123.5, 123.3, 121.7, 121.60, 120.8, 118.8, 52.1, 44.7, 33.7, 29.9, 22.1; HRMS (ESI) calcd for C19H18O3NClNa [M + Na]+ 366.0867, found 366.0871.
Ethyl 2-phenyl-1-pivaloyl-1H-benzo[g]indole-3-carboxylate (6cf′). The yield of 6cf′ (69%) was determined by 1H NMR with hexamethylbenzene as an internal standard. Analytically pure 6cf′ was isolated by repeated preparative TLCs. Pale yellow oil, 21.9 mg, 0.0612 mmol, 61% isolated yield; 1H NMR (CDCl3, 400 MHz) δ 8.37 (d, J = 8.8 Hz, 1H), 8.00–7.95 (m, 1H), 7.91–7.86 (m, 1H), 7.78 (d, J = 8.7 Hz, 1H), 7.55–7.44 (m, 7H), 4.22 (q, J = 7.1 Hz, 2H), 2.27 (s, 3H), 1.16 (t, J = 7.1 Hz, 3H), 1.17 (s, 9H); 13C NMR (CDCl3, 100 MHz) δ 176.0, 164.5, 142.4, 132.0, 131.2, 130.8, 129.43, 129.41, 129.3, 128.0, 126.1, 125.2, 125.0, 124.7, 121.7, 121.3, 120.6, 110.1, 59.9, 29.3, 14.0; HRMS (ESI) calcd for C23H19NO3Na [M + Na]+ 380.1257, found 380.1266.
Ethyl 3-methyl-1-pivaloyl-1H-benzo[g]indole-2-carboxylate (6ea) and ethyl 2-methyl-1-pivaloyl-1H-benzo[g]indole-3-carboxylate (6ea′). The yields of 6ea (55%) and 6ea′ (3%) were determined by 1H NMR with hexamethylbenzene as an internal standard. An analytically pure mixture of 6ea and 6ea′ was isolated by repeated preparative TLCs. Colorless solid; 15.5 g, 0.0459 mmol, 46% isolated yield, 6ea. mp 128.4–129.5 °C; 1H NMR (CDCl3, 400 MHz) δ 8.24–8.17 (m, 1H), 7.91–7.86 (m, 1H), 7.66 (d, J = 8.7 Hz, 1H), 7.56 (d, J = 8.7 Hz, 1H), 7.52–7.42 (m, 2H), 4.42 (q, J = 7.1 Hz, 2H), 2.66 (s, 3H), 1.43 (t, J = 7.1 Hz, 3H), 1.17 (s, 9H); 13C NMR (CDCl3, 100 MHz) δ 187.5, 162.9, 133.4, 131.3, 129.1, 125.8, 125.7, 125.1, 124.7, 122.9, 122.8, 122.4, 122.3, 119.0, 61.2, 46.8, 28.2, 14.3, 10.4; HRMS (ESI) calcd for C21H23NO3Na [M + Na]+ 360.1570, found 360.1570.
Diethyl (Z)-1′-(acetylimino)-3,5-dimethyl-1′H-spiro[cyclopentane-1,2′-naphthalene]-2,4-diene-2,4-dicarboxylate (7ca). The yield of 7ca (13%) was determined by 1H NMR with hexamethylbenzene as an internal standard. Analytically pure 7ca was isolated by repeated preparative TLCs. The structure was determined by the HSQC and HMBC analyses. Pale yellow oil, 9.7 mg, 0.214 mmol, 11% isolated yield; 1H NMR (CDCl3, 400 MHz) δ 8.08 (d, J = 8.0 Hz, 1H, Hh), 7.48 (td, J = 7.5, 1.3 Hz, 1H, Hg), 7.31 (td, J = 7.7, 1.3 Hz, 1H, Hf), 7.28–7.22 (m, 1H, He), 6.79 (d, J = 9.4 Hz, 1H, Hd), 5.05 (d, J = 9.4 Hz, 1H, Hc), 4.31 (q, J = 7.1 Hz, 2H, CO2CH2CH3 on C2), 4.04 (q, J = 7.1 Hz, 2H, CO2CH2CH3 on C4), 2.50 (s, 3H, CH3 on C3), 2.10 (s, 3H, CH3 on C1), 2.01 (s, 3H, NCOCH3), 1.36 (t, J = 7.1 Hz, 3H, CO2CH2CH3 on C2), 0.89 (t, J = 7.1 Hz, 3H, CO2CH2CH3 on C4); 13C NMR (CDCl3, 100 MHz) δ 180.6 (NCOMe), 164.1 (Ca), 164.0 (CO2Et), 163.0 (CO2Et), 158.7, 154.0 (Ce), 136.0 (Cj), 135.1, 132.6 (Ch), 132.2, 129.9, 129.0 (Cc), 127.9 (Cg), 127.8 (Cf), 127.5 (Cd), 127.1 (Ci), 67.7 (Cb), 60.8 (CO2CH2CH3 on C2), 60.1 (CO2CH2CH3 on C4), 24.5 (NCOCH3), 15.1 (CH3 on C3), 14.2 (CO2CH2CH3 on C2), 13.9 (CH3 on C1), 13.5 (CO2CH2CH3 on C4); HRMS (ESI) calcd for C24H25NO5Na [M + Na]+ 430.1625, found 430.1623.
The 1H and 13C-NMR spectra of 5ca–5ce, 6ca–6ce, 6ca′–6cf′ and 7ca, and crystal data and data collection parameters of 5ce are available in Supplementary Materials.
4. Conclusions
In summary, we have established that an electron-deficient cationic CpE-rhodium(III) complex catalyzes the non-oxidative [2+2+2] annulation of N-(1-naphthyl)acetamide with two alkynoates via cleavage of the adjacent C–H and C–N bonds to give densely substituted phenanthrenes under mild conditions (at 40 °C under air). Importantly, a dearomatized spiro compound was isolated in this reaction, which may support the formation of a spiro rhodacycle intermediate in the catalytic cycle. The use of N-(1-naphthyl)acetamide in place of acetanilide switched the reaction pathway from the oxidative tandem [2+2+2] annulation-lactamization involving cleavage of adjacent two C–H bonds to the non-oxidative [2+2+2] annulation involving cleavage of the adjacent C–H and C–N bonds. This chemoselectivity switch may arise from stabilization of the carbocation in the above cationic spiro rhodacycle by the neighboring phenyl and acetylamino groups, resulting in nucleophilic attack of the dienylrhodium moiety to this carbocation followed by β-nitrogen elimination.
Supplementary Materials
The following are available online: 1H and 13C NMR spectra of 5ca–5ce, 6ca–6ce, 6ca′–6cf′ and 7ca and crystal data and data collection parameters of 5ce.
Author Contributions
Conceptualization, Y.S. and K.T.; Experiments and analyses, J.T. and M.F.; Writing-Original Draft Preparation, Y.S. and K.T.; Writing-Review & Editing, K.T.; Visualization, J.T. and Y.S.; Supervision, K.T.; Project Administration, K.T.; Funding Acquisition, Y.S. and K.T.
Funding
This work was supported partly by Grants-in-Aid for Scientific Research (No. JP26102004), for Research Activity Start-up (No. 15H06201) and for Young Scientists (No. 17K14481) from Japan Society for the Promotion of Science (JSPS), Japan. We also thank Umicore for generous support in supplying the rhodium and palladium complexes.
Acknowledgments
We are grateful to Umicore for generous support in supplying the rhodium complex.
Conflicts of Interest
The authors declare no conflict of interest.
References
- Pia–Quintana, A.; Roglans, A. Chiral Induction in [2+2+2] Cycloaddition Reactions. Asian J. Org. Chem. 2018, 7, 1706–1718. [Google Scholar] [CrossRef]
- Beeck, S.; Wegner, H.A. Thieme Chemistry Journals Awardees—Where Are They Now? Aromaticity as a Source for Strain Energy? Synthesis of Curved Polycyclic Aromatic Structures via [2+2+2] Cycloaddition Reactions. Synlett 2017, 28, 1018–1027. [Google Scholar] [CrossRef]
- Domínguez, G.; Pérez–Castells, J. Alkens in [2+2+2] Cycloadditions. Chem. Eur. J. 2016, 22, 6720–6739. [Google Scholar] [CrossRef]
- Amatore, M.; Aubert, C. Recent Advances in Stereoselective [2+2+2] Cycloadditions. Eur. J. Org. Chem. 2015, 2015, 265–286. [Google Scholar] [CrossRef]
- Satoh, Y.; Obora, Y. Niobium Complexes in Organic Transformations: From Stoichiometric Reactions to Catalytic [2+2+2] Cycloaddition Reactions. Eur. J. Org. Chem. 2015, 2015, 5041–5054. [Google Scholar] [CrossRef]
- Tanaka, K. (Ed.) Transition-Metal-Mediated Aromatic Ring Construction; John Wiley & Sons: Hoboken, NJ, USA, 2013; Part 1; ISBN 978-1-118-14892-1. [Google Scholar]
- Broere, D.L.J.; Ruijter, E. Recent Advances in Transition-Metal-Catalyzed [2+2+2]-Cyclo(co)trimerization Reactions. Synthesis 2012, 44, 2639–2672. [Google Scholar] [CrossRef]
- Dominguez, G.; Pérez-Castells, J. Recent advances in [2+2+2] cycloaddition reactions. Chem. Soc. Rev. 2011, 40, 3430–3444. [Google Scholar] [CrossRef]
- Weding, N.; Hapke, M. Preparation and synthetic applications of alkene complexes of group 9 transition metals in [2+2+2] cycloaddition reactions. Chem. Soc. Rev. 2011, 40, 4525–4538. [Google Scholar] [CrossRef]
- Kotha, S.; Lahiri, K.; Sreevani, G. Design and Synthesis of Aromatics through [2+2+2] Cyclotrimerization. Synlett 2018, 29, 2342–2361. [Google Scholar] [CrossRef]
- Tanaka, K.; Kimura, Y.; Murayama, K. Enantioselective Helicene Synthesis by Rhodium-Catalyzed [2+2+2] Cycloadditions. Bull. Chem. Soc. Jpn. 2015, 88, 375–385. [Google Scholar] [CrossRef]
- Shibata, Y.; Tanaka, K. Rhodium-Catalyzed [2+2+2] Cycloaddition of Alkynes for the Synthesis of Substituted Benzenes: Catalysts, Reaction Scope, and Synthetic Applications. Synthesis 2012, 3, 323–350. [Google Scholar] [CrossRef]
- Li, S.; Zhou, L.; Kanno, K.; Takahashi, T. Recent development for enantioselective synthesis of aromatic compounds from alkynes via metallacyclopentadienes. J. Heterocycl. Chem. 2011, 48, 517–528. [Google Scholar] [CrossRef]
- Galan, B.R.; Rovis, T. Beyond Reppe: Building Substituted Arenes by [2+2+2] Cycloadditions of Alkynes. Angew. Chem. Int. Ed. 2009, 48, 2830–2834. [Google Scholar] [CrossRef]
- Hsieh, J.; Cheng, C. O-Dihaloarenes as aryne precursors for nickel-catalyzed [2+2+2] cycloaddition with alkynes and nitriles. Chem. Commun. 2008, 0, 2992–2994. [Google Scholar] [CrossRef]
- Hsieh, J.; Cheng, C. Nickel-catalyzed cocyclotrimerization of arynes with diynes; a novel method for synthesis of naphthalene derivatives. Chem. Commun. 2005, 0, 2459–2461. [Google Scholar] [CrossRef]
- Yoshikawa, E.; Radhakrishnan, K.V.; Yamamoto, Y. Palladium-Catalyzed Controlled Carbopalladation of Benzyne. J. Am. Chem. Soc. 2000, 122, 7280–7286. [Google Scholar] [CrossRef]
- Zhang, X.; Yu, X.; Feng, X.; Yamamoto, Y.; Almansour, A.I.; Arumugam, N.; Kumar, R.S.; Bao, M. Rhodium-Catalyzed Oxidative Benzannulation of N-Pivaloylanilines with Internal Alkynes through Dual C–H Bond Activation: Synthesis of Highly Substituted Naphthalenes. Chem. Asian J. 2016, 11, 3241–3250. [Google Scholar] [CrossRef]
- He, Z.; Huang, Y. Diverting C–H Annulation Pathways: Nickel-Catalyzed Dehydrogenative Homologation of Aromatic Amides. ACS Catal. 2016, 6, 7814–7823. [Google Scholar] [CrossRef]
- Pham, M.V.; Cramer, N. Aromatic Homologation by Non-Chelate-Assisted RhIII-Catalyzed C–H Functionalization of Arenes with Alkynes. Angew. Chem. Int. Ed. 2014, 53, 3484–3487. [Google Scholar] [CrossRef]
- Gao, M.; Lam, J.W.Y.; Liu, Y.; Li, J.; Tang, B.Z. A new route to functional polymers: Atom-economical synthesis of poly(pyrazolylnaphthalene)s by rhodium-catalyzed oxidative polycoupling of phenylpyrazole and internal diynes. Polym. Chem. 2013, 4, 2841–2849. [Google Scholar] [CrossRef]
- Song, G.; Gong, X.; Li, X. Synthesis of Quinolines via Rh(III)-Catalyzed Oxidative Annulation of Pyridines. J. Org. Chem. 2011, 76, 7583–7589. [Google Scholar] [CrossRef]
- Fukui, M.; Shibata, Y.; Hoshino, Y.; Sugiyama, H.; Teraoka, K.; Uekusa, H.; Noguchi, K.; Tanaka, K. Rhodium(III)-Catalyzed Tandem [2+2+2] Annulation–Lactamization of Anilides with Two Alkynoates via Cleavage of Two Adjacent C–H or C–H/C–O bonds. Chem. Asian J. 2016, 11, 2260–2264. [Google Scholar] [CrossRef]
- Honjo, Y.; Shibata, Y.; Kudo, E.; Namba, T.; Masutomi, K.; Tanaka, K. Room Temperature Decarboxylative and Oxidative [2+2+2] Annulation of Benzoic Acids with Alkynes Catalyzed by an Electron-Deficient Rhodium(III) Complex. Chem. Eur. J. 2018, 24, 317–321. [Google Scholar] [CrossRef]
- Loginov, D.A.; Muratov, D.V.; Nelyubina, Y.V.; Laskova, J.; Kudinov, A.R. μ-Borole triple-decker complexes as catalysts for oxidative coupling of benzoic acid with alkynes. Structure of a hybrid rhodacyclopentadienyl/borole triple-decker complex. J. Mol. Catal. 2017, 426, 393–397. [Google Scholar] [CrossRef]
- Loginov, D.A.; Belova, A.O.; Kudinov, M.R. Rhodacarboranes as catalysts for oxidative coupling of benzoic acid with diphenylacetylene. Russ. Chem. Bull. 2014, 63, 983–986. [Google Scholar] [CrossRef]
- Ueura, K.; Satoh, T.; Miura, M. Rhodium- and Iridium-Catalyzed Oxidative Coupling of Benzoic Acids with Alkynes via Regioselective C–H Bond Cleavage. J. Org. Chem. 2007, 72, 5362–5367. [Google Scholar] [CrossRef]
- Geng, K.; Fan, Z.; Zhang, A. Available Rhodium-catalyzed oxidative coupling of N-acyl anilines with alkynes using an acylamino moiety as the traceless directing group. Org. Chem. Front. 2016, 3, 349–353. [Google Scholar] [CrossRef]
- Saxena, P.; Thirupathi, N.; Nethaji, M. Depalladation of Neutral Monoalkyne- and Dialkyne-Inserted Palladacycles and Alkyne Insertion/Depalladation Reactions of Cationic Palladacycles Derived from N,N′,N″-Triarylguanidines as Facile Routes for Guanidine-Containing Heterocycles/Carbocycles: Synthetic, Structural, and Mechanistic Aspects. Organometallics 2014, 33, 5554–5565. [Google Scholar] [CrossRef]
- Aparna, P.S.; Prabha, B.; Prakash, P.; Jijy, E.; Varma, R.L.; Radhakrishnan, K.V. Ruthenium catalyzed desymmetrization of diazabicyclic olefins to access heteroaryl substituted cyclopentenes through C–H activation of phenylazoles. Tetrahedron Lett. 2014, 55, 865–868. [Google Scholar] [CrossRef]
- Qi, Z.; Li, X. Rhodium(III)-Catalyzed Coupling of Arenes with 7-Oxa/Azabenzonorbornadienes by C–H Activation. Angew. Chem. Int. Ed. 2013, 52, 8995–9000. [Google Scholar] [CrossRef]
- Ohtaka, J.; Sakamoto, T.; Kikugawa, Y. A one-pot procedure for trifluoroacetylation of arylamines using trifluoroacetic acid as a trifluoroacetylating reagent. Tetrahedron Lett. 2009, 50, 1681–1683. [Google Scholar] [CrossRef]
- Li, X.; Gong, X.; Zhao, M.; Song, G.; Deng, J.; Li, X. Rh(III)-Catalyzed Oxidative Olefination of N-(1-Naphthyl)sulfonamides Using Activated and Unactivated Alkenes. Org. Lett. 2011, 13, 5808–5811. [Google Scholar] [CrossRef] [PubMed]
- Mezaki, N.; Yagi, S.; Yoshigami, R.; Maeda, J.; Suzuki, T.; Ohsawa, S.; Tsukamoto, K.; Tanaka, T. Pd-Catalyzed Sulfinylzincation of Activated Alkynes with 1-Alkynyl Sulfoxides as a Sulfinyl Source. J. Org. Chem. 2003, 68, 5550–5558. [Google Scholar] [CrossRef] [PubMed]
- Dieter, R.N.; Lu, K. α-(N-Carbamoyl)alkylcuprate Chemistry in the Synthesis of Nitrogen Heterocycles. J. Org. Chem. 2002, 67, 847–855. [Google Scholar] [CrossRef] [PubMed]
- Patel, P.; Borah, G. Direct Access to Indoles by IrIII-Catalyzed C–H Functionalization of Acetanilides with Diazo Compounds. Eur. J. Org. Chem. 2017, 2271–2279. [Google Scholar] [CrossRef]
Sample Availability: Samples of the compounds not are available from the authors. |
© 2018 by the authors. Licensee MDPI, Basel, Switzerland. This article is an open access article distributed under the terms and conditions of the Creative Commons Attribution (CC BY) license (http://creativecommons.org/licenses/by/4.0/).







