Determination of Flavonoid and Proanthocyanidin Profile of Hungarian Sour Cherry
Abstract
1. Introduction
2. Results and Discussion
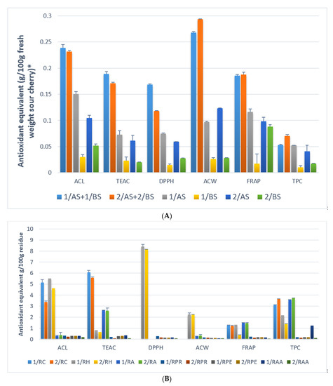
2.1. Extractable Antioxidant Compounds of Sour Cherry
2.2. Main Anthocyanin Compounds of Sour Cherry
2.3. Main Flavonoid and Phenolic Compounds of Sour Cherry
2.4. Total Procyanidin Content (PAC) of Sour Cherry and Sour Cherry Residues
2.5. Identification of Cinconain I
2.6. Extractable Antioxidant Capacity of Sour Cherry Extracts
2.7. Capacity of Non-Extractable Antioxidants of Sour Cherry Extracts
3. Experimental
3.1. Plant Material
3.2. Chemicals and Reagents
3.3. Extraction of Extractable Antioxidants
3.3.1. Extraction with the Mixture of Ethanol and Water (Solvent Combination 1)
3.3.2. Extraction of Extractable Antioxidants According to Saura-Calixtoa and Goñi [28] (Solvent Combination 2)
3.3.3. Preparation of Extracts from UHPLC
3.4. Acid Hydrolysis
3.4.1. Extraction of Hydrolysable Tannins
3.4.2. Extraction of Condensed Tannins
3.5. Alkaline Hydrolysis
3.6. Enzymatic Hydrolysis
3.6.1. Enzymatic Hydrolysis with Protease
3.6.2. Enzymatic Hydrolysis with Pectinase
3.6.3. Enzymatic Hydrolysis with α-amilase
3.7. Determination of Total Phenolic Content (TPC)
3.8. Determination of Total Procyanidin Content (PAC)
3.9. Determination of Antioxidant Capacity
3.9.1. FRAP
3.9.2. DPPH
3.9.3. TEAC
3.9.4. Photochemiluminescence Assay (PLC)
A. ACL
B. ACW
3.10. UHPLC Analysis
3.11. UHPLC-MS Analysis
3.12. Statistical Analysis
4. Conclusions
Supplementary Materials
Author Contributions
Funding
Acknowledgments
Conflicts of Interest
Dedication
References
- Olden, E.J.; Nybom, N. On the origin of the Prunus cerasus L. Hereditas 1968, 59, 327–345. [Google Scholar] [CrossRef]
- Wang, H.; Nair, M.G.; Iezzoni, A.F.; Strasburg, G.M.; Booren, A.M.; Gray, J.I. Quantification and Characterization of Anthocyanins in Balaton Tart Cherries. J. Agric. Food Chem. 1997, 45, 2556–2560. [Google Scholar] [CrossRef]
- Myhrstad, M.C.; Carlsen, H.; Nordstrom, O.; Blomhoff, R.; Moskaug, J.O. Flavonoids increase the cellular glutathione level by transactivation of the g-glutamylcysteine synthetase catalytical subunit promoter. Free Radic. Biol. Med. 2002, 32, 386–393. [Google Scholar] [CrossRef]
- Moskaug, J.O.; Carlsen, H.; Myhrstad, M.C.W.; Blomhoff, R. Polyphenols and glutathione synthesis regulation. Am. J. Clin. Nutr. 2005, 81, 277–283. [Google Scholar] [CrossRef] [PubMed]
- Gutierrez, R.M. Effect of the hexane extract of Piper auritum on insulin release from beta-cell and oxidative stress in streptozotocin-induced diabetic rat. Pharmacogn. Mag. 2012, 8, 308–313. [Google Scholar] [CrossRef] [PubMed]
- Mane, C.; Loonis, M.; Juhel, C.; Dufour, C.; Malien-Aubert, C. Food grade lingonberry extract: Polyphenolic composition and in vivo protective effect against oxidative stress. J. Agric. Food Chem. 2011, 59, 3330–3339. [Google Scholar] [CrossRef] [PubMed]
- Martin, M.A.; Fernández-Millán, E.; Ramos, S.; Bravo, L.; Goya, L. Cocoa flavonoid epicatechin protects pancreatic beta cell viability and function against oxidative stress. Mol. Nutr. Food Res. 2014, 58, 447–456. [Google Scholar] [CrossRef]
- Youdim, K.A.; Martin, A.; Joseph, J.A. Incorporation of the elderberry anthocya- nins by EC increases protection against oxidative stress. Free Radic. Biol. Med. 2000, 29, 51–60. [Google Scholar] [CrossRef]
- Ciz, M.; Denev, P.; Kratchanova, M.; Vasicek, O.; Ambrozova, G.; Lojek, A. Flavonoids Inhibit the Respiratory Burst of Neutrophils in Mammals. Oxid. Med. Cell. Longev. 2012, 2012, 181295. [Google Scholar] [CrossRef]
- Cassidy, A.; O’Reilly, E.J.; Kay, C.; Sampson, L.; Franz, M.; Forman, J.P.; Curhan, G.; Rimm, E.B. Habitual intake of flavonoid subclasses and incident hypertension in adults. Am. J. Clin. Nutr. 2011, 93, 338–347. [Google Scholar] [CrossRef]
- Xu, J.W.; Ikeda, K.; Yamori, Y. Cyanidin-3-glucoside regulates phosphorylation of endothelial nitric oxide synthase. FEBS Lett. 2004, 574, 176–180. [Google Scholar] [CrossRef] [PubMed]
- Watson, R.R.; Preedy, V.R.; Zibadi, S. Polyphenols in Human Health and Disease, 1st ed.; Academic Press: Oxford, UK, 2014; pp. 86–90. ISBN 978-0-12-398456-2. [Google Scholar] [CrossRef]
- Guo, H.; Ling, W.; Wang, Q.; Liu, C.; Hu, Y.; Xia, M. Cyanidin 3-glucoside protects 3T3-L1 adipocytes against H2O2- or TNF-α-induced insulin resistance by inhibiting c-Jun NH2-terminal kinase activation. Biochem. Pharmacol. 2008, 75, 1393–1401. [Google Scholar] [CrossRef] [PubMed]
- Tang, Y.; Zhang, B.; Li, X.; Chen, P.X.; Zhang, H.; Liu, R.; Tsao, R. Bound Phenolics of Quinoa Seeds Released by Acid, Alkaline, and Enzymatic Treatments and Their Antioxidant and α-Glucosidase and Pancreatic Lipase Inhibitory Effects. J. Agric. Food Chem. 2016, 64, 1712–1719. [Google Scholar] [CrossRef] [PubMed]
- Shahidi, F.; Yeo, J.D. Insoluble-Bound Phenolics in Food. Molecules 2016, 21, 1216. [Google Scholar] [CrossRef] [PubMed]
- Pérez-Jiménez, J.; Arranz, S.; Tabernero, M.; Díaz-Rubio, M.E.; Serrano, J.; Goñi, I.; Saura-Calixto, F. Updated methodology to determine antioxidant capacity in plant foods, oils and beverages: Extraction, measurement and expression of results. Food Res. Int. 2008, 41, 274–285. [Google Scholar] [CrossRef]
- Andreasen, M.F.; Kroon, P.A.; Williamson, G.; Garcia-Conesa, M.T. Esterase Activity Able to Hydrolyze Dietary Antioxidant Hydroxycinnamates Is Distributed along the Intestine of Mammals. J. Agric. Food Chem. 2001, 49, 5679–5684. [Google Scholar] [CrossRef] [PubMed]
- Pérez-Jiménez, J.; Díaz-Rubio, M.E.; Saura-Calixto, F. Non-extractable polyphenols, a major dietary antioxidant: Occurrence, metabolic fate and health effects. Nutr. Res. Rev. 2013, 26, 118–129. [Google Scholar] [CrossRef]
- Pérez-Jiménez, J.; Saura-Calixto, F. Macromolecular antioxidants or non-extractable polyphenols in fruit and vegetables: Intake in four European countries. Food Res. Int. 2015, 74, 315–323. [Google Scholar] [CrossRef]
- Kristl, J.; Slekovec, M.; Tojnko, S.; Unuk, T. Extractable antioxidants and non-extractable phenolics in the total antioxidant activity of selected plum cultivars (Prunus domestica L.): Evolution during on-tree ripening. Food Chem. 2011, 125, 29–34. [Google Scholar] [CrossRef]
- Gómez-García, R.; Martínez-Ávila, G.C.G.; Aguilar, C.N. Enzyme-assisted extraction of antioxidative phenolics from grape (Vitis vinifera L.) residues. 3 Biotech 2012, 2, 297–300. [Google Scholar] [CrossRef]
- Guo, L. Enzymatic hydrolysis of lotus rhizome starch using alpha-amylase and glucoamylase. J. Food Nutr. Res. 2017, 56, 372–380. [Google Scholar]
- Anokwuru, C.; Sigidi, M.; Boukandou, M.; Tshisikhawe, P.; Traore, A.; Potgieter, N. Antioxidant Activity and Spectroscopic Characteristics of Extractable and Non-Extractable Phenolics from Terminalia sericea Burch. ex DC. Molecules 2018, 23, 1303. [Google Scholar] [CrossRef] [PubMed]
- Wang, H.; Cao, G. Oxygen radicals absorbing capacity of anthocyanins. J. Agric. Food Chem. 1997, 45, 304–309. [Google Scholar] [CrossRef]
- Frankel, E.N.; Meyer, A.S. The problems of using one-dimensional methods to evaluate multifunctional food and biological antioxidants. J. Sci. Agric. 2000, 80, 1925–1941. [Google Scholar] [CrossRef]
- Brand-Williams, W.; Cuvelier, M.E.; Berset, C. Use of a free radical method to evaluate antioxidant activity. Food Sci. Technol. 1995, 28, 25–30. [Google Scholar] [CrossRef]
- Sanchez-Moreno, C.; Larrauri, J.A.; Saura-Calixto, F. A procedure to measure the antiradical efficiency of polyphenols. J. Sci. Food Agric. 1998, 76, 270–276. [Google Scholar] [CrossRef]
- Saura-Calixto, F.; Goñi, I. Antioxidant capacity of the Spanish Mediterranean diet. Food Chem. 2006, 94, 442–447. [Google Scholar] [CrossRef]
- Homoki, J.R.; Nemes, A.; Fazekas, E.; Gyémánt, G.; Balogh, P.; Gál, F.; Al-Asri, J.; Mortier, J.; Wolber, G.; Babinszky, L.; et al. Anthocyanin composition, antioxidant efficiency, and a-amylase inhibitor activity of different Hungarian sour cherry varieties (Prunus cerasus L.). Food Chem. 2016, 194, 222–229. [Google Scholar] [CrossRef] [PubMed]
- Chaovanalikit, A.; Wrolstad, R.E. Anthocyanin and polyphenolic composition of fresh and processed cherries. J. Food Sci. 2004, 69, 73–83. [Google Scholar] [CrossRef]
- Levaj, B.; Dragović-Uzelac, V.; Delonga, K.; Ganić, K.K.; Banović, M.; Kovačević, D.B. Polyphenols and volatiles in fruits of two sour cherry cultivars, some berry fruits and their jams. Food Technol. Biotechnol. 2010, 48, 538–547. [Google Scholar]
- Han, J.H.; Lee, H.J.; Cho, M.R.; Chang, N.; Kim, Y.; Oh, S.Y.; Kang, M.H. Total antioxidant capacity of the Korean diet. Nutr. Res. Pract. 2014, 8, 183–191. [Google Scholar] [CrossRef] [PubMed]
- Bonerz, D.; Würth, K.; Dietrich, H.; Will, F. Analytical characterization and the impact of ageing on anthocyanin composition and degradation in juices from five sour cherry cultivars. Eur. Food Res. Technol. 2007, 224, 355–364. [Google Scholar] [CrossRef]
- Wojdyło, A.; Nowicka, P.; Laskowski, P.; Oszmiański, J. Evaluation of sour cherry (Prunus cerasus L.) fruits for their polyphenol content, antioxidant properties, and nutritional components. J. Agric. Food Chem. 2014, 51, 12332–12345. [Google Scholar] [CrossRef] [PubMed]
- Jakobek, L.; Seruga, M.; Seruga, B.; Novak, I.; Medvicovic-Kosanovic, M. Phenolic compound composition and antioxidant activity of fruits of Rubus and Prunus species from Croatia. Int. J. Food Sci. Technol. 2009, 44, 860–868. [Google Scholar] [CrossRef]
- Toydemir, G.; Capanoglu, E.; Gomez-Roldan, M.V.; de Vos, R.C.H.; Boyacioglu, D.; Hall, R.D.; Beekwilder, M.J. Industrial processing effects on phenolic compounds in sour cherry (Prunus cerasus L.) fruit. Food Res. Int. 2013, 53, 218–225. [Google Scholar] [CrossRef]
- Arteel, G.E.; Sies, H. Protection against peroxinitrite by cocoa polyphenol oligomers. FEBS Lett. 1999, 462, 167–170. [Google Scholar] [CrossRef]
- Lunder, T.L. Catechins of green tea: Antioxidant activity. In Phenolic Compounds in Food and Their Effects on Health II, 1st ed.; Huang, M.T., Ho, C.T., Lee, C.Y., Eds.; American Chemical Society Inc.: Washington, DC, USA, 1992; Volume 507, pp. 114–120. ISBN 9780841224766. [Google Scholar]
- Pannala, A.S.; Chan, T.S.; O’Brien, P.J.; Rice-Evans, C.A. Flavonoid B-ring chemistry and antioxidant activity: Fast reaction kinetics. Biochem. Biophys. Res. Commun. 2001, 282, 1161–1168. [Google Scholar] [CrossRef]
- Rice-Evans, C.A.; Packer, L. Flavonoids in Health and Disease; Dekker: New York, NY, USA, 1997. [Google Scholar]
- Gonzales-Manzano, S.; Santos-Buelga, C.; Perez-Alonso, J.J.; Rivas-Gonzalo, J.C.; Escribano-Bailon, M.T. Characterization of the mean degree of polymerization of proanthocyanidins in red wines using Liquid Chromatography-Mass Spectrometry (LC-MS). J. Agric. Food Chem. 2006, 54, 4326–4332. [Google Scholar] [CrossRef]
- Hagerman, A.E.; Riedl, K.M.; Jones, G.A.; Sovik, K.N.; Ritchard, N.T.; Hartzfeld, P.W.; Riechel, T.L. High molecular weight plant polyphenolics (tannins) as biological antioxidants. J. Agric. Food Chem. 1998, 46, 1887–1892. [Google Scholar] [CrossRef]
- Shi, J.; Yu, J.; Pohorly, J.E.; Kakuda, Y. Polyphenolics in grape seeds-biochemistry and functionality. J. Med. Food 2003, 6, 291–299. [Google Scholar] [CrossRef]
- Khanal, R.C.; Howard, L.R.; Prior, R.L. Procyanidin content of grape seed and pomace, and total anthocyanin content of grape pomace as affected by extrusion processing. J. Food Sci. 2009, 74, 174–182. [Google Scholar] [CrossRef] [PubMed]
- Manach, C.; Williamson, G.; Morand, C.; Scalbert, A.; Remesy, C. Bioavailability and bioefficacy of polyphenols in humans. I. Review of 97 bioavailability studies. Am. J. Clin. Nutr. 2005, 81, 230–242. [Google Scholar] [CrossRef] [PubMed]
- Capanoglu, E.; Boyacioglu, D.; de Vos, R.C.H.; Hall, R.D.; Beekwilder, J. Procyanidins in fruit from Sour cherry (Prunus cerasus) differ strongly in chainlength from those in Laurel cherry (Prunus lauracerasus) and Cornelian cherry (Cornus mas). J. Berry Res. 2011, 1, 137–146. [Google Scholar] [CrossRef]
- Boligon, A.A.; Machado, M.M.; Athayde, M.L. Technical evaluation of antioxidant activity. Med. Chem. 2014, 4, 517–522. [Google Scholar] [CrossRef]
- Prior, R.L.; Cao, G. Analysis of botanicals and dietary supplements for antioxidant capacity: A review. J. AOAC Int. 2000, 83, 950–955. [Google Scholar] [PubMed]
- Huang, D.; Ou, B.; Prior, R.L. The chemistry behind antioxidants capacity assays. J. Agric. Food Chem. 2005, 53, 1841–1856. [Google Scholar] [CrossRef] [PubMed]
- Litwinienko, G.; Ingold, K.U. Abnormal solvent effects on hydrogen atom abstractions. 1. The reactions of phenols with 2,2-diphenyl-1-picrylhydrazyl (dpph•) in alcohols. J. Org. Chem. 2003, 68, 3433–3438. [Google Scholar] [CrossRef] [PubMed]
- Popov, I.N.; Lewin, G. Photochemiluminescent detection of antiradical activity. 2. Testing nonenzymic water-soluble antioxidants. Free Radic. Biol. Med. 1994, 17, 267–271. [Google Scholar] [CrossRef]
- Popov, I.N.; Lewin, G. Photochemiluminescent detection of antiradical activity; IV: Testing of lipid-soluble antioxidants. J. Biochem. Biophys. Methods 1996, 31, 1–8. [Google Scholar] [CrossRef]
- Kim, D.; Heo, H.J.; Yang, H.S.; Lee, C.Y. Sweet and sour cherry phenolics and their protective effects on neuronal cells. J. Agric. Food Chem. 2005, 53, 9921–9927. [Google Scholar] [CrossRef]
- Hartzfeld, P.W.; Forkner, R.; Hunter, D.M.; Hagerman, A.E. Determination of hydrolysable tannins (gallotannins and ellagitannins) after reaction with potassium iodate. J. Agric. Food Chem. 2002, 50, 1785–1790. [Google Scholar] [CrossRef] [PubMed]
- Porter, L.; Hrstich, L.; Chan, B. The conversion of procyanidins and prodelphinidins to cyaniding and delphinidin. Phytochemistry 1985, 25, 223–230. [Google Scholar] [CrossRef]
- Reed, J.; McDowell, R.E.; Van Soest, P.J.; Horvarth, P.J. Condensed tannins: A factor limiting the use of cassava forage. J. Sci. Food Agric. 1982, 33, 213–220. [Google Scholar] [CrossRef]
- Singleton, V.L.; Orthofer, R.; Lamuela-Raventós, R.M. Analysis of total phenols and other oxidation substrates and antioxidants by means of folin-ciocalteu reagent. Methods Enzymol. 1999, 299, 152–178. [Google Scholar] [CrossRef]
- Prior, R.L.; Fan, E.; Ji, H.; Howell, A.; Nio, C.; Payne, M.J.; Reed, J. Multi-laboratory validation of a standard method for quantifying proanthocyanidins in cranberry powders. J. Sci. Food Agric. 2010, 90, 1473–1478. [Google Scholar] [CrossRef] [PubMed]
- Benzie, I.F.; Strain, J.J. The ferric reducing ability of plasma (FRAP) as a measure of “antioxidant power”: The FRAP assay. Anal. Biochem. 1996, 239, 70–76. [Google Scholar] [CrossRef] [PubMed]
- Blois, M.S. Antioxidant determinations by the use of a stable free radical. Nature 1958, 181, 1199–1200. [Google Scholar] [CrossRef]
- Miller, N.J.; Rice-Evans, C.A.; Davies, M.J.; Gopinathan, V.; Milner, A. A novel method for measuring antioxidant capacity and its application to monitoring the antioxidant status in premature neonates. Clin. Sci. 1993, 84, 407–412. [Google Scholar] [CrossRef]
- Montoro, P.; Tuberoso, C.I.; Piacente, S.; Perrone, A.; De Feo, V.; Cabras, P.; Pizza, C. Stability and antioxidant activity of polyphenols in extracts of Myrtus communis L. berries used for the preparation of myrtle liqueur. J. Pharm. Biomed. Anal. 2006, 41, 1614–1619. [Google Scholar] [CrossRef]
Sample Availability: Samples of the compounds are not available from the authors. |






| No | RT [min] | Compound | Chemical Formula | Exact Mass (m/z) | Δ ppm | Fragment Ions (relative abundance, %) | Reference 1 | ||
|---|---|---|---|---|---|---|---|---|---|
| Measured [M + H]+ | Measured [M − H]- | Calculated | |||||||
| 1 4 | 10.37 | Neochlorogenic acid | C16H18O9 | 355.10251 | 355.10291 | −1.13 | 163.0391 (100); 145.0286 (11); 135.0443 (13) | [31] | |
| 2 4 | 12.83 | Coumaroylquinic acid isomer 1 | C16H18O8 | 337.09293 | 337.09235 | 1.72 | 191.0553 (52); 163.0388 (100); 119.0487 (48) | [32] | |
| 3 4 | 12.84 | Procyanidin B isomer 1 | C30H26O12 | 577.13531 | 577.13460 | 1.23 | 407.0771 (58); 289.0721 (60); 125.0229 (100) | [31,33] | |
| 4 4 | 13.45 | Coumaroylquinic acid isomer 2 | C16H18O8 | 337.09317 | 337.09235 | 2.43 | 191.0555 (10); 163.0388 (100); 119.0487 (44) | [32] | |
| 5 3 | 13.92 | Procyanidin C isomer 1 | C45H38O18 | 865.19922 | 865.19799 | 1.42 | 407.0771 (23); 289.0729 (30); 125.0229 (100) | [34] | |
| 6 4 | 14.12 | Catechin 2 | C15H14O6 | 289.07196 | 289.07121 | 2.60 | 245.0819 (34); 151.0025 (63); 109.0280 (100) | [31,33] | |
| 7 3 | 14.77 | Procyanidin C isomer 2 | C45H38O18 | 865.19910 | 865.19799 | 1.28 | 407.0774 (25); 289.0722 (26); 125.0230 (100) | [34] | |
| 8 4 | 14.94 | Chlorogenic acid 2 | C16H18O9 | 355.10211 | 355.10291 | −2.25 | 163.0390 (100); 145.0286 (11); 135.0443 (12) | [31,33] | |
| 9 4 | 15.21 | Feruloylquinic acid isomer 1 | C17H20O9 | 367.10304 | 367.10291 | 0.35 | 193.0498 (100); 173.0445 (7); 134.0360 (65) | ||
| 10 4 | 15.77 | Procyanidin B isomer 2 | C30H26O12 | 577.13519 | 577.13460 | 1.02 | 407.0768 (62); 289.0719 (64); 125.0230 (100) | [31,33] | |
| 11 3 | 16.24 | Chryptochlorogenic acid | C16H18O9 | 355.10223 | 355.10291 | −1.92 | 163.0390 (100); 145.0285 (12); 135.0443 (12) | ||
| 12 4 | 16.32 | Coumaroylquinic acid isomer 3 | C16H18O8 | 337.09201 | 337.09235 | −1.01 | 191.0554 (16); 173.0444 (100); 163.0388 (19) | [32] | |
| 13 4 | 16.42 | Feruloylquinic acid isomer 2 | C17H20O9 | 367.10301 | 367.10291 | 0.27 | 193.0497 (100); 173.0444 (85); 134.0362 (62) | ||
| 14 3 | 17.23 | Cyanidin-3-O-sophoroside | C27H30O16 | 611.16071 | 611.16122 | −0.83 | 287.0552 (100); 213.0545 (4); 137.0226 (3) | [35] | |
| 15 3 | 17.41 | Procyanidin C isomer 3 | C45H38O18 | 865.19835 | 865.19799 | 0.42 | 407.0762 (23); 289.0714 (27); 125.0230 (100) | [34] | |
| 16 4 | 17.60 | Cyanidin-3-O-glucoside 2 | C21H20O11 | 449.10773 | 449.10839 | −1.47 | 287.0552 (100); 213.0548 (3); 137.0229 (5) | [35] | |
| 17 3 | 17.68 | Epicatechin 2 | C15H14O6 | 289.07175 | 289.07121 | 1.87 | 245.0818 (78); 151.0382 (31); 109.0281 (100) | [31,33] | |
| 18 4 | 17.81 | Cyanidin-3-O-(2G-glucosyl)-rutinoside | C33H40O20 | 757.21814 | 757.21912 | −1.29 | 611.1639 (4); 287.0552 (100); 213.0547 (2) | [35] | |
| 19 4 | 18.20 | Coumaroylquinic acid isomer 4 | C16H18O8 | 337.09311 | 337.09235 | 2.26 | 173.0444 (100); 163.0388 (23); 119.0487 (17) | [31,33] | |
| 20 3 | 18.47 | Cyanidin-3-O-rutinoside | C27H30O15 | 595.16626 | 595.16630 | −0.07 | 449.1094 (4); 287.0552 (100); 213.0551 (2) | [35] | |
| 21 4 | 18.54 | Cyanidin-3-O-(2G-xylosyl)-rutinoside | C32H38O19 | 727.20795 | 727.20855 | −0.83 | 581.1515 (3); 287.0553 (100); 213.0545 (2) | [35] | |
| 22 4 | 18.80 | Pelargonidin-3-O-(2G-glucosyl)rutinoside | C33H40O19 | 741.22491 | 741.22420 | 0.96 | 271.0602 (100) | [35] | |
| 23 3 | 19.41 | Cinchonain I isomer 1 | C24H20O9 | 451.10318 | 451.10291 | 0.60 | 341.0666 (100); 217.0137 (33) | ||
| 24 3 | 19.45 | Pelargonidin-3-O-rutinoside | C27H30O14 | 579.17096 | 579.17138 | −0.73 | 433.1135 (4); 271.0603 (100); | [35] | |
| 25 4 | 20.05 | Peonidin-3-O-rutinoside | C28H32O15 | 609.18152 | 609.18195 | −0.71 | 463.1237 (4); 301.0708 (100); 286.0474 (14) | [35] | |
| 26 4 | 20.35 | Cyanidin-O-pentoside | C20H18O10 | 419.09750 | 419.09783 | −0.79 | 287.0554 (100) | ||
| 27 3 | 20.36 | Quercetin-O-(hexosyl)rutinoside | C33H40O21 | 771.19940 | 771.19839 | 1.31 | 300.0276 (100); 271.0248 (40); 255.0298 (19) | ||
| 28 4 | 20.76 | Quercetin-O-(hexosyl)hexoside isomer 1 | C27H30O17 | 625.14056 | 625.14048 | 0.13 | 300.0276 (100); 271.0251 (37); 255.0305 (20) | ||
| 29 3 | 20.96 | Quercetin-di-O-hexoside | C27H30O17 | 625.14111 | 625.14048 | 1.01 | 463.0888 (48); 301.0356 (70); 300.0277 (100) | ||
| 30 4 | 21.01 | Procyanidin B isomer 3 | C30H26O12 | 577.13605 | 577.13460 | 2.51 | 407.0768 (31); 289.0724 (53); 125.0229 (100) | [31,33] | |
| 31 3 | 21.09 | Quercetin-O-rutinoside-O-glucoside | C33H40O21 | 771,19904 | 771.19839 | 0.84 | 609.1465 (89); 301.0355 (90); 300.0277 (100) | [34] | |
| 32 4 | 21.44 | Naringenin chalcone-O-hexoside | C21H22O10 | 433.11380 | 433.11348 | 0.74 | 271.0613 (100); 151.0024 (59); 119.0488 (22) | ||
| 33 3 | 21.81 | Cinchonain I isomer 2 | C24H20O9 | 451.10123 | 451.10291 | −3.72 | 341.0667 (100); 217.0135 (36) | ||
| 34 4 | 22.27 | Quercetin-O-(hexosyl)hexoside isomer 2 | C27H30O17 | 625.14001 | 625.14048 | −0.75 | 300.0277 (100); 271.0244 (33); 255.0288 (18) | ||
| 35 3 | 22.81 | Cinchonain I isomer 3 | C24H20O9 | 451.10248 | 451.10291 | −0.95 | 341.0667 (100); 217.0138 (39) | ||
| 36 4 | 22.88 | Di-O-caffeoylquinic acid | C25H24O12 | 515.11914 | 515.11896 | 0.35 | 353.0879 (60); 191.0553 (100); 179.0339 (62) | ||
| 37 4 | 22.99 | Prunin | C21H22O10 | 433.11389 | 433.11348 | 0.95 | 271.0612 (100); 151.0024 (41); 119.0487 (26) | [36] | |
| 38 4 | 23.55 | Isoquercitrin 2 | C21H20O12 | 463.08810 | 463.08765 | 0.97 | 301.0354 (43); 300.0276 (100); 271.0249 (37) | [31,33] | |
| 39 4 | 23.63 | Rutin 2 | C27H30O16 | 611.16071 | 611.16122 | −0.83 | 465.1029 (3); 303.0500 (100); 85.0289 (16) | [31,33] | |
| 40 3 | 23.74 | Dihydroxy(iso)flavone-C-glucoside | C21H20O9 | 417.11816 | 417.11856 | −0.96 | 399.1080 (33); 381.0978 (25); 297.0760 (100) | ||
| 41 3 | 25.34 | Astragalin | C21H20O11 | 447.09348 | 447.09274 | 1.66 | 285.0406 (66); 284.0328 (100); 255.0297 (86) | ||
| 42 4 | 25.47 | Nicotiflorin | C27H30O15 | 593.15094 | 593.15065 | 0.49 | 285.0406 (100); 284.0328 (73); 255.0298 (42) | ||
| 43 3 | 25.51 | Cinchonain I isomer 4 | C24H20O9 | 451.10400 | 451.10291 | 1.35 | 341.06747 (100); 217.01355 (48) | ||
| 44 4 | 25.83 | Narcissin | C28H32O16 | 623.16132 | 623.16122 | 0.16 | 315.0512 (100); 314.0435 (44); 299.0197 (40) | [31,33] | |
| 45 3 | 27.30 | Quercetin-3-O-(4-coumaroyl)glucoside | C30H26O14 | 609.12531 | 609.12444 | 1.43 | 463.0896 (41); 300.0279 (100); 271.0247 25) | [31,33] | |
| 46 4 | 27.89 | Naringenin 2 | C15H12O5 | 271.06122 | 271.06065 | 2.10 | 177.0182 (17); 151.0024 (100); 119.0488 (80) | [31,33] | |
© 2018 by the authors. Licensee MDPI, Basel, Switzerland. This article is an open access article distributed under the terms and conditions of the Creative Commons Attribution (CC BY) license (http://creativecommons.org/licenses/by/4.0/).
Share and Cite
Nemes, A.; Szőllősi, E.; Stündl, L.; Biró, A.; Homoki, J.R.; Szarvas, M.M.; Balogh, P.; Cziáky, Z.; Remenyik, J. Determination of Flavonoid and Proanthocyanidin Profile of Hungarian Sour Cherry. Molecules 2018, 23, 3278. https://doi.org/10.3390/molecules23123278
Nemes A, Szőllősi E, Stündl L, Biró A, Homoki JR, Szarvas MM, Balogh P, Cziáky Z, Remenyik J. Determination of Flavonoid and Proanthocyanidin Profile of Hungarian Sour Cherry. Molecules. 2018; 23(12):3278. https://doi.org/10.3390/molecules23123278
Chicago/Turabian StyleNemes, Andrea, Erzsébet Szőllősi, László Stündl, Attila Biró, Judit Rita Homoki, Mária Magdolna Szarvas, Péter Balogh, Zoltán Cziáky, and Judit Remenyik. 2018. "Determination of Flavonoid and Proanthocyanidin Profile of Hungarian Sour Cherry" Molecules 23, no. 12: 3278. https://doi.org/10.3390/molecules23123278
APA StyleNemes, A., Szőllősi, E., Stündl, L., Biró, A., Homoki, J. R., Szarvas, M. M., Balogh, P., Cziáky, Z., & Remenyik, J. (2018). Determination of Flavonoid and Proanthocyanidin Profile of Hungarian Sour Cherry. Molecules, 23(12), 3278. https://doi.org/10.3390/molecules23123278

