Comparative Reduction of Egg Yolk Cholesterol Using Anionic Chelating Agents
Abstract
1. Introduction
2. Materials and Methods
2.1. Materials
2.2. Cholesterol Reduction in Egg Yolk
2.2.1. Egg Yolk Granule Extraction (NaG)
2.2.2. Anionic Polysaccharide/Egg Yolk Complexes
2.2.3. Solvent Extraction
2.3. Quantification of Cholesterol Using Gas Chromatography
2.4. Particle Size Measurement
2.5. Zeta Potential (ζ)
2.6. Emulsifying Capacity
2.7. Microstructure Analysis
2.8. Color Analysis
2.9. Statistical Analysis
3. Results and Discussion
3.1. Cholesterol Removal in Egg Yolk
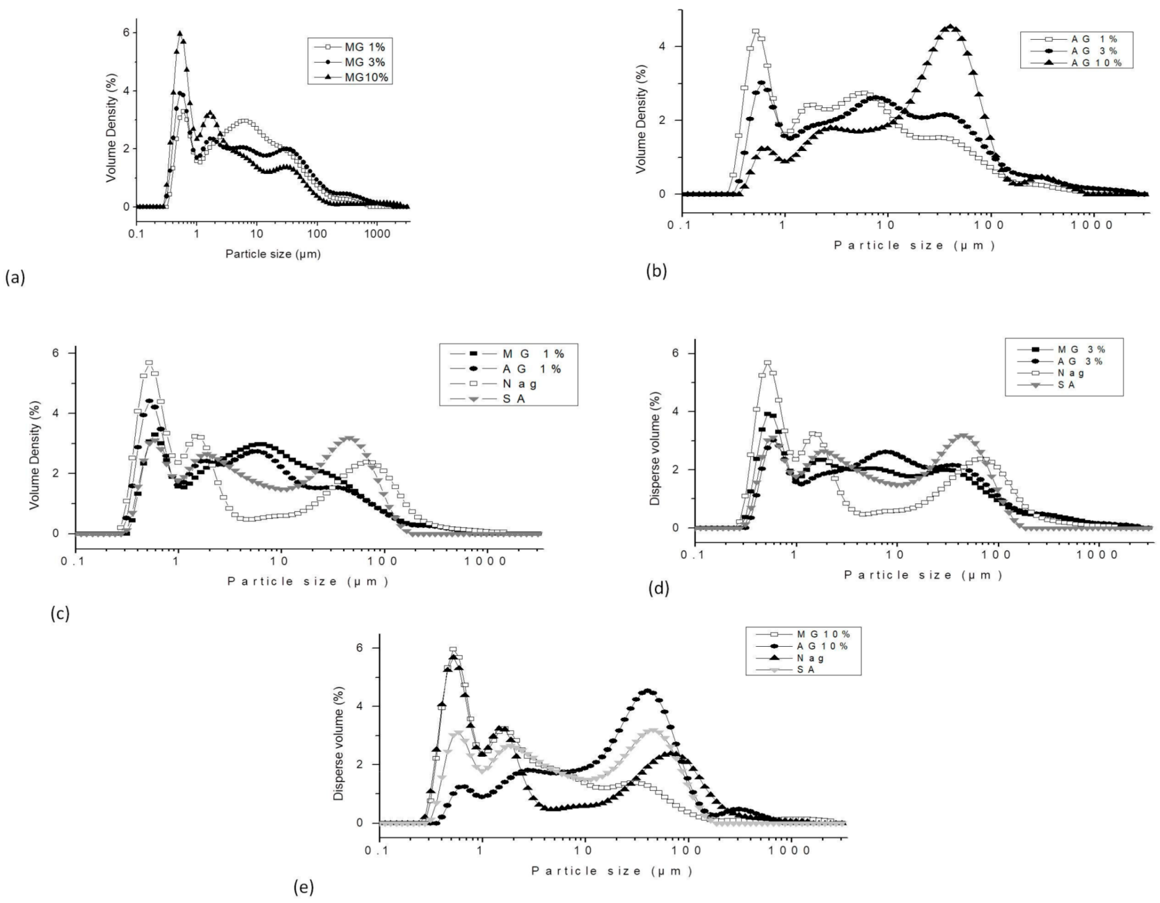
3.2. Particle Size Measurement
3.3. Zeta Potential (ζ)
3.4. Emulsifying Capacity
3.5. Microstructure Analysis
3.6. Color Analysis
4. Conclusions
Author Contributions
Funding
Conflicts of Interest
References
- Sarika, P.; Pavithran, A.; James, N.R. Cationized gelatin/gum arabic polyelectrolyte complex: Study of electrostatic interactions. Food Hydrocolloids 2015, 49, 176–182. [Google Scholar] [CrossRef]
- Islam, A.; Phillips, G.; Sljivo, A.; Snowden, M.; Williams, P. A review of recent developments on the regulatory, structural and functional aspects of gum arabic. Food Hydrocolloids 1997, 11, 493–505. [Google Scholar] [CrossRef]
- Miranda, J.M.; Anton, X.; Valbuena, C.R.; Saavedra, P.R.; Rodríguez, J.A.; Lamas, A.; Franco, C.M.; Cepeda, A. Egg and egg-derived foods: Effects on human health and use as functional foods. Nutrients 2015, 7, 706–729. [Google Scholar] [CrossRef]
- Marcet, I.; Collado, S.; Paredes, B.; Díaz, M. Rheological and textural properties in a bakery product as a function of the proportions of the egg yolk fractions: Discussion and modelling. Food Hydrocolloids 2015, 54, 119–129. [Google Scholar] [CrossRef]
- Sun, Y.; Yang, H.; Zhong, X.; Zhang, L.; Wang, W. Ultrasonic-assisted enzymatic degradation of cholesterol in egg yolk. Innovative Food Sci. Emerg. Technol. 2011, 12, 505–508. [Google Scholar] [CrossRef]
- Lordan, R.; Tsoupras, A.; Mitra, B.; Zabetakis, I. Dairy fats and cardiovascular disease: Do we really need to be concerned? Foods 2018, 7, 29. [Google Scholar] [CrossRef]
- Scicchitano, P.; Cameli, M.; Maiello, M.; Modesti, P.A.; Muiesan, M.L.; Novo, S.; Palmiero, P.; Saba, P.S.; Pedrinelli, R.; Ciccone, M.M. Nutraceuticals and dyslipidaemia: Beyond the common therapeutics. J. Funct. Foods 2014, 6, 11–32. [Google Scholar] [CrossRef]
- Quesada, H.; Díaz, S.; Pajuelo, D.; Fernández, A.; Garcia, S.; Pujadas, G.; Salvadó, M.J.; Arola, L.; Bladé, C. The lipid-lowering effect of dietary proanthocyanidins in rats involves both chylomicron-rich and VLDL-rich fractions. Br. J. Nutr. 2012, 108, 208–217. [Google Scholar] [CrossRef]
- Qin, Y.; Xia, M.; Ma, J.; Hao, Y.; Liu, J.; Mou, H.; Cao, L.; Ling, W. Anthocyanin supplementation improves serum LDL- and HDL-cholesterol concentrations associated with the inhibition of cholesteryl ester transfer protein in dyslipidemic subjects. Am. J. Clin. Nutr. 2009, 90, 485–492. [Google Scholar] [CrossRef]
- Trejo, J.L. Establecimiento de un cultivo de células en suspensión de Prosopis laevigata (Humb. & Bonpl. ex Willd.) M. C. Johnst. para la producción de goma de mezquite. Ph.D. Thesis; Universidad Autónoma Metropolitana, Unidad Iztapalapa: Cd. de México, México, December 2010. [Google Scholar]
- Warren, M.; Brown, H.; Davis, D. Solvent extraction of lipid components from egg yolk solids. J. Am. Oil Chem. Soc. 1988, 65, 1136–1139. [Google Scholar] [CrossRef]
- Borges, S.; Martucci, E.; Müller, C. Optimization of the extraction of cholesterol from dehydrated egg yolk using acetone. LWT-Food Sci. Technol. 1996, 29, 687–690. [Google Scholar] [CrossRef]
- Paraskevopoulou, A.; Kiosseoglou, V. Texture profile analysis of heat-formed gels and cakes prepared with low cholesterol egg yolk concentrates. J. Food Sci. 1997, 62, 208–211. [Google Scholar] [CrossRef]
- Laca, A.; Sáenz, M.; Paredes, B.; Díaz, M. Rheological properties, stability and sensory evaluation of low-cholesterol mayonnaises prepared using egg yolk granules as emulsifying agent. J. Food Eng. 2010, 97, 243–252. [Google Scholar] [CrossRef]
- Alonso, L.; Fox, P.; Calvo, M.V.; Fontecha, J. Effect of beta cyclodextrin on the reduction of cholesterol in ewe´s milk manchego cheese. Molecules 2018, 23, 1789. [Google Scholar] [CrossRef] [PubMed]
- Jeong, H.; Sun, H.; Chogsom, C.; Kwak, H. Cholesterol removal from whole egg by crosslinked β-cyclodextrin. Asian-Australasian J. Anim. Sci. 2014, 27, 537–542. [Google Scholar] [CrossRef] [PubMed]
- Chiu, S.H.; Chung, T.W.; Giridhar, R.; Wu, W.T. Immobilization of β-cyclodextrin in chitosan beads for separation of cholesterol from egg yolk. Food Res. Inter. 2004, 37, 217–223. [Google Scholar] [CrossRef]
- García, E.E.; Reis, J.S.; Minim, L.A.; Freitas, J. Cholesterol removal in liquid egg yolk using high methoxyl pectins. Carbohydr. Polym. 2007, 69, 72–78. [Google Scholar] [CrossRef]
- Hsieh, R.J.; Snyder, D.P.; Ford, E.W. Method for Removing Cholesterol and Fat from Egg Yolk by Chelation and Reduced-Cholesterol Egg Product. U.S. Patent 5,302,405, 12 April 1994. [Google Scholar]
- López, Y.L.; Goycoolea, F.M.; Valdez, M.A.; Calderón, A.M. Goma de mezquite: Una alternativa de uso industrial. Interciencia 2006, 3, 183–189. [Google Scholar]
- Pérez, J.; Barrios, E.; Róman, A.; Pedroza, R. Interacción goma de mezquite-quitosano en la interfase y su influencia en la estabilidad de emulsiones múltiples W1/O/W2. Revista Mexicana de Ingeniería Química 2011, 10, 487–499. [Google Scholar]
- Moreno, M.B.; Sánchez, M. Mesquite gum as a novel reducing and stabilizing agent for modified tollens synthesis of highly concentrated Ag nanoparticles. Materials 2016, 9, 817. [Google Scholar] [CrossRef]
- Vernon, E.J.; Sherman, P. Rheological properties and applications of mesquite tree (prosopis Juliflora) gum. 1. Rheologycal properties of aqueous mesquite gum solutions. J. Texture stud. 1980, 11, 339–349. [Google Scholar] [CrossRef]
- Liu, K.S. Preparation of fatty acid methyl esters for gas-chromatographic analysis of lipids in biological materials. J. Am. Oil Chem. Soc. 1994, 71, 1179–1187. [Google Scholar] [CrossRef]
- García, E.; Higuera, I.; Espinosa, H. Design of fish oil-in-water nanoemulsion by microfluidization. Innovative Food Sci. Emerg. Technol. 2017, 40, 87–91. [Google Scholar] [CrossRef]
- Navidghasemizad, S.; Temelli, F.; Wu, J. Phase separation behavior of egg yolk suspensions after anionic polysaccharides addition. Carbohydr. Polym. 2015, 117, 297–303. [Google Scholar] [CrossRef] [PubMed]
- McClements, D.J. Characterization of emulsion properties. In Food Emulsions: Principles, Practice, and Technique, 3rd ed.; CRC Press: Boca Raton, FL, USA, 2016; pp. 624–625. ISBN 978-1-4987-2669-6. [Google Scholar]
- Valverde, D.; Laca, A.; Estrada, L.N.; Paredes, B.; Rendueles, M.; Díaz, M. Egg yolk and egg yolk fractions as key ingredient for the development of a new type of gels. Int. J. Gastronomy Food Sci. 2016, 3, 30–37. [Google Scholar] [CrossRef]
- Santipanichwong, R.; Suphantharika, M. Carotenoids as colorants in reduced-fat mayonnaise containing spent brewer’s yeast β-glucan as a fat replacer. Food Hydrocolloids 2007, 21, 565–574. [Google Scholar] [CrossRef]
- Laca, A.; Paredes, B.; Rendueles, M.; Díaz, M. Egg yolk granules: Separation, characteristics and applications in food industry. LWT-Food Sci. Technol. 2014, 59, 1–5. [Google Scholar] [CrossRef]
- Strixner, T.; Kulozik, U. Continuous centrifugal fractionation of egg yolk granules and plasma constituents influenced by process conditions and product characteristics. J. Food Eng. 2013, 117, 89–98. [Google Scholar] [CrossRef]
- Martucci, E.; Borges, S. Extraction of cholesterol from dehydrated egg yolk with acetone: Determination of the practical phase equilibrium and simulation of the extraction process. J. Food Eng. 1997, 32, 365–373. [Google Scholar] [CrossRef]
- Puertas, G.; Vázquez, M. Advances in techniques for reducing cholesterol in egg yolk: A review. Crit. Rev. Food Sci. Nutr. 2018, 1–11. [Google Scholar] [CrossRef]
- Gils, P.S.; Ray, D.; Sahoo, P.K. Designing of silver nanoparticles in gum arabic based semi-IPN hydrogel. Int. J. Biol. Macromol. 2010, 46, 237–244. [Google Scholar] [CrossRef] [PubMed]
- Navidghasemizad, S.; Temelli, F.; Wu, J. Physicochemical properties of leftover egg yolk after livetins removal. LWT-Food Sci. Technol. 2014, 55, 170–175. [Google Scholar] [CrossRef]
- Beristain, C.I.; Azuara, E.; Garcia, H.S.; Vernon, E.J. Kinetic model for water/oil absorption of mesquite gum (Prosopis juliflora) and gum arabic (Acacia senegal). Int. J. Food Sci. Technol. 1996, 31, 379–386. [Google Scholar] [CrossRef]
- Zuidam, N.C.; Nedovic, V.A. Encapsulation Technologies for Active Food Ingredients and Food Processing; Springer: New York, NY, USA, 2010; pp. 31–100. ISBN 978-1-4419-1007-3. [Google Scholar]
- Strixner, T.; Sterr, J.; Kulozik, U.; Gebhardt, R. Structural study on hen-egg yolk high density lipoprotein (HDL) granules. Food Biophys. 2014, 9, 314–321. [Google Scholar] [CrossRef]
- Anton, M. Recent Advances Concerning the Functional Properties of Egg Yolk Low-Density Lipoproteins. In Proceedings of the EPC Proceedings of 12th European Poultry Conference, Verona, Italy, 10–14 September 2006. [Google Scholar]
- Turgeon, S.L.; Schmitt, C.; Sanchez, C. Protein–polysaccharide complexes and coacervates. Curr. Opin. Colloid Interface Sci. 2007, 12, 166–178. [Google Scholar] [CrossRef]
- De Kruif, C.; Tuinier, R. Polysaccharide protein interactions. Food Hydrocolloids 2001, 15, 555–563. [Google Scholar] [CrossRef]
- Samant, S.; Singhal, R.; Kulkarni, P.; Rege, D. Protein-polysaccharide interactions: A new approach in food formulations. Int. J. Food Sci. Technol. 1993, 28, 547–562. [Google Scholar] [CrossRef]
- Orozco, J.; Cruz, F.; Ponce, E.; Vernon, E. Mesquite gum: Fractionation and characterization of the gum exuded from Prosopis laevigata obtained from plant tissue culture and from wild trees. Carbohydr. Polym. 2003, 54, 327–333. [Google Scholar] [CrossRef]
- Beyer, J.D. The Development of a Cholesterol-Reduced Egg Yolk Using Solvent Extraction. Ph.D. Thesis, University of Wisconsin-Madison, Madison, WI, USA, 19 August 1991. [Google Scholar]
- Huopalahti, R.; Anton, M.; López-Fandiño, R.; Schade, R. Bioactive Egg Compounds; Springer: New York, NY, USA, 2007; pp. 5–6. ISBN 978-3-540-37883-9. [Google Scholar]
- Li-Chan, E.C.; Kim, H.O. Structure and Chemical Composition of Eggs. Egg Bioscience and Biotechnology; John Wiley and Sons Inc.: Vancuber, BC, Canada, 2007; pp. 1–96. ISBN 9780470181249. [Google Scholar]
Sample Availability: Not available. |



| Method | % Cholesterol Reduction (pH 7) | % Cholesterol Reduction (pH 3) | % Efficiency (pH 7) | % Efficiency (pH 3) | Emulsifying Capacity (% w/w) |
|---|---|---|---|---|---|
| NaG | 51.43 ± 1.86 e | − | 15.48 ± 1.31 d | − | 79.52 ± 2.01 b |
| AG1% | 93.26 ± 0.55 ab | 74.74 ± 1.10 ab | 29.72 ± 0.29 c | 3.72 ± 0.67 d | 63.57 ± 1.43 d |
| AG3% | 83.85 ± 3.80 c | 56.34 ± 0.57 b | 44.17 ± 3.35 ab | 4.38 ± 0.44 d | − |
| AG10% | 89.93±2.31 b | 86.33 ± 1.45 a | 37.37 ± 1.88 b | 16.42 ± 0.84 bc | − |
| MG1% | 97.24 ± 1.81 a | 87.75 ± 1.25 a | 13.50 ± 0.5 de | 12.14 ± 0.41 c | 62.95 ± 0.84 d |
| MG3% | 96.68±1.01 a | 92.55 ± 1.20 a | 14.85 ± 1.06 de | 19 ± 2.14 b | − |
| MG10% | 96.60 ± 2.04 a | 80.31 ± 2.30 a | 11.17 ± 0.72 e | 46.54 ± 3.38 a | − |
| SA | 64.15 ± 1.29 d | − | 44.51 ± 0.7 a | − | 72.33 ± 1.02 c |
| Egg yolk | - | − | − | − | 85.06 ± 0.051 a |
| Method | L* | a* | b* | ΔE |
|---|---|---|---|---|
| Egg yolk | 56.48 ± 0.01 a | 19.98 ± 0.01 e | 53.57 ± 0.05 d | − |
| AG1% | 79.76 ± 0.09 d | 4.7 ± 0.03 b | 35.29 ± 0.23 b | 33.32 ± 0.18 b |
| AG3% | 75.13 ± 3.94 bc | 6.73 ± 1.74 c | 41.29 ± 5.04 c | 26.03 ± 6.13 a |
| AG10% | 73.41 ± 0.01 b | 1.95 ± 0.00 a | 21.58 ± 0.05 a | 40.44 ± 0.08 c |
| MG1% | 75.12 ± 0.01 bc | 1.99 ± 0.01 a | 18.63 ± 0.01 a | 43.50 ± 0.05 c |
| MG3% | 81.92 ± 0.02 d | 1.43 ± 0.01 a | 19.28 ± 0.03 a | 46.56 ± 0.00 c |
| MG10% | 78.73 ± 0.04 cd | 4.64 ± 0.02 b | 33.21 ± 0.08 b | 33.84 ± 0.03 b |
| SA | 82.47 ± 0.01 d | 1.70 ± 0.01 a | 22.73 ± 0.02 a | 42.99 ± 2.20 c |
| NaG | 79.55 ± 0.01 d | 8.91 ± 0.01 d | 49.65 ± 0.01 d | 25.89 ± 0.01 a |
© 2018 by the authors. Licensee MDPI, Basel, Switzerland. This article is an open access article distributed under the terms and conditions of the Creative Commons Attribution (CC BY) license (http://creativecommons.org/licenses/by/4.0/).
Share and Cite
Bautista Villarreal, M.; Gallardo Rivera, C.T.; García Márquez, E.; Rodríguez Rodríguez, J.; Núñez González, M.A.; Chávez Montes, A.; Báez González, J.G. Comparative Reduction of Egg Yolk Cholesterol Using Anionic Chelating Agents. Molecules 2018, 23, 3204. https://doi.org/10.3390/molecules23123204
Bautista Villarreal M, Gallardo Rivera CT, García Márquez E, Rodríguez Rodríguez J, Núñez González MA, Chávez Montes A, Báez González JG. Comparative Reduction of Egg Yolk Cholesterol Using Anionic Chelating Agents. Molecules. 2018; 23(12):3204. https://doi.org/10.3390/molecules23123204
Chicago/Turabian StyleBautista Villarreal, Minerva, Claudia T. Gallardo Rivera, Eristeo García Márquez, José Rodríguez Rodríguez, María Adriana Núñez González, Abelardo Chávez Montes, and Juan G. Báez González. 2018. "Comparative Reduction of Egg Yolk Cholesterol Using Anionic Chelating Agents" Molecules 23, no. 12: 3204. https://doi.org/10.3390/molecules23123204
APA StyleBautista Villarreal, M., Gallardo Rivera, C. T., García Márquez, E., Rodríguez Rodríguez, J., Núñez González, M. A., Chávez Montes, A., & Báez González, J. G. (2018). Comparative Reduction of Egg Yolk Cholesterol Using Anionic Chelating Agents. Molecules, 23(12), 3204. https://doi.org/10.3390/molecules23123204

