Next Article in Journal
On the Mechanism of Action of Anti-Inflammatory Activity of Hypericin: An In Silico Study Pointing to the Relevance of Janus Kinases Inhibition
Next Article in Special Issue
Targeted Lignan Profiling and Anti-Inflammatory Properties of Schisandra rubriflora and Schisandra chinensis Extracts
Previous Article in Journal
Sodium Phenylbutyrate Ameliorates Inflammatory Response Induced by Staphylococcus aureus Lipoteichoic Acid via Suppressing TLR2/NF-κB/NLRP3 Pathways in MAC-T Cells
Previous Article in Special Issue
Concise Synthesis of (+)-β- and γ-Apopicropodophyllins, and Dehydrodesoxypodophyllotoxin
 
 
Font Type:
Arial Georgia Verdana
Font Size:
Aa Aa Aa
Line Spacing:
Column Width:
Background:
Article

Modular Synthesis and Biological Investigation of 5-Hydroxymethyl Dibenzyl Butyrolactones and Related Lignans

by
Samuel J. Davidson
1,
Lisa I. Pilkington
1,
Nina C. Dempsey-Hibbert
2,
Mohamed El-Mohtadi
2,
Shiying Tang
2,
Thomas Wainwright
2,
Kathryn A. Whitehead
2 and
David Barker
1,3,*
1
School of Chemical Sciences, University of Auckland, Aucklamd 1010, New Zealand
2
School of Healthcare Science, Manchester Metropolitan University, Manchester M1 5GD, UK
3
The MacDiarmid Institute for Advanced Materials and Nanotechnology, Wellington 6140, New Zealand
*
Author to whom correspondence should be addressed.
Molecules 2018, 23(12), 3057; https://doi.org/10.3390/molecules23123057
Submission received: 12 November 2018 / Revised: 20 November 2018 / Accepted: 21 November 2018 / Published: 22 November 2018
(This article belongs to the Special Issue Lignans)

Abstract

Dibenzyl butyrolactone lignans are well known for their excellent biological properties, particularly for their notable anti-proliferative activities. Herein we report a novel, efficient, convergent synthesis of dibenzyl butyrolactone lignans utilizing the acyl-Claisen rearrangement to stereoselectively prepare a key intermediate. The reported synthetic route enables the modification of these lignans to give rise to 5-hydroxymethyl derivatives of these lignans. The biological activities of these analogues were assessed, with derivatives showing an excellent cytotoxic profile which resulted in programmed cell death of Jurkat T-leukemia cells with less than 2% of the incubated cells entering a necrotic cell death pathway.

1. Introduction

Dibenzyl butyrolactone lignans 1 are a class of lignans which have been reported to exhibit a range of biological activities, including, but not limited to neuroprotective [1], anti-cancer [2,3], anti-inflammatory [2,4], and anti-aging effects (see Figure 1) [5]. Perhaps the most notable of these biological properties is their reported potent anti-proliferative activities; examples of this class include (−)-matairesinol 2 and (−)-arctigenin 3 which, along with their synthesized derivatives, have been shown to exhibit excellent activity against various cancer cell lines, including pancreatic, breast, endometrial, colorectal, lung, and bladder cancers [6,7,8,9,10,11,12].
Owing to their anti-cancer properties and their classification as drug-like compounds [13] extensive work has gone into the study of these compounds and their related analogues to explore and establish structure–activity relationships and the possible use of these lignans as lead compounds for therapeutics. Whilst previous work has explored the synthesis of these lignans and analogues thereof [14,15,16], mainly focusing on changing the substituents on the aryl rings [17], one area that has not been extensively investigated is the synthesis of C-5 substituted analogues of these butyrolactone lignans, represented by 4.
We have previously shown that the acyl-Claisen rearrangement can be used to prepare disubstituted morpholine pentenamides 5 with high diastereoselectivity at the C-3 and C-4 positions which correspond to the benzyl groups in the lactone scaffold (Figure 2) [18,19,20,21,22]. Furthermore, in our efforts to a prepare a number of different lignan scaffolds [18,19,20,21,22,23,24,25,26,27,28,29,30,31,32,33,34,35,36], we have used amides such as 5 to prepare compounds including tetrahydrofuran lignans (e.g., galbelgin 6), aryltetralins (e.g., ovafolinin 7) and aryl dihydronaphthalene lignans (e.g., (−)-pycananthuligene B 8).
We wished to explore the usage of this methodology to synthesise butyrolactone lignans, as well as probe the effect of adding a substituent at the C-5 position on the biological activity. The route would be convergent and modular, allowing for simple modification of aromatic groups resulting in the synthesis of a number of analogues.

2. Results and Discussion

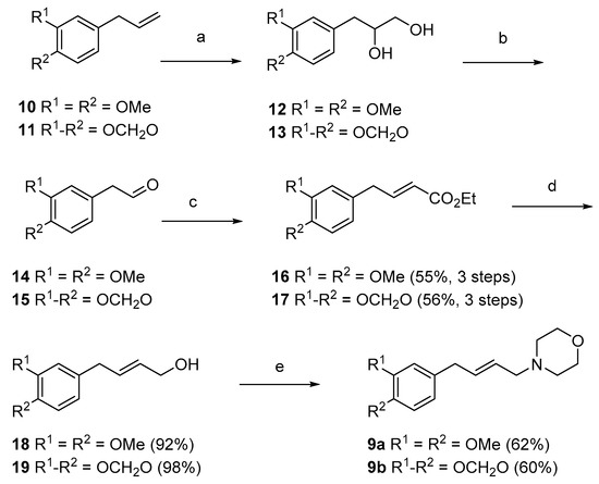
In order to utilise the acyl-Claisen rearrangement to prepare the desired lactones, the corresponding allylic morpholines and acid chlorides first needed to be synthesised. Allylic morpholines 9a and 9b were synthesised in five steps from 4-allyl-1,2-dimethoxybenzene 10 and safrole 11 (Scheme 1), respectively. Firstly, allylic benzenes 10 and 11 were dihydroxylated using catalytic osmium tetroxide giving 12 and 13, followed by periodate cleavage to give aldehydes 14 and 15. Aldehydes 14 and 15 were immediately used in a Wittig reaction with (carbethoxymethylene)-triphenylphosphorane to exclusively give the E-isomer of α,β-unsaturated esters 16 and 17, in 55% and 56% yields, respectively, over three steps. The esters 16 and 17 were then reduced to allylic alcohols 18 and 19 using di-iso-butyl aluminium hydride (DIBAL-H) in excellent yields. Alcohols 18 and 19 were then converted to the corresponding allylic morpholines 9a and 9b, by first generating a mesylate in situ, which then underwent substitution to give allylic morpholines 9a and 9b.
The required acid chlorides were then synthesised in four or five steps from commercially available benzaldehydes—piperonal 20, 3,4,5-trimethoxybenzaldehyde 21 and vanillin 22 (Scheme 2). Benzaldehydes 2022 first underwent a Wittig reaction with (carbethoxymethylene)triphenylphosphorane to give α,β-unsaturated esters 2325 which were then hydrogenated using Pd on Carbon (10% w/w), giving saturated esters 2628 in 88–94% yield over two steps. The phenol in 28 was protected as the benzyl ether, 29, in 83% yield. Esters 26, 27, and 29 were hydrolysed using NaOH in methanol/water to the corresponding carboxylic acids 30, 31, and 32, respectively, in 94–99% yields. Finally, chlorination of acids 3032, along with commercially available 3,4-dimethoxyphenyl propionic acid 33, using oxalyl chloride gave acid chlorides 34ad in quantitative yields.
Acyl-Claisen rearrangements were undertaken using two allylic morpholines 9a and 9b which were reacted individually with the four acid chlorides 34ad, using TiCl4·2THF as the Lewis acid, providing eight morpholine amides 35aabd in 42–95% yields. All amides 35aabd were obtained as single diastereomers with a syn-configuration between the C-2 and C-3 substituents (Scheme 3). All amides 35aabd then underwent dihydroxylation using osmium tetroxide and N-methylporpholine N-oxide (NMO) to give cyclized 5-hydroxymethyllactones 4aabd.
In all cases it was observed that only the 3,4-trans-4,5-trans-lactone was obtained. This configuration was confirmed through NOESY NMR analysis, depicted in Figure 3 with 4bb. We propose that only this isomer was obtained due to the preferential cyclisation of the 3,4-anti diol 36, leaving the polar uncyclised 3,4-syn diols 37 which were difficult to isolate. Upon dihydroxylation of amide 35bb at a larger scale and following isolation of lactone 4bb by column chromatography, a small sample of the corresponding uncyclised diol 37 was able to be isolated. This diol 37 was subsequently cyclised using 2 M H2SO4 in methanol to give the corresponding C-5 epimer, epi-4bb, confirming this hypothesis (Scheme 4).
Finally, to deprotect the benzyl-protected lactones 4ad and 4bd to their respective alcohols, they were subjected to hydrogenolysis to give 4ae and 4be in excellent yields. Transformation of C-5 hydroxymethyl analogues 4 into dibenzylbutryolactone lignans 1 was achieved via reduction using LiAlH4, to the corresponding triols 38aabd, followed by periodate cleavage, forming lactols 39aabd. These lactols 39aabd were then oxidised using Fetizon’s reagent [37,38] to give racemic samples of dibenzyl butyrolactone lignans 1aabd, including known natural products arcitin 1aa, bursehernin 1ab, (3R*,4R*)-3-(3″,4″-dimethoxybenzyl)-4-(3′,4′,5′-trimethoxybenzyl)dihydrofuran-2(3H)-one 1ac, kusunokinin 1ba, hinokinin 1bb, and isoyatein 1bc. Additionally, phenolic lignans, buplerol 1ae, and haplomyrfolin 1be were produced by the debenzylation of 1ad and 1bd, respectively.
Several of the synthesised compounds were then tested for their anti-microbial and cytotoxic activities. All tested compounds were found to be inactive against Staphlycoccus aureus and Escherichia. coli, showing no to little antimicrobial activity, while the compounds were shown to exhibit antiproliferative effects against Jurkat T-leukaemia cells, while also showing effects on cell cycle progression (Figure 4). While the synthesised naturally-occurring dibenzyl butyrolactones, arcitin 1aa, bursehernin 1ab, and (3R*,4R*)-3-(3″,4″-dimethoxybenzyl)-4-(3′,4′,5′-trimethoxybenzyl)dihydrofuran-2(3H)-one 1ac, boasted the best activities, 5-hydroxymethyl analogue 4bb had similar potency. Compound 4bb was shown to have the best activity of all of the 5-hydroxymethyl analogues tested, inducing apoptosis, evidenced by the presence of cells in the early and predominantly in the late apoptotic cell cycle (Figure 4). Additionally the compounds demonstrated an effect on cell cycle progression. A significantly greater number of 4N cells were present following treatment with compound 4bb in particular causing a significant increase in 4N cells (Figure 4D,E). During the cell cycle, DNA is replicated in the S-phase, going from 2N in G1, to 4N by the end of this phase. The DNA content in cells then remains at 4N during G2 and M phases, before cytokinesis at the M-phase. The observation that there was in increase in 4N cells indicates that it is likely these cells have arrested in G2/M and will not re-enter next G1-phase after this mitotic slippage. This is in-line with published cell cycle data following treatment with other lignans [39,40]. Furthermore, our compounds showed minimal levels of necrosis, less than 2% (except 4ba with 7%), suggesting that the cells are in fact entering programmed cell death cycles, which is considered the most effective and non-inflammatory mechanism of cancer-cell death.
In conclusion, the synthesis of dibenzyl butyrolactone lignans utilising the acyl-Claisen rearrangement has been accomplished and represent a new, modular, and convergent method towards the synthesis of this class of natural products. Furthermore, this route gives rise to the previously-unexplored 5-hydroxymethyl derivatives 4 of these natural products. The biological activities of this new set of derivatives were assessed, with one derivative in particular, 4bb, showing a superior cytotoxic profile and resulting in cell cycle arrest and programmed cell death of Jurkat T-leukaemia cells with less than 2% of the incubated cells entering a necrotic cell death pathway.

3. Experimental Section

3.1. General Methods

All reactions were carried out with oven-dried glassware and under a nitrogen atmosphere in dry, freshly distilled solvents unless otherwise noted. Diisopropylethylamine was distilled from CaH2 and stored over activated 4Å molecular sieves. All melting points for solid compounds, given in degrees Celsius (°C), were measured using a Reicher–Kofler block and are uncorrected. Infrared (IR) spectra were recorded using a Perkin Elmer Spectrum1000 FT-IR spectrometer. The NMR spectra were recorded on a 400 MHz spectrometer. Chemical shifts are reported relative to the solvent peak of chloroform (δ 7.26 for 1H and δ 77.16 ± 0.06 for 13C). The 1H-NMR data was reported as position (δ), relative integral, multiplicity (s, singlet; d, doublet; dd, doublet of doublets; ddd, doublet of doublet of doublets; dt, doublet of triplets; dq, doublet of quartets; t, triplet; td, triplet of doublets; q, quartet; m, multiplet), coupling constant (J, Hz), and the assignment of the atom. The 13C-NMR data were reported as position (δ) and assignment of the atom. The NMR assignments were performed using COSY, HSQC and HMBC experiments. High-resolution mass spectroscopy (HRMS) was carried out by electrospray ionization (ESI) on a MicroTOF-Q mass spectrometer. Fetizon’s reagent was prepared following a literature procedure [41]. Unless noted, chemical reagents were used as purchased.

3.2. Synthetic Methods

3.2.1. General Procedure A: Acyl-Claisen

To a stirred suspension of TiCl4·2THF (1 mmol) in CH2Cl2 (5 mL), under an atmosphere of nitrogen, was added a solution of allylic morpholine (1 mmol) in CH2Cl2 (2.5 mL) followed by dropwise addition of iPr2NEt (1.5 mmol). After stirring for 10 min a solution of acid chloride (1.2 mmol) in CH2Cl2 (2.5 mL) was added dropwise and the resultant mixture stirred for the specified time. The reaction mixture was quenched with aqueous NaOH (12 mL, 1 M) and the aqueous phase extracted with CH2Cl2 (3 × 10 mL). The combined organic extracts were washed with brine (6 mL), dried (MgSO4), the solvent removed in vacuo and the crude product purified by column chromatography.

3.2.2. General Procedure B: Dihydroxylation

To a stirred solution of morpholine pentenamide (1 mmol) in tBuOH/H2O (1:1, 20 mL) or tBuOH/H2O/THF (1:1:1, 30 mL) was added NMO (3 mmol). A solution of OsO4 (0.08 mmol, 2.5% w/v in tBuOH) was then added dropwise and the resultant mixture stirred for the specified time. The mixture was quenched with saturated aqueous Na2SO3 (30 mL) and stirred for a further 1 h. The aqueous phase was extracted with ethyl acetate (3 × 20 mL), the combined organic extracts washed with aqueous KOH (5 mL, 1 M), dried (MgSO4), the solvent removed in vacuo and the crude product purified by column chromatography.

3.2.3. General Procedure C: Lithium Aluminum Hydride Reduction

To a stirred suspension of LiAlH4 (1.4 mmol) in THF (10 mL), under an atmosphere of nitrogen at 0 °C, was added a solution of lactone (1 mmol) in THF (10 mL) and the mixture stirred for the specified time. After warming to room temperature, the mixture was quenched with the addition of water (30 mL) and the aqueous phase extracted with ethyl acetate (3 × 40 mL). The combined organic extracts were washed with brine (25 mL), dried (MgSO4), and the solvent removed in vacuo.

3.2.4. General Procedure D: Periodate Cleavage

To a stirred solution of triol (1 mmol) in MeOH/H2O (3:1, 50 mL) was added NaIO4 (1.2 mmol) and the resultant mixture stirred for the specified time. The reaction mixture was quenched with brine (40 mL) and extracted with ethyl acetate (3 × 80 mL). The organic layers were combined, washed with water (2 × 40 mL), dried (MgSO4), and solvent removed in vacuo to give the crude product which was purified by column chromatography if necessary.

3.2.5. General Procedure E: Fétizon’s Oxidation

To a stirred solution of lactol (1 mmol) in toluene (60 mL), under an atmosphere of nitrogen, was added Fétizon′s reagent (2 mmol) and heated at reflux for the specified time. The reaction mixture was allowed to cool and filtered, the solvent removed in vacuo and the crude product purified by column chromatography.

3.2.6. General Procedure F: Benzyl Deprotection

To a stirred solution of benzyl ether (1 mmol) in MeOH (30 mL) was added 10% palladium on carbon (20% w/w) and the resultant mixture stirred under and atmosphere of hydrogen for the specified time. The reaction mixture was filtered through celite, washed with methanol (3 × 20 mL), the solvent removed in vacuo and the crude product purified by column chromatography if necessary (The 1H and 13C-NMR spectra of compounds in the Supplemental Materials).
(E)-Ethyl 4-(3′,4′-dimethoxyphenyl)but-2-enoate (16). To a stirred solution of NMO (7.9 g, 67.3 mmol) in H2O/tBuOH (1:1, 80 mL) was added 4-allyl-1,2-dimethoxybenzene 10 (3.86 mL, 22.4 mmol). A solution of OsO4 (0.6 mL, 0.059 mmol, 2.5% w/v in tBuOH) was then added dropwise and the resulting mixture stirred at room temperature for 4 days. The mixture was then quenched with saturated aqueous Na2SO3 (100 mL) and stirred for 1 h. The mixture was extracted with ethyl acetate (3 × 50 mL), the organic layers combined, washed with aqueous KOH (1 M, 20 mL), and dried (MgSO4). Solvent was removed in vacuo to give 12 (4.8 g, quant.) as a white solid which was used without further purification. To a stirred solution of diol 12 (4.8 g, 22.8 mmol) in methanol/H2O (3:1, 100 mL) was added NaIO4 (5.9 g, 27.4 mmol) and stirred for 30 min. The reaction mixture was then quenched with addition of brine (50 mL) and extracted with ethyl acetate (3 × 40 mL). The organic extracts were combined, washed with water (2 × 20 mL), and dried (MgSO4). Solvent was removed in vacuo to give 14 (2.68 g, 65%) as a pale-yellow oil which was used without further purification. To a stirred solution of 2-(3,4-dimethoxyphenyl)acetaldehyde 14 (2.68 g, 14.8 mmol) in CH2Cl2 (100 mL), under an atmosphere of nitrogen, was added (carbethoxymethylene)triphenylphosphorane (5.7 g, 16.3 mmol) and the resulting mixture stirred for 16 h. Solvent was removed in vacuo and the crude product purified by column chromatography (3:1, hexanes, ethyl acetate) to give the title compound 16 (3.13 g, 84%) as a colourless oil. Rf = 0.56 (2:1 hexanes, ethyl acetate). δH (400 MHz; CDCl3) 1.27 (3H, t, J = 7.2 Hz, 1-OCH2CH3), 3.45 (2H, dd, J = 1.5, 6.7 Hz, 4-H), 3.86 (6H, s, 3′, 4′-H), 4.17 (2H, q, J = 7.2 Hz, 1-OCH2CH3), 5.80 (1H, td, J = 1.6, 15.5 Hz, 2-H), 6.67 (1H, d, J = 1.9 Hz, 2′-H), 6.71 (1H, dd, J = 1.9, 8.1 Hz, 6′-H), 6.81 (1H, d, J = 8.1 Hz, 5′-H), 7.07 (1H, td, J = 6.7, 15.5 Hz, 3-H). δC (100 MHz; CDCl3) 14.3 (1-OCH2CH3), 38.1 (C-4), 55.9, 56.0 (3′, 4′-OCH3), 60.3 (1-OCH2CH3), 111.5 (C-5′), 112.1 (C-2′), 120.8 (C-6′), 122.2 (C-2), 130.2 (C-1′), 147.6 (C-3), 147.9 (C-4′), 149.1 (C-3′), 166.6 (C-1). Values are in agreement with literature data [42].
(E)-4-(3′,4′-Dimethoxyphenyl)but-2-en-1-ol (18). To a stirred solution of ester 16 (1.0 g, 4.0 mmol) in CH2Cl2 (20 mL), under an atmosphere of nitrogen at −78 °C, was added DIBAL (12 mL, 1 M in cyclohexane) and the resulting mixture stirred for 10 min. The reaction mixture was quenched with addition of 2 M HCl until gas evolution ceased, the organic phase separated and the aqueous phase further extracted with CH2Cl2 (3 × 10 mL). The organic layers were combined then washed with water (10 mL) and dried (MgSO4). Solvent was removed in vacuo and the crude product purified by column chromatography (1:1 hexanes, ethyl acetate) to give the title compound 18 (0.76 g, 92%) as a colourless oil. Rf = 0.18 (2:1, hexanes, ethyl acetate). δH (400 MHz; CDCl3) 3.30 (2H, d, J = 6.6 Hz, 4-H), 3.82 (3H, s, 4′-OCH3), 3.83 (3H, s, 3′-OCH3), 4.08 (2H, d, J = 5.6 Hz, 1-H), 5.64–5.69 (1H, m, 2-H), 5.78–5.83 (1H, m, 3-H), 6.68 (1H, s, 2′-H), 6.69 (1H, d, J = 8.0 Hz, 6′-H), 6.77 (1H, d, J = 8.0 Hz, 5′-H). δC (100 MHz; CDCl3) 38.2 (C-4), 55.8 and 55.9 (3′ and 4′-OCH3), 63.3 (C-1), 111.4 (C-5′), 112.0 (C-2′), 120.4 (C-6′), 130.2 (C-2), 131.6 (C-3), 132.7 (C-1′), 147.4 (C-4′), 148.9 (C-3′). IR: νMAX (film)/cm-1; 3391 (broad), 2933, 2835, 1591, 1512, 1463, 1417, 1258, 1232, 1137, 1025, 971, 852, 806, 762. HRMS (ESI+) Found [M + Na]+ 231.0995; C12H16NaO3 requires 231.0992.
(E)-4-(4-(3′,4′-Dimethoxyphenyl)but-2-en-1-yl)morpholine (9a). To a stirred solution of alcohol 18 (0.73 g, 3.5 mmol) in CH2Cl2 (20 mL), under an atmosphere of nitrogen at 0 °C, was added Et3N (1.5 mL, 10.5 mmol) and stirred for 5 min. MsCl (0.48 mL, 4.2 mmol) was added and stirred for 10 min. Morpholine (0.50 mL, 5.3 mmol) was added and the mixture brought to room temperature and stirred for 2 h. Saturated aqueous NaHCO3 (20 mL) and water (4 mL) was then added and the aqueous layer further extracted with CH2Cl2 (3 × 20 mL). The organic layers were then combined, dried (MgSO4) and the solvent removed in vacuo. The crude product was purified by column chromatography (1:1 hexanes, ethyl acetate) to give the title compound 9a (0.60 g, 62%) as a colourless oil. Rf = 0.31 (1:2 hexanes, ethyl acetate). δH (400 MHz; CDCl3) 2.41–2.44 (4H, m, O(CH2CH2)2N), 2.96 (2H, d, J = 6.8 Hz, 1-H), 3.30 (2H, d, J = 6.7 Hz, 4-H), 3.68–3.71 (4H, m, O(CH2CH2)2N), 3.83 (6H, s, 3′, 4′-OCH3), 5.52–5.57 (1H, m, 3-H), 5.71–5.78 (1H, m, 2-H), 6.67–6.70 (2H, m, 2′ and 6′-H), 6.78 (1H, d, J = 7.9 Hz, 5′-H). δC (100 MHz; CDCl3) 38.5 (C-4), 53.6 (O(CH2CH2)2N), 55.8, 56.0 (3′, 4′-OCH3), 61.1 (C-1), 67.0 (O(CH2CH2)2N), 111.4 (C-5′), 111.9 (C-2′), 120.3 (C-6′), 127.1 (C-3), 132.8 (C-1′), 133.8 (C-2), 147.5 (C-4′), 149.0 (C-3′). IR: νMAX (film)/cm−1; 2934, 2851, 1591, 1453, 1260, 1138, 1028, 976, 864, 805, 763. HRMS (ESI+) Found [M + H]+ 278.1762; C16H24NO3 requires 278.1751.
(E)-Ethyl 4-(3′,4′-methylenedioxyphenyl)but-2-enoate (17). To a stirred solution of NMO (8.67 g, 74.0 mmol) in H2O/tBuOH (1:1, 80 mL) was added safrole 11 (4.0 mL, 27 mmol). A solution of OsO4 (0.75 mL, 0.074 mmol, 2.5% w/v in tBuOH) was added dropwise and the resultant mixture stirred at room temperature for 17 h. The reaction mixture was quenched with saturated aqueous Na2SO3 (100 mL) and stirred for 1 h. The mixture was extracted with ethyl acetate (3 × 50 mL), the organic layers were combined, washed with aqueous KOH (1 M, 20 mL) and dried (MgSO4). Solvent was removed in vacuo to give diol 13 (5.2 g, quant.) as a white solid which was used without further purification. To a stirred solution of diol 13 (5.2 g, 27 mmol) in methanol/H2O (3:1, 100 mL) was added NaIO4 (6.8 g, 32 mmol) and stirred for 2 h. The mixture was then quenched with addition of brine (50 mL) and extracted with ethyl acetate (3 × 50 mL). The organic extracts were combined, washed with water (2 × 20 mL), brine (10 mL), and dried (MgSO4). Solvent was removed in vacuo to give aldehyde 15 (4.4 g, quant.) as a yellow oil which was used without further purification. To a stirred solution of 2-(3,4-methylenedioxyphenyl)acetaldehyde 15 (4.4 g, 27 mmol) in CH2Cl2 (50 mL), under an atmosphere of nitrogen, was added (carbethoxymethylene)triphenylphosphorane (10.4 g, 30 mmol) and the resulting mixture stirred for 16 h. Solvent was removed in vacuo and the crude product purified by column chromatography (19:1, hexanes, ethyl acetate) to give the title compound 17 (3.54 g, 56%) as a colourless oil. Rf = 0.73 (2:1 hexanes, ethyl acetate). δH (400 MHz; CDCl3) 1.27 (3H, t, J = 7.2 Hz, 1-OCH2CH3), 3.42 (2H, dd, J = 6.6, 1.6 Hz, 4-H), 4.17 (2H, q, J = 7.2 Hz, 1-OCH2CH3), 5.78 (1H, dt, J = 15.5, 1.6 Hz, 2-H), 5.93 (2H, s, OCH2O), 6.61 (1H, dd, J = 8.0, 2.0 Hz, 6′-H), 6.64 (1H, d, J = 2.0 Hz, 2′-H), 6.74 (1H, d, J = 8.0 Hz, 5′-H), 7.04 (1H, dt, J = 15.5, 6.6 Hz, 3-H). δC (100 MHz; CDCl3) 14.4 (1-OCH2CH3), 38.2 (C-4), 60.4 (1-OCH2CH3), 101.1 (OCH2O), 108.5 (C-5′), 109.4 (C-2′), 121.9 (C-6′), 122.4 (C-2), 131.5 (C-1′), 146.5 (C-4′), 147.5 (C-3), 148.0 (C-3′), 166.6 (C-1). Values are in agreement with literature data [43].
(E)-4-(3′,4′-Methylenedioxyphenyl)but-2-en-1-ol (19). To a stirred solution of ester 17 (3.2 g, 13.7 mmol) in toluene (100 mL), under an atmosphere of nitrogen at −10 °C, was added DIBAL (30 mL, 1 M in toluene) and the resultant mixture stirred for 10 min. The reaction mixture was quenched with addition of 2 M HCl until gas evolution ceased, the organic layer was separated and the aqueous phase further extracted with CH2Cl2 (3 × 50 mL). The organic layers were combined, washed with brine (30 mL) and dried (MgSO4). Solvent was removed in vacuo and the crude product purified by column chromatography (3:1 hexanes, ethyl acetate) to give the title compound 19 (2.59 g, 98%) as a pale yellow oil. Rf = 0.42 (hexanes, ethyl acetate). δH (400 MHz; CDCl3) 1.41 (1H, br s, 1-OH), 3.30 (2H, d, J = 6.6 Hz, 4-H), 4.12 (2H, br d, J = 4.5 Hz, 1-H), 5.64–5.72 (1H, m, 2-H), 5.77–5.85 (1H, m, 3-H), 5.92 (2H, s, OCH2O), 6.63 (1H, dd, J = 7.9, 1.9 Hz, 6′-H), 6.67 (1H, d, J = 1.9 Hz, 2′-H), 6.73 (1H, d, 7.9 Hz, 5′-H). δC (100 MHz; CDCl3) 38.4 (C-4), 63.6 (C-1), 101.0 (OCH2O), 108.3 (C-5′), 109.2 (C-2′), 121.4 (C-6′), 130.4, 131.8 (C-2, 3), 133.9 (C-1′), 146.0, 147.8 (C-3′, 4′). Values are in agreement with literature data [43].
(E)-4-(4-(3′,4′-Methylenedioxyphenyl)but-2-en-1-yl)morpholine (9b). To a stirred solution of alcohol 19 (1.66 g, 8.6 mmol) in CH2Cl2 (15 mL), under an atmosphere of nitrogen at 0 °C, was added Et3N (3.6 mL, 25.9 mmol) and stirred for 5 min. MsCl (1.2 mL, 10.4 mmol) was added and stirred for 10 min. Morpholine (1.3 mL, 13.8 mmol) was added and the mixture brought to room temperature and stirred for 18 h. Saturated aqueous NaHCO3 (25 mL) and water (5 mL) was added and the aqueous layer further extracted with CH2Cl2 (3 × 30 mL). The organic layers were combined, dried (MgSO4) and the solvent removed in vacuo. The crude product was purified by column chromatography (2:1 hexanes, ethyl acetate) to give the title compound 9b (1.4 g, 60%) as a pale yellow oil. Rf = 0.39 (1:2 hexanes, ethyl acetate). δH (400 MHz; CDCl3) 2.43 (4H, br t, J = 4.7 Hz, NCH2CH2O), 2.96 (2H, d, J = 6.5 Hz, 1-H), 3.28 (2H, d, J = 7.0 Hz, 4-H), 3.71 (4H, t, J = 4.7 Hz, NCH2CH2O), 5.49–5.56 (1H, m, 2-H), 5.69–5.76 (1H, m, 3-H), 5.91 (2H, d, J = 2.0 Hz, OCH2O), 6.61 (1H, dd, J = 7.5, 2.0 Hz, 6′-H), 6.65 (1H, d, J = 2.0 Hz, 2′-H), 6.72 (1H, d, J = 7.5 Hz, 5′-H). δC (100 MHz; CDCl3) 38.7 (C-4), 53.7 (NCH2CH2O), 61.2 (C-1), 67.1 (NCH2CH2O), 100.9 (OCH2O), 108.3 (C-5′), 109.1 (C-2′), 121.4 (C-6′), 127.4 (C-2), 133.7 (C-3), 134.1 (C-1′), 146.0 (C-4′), 147.8 (C-3′). IR: νMAX (film)/cm−1; 2855, 1739, 1488, 1242, 1115, 1036, 926, 864, 736. HRMS (ESI+) Found [M + H]+ 262.1428; C15H20NO3 requires 262.1438.
(E)-Ethyl-3-(3′,4′-methylenedioxyphenyl)prop-2-enoate (23). To a stirred solution of piperonal 20 (5.0 g, 33 mmol) in CH2Cl2 (100 mL), under an atmosphere of nitrogen, was added (carbethoxymethylene)triphenylphosphorane (12.8 g, 37.0 mmol) and the resulting mixture stirred for 20 h. Solvent was then removed in vacuo and the crude product purified by column chromatography (3:1, hexanes, ethyl acetate) to give the title compound 23 (6.97 g, 95%) as a white solid. Rf = 0.68 (2:1 hexanes, ethyl acetate). Melting point: 62–64 °C. δH (400 MHz; CDCl3) 1.32 (3H, t, J = 7.2 Hz, 1-OCH2CH3), 4.25 (2H, q, J = 7.2 Hz, 1-OCH2CH3), 6.00 (2H, s, -OCH2O-), 6.25 (1H, d, J = 15.9 Hz, 2-H), 6.80 (1H, d, J = 8.0 Hz, 5′-H), 7.00 (1H, dd, J = 1.4, 8.0 Hz, 6′-H), 7.02 (1H, d, J = 1.4 Hz, 6′-H), 7.58 (1H, d, J = 15.9 Hz, 3-H). δC (100 MHz; CDCl3) 14.5 (1-OCH2CH3), 60.5 (1-OCH2CH3), 101.7 (-OCH2O-), 106.6 (C-5′), 108.7 (C-2′), 116.4 (C-2), 124.5 (C-6′), 129.1 (C-1′), 144.4 (C-3), 148.5 (C-4′), 149.7 (C-3′), 167.3 (C-1). Values are in agreement with literature data [44].
(E)-Ethyl-3-(3′,4′,5′-trimethoxyphenyl)prop-2-enoate (24). To a stirred solution of 3,4,5-trimethoxybenzaldehyde 21 (3.0 g, 15.3 mmol) in CH2Cl2 (100 mL), under an atmosphere of nitrogen, was added (carbethoxymethylene)triphenylphosphorane (5.9 g, 16.8 mmol) and the resulting mixture stirred for 3 h. Solvent was then removed in vacuo and the crude product purified by column chromatography (3:1, hexanes, ethyl acetate) to give the title compound 24 (4.0 g, 94%) as a white solid. Rf = 0.52 (2:1 hexanes, ethyl acetate). Melting point: 64–66 °C. δH (400 MHz; CDCl3) 1.34 (3H, t, J = 7.2 Hz, 1-OCH2CH3), 3.87 (3H, s, 4′-OCH3), 3.88 (6H, s, 3′-OCH3), 4.26 (2H, q, J = 7.2 Hz, 1-OCH2CH3), 6.34 (1H, d, J = 15.9 Hz, 2-H), 6.75 (2H, s, 2′-H), 7.60 (1H, d, J = 15.9 Hz, 3-H). δC (100 MHz; CDCl3) 14.5 (1-OCH2CH3), 56.3 (3′-OCH3), 60.6 (1-OCH2CH3), 61.1 (4′-OCH3), 105.3 (C-2′), 117.7 (C-2), 130.1 (C-1′), 140.2 (C-4′), 144.7 (C-3), 153.6 (C-3′), 167.1 (C-1). Values are in agreement with literature data [45].
3-(3′,4′,5′-Trimethoxyphenyl)propionic acid (31). To a stirred solution of 24 (5.4 g, 19.4 mmol) in ethyl acetate (30 mL) was added 10% palladium on activated carbon (0.54 g, 10% w/w). The solution was flushed with an atmosphere of hydrogen and stirred for 2 h. The reaction mixture was then filtered through a plug of celite and washed with ethyl acetate, solvent was then removed in vacuo to give saturated ester 27 (5.23 g, 96%) which was then used without further purification.
To a stirred solution of ester 27 (5.1 g, 17.9 mmol) in methanol (30 mL) was added aqueous NaOH (72 mL, 1 M, 4 eq.) and stirred for 20 min. The mixture was then extracted with CH2Cl2 (10 mL) and the aqueous layer acidified with aqueous 2 M HCl. The aqueous phase was then extracted with ethyl acetate (3 × 50 mL), dried (MgSO4) and solvent removed in vacuo to give the title compound 31 (4.6 g, quant.) as a white solid. Rf = 0.15 (2:1 hexanes, ethyl acetate). Melting point: 104–105 °C. δH (400 MHz; CDCl3) 2.68 (2H, t, J = 7.8 Hz, 2-H), 2.90 (2H, t, J = 7.8 Hz, 3-H), 3.82 (3H, s, 4′-OCH3), 3.84 (6H, s, 3′-OCH3), 6.43 (2H, s, 2′-H). δC (100 MHz; CDCl3) 31.1 (C-2), 35.8 (C-3), 56.2 (3′-OCH3), 61.0 (4′-OCH3), 105.4 (C-2′), 136.0 (C-1′), 136.7 (C-4′), 153.4 (C-3′), 178.8 (C-1). Values are in agreement with literature data [46].
3-(3′,4′-Methylenedioxyphenyl)propionic acid (30). To a stirred solution of 23 (6.92 g, 31.4 mmol) in ethyl acetate (30 mL) was added 10% palladium on activated carbon (0.69 g, 10% w/w). The solution was flushed with an atmosphere of hydrogen and stirred for 1 h. The reaction mixture was then filtered through a plug of celite and washed with ethyl acetate, solvent was then removed in vacuo to give saturated ester 26 (6.9 g, 99%) which was then used without further purification.
To a stirred solution of ester 26 (6.74 g, 30.0 mmol) in methanol (30 mL) was added aqueous NaOH (121 mL, 1 M, 4 eq.) and stirred for 2.5 h. The mixture was then extracted with ethyl acetate (10 mL) and the aqueous layer acidified with aqueous 2 M HCl. The aqueous phase was then extracted with ethyl acetate (3 × 50 mL), dried (MgSO4) and solvent removed in vacuo to give the title compound 30 (5.5 g, 94%) as a white solid. Rf = 0.44 (2:1 hexanes, ethyl acetate). Melting point: 80–82°C. δH (400 MHz; CDCl3) 2.64 (2H, t, J = 7.7 Hz, 2-H), 2.88 (2H, t, J = 7.7 Hz, 3-H), 5.93 (2H, s, -OCH2O-), 6.66 (1H, dd, J = 7.9, 1.4 Hz, 6′-H), 6.70 (1H, d, J = 1.4 Hz, 2′-H), 6.74 (1H, d, J = 7.9 Hz, 5′-H). δC (100 MHz; CDCl3) 30.5 (C-2), 36.1 (C-3), 101.0 (-OCH2O-), 108.4 (C-2′), 108.9 (C-5′), 121.2 (C-6′), 134.1 (C-1′), 146.2 (C-3′), 147.8 (C-4′), 179.1 (C-1). Values are in agreement with literature data [47].
3-(3′-Methoxy-4′-benzyloxyphenyl)propionic acid (32). To a stirred solution of vanillin 22 (3.0 g, 19.7 mmol) in CH2Cl2 (100 mL), under an atmosphere of nitrogen, was added (carbethoxymethylene)triphenylphosphorane (7.56 g, 21.7 mmol) and the resulting mixture stirred for 18 h. Solvent was then removed in vacuo and the crude product purified by column chromatography (2:1, hexanes, ethyl acetate) to give a 2:1 mixture of E and Z isomers of unsaturated ester 25 (4.13 g, 94%) as a yellow oil which was used immediately.
To a stirred solution of unsaturated ester 25 (4.13 g, 18.6 mmol) in ethyl acetate (30 mL) was added 10% palladium on activated carbon (0.4 g, 10% w/w). The solution was flushed with an atmosphere of hydrogen and stirred for 2 h. The reaction mixture was then filtered through a plug of celite and washed with ethyl acetate, solvent was then removed in vacuo to give saturated ester 28 (3.9 g, 94%) as a yellow oil which was then used without further purification. To a stirred solution of phenol 28 (3.75 g, 16.7 mmol) in acetonitrile (40 mL), under an atmosphere of nitrogen, was added K2CO3 (6.9 g, 50.0 mmol) and stirred for 10 min. Benzyl bromide (6.0 mL, 50.0 mmol) was then added and the resulting mixture allowed to stir for 65 h. The reaction mixture was then quenched with addition of water (50 mL) and extracted with CH2Cl2 (3 × 30 mL). The organic phases were combined, washed with water (2 × 10 mL) and dried (MgSO4). Solvent was then removed in vacuo and the crude product purified by column chromatography (9:1 hexanes, ethyl acetate) to give benzyl ether 29 (4.38 g, 83%) as a colourless oil which was used immediately. To a stirred solution of ester 29 (4.3 g, 13.7 mmol) in methanol (30 mL) was added aqueous NaOH (55 mL, 1 M, 4 eq.) and stirred for 2.5 h. The mixture was then acidified with aqueous 2 M HCl, extracted with ethyl acetate (3 × 50 mL), dried (MgSO4) and solvent removed in vacuo to give the title compound 32 (3.85 g, 98%) as a white solid. Rf = 0.30 (2:1 hexanes, ethyl acetate). Melting point: 99–100°C. δH (400 MHz; CDCl3) 2.66 (2H, t, J = 7.7 Hz, 2-H), 2.90 (2H, t, J = 7.7 Hz, 3-H), 3.88 (3H, s, 3′-OCH3), 5.13 (2H, s, 7′-H), 6.68 (1H, dd, J = 8.2, 2.0 Hz, 6′-H), 6.76 (1H, d, J = 2.0 Hz, 2′-H), 6.81 (1H, d, J = 8.2 Hz, 5′-H), 7.27–7.32 (1H, m, 11′-H), 7.34–7.39 (2H, m, 10′-H), 7.41–7.45 (2H, m, 9′-H). δC (100 MHz; CDCl3) 30.4 (C-2), 35.9 (C-3), 56.1 (3′-OCH3), 71.3 (C-7′), 112.4 (C-2′), 114.5 (C-5′), 120.3 (C-6′), 127.4 (C-9′), 127.9 (C-11′), 128.7 (C-10′), 133.5 (C-1′), 137.4 (C-8′), 146.9 (C-4′), 149.8 (C-3′), 178.8 (C-1). Values are in agreement with literature data [48].
3-(3′,4′-Methylenedioxyphenyl)propanoyl chloride (34b). To a stirred solution of carboxylic acid 30 (0.22 g, 1.2 mmol) in CH2Cl2 (3 mL), under an atmosphere of nitrogen, was added oxalyl chloride (0.2 mL, 2.3 mmol) dropwise and the mixture stirred for 4 h. The solvent was removed in vacuo to give the title compound 34b (0.24 g, quant.) as a green oil, which was placed under nitrogen and used without further purification.
3-(3′,4′-Dimethoxyphenyl)propanoyl chloride (34a). To a stirred solution of carboxylic acid 33 (0.24 g, 1.2 mmol) in CH2Cl2 (5 mL), under an atmosphere of nitrogen, was added oxalyl chloride (0.2 mL, 2.3 mmol) dropwise and the mixture stirred for 2.5 h. The solvent was removed in vacuo to give the title compound 34a (0.26 g, quant.) as a yellow oil, which was placed under nitrogen and used without further purification.
3-(3′,4′,5′-Trimethoxyphenyl)propanoyl chloride (34c). To a stirred solution of carboxylic acid 31 (0.25 g, 1.2 mmol) in CH2Cl2 (3 mL), under an atmosphere of nitrogen, was added oxalyl chloride (0.2 mL, 2.3 mmol) dropwise and the mixture stirred for 1.5 h. The solvent removed in vacuo to give the title compound 34c (0.27 g, quant.) as a green crystalline solid, which was placed under nitrogen and used without further purification.
3-(3′,4′-Methylenedioxyphenyl)propanoyl chloride (34d). To a stirred solution of carboxylic acid 32 (0.33 g, 1.2 mmol) in CH2Cl2 (3 mL), under an atmosphere of nitrogen, was added oxalyl chloride (0.2 mL, 2.3 mmol) dropwise and the mixture stirred for 4 h. The solvent was removed in vacuo to give the title compound 34d (0.35 g, quant.) as a yellow oil, which was placed under nitrogen and used without further purification.
(2R*,3S*)-2-(3′,4′-Methylenedioxybenzyl)-3-(3″,4″-dimethoxybenzyl)-1-morpholinopent-4-en-1-one (35ab). Using general procedure A: Morpholine 9a (0.57 g, 2.06 mmol), acid chloride 34b (0.52 g, 2.47 mmol) and reaction time of 24 h. The crude product was purified by column chromatography (2:1 hexanes, ethyl acetate) to give the title compound 35ab (0.39 g, 42%) as a pale-yellow amorphous solid. Rf = 0.58 (1:3, hexanes, ethyl acetate). Melting point: 114–116 °C. δH (400 MHz; CDCl3) 2.57 (1H, dd, J = 13.6, 9.0 Hz, 7″-HA), 2.66–2.73 (1H, m, 3-H), 2.77–2.85 (2H, m, 7′-HA, OCHACH2N), 2.85–2.94 (4H, m, 2-H, 7′-HB, 7″-HB, OCH2CHAN), 3.06 (1H, ddd, J = 13.3, 7.9, 3.3 Hz, OCH2CHBN), 3.27–3.41 (3H, m, OCHCCHCN, OCHBCH2N), 3.53–3.60 (1H, m, OHDCH2N), 3.67–3.75 (1H, m, OCH2CHDN), 3.85 (3H, s, 4″-OCH3), 3.86 (3H, s, 3″-OCH3), 4.88 (1H, dd, J = 16.9, 1.8 Hz, 5-HA), 4.98 (1H, dd, J = 10.3, 1.8 Hz, 5-HB), 5.85 (1H, ddd, J = 16.9, 10.3, 9.5 Hz, 4-H), 5.90 (1H, d, J = 1.3 Hz, OCHAO), 5.91 (1H, d, J = 1.3 Hz, OCHBO), 6.60 (1H, dd, J = 7.8, 1.6 Hz, 6′-H), 6.64 (1H, d, J = 1.6 Hz, 2′-H), 6.65–6.68 (2H, m, 2″, 6″-H), 6.70 (1H, d, J = 7.8 Hz, 5′-H), 6.77 (1H, d, J = 8.7 Hz, 5″-H). δC (100 MHz; CDCl3) 37.4 (C-7′), 38.3 (C-7″), 42.0 (OCH2CHCDN), 46.4 (OCH2CHABN), 46.6 (C-2), 48.5 (C-3), 56.0 (3′, 4′-OCH3), 66.4 (OCHABCH2N), 67.0 (OCHCDCH2N), 101.0 (OCH2O), 108.4 (C-5′), 109.6 (C-2′), 111.1 (C-5″), 112.4 (C-2″), 116.8 (C-5), 121.3 (C-6″), 122.0 (C-6′), 132.3 (C-1″), 133.6 (C-1′), 139.3 (C-4), 146.2 (C-4′), 147.5 (C-4″), 147.7 (C-3′), 148.9 (C-3″), 172.6 (C-1). IR: νMAX (film)/cm-1; 2963, 1631, 1515, 1488, 1442, 1236, 1031, 925, 807, 730. HRMS (ESI+) Found [M + H]+ 454.2241; C26H32NO6 requires 454.2224.
(2R*,3S*)-2-(3′,4′,5′-Trimethoxybenzyl)-3-(3″,4″-dimethoxybenzyl)-1-morpholinopent-4-en-1-one (35ac). Using general procedure A: Morpholine 9a (0.47 g, 1.7 mmol), acid chloride 34c (0.53 g, 2.0 mmol) and a reaction time of 19 h. The crude product was purified by column chromatography (1:1 hexanes, ethyl acetate) to give the title compound 35ac (0.50 g, 58%) as a yellow oil. Rf = 0.38 (1:3 hexanes, ethyl acetate). δH (400 MHz; CDCl3) 2.59 (1H, dd, J = 13.6, 9.2 Hz, 7″-HA), 2.67–2.74 (1H, m, 3-H), 2.78 (1H, ddd, J = 11.4, 7.8, 3.0 Hz, NCH2CHAO), 2.82–2.96 (5H, m, 2-H, 7′-H, 7″-HB, NCHACH2O), 3.06 (1H, ddd, J = 13.2, 7.8, 3.0 Hz, NCHBCH2O), 3.25–3.40 (3H, m, NCHBCH2O, NCHCCHCO), 3.54–3.61 (1H, m, NCHDCH2O), 3.67–3.73 (1H, m, NCH2CHDO), 3.80 (3H, s, 4′-OCH3), 3.82 (6H, s, 3′-OCH3), 3.85 (3H, s, 4″-OCH3), 3.86 (3H, s, 3″-OCH3), 4.90 (1H, dd, J = 17.0, 1.8 Hz, 5-HA), 5.00 (1H, dd, J = 10.2, 1.8 Hz, 5-HB), 5.87 (1H, ddd, J = 17.0, 10.2, 9.1 Hz, 4-H), 6.37 (2H, s, 2′-H), 6.66–6.70 (2H, m, 2″, 6″-H), 6.78 (1H, d, J = 8.7 Hz, 5″-H). δC (100 MHz; CDCl3) 38.1 (C-7′), 38.3 (C-7″), 42.0 (NCHCDCH2O), 46.4 (NCHABCH2O), 46.5 (C-2), 48.7 (C-3), 56.0 (3″, 4″-OCH3), 56.3 (3′-OCH3), 61.0 (4′-OCH3), 66.4 (NCH2CHABO), 66.9 (NCH2CHCDO), 106.2 (C-2′), 111.1 (C-5″), 112.5 (C-2″), 116.8 (C-5), 121.2 (C-6″), 132.3 (C-1″), 135.6 (C-1′), 136.8 (C-4′), 139.2 (C-4), 147.5 (C-4″), 148.8 (C-3″), 153.3 (C-3′), 172.6 (C-1). IR: νMAX (film)/cm-1; 2940, 1632, 1589, 1459, 1236, 1123, 1028, 913, 735. HRMS (ESI+) Found [M + Na]+ 522.2474; C28H37NNaO7 requires 522.2462.
(2R*,3S*)-2-(3′,4′-Dimethoxybenzyl)-3-(3″,4″-dimethoxybenzyl)-1-morpholinopent-4-en-1-one (35aa). Using general procedure A: Morpholine 9a (0.53 g, 1.91 mmol), acid chloride 34a (0.52 g, 2.29 mmol) and a reaction time of 24 h. The crude product was purified by flash chromatography (1:3 hexanes, ethyl acetate) to give the title compound 35aa (0.63 g, 77% yield) as a pale-yellow amorphous solid. Rf = 0.42 (19:1 CH2Cl2, methanol). Melting point: 98–101 °C. δH (400 MHz; CDCl3) 2.55–2.63 (1H, m, 7″-HA), 2.85–2.93 (1H, m, 7″-HB), 2.67–2.85 (3H, m, 3-H, OCH2CHABN), 3.29-3.37 (4H, m, OCH2CHCDN, OCHABCH2N), 2.85–3.06 (3H, m, 2-H, 7′-H), 3.50–3.67 (2H, m, OCHCDCH2N), 3.83, 3.84, 3.85, 3.86 (12H, s, 3′, 4′, 3″, 4″-OCH3), 4.89 (1H, dd, J = 17.1, 1.7 Hz, 5-H), 4.99 (1H, dd, J = 10.3, 1.9 Hz, 5-H), 5.82–5.91 (1H, m, 4-H), 6.67–6.69 (4H, m, 2′, 6′, 2″, 6″-H), 6.75–6.78 (2H, m, 5′, 5″-H). δC (100 MHz; CDCl3) 37.2 (C-2), 38.2 (C-7″), 41.9, 46.5 (OCH2CH2N), 46.2 (C-7′), 48.5 (C-3), 55.8, 55.9 (3′, 4′, 3″, 4″-OCH3), 66.3, 66.8 (OCH2CH2N), 111.0, 111.3 (C-5′, 5″), 112.4, 112.6 (C-2′, 2″), 116.6 (C-5), 120.9, 121.2 (C-6′, 6″), 132.2, 132.3 (C-1′, 1″), 139.2 (C-4), 147.3, 147.6 (4′, 4″-OCH3), 148.7, 148.8 (3′, 3″-OCH3), 172.6 (C-1). IR: νMAX (film)/cm−1; 2935, 1628, 1591, 1462, 1260, 1155, 1027, 912, 857, 765. HRMS (ESI+) Found [M + H]+ 470.2537; C27H36NO6 requires 470.2537
(2R*,3S*)-2-(3′-Methoxy-4′-benzyloxybenzyl)-3-(3″,4″-dimethoxybenzyl)-1-morpholino-pent-4-en-1-one (35ad). Using general procedure A: Morpholine 9a (0.47 g, 1.7 mmol), acid chloride 34d (0.62 g, 2.0 mmol) and a reaction time of 22 h. The crude product was purified by column chromatography (2:1 hexanes, ethyl acetate) to give the title compound 35ad (0.59 g, 64%) as a yellow oil.
Rf = 0.58 (1:3, hexanes, ethyl acetate). δH (400 MHz; CDCl3) 2.57 (1H, dd, J = 13.5, 9.0 Hz, 7″-HA), 2.62–2.68 (1H, m, 3-H), 2.68–2.74 (1H, m, OCHACH2N), 2.75–2.82 (1H, m, OCH2CHAN), 2.83–2.92 (4H, m, 2-H, 7′-H, 7″-HB), 2.99 (1H, ddd, J = 13.3, 7.6, 3.2 Hz, OCH2CHBN), 3.20–3.32 (3H, m, OCHBCH2N, OCHCCHCN), 3.50–3.55 (1H, m, OCHDCH2N), 3.61–3.67 (1H, m, OCH2CHDN), 3.84 (3H, s, 3′-OCH3), 3.85 (3H, s, 4″-OCH3), 3.85 (3H, s, 3″-OCH3), 4.88 (1H, dd, J = 17.1, 1.9 Hz, 5-HA), 4.97 (1H, dd, J = 10.3, 1.9 Hz, 5-HB), 5.13 (1H, s, 7‴-H), 5.85 (1H, ddd, J = 17.1, 10.3, 9.0 Hz, 4-H), 6.59 (1H, dd, J = 8.1, 1.9 Hz, 6′-H), 6.65–6.68 (2H, m, 2″-H, 6″-H), 6.69 (1H, d, J = 1.9 Hz, 2′-H), 6.74 (1H, d, J = 8.1 Hz, 5′-H), 6.77 (1H, d, J = 8.5 Hz, 5″-H), 7.25–7.30 (1H, m, 4‴-H), 7.32–7.37 (2H, m, 3‴-H), 7.38–7.42 (2H, m, 2‴-H). δC (100 MHz; CDCl3) 37.4 (C-7′), 38.3 (C-7″), 41.9 (OCH2CHCDN), 46.3 (OCH2CHABN), 46.5 (C-2), 48.6 (C-3), 56.0, 56.2 (3′, 3″, 4″-OCH3), 66.4 (OCHABCH2N), 66.9 (OCHCDCH2N), 71.2 (C-7‴), 111.1 (C-5″), 112.4 (C-2″), 113.3 (C-2′), 114.6 (C-5′), 116.7 (C-5), 120.9 (C-6′), 121.3 (C-6″), 127.3 (C-2‴), 127.9 (C-4‴), 128.7 (C-3‴), 132.4 (C-1″), 133.1 (C-1′), 137.3 (C-1‴), 139.3 (C-4), 146.7 (C-4′), 147.5 (C-4″), 148.8 (C-3″), 149.7 (C-3′), 172.7 (C-1). IR: νMAX (film)/cm−1; 2936, 1736, 1633, 1513, 1454, 1261, 1140, 1028, 915, 733. HRMS (ESI+) Found [M + Na]+ 568.2671; C33H39NNaO6 requires 568.2670.
(2R*,3S*)-2-(3′,4′-Dimethoxybenzyl)-3-(3″,4″-methylenedioxybenzyl)-1-morpholinopent-4-en-1-one (35ba). Using general procedure A: Morpholine 9b (0.25 g, 0.96 mmol), acid chloride 34a (0.26 g, 1.2 mmol) and a reaction time of 21 h. The crude product was purified by column chromatography (1:1 hexanes, ethyl acetate) to give the title compound 35ba (0.36 g, 83%) as a yellow oil.
Rf = 0.50 (1:3 hexanes, ethyl acetate). δH (400 MHz; CDCl3) 2.56 (1H, dd, J = 13.4, 9.0 Hz, 7″-HA), 2.62–2.70 (1H, m, 3-H), 2.75–2.94 (6H, m, 2-H, 7′-H, 7″-HB, NCHACHAO), 3.05 (1H, ddd, J = 13.6, 7.9, 3.1 Hz, NCHBCH2O), 3.28–3.41 (3H, m, NCH2CHBO, NCHCCHCO), 3.51–3.57 (1H, m, NCH2CHDO), 3.58–3.64 (1H, m, NCHDCH2O), 3.83 (3H, s, 3′-H), 3.84 (3H, s, 4′-H), 4.89 (1H, dd, J = 17.2, 1.9 Hz, 5-HA), 4.99 (1H, dd, J = 10.2, 1.9 Hz, 5-HB), 5.86 (1H, ddd, J = 17.2, 10.2, 9.1 Hz, 4-H), 5.92 (1H, d, J = 1.4 Hz, OCHAO), 5.92 (1H, d, J = 1.4 Hz, OCHBO), 6.58 (1H, dd, J = 7.9, 1.6 Hz, 6″-H), 6.64 (1H, d, J = 1.6 Hz, 2″-H), 6.66–6.70 (2H, m, 2′, 6′-H), 6.71 (1H, d, J = 7.9 Hz, 5″-H), 6.76 (1H, d, J = 8.1 Hz, 5′-H). δC (100 MHz; CDCl3) 37.3 (C-7′), 38.5 (C-7″), 42.0 (NCHABCH2O), 46.3 (NCHCDCH2O), 46.5 (C-2), 48.8 (C-3), 56.1 (3′, 4′-OCH3), 66.4 (NCH2CHABO), 66.9 (NCH2CHCDO), 101.0 (OCH2O), 108.1 (C-5″), 109.6 (C-2″), 111.4 (C-5′), 112.7 (C-2′), 116.8 (C-5), 121.0 (C-6′), 122.1 (C-6″), 132.4 (C-1′), 133.7 (C-1″), 139.2 (C-4), 145.9 (C-4″), 147.6 (C-4′), 147.8 (C-3″), 149.0 (C-3′), 172.7 (C-1). IR: νMAX (film)/cm−1; 2908, 1740, 1630, 1515, 1441, 1237, 1029, 923, 730. HRMS (ESI+) Found [M + Na]+ 476.2042; C26H31NNaO6 requires 476.2044.
(2R*,3S*)-2-(3′,4′-Methylenedioxybenzyl)-3-(3″,4″-methylenedioxybenzyl)-1-morpholinopent-4-en-1-one (35bb). Using general procedure A: Morpholine 9b (0.5 g, 1.91 mmol), acid chloride 34b (0.49 g, 2.30 mmol) and a reaction time of 30 min. The crude product was purified by column chromatography (1:1 hexanes, ethyl acetate) to give the title compound 35bb (0.798 g, 95%) as a pale-yellow solid. Rf = 0.68 (1:3 hexanes, ethyl acetate). Melting point: 131–133 °C. δH (400 MHz; CDCl3) 2.54 (1H, dd, J = 13.5, 8.9 Hz, 7″-HA), 2.61–2.69 (1H, m, 3-H), 2.78–2.93 (6H, m, 2-H, 7′-H, 7″-HB, NCHACHAO), 3.06 (1H, ddd, J = 13.2, 7.8, 3.1 Hz, NCHBCH2O), 3.29–3.41 (3H, m, NCH2CHBO, NCHCCHCO), 3.53–3.61 (1H, m, NCH2CHDO), 3.66–3.74 (1H, m, NCHDCH2O), 4.89 (1H, dd, J = 17.0, 1.9 Hz, 5-HA), 4.99 (1H, dd, J = 10.2, 1.9 Hz, 5-HB), 5.85 (1H, ddd, J = 17.0, 10.2, 9.1 Hz, 4-H), 5.90 (1H, d, J = 1.4 Hz, 3′-OCHAO), 5.91 (1H, d, J = 1.4 Hz, 3′-OCHBO), 5.92 (1H, d, J = 1.5 Hz, 3″-OCHAO), 5.93 (1H, d, J = 1.5 Hz, 3″-OCHBO), 6.55–6.61 (2H, m, 6′, 6″-H), 6.62–6.64 (2H, m, 2′, 2″-H), 6.70, 6.71 (2 × 1H, 2 × d, J = 8.0 Hz, 5′, 5″-H). δC (100 MHz; CDCl3) 37.4 (C-7′), 38.5 (C-7″), 42.0 (NCHCDCH2O), 46.4 (NCHABCH2O), 46.5 (C-2), 48.8 (C-3), 66.4 (NCH2CHABO), 67.0 (NCH2CHCDO), 101.0 (2 × OCH2O), 108.2, 108.4 (C-5′, 5″), 109.6 (C-2′, 2″), 116.8 (C-5), 122.1 (C-6′, 6″), 133.6 (C-1′, 1″), 139.2 (C-4), 145.9, 146.2 (C-4′, 4″), 147.6, 147.7 (C-3′, 3″), 172.6 (C-1). IR: νMAX (film)/cm−1; 2897, 1630, 1487, 1440, 1244, 1036, 925, 808, 730. HRMS (ESI+) Found [M + Na]+ 460.1722; C25H27NNaO6 requires 460.1731.
(2R*,3S*)-2-(3′,4′,5′-Trimethoxybenzyl)-3-(3″,4″-methylenedioxybenzyl)-1-morpholinopent-4-en-1-one (35bc). Using general procedure A: Morpholine 9b (0.25 g, 0.96 mmol), acid chloride 34c (0.27 g, 1.2 mmol) and a reaction time of 18 h. The crude product was purified by column chromatography (1:1 hexanes, ethyl acetate) to give the title compound 35bc (0.40 g, 86%) as a pale-yellow solid. Rf = 0.55 (1:3 hexanes, ethyl acetate). Melting point: 104–106 °C. δH (400 MHz; CDCl3) 2.56 (1H, dd, J = 13.4, 9.0 Hz, 7″-HA), 2.62–2.70 (1H, m, 3-H), 2.75–2.95 (6H, m, 2-H, 7′-H, 7″-HB, NCHACHAO), 3.06 (1H, ddd, J = 13.2, 7.7, 3.0 Hz, NCHBCH2O), 3.25–3.40 (3H, m, NCH2CHBO, NCHCCHCO), 3.54–3.60 (1H, m, NCH2CHDO), 3.65–6.71 (1H, m, NCHDCH2O), 3.80 (3H, s, 4′-OCH3), 3.82 (6H, s, 3′-OCH3), 4.90 (1H, dd, J = 17.2, 1.9 Hz, 5-HA), 5.00 (1H, dd, J = 10.2, 1.9 Hz, 5-HB), 5.85 (1H, ddd, J = 17.2, 10.2, 9.0 Hz, 4-H), 5.92 (1H, d, J = 1.4 Hz, OCHAO), 5.93 (1H, d, J = 1.4 Hz, OCHBO), 6.36 (2H, s, 2′-H), 6.59 (1H, dd, J = 7.9, 1.6 Hz, 6″-H), 6.65 (1H, d, J = 1.6 Hz, 2″-H), 6.72 (1H, d, J = 7.9 Hz, 5″-H). δC (100 MHz; CDCl3) 38.1 (C-7′), 38.5 (C-7″), 42.0 (NCHCDCH2O), 46.4 (C-2, NCHABCH2O), 48.9 (C-3), 56.4 (3′-OCH3), 61.1 (4′-OCH3), 66.4 (NCH2CHABO), 67.0 (NCH2CHCDO), 101.0 (OCH2O), 106.2 (C-2′), 108.2 (C-5″), 109.6 (C-2″), 116.9 9 (C-5), 122.1 (C-6″), 133.6 (C-1″), 135.6 (C-1′), 136.9 (C-4′), 139.1 (C-4), 145.9 (C-4″), 147.7 (C-3″), 153.3 (C-3′), 172.6 (C-1). IR: νMAX (film)/cm−1; 2922, 1632, 1589, 1490, 1240, 1120, 1036, 925, 730. HRMS (ESI+) Found [M + Na]+ 506.2145; C27H33NNaO7 requires 506.2149.
(2R*,3S*)-2-(3′-Methoxy-4′-benzyloxybenzyl)-3-(3″,4″-methylenedioxybenzyl)-1-morpholinopent-4-en-1-one (35bd). Using general procedure A: Morpholine 9b (0.25 g, 0.96 mmol), acid chloride 34d (0.35 g, 1.2 mmol) and a reaction time of 18 h. The crude product was purified by column chromatography (1:1 hexanes, ethyl acetate) to give the title compound 35bd (0.45 g, 88%) as a yellow oil.
Rf = 0.67 (1:3 hexanes, ethyl acetate). δH (400 MHz; CDCl3) 2.54 (1H, dd, J = 13.5, 8.9 Hz, 7″-HA), 2.61–2.70 (2H, m, 3-H, NCH2CHAO), 2.73–2.91 (5H, m, 2-H, 7′-H, 7″-HB, NCHACH2O), 2.99 (1H, ddd, J = 13.2, 7.7, 3.0 Hz, NCHBCH2O), 3.20–3.35 (3H, m, NCH2CHBO, NCHCCHCO), 3.53 (1H, ddd, J = 11.0, 5.5, 2.5 Hz, NCH2CHDO), 3.62 (1H, ddd, J = 13.0, 5.5, 2.5 Hz, NCHDCH2O), 3.84 (3H, s, 3′-OCH3), 4.88 (1H, dd, J = 17.0, 1.9 Hz, 5-HA), 4.98 (1H, dd, J = 10.2, 1.9 Hz, 5-HB), 5.13 (2H, s, 7‴-H), 5.84 (1H, ddd, J = 17.0, 10.2, 9.1 Hz, 4-H), 5.91 (1H, d, J = 1.4 Hz, OCHAO), 5.92 (1H, d, J = 1.4 Hz, OCHBO), 6.57 (1H, dd, J = 8.0, 1.9 Hz, 6″-H), 6.59 (1H, dd, J = 8.2, 1.8 Hz, 6′-H), 6.64 (1H, d, J = 1.8 Hz, 2″-H), 6.69 (1H, d, J = 1.9 Hz, 2″-H), 6.71 (1H, d, J = 8.0 Hz, 5″-H), 6.75 (1H, d, J = 8.2 Hz, 5′-H), 7.25–7.30 (1H, m, 4‴-H), 7.32–7.37 (2H, m, 3‴-H), 7.38–7.43 (2H, m, 2‴-H). δC (100 MHz; CDCl3) 37.4 (C-7′), 38.5 (C-7″), 41.9 (NCHCDCH2O), 46.3 (NCHABCH2O), 46.4 (C-2), 48.8 (C-3), 56.2 (3′-OCH3), 66.3 (NCH2CHABO), 66.9 (NCH2CHCDO), 71.2 (C-7‴), 100.9 (OCH2O), 108.1 (C-5″), 109.6 (C-2″), 113.2 (C-2′), 114.5 (C-5′), 116.7 (C-5), 121.0 (C-6′), 122.1 (C-6″), 127.3 (C-2‴), 127.9 (C-4‴), 128.6 (C-3‴), 133.1 (C-1′) 133.6 (C-1″), 137.3 (C-1‴), 139.2 (C-4), 145.9 (C-4″), 146.7 (C-4′), 147.6 (C-3″), 149.7 (C-3′), 172.6 (C-1). IR: νMAX (film)/cm−1; 2920, 1630, 1489, 1231, 1114, 1034, 913, 729. HRMS (ESI+) Found [M + Na]+ 552.2354; C32H35NNaO6 requires 552.2357.
(3R*,4R*)-3-(3′,4′-Methylenedioxybenzyl)-4-(3″,4″-dimethoxybenzyl)-5-(hydroxymethyl)dihydrofuran-2(3H)-one (4ab). Using general procedure B: Amide 35ab (0.38 g, 0.84 mmol) in tBuOH/H2O and a reaction time of 3 days. The crude product was purified by column chromatography (1:1 hexanes, ethyl acetate) to give the title compound 4ab (180 mg, 54%) as a white foam. Rf = 0.50 (19:1 CH2Cl2, methanol). δH (400 MHz; CDCl3) 1.79 (1H, t, J = 6.4 Hz, 6-OH), 2.36–2.44 (1H, m, 4-H), 2.51 (1H, dd, J = 13.7, 7.9 Hz, 7″-HA), 2.58 (1H, dd, J = 13.7, 6.6 Hz, 7″-HB), 2.68 (1H, ddd, J = 9.3, 7.0, 5.5 Hz, 3-H), 2.85 (1H, dd, J = 14.0, 7.0 Hz, 7′-HA), 2.92 (1H, dd, J = 14.0, 5.5 Hz, 7′-HB), 3.15 (1H, ddd, J = 12.5, 6.4, 5.1 Hz, 6-HA), 3.54 (1H, ddd, J = 12.5, 6.4, 2.5 Hz, 6-HB), 3.83 (3H, s, 3″-OCH3), 3.85 (3H, s, 4″-OCH3), 4.19 (1H, ddd, J = 8.0, 5.1, 2.5 Hz, 5-H), 5.92 (1H, d, J = 1.5 Hz, OCHAHBO), 5.93 (1H, d, J = 1.5 Hz, OCHAHBO), 6.47 (1H, d, J = 2.0 Hz, 2″-H), 6.57–6.60 (2H, m, 6′ and 6″-H), 6.61 (1H, d, J = 1.5 Hz, 2′-H), 6.71 (1H, d, J = 7.8 Hz, 5′-H), 6.77 (1H, d, J = 8.1 Hz, 5″-H). δC (100 MHz; CDCl3) 35.3 (C-7′), 38.7 (C-7″), 41.6 (C-4), 47.6 (C-3), 56.0 (3″-OCH3, 4″-OCH3), 63.2 (C-6), 84.1 (C-5), 101.2 (OCH2O), 108.3 (C-5′), 109.7 (C-2′), 111.4 (C-5″), 112.0 (C-2″), 121.0 (C-6″), 122.5 (C-6′), 130.3 (C-1″), 131.6 (C-1′), 146.6 (C-4′), 148.0 (C-4″), 148.1 (C-3′), 149.3 (C-3″), 177.7 (C-2). IR: νMAX (film)/cm−1; 3496 (broad), 2936, 2254, 1760, 1515, 1489, 1442, 1239, 1025, 909, 809, 766. HRMS (ESI+) Found [M + Na]+ 423.1427; C22H24NaO7 requires 423.1414.
(3R*,4R*)-3,4-bis(3′,4′-Dimethoxybenzyl)-5-(hydroxymethyl)dihydrofuran-2(3H)-one (4aa). Using general procedure B: Amide 35aa (0.29 g, 0.61 mmol), in tBuOH/H2O and a reaction time of 6 days. The crude product was purified by flash chromatography (1:1 hexanes, ethyl acetate) to give the title compound 4aa (0.18 g, 70%) as a colourless oil. Rf = 0.32 (19:1 CH2Cl2, methanol). δH (400 MHz; CDCl3) 2.39–2.44 (1H, m, 4-H), 2.53 (1H, dd, J = 13.7, 7.3 Hz, 7″-HA), 2.58 (1H, dd, J = 13.7, 6.5 Hz, 7″-HB), 2.64 (1H, br s, 6-OH), 2.71 (1H, ddd, J = 9.3, 6.7, 5.7 Hz, 3-H), 2.88 (1H, dd, J = 14.0, 6.7 Hz, 7′-HA), 2.94 (1H, dd, J = 14.0, 5.5 Hz, 7′-HB), 3.16 (1H, dd, J = 12.6, 4.9 Hz, 6-HA), 3.53 (1H, dd, J = 12.6, 2.4 Hz, 6-HB), 3.81, 3.83, 3.84 (12H, s, 3′, 4′, 3″, 4″-OCH3), 4.15 (1H, ddd, J = 8.0, 4.9, 2.4 Hz, 5-H), 6.49 (1H, d, J = 1.9 Hz, 2″-H), 6.57 (1H, dd, J = 8.1, 1.9 Hz, 6″-H), 6.66–6.68 (2H, m, 2′, 6′-H), 6.73–6.80 (2H, m, 5′, 5″-H). δC (100 MHz; CDCl3) 35.0 (C-7′), 38.5 (C-7″), 41.6 (C-4), 47.5 (C-3), 55.8 (3′, 4′, 3″, 4″-OCH3), 62.9 (C-6), 84.0 (C-5), 111.2, 111.4 (C-5′, 5″), 112.1 (C-2″), 112.6 (C-2′), 120.9 (C-6″), 121.4 (C-6′), 130.4 (C-1′, 1″), 147.9 (C-4′, 4″), 149.0 (C-3′, 3″), 178.0 (C-2). IR: νMAX (film)/cm−1; 3505 (br), 2938, 1761, 1591, 1514, 1465, 1259, 1156, 1025, 910, 808, 766, 647. HRMS (ESI+) Found [M + H]+ 417.1909; C23H29O7 requires 417.1908.
(3R*,4R*)-3-(3′,4′,5′-Trimethoxybenzyl)-4-(3″,4″-dimethoxybenzyl)-5-(hydroxymethyl)dihydrofuran-2(3H)-one (4ac). Using general procedure B: Amide 35ac (0.45 g, 0.90 mmol) in tBuOH/H2O/THF and a reaction time of 3 days. The crude product was purified by column chromatography (1:1 hexanes, ethyl acetate) to give the title compound 4ac (0.17 g, 42%) as a pale-yellow solid.
Rf = 0.31 (19:1 CH2Cl2, methanol). Melting point: 141–142 °C. δH (400 MHz; CDCl3) 1.68 (1H, t, J = 6.5 Hz, 6-OH), 2.38–2.46 (1H, m, 4-H), 2.55 (1H, dd, J = 13.8, 8.2 Hz, 7″-HA), 2.65 (1H, dd, J = 13.8, 5.9 Hz, 7″-HB), 2.72 (1H, ddd, J = 9.7, 6.3, 5.7 Hz, 3-H), 2.90 (1H, dd, J = 14.0, 6.3 Hz, 7′-HA), 2.95 (1H, dd, J = 14.0, 5.7 Hz, 7′-HB), 3.15 (1H, ddd, J = 12.4, 5.1, 5.4 Hz, 6-HA), 3.54 (1H, ddd, J = 12.4, 6.5, 2.5 Hz, 6-HB), 3.82 (6H, s, 4′, 3″-OCH3), 3.83 (6H, s, 3′-OCH3), 3.85 (3H, s, 4″-OCH3), 4.20 (1H, ddd, J = 8.2, 5.1, 2.5 Hz, 5-H), 6.38 (2H, s, 2′-H), 6.49 (1H, d, J = 2.0 Hz, 2″-H), 6.58 (1H, dd, J = 8.1, 2.0 Hz, 6″-H), 6.76 (1H, d, J = 8.1 Hz, 5″-H). δC (100 MHz; CDCl3) 35.7 (C-7′), 38.6 (C-7″), 41.8 (C-4), 47.7 (C-3), 56.0, 56.1 (3″, 4″-OCH3), 56.3 (3′-OCH3), 61.0 (4′-OCH3), 63.2 (C-6), 83.9 (C-5), 106.5 (C-2′), 111.5 (C-5″), 112.2 (C-2″), 121.0 (C-6″), 130.3 (C-1″), 133.7 (C-1′), 137.2 (C-4′), 148.2 (C-4″), 149.3 (C-3″), 153.5 (C-3′), 177.7 (C-2). IR: νMAX (film)/cm−1; 3527 (br), 2938, 1761, 1590, 1514, 1237, 1126, 1026, 735. HRMS (ESI+) Found [M + Na]+ 469.1839; C24H30NaO8 requires 469.1833.
(3R*,4R*)-3-(3′-Methoxy-4′-benzyloxybenzyl)-4-(3″,4″-dimethoxybenzyl)-5-(hydroxymethyl)dihydrofuran-2(3H)-one (4ad). Using general procedure B: Amide 35ad (0.59 g, 1.1 mmol) in tBuOH/H2O and a reaction time of 7 days. The crude product was purified by column chromatography (1:1 hexanes, ethyl acetate) to give the title compound 4ad (0.30 g, 56%) as a cloudy oil. Rf = 0.27 (19:1 CH2Cl2, methanol). δH (400 MHz; CDCl3) 1.57 (1H, t, J = 6.5 Hz, 6-OH), 2.34–2.42 (1H, m, 4-H), 2.50 (1H, dd, J = 13.5, 8.0 Hz, 7″-HA), 2.59 (1H, dd, J = 13.5, 6.0 Hz, 7″-HB), 2.70 (1H, ddd, J = 9.7, 6.2, 5.6 Hz, 3-H), 2.90 (1H, dd, J = 14.1, 6.2 Hz, 7′-HA), 2.94 (1H, dd, J = 14.1, 5.6 Hz, 7′-HB), 3.10 (1H, ddd, J = 12.5, 6.5, 5.2 Hz, 6-HA), 3.48 (1H, ddd, J = 12.5, 6.5, 2.7 Hz, 6-HB), 3.80 (3H, s, 3″-OCH3), 3.86 (6H, s, 3′, 4″-OCH3), 4.18 (1H, ddd, J = 8.3, 5.2, 2.7 Hz, 5-H), 5.12 (2H, s, 7‴-H), 6.46 (1H, d, J = 2.0 Hz, 2″-H), 6.56 (1H, dd, J = 8.0, 2.0 Hz, 6″-H), 6.61 (1H, dd, J = 8.1, 2.0 Hz, 6′-H), 6.72 (1H, d, J = 2.0 Hz, 2′-H), 6.75 (1H, d, J = 8.0 Hz, 5″-H), 6.79 (1H, d, J = 8.1 Hz, 5′-H), 7.25–7.30 (1H, m, 4‴-H), 7.31–7.36 (2H, m, 3‴-H), 7.39–7.42 (2H, m, 2‴-H). δC (100 MHz; CDCl3) 35.1 (C-7′), 38.6 (C-7″), 41.7 (C-4), 47.6 (C-3), 56.0 (3″, 4″-OCH3), 56.2 (3′-OCH3), 63.3 (C-6), 71.3 (C-7‴), 84.0 (C-5), 111.5 (C-5″), 112.1 (C-2″), 113.3 (C-2′), 114.3 (C-5′), 121.0 (C-6″), 121.6 (C-6′), 127.4 (C-2‴), 128.0 (C-4‴), 128.7 (C-3‴), 130.3 (C-1″), 131.1 (C-1′), 137.2 (C-1‴), 147.2 (C-4′), 148.2 (C-4″), 149.3 (C-3″), 150.0 (C-3′), 177.8 (C-2). IR: νMAX (film)/cm−1; 3523 (br), 2935, 1761, 1514, 1261, 1025, 911, 730. HRMS (ESI+) Found [M + Na]+ 515.2023; C29H32NaO7 requires 515.2040.
(3R*,4R*,5S*)-4-(3″,4″-Dimethoxybenzyl)-3-(4′-hydroxy-3′-methoxybenzyl)-5-(hydroxymethyl)dihydrofuran-2(3H)-one (4ae). Using general procedure F: Benzyl ether 4ad (0.27 g, 0.55 mmol) gave the title compound 4ae (0.19 g, 88%) as a yellow solid. Rf = 0.43 (19:1 CH2Cl2, methanol). Melting point: 183–185 °C. δH (400 MHz; CDCl3) 1.63 (1H, t, J = 6.5 Hz, 6-OH), 2.34–2.43 (1H, m, 4-H), 2.53 (1H, dd, J = 13.8, 8.1 Hz, 7″-HA), 2.62 (1H, dd, J = 13.8, 6.1 Hz, 7″-HB), 2.69 (1H, dt, J = 9.5, 6.0 Hz, 3-H), 2.92 (2H, d, J = 6.0 Hz, 7′-H), 3.13 (1H, ddd, J = 12.5, 6.5, 5.3 Hz, 6-HA), 3.51 (1H, ddd, J = 12.5, 6.5, 2.5 Hz, 6-HB), 3.82 (3H, s, 3′-OCH3), 3.84 (3H, s, 3″-OCH3), 3.85 (3H, s, 4″-OCH3), 4.19 (1H, ddd, J = 8.0, 5.3, 2.5 Hz, 5-H), 5.52 (1H, s, 4′-OH), 6.46 (1H, d, J = 2.0 Hz, 2″-H), 6.57 (1H, dd, J = 8.1, 2.0 Hz, 6″-H), 6.63 (1H, dd, J = 8.0, 1.9 Hz, 6′-H), 6.66 (1H, d, J = 1.9 Hz, 2′-H), 6.76 (1H, d, J = 8.1 Hz, 5″-H), 6.83 (1H, d, J = 8.0 Hz, 5′-H). δC (100 MHz; CDCl3) 35.1 (C-7′), 38.6 (C-7″), 41.6 (C-4), 47.7 (C-3), 56.0, 56.1 (3′, 3″, 4″-OCH3), 63.4 (C-6), 84.1 (C-5), 111.5 (C-5″), 111.9 (C-2′), 112.1 (C-2″), 114.4 (C-5′), 121.0 (C-6″), 122.3 (C-6′), 129.7 (C-1′), 130.4 (C-1″), 144.7 (C-4′), 146.8 (C-3′), 148.2 (C-4″), 149.3 (C-3″), 177.8 (C-2). IR: νMAX (film)/cm−1; 3438 (br), 2937, 1755, 1514, 1236, 1155, 1025, 907, 723. HRMS (ESI+) Found [M + Na]+ 425.1564; C22H26NaO7 requires 425.1571.
(3R*,4R*)-3,4-bis(3′,4′-Methylenedioxybenzyl)-5-(hydroxymethyl)dihydrofuran-2(3H)-one (4bb). Using general procedure B: Morpholine amide 35bb (0.322 g, 0.74 mmol) in tBuOH/H2O/THF and a reaction time of 5 days. The crude product was then purified by column chromatography (2:1 hexanes, ethyl acetate) to give the title compound 4bb (0.145 g, 51%) as a pale-yellow oil.
Rf = 0.59 (1:3 hexanes, ethyl acetate). δH (400 MHz; CDCl3) 1.72 (1H, br, 6-OH), 2.32–2.41 (1H, m, 4-H), 2.47 (1H, dd, J = 13.7, 8.1 Hz, 7″-HA), 2.56 (1H, dd, J = 13.7, 6.2 Hz, 7″-HB), 2.65 (1H, ddd, J = 9.0, 7.5, 5.3 Hz, 3-H), 2.85 (1H, dd, J = 14.0, 7.5 Hz, 7′-HA), 2.96 (1H, dd, J = 14.0, 5.3 Hz, 7′-HB), 3.15 (1H, dd, J = 12.6, 4.9 Hz, 6-HA), 3.54 (1H, dd, J = 12.6, 2.5 Hz, 6-HB), 4.18 (1H, ddd, J = 7.7, 4.9, 2.5 Hz, 5-H), 5.93–5.95 (4H, m, 2 × OCH2O), 6.45–6.49 (2H, m, 2″, 6″-H), 6.60 (1H, dd, J = 7.8, 1.7 Hz, 6′-H), 6.63 (1H, d, J = 1.7 Hz, 2′-H), 6.70 (1H, d, J = 7.8 Hz, 5″-H), 6.73 (1H, d, J = 7.8 Hz, 5′-H). δC (100 MHz; CDCl3) 35.4 (C-7′), 38.9 (C-7″), 41.8 (C-4), 47.6 (C-3), 63.3 (C-6), 83.9 (C-5), 101.1, 101.2 (2 × OCH2O), 108.4 (C-5′), 108.6 (C-5″), 109.2 (C-2″), 109.6 (C-2′), 121.9 (C-6″), 122.4 (C-6′), 131.5 (C-1′, 1″), 146.6 (C-4′, 4″), 148.0, 148.1 (C-3′, 3″), 177.6 (C-2). IR: νMAX (film)/cm−1; 3432 (br), 2922, 1760, 1503, 1490, 1444, 1247, 1038, 927, 811. HRMS (ESI+) Found [M + H]+ 385.1279; C21H21O7 requires 385.1282.
(3R*,4R*)-3-(3′,4′-Dimethoxybenzyl)-4-(3″,4″-methylenedioxybenzyl)-5-(hydroxymethyl)dihydrofuran-2(3H)-one (4ba). Using general procedure B: Morpholine amide 35ba (0.336 g, 0.74 mmol) in tBuOH/H2O/THF and a reaction time of 4 days. The crude product was then purified by column chromatography (1:3 hexanes, ethyl acetate) to give the title compound 4ba (0.103 g, 34%) as a pale yellow oil.
Rf = 0.48 (1:3 hexanes, ethyl acetate). δH (400 MHz; CDCl3) 1.68 (1H, t, J = 6.6 Hz, 6-OH), 2.33–2.42 (1H, m, 4-H), 2.48 (1H, dd, J = 13.7, 7.9 Hz, 7″-HA), 2.56 (1H, dd, J = 13.7, 6.3 Hz, 7″-HB), 2.68 (1H, ddd, J = 9.3, 6.9, 5.4 Hz, 3-H), 2.89 (1H, dd, J = 14.0, 6.9 Hz, 7′-HA), 2.96 (1H, dd, J = 14.0, 5.4 Hz, 7′-HB), 3.15 (1H, ddd, J = 12.5, 6.6, 5.2 Hz, 6-HA), 3.52 (1H, ddd, J = 12.5, 6.6, 2.6 Hz, 6-HB), 3.85 (3H, s, 3′-OCH3), 3.86 (3H, s, 4′-OCH3), 4.18 (1H, ddd, J = 7.9, 5.2, 2.6 Hz, 5-H), 5.93 (1H, d, J = 1.4 Hz, OCHAO), 5.94 (1H, d, J = 1.4 Hz, OCHBO), 6.44 (1H, d, J = 1.6 Hz, 2″-H), 6.47 (1H, dd, J = 7.8, 1.6 Hz, 6″-H), 6.67 (1H, d, J = 2.2 Hz, 2′-H), 6.68–6.72 (2H, m, 6′, 5″-H), 6.79 (1H, d, J = 8.0 Hz, 5′-H). δC (100 MHz; CDCl3) 35.2 (C-7′), 38.8 (C-7″), 41.7 (C-4), 47.6 (C-3), 56.0 (3′, 4′-OCH3), 63.4 (C-6), 83.8 (C-5), 101.3 (OCH2O), 108.5 (C-5′), 109.2 (C-2″), 111.3 (C-5″), 112.5 (C-2′), 121.6 (C-6′), 121.9 (C-6″), 130.3 (C-1′), 131.5 (C-1″), 146.7 (C-4″), 148.1 (C-4′, 3″), 149.2 (C-3′), 177.7 (C-2). IR: νMAX (film)/cm−1; 3472 (br), 2933, 1760, 1516, 1490, 1242, 1157, 1028, 925, 810, 730. HRMS (ESI+) Found [M + Na]+ 423.1423; C22H24NaO7 requires 423.1414.
(3R*,4R*)-3-(3′,4′,5′-Trimethoxybenzyl)-4-(3″,4″-methylenedioxybenzyl)-5-(hydroxymethyl)dihydrofuran-2(3H)-one (4bc). Using general procedure B: Morpholine amide 35bc (0.372 g, 0.77 mmol) in tBuOH/H2O/THF and a reaction time of 4 days. The crude product was then purified by column chromatography (1:3 hexanes, ethyl acetate) to give the title compound 4bc (0.084 g, 25%) as a pale-yellow oil.
Rf = 0.38 (1:3 hexanes, ethyl acetate). δH (400 MHz; CDCl3) 1.69 (1H, t, J = 6.6 Hz, 6-OH), 2.36–2.45 (1H, m, 4-H), 2.53 (1H, dd, J = 13.8, 7.6 Hz, 7″-HA), 2.59 (1H, dd, J = 13.8, 6.8 Hz, 7″-HB), 2.70 (1H, ddd, J = 9.5, 6.7, 5.4 Hz, 3-H), 2.87 (1H, dd, J = 14.0, 6.7 Hz, 7′-HA), 2.93 (1H, dd, J = 14.0, 5.4 Hz, 7′-HB), 3.22 (1H, ddd, J = 12.7, 6.6, 5.0 Hz, 6-HA), 3.58 (1H, ddd, J = 12.7, 6.6, 2.5 Hz, 6-HB), 3.82 (3H, s, 4′-OCH3), 3.84 (6H, s, 3′-OCH3), 3.85 (3H, s, 4″-OCH3), 4.19 (1H, ddd, J = 7.9, 5.0, 2.5 Hz, 5-H), 5.94 (1H, d, J = 1.4 Hz, OCHAO), 5.94 (1H, d, J = 1.4 Hz, OCHBO), 6.37 (2H, s, 2′-H), 6.46 (1H, d, J = 1.8 Hz, 2″-H), 6.48 (1H, dd, J = 7.9, 1.8 Hz, 6″-H), 6.70 (1H, d, J = 7.9 Hz, 5″-H). δC (100 MHz; CDCl3) 36.0 (C-7′), 38.8 (C-7″), 41.9 (C-4), 47.6 (C-3), 56.3 (3′-OCH3), 61.1 (4′-OCH3), 63.3 (C-6), 83.8 (C-5), 101.3 (OCH2O), 106.5 (C-2′), 108.5 (C-5″), 109.2 (C-2″), 121.9 (C-6″), 131.4 (C-1″), 133.6 (C-1′), 137.1 (C-4′), 146.7 (C-4″), 148.2 (C-3″), 153.5 (C-3′), 177.7 (C-2). IR: νMAX (film)/cm−1; 3475 (br), 2941, 1760, 1591, 1490, 1445, 1244, 1127, 1036, 926. HRMS (ESI+) Found [M + Na]+ 453.1519; C23H26NaO8 requires 453.1520.
(3R*,4R*)-3-(3′-Methoxy-4′-benzyloxybenzyl)-4-(3″,4″-methylenedioxybenzyl)-5-(hydroxymethyl)dihydrofuran-2(3H)-one (4bd). Using general procedure B: Morpholine amide 35bd (0.405 g, 0.77 mmol) in tBuOH/H2O/THF and a reaction time of 5 days. The crude product was then purified by column chromatography (1:3 hexanes, ethyl acetate) to give the title compound 4bd (0.205 g, 56%) as a pale-yellow oil.
Rf = 0.58 (1:3 hexanes, ethyl acetate). δH (400 MHz; CDCl3) 1.64 (1H, t, J = 6.6 Hz, 6-OH), 2.31–2.40 (1H, m, 4-H), 2.46 (1H, dd, J = 13.7, 7.9 Hz, 7″-HA), 2.53 (1H, dd, J = 13.7, 6.3 Hz, 7″-HB), 2.67 (1H, ddd, J = 9.2, 7.2, 5.3 Hz, 3-H), 2.87 (1H, dd, J = 14.0, 7.2 Hz, 7′-HA), 2.95 (1H, dd, J = 14.0, 5.3 Hz, 7′-HB), 3.13 (1H, ddd, J = 12.6, 6.6, 5.1 Hz, 6-HA), 3.48 (1H, ddd, J = 12.6, 6.6, 2.6 Hz, 6-HB), 3.86 (3H, s, 3′-OCH3), 4.17 (1H, ddd, J = 7.8, 5.1, 2.6 Hz, 5-H), 5.13 (2H, s, 7‴-H), 5.93 (1H, d, J = 1.4 Hz, OCHAO), 5.94 (1H, d, J = 1.4 Hz, OCHBO), 6.43 (1H, d, J = 1.6 Hz, 2″-H), 6.45 (1H, dd, J = 7.9, 1.6 Hz, 6″-H), 6.64 (1H, dd, J = 8.2, 2.0 Hz, 6′-H), 6.68–6.70 (2H, m, 2′, 5″-H), 6.81 (1H, d, J = 8.2 Hz, 5′-H), 7.27–7.30 (1H, m, 4‴-H), 7.32–7.36 (2H, m, 3‴-H), 7.40–7.44 (2H, m, 2‴-H). δC (100 MHz; CDCl3) 35.3 (C-7′), 38.8 (C-7″), 41.8 (C-4), 47.6 (C-3), 56.1 (3′-OCH3), 63.4 (C-6), 71.3 (C-7‴), 83.8 (C-5), 101.3 (OCH2O), 108.5 (C-5″), 109.2 (C-2″), 113.0 (C-2′), 114.4 (C-5′), 121.5 (C-6′), 121.9 (C-6″), 127.5 (C-2‴), 128.0 (C-4‴), 128.7 (C-3‴), 131.0 (C-1′), 131.5 (C-1″), 137.3 (C-1‴), 146.7 (C-4″), 147.2 (C-4′), 148.1 (C-3″), 150.0 (C-3′), 177.7 (C-2). IR: νMAX (film)/cm−1; 3471 (br), 2940, 1743, 1504, 1490, 1366, 1230, 1036, 926, 735. HRMS (ESI+) Found [M + Na]+ 499.1729; C28H28NaO7 requires 499.1727.
(3R*,4R*,5S*)-4-(3″,4″-Methylenedioxybenzyl)-3-(4′-hydroxy-3′-methoxybenzyl)-5-(hydroxymethyl)dihydrofuran-2(3H)-one (4be). Using general procedure F: Benzyl ether 4bd (0.02 g, 0.04 mmol) and a reaction time of 1 h. The crude product was then purified by column chromatography (1:3 hexanes, ethyl acetate) to give the title compound 4be (0.017 g, quant.) as a colourless oil. Rf = 0.52 (1:3 hexanes, ethyl acetate). δH (400 MHz; CDCl3) 1.74 (1H, br, 6-OH), 2.33–2.42 (1H, m, 4-H), 2.48 (1H, dd, J = 13.7, 8.0 Hz, 7″-HA), 2.57 (1H, dd, J = 13.7, 6.2 Hz, 7″-HB), 2.67 (1H, ddd, J = 9.4, 6.9, 5.5 Hz, 3-H), 2.88 (1H, dd, J = 14.0, 6.9 Hz, 7′-HA), 2.94 (1H, dd, J = 14.0, 5.5 Hz, 7′-HB), 3.15 (1H, br d, J = 12.6 Hz, 6-HA), 3.52 (1H, br d, J = 12.6 Hz, 6-HB), 3.86 (3H, s, 3′-OCH3), 4.18 (1H, ddd, J = 8.0, 5.0, 2.5 Hz, 5-H), 5.54 (1H, s, 4′-OH), 5.93 (1H, d, J = 1.4 Hz, OCHAO), 5.94 (1H, d, J = 1.4 Hz, OCHBO), 6.45 (1H, d, J = 1.9 Hz, 2″-H), 6.47 (1H, dd, J = 7.7, 1.9 Hz, 6″-H), 6.63 (1H, dd, J = 8.0, 1.9 Hz, 6′-H), 6.67 (1H, d, J = 1.9 Hz, 2′-H), 6.70 (1H, d, J = 7.7 Hz, 5″-H), 6.84 (1H, d, J = 8.0 Hz, 5′-H). δC (100 MHz; CDCl3) 35.3 (C-7′), 38.8 (C-7″), 41.7 (C-4), 47.7 (C-3), 56.1 (3′-OCH3), 63.4 (C-6), 83.9 (C-5), 101.3 (OCH2O), 108.6 (C-5″), 109.2 (C-2″), 111.8 (C-2′), 114.5 (C-5′), 121.9 (C-6″), 122.3 (C-6′), 129.6 (C-1′), 131.5 (C-1″), 144.7 (C-4′), 146.7 (C-3′), 146.8 (C-4″), 148.1 (C-3″), 177.8 (C-2). IR: νMAX (film)/cm −1; 3449 (br), 2933, 1754, 1516, 1490, 1246, 1036, 926, 812. HRMS (ESI+) Found [M + Na]+ 409.1246; C21H22NaO7 requires 409.1258.
(±)-Arcitin (1aa). Using general procedure C: Lactone 4aa (0.16 g, 0.39 mmol) and a reaction time of 2 h to give triol 38aa (0.17 g, quant.) as a colourless oil. Then using general procedure D: Triol 38aa (0.16 g, 0.37 mmol) and a reaction time of 2.5 h to give lactol 39aa (0.14 g, 97%) which was used without further purification. Then using general procedure E: Lactol 39aa (0.054 g, 0.14 mmol) and a reaction time of 3 h. The crude product was purified by column chromatography (1:1, hexanes, ethyl acetate) to give the title compound 1aa (0.05 g, 88%) as a pale yellow amorphous solid. Rf = 0.45 (19:1, CH2Cl2, methanol). Melting point: 114–116 °C [lit. [49] 113 °C]. δH (400 MHz; CDCl3) 2.45–2.68 (4H, m, 8, 7′, 8′-H), 2.92 (1H, dd, J = 14.3, 6.8 Hz, 7-HA), 2.97 (1H, dd, J = 14.3, 5.5 Hz, 7-HB), 3.82 (3H, s, 3′-OCH3), 3.83 (3H, s, 3-OCH3), 3.85–3.90 (7H, m, 4, 4′-OCH3, 9′-HA), 4.13 (1H, t, J = 7.0 Hz, 9′-HB), 6.49 (1H, d, J = 1.9 Hz, 2′-H), 6.55 (1H, dd, J = 8.1, 1.9 Hz, 6′-H), 6.66 (1H, dd, J = 8.1, 1.9 Hz, 6-H), 6.69 (1H, d, J = 1.9 Hz, 2-H), 6.75 (1H, d, J = 8.1 Hz, 5-H), 6.77 (1H, d, J = 8.1 Hz, 5′-H). δC (100 MHz; CDCl3) 34.5 (C-7), 38.2 (C-7′), 41.1 (C-8′), 46.6 (C-8), 55.8, 55.9 (3, 4, 3′, 4′-OCH3), 71.2 (C-9′), 111.1 (C-5), 111.4 (C-5′), 111.9 (C-2′), 112.4 (C-2), 120.6 (C-6′), 121.4 (C-6), 130.2 (C-1), 130.5 (C-1′), 147.9 (C-4′), 148.0 (C-4), 149.1 (C-3, 3′), 178.7 (C-9). IR: νMAX (film)/cm−1; 2956, 1753, 1588, 1513, 1257, 1236, 1153, 1137, 1019, 825, 764. HRMS (ESI+) Found [M + H]+ 387.1806; C22H27O6 requires 387.1802. Values are in agreement with literature data [50].
(±)-Bursehernin (1a). Using general procedure C: Lactone 4ab (0.114 g, 0.28 mmol) and a reaction time of 30 min to give triol 38ab (0.111 g, 97%) as a cloudy oil. Then using general procedure D: Triol 38ab (0.111 g, 0.27 mmol) and a reaction time of 1 h to give lactol 39ab (0.093 g, 91%) which was used without further purification. Then using general procedure E: Lactol 39ab (0.093 g, 0.25 mmol) and a reaction time of 2 h. The crude product was purified by column chromatography (1:1, hexanes, ethyl acetate) to give the title compound 1ab (0.06 g, 65%) as a pale-yellow oil. Rf = 0.66 (19:1, CH2Cl2, methanol). δH (400 MHz; CDCl3) 2.41–2.62 (4H, m, 8, 7′, 8′-H), 2.88 (1H, dd, J = 14.0, 6.9 Hz, 7-HA), 2.96 (1H, dd, J = 14.0, 5.1 Hz, 7-HB), 3.82 (3H, s, 3-OCH3), 3.83–3.86 (4H, m, 4-OCH3, 9′-HA), 4.10 (1H, dd, J = 9.1, 6.9 Hz, 9′-HB), 5.91 (1H, d, J = 1.4 Hz, OCHAO), 5.92 (1H, d, J = 1.4 Hz, OCHBO), 6.42 (1H, d, J = 1.5 Hz, 2′-H), 6.44 (1H, dd, J = 7.9, 1.5 Hz, 6′-H), 6.66 (1H, d, J = 1.9 Hz, 2-H), 6.67–6.70 (2H, m, 6, 5′-H), 6.78 (1H, d, J = 8.0 Hz, 5-H). δC (100 MHz; CDCl3) 34.7 (C-7), 38.4 (C-7′), 41.2 (C-8′), 46.6 (C-8), 55.9 (3, 4-OCH3), 71.2 (C-9′), 101.1 (OCH2O), 108.4 (C-5′), 108.8 (C-2′), 111.2 (C-5), 112.3 (C-2), 121.4 (C-6), 121.6 (C-6′), 130.2 (C-1), 131.7 (C-1′), 146.4 (C-4′), 148.0 (C-3′), 148.1 (C-4), 149.2 (C-3), 178.7 (C-9). IR: νMAX (film)/cm−1; 2907, 1764, 1514, 1489, 1442, 1240, 1025, 923, 808, 730. HRMS (ESI+) Found [M + Na]+ 393.1317; C21H22NaO6 requires 393.1309. Values are in agreement with literature data [51].
(±)-4-O-Methyl traxillagenin (1ac). Using general procedure C: Lactone 4ac (0.119 g, 0.27 mmol) and a reaction time of 45 min to give triol 38ac (0.11 g, 90%) as a cloudy oil. The using general procedure D: Triol 38ac (0.11 g, 0.24 mmol) and a reaction time of 15 min. The crude product was purified by column chromatography (1:2 hexanes, ethyl acetate) to give lactol 39ac (0.06 g, 60%) as a colourless oil. Then using general procedure E: Lactol 39ac (0.06 g, 0.15 mmol) and a reaction time of 3 h. The crude product purified by column chromatography (1:1, hexanes, ethyl acetate) to give the title compound 1ac (0.044 g, 73%) as a white solid. Rf = 0.61 (19:1, CH2Cl2, methanol). Melting point: 126 °C. δH (400 MHz; CDCl3) 2.44–2.66 (4H, m, 8, 7′, 8′-H), 2.91 (1H, dd, J = 14.1, 6.6 Hz, 7-HA), 2.98 (1H, dd, J = 14.1, 5.4 Hz, 7-HB), 3.79 (6H, s, 3′-OCH3), 3.80 (6H, s, 4′-OCH3), 3.83 (3H, s, 3-OCH3), 3.84 (3H, s, 4-OCH3), 3.87 (1H, dd, J = 9.2, 7.3 Hz, 9′-HA), 4.14 (1H, dd, J = 9.2, 7.0 Hz, 9′-HB), 6.19 (2H, s, 2′-H), 6.63 (1H, dd, J = 8.0, 2.0 Hz, 6-H), 6.70 (1H, d, J = 2.0 Hz, 2-H), 6.75 (1H, d, J = 8.0 Hz, 5-H). δC (100 MHz; CDCl3) 34.6 (C-7), 39.0 (C-7′), 41.2 (C-8′), 46.7 (C-8), 56.0 (3, 4-OCH3), 56.2 (3′-OCH3), 60.9 (4′-OCH3), 71.3 (C-9′), 105.7 (C-2′), 111.2 (C-5), 112.6 (C-2), 121.4 (C-6), 130.3 (C-1), 133.8 (C-1′), 137.0 (C-4′), 148.1 (C-4), 149.2 (C-3), 153.5 (C-3′), 178.7 (C-9). IR: νMAX (film)/cm−1; 2938, 1764, 1590, 1509, 1460, 1237, 1123, 1014, 731. HRMS (ESI+) Found [M + Na]+ 439.1716; C23H28NaO7 requires 439.1727. Values are in agreement with literature data [52].
(±)-4′-O-Benzyl buplerol (1ad). Using general procedure C: Lactone 4ad (0.505 g, 1.02 mmol) and a reaction time of 3 h to give the triol 38ad (0.472 g, 93%) as a cloudy oil. Then using general procedure D: Triol 38ad (0.472 g, 0.95 mmol) and a reaction time of 30 min to give lactol 39ad (0.416 g, 94%) as a white solid which was used without further purification. Then using general procedure E: Lactol 39ad (0.416 g, 0.90 mmol) and a reaction time of 1.5 h. The crude product was purified by column chromatography (1:1, hexanes, ethyl acetate) to give the title compound 1ad (0.374 g, 90%) as a pale-yellow oil. Rf = 0.52 (1:1, hexanes, ethyl acetate). δH (400 MHz; CDCl3) 2.42–2.66 (4H, m, 8, 7′, 8′-H), 2.91 (1H, dd, J = 14.1, 6.2 Hz, 7-HA), 2.95 (1H, dd, J = 14.1, 5.7 Hz, 7-HB), 3.827, 3.829 (6H, 2 × s, 3, 3′-OCH3), 3.85 (3H, s, 4-OCH3), 3.83–3.88 (1H, m, 9′-HA), 4.11 (1H, dd, J = 8.7, 7.0 Hz, 9′-HB), 5.12 (2H, s, Ph-CH2), 6.48 (1H, dd, J = 8.0, 2.0 Hz, 6′-H), 6.51 (1H, d, J = 2.0 Hz, 2′-H), 6.64 (1H, dd, J = 8.2, 2.0 Hz, 6-H), 6.68 (1H, d, J = 2.0 Hz, 2-H), 6.76 (1H, d, J = 8.2 Hz, 5-H), 6.77 (1H, d, J = 8.0 Hz, 5′-H), 7.27–7.32 (1H, m, Ph-p-H), 7.33–7.38 (2H, m, Ph-m-H), 7.40–7.44 (2H, m, Ph-o-H). δC (100 MHz; CDCl3) 34.6 (C-7), 38.3 (C-7′), 41.2 (C-8′), 46.7 (C-8), 56.0 (3, 3′-OCH3), 56.1 (4-OCH3), 71.3, 71.4 (C-9′, Ph-CH2), 111.3 (C-5), 112.5 (C-2), 112.6 (C-5′), 114.5 (C-5′), 120.7 (C-6′), 121.5 (C-6), 127.4 (Ph-o-C), 128.0 (Ph-p-C), 128.7 (Ph-m-C), 130.3 (C-1), 131.3 (C-1′), 137.3 (Ph-i-C), 147.2 (C-4′), 148.1 (C-4), 149.2 (C-3), 149.9 (C-3′), 178.8 (C-9). IR: νMAX (film)/cm−1; 2935, 1763, 1512, 1260, 1233, 1140, 1014, 736, 697. HRMS (ESI+) Found [M + Na]+ 485.1934; C28H30NaO6 requires 485.1935.
(±)-Buplerol (1ae). Using general procedure F: Lactone 1ad (0.336 g, 0.73 mmol) and a reaction time of 3.5 h to give the title compound 1ae (0.271 g, quant.) as a white solid. Rf = 0.33 (1:1, hexanes, ethyl acetate). Melting point: 101–103 °C. δH (400 MHz; CDCl3) 2.42–2.66 (4H, m, 8, 7′, 8′-H), 2.90 (1H, dd, J = 14.1, 6.8 Hz, 7-HA), 2.97 (1H, dd, J = 14.1, 5.3 Hz, 7-HB), 3.81 (3H, s, 3-OCH3), 3.83 (3H, s, 3′-OCH3), 3.86 (4H, m, 4-OCH3), 3.87 (1H, dd, J = 8.9, 7.1 Hz, 9′-HA), 4.13 (1H, dd, J = 9.3, 7.1 Hz, 9′-HB), 5.51 (1H, s, 4′-OH), 6.43 (1H, d, J = 1.9 Hz, 2′-H), 6.52 (1H, dd, J = 8.0, 1.9 Hz, 6′-H), 6.64–6.67 (2H, m, 2, 6-H), 6.77 (1H, d, J = 8.6 Hz, 5-H), 6.80 (1H, d, J = 8.0 Hz, 5′-H). δC (100 MHz; CDCl3) 34.7 (C-7), 38.5 (C-7′), 41.3 (C-8′), 46.7 (C-8), 55.9, 56.0 (3, 3′, 4-OCH3), 71.4 (C-9′), 111.1, 111.2 (C-5, 5′), 112.5 (C-2), 114.6 (C-2′), 121.5 (C-6, 6′), 129.9 (C-1′), 130.4 (C-1), 144.6 (C-4′), 146.7 (C-3′), 148.1 (C-4), 149.2 (C-3), 178.9 (C-9). IR: νMAX (film)/cm−1; 3417, 2938, 1760, 1513, 1236, 1148, 1023, 812, 795. HRMS (ESI+) Found [M + Na]+ 395.1462; C21H24NaO6 requires 395.1465. Values are in agreement with literature data [53].
(±)-Kusunokinin (1ba). Using general procedure C: Lactone 4ba (0.082 g, 0.20 mmol) and a reaction time of 1 h to give the triol 38ba (0.083 g, quant.) as a cloudy oil. Then using general procedure D: Triol 38ba (0.083 g, 0.20 mmol) and a reaction time of 15 min to give lactol 39ba (0.064 g, 84%) which was used without further purification. Then using general procedure E: Lactol 39ba (0.056 g, 0.15 mmol) and a reaction time of 1 h. The crude product was purified by column chromatography (2:1, hexanes, ethyl acetate) to give the title compound 1ba (0.051 g, 91%) as a colourless oil. Rf = 0.48 (1:1, hexanes, ethyl acetate). δH (400 MHz; CDCl3) 2.44–2.65 (4H, m, 8, 7′, 8′-H), 2.84 (1H, dd, J = 14.1, 7.0 Hz, 7-HA), 2.95 (1H, dd, J = 14.1, 5.1 Hz, 7-HB), 3.82 (3H, s, 3′-OCH3), 3.85 (3H, s, 4′-OCH3), 3.87 (1H, dd, J = 9.2, 7.2 Hz, 9′-HA), 4.14 (1H, dd, J = 9.2, 7.0 Hz, 9′-HB), 5.92 (1H, d, J = 1.4 Hz, OCHAO), 5.93 (1H, d, J = 1.4 Hz, OCHBO), 6.48 (1H, d, J = 2.0 Hz, 2′-H), 6.55–6.60 (3H, m, 2, 6, 6′-H), 6.71 (1H, d, J = 7.7 Hz, 5-H), 6.76 (1H, d, J = 8.2 Hz, 5′-H). δC (100 MHz; CDCl3) 34.9 (C-7), 38.4 (C-7′), 41.3 (C-8′), 46.6 (C-8), 55.9 (3′-OCH3), 56.0 (4′-OCH3), 71.4 (C-9′), 101.1 (OCH2O), 108.3 (C-5), 109.6 (C-2), 111.4 (C-5′), 111.8 (C-2′), 120.8 (C-6′), 122.4 (C-6), 130.6 (C-1′), 131.5 (C-1), 146.6 (C-4), 148.0 (C-3, 4′), 149.2 (C-3′), 178.6 (C-9). IR: νMAX (film)/cm−1; 2908, 1764, 1515, 1489, 1442, 1242, 1024, 912, 809, 729. HRMS (ESI+) Found [M + Na]+ 393.1301; C21H22NaO6 requires 393.1309. Values are in agreement with literature data [50].
(±)-Hinokinin (1bb). Using general procedure C: Lactone 4bb (0.12 g, 0.31 mmol) and a reaction time of 30 min to give the triol 38bb (0.12 g, quant.) as a cloudy oil. Then using general procedure D: Triol 38bb (0.121 g, 0.31 mmol) and a reaction time of 10 min to give lactol 39bb (0.096 g, 86%) which was used without further purification. Then using general procedure E: Lactol 39bb (0.089 g, 0.25 mmol) and a reaction time of 1 h. The crude product was purified by column chromatography (1:1, hexanes, ethyl acetate) to give the title compound 1bb (0.08 g, 90%) as a pale-yellow oil. Rf = 0.73 (1:1, hexanes, ethyl acetate). δH (400 MHz; CDCl3) 2.41–2.62 (4H, m, 8, 7′, 8′-H), 2.83 (1H, dd, J = 14.1, 7.2 Hz, 7-HA), 2.98 (1H, dd, J = 14.1, 5.0 Hz, 7-HB), 3.85 (1H, dd, J = 9.2, 7.1 Hz, 9′-HA), 4.12 (1H, dd, J = 9.2, 6.9 Hz, 9′-HB), 5.91–5.94 (4H, m, 2 × OCH2O), 6.44–6.47 (2H, m, 2′, 6′-H), 6.59 (1H, dd, J = 7.9, 1.8 Hz, 6-H), 6.62 (1H, d, J = 1.8 Hz, 2-H), 6.69 (1H, d, J = 8.4 Hz, 5′-H), 6.72 (1H, d, J = 7.9 Hz, 5-H). δC (100 MHz; CDCl3) 34.9 (C-7), 38.4 (C-7′), 41.4 (C-8′), 46.6 (C-8), 71.2 (C-9′), 101.1 (2 × OCH2O), 108.4 (C-5, 5′), 108.9 (C-2′), 109.5 (C-2), 121.6 (C-6′), 122.3 (C-6), 131.5 (C-1), 131.7 (C-1′), 146.4 (C-4), 146.6 (C-4′), 148.0 (C-3, 3′), 178.5 (C-9). IR: νMAX (film)/cm−1; 2901, 1764, 1488, 1441, 1242, 1015, 924, 808, 728. HRMS (ESI+) Found [M + Na]+ 377.0986; C20H18NaO6 requires 377.0996. Values are in agreement with literature data [54].
(±)-Isoyatein (1bc). Using general procedure C: Lactone 4bc (0.076 g, 0.18 mmol) and a reaction time of 1 h to give the triol 38bc (0.077 g, >99%) as a cloudy oil. Then using general procedure D: Triol 38bc (0.077 g, 0.18 mmol) and a reaction time of 1 h to give lactol 39bc (0.057 g, 80%) which was used without further purification. Then using general procedure E: Lactol 39bc (0.05 g, 0.12 mmol) and a reaction time of 3 h. The crude product was purified by column chromatography (1:1, hexanes, ethyl acetate) to give the title compound 1bc (0.8 mg, 16%) as a pale-yellow oil. Rf = 0.55 (1:1, hexanes, ethyl acetate). δH (400 MHz; CDCl3) 2.46–2.64 (4H, m, 8, 7′, 8′-H), 2.86 (1H, dd, J = 14.1, 7.0 Hz, 7-HA), 2.98 (1H, dd, J = 14.1, 5.1 Hz, 7-HB), 3.81 (6H, s, 3′-OCH3), 3.82 (3H, s, 4′-OCH3), 3.89 (1H, dd, J = 9.2, 7.0 Hz, 9′-HA), 4.19 (1H, dd, J = 9.2, 6.8 Hz, 9′-HB), 5.93 (1H, d, J = 1.5 Hz, OCHAO), 5.94 (1H, d, J = 1.5 Hz, OCHBO), 6.20 (2H, s, 2′-H), 6.58 (1H, dd, J = 7.9, 1.8 Hz, 6-H), 6.61 (1H, d, J = 1.8 Hz, 2-H), 6.71 (1H, d, J = 7.9 Hz, 5-H). δC (100 MHz; CDCl3) 34.9 (C-7), 39.2 (C-7′), 41.4 (C-8′), 46.6 (C-8), 56.2 (3′-OCH3), 61.0 (4′-OCH3), 71.4 (C-9′), 101.2 (OCH2O), 105.7 (C-2′), 108.3 (C-5), 109.6 (C-2), 122.4 (C-6), 131.5 (C-1), 133.8 (C-1′), 137.0 (C-4′), 146.7 (C-4), 148.1 (C-3), 153.5 (C-3′), 178.5 (C-9). IR: νMAX (film)/cm−1; 2938, 1763, 1590, 1489, 1443, 1241, 1122, 1011, 927, 813, 732. HRMS (ESI+) Found [M + Na]+ 423.1400; C22H24NaO7 requires 423.1414. Values are in agreement with literature data [55].
(±)-4′-O-Benzyl haplomyrfolin (1bd). Using general procedure C: Lactone 4bd (0.18 g, 0.38 mmol) and a reaction time of 20 min to give the triol 38bd (0.18 g, quant.) as a cloudy oil. Then using general procedure D: Triol 38bd (0.18 g, 0.38 mmol) and a reaction time of 20 min to give lactol 39bd (0.13 g, 76%) as a white solid which was used without further purification. Then using general procedure E: Lactol 39bd (0.13 g, 0.28 mmol) and a reaction time of 2 h. The crude product was purified by column chromatography (3:1, hexanes, ethyl acetate) to give the title compound 1bd (0.12 g, 94%) as a colourless oil. Rf = 0.65 (1:1, hexanes, ethyl acetate). δH (400 MHz; CDCl3) 2.43–2.64 (4H, m, 8, 7′, 8′-H), 2.84 (1H, dd, J = 14.1, 7.0 Hz, 7-HA), 2.94 (1H, dd, J = 14.1, 5.1 Hz, 7-HB), 3.83 (3H, s, 3′-OCH3), 3.87 (1H, dd, J = 9.1, 7.2 Hz, 9′-HA), 4.14 (1H, dd, J = 9.1, 7.0 Hz, 9′-HB), 5.12 (2H, s, 7″-H), 5.91 (1H, d, J = 1.4 Hz, OCHAO), 5.93 (1H, d, J = 1.4 Hz, OCHBO), 6.49–6.52 (2H, m, 2′, 6′-H), 6.57 (1H, dd, J = 7.9, 1.8 Hz, 6-H), 6.59 (1H, d, J = 1.8 Hz, 2-H), 6.70 (1H, d, J = 7.9 Hz, 5-H), 6.78 (1H, d, J = 8.5 Hz, 5′-H), 7.27–7.32 (1H, m, 4″-H), 7.33–7.38 (2H, m, 3″-H), 7.41–7.45 (2H, m, 2″-H). δC (100 MHz; CDCl3) 34.8 (C-7), 38.4 (C-7′), 41.3 (C-8′), 46.5 (C-8), 56.0 (3′-OCH3), 71.2 (C-7″), 71.3 (C-9′), 101.1 (OCH2O), 108.3 (C-5), 109.6 (C-2), 112.4 (C-2′), 114.4 (C-5′), 120.7 (C-6′), 122.4 (C-6), 127.4 (C-2″), 128.0 (C-4″), 128.6 (C-3″), 131.2 (C-1), 131.5 (C-1′), 137.2 (C-1″), 146.6 (C-4), 147.1 (C-4′), 148.0 (C-3), 149.9 (C-3′), 178.6 (C-9). IR: νMAX (film)/cm−1; 2907, 1765, 1504, 1489, 1443, 1244, 1140, 1034, 911, 809, 730. HRMS (ESI+) Found [M + Na]+ 469.1612; C27H26NaO6 requires 469.1622.
(±)-Haplomyrfolin (1be). Using general procedure F: Lactone 1bd (0.119 g, 0.27 mmol) and a reaction time of 1.5 h. The crude product was purified by column chromatography (1:1 hexanes, ethyl acetate) to give the title compound 1be (0.086 g, 91%) as a colourless oil. Rf = 0.47 (1:1 hexanes, ethyl acetate). δH (400 MHz; CDCl3) 2.43–2.63 (4H, m, 8, 7′, 8′-H), 2.84 (1H, dd, J = 14.1, 7.0 Hz, 7-HA), 2.95 (1H, dd, J = 14.1, 5.2 Hz, 7-HB), 3.83 (3H, s, 3′-OCH3), 3.86 (1H, dd, J = 9.1, 7.2 Hz, 9′-HA), 4.13 (1H, dd, J = 9.1, 7.0 Hz, 9′-HB), 5.63 (1H, s, 4′-OH), 5.91 (1H, d, J = 1.4 Hz, OCHAO), 5.92 (1H, d, J = 1.4 Hz, OCHBO), 6.46 (1H, d, J = 1.9 Hz, 2′-H), 6.51 (1H, dd, J = 8.0, 1.9 Hz, 6′-H), 6.58 (1H, dd, J = 7.8, 1.7 Hz, 6-H), 6.60 (1H, d, J = 1.7 Hz, 2-H), 6.70 (1H, d, J = 7.8 Hz, 5-H), 6.80 (1H, d, J = 8.0 Hz, 5′-H). δC (100 MHz; CDCl3) 34.8 (C-7), 38.3 (C-7′), 41.4 (C-8′), 46.5 (C-8), 55.9 (3′-OCH3), 71.3 (C-9′), 101.1 (OCH2O), 108.3 (C-5), 109.6 (C-2), 111.2 (C-2′), 114.6 (C-5′), 121.4 (C-6′), 122.4 (C-6), 129.9 (C-1′), 131.5 (C-1), 144.5 (C-4′), 146.5 (C-4), 146.7 (C-3′), 147.9 (C-3), 178.7 (C-9). IR: νMAX (film)/cm−1; 3468, 2921, 1762, 1515, 1489, 1443, 1243, 1035, 907, 725. HRMS (ESI+) Found [M + Na]+ 379.1151; C20H20NaO6 requires 379.1152. Values are in agreement with literature data [56].

4. Biological Assay Methods

4.1. Cell Culture

Jurkat E61 cells (ECACC) were maintained at 37 °C in RMPI media (Lonza) supplemented with 10% Foetal Bovine Serum (FBS) (Lonza) (10% RPMI) in a humidified environment of 5% CO2 in air. Cells were routinely passaged to maintain a cell density of between 1 × 105 and 1 × 106/mL.

4.2. Drug Treatments

Lignans were diluted to stock concentrations of 30 mM in DMSO and further diluted to the working concentration in 10% RPMI. The DMSO diluted to the appropriate concentration was used as the vehicle-control. Cells were seeded at the relevant density per well depending upon the assay to be performed, in 100 µL volume of fresh 10% RPMI. Trypan blue exclusion method was used to assess viability prior to experiments and cell viability was always >95%. Lignans were added at 100 µL/well to the relevant wells. Cells were incubated at 37 °C in a humidified environment of 5% CO2 in air for the indicated times. Dead cell controls were included in subsequent viability assays by treating cells with 50 µL/well EtOH (final concentration 50%) for 48 h. Apoptotic controls were included in subsequent apoptosis assays by exposing cells to a heat shock at 43 °C for 2 h. Positive controls for cell cycle analysis were included by treating cells with 0.5 μM camptothecin for 4 h to induce cell cycle arrest.

4.3. MTS Assay

Following treatments at a cell density of 1 × 105 cells/well, the samples were centrifuged at 500 g for 5 min and the supernatant was removed. A 100 µL/well volume of fresh 10 % RPMI was added. A 20 µL volume of MTS solution (Promega, G1112) was added to each well and the plate was incubated in the dark for 1 h at 37 °C. The absorbance was detected at 490 nm on a Synergy HT plate reader.

4.4. Annexin V/PI Assay

Following treatments at a cell density of 1 × 105 cells/well, the samples were centrifuged at 500 g for 5 min and the supernatant was removed. Cells were washed in 500 µL DPBS before addition of 100 µL of 1 × Annexin V binding buffer (BD Biosciences). A 5 µL volume of FITC-conjugated Annexin V (BD Biosciences) and 10 µL Propidium Iodide (BD Biosciences) was added and the cells were incubated in the dark for 20 min. Samples were diluted by addition of 400 µL 1 × Annexin V binding buffer before immediate analysis on an Accuri C6 Flow Cytometer (Becton Dickinson, Oxford, UK).

4.5. Cell Cycle Analysis

Following treatments at a cell density of 5 × 106/well, cells were centrifuged at 500 g for 5 min and the supernatant was removed. The remaining cell pellet was vortexed while simultaneously adding 500 μL of 70% ethanol dropwise, fixing the cells and minimising clumping. The samples were incubated at 4 °C for 30 min, and then centrifuged at 1000 g for 5 min. The supernatant was discarded, and the pellet was re-suspended in 500 μL DPBS. The samples were centrifuged again at 1000 g for 5 min, and the supernatant was removed a final time. The pellet was resuspended in 50 μL RNase A (100 μg/mL stock; Roche, UK) and 200 μL PI (50 μg/mL stock; Sigma, UK). The samples were analyzed on an Accuri C6 flow cytometer (Becton Dickinson) and data was modelled and interpreted using ModFit Analysis Software, version 5.0 (Verity Software House).

Supplementary Materials

The following are available online.

Author Contributions

Conceptualization, D.B. and N.C.D.-H.; Methodology, S.J.D., M.E.-M., S.T. and T.W.; Formal Analysis, L.I.P., D.B. and N.C.D.-H.; Investigation, S.J.D., M.E.-M., S.T. and T.W.; Writing-Original Draft Preparation, S.J.D. and L.I.P.; Writing-Review & Editing, D.B., L.I.P., S.J.D., K.A.W. and N.C.D.-H.; Supervision, D.B., K.A.W. and N.C.D.-H.; Project Administration, D.B.

Funding

This research received no external funding.

Conflicts of Interest

The authors declare no conflict of interest.

References

  1. Jang, Y.P.; Kim, S.R.; Kim, Y.C. Neuroprotective dibenzylbutyrolactone lignans of Torreya nucifera. Planta Med. 2001, 67, 470–472. [Google Scholar] [CrossRef] [PubMed]
  2. Marcotullio, M.C.; Pelosi, A.; Curini, M. Hinokinin, an emerging bioactive lignan. Molecules 2014, 19, 14862–14878. [Google Scholar] [CrossRef] [PubMed]
  3. Su, S.; Cheng, X.; Wink, M. Natural lignans from Arctium lappa modulate P-glycoprotein efflux function in multidrug resistant cancer cells. Phytomedicine 2015, 22, 301–307. [Google Scholar] [CrossRef] [PubMed]
  4. Yang, Y.-N.; Huang, X.-Y.; Feng, Z.-M.; Jiang, J.-S.; Zhang, P.-C. New butyrolactone type lignans from Arctii fructus and their anti-inflammatory activities. J. Agric. Food Chem. 2015, 63, 7958–7966. [Google Scholar] [CrossRef] [PubMed]
  5. Su, S.; Wink, M. Natural lignans from Arctium lappa as antiaging agents in Caenorhabditis elegans. Phytochemistry 2015, 117, 340–350. [Google Scholar] [CrossRef] [PubMed]
  6. Chang, H.; Wang, Y.; Gao, X.; Song, Z.; Awale, S.; Han, N.; Liu, Z.; Yina, J. Lignans from the root of Wikstroemia indica and their cytotoxic activity against PANC-1 human pancreatic cancer cells. Fitoterpia 2017, 121, 31–37. [Google Scholar] [CrossRef] [PubMed]
  7. Maxwell, T.; Chun, S.Y.; Lee, K.S.; Kim, S.; Nam, K.S. The anti-metastatic effects of the phytoestrogen arctigenin on human breast cancer cell lines regardless of the status of ER expression. Int. J. Oncol. 2017, 50, 727–735. [Google Scholar] [CrossRef] [PubMed]
  8. Maxwell, T.; Lee, K.S.; Kim, S.; Nam, K.S. Arctigenin inhibits the activation of the mTOR pathway, resulting in autophagic cell death and decreased ER expression in ER-positive human breast cancer cells. Int. J. Oncol. 2018, 52, 1339–1349. [Google Scholar] [CrossRef] [PubMed]
  9. Huang, Q.; Qin, S.; Yuan, X.; Zhang, L.; Ji, J.; Liu, X.; Ma, W.; Zhang, Y.; Liu, P.; Sun, Z.; et al. Arctigenin inhibits triple-negative breast cancers by targeting CIP2A to reactivate protein phosphatase 2A. Oncol. Rep. 2017, 38, 598–606. [Google Scholar] [CrossRef] [PubMed]
  10. Li, Q.C.; Liang, Y.; Tian, Y.; Hu, G.R. Arctigenin induces apoptosis in colon cancer cells through ROS/p38MAPK pathway. J. Buon. 2016, 21, 87–94. [Google Scholar] [PubMed]
  11. Han, Y.H.; Kee, J.Y.; Kim, D.S.; Mun, J.G.; Jeong, M.Y.; Park, S.H.; Choi, B.M.; Park, S.J.; Kim, H.J.; Um, J.Y.; et al. Arctigenin inhibits lung metastasis of colorectal cancer by regulating cell viability and metastatic phenotypes. Molecules 2016, 21, 1135. [Google Scholar] [CrossRef] [PubMed]
  12. Maimaitili, A.; Shu, Z.; Cheng, X.; Kaheerman, K.; Sikandeer, A.; Li, W. Arctigenin, a natural lignan compound, induces G0/G1 cell cycle arrest and apoptosis in human glioma cells. Oncol. Lett. 2017, 13, 1007–1013. [Google Scholar] [CrossRef] [PubMed]
  13. Pilkington, L.I. Lignans: A chemometric analysis. Molecules 2018, 23, 1666. [Google Scholar] [CrossRef] [PubMed]
  14. Amancha, P.K.; Liu, H.-J.; Ly, T.W.; Shia, K.-S. General approach to 2,3-dibenzyl-γ-butyrolactone lignans: Application to the total synthesis of (±)-5′-methoxyyatein, (±)-5′-methoxyclusin, and (±)-4′-hydroxycubebinone. Eur. J. Org. Chem. 2010, 2010, 3473–3480. [Google Scholar] [CrossRef]
  15. Isemori, Y.; Kobayashi, Y. An approach to β-substituted γ-butyrolactones and its application to the synthesis of lignans. Synlett 2004, 1941–1944. [Google Scholar] [CrossRef]
  16. Ferrié, L.; Bouyssi, D.; Balme, G. Selective lewis acid catalyzed transformation (γ-butyrolactone versus cyclopropane) of 2-methoxy-4-benzyltetrahydrofuran derivatives. Efficient synthesis of lignan lactones. Org. Lett. 2005, 7, 3143–3146. [Google Scholar] [CrossRef] [PubMed]
  17. Duan, S.; Huang, S.; Gong, J.; Shen, Y.; Zeng, L.; Feng, Y.; Ren, W.; Leng, Y.; Hu, Y. Design and synthesis of novel arctigenin analogues for the amelioration of metabolic disorders. ACS Med. Chem. Lett. 2015, 6, 386–391. [Google Scholar] [CrossRef] [PubMed]
  18. Rye, C.; Barker, D. An acyl-Claisen approach to tetrasubstituted tetrahydrofuran lignans: Synthesis of fragransin A2, talaumidin, and lignan analogues. Synlett 2009, 3315–3319. [Google Scholar] [CrossRef]
  19. Barker, D.; Dickson, B.; Dittrich, N.; Rye, C.E. An acyl-Claisen approach to the synthesis of.lignans and substituted pyrroles. Pure Appl. Chem. 2012, 84, 1557–1565. [Google Scholar] [CrossRef]
  20. Dickson, B.D.; Dittrich, N.; Barker, D. Synthesis of 2,3-syn-diarylpent-4-enamides via acyl-Claisen rearrangements of substituted cinnamyl morpholines: Application to the synthesis of magnosalicin. Tetrahedron Lett. 2012, 53, 4464–4468. [Google Scholar] [CrossRef]
  21. Duhamel, N.; Rye, C.E.; Barker, D. Total Synthesis of ent-hyperione A and ent-hyperione B. Asian J. Org. Chem. 2013, 2, 491–493. [Google Scholar] [CrossRef]
  22. Rye, C.E.; Barker, D. Asymmetric synthesis of (+)-galbelgin, (−)-kadangustin J, (−)-cyclogalgravin and (−)-pycnanthulignenes A and B, three structurally distinct lignan classes, using a common chiral precursor. J. Org. Chem. 2011, 76, 6636–6648. [Google Scholar] [CrossRef] [PubMed]
  23. Pilkington, L.I.; Wagoner, J.; Polyak, S.J.; Barker, D. Enantioselective synthesis, stereochemical correction, and biological investigation of the rodgersinine family of 1,4-benzodioxane neolignans. Org. Lett. 2015, 17, 1046–1049. [Google Scholar] [CrossRef] [PubMed]
  24. Pilkington, L.I.; Barker, D. Synthesis and biology of 1,4-benzodioxane lignan natural products. Nat. Prod. Rep. 2015, 32, 1369–1388. [Google Scholar] [CrossRef] [PubMed]
  25. Pilkington, L.I.; Barker, D. Asymmetric synthesis and CD investigation of the 1,4-benzodioxane lignans eusiderins A, B, C, G, L, and M. J. Org. Chem. 2012, 77, 8156–8166. [Google Scholar] [CrossRef] [PubMed]
  26. Pilkington, L.I.; Barker, D. Total synthesis of (–)-isoamericanin A and (+)-isoamericanol A. Eur. J. Org. Chem. 2014, 1037–1046. [Google Scholar] [CrossRef]
  27. Jung, E.; Pilkington, L.I.; Barker, D. Enantioselective synthesis of 2,3-disubstituted benzomorpholines: Analogues of lignan natural products. J. Org. Chem. 2016, 81, 12012–12022. [Google Scholar] [CrossRef] [PubMed]
  28. Jung, E.; Dittrich, N.; Pilkington, L.I.; Rye, C.E.; Leung, E.; Barker, D. Synthesis of aza-derivatives of tetrahydrofuran lignan natural products. Tetrahedron 2015, 71, 9439–9456. [Google Scholar] [CrossRef]
  29. Paterson, D.L.; Barker, D. Synthesis of the furo[2,3-b]chromene ring system of hyperaspindols A and B. Beilstein J. Org. Chem. 2015, 11, 265–270. [Google Scholar] [CrossRef] [PubMed]
  30. Davidson, S.J.; Barker, D. Synthesis of various lignans via the rearrangements of 1,4-diarylbutane-1,4-diols. Tetrahedron Lett. 2015, 56, 4549–4553. [Google Scholar] [CrossRef]
  31. Pilkington, L.I.; Barker, D. Synthesis of 3-methylobovatol. Synlett 2015, 26, 2425–2428. [Google Scholar]
  32. Rye, C.E.; Barker, D. Asymmetric synthesis and anti-protozoal activity of the 8,4′-oxyneolignans virolin, surinamensin and analogues. Eur. J. Med. Chem. 2013, 60, 240–248. [Google Scholar] [CrossRef] [PubMed]
  33. Tran, H.; Dickson, B.; Barker, D. Unexpected O-alkylation and ester migration in phenolic 2,3-diaryl-2,3-dihydrobenzo[b]furans. Tetrahedron Lett. 2013, 54, 2093–2096. [Google Scholar] [CrossRef]
  34. Pilkington, L.I.; Song, S.M.; Fedrizzi, B.; Barker, D. Efficient total synthesis of (±)-isoguaiacin and (±)-isogalbulin. Synlett 2017, 28, 1449–1452. [Google Scholar]
  35. Davidson, S.J.; Barker, D. Total synthesis of ovafolinins A and B: Unique polycyclic benzoxepin lignans through a cascade cyclization. Angew. Chem. Int. Ed. 2017, 56, 9483–9486. [Google Scholar] [CrossRef] [PubMed]
  36. Davidson, S.J.; Pearce, A.N.; Copp, B.R.; Barker, D. Total synthesis of (−)-bicubebin A, B, (+)-bicubebin C and structural reassignment of (−)-cis-cubebin. Org. Lett. 2017, 19, 5368–5371. [Google Scholar] [CrossRef] [PubMed]
  37. Kakis, F.J.; Fetizon, M.; Douchkine, N.; Golfier, M.; Mourgues, P.; Prange, T. Mechanistic studies regarding the oxidation of alcohols by silver carbonate on celite. J. Org. Chem. 1974, 39, 523–533. [Google Scholar] [CrossRef]
  38. Fétizon, M.; Golfier, M.; Louis, J.-M. A new synthesis of lactones: Application to (±)-mevalonolactone. J. Chem. Soc. D 1969, 1118–1119. [Google Scholar] [CrossRef]
  39. Xin, H.; Kong, Y.; Wang, Y.; Zhou, Y.; Zhu, Y.; Li, D.; Tan, W. Lignans extracted from Vitex negundo possess cytotoxic activity by G2/M phase cell cycle arrest and apoptosis induction. Phytomedicine 2013, 20, 640–647. [Google Scholar] [CrossRef] [PubMed]
  40. Bose, J.S.; Gangan, V.; Prakash, R.; Kumar Jain, S.; Kumar Manna, S. A dihydrobenzofuran lignan induces cell death by modulating mitochondrial pathway and G2/M cell cycle arrest. J. Med. Chem. 2009, 52, 3184–3190. [Google Scholar] [CrossRef] [PubMed]
  41. Fetizon, M.; Balogh, V.; Golfier, M. Oxidations with silver carbonate/celite. V. Oxidations of phenols and related compounds. J. Org. Chem. 1971, 36, 1339–1341. [Google Scholar] [CrossRef]
  42. Reddy, R.S.; Prasad, P.K.; Ahuja, B.B.; Sudalai, A. CuCN-mediated cascade cyclization of 4-(2-bromophenyl)-2-butenoates: A high-yield synthesis of substituted naphthalene amino esters. J. Org. Chem. 2013, 78, 5045–5050. [Google Scholar] [CrossRef] [PubMed]
  43. Sharma, P.; Ritson, D.J.; Burnley, J.; Moses, J.E. A synthetic approach to kingianin A based on biosynthetic speculation. Chem. Commun. 2011, 47, 10605–10607. [Google Scholar] [CrossRef] [PubMed]
  44. Aldous, D.J.; Batsanov, A.S.; Yufit, D.S.; Dalençon, A.J.; Dutton, W.M.; Steel, P.G. The dihydrofuran template approach to furofuran synthesis. Org. Biomol. Chem. 2006, 4, 2912–2927. [Google Scholar] [CrossRef] [PubMed]
  45. Tanoguchi, M.; Kashima, T.; Saika, H.; Inoue, T.; Arimoto, M.; Yamaguchi, H. Studies on the constituents of the seeds of hernandia ovigera L. VII.: Syntheses of (±)-hernolactone and (±)-hernandin. Chem. Pharm. Bull. 1989, 37, 68–72. [Google Scholar] [CrossRef]
  46. Gomes, C.A.; Girão da Cruz, T.; Andrade, J.L.; Milhazes, N.; Borges, F.; Marques, M.P.M. Anticancer activity of phenolic acids of natural or synthetic origin: A structure-activity study. J. Med. Chem. 2003, 46, 5395–5401. [Google Scholar] [CrossRef] [PubMed]
  47. Haga, Y.; Okazaki, M.; Shuto, Y. Systematic strategy for the synthesis of cyanobacterin and its stereoisomers. 1. Asymmetric total synthesis of dechloro-cyanobacterin and its enantiomer. Biosci. Biotechnol. Biochem. 2003, 67, 2183–2193. [Google Scholar] [CrossRef] [PubMed]
  48. Li, D.; Zhao, B.; Sim, S.-P.; Li, T.-K.; Liu, A.; Liu, L.F.; LaVoie, E.J. 8,9-Methylenedioxybenzo[i]phenanthridines: Topoisomerase I-targeting activity and cytotoxicity. Bioorg. Med. Chem. 2003, 11, 3795–3805. [Google Scholar] [CrossRef]
  49. Takei, Y.; Mori, K.; Matsui, M. Synthesis of dl-matairesinol dimethyl ether, dehydrodimethylconidendrin and dehydrodimethylretrodendrin from ferulic acid. Agric. Biol. Chem. 1973, 37, 637–641. [Google Scholar] [CrossRef]
  50. Brown, E.; Daugan, A. Lignames: 10. Preparation des (R)-(+) et (S)-(−)-β-piperonyl et β-veratryl-γ-butyrolactones et leur utilisation dans la synthese totale de lignanes optiquement actifs. Tetrahedron 1989, 45, 141–154. [Google Scholar] [CrossRef]
  51. Baran, P.S.; DeMartino, M.P. Intermolecular oxidative enolate heterocoupling. Angew. Chem. Int. Ed. 2006, 45, 7083–7086. [Google Scholar] [CrossRef] [PubMed]
  52. Nishibe, S.; Okabe, K.; Hisada, S. Isolation of phenolic compounds and spectroscopic analysis of a new lignan from Trachelospermum asiaticum var. intermedium. Chem. Pharm. Bull. 1981, 39, 2078–2082. [Google Scholar] [CrossRef]
  53. Gonzalez, A.G.; Estevez-Reyes, R.; Estevez-Braun, A.M. Buplerol and guayarol, new lignans from the seeds of bupleurum salicifolium. J. Chem. Res. 1990, 21, 220–221. [Google Scholar]
  54. De Souza, V.A.; da Silva, R.; Pereira, A.C.; Royo, V.D.A.; Saraiva, J.; Montanheiro, M.; de Souza, G.H.B.; da Silva Filho, A.A.; Grando, M.D.; Donate, P.M.; et al. Trypanocidal activity of (−)-cubebin derivatives against free amastigote forms of Trypanosoma cruzi. Bioorg. Med. Chem. Lett. 2005, 15, 303–307. [Google Scholar] [CrossRef] [PubMed]
  55. Badheka, L.P.; Prabhu, B.R.; Mulchandani, N.B. Dibenzylbutyrolactone lignans from Piper cubeba. Phytochemistry 1986, 25, 487–489. [Google Scholar] [CrossRef]
  56. Evcim, U.; Gozler, B.; Freyer, A.J.; Shamma, M. Haplomyrtin and (−)-haplomyrfolin: Two lignans from haplophyllum myrtifolium. Phytochemistry 1986, 25, 1949–1951. [Google Scholar] [CrossRef]
Figure 1. General structures of butyrolactone lignan 1, natural dibenzylbutyrolactone lignans, (−)-matairesinol 2 and (−)-artigenin 3, and 5-hydroxymethyl analogues 4.
Figure 1. General structures of butyrolactone lignan 1, natural dibenzylbutyrolactone lignans, (−)-matairesinol 2 and (−)-artigenin 3, and 5-hydroxymethyl analogues 4.
Molecules 23 03057 g001
Figure 2. Use of amide 5, the product of an acyl-Claisen rearrangement to access a number of lignan scaffolds and natural products 68.
Figure 2. Use of amide 5, the product of an acyl-Claisen rearrangement to access a number of lignan scaffolds and natural products 68.
Molecules 23 03057 g002
Scheme 1. (a) OsO4 (0.1–0.3 mol%), N-methylmorpholine-N-oxide (3 eq.), tBuOH/H2O (1:1), 4 days; (b) NaIO4 (1.2 eq.), MeOH/H2O (3:1), 0.5–2 h; (c) Ph3PCHCO2Et (1.1 eq.), CH2Cl2, 16 h; (d) 18: DIBAL-H (3 eq.), CH2Cl2, −78 °C, 10 min, 19: DIBAL-H (2.2 eq.), toluene, −10 °C, 10 min; (e) Et3N (3 eq.), MsCl (1.2 eq.), morpholine (1.5 eq.), CH2Cl2, 0 °C, 2–18 h.
Scheme 1. (a) OsO4 (0.1–0.3 mol%), N-methylmorpholine-N-oxide (3 eq.), tBuOH/H2O (1:1), 4 days; (b) NaIO4 (1.2 eq.), MeOH/H2O (3:1), 0.5–2 h; (c) Ph3PCHCO2Et (1.1 eq.), CH2Cl2, 16 h; (d) 18: DIBAL-H (3 eq.), CH2Cl2, −78 °C, 10 min, 19: DIBAL-H (2.2 eq.), toluene, −10 °C, 10 min; (e) Et3N (3 eq.), MsCl (1.2 eq.), morpholine (1.5 eq.), CH2Cl2, 0 °C, 2–18 h.
Molecules 23 03057 sch001
Scheme 2. (a) Ph3PCHCO2Et (1.1 eq.), CH2Cl2, 3–20 h; (b) H2, Pd/C (10% w/w), ethyl acetate, 1–2 h; (c) BnBr, K2CO3, CH3CN, 65 h; (d) NaOH (4 eq.), MeOH/H2O, 2.5 h; (e) (COCl)2 (2 eq.), CH2Cl2, 1.5–4 h.
Scheme 2. (a) Ph3PCHCO2Et (1.1 eq.), CH2Cl2, 3–20 h; (b) H2, Pd/C (10% w/w), ethyl acetate, 1–2 h; (c) BnBr, K2CO3, CH3CN, 65 h; (d) NaOH (4 eq.), MeOH/H2O, 2.5 h; (e) (COCl)2 (2 eq.), CH2Cl2, 1.5–4 h.
Molecules 23 03057 sch002
Figure 3. Selected NOESY correlations showing trans,trans-relationship of hydroxymethyl lactone lignan analogue 4bb.
Figure 3. Selected NOESY correlations showing trans,trans-relationship of hydroxymethyl lactone lignan analogue 4bb.
Molecules 23 03057 g003
Scheme 3. (a) TiCl4·2THF (100 mol%), iPr2NEt (1.5 eq.), acid chloride (1.2 eq.), CH2Cl2, 18–24 h; (b) OsO4 (8 mol %), NMO (3 eq.), tBuOH/H2O (1:1), 3–7 days; (c) LiAlH4 (1.5 eq.), THF, 0.5–2 h; (d) NaIO4 (1.2 eq.), MeOH/H2O (3:1), 0.25–1 h; (e) Ag2CO3/Celite (2 eq.), toluene, reflux, 2–3 h; (f) H2, Pd/C (10% w/w), MeOH, 10 min.
Scheme 3. (a) TiCl4·2THF (100 mol%), iPr2NEt (1.5 eq.), acid chloride (1.2 eq.), CH2Cl2, 18–24 h; (b) OsO4 (8 mol %), NMO (3 eq.), tBuOH/H2O (1:1), 3–7 days; (c) LiAlH4 (1.5 eq.), THF, 0.5–2 h; (d) NaIO4 (1.2 eq.), MeOH/H2O (3:1), 0.25–1 h; (e) Ag2CO3/Celite (2 eq.), toluene, reflux, 2–3 h; (f) H2, Pd/C (10% w/w), MeOH, 10 min.
Molecules 23 03057 sch003
Scheme 4. Synthesis of epi-4bb.
Scheme 4. Synthesis of epi-4bb.
Molecules 23 03057 sch004
Figure 4. (A) Cell survival (by a measure of metabolic activity) of Jurkat T-cell leukaemia cells incubated with 100 µM of lignans and lignan analogues for 48 h. The data represents means of triplicate experiments and is shown as means ± SEM (n = 3). The positive control (not shown) had a growth of 100%. Significance of the compound activity compared to the control is expressed: (*) p-value <0.05; (**) p-value <0.01; (***) p-value <0.001. (B) Dotplot showing the viability of Jurkat T-leukaemia cells after incubation with 100 µM 4bb for 24 h followed by labelling with annexin V/propidium iodide and analysis using flow cytometry. Cells in the bottom-left quadrant represent viable cells, bottom-right quadrant are positive for annexin V and are in early apoptosis, top-right quadrant are double positive for annexin V and propidium iodide and are in late apoptosis, and top-left quadrant are only positive for propidium iodide and are undergoing necrosis. (C) Negative control showing the viability of vehicle-(DMSO) treated Jurkat T-leukaemia cells. (D) Cell cycle analysis of unsynchronized cells incubated in the presence of 100 µM 4bb or E: vehicle for 24 h. DNA content of the cells was determined by flow cytometry. Percentage of cells in each stage of the cell cycle (average of three replicates ± SD is reported).
Figure 4. (A) Cell survival (by a measure of metabolic activity) of Jurkat T-cell leukaemia cells incubated with 100 µM of lignans and lignan analogues for 48 h. The data represents means of triplicate experiments and is shown as means ± SEM (n = 3). The positive control (not shown) had a growth of 100%. Significance of the compound activity compared to the control is expressed: (*) p-value <0.05; (**) p-value <0.01; (***) p-value <0.001. (B) Dotplot showing the viability of Jurkat T-leukaemia cells after incubation with 100 µM 4bb for 24 h followed by labelling with annexin V/propidium iodide and analysis using flow cytometry. Cells in the bottom-left quadrant represent viable cells, bottom-right quadrant are positive for annexin V and are in early apoptosis, top-right quadrant are double positive for annexin V and propidium iodide and are in late apoptosis, and top-left quadrant are only positive for propidium iodide and are undergoing necrosis. (C) Negative control showing the viability of vehicle-(DMSO) treated Jurkat T-leukaemia cells. (D) Cell cycle analysis of unsynchronized cells incubated in the presence of 100 µM 4bb or E: vehicle for 24 h. DNA content of the cells was determined by flow cytometry. Percentage of cells in each stage of the cell cycle (average of three replicates ± SD is reported).
Molecules 23 03057 g004

Share and Cite

MDPI and ACS Style

Davidson, S.J.; Pilkington, L.I.; Dempsey-Hibbert, N.C.; El-Mohtadi, M.; Tang, S.; Wainwright, T.; Whitehead, K.A.; Barker, D. Modular Synthesis and Biological Investigation of 5-Hydroxymethyl Dibenzyl Butyrolactones and Related Lignans. Molecules 2018, 23, 3057. https://doi.org/10.3390/molecules23123057

AMA Style

Davidson SJ, Pilkington LI, Dempsey-Hibbert NC, El-Mohtadi M, Tang S, Wainwright T, Whitehead KA, Barker D. Modular Synthesis and Biological Investigation of 5-Hydroxymethyl Dibenzyl Butyrolactones and Related Lignans. Molecules. 2018; 23(12):3057. https://doi.org/10.3390/molecules23123057

Chicago/Turabian Style

Davidson, Samuel J., Lisa I. Pilkington, Nina C. Dempsey-Hibbert, Mohamed El-Mohtadi, Shiying Tang, Thomas Wainwright, Kathryn A. Whitehead, and David Barker. 2018. "Modular Synthesis and Biological Investigation of 5-Hydroxymethyl Dibenzyl Butyrolactones and Related Lignans" Molecules 23, no. 12: 3057. https://doi.org/10.3390/molecules23123057

APA Style

Davidson, S. J., Pilkington, L. I., Dempsey-Hibbert, N. C., El-Mohtadi, M., Tang, S., Wainwright, T., Whitehead, K. A., & Barker, D. (2018). Modular Synthesis and Biological Investigation of 5-Hydroxymethyl Dibenzyl Butyrolactones and Related Lignans. Molecules, 23(12), 3057. https://doi.org/10.3390/molecules23123057

Article Metrics

Back to TopTop