Design of Azomethine Diols for Efficient Self-Healing of Strong Polyurethane Elastomers
Abstract
1. Introduction
2. Results and Discussion
2.1. Preparation of AMD-Based PUEs
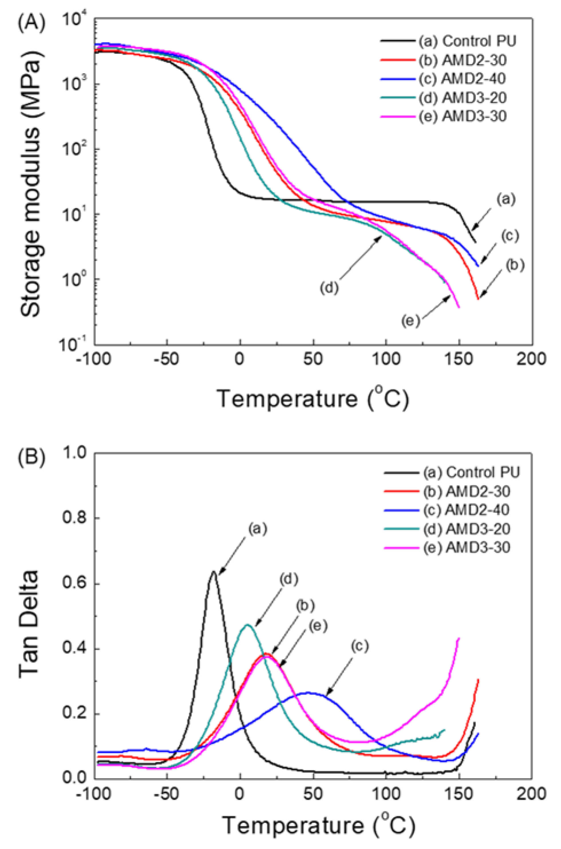
2.2. Thermal Analyses of PUEs Based on AMD
2.3. Mechanical Properties of PUEs Based on AMD
2.4. Rheological Properties of AMD-Based PUs
3. Materials and Methods
3.1. Materials
3.2. Preparation of AMDs
3.3. Preparation of Control PU and AMD-Based PUs
3.4. Characterization
4. Conclusions
Supplementary Materials
Author Contributions
Acknowledgments
Conflicts of Interest
References
- Hentschel, T.; Münstedt, H. Kinetics of the molar mass decrease in a polyurethane melt: A rheological study. Polymer 2001, 42, 3195–3203. [Google Scholar] [CrossRef]
- Grassie, N.; Zulfiqar, M. Thermal Degradation of the Polyurethane From 1,4-Butanediol and Methylene Bis(4-Phenyl Isocyanate). J. Polym. Sci. Polym. Chem. Ed. 1978, 16, 1563–1574. [Google Scholar] [CrossRef]
- Montaudo, G.; Puglisi, C.; Scamporrino, E.; Vitalini, D. Mechanism of thermal degradation of polyurethanes. Effect of ammonium polyphosphate. Macromolecules 1984, 17, 1605–1614. [Google Scholar] [CrossRef]
- Zia, K.M.; Bhatti, H.N.; Ahmad Bhatti, I. Methods for polyurethane and polyurethane composites, recycling and recovery: A review. React. Funct. Polym. 2007, 67, 675–692. [Google Scholar] [CrossRef]
- Wegener, G.; Brandt, M.; Duda, L.; Hofmann, J.; Klesczewski, B.; Koch, D.; Kumpf, R.J.; Orzesek, H.; Pirkl, H.G.; Six, C.; et al. Trends in industrial catalysis in the polyurethane industry. Appl. Catal. A Gen. 2001, 221, 303–335. [Google Scholar] [CrossRef]
- Janik, H.; Marzec, M. A review: Fabrication of porous polyurethane scaffolds. Mater. Sci. Eng. C 2015, 48, 586–591. [Google Scholar] [CrossRef] [PubMed]
- Zdrahala, R.J.; Zdrahala, I.J. Biomedical applications of polyurethanes: A review of past promises, present realities, and a vibrant future. J. Biomater. Appl. 1999, 14, 67–90. [Google Scholar] [CrossRef] [PubMed]
- Samadzadeh, M.; Boura, S.H.; Peikari, M.; Kasiriha, S.M.; Ashrafi, A. A review on self-healing coatings based on micro/nanocapsules. Prog. Org. Coat. 2010, 68, 159–164. [Google Scholar] [CrossRef]
- Li, X.; Gao, Y.; Boott, C.E.; Winnik, M.A.; Manners, I. Non-covalent synthesis of supermicelles with complex architectures using spatially confined hydrogen-bonding interactions. Nat. Commun. 2015, 6, 1–8. [Google Scholar] [CrossRef] [PubMed]
- Syrett, J.A.; Becer, C.R.; Haddleton, D.M. Self-healing and self-mendable polymers. Polym. Chem. 2010, 1, 978–987. [Google Scholar] [CrossRef]
- Zhang, M.; Xu, D.; Yan, X.; Chen, J.; Dong, S.; Zheng, B.; Huang, F. Self-healing supramolecular gels formed by crown ether based host-guest interactions. Angew. Chem. Int. Ed. 2012, 51, 7011–7015. [Google Scholar] [CrossRef] [PubMed]
- Cook, T.R.; Zheng, Y.R.; Stang, P.J. Metal-organic frameworks and self-assembled supramolecular coordination complexes: Comparing and contrasting the design, synthesis, and functionality of metal-organic materials. Chem. Rev. 2013, 113, 734–777. [Google Scholar] [CrossRef] [PubMed]
- Chen, S.; Mahmood, N.; Beiner, M.; Binder, W.H. Self-Healing Materials from V- and H-Shaped Supramolecular Architectures. Angew. Chem. Int. Ed. 2015, 54, 10188–10192. [Google Scholar] [CrossRef] [PubMed]
- Zhu, K.; Song, Q.; Chen, H.; Hu, P. Thermally assisted self-healing polyurethane containing carboxyl groups. J. Appl. Polym. Sci. 2018, 135, 1–7. [Google Scholar] [CrossRef]
- Karami, Z.; Zohuriaan-Mehr, M.J.; Rostami, A. Bio-based thermo-healable non-isocyanate polyurethane DA network in comparison with its epoxy counterpart. J. CO2 Util. 2017, 18, 294–302. [Google Scholar] [CrossRef]
- Yu, F.; Cao, X.; Du, J.; Wang, G.; Chen, X. Multifunctional Hydrogel with Good Structure Integrity, Self-Healing, and Tissue-Adhesive Property Formed by Combining Diels-Alder Click Reaction and Acylhydrazone Bond. ACS Appl. Mater. Interfaces 2015, 7, 24023–24031. [Google Scholar] [CrossRef] [PubMed]
- Ying, H.; Zhang, Y.; Cheng, J. Dynamic urea bond for the design of reversible and self-healing polymers. Nat. Commun. 2014, 5, 1–9. [Google Scholar] [CrossRef] [PubMed]
- Cao, S.; Li, S.; Li, M.; Xu, L.; Ding, H.; Xia, J.; Zhang, M.; Huang, K. A thermal self-healing polyurethane thermoset based on phenolic urethane. Polym. J. 2017, 49, 775–781. [Google Scholar] [CrossRef]
- Pérez-San Vicente, A.; Peroglio, M.; Ernst, M.; Casuso, P.; Loinaz, I.; Grande, H.J.; Alini, M.; Eglin, D.; Dupin, D. Self-Healing Dynamic Hydrogel as Injectable Shock-Absorbing Artificial Nucleus Pulposus. Biomacromolecules 2017, 18, 2360–2370. [Google Scholar] [CrossRef] [PubMed]
- Pepels, M.; Filot, I.; Klumperman, B.; Goossens, H. Self-healing systems based on disulfide-thiol exchange reactions. Polym. Chem. 2013, 4, 4955–4965. [Google Scholar] [CrossRef]
- Gao, W.; Bie, M.; Liu, F.; Chang, P.; Quan, Y. Self-Healable and Reprocessable Polysulfide Sealants Prepared from Liquid Polysulfide Oligomer and Epoxy Resin. ACS Appl. Mater. Interfaces 2017, 9, 15798–15808. [Google Scholar] [CrossRef] [PubMed]
- Kim, S.M.; Jeon, H.; Shin, S.H.; Park, S.A.; Jegal, J.; Hwang, S.Y.; Oh, D.X.; Park, J. Superior Toughness and Fast Self-Healing at Room Temperature Engineered by Transparent Elastomers. Adv. Mater. 2018, 30, 1–8. [Google Scholar] [CrossRef] [PubMed]
- Yanagisawa, Y.; Nan, Y.; Okuro, K.; Aida, T. Mechanically robust, readily repairable polymers via tailored noncovalent cross-linking. Science 2018, 359, 72–76. [Google Scholar] [CrossRef] [PubMed]
- Layer, R.W. The chemistry of imines. Chem. Rev. 1963, 63, 489–510. [Google Scholar] [CrossRef]
- Belowich, M.E.; Stoddart, J.F. Dynamic imine chemistry. Chem. Soc. Rev. 2012, 41, 2003–2024. [Google Scholar] [CrossRef] [PubMed]
- Rowan, S.J.; Stoddart, J.F. Thermodynamic Synthesis of Rotaxanes by Imine Exchange. Org. Lett. 1999, 1, 1913–1916. [Google Scholar] [CrossRef]
- Ciaccia, M.; Di Stefano, S. Mechanisms of imine exchange reactions in organic solvents. Org. Biomol. Chem. 2015, 13, 646–654. [Google Scholar] [CrossRef] [PubMed]
- Kamaci, M.; Kaya, I. Synthesis, Thermal and Morphological Properties of Polyurethanes Containing Azomethine Linkage. J. Inorg. Organomet. Polym. Mater. 2014, 24, 803–818. [Google Scholar] [CrossRef]
- Kamaci, M.; Kaya, I. New low-band gap polyurethanes containing azomethine bonding: Photophysical, electrochemical, thermal and morphological properties. J. Taiwan Inst. Chem. Eng. 2016, 59, 536–546. [Google Scholar] [CrossRef]
- Kaya, I.; Yıldırım, M.; Kamaci, M.; Avcı, A. New poly(azomethine-urethane)s including melamine derivatives in the main chain: Synthesis and thermal characterization. J. Appl. Polym. Sci. 2011, 120, 3027–3035. [Google Scholar] [CrossRef]
- Li, H.; Bai, J.; Shi, Z.; Yin, J. Environmental friendly polymers based on schiff-base reaction with self-healing, remolding and degradable ability. Polymer 2016, 85, 106–113. [Google Scholar] [CrossRef]
- Capelot, M.; Montarnal, D.; Tournilhac, F.; Leibler, L. Metal-catalyzed transesterification for healing and assembling of thermosets. J. Am. Chem. Soc. 2012, 134, 7664–7667. [Google Scholar] [CrossRef] [PubMed]
- Denissen, W.; Rivero, G.; Nicolaÿ, R.; Leibler, L.; Winne, J.M.; Du Prez, F.E. Vinylogous urethane vitrimers. Adv. Funct. Mater. 2015, 25, 2451–2457. [Google Scholar] [CrossRef]
- Solid, L.D.; Hrubesh, L.W.; Chan, H.M.; Grenestedt, J.L.; Harmer, M.P.; Caram, H.S.; Roy, S.K.; Handbook, P.T.; Raton, B.; Ashby, M.F.; et al. Silica-Like Malleable Materials from. Science 2011, 334, 965–968. [Google Scholar]
- Taynton, P.; Yu, K.; Shoemaker, R.K.; Jin, Y.; Qi, H.J.; Zhang, W. Heat- or water-driven malleability in a highly recyclable covalent network polymer. Adv. Mater. 2014, 26, 3938–3942. [Google Scholar] [CrossRef] [PubMed]
- Dai, W.; Shao, F.; Szczerbiński, J.; McCaffrey, R.; Zenobi, R.; Jin, Y.; Schlüter, A.D.; Zhang, W. Synthesis of a Two-Dimensional Covalent Organic Monolayer through Dynamic Imine Chemistry at the Air/Water Interface. Angew. Chem. Int. Ed. 2016, 55, 213–217. [Google Scholar] [CrossRef] [PubMed]
- Fritze, U.F.; Von Delius, M. Dynamic disulfide metathesis induced by ultrasound. Chem. Commun. 2016, 52, 6363–6366. [Google Scholar] [CrossRef] [PubMed]
- Otsuka, H.; Nagano, S.; Kobashi, Y.; Maeda, T.; Takahara, A. A dynamic covalent polymer driven by disulfide metathesis under photoirradiation. Chem. Commun. 2010, 46, 1150–1152. [Google Scholar] [CrossRef] [PubMed]
- Bracchi, M.E.; Fulton, D.A. Orthogonal breaking and forming of dynamic covalent imine and disulfide bonds in aqueous solution. Chem. Commun. 2015, 51, 11052–11055. [Google Scholar] [CrossRef] [PubMed]
- Lai, Y.; Kuang, X.; Zhu, P.; Huang, M.; Dong, X.; Wang, D. Colorless, Transparent, Robust, and Fast Scratch-Self-Healing Elastomers via a Phase-Locked Dynamic Bonds Design. Adv. Mater. 2018, 1802556. [Google Scholar] [CrossRef] [PubMed]
Sample Availability: Samples of the compounds are not available from the authors. |










| Sample Code | Composition (Molar Ratios) | Content of Azomethine (mmol/g) | |||
|---|---|---|---|---|---|
| Azomethine Diol (mol) | PTMEG 1000 (mol) | MDI (mol) | 1,4-BD (mol) | ||
| Control PU | - | 1 | 2 | 1 | 0 |
| AMD2-10 | 0.1 | 0.9 | 2 | 1 | 0.26 |
| AMD2-20 | 0.2 | 0.8 | 2 | 1 | 0.53 |
| AMD2-30 | 0.3 | 0.7 | 2 | 1 | 0.81 |
| AMD2-40 | 0.4 | 0.6 | 2 | 1 | 1.13 |
| AMD3-10 | 0.1 | 0.9 | 2 | 1 | 0.37 |
| AMD3-20 | 0.2 | 0.8 | 2 | 1 | 0.77 |
| AMD3-30 | 0.3 | 0.7 | 2 | 1 | 1.16 |
| AMD3-40 | 0.4 | 0.6 | 2 | 1 | 1.56 |
| Sample Code | Molecular Weight (g/mol) | Ð | ||
|---|---|---|---|---|
| Mn | MW | Mz | ||
| Control PU | 17,500 | 31,300 | 46,700 | 1.78 |
| AMD2-10 | 16,200 | 34,600 | 61,900 | 2.14 |
| AMD2-20 | 12,900 | 30,800 | 66,300 | 2.40 |
| AMD2-30 | 13,500 | 30,100 | 58,100 | 2.23 |
| AMD2-40 | 10,000 | 23,300 | 42,600 | 2.33 |
| AMD3-10 | 13,800 | 25,000 | 39,500 | 1.80 |
| AMD3-20 | 13,700 | 32,500 | 66,700 | 2.37 |
| AMD3-30 | 13,400 | 26,700 | 46,000 | 1.99 |
| AMD3-40 | 13,100 | 26,300 | 44,900 | 1.99 |
© 2018 by the authors. Licensee MDPI, Basel, Switzerland. This article is an open access article distributed under the terms and conditions of the Creative Commons Attribution (CC BY) license (http://creativecommons.org/licenses/by/4.0/).
Share and Cite
Lee, D.-W.; Kim, H.-N.; Lee, D.-S. Design of Azomethine Diols for Efficient Self-Healing of Strong Polyurethane Elastomers. Molecules 2018, 23, 2928. https://doi.org/10.3390/molecules23112928
Lee D-W, Kim H-N, Lee D-S. Design of Azomethine Diols for Efficient Self-Healing of Strong Polyurethane Elastomers. Molecules. 2018; 23(11):2928. https://doi.org/10.3390/molecules23112928
Chicago/Turabian StyleLee, Dae-Woo, Han-Na Kim, and Dai-Soo Lee. 2018. "Design of Azomethine Diols for Efficient Self-Healing of Strong Polyurethane Elastomers" Molecules 23, no. 11: 2928. https://doi.org/10.3390/molecules23112928
APA StyleLee, D.-W., Kim, H.-N., & Lee, D.-S. (2018). Design of Azomethine Diols for Efficient Self-Healing of Strong Polyurethane Elastomers. Molecules, 23(11), 2928. https://doi.org/10.3390/molecules23112928

