Abstract
The application of six novel α,β-dipeptides as chiral organocatalysts in the asymmetric Michael addition reaction between enolizable aldehydes and N-arylmaleimides or nitroolefins is described. With N-arylmaleimides as substrates, the best results were achieved with dipeptide 2 as a catalyst in the presence of aq. NaOH. Whereas dipeptides 4 and 6 in conjunction with 4-dimethylaminopyridine (DMAP) and thiourea as a hydrogen bond donor proved to be highly efficient organocatalytic systems in the enantioselective reaction between isobutyraldehyde and various nitroolefins.
1. Introduction
Organocatalysis has become a powerful method in organic synthesis as can be appreciated by the rapidly increasing number of publications on this topic [1,2,3,4,5,6,7,8,9,10,11,12,13,14]. Of special interest is the implementation of organocatalytic processes that are environmentally friendly [15,16,17]. One way to achieve this goal is by employing alternative activation techniques such as microwaves, ultrasound irradiation and mechanochemistry [18,19,20]. Furthermore, removal of the solvent in the reaction leads to a reduction of the generated waste [21,22,23,24,25]. There are several examples in literature of organocatalytic reactions in the absence of solvent [26,27,28,29,30,31,32,33].
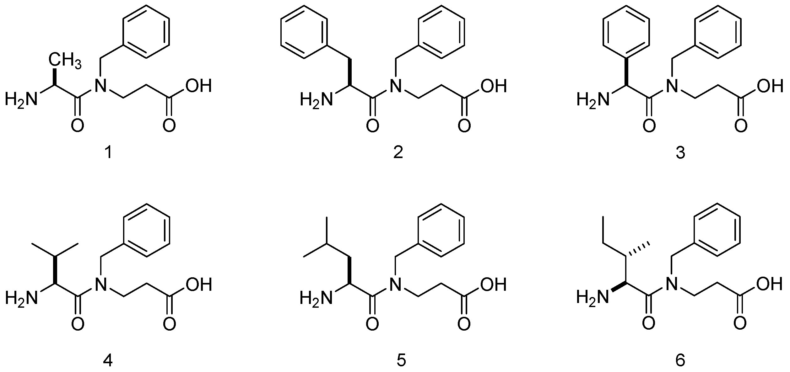
In this context, the Michael addition reaction is a particularly powerful method for C–C bond formation. Nevertheless, the enantioselective Michael addition reaction between enolizable aldehydes and maleimides [34,35,36,37,38,39,40,41,42,43,44,45,46,47] or nitroolefins [28,29,30,48,49,50,51,52,53] has rarely been studied in relation to the reaction with cyclohexanone (Scheme 1).
Scheme 1.
Asymmetric Michael addition reaction of aldehydes to nitroolefins and N-arylmaleimides as acceptor substrates. Cat*, chiral catalyst; *, chiral carbon; Ar, aryl.
In 2007, Cordova’s research group [54] was the first to study the addition reaction of isobutyraldehyde to maleimides. More recently, Nájera’s group [55,56] studied the reaction employing several chiral 1,2-diamines as catalysts, while Kokotos used different α- or β-amino acids as organocatalysts in the presence of CsCO3 [57]. Finally, Nugent [58,59] examined the use of isoleucine or threonine as organocatalyst in the presence of a hydrogen bond donor (sulfamide) and a base (4-dimethylaminopyridine, DMAP) (Figure 1).
Figure 1.
Examples of organocatalysts and additives employed in the Michael addition reaction of aldehydes to maleimides and/or nitroolefins, reported by Nájera et al. [55,56], Kokotos [57], and Nugent et al. [58,59]. ee, enantiomeric excess.
A few years ago, our research group reported the synthesis of a family of α,β-dipeptides 1–6, which were used as precursors in the synthesis of 7-membered heterocyclic type ([1,4]-diazepin-2,5-diones, that is homodiketopiperazines) derivatives (Scheme 2) [60]. The desired α,β-dipeptides were readily obtained by the coupling of protected β-alanine (β-Ala) and the N-tert-Butoxycarbonyl (N-Boc) protected amino acid, followed by the removal of the protecting groups. Yields for the coupling step went from moderate to good, depending on the side chain present in the α-amino acid. Deprotection of these peptides with trifluoroacetic acid and subsequent isolation using an ion exchange column with Dowex resin afforded the desired α,β-dipeptides 1–6.
Scheme 2.
Synthetic route to the α,β-peptides of interest in the present work. Me, methyl; Bn, benzyl; Ph, phenyl; iPr, isopropyl; iBu, isobutyl; sBu, sec-butyl; iBBCl, isobutyl chloroformate; THF, tetrahydrofuran; rt, room temperature; TFA, trifluoroacetic acid.
Given the proven efficiency of small peptides in asymmetric organocatalysis [61,62,63], and having access to the α,β-peptides depicted in Scheme 2, we deemed it of interest to test their potential as catalysts in the asymmetric Michael addition reaction. In this regard, β-amino acids have been used successfully as organocatalysts in asymmetric Michael addition reactions [57,64], thus their incorporation in dipeptidic organocatalysts was anticipated to result in more efficient activation modes. Furthermore, although β-amino acids are not found as frequently in nature as their α-analogs, they represent a very important research area in organic synthesis since the 1990s [65,66]. Of great relevance to the present work, it has been discovered that the incorporation of β-amino acids in peptides induces significant conformational changes in the resulting foldamers [67,68,69], which may prove beneficial in boosting the enantioinduction in the asymmetric Michael additions of interest here.
2. Results
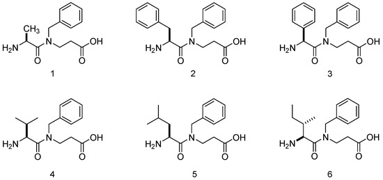
α,β-Dipeptides 1–6 were examined as potential catalysts in the present work (Figure 2). It is important to mention that the β-Ala residue gives certain advantages to these molecules in comparison to their α,α-analogs. In particular, the phenylalanine-glycine (Phe-Gly) dipeptide was synthetized in the present work in order to compare its catalytic activity. In the event, the synthetic route resulted in poor yields (see Supplementary Materials) owing to glycine’s low solubility [70].
Figure 2.
Dipeptides 1–6 examined as potential chiral organocatalysts.
Initially, we conducted Michael additions of isobutyraldehyde to N-phenylmaleimide in the absence of solvent (neat), as shown in Table 1. It is important to mention that it became evident that a base is required for the reaction to take place. Based on Kokotos’s observations [57], KOH was chosen as the base additive in this system. It can be observed that the peptides which afforded better results in terms of yield and selectivity were phenylalanine-β-alanine (Phe-β-Ala, 2), leucine-β-alanine (Leu-β-Ala, 5) and isoleucine-β-alanine (Ileu-β-Ala, 6) (Table 1). As peptide 2 can be synthesized in a higher yield [60], this dipeptide was selected for further optimization experiments. α,α-Dipeptide (Phe-Gly) gave a poor yield of Michael adduct with a lack of enantioselectivity (59% yield, 52:48 enantiomeric ratio (er). See Supplementary Materials).
Table 1.
Michael addition reaction of isobutyraldehyde to N-phenylmaleimide organocatalyzed by α,β-dipeptides 1–6.
With dipeptide 2 as the representative chiral catalyst, we proceeded to optimize the reaction in terms of several key parameters. The first parameter that was evaluated was catalyst loading. A screening was performed varying the concentration of catalyst from 1 to 25 mol %, finding that the optimum amount of dipeptide 2 corresponds to 10 mol % (Table 2). Similar observations have been made by Berkessel, Gröger and co-workers in related systems [70].
Table 2.
Michael addition reaction of isobutyraldehyde to N-phenylmaleimide with different amounts of catalyst.
Next, various hydroxides, carbonates as well as several amines were tested as base additives. These bases were used in equimolar amounts relative to catalyst 2 (10 mol %). In Table 3, it can be appreciated that hydroxides are the most efficient base additives, leading to better yields and stereoselectivities. Among them, sodium hydroxide afforded higher enantioselectivity (Table 3, entry 3).
Table 3.
Michael addition reaction of isobutyraldehyde to N-phenylmaleimide organocatayzed by phenylalanine-β-alanine (Phe-β-Ala, 2) in the presence of different bases.
Furthermore, the reaction was examined in solution, exploring different solvents as reaction mediums. It transpired that only dichloromethane afforded results comparable in yield and selectivity (77% yield, 88:12 enantiomeric ratio. Table S1 of Supporting Information) relative to the reaction carried out under neat conditions. No reaction took place with the rest of the solvents that were examined (see Supplementary Materials). Taking into account the above observations, it was decided to continue the work in the absence of solvent to further promote processes which are friendlier to the environment [15,16,17,18,19,20,21,22,23,24,25]. In this regard, the amount of aldehyde substrate was optimized at this point. To our benefit, the reaction may proceed well with only 5.5 equivalents of isobutyraldehyde, which is the minimum quantity required to have a homogeneous reaction mixture—with less equivalents, the reaction becomes too slow.
It may be argued that isobutyraldehyde being used in excess in the reaction (5.5 equivalents relative to the N-phenyl maleimide substrate) actually acts as a as solvent and reagent. Nevertheless, this is one aspect of the area of green chemistry where there is clearly no consensus. In particular, according to the philosophy of Sheldon [21], who states “the best solvent is no solvent”, one strategy for the development of more environmentally friendly protocols involves solvent-free reactions. In some cases, this has been achieved using an excess (up to 20 equivalents) of a liquid reagent [31,71,72].
The potential influence of other additives, in particular hydrogen bond donors such as urea, thiourea and sulfamide, was also examined; however, these additive acids did not lead to any significant improvement of the stereoselectivity of the reaction. A similarly disappointing observation was made when the reaction was performed at a low temperature: the reaction became too slow, and the enantioselectivity did not actually improve (Table S2 of Supplementary Materials).
Once the reaction conditions had been optimized, the scope of the reaction was evaluated with different maleimides as electrophilic substrates. Table 4 summarizes the results. It can be observed that N-donor substituents in the aromatic group on the N-substituted maleimide cause a decrease in the reactivity, which results in poor reaction yields.
Table 4.
Michael addition reaction of aldehydes to different N-substituted maleimide substrates.
The potential of dipeptides 1–6 in the Michael addition to nitroolefins was also studied. Initially, the optimized conditions of the reaction with N-substituted maleimides were employed, but surprisingly the reaction did not proceed. Therefore, dipeptides 1–6 were tested under the conditions reported by Nugent et al. [58,59] who employ DMAP and a hydrogen bond donor (to ensure the proximity of both substrates) as additives (Table 5). Catalysts 4 and 6 provided the best results and were used in subsequent studies.
Table 5.
Michael addition reaction of isobutyraldehyde to trans-β-nitrostyrene organocatalyzed by α,β-dipeptides 1–6.
With dipeptide 6 as the catalyst, the effect of catalyst loading was evaluated. Examination of Table 6 shows that the most suitable catalyst load is 10 mol % (entry 3). It is important to note that as in the case of the reaction with maleimides, the use of solvent afforded the desired products in lower yield and decreased stereoselectivity. It was observed that both dichloromethane (DCM) and water solvent gave the desired product with high selectivity (93:7 and 94:6 er, respectively, Table S3 of Supplementary Materials). Finally, yields went from moderate to good (64% and 81%, respectively, Table S3 of Supplementary Materials). Again, the amount of aldehyde was optimized to 5.5 equivalents in order to use the minimum quantity to perform the reactions maintaining the same results in yield and selectivity.
Table 6.
Michael addition reaction of isobutyraldehyde to trans-β-nitrostyrene with different amounts of catalyst.
Following the methodology reported by Nugent and co-workers [58,59], an analysis of the reaction was undertaken in the presence of different additives. Specifically, three different hydrogen bond donors were tested: urea, thiourea and sulfamide. The results turned out to be slightly better with thiourea, which is also readily accessible. Similar observations were made with dipeptides 4 and 6 as catalysts. The potential effect of temperature was also studied. Nevertheless, at low temperatures (−15 °C and +2 °C) the required reaction times turned out to be too long. Thus, it was concluded that the best reaction conditions correspond to the employment of 10 mol % of catalyst in the presence of equimolar amounts of urea or thiourea and DMAP as additives, at ambient temperature, and in the absence of solvent. Table 7 summarizes the observations derived from this evaluation.
Table 7.
Michael addition reaction of isobutyraldehyde to trans-β-nitrostyrene organocatalyzed by dipeptides 4 and 6 in the presence of different hydrogen bond donors and at various temperatures.
Once the reaction conditions had been optimized, catalysts 4 and 6 were used to carry out Michael addition reactions with different substrates, in order to establish the scope of the reaction. Table 8 summarizes the results. Generally, both 4 and 6 catalysts provided the desired products with similarly high enantiomeric purity. It is important to note that electron withdrawing groups (EWG) conducts to lower yields in comparison to electron donating groups (EDG). The most dramatic effect was produced with 2-Br substituted nitroolefin, which gave the lowest yield but despite that, the product’s stereoselectivity was good (Table 8, essay 2).
Table 8.
Michael addition reaction of aldehydes to different substrates.
Based on the mechanistic observations reported by Nugent [58,59], we propose a plausible mechanism for the reaction of isobutyraldehyde with both maleimides and trans-β-nitrostyrenes (Scheme 3).
Scheme 3.
Proposed mechanism for the Michael addition reaction of isobutyraldehyde to N-arylmaleimides catalysed by peptide 2 in the presence of sodium hydroxide as a base.
3. Discussion
For the Michael addition reaction of aldehydes to N-arylmaleimides, the first step should correspond to enamine formation. The sodium carboxylate that is generated by the hydroxide base orients the approach of the electrophile, the Na+ cation acting as a bridging Lewis acid. Formation of the new C–C bond takes place with the concomitant creation of the chiral center. Finally, hydrolysis of the iminium ion intermediate gives the desired product (Scheme 3).
In the case of enolate addition to nitroolefins, the first step should be an acid-base reaction between the dipeptide and DMAP, followed by enamine formation. In this case, the resulting intermediate step is activated by the thiourea molecule, which helps orient the approach of the nitroolefin to the enamine. Final hydrolysis gives the Michael adduct (Scheme 4).
Scheme 4.
Proposed mechanism for the Michael addition reaction of isobutyraldehyde to trans-β-nitrostyrene catalysed by peptide 4 in the presence of DMAP and thiourea as the hydrogen bond donor.
4. Materials and Methods
Methyl ((benzyloxy)carbonyl)-L-phenylalanylglycinate (21). In a round-bottomed flask provided with nitrogen atmosphere and magnetic stirring was placed 6.0 g (0.02 mol) of N-protected phenylalanine. The amino acid was disolved in 20 mL of CH3CN and the flask was placed in an ice bath at 0 °C before the addition of 4.8 mL (0.044 mol, 2.2 equiv.) of N-methyl morpholine and 14.28 mL (0.024 mol, 1.2 equiv.) of a 1.68 M solution of propylphosphonic anhydride (T3P). The reaction mixture was stirred at 0 °C before the addition of additional 2.4 mL (0.022 mol, 1.1 equiv.) of N-methyl morpholine and 2.52 g (0.02 mol, 1 equiv.) of de HCl salt of glycine methyl ester, previously dissolved in 20 mL of CH3CN. The reaction mixture was allowed to reach ambient temperature and stirred for 24 additional hours. After this time, the solvent was evaporated and the crude was redisolved in 300 mL of EtOAc and washed with 1N HCl (2 × 150 mL) and saturated solution of sodium and potassium tartrate (1 × 100 mL). The organic extracts were dried with Na2SO4 and concentrated under vacuum. The product was crystallized from EtOAc:hexane (75:25) affording 5.8 g (78% yield) of the desired product as a white solid. Experimental properties in agreement with reported in literature [73]. Experimental mp 118–119 °C. = +0.826 (c = 0.363, CHCl3). 1H-NMR (400 MHz, DMSO-d6, 120 °C) (ppm): 2.89 (dd, J1 = 9.2, J2 = 14.0 Hz, 1H), 3.11 (dd, J1 = 4.6, J2 = 14.0 Hz 1H), 3.67 (s, 3H), 3.89 (m, 2H), 4.38 (m, 1H), 5.01 (m, 2H), 6.79 (a, 1H), 7.19–7.36 (m, 10H), 7.94 (a, 1H); 13C-NMR (DMSO-d6 / 100.52 MHz): δ 38.3, 41.4, 51.9, 56.6, 66.1, 126.6, 127.8, 128.0, 128.4, 128.6, 129.6, 137.6, 138.3, 156.0, 170.3, 172.1; HRESI-MS: m/z = 371.1598 [M + H]+; calculated for C20H23N2O5 371.1601.
((Benzyloxy)carbonyl)-l-phenylalanylglycine (22). In a round-bottomed flask provided with magnetic stirring was placed 600 mg (1.6 mmol) of esther 21 and dissolved in 6 mL of THF. The flask was placed in an ice bath at 0 °C before the addition of 134.5 (3.2 mmol, 2 equiv.) of LiOH monohydrate in 2 mL of water. The reaction mixture was stirred at 0 °C and allowed to reach ambient temperature. After 24 h, the solvent was evaporated under vacuum and the residue was acidulated with conc. HCl to pH = 2 and then extracted with CH2Cl2. The organic extracts were dried with Na2SO4 and concentrated under vacuum. The product was crystallized from EtOAc:hexane affording 134 mg (23 % yield) of 22 as a white solid. Experimental properties in agreement with those reported in the literature [74], mp 128-130 °C. = −10.59 (c = 0.34, AcOH). 1H-NMR (400 MHz, DMSO-d6, 120 °C) (ppm): 2.87 (dd, J1 = 9.2, J2 = 14.0 Hz, 1H), 3.12 (dd, J1 = 4.8, J2 = 9.2 Hz 1H), 3.66 (s, 2H), 4.33 (m, 1H), 5.00 (m, 2H), 6.85 (a, 1H), 7.16–7.36 (m, 10H), 7.57 (a, 1H); 13C-NMR (DMSO-d6, 100.52 MHz): δ 38.3, 42.8, 56.8, 66.0, 126.5, 127.7, 127.9, 128.4, 128.6, 129.6, 137.6, 138.6, 156.0, 170.3, 171.3; HRESI-MS: m/z = 357.1452 [M + H]+; calculated for C19H21N2O5, 357.1444.
l-Phenylalanylglycine (A). In a round bottomed flask provided with magnetic stirrer and H2 atmosphere was placed 86 mg of compound 22 with 8.6 mg of Pd/C 10% w/w. Cautiously, 2 mL of methanol was added and the reaction was stirred at ambient temperature for 24 h. Finally, the mixture was filtered on Celite and the solid washed with conc. NH4OH affording 56 mg (quantitative yield) of the desired product as a white solid. Experimental properties were in agreement with those reported in the literature [75], mp 218–220 °C (decomposes). = −5.59 (c = 0.34, AcOH). 1H-NMR (500 MHz, D2O) (ppm): 2.84 (dd, J1 = 7.1, J2 = 13.6 Hz, 1H), 2.92 (dd, J1 = 6.7, J2 = 13.6 Hz, 1H), 3.42 (d, J = 17.3 Hz, 1H), 3.63 (d, J = 17.5 Hz,1H), 3.74 (dd, J1 = 6.9, J2 = 7.1 Hz 1H), 7.10–7.25 (m, 5H); 13C-NMR (D2O, 125.76 MHz): δ 38.9, 43.2, 55.6, 127.4, 128.7, 128.9, 129.4, 135.9, 173.4, 176.3; HRESI-MS: m/z = 223.1077 [M + H]+; calculated for C11H14N2O3, 223.1077.
General method for addition of aldehydes to N-arylmaleimides: 15.6 mg (0.05 mmol) of α,β-dipeptide 2, 2 mg (0.05 mmol) of NaOH, 0.5 mmol (1 equiv.) of the corresponding maleimide and 2.75 mmol (5.5 equiv.) of the aldehyde were placed in a flask equipped with a magnetic stirrer. The reaction mixture was stirred for up to 24 h at ambient temperature, until thin layer chromatography (TLC) showed that the reaction was complete. The product was purified by flash column chromatography with a mixture of hexanes/EtOAc (7:3) as eluent. The absolute configuration of the products was assigned by comparison with the available literature [45,55,56,57,76,77]. The enantiomeric ratio was determined by chiral HPLC. NMR spectra and chromatograms can be found in Supplementary Materials.
General method for the addition of isobutyraldehyde to nitroolefins: 0.05 mmol of dipeptide 4 or 6, 3.8 mg (0.05 mmol) of (thio)urea, 6.1 mg (0.05 mmol) of DMAP and 0.25 mL (2.75 mmol, 5.5 equiv.) of isobutyraldehyde were placed in a flask equipped with a magnetic stirrer. The resulting mixture was stirred for 5 min before the addition of 0.5 mmol (1 equiv.) of the corresponding nitroolefin. The reaction mixture was stirred for up to 24 h at ambient temperature until TLC showed that the reaction was complete. The product was purified by flash column chromatography with a mixture of hexanes/EtOAc (9:1) as eluent. The enantiomeric ratio was determined by chiral HPLC. The absolute configuration of the products was assigned in accordance with the literature [58,59,76,77].
5. Conclusions
Six novel α,β-dipeptides were evaluated as organocatalysts in the Michael addition reaction of various aldehydes to different substrates. With N-arylmaleimides or nitroolefins as electrophiles, the dipeptide alone was not able to promote the reaction, whereas with base NaOH as additive the asymmetric Michael addition to maleimides proceeds. Similarly, a 1:1 mixture of DMAP and urea or thiourea promotes the Michael addition reaction to β-nitrostyrene. The effective use of additives reported in this work constitutes a clear example of how catalytic activity depends markedly on non-covalent interactions induced by the additive which are apparently more efficient under solvent-free reaction conditions. In particular, the sodium salt of the dipeptidic catalyst as well as a putative supramolecular cluster consisting of dipeptide, DMAP and (thio)urea appear to play a key role in the stereoselective Michael addition reactions presented here.
Supplementary Materials
The following are available online. References [45,57,59,76,77,78] are cited in the supplementary materials.
Acknowledgments
We are grateful to Consejo Nacional de Ciencia Y Tecnología (CONACYT) for financial support via grant No. 220945. We are also indebted to María Teresa Cortez Picasso, Víctor Manuel González Díaz and María Luisa Rodríguez Pérez for their assistance in the recording of the NMR spectra.
Author Contributions
C. Gabriela Avila-Ortiz participated in the synthesis of the peptides at large scale, and performed the experimental work in the organocatalytic reactions with maleimides and the reactions with Valine-β-Ala as a catalyst in the Michael additions to styrenes. Lenin Díaz-Corona performed the experiments of the Michael additions to styrenes catalyzed by Ile-β-Ala. Erika Jiménez-González performed the synthesis of the peptides. Eusebio Juaristi conceived and designed the experiments.
Conflicts of Interest
The authors declare no conflict of interest and the founding sponsors had no role in the design of the study; in the collection, analyses, or interpretation of data; in the writing of the manuscript, or in the decision to publish the results.
References
- Vetica, F.; de Figueiredo, R.M.; Orsini, M.; Tofani, D.; Gasperi, T. Recent Advances in Organocatalytic Cascade Reactions toward the Formation of Quaternary Stereocenters. Synthesis 2015, 47, 2139–2184. [Google Scholar]
- Dalko, P.I. Comprehensive Enantioselective Organocatalysis: Catalysts, Reactions, and Applications, 1st ed.; John Wiley & Sons: Hoboken, NJ, USA, 2013. [Google Scholar]
- Buckley, B.R. Organocatalysis. Annu. Rep. Sect. B Org. Chem. 2013, 109, 189–206. [Google Scholar] [CrossRef]
- Alemán, J.; Cabrera, S. Applications of asymmetric organocatalysis in medicinal chemistry. Chem. Soc. Rev. 2013, 42, 774–793. [Google Scholar] [CrossRef] [PubMed]
- List, B.; Maruoka, K. Science of Synthesis: Asymmetric Organocatalysis, 1st ed.; Thieme Verlag: Stuttgart, Germany, 2012. [Google Scholar]
- Pellissier, H. Recent Developments in Asymmetric Organocatalysis, 1st ed.; Royal Society of Chemistry: Cambridge, UK, 2010. [Google Scholar]
- Marqués-López, E.; Herrera, R.P.; Christmann, M. Asymmetric organocatalysis in total synthesis—A trial by fire. Nat. Prod. Rep. 2010, 27, 1138–1167. [Google Scholar] [CrossRef] [PubMed]
- Bertelsen, S.; Jørgensen, K.A. Organocatalysis—After the gold rush. Chem. Soc. Rev. 2009, 38, 2178–2189. [Google Scholar] [CrossRef] [PubMed]
- Melchiorre, P.; Marigo, M.; Carlone, A.; Bartoli, G. Asymmetric aminocatalysis—Gold rush in organic chemistry. Angew. Chem. Int. Ed. 2008, 47, 6138–6171. [Google Scholar] [CrossRef] [PubMed]
- MacMillan, D.W.C. The advent and development of organocatalysis. Nature 2008, 455, 304–308. [Google Scholar] [CrossRef] [PubMed]
- Dondoni, A.; Massi, A. Asymmetric organocatalysis: From infancy to adolescence. Angew. Chem. Int. Ed. 2008, 47, 4638–4660. [Google Scholar] [CrossRef] [PubMed]
- Enders, D.; Grondal, C.; Hüttl, M.R.M. Asymmetric organocatalytic domino reactions. Angew. Chem. Int. Ed. 2007, 46, 1570–1581. [Google Scholar] [CrossRef] [PubMed]
- Seayad, J.; List, B. Asymmetric organocatalysis. Org. Biomol. Chem. 2005, 3, 719–724. [Google Scholar] [CrossRef] [PubMed]
- Dalko, P.I.; Moisan, L. In the golden age of organocatalysis. Angew. Chem. Int. Ed. 2004, 43, 5138–5175. [Google Scholar] [CrossRef] [PubMed]
- Hernández, J.G.; Juaristi, E. Recent efforts directed to the development of more sustainable asymmetric organocatalysis. Chem. Commun. 2012, 48, 5396–5409. [Google Scholar] [CrossRef] [PubMed]
- Chauhan, P.; Chimni, S.S. Mechanochemistry assisted asymmetric organocatalysis: A sustainable approach. Beilstein J. Org. Chem. 2012, 8, 2132–2141. [Google Scholar] [CrossRef] [PubMed]
- North, M. Sustainable Catalysis: With Non-Endangered Metals, 1st ed.; Royal Society of Chemistry: Cambridge, UK, 2016. [Google Scholar]
- Hernández, J.G.; Avila-Ortiz, C.G.; Juaristi, E. Useful Chemical Activation Alternatives in Solvent-Free Organic Reactions. In Comprehensive Organic Synthesis, 2nd ed.; Molander, G.A., Knochel, P., Eds.; Elsevier: Oxford, UK, 2014; Volume 9, pp. 287–314. [Google Scholar]
- Ranu, B.; Stolle, A. Ball Milling towards Green Synthesis, 1st ed.; Royal Society of Chemistry: Cambridge, UK, 2015. [Google Scholar]
- Margetic, D.; Ŝtrukil, V. Mechanochemical Organic Synthesis, 1st ed.; Elsevier: Oxford, UK, 2016. [Google Scholar]
- Sheldon, R.A. Green solvents for sustainable organic synthesis: State of the art. Green Chem. 2005, 7, 267–278. [Google Scholar] [CrossRef]
- Walsh, P.J.; Li, H.; Anaya de Parrodi, C. A green chemistry approach to asymmetric catalysis: Solvent-free and highly concentrated reactions. Chem. Rev. 2007, 107, 2503–2545. [Google Scholar] [CrossRef] [PubMed]
- Anastas, P.; Eghbali, N. Green chemistry: Principles and practice. Chem. Soc. Rev. 2010, 39, 301–312. [Google Scholar] [CrossRef] [PubMed]
- Varma, R.S. Journey on greener pathways: From the use of alternate energy inputs and benign reaction media to sustainable applications of nano-catalysts in synthesis and environmental remediation. Green Chem. 2014, 16, 2027–2041. [Google Scholar] [CrossRef]
- Gawande, M.B.; Bonifácio, V.D.B.; Luque, R.; Branco, P.S.; Varma, R.S. Solvent-Free and Catalysts-Free Chemistry: A Benign Pathway to Sustainability. ChemSusChem 2014, 7, 24–44. [Google Scholar] [CrossRef] [PubMed]
- Machuca, E.; Juaristi, E. Asymmetric Organocatalytic Reactions under Ball Milling. In Ball Milling towards Green Synthesis, 1st ed.; Ranu, B., Stolle, A., Eds.; Royal Society of Chemistry: Cambridge, UK, 2015. [Google Scholar]
- Hernández, J.G.; Juaristi, E. Asymmetric aldol reaction organocatalyzed by (S)-proline-containing dipeptides: Improved stereoinduction under solvent-free conditions. J. Org. Chem. 2011, 76, 1464–1467. [Google Scholar] [CrossRef] [PubMed]
- Moles, F.J. N.; Bañón-Caballero, A.; Guillena, G.; Nájera, C. Enantioselective aldol reactions with aqueous 2,2-dimethoxyacetaldehyde organocatalyzed by binam-prolinamides under solvent-free conditions. Tetrahedron Asymmetry 2014, 25, 1323–1330. [Google Scholar] [CrossRef]
- Kamal, A.; Sathish, M.; Srinivasulu, V.; Chetna, J.; Shekar, K.C.; Nekkanti, S.; Tangellaa, Y.; Shankaraiahb, N. Asymmetric Michael addition of ketones to nitroolefins: Pyrrolidinyl-oxazole-carboxamides as new efficient organocatalysts. Org. Biomol. Chem. 2014, 12, 8008–8018. [Google Scholar] [CrossRef] [PubMed]
- Wan, W.; Gao, W.; Ma, G.; Ma, L.; Wang, F.; Wang, J.; Jiang, H.; Zhu, S.; Hao, J. Asymmetric aldol reaction organocatalyzed by bifunctional N-prolyl sulfinamides under solvent-free conditions. RSC Adv. 2014, 4, 26563–26568. [Google Scholar] [CrossRef]
- Vega-Peñaloza, A.; Sánchez-Antonio, O.; Avila-Ortiz, C.G.; Escudero-Casao, M.; Juaristi, E. An Alternative Synthesis of Chiral (S)-Proline Derivatives that Contain a Thiohydantoin Moiety and Their Application as Organocatalysts in the Asymmetric Michael Addition Reaction under Solvent-Free Conditions. Asian J. Org. Chem. 2014, 3, 487–496. [Google Scholar] [CrossRef]
- Avila-Ortiz, C.G.; López-Ortiz, J.M.; Vega-Peñaloza, A.; Regla, I.; Juaristi, E. Use of (R)-Mandelic Acid as Chiral Co-Catalyst in the Michael Addition Reaction Organocatalyzed by (1S,4S)-2-Tosyl-2,5-diazabicyclo [2.2.1] heptane under Solvent-Free Conditions. Asymmetric Catal. 2015, 2, 37–44. [Google Scholar] [CrossRef]
- Vizcaíno-Milla, P.; Sansano, J.M.; Nájera, C.; Fiser, B.; Gómez-Bengoa, E. Pyrimidine-Derived Prolinamides as Recoverable Bifunctional Organocatalysts for Enantioselective Inter-and Intramolecular Aldol Reactions under Solvent-Free Conditions. Eur. J. Org. Chem. 2015, 2015, 2614–2621. [Google Scholar] [CrossRef]
- Chauhan, P.; Kaur, J.; Chimni, S.S. Asymmetric organocatalytic addition reactions of maleimides: A promising approach towards the synthesis of chiral succinimide derivatives. Chem. Asian J. 2013, 8, 328–346. [Google Scholar] [CrossRef] [PubMed]
- Flores-Ferrándiz, J.; Fiser, B.; Gómez-Bengoa, E.; Chinchilla, R. Solvent-Induced Reversal of Enantioselectivity in the Synthesis of Succinimides by the Addition of Aldehydes to Maleimides Catalysed by Carbamate-Monoprotected 1,2-Diamines. Eur. J. Org. Chem. 2015, 2015, 1218–1225. [Google Scholar] [CrossRef]
- Flores-Ferrándiz, J.; Chinchilla, R. Solvent-dependent enantioswitching in the Michael addition of α,α-disubstituted aldehydes to maleimides organocatalyzed by mono-N-Boc-protected cyclohexa-1,2-diamines. Tetrahedron Asymmetry 2014, 25, 1091–1094. [Google Scholar] [CrossRef]
- Muramulla, S.; Ma, J.A.; Zhao, J.C.G. Michael addition of ketones and aldehydes to maleimides catalyzed by modularly designed organocatalysts. Adv. Synth. Catal. 2013, 355, 1260–1264. [Google Scholar] [CrossRef]
- Orlandi, S.; Pozzi, G.; Ghisetti, M.; Benaglia, M. Synthesis and catalytic activity of fluorous chiral primary amine-thioureas. New J. Chem. 2013, 37, 4140–4147. [Google Scholar] [CrossRef]
- Durmaz, M.; Sirit, A. Calixarene-based chiral primary amine thiourea promoted highly enantioselective asymmetric Michael reactions of α,α-disubstituted aldehydes with maleimides. Tetrahedron Asymmetry 2013, 24, 1443–1448. [Google Scholar] [CrossRef]
- Yang, W.; Jiang, K.Z.; Lu, X.; Yang, H.-M.; Li, L.; Lu, Y.; Xu, L.W. Molecular Assembly of an Achiral Phosphine and a Chiral Primary Amine: A Highly Efficient Supramolecular Catalyst for the Enantioselective Michael Reaction of Aldehydes with Maleimides. Chem. Asian J. 2013, 8, 1182–1190. [Google Scholar] [CrossRef] [PubMed]
- Gomez-Torres, E.; Alonso, D.A.; Gómez-Bengoa, E.; Nájera, C. Enantioselective Synthesis of Succinimides by Michael Addition of 1,3-Dicarbonyl Compounds to Maleimides Catalyzed by a Chiral Bis (2-aminobenzimidazole) Organocatalyst. Eur. J. Org. Chem. 2013, 2013, 1434–1440. [Google Scholar] [CrossRef]
- Ma, Z.W.; Liu, Y.X.; Li, P.L.; Ren, H.; Zhu, Y.; Tao, J.C. A highly efficient large-scale asymmetric Michael addition of isobutyraldehyde to maleimides promoted by a novel multifunctional thiourea. Tetrahedron Asymmetry 2011, 22, 1740–1748. [Google Scholar] [CrossRef]
- Miura, T.; Nishida, S.; Masuda, A.; Tada, N.; Itoh, A. Asymmetric Michael additions of aldehydes to maleimides using a recyclable fluorous thiourea organocatalyst. Tetrahedron Lett. 2011, 52, 4158–4160. [Google Scholar] [CrossRef]
- Miura, T.; Masuda, A.; Ina, M.; Nakashima, K.; Nishida, S.; Tada, N.; Itoh, A. Asymmetric Michael reactions of α,α-disubstituted aldehydes with maleimides using a primary amine thiourea organocatalyst. Tetrahedron Asymmetry 2011, 22, 1605–1609. [Google Scholar] [CrossRef]
- Yu, F.; Jin, Z.; Huang, H.; Ye, T.; Liang, X.; Ye, J. A highly efficient asymmetric Michael addition of α,α-disubstituted aldehydes to maleimides catalyzed by primary amine thiourea salt. Org. Biomol. Chem. 2010, 8, 4767–4774. [Google Scholar] [CrossRef] [PubMed]
- Bai, J.-F.; Peng, L.; Wang, L.-L.; Wang, L.-X.; Xu, X.-Y. Chiral primary amine thiourea promoted highly enantioselective Michael reactions of isobutylaldehyde with maleimides. Tetrahedron 2010, 66, 8928–8932. [Google Scholar] [CrossRef]
- Xue, F.; Liu, L.; Zhang, S.; Duan, W.; Wang, W. A Simple Primary Amine Thiourea Catalyzed Highly Enantioselective Conjugate Addition of α,α-Disubstituted Aldehydes to Maleimides. Chem. Eur. J. 2010, 16, 7979–7982. [Google Scholar] [CrossRef] [PubMed]
- Wang, Y.; Li, D.; Lin, J.; Wei, K. Organocatalytic asymmetric Michael addition of aldehydes and ketones to nitroalkenes catalyzed by adamantoyl l-prolinamide. RSC Adv. 2015, 5, 5863–5874. [Google Scholar] [CrossRef]
- Ji, Y.; Blackmond, D.G. The role of reversibility in the enantioselective conjugate addition of α,α-disubstituted aldehydes to nitro-olefins catalyzed by primary amine thioureas. Catal. Sci. Technol. 2014, 4, 3505–3509. [Google Scholar] [CrossRef]
- He, J.; Chen, Q.; Ni, B. Highly efficient asymmetric organocatalytic Michael addition of α, α-disubstituted aldehydes to nitroolefins under solvent-free conditions. Tetrahedron Lett. 2014, 55, 3030–3032. [Google Scholar] [CrossRef]
- Avila, A.; Chinchilla, R.; Fiser, B.; Gómez-Bengoa, E.; Nájera, C. Enantioselective Michael addition of isobutyraldehyde to nitroalkenes organocatalyzed by chiral primary amine-guanidines. Tetrahedron Asymmetry 2014, 25, 462–467. [Google Scholar] [CrossRef]
- Kumar, T.P.; Haribabu, K. Enantioselective Michael addition of α,α-disubstituted aldehydes to nitroolefins catalyzed by a pyrrolidine-pyrazole. Tetrahedron Asymmetry 2014, 25, 1129–1132. [Google Scholar] [CrossRef]
- Xu, K.; Zhang, S.; Hu, Y.; Zha, Z.; Wang, Z. Asymmetric Michael Reaction Catalyzed by Proline Lithium Salt: Efficient Synthesis of L-Proline and Isoindoloisoquinolinone Derivatives. Chem. Eur. J. 2013, 19, 3573–3578. [Google Scholar] [CrossRef] [PubMed]
- Zhao, G.-L.; Xu, Y.; Sundén, H.; Eriksson, L.; Sayah, M.; Córdova, A. Organocatalytic enantioselective conjugate addition of aldehydes to maleimides. Chem. Commun. 2007, 734–735. [Google Scholar] [CrossRef] [PubMed]
- Avila, A.; Chinchilla, R.; Gómez-Bengoa, E.; Nájera, C. Enantioselective Michael addition of aldehydes to maleimides organocatalysed by chiral 1,2-diamines: An experimental and theoretical study. Tetrahedron Asymmetry 2013, 24, 1531–1535. [Google Scholar] [CrossRef]
- Avila, A.; Chinchilla, R.; Nájera, C. Enantioselective Michael addition of α,α-disubstituted aldehydes to maleimides organocatalyzed by chiral primary amine-guanidines. Tetrahedron Asymmetry 2012, 23, 1625–1627. [Google Scholar] [CrossRef]
- Kokotos, C.G. An asymmetric Michael addition of α,α-disubstituted aldehydes to maleimides leading to a one-pot enantioselective synthesis of lactones catalyzed by amino acids. Org. Lett. 2013, 15, 2406–2409. [Google Scholar] [CrossRef] [PubMed]
- Nugent, T.C.; Sadiq, A.; Bibi, A.; Heine, T.; Zeonjuk, L.L.; Vankova, N.; Bassil, B.S. Noncovalent Bifunctional Organocatalysts: Powerful Tools for Contiguous Quaternary-Tertiary Stereogenic Carbon Formation, Scope, and Origin of Enantioselectivity. Chem. Eur. J. 2012, 18, 4088–4098. [Google Scholar] [CrossRef] [PubMed]
- Nugent, T.C.; Shoaib, M.; Shoaib, A. Practical access to highly enantioenriched quaternary carbon Michael adducts using simple organocatalysts. Org. Biomol. Chem. 2011, 9, 52–56. [Google Scholar] [CrossRef] [PubMed]
- Jiménez-González, E.; Avila-Ortiz, C.G.; González-Olvera, R.; Vargas-Caporali, J.; Dewynter, G.; Juaristi, E. Solution-phase synthesis of novel seven-membered cyclic dipeptides containing α- and β-amino acids. Tetrahedron 2012, 68, 9842–9852. [Google Scholar] [CrossRef]
- Fingerhut, A.; Grau, D.; Tsogoeva, S.B. Peptides as Asymmetric Organocatalysts. In Sustainable Catalysis: Without Metals or Other Endangered Elements Part 1, 1st ed.; North, M., Ed.; Royal Society of Chemistry: Oxford, UK, 2016; pp. 309–353. [Google Scholar]
- Colby Davie, E.A.; Mennen, S.M.; Xu, Y.; Miller, S.J. Asymmetric Catalysis Mediated by Synthetic Peptides. Chem. Rev. 2007, 107, 5759–5812. [Google Scholar] [CrossRef] [PubMed]
- Wennemers, H. Asymmetric catalysis with peptides. Chem. Commun. 2011, 47, 12036–12041. [Google Scholar] [CrossRef] [PubMed]
- Dziedzic, P.; Cordova, A. Acyclic β-amino acid catalyzed asymmetric anti-selective Mannich-type reactions. Tetrahedron: Asymmetry 2007, 18, 1033–1037. [Google Scholar] [CrossRef]
- Juaristi, E. Enantioselective Synthesis of β-Amino Acids, 1st ed.; Wiley-VCH: New York, NY, USA, 1997. [Google Scholar]
- Juaristi, E.; Soloshonok, V.A. Enantioselective Synthesis of β-Amino Acids, 2nd ed.; John Wiley & Sons, Inc.: Hoboken, NJ, USA, 2005. [Google Scholar]
- Lelais, G.; Seebach, D. β2-amino acids—Syntheses, occurrence in natural products, and components of β-peptides. Biopolymers 2004, 76, 206–243. [Google Scholar] [CrossRef] [PubMed]
- Seebach, D.; Beck, A.K.; Bierbaum, D.J. The world of beta- and gamma-peptides comprised of homologated proteinogenic amino acids and other components. Chem. Biodivers. 2004, 1, 1111–1239. [Google Scholar] [CrossRef] [PubMed]
- Horne, W.S.; Gellman, S.H. Foldamers with Heterogeneous Backbones. Acc. Chem. Res. 2008, 41, 1399–1408. [Google Scholar] [CrossRef] [PubMed]
- Rulli, G.; Duangdee, N.; Baer, K.; Hummel, W.; Berkessel, A.; Gröger, H. Direction of kinetically versus thermodynamically controlled organocatalysis and its application in chemoenzymatic synthesis. Angew. Chem. Int. Ed. 2011, 50, 7944–7947. [Google Scholar] [CrossRef] [PubMed]
- Cao, C.-L.; Ye, M.-C.; Sun, X.-L.; Tang, Y. Pyrrolidine−thiourea as a bifunctional organocatalyst: Highly enantioselective Michael addition of cyclohexanone to nitroolefins. Org. Lett. 2006, 8, 2901–2904. [Google Scholar] [CrossRef] [PubMed]
- Chua, P.J.; Tan, B.; Zeng, X.; Zhong, G. Prolinol as a highly enantioselective catalyst for Michael addition of cyclohexanone to nitroolefins. Bioorg. Med. Chem. Lett. 2009, 19, 3915–3918. [Google Scholar] [CrossRef] [PubMed]
- Sayyadi, N.; Skropeta, D.; Jolliffe, K.A. N, O-Isopropylidenated threonines as tools for peptide cyclization: application to the synthesis of mahafacyclin B. Org. Lett. 2005, 7, 5497–5499. [Google Scholar] [CrossRef] [PubMed]
- Kanosue, Y.; Kojima, S.; Hiraga, Y.; Ohkata, K. Relationship between the hydrophobicity of dipeptides and the Michaelis–Menten constant K m of their hydrolysis by carboxypeptidase-Y and carboxypeptidase-A. Bull. Chem. Soc. Jpn. 2004, 77, 1187–1193. [Google Scholar] [CrossRef]
- Ben-Ishai, D. The use of hydrogen bromide in acetic acid for the removal of carbobenzoxy groups and benzyl esters of peptide derivatives1. J. Org. Chem. 1954, 19, 62–66. [Google Scholar] [CrossRef]
- Yoshida, M.; Sato, A.; Hara, S. Asymmetric Michael addition of aldehydes to nitroalkenes using a primary amino acid lithium salt. Org. Biomol. Chem. 2010, 8, 3031–3036. [Google Scholar] [CrossRef] [PubMed]
- Luo, C.; Du, D.-M. Highly enantioselective Michael addition of ketones and an aldehyde to nitroalkenes catalyzed by a binaphthyl sulfonimide in water. Synthesis 2011, 1968–1973. [Google Scholar] [CrossRef]
- Avila, A.; Chinchilla, R.; Gómez-Bengoa, E.; Nájera, C. Enantioselective synthesis of succinimides by Michael Addition of aldehydes to maleimides organocatalyzed by chiral primary amine-guanidines. Eur. J. Org. Chem. 2013, 2013, 5085–5092. [Google Scholar] [CrossRef]
Sample Availability: Samples of the compounds are not available from the authors. |
© 2017 by the authors. Licensee MDPI, Basel, Switzerland. This article is an open access article distributed under the terms and conditions of the Creative Commons Attribution (CC BY) license (http://creativecommons.org/licenses/by/4.0/).













