Abstract
Described herein is the development of a facile and efficient methodology for the synthesis of novel turmerone motif-fused 3,3′-pyrrolidinyl-dispirooxindoles 3–5 via a multicomponent 1,3-dipolar cycloaddition of dienones 2 with azomethine ylides (thermally generated in situfrom isatins and proline or thioproline or sarcosine). Products bearing four or three consecutive stereocenters consist of two oxindole moieties and a pyrrolidinyl core, including vicinal spiroquaternary stereocenters fused in one ring structure were smoothly obtained in high yields (up to 93% yield) with good diastereoselectivity (up to >20:1). Another valuable application of this method was for the design of new hybrid architectures for biological screening through the adequate fusion of these sub-units of turmerone and 3,3′-pyrrolidinyl-dispirooxindole, generating drug-like molecules.
1. Introduction
The close correlation between the specificity of biological activity and the complex, well-defined three-dimensionalshape of natural molecules has provided the impetus to develop novel strategies to stereoselectively access challenging target structures inherent in natural products or bioactive molecules [1,2,3,4,5]. Especially, 3,3′-pyrrolidinyl-dispirooxindoles have emerged as interesting targets owing to their complex polycyclic architecture. Some biologically active 3,3′-pyrrolidinyl-dispirooxindoles exhibit prominent bioactivities such as anticancer [6], antifungal [7], and antimicrobial [8] activities (Figure 1). Stereoselective construction of spirooxindoles is one of the most challenging tasks in catalytic organic reactions [9,10,11,12,13,14,15,16,17,18,19,20,21,22,23,24,25,26,27,28,29,30,31,32,33,34,35,36,37,38]. Generally, isatin and its derivatives have been employed as starting materials in 1,3-dipolar cycloaddition reactions yielding the spirooxindole core [39,40,41,42,43,44,45,46,47,48,49] due to the facile preparation of the corresponding azomethine ylides in the presence of α-amino acids [50,51,52,53,54,55,56], and a variety of 1,3-dipolarophiles such as α,β-unsaturated ketones [57,58,59] arylidenemalonodinitriles [60], α,β-unsaturated lactones [61] nitrostyrenes [62], acrylamides [63] and various other electron-deficient alkenes [45,64,65] have been documented. In view of their unique structural features and inspiring biological activities, the development of novel methods for the synthesis of 3,3′-pyrrolidinyl-dispirooxindoles is desirable (Figure 1).
Figure 1.
Design of turmerone motif-fused 3,3′-pyrrolidinyl-dispirooxindoles as a hybrid of these two motifs.
On the other hand, the sesquiterpenes turmerone I [66,67,68,69], (S)-ar-turmerone II [66,67,68,69] and turmerone derivatives III–V [66,67,68,69] isolated from rhizomes of Curcuma longa [66,67,68,69] are reported to exhibit cytotoxic, anti-inflammatory, anti-cancer and anti-venom activity [66,67,68,69] (Figure 1). However, a close review of the literature data revealed that this biologically important turmerone scaffold has not yet been widely studied, particularly those turmerone motifs fused with other biological scaffolds.
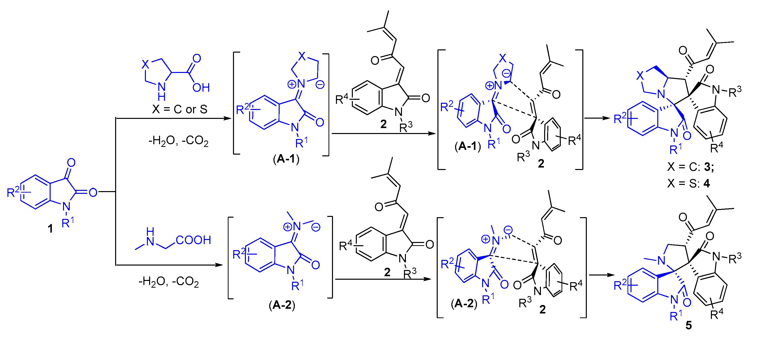
In this context, we have been recently attracted by these 3,3′-pyrrolidinyl-dispirooxindoles due to their potential pharmaceutical applications. As a continuing effort to develop new methodology for the construction of complex dispirooxindoles (Scheme 1a) [70,71,72], we report herein a facile construction of novel turmerone motif-fused 3,3′-pyrrolidinyl-dispirooxindoles 3–5 via a multicomponent 1,3-dipolar cycloaddition reaction of dienones 2 with azomethine ylides (thermally generated in situ from isatins and proline or thioproline or sarcosine) (Scheme 1b).
Scheme 1.
Construction of dispirooxindoles via 1,3-dipolar cycloaddition reaction [73].
2. Results and Discussion
In our initial endeavor, the dienone 2a was prepared via a Knoevenagel condensation reaction of mesityl oxide with N-methylisatin [68]. The three-component 1,3-dipolar cycloaddition reaction of N-methylisatin 1a, dienone 2a and proline was investigated to substantiate the feasibility of the strategy under various reaction conditions, as shown in Table 1. We were pleased to find that the reaction led to the desired product 3aa in moderate to good yields and dr values in different solvents (e.g., CH3CN, DCE, EtOAc, EtOH, THF, H2O and toluene). Finally, EtOH was found to be the best choice among all the solvents with respect to the stereoselectivity and yield (Table 1, entries 1–7). The reaction also occurs at 40 °C but extended reaction time (48 h) is required and isolated yield of product 3aa is lower (52%) (Table 1, entry 8). Increasing the amount of EtOH from 6.0 mL to 10.0 mL had a positive effect on both the dr value and yield of 3aa albeit with shortened reaction time, probably because it increased solubility of the substrates 1a, 2a, proline and product 3aa in this reaction system (Table 1, entry 9). Decreasing the amount of proline led to the desired product 3aa in the relatively lower yield (72%), along with some starting materials remained (Table 1, entry 11). Thus, the optimal reaction conditions we established were: isatin 1a (0.6 mmol), dienone 2a (0.4 mmol), proline (0.8 mmol) in 10.0 mL of EtOH at reflux for 3 h.
Table 1.
Optimization of reaction conditions a.
With the optimized reaction conditions in hands, we next turned our interest to the reaction scope, and the results were summarized in Table 2, Table 3 and Table 4. Proline was first used as a standard substrate to probe the reactivity of different isatins 1 and dienones 2 in this reaction. All of the reactions proceeded smoothly under the optimal conditions, producing the desired products 3 in moderate to good yields with good diastereoselectivities (Table 2, compounds 3aa–3le). Interestingly, electron-rich (Table 2, compounds 3da, 3ha, 3ka and 3dd) and electron-poor (Table 2, compounds 3ea, 3fa, 3ga, 3ia, 3ja, 3la, 3fd, 3if and 3le) substituents on the benzomoiety of isatins 1 were totally tolerated under the conditions. In addition, significant structural variation in the benzomoiety of dienones 2 could be accommodated in this reaction, producing the desired products 3 in moderate to good yields, regardless of the electronic nature of the substituents (Table 2, compounds 3ab–3le).
Table 2.
Synthesis of 3,3′-pyrrolidinyl-dispirooxindoles 3 a,b.
Table 3.
Synthesis of 3,3′-pyrrolidinyl-dispirooxindoles 4 a,b.
Table 4.
Synthesis of 3,3′-pyrrolidinyl-dispirooxindoles 5 a,b.
The generality of the reaction was further demonstrated by using a thioproline as a standard substrate (Table 3). Significant structural variation in the benzo-moiety of isatins 1 could be accommodated in this reaction, producing the desired products 4 in moderate to good yields with excellent diastereoselectivities (Table 3, products 4aa–4ma). In addition, comparing the results reported in Table 2 and Table 3, a trend becomes evident: the yields for the reaction with proline as the substrate are higher than those obtained with thioproline, indicating that proline is more reactive than thioproline in this reaction. On the other hand, the stereoselectivities recorded with thioproline are very high regardless of the employed substrates.
To further substantiate generality of the reaction, sarcosine was also used as a substrate to probe the reactivity of different isatins 1 under the optimal conditions (Table 4, products 5aa–5oc). It was found that, regardless of electron-donating substituents 1d, 1m and 1p or electron-withdrawing substituents 1e–1g, 1i, 1j and 1n–1o on the aromatic ring of isatins 1 (Table 4, entries 1–13), the corresponding products 5 could be successfully obtained in good yields with excellent diastereoselectivities.
All the targets piropyrrolidine oxindoles 3–5 were characterized by nuclear magnetic resonance (NMR) spectroscopy and mass spectrometry, and their structures were further confirmed by X-ray crystallographic studies of single crystals of 3aa, 3ba and 5ba [73] (Figure 2).
Figure 2.
X-ray crystallographic structures of 3aa, 3ba and 5ba.
In view of the above data and the previously disclosed similar systems in the literature [10], we tentatively propose a working model as shown in Scheme 2. The reactions of isatins (1) and proline, thioproline or sarcosine led to the azomethine ylides (A) via a decarboxylation process. The ylides (A) formed could be added to the dipolarophile dienones 2 from the less hindered side thus to give the expected cycloaddition products 3–5 (Scheme 2).
Scheme 2.
Plausible mechanism of the cycloaddition reaction providing 3,3′-pyrrolidinyl-dispirooxindoles 3–5.
According to the reaction mechanism as shown in scheme 2, if l- or d-proline was used in this cycloaddition, the racemic products would be obtained. The regiochemical outcome of the cycloaddition was further confirmed by single crystal X-ray structures of the cycloadducts 3aa, 3ba and 5ba. The significance and the high efficacy of the current protocol were demonstrated by a gram-scale synthesis of 3aa. The 1,3-dipolar cycloaddition reaction between 1a, 2a and proline proceeded cleanly on a 4.0 mmol scale (0.96 g of 2a) in 100 mL EtOH at reflux for 5 h. As outlined in Scheme 3, the corresponding adduct 3aa was obtained smoothly in 85% yield, which was similar to that observed in the previous investigation (entry 9, Table 1).
Scheme 3.
The 1,3-dipolar cycloaddition reaction on a gram scale.
Subsequently, to further demonstrate the potential activities of these synthesized turmerone motif-fused 3,3′-pyrrolidinyl-dispirooxindoles, following the literature precedent by Mosmann and coworkers [74,75] with minor modification (Alley et al.) [74,75], we evaluated in vitro anticancer (human leukemia cells K562) activities of the newly synthesized 10 compounds 3le, 3fa, 3la, 3ia, 3fd, 4da, 5ia, 5ba, 5oa and 5pa by the MTT-based assay using the commercially available broad-spectrum anticancer drug of cisplatin as a positive control, and their IC50 concentration were depicted in Table 5. The results demonstrated that the newly synthesized 10 compounds 3le, 3fa, 3la, 3ia, 3fd, 4da, 5ia, 5ba, 5oa and 5pa showed considerable cytotoxicities to the cell lines K562, and showed equipotent potent than the positive control of cisplatin. The results also indicated that synthesized turmerone motif-fused 3,3′-pyrrolidinyl-dispirooxindoles may be useful leads for further biological screenings.
Table 5.
Cytotoxicity of the nine compounds 3le, 3fa, 3la, 3ia, 3fd, 4da, 5ia, 5ba, 5oa and 5pa on human leukemia cells K562 a.
3. Experimental Section
3.1. General
The 1H- and 13C-NMRspectra were recorded on Bruker Avance DMX 400 MHz or 500 M NMR spectrometers in CDCl3 using TMS as internal standard. Chemical shifts were reported as δ values (ppm). High-resolution mass spectra (HRMS-ESI) were obtained on a MicroTM Q-TOF Mass Spectrometer. Melting points were uncorrected and recorded on an Electothermal 9100 digital melting point apparatus. Reagents were purchased from commercial sources and were used as received unless mentioned otherwise. Reactions were monitored by thin layer chromatography using silica gel GF254 plates. Column chromatography was performed on silica gel (300–400 mesh).
3.2. General Experimental Procedures for the Synthesis of Compounds 3–5
A solution of isatins 1 (0.6 mmol), dienones 2 (0.4 mmol) and proline, thioproline or sarcosine (0.8 mmol) in the 10.0 mL of EtOH at reflux for 3 h. After completion of the reaction, as indicated by TLC, the removal of solvent and purification by flash column chromatography (hexane/EtOAc = 5:1~3:1) were carried out to furnish the corresponding products 3–5.
3.3. Characterization Data of Compounds 3–5

3aa: Light orange solid, m.p. 176.5–177.8 °C; yield 89%, 20:1 dr; 1H-NMR (CDCl3) δ: 1.43 (s, 3H), 1.61 (s, 3H), 2.05–2.10 (m, 2H), 2.21–2.29 (m, 2H), 2.47–2.53 (m, 1H), 2.66–2.71 (m, 1H), 2.88 (s, 3H), 3.18 (s, 3H), 4.58–4.63 (m, 2H), 5.75 (s, 1H), 6.39–6.41 (m, 1H), 6.51–6.56 (m, 2H), 6.60 (d, J = 8.0 Hz, 1H), 7.03–7.13 (m, 2H), 7.20–7.25 (m, 1H), 7.77 (d, J = 7.6 Hz, 1H); 13C-NMR (CDCl3) δ: 20.0, 26.0, 26.2, 27.1, 30.9, 31.3, 47.3, 59.0, 65.0, 67.2, 107.4, 121.6, 122.3, 123.1, 125.1, 125.5, 127.4, 128.8, 129.2, 143.3, 143.8, 154.4, 172.9, 177.1, 196.9; HRMS (ESI-TOF) m/z: Calcd. for C28H29N3NaO3 [M + Na]+: 478.2107; Found: 478.2109.

3ba: Light orange solid, m.p. 112.2–113.6 °C; yield 83%, 12:1 dr; 1H-NMR (CDCl3) δ: 1.40 (s, 3H), 1.57 (s, 3H), 2.02–2.08 (m, 2H), 2.19–2.26 (m, 2H), 2.50–2.55 (m, 1H), 2.66–2.69 (m, 1H), 2.87 (s, 3 H), 4.57–4.63 (m, 2H), 4.76 (d, J = 12.4 Hz, 1H), 4.94 (d, J = 12.4 Hz, 1H), 5.74 (s, 1H), 6.34–6.37 (m, 1H), 6.41–6.44 (m, 1H), 6.50 (d, J = 6.0 Hz, 1H), 6.83–6.87 (m, 1H), 7.05–7.08 (m, 1H), 7.15–7.19 (m, 2H), 7.23–7.26 (m, 2H), 7.30–7.32 (m, 2H), 7.73 (d, J = 6.0 Hz, 1H); 13C-NMR (CDCl3) δ: 20.0, 26.2, 27.0, 30.8, 31.4, 44.0, 47.3, 59.1, 65.0, 67.0, 107.4, 108.6, 122.2, 123.1, 127.3, 127.4, 127.5, 128.6, 135.9, 143.0, 143.3, 154.4, 172.9, 177.0, 196.9; HRMS (ESI-TOF) m/z: Calcd. for C34H33N3NaO3 [M + Na]+: 554.2420; Found: 554.2423.

3ca: Light orange solid, m.p. 117.2–118.6 °C; yield 61%, 12:1 dr; 1H-NMR (CDCl3) δ: 1.47 (s, 3H), 1.64 (s, 3H), 2.08–2.16 (m, 2H), 2.24–2.31 (m, 2H), 2.66–2.71 (m, 1H), 2.82–2.85 (m, 1H), 2.96 (s, 3H), 4.66–4.68 (m, 2H), 5.80 (s, 1H), 6.49–6.51 (m, 1H), 6.56–6.63 (m, 3H), 6.99–7.03 (m, 1H), 7.14–7.17 (m, 1H), 7.24–7.28 (m, 1H), 7.38–7.41 (m, 1H), 7.52–7.54 (m, 4H), 7.83 (d, J = 5.6 Hz, 1H); 13C-NMR (CDCl3) δ: 20.0, 26.2, 27.0, 30.8, 31.2, 47.4, 58.9, 65.1, 67.5, 107.4, 108.6, 121.8, 123.1, 125.7, 126.9, 127.4, 128.0, 128.9, 129.5, 143.4, 143.6, 154.3, 172.9, 176.7, 196.9; HRMS (ESI-TOF) m/z: Calcd. for C33H31N3NaO3 [M + Na]+: 540.2263; Found: 540.2265.

3da: Light orange solid, m.p. 185.4–186.8 °C; yield 72%, 13:1 dr; 1H-NMR (CDCl3) δ: 1.45 (s, 3H), 1.63 (s, 3H), 2.05–2.11 (m, 2H), 2.23–2.33 (m, 2H), 2.46 (s, 3H), 2.48–2.53 (m, 1H), 2.69–2.72 (m, 1H), 2.93 (s, 3H), 3.49 (s, 3H), 4.58–4.65 (m, 2H), 5.76 (s, 1H), 6.36 (d, J = 5.6 Hz, 1H), 6.41–6.44 (m, 1H), 6.56 (d, J = 6.4 Hz, 1H), 6.80 (d, J = 6.0 Hz, 1H), 7.10–7.13 (m, 1H), 7.21–7.24 (m, 1H), 7.77 (d, J = 6.0 Hz, 1H); 13C-NMR (CDCl3) δ: 19.2, 20.0, 26.3, 27.1, 29.5, 30.8, 31.2, 47.3, 59.2, 64.9, 67.4, 107.4, 118.7, 121.3, 122.2, 123.1, 123.6, 127.5, 128.8, 133.0, 141.5, 143.3, 154.2, 173.0, 177.8, 197.0; HRMS (ESI-TOF) m/z: Calcd. for C29H31N3NaO3 [M + Na]+: 492.2263; Found: 492.2265.

3ea: Light orange solid, m.p. 106.8–108.5 °C; yield 92%, 20:1 dr; 1H-NMR (CDCl3) δ: 1.42 (s, 3H), 1.60 (s, 3H), 2.06–2.08 (m, 2H), 2.22–2.25 (m, 2 H), 2.46–2.49 (m, 1H), 2.65–2.68 (m, 1H), 2.93 (s, 3H), 3.56 (s, 3H), 4.56–4.59 (m, 2H), 5.72 (s, 1H), 6.39–6.43 (m, 2H), 6.55 (d, J = 8.0 Hz, 1H), 6.95–6.98 (m, 1H), 7.07–7.11 (m, 1H), 7.18–7.25 (m, 1H), 7.72–7.74 (m, 1H); 13C-NMR (CDCl3) δ: 20.1, 26.4, 27.2, 29.6, 30.9, 31.4, 47.4, 59.2, 65.1, 67.4, 107.7, 114.7, 122.2, 122.4, 123.1, 124.2, 126.2, 127.5, 128.1, 129.1, 131.6, 139.7, 143.4, 154.7, 172.8, 177.5, 196.7; HRMS (ESI-TOF) m/z: Calcd. for C28H28ClN3NaO3 [M + Na]+: 512.1717; Found: 512.1717.

3fa: Light orange solid, m.p. 204.3–206.5 °C; yield 82%, 10:1 dr; 1H-NMR (CDCl3, 500 MHz) δ: 1.40 (s, 3H), 1.57 (s, 3H), 2.02–2.06 (m, 2H), 2.17–2.24 (m, 2H), 2.41–2.47 (m, 1H), 2.63–2.67 (m, 1H), 2.86 (s, 3H), 3.12 (s, 3H), 4.50–4.57 (m, 2H), 5.70 (s, 1H), 6.09–6.12 (m, 1H), 6.46–6.49 (m, 1H), 6.54 (d, J = 7.5 Hz, 1H), 6.69–6.73 (m, 1H), 7.07–7.10 (m, 1H), 7.18–7.22 (m, 1H), 7.70 (d, J = 7.0 Hz, 1H); 13C-NMR (CDCl3, 125 MHz) δ: 20.0, 26.1, 26.2, 27.1, 30.8, 31.2, 47.3, 59.0, 65.1, 67.1, 107.6, 107.7, 113.7 (d, JCF = 25.0 Hz), 115.3 (d, JCF = 23.8 Hz), 122.4, 123.0, 126.1, 127.1, 127.2, 129.2, 139.7, 143.2, 154.6, 158.3 (d, JCF = 238.8 Hz), 172.6, 176.8, 196.6; HRMS (ESI-TOF) m/z: Calcd. for C28H28FN3NaO3 [M + Na]+: 496.2012; Found: 496.2015.

3ga: Light orange solid, m.p. 243.3–245.5 °C; yield 85%, 19:1 dr; 1H-NMR (CDCl3) δ: 1.48 (s, 3H), 1.64 (s, 3H), 2.08–2.12 (m, 2H), 2.23–2.29 (m, 2H), 2.48–2.53 (m, 1H), 2.72–2.75 (m, 1H), 2.93 (s, 3H), 3.18 (s, 3H), 4.58–4.61 (m, 2H), 5.77 (s, 1H), 6.49–6.51 (m, 2H), 6.62 (d, J = 6.4 Hz, 1H), 7.16–7.21 (m, 2H), 7.27–7.31 (m, 1H), 7.76 (d, J = 6.0 Hz, 1H); 13C-NMR (CDCl3) δ: 20.0, 26.1, 26.2, 27.1, 30.8, 31.3, 47.3, 58.9, 65.2, 67.2, 107.7, 108.7, 114.3, 122.4, 122.9, 127.2, 128.8, 129.2, 131.9, 142.7, 143.2, 154.6, 172.6, 176.5, 196.6; HRMS (ESI-TOF) m/z: Calcd. for C28H28BrN3NaO3 [M + Na]+: 556.1212; Found: 556.1214.

3ha: Light orange solid, m.p. 204.4–205.6 °C; yield 90%, >20:1 dr; 1H-NMR (CDCl3) δ: 1.41 (s, 3H), 1.57 (s, 3H), 1.80 (s, 3H), 2.03–2.08 (m, 2H), 2.18–2.29 (m, 2H), 2.51–2.56 (m, 1H), 2.66–2.70 (m, 1H), 2.87 (s, 3H), 4.56–4.63 (m, 2H), 4.75 (d, J = 12.8 Hz, 1H), 4.91 (d, J = 12.4 Hz, 1H), 5.74 (s, 1H), 6.12 (s, 1H), 6.23 (d, J = 6.4 Hz, 1H), 6.49 (d, J = 6.0 Hz, 1H), 6.64 (d, J = 6.0 Hz, 1H), 7.06–7.09 (m, 1H), 7.15–7.19 (m, 2H), 7.22–7.26 (m, 2H), 7.30 (d, J = 5.6 Hz, 2H), 7.73 (d, J = 5.6 Hz, 1H); 13C-NMR (CDCl3) δ: 20.0, 20.7, 26.2, 27.0, 30.8, 31.4, 44.1, 47.4, 59.1, 65.2, 67.0, 107.4, 108.2, 122.1, 123.1, 126.5, 127.3, 127.4, 127.5, 128.5, 128.7, 129.2, 130.9, 136.1, 154.3, 173.0, 176.8, 197.0; HRMS (ESI-TOF) m/z: Calcd. for C35H35N3NaO3 [M + Na]+: 568.2576; Found: 568.2575.

3ia: Light orange solid, m.p. 161.1–162.8 °C; yield 88%, 12:1 dr; 1H-NMR (CDCl3) δ: 1.47 (s, 3H), 1.64 (s, 3H), 2.08–2.15 (m, 2H), 2.24–2.29 (m, 2H), 2.53–2.59 (m, 1H), 2.73–2.77 (m, 1H), 2.95 (s, 3H), 4.61–4.65 (m, 2H), 4.81 (d, J = 15.6 Hz, 1H), 4.97 (d, J = 15.6 Hz, 1H), 5.79 (s, 1H), 6.30–6.35 (m, 2H), 6.59–6.62 (m, 1H), 6.85–6.88 (m, 1H), 7.13–7.17 (m, 1H), 7.22–7.35 (m, 6H), 7.75–7.77 (m, 1H); 13C-NMR (CDCl3) δ: 20.2, 26.3, 27.2, 30.9, 31.5, 44.3, 47.4, 59.2, 65.3, 67.1, 107.9, 109.6, 123.1, 126.2, 127.1, 127.2, 127.3, 127.6, 127.7, 128.8, 129.1, 129.3, 135.6, 154.8, 172.8, 176.7, 196.7; HRMS (ESI-TOF) m/z: Calcd. for C34H32ClN3NaO3 [M + Na]+: 588.2030; Found: 588.2032.

3ja: Light orange solid, m.p. 180.2–182.1 °C; yield 88%, >20:1 dr; 1H-NMR (CDCl3) δ: 1.47 (s, 3H), 1.63 (s, 3H), 2.09–2.14 (m, 2H), 2.25–2.29 (m, 2H), 2.54–2.58 (m, 1H), 2.72–2.79 (m, 1H), 2.95 (s, 3H), 4.60–4.62 (m, 2H), 4.79 (d, J = 15.6 Hz, 1H), 4.96 (d, J = 16.0 Hz, 1H), 5.78 (s, 1H), 6.26 (d, J = 8.4 Hz, 1H), 6.47 (d, J = 2.4 Hz, 1H), 6.59–6.62 (m, 1H), 6.99–7.02 (m, 1H), 7.13–7.17 (m, 1H), 7.23–7.34 (m, 6H), 7.73–7.76 (m, 1H); 13C-NMR (CDCl3) δ: 20.2, 26.3, 27.2, 30.9, 31.5, 44.2, 47.4, 59.1, 65.3, 67.2, 107.9, 110.1, 104.6, 122.5, 123.1, 127.3, 127.6, 127.7, 128.8, 129.0, 129.3, 135.6, 154.8, 172.8, 176.6, 196.7; HRMS (ESI-TOF) m/z: Calcd. for C34H32BrN3NaO3 [M + Na]+: 632.1525; Found: 632.1528.

3ka: Light orange solid, m.p. 124.3–126.5 °C; yield 80%, 8:1 dr; 1H-NMR (CDCl3) δ: 1.24–1.27 (m, 3H), 1.47 (s, 3H), 1.62 (s, 3H), 1.92 (s, 3H), 2.09–2.13 (m, 2H), 2.25–2.28 (m, 2H), 2.52–2.56 (m, 1H), 2.69–2.73 (m, 1H), 2.90 (s, 3H), 3.63–3.67 (m, 1H), 3.80–3.85 (m, 1H), 4.61–4.65 (m, 2H), 5.78 (s, 1H), 6.20 (s, 1H), 6.51–6.57 (m, 2H), 6.84–6.87 (m, 1H), 7.13–7.16 (m, 1H), 7.23–7.27 (m, 1H), 7.78 (d, J = 6.0 Hz, 1H); 13C-NMR (CDCl3) δ: 12.4, 19.9, 20.7, 26.1, 27.0, 30.8, 31.3, 34.5, 47.3, 58.9, 65.2, 67.1, 107.0, 107.3, 122.0, 123.1, 126.6, 127.3, 128.7, 129.2, 130.6, 140.3, 143.3, 154.1, 172.8, 176.3, 197.1; HRMS (ESI-TOF) m/z: Calcd. for C30H33N3NaO3 [M + Na]+: 506.2420; Found: 506.2423.

3la: Light orange solid, m.p. 206.6–207.3 °C; yield 71%, 8:1 dr; 1H-NMR (CDCl3) δ: 1.23–1.27 (m, 3H), 1.47 (s, 3H), 1.64 (s, 3H), 2.08–2.13 (m, 2H), 2.22–2.28 (m, 2H), 2.48–2.54 (m, 1H), 2.70–2.75 (m, 1H), 2.93 (s, 3H), 3.62–3.68 (m, 1H), 3.80–3.86 (m, 1H), 4.58–4.62 (m, 2H), 5.77 (s, 1H), 6.37 (s, 1H), 6.56 (d, J = 8.0 Hz, 1H), 6.61 (d, J = 8.0 Hz, 1H), 7.03–7.05 (m, 1H), 7.14–7.18 (m, 1H), 7.26–7.30 (m, 1H), 7.76 (d, J = 8.0 Hz, 1H); 13C-NMR (CDCl3) δ: 12.3, 20.0, 26.1, 27.0, 30.8, 31.3, 34.7, 47.2, 58.9, 65.1, 67.0, 107.6, 108.2, 122.3, 123.0, 126.2, 126.7, 127.2, 128.9, 129.1, 141.3, 143.2, 154.5, 172.5, 176.1, 196.6; HRMS (ESI-TOF) m/z: Calcd. for C29H30ClN3NaO3 [M + Na]+: 526.1873; Found: 526.1876.

3ab: Light orange solid, m.p. 188.3–190.5 °C; yield 71%, 15:1 dr; 1H-NMR (CDCl3) δ: 1.50 (s, 3H), 1.64 (s, 3H), 2.11–2.18 (m, 2H), 2.25–2.36 (m, 2H), 2.40 (s, 3H), 2.54–2.61 (m, 1H), 2.75–2.79 (m, 1H), 3.17 (s, 3H), 4.14 (d, J = 16.0 Hz, 1H), 4.63–4.71 (m, 2H), 5.20 (d, J = 16.0 Hz, 1H), 5.82 (s, 1H), 6.20 (d, J = 7.6 Hz, 1H), 6.34–6.40 (m, 3H), 6.59–6.63 (m, 1H), 6.67 (d, J = 7.6 Hz, 1H), 6.90 (d, J = 7.6 Hz, 1H), 7.01–7.05 (m, 2H), 7.08–7.12 (m, 1H), 7.19–7.23 (m, 1H), 7.60 (s, 1H); 13C-NMR (CDCl3) δ: 20.0, 21.4, 26.0, 27.1, 30.9, 31.4, 43.1, 47.5, 58.7, 65.5, 67.3, 77.8, 107.5, 108.3, 121.7, 123.1, 125.7, 125.8, 126.9, 127.9, 128.5, 129.1, 129.3, 131.7, 135.0, 154.1, 172.9, 177.0, 197.2; HRMS (ESI-TOF) m/z: Calcd. for C35H35N3NaO3 [M + Na]+: 568.2576; Found: 568.2576.

3ac: Light orange solid, m.p. 97.3–99.1 °C; yield 68%, 9:1 dr; 1H-NMR (CDCl3) δ: 1.58 (s, 3H), 1.67 (s, 3H), 2.08–2.15 (m, 2H), 2.22–2.34 (m, 2H), 2.45–2.52 (m, 1H), 2.69–2.73 (m, 1H), 2.88 (s, 3H), 3.17 (s, 3H), 4.43–4.49 (m, 1H), 4.65 (d, J = 8.8 Hz, 1H), 5.79 (s, 1H), 6.43–6.46 (m, 2H), 6.58–6.63 (m, 2H), 7.07–7.11 (m, 1H), 7.36–7.38 (m, 1H), 7.87 (s, 1H); 13C-NMR (CDCl3) δ: 20.4, 26.2, 26.4, 27.4, 30.9, 31.6, 47.4, 59.3, 65.2, 67.1, 107.6, 109.0, 115.0, 121.9, 122.9, 124.8, 125.5, 129.5, 130.0, 131.7, 142.7, 143.9, 155.2, 172.5, 176.9; HRMS (ESI-TOF) m/z: Calcd. for C28H28BrN3NaO3 [M + Na]+: 556.1212; Found: 556.1215.

3dd: Light orange solid, m.p. 165.3–166.6 °C; yield 89%, >20:1 dr; 1H-NMR (CDCl3) δ: 1.46 (s, 3H), 1.63 (s, 3H), 2.08–2.16 (m, 2H), 2.23–2.31 (m, 1H), 2.33–2.38 (m, 1H), 2.44 (s, 3H), 2.51–2.58 (m, 1H), 2.71–2.76 (m, 1H), 3.42 (s, 3H), 4.14 (d, J = 16.0 Hz, 1H), 4.63–4.69 (m, 2H), 5.25 (d, J = 16.4 Hz, 1H), 5.81 (s, 1H), 6.28–6.31 (m, 2H), 6.36 (d, J = 7.6 Hz, 2H), 6.42–6.46 (m, 1H), 6.90–6.93 (m, 1H), 7.01–7.11 (m, 5H), 7.74–7.76 (m, 1H); 13C-NMR (CDCl3) δ: 19.3, 20.1, 27.2, 29.6, 31.0, 31.5, 43.2, 47.6, 58.8, 65.5, 67.5, 108.5, 119.1, 121.6, 122.3, 123.2, 123.8, 125.8, 127.1, 127.5, 128.6, 128.9, 135.1, 154.4, 173.1, 177.9, 197.2; HRMS (ESI-TOF) m/z: Calcd. for C35H35N3NaO3 [M + Na]+: 568.2576; Found: 568.2577.

3fd: Light orange solid, m.p. 204.3–205.8 °C; yield 93%, >20:1 dr; 1H-NMR (CDCl3) δ: 1.50 (s, 3H), 1.64 (s, 3H), 2.09–2.16 (m, 2H), 2.23–2.35 (m, 2H), 2.50–2.57 (m, 1H), 2.72–2.76 (m, 1H), 3.13 (s, 3H), 4.20 (d, J = 16.0 Hz, 1H), 4.59–4.69 (m, 2H), 5.14 (d, J = 16.0 Hz, 1H), 5.82 (s, 1H), 6.07–6.10 (m, 1H), 6.36–6.38 (m, 1H), 6.46 (d, J = 7.2 Hz, 2H), 6.53–6.56 (m, 1H), 6.84–6.89 (m, 1H), 7.03–7.15 (m, 5H), 7.73–7.76 (m, 1H); 13C-NMR (CDCl3) δ: 20.2, 26.3, 27.2, 31.0, 31.5, 43.3, 47.6, 58.8, 65.6, 67.2, 77.9, 107.8, 107.9, 108.9, 114.0 (d, JCF = 26.0 Hz), 115.5 (d, JCF = 24.0 Hz), 122.5, 123.1, 126.1, 126.4, 127.2, 127.3, 128.7, 129.3, 135.1, 140.0, 142.5, 155.0, 158.6 (d, JCF = 239.0 Hz), 172.8, 176.8, 196.8; HRMS (ESI-TOF) m/z: Calcd. for C34H32FN3NaO3 [M + Na]+: 572.2325; Found: 572.2327.

3if: Light orange solid, m.p. 177.3–178.9 °C; yield 67%, 10:1 dr; 1H-NMR (CDCl3) δ: 1.67 (s, 3H), 1.71 (s, 3H), 2.11–2.23 (m, 2H), 2.28–2.41 (m, 2H), 2.55–2.62 (m, 1H), 2.78–2.83 (m, 1H), 4.27 (d, J = 16.0 Hz, 1H), 4.49–4.56 (m, 1H), 4.75–4.80 (m, 2H), 4.93 (d, J = 15.6 Hz, 1H), 5.17 (d, J = 16.0 Hz, 1H), 5.89 (s, 1H), 6.31–6.36 (m, 3H), 6.41 (d, J = 8.0 Hz, 2H), 6.95–7.00 (m, 3H), 7.06–7.15 (m, 5H), 7.23–7.25 (m, 2H), 7.72 (s, 1H); 13C-NMR (CDCl3) δ: 20.6, 27.5, 30.9, 31.8, 43.5, 44.3, 47.5, 59.1, 65.7, 67.0, 109.9, 110.0, 122.7, 126.0, 127.1, 127.3, 127.4, 127.5, 127.6, 127.9, 128.7, 128.8, 134.5, 135.1, 156.0, 172.4, 176.5, 196.3; HRMS (ESI-TOF) m/z: Calcd. for C40H35Cl2N3NaO3 [M + Na]+: 698.1953; Found: 698.1954.

3le: Light orange solid, m.p. 148.3–150.5 °C; yield 84%, 14:1 dr; 1H-NMR (CDCl3) δ: 0.73–0.77 (m, 3H), 1.20–1.24 (m, 3H), 1.63–1.65 (m, 6H), 2.02–2.15 (m, 2H), 2.21–2.32 (m, 2H), 2.44–2.51 (m, 1H), 2.70–2.74 (m, 1H), 3.27–3.32 (m, 1H), 3.51–3.60 (m, 2H), 3.81–3.87 (m, 1H), 4.46–4.52 (m, 1H), 4.59 (d, J = 7.6 Hz, 1H), 5.80 (s, 1H), 6.23 (s, 1H), 6.50–6.53 (m, 2H), 7.01–7.03 (m, 1H), 7.23–7.25 (m, 1H), 7.67 (d, J = 1.6 Hz, 1H); 13C-NMR (CDCl3) δ: 12.1, 12.4, 20.5, 27.4, 30.9, 31.7, 34.7, 34.8, 47.4, 58.4, 65.6, 67.1, 108.3, 108.6, 122.8, 126.1, 126.9, 127.4, 127.5, 128.9, 129.1, 141.1, 141.4, 155.9, 171.6, 175.9, 196.3; HRMS (ESI-TOF) m/z: Calcd. for C30H31Cl2N3NaO3 [M + Na]+: 574.1640; Found: 574.1638.

4aa: Light orange solid, m.p. 198.2–200.1 °C; yield 72%, >20:1 dr; 1H-NMR (CDCl3) δ: 1.56 (s, 3H), 1.58 (s, 3H), 2.89 (s, 3H), 2.94 (s, 3H), 2.95–2.98 (m, 1H), 3.35–3.39 (m, 1H), 3.63 (d, J = 6.4 Hz, 1H), 3.84 (d, J = 7.2 Hz, 1H), 3.91 (d, J = 7.2 Hz, 1H), 5.26–5.31 (m, 1H), 5.52 (s, 1H), 6.61 (d, J = 6.4 Hz, 1H), 6.67 (d, J = 6.0 Hz, 1H), 7.01–7.04 (m, 1H), 7.09–7.13 (m, 1H), 7.19–7.22 (m, 1H), 7.30–7.33 (m, 1H), 7.62–7.64 (m, 1H), 7.73–7.74 (m, 1H); 13C-NMR (CDCl3) δ: 20.3, 26.2, 26.4, 27.1, 36.1, 50.4, 62.0, 65.9, 67.6, 76.4, 107.3, 107.8, 121.5, 122.0, 122.9, 123.2, 124.7, 128.5, 128.7, 129.0, 130.0, 142.4, 143.5, 156.1, 173.8, 174.2; HRMS (ESI-TOF) m/z: Calcd. for C27H27N3NaO3S [M + Na]+: 496.1671; Found: 496.1673.

4da: Light orange solid, m.p. 174.4–176.8 °C; yield 87%, >20:1 dr; 1H-NMR (CDCl3) δ: 1.54 (s, 3H), 1.61 (s, 3H), 2.42 (s, 3H), 2.90–2.93 (m, 1H), 2.94 (s, 3H), 3.30–3.34 (m, 1H), 3.62 (d, J = 6.0 Hz, 1H), 3.80 (d, J = 7.2 Hz, 1H), 3.84 (d, J = 6.0 Hz, 1H), 5.26–5.30 (m, 1H), 5.48 (s, 1H), 6.61 (d, J = 6.0 Hz, 1H), 6.96–7.03 (m, 3H), 7.18–7.21 (m, 1H), 7.55–7.56 (m, 2H); 13C-NMR (CDCl3) δ: 19.3, 20.4, 26.5, 27.2, 29.6, 35.7, 49.4, 61.5, 66.4, 67.6, 75.4, 107.2, 119.1, 121.4, 121.9, 123.0, 126.3, 128.4, 128.9, 133.9, 141.4, 142.6, 156.0, 174.7, 195.1; HRMS (ESI-TOF) m/z: Calcd. for C28H29N3NaO3S [M + Na]+: 510.1827; Found: 510.1829.

4ea: Light orange solid, m.p. 196.8–198.7 °C; yield 71%, >20:1 dr; 1H-NMR (CDCl3) δ: 1.55 (s, 3H), 1.59 (s, 3H), 2.90–2.94 (m, 1H), 2.96 (s, 3H), 3.23 (s, 3H), 3.32–3.35 (m, 1H), 3.57 (d, J = 6.4 Hz, 1H), 3.77 (d, J = 7.2 Hz, 1H), 3.87 (d, J = 6.4 Hz, 1H), 5.23–5.27 (m, 1H), 5.48 (s, 1H), 6.64 (d, J = 6.4 Hz, 1H), 6.99–7.04 (m, 2H), 7.20–7.24 (m, 2H), 7.55–7.57 (m, 1H), 7.62–7.64 (m, 1H); 13C-NMR (CDCl3) δ: 20.4, 26.5, 27.1, 29.6, 35.8, 49.6, 61.6, 66.4, 67.6, 75.6, 107.4, 115.1, 122.0, 122.2, 122.8, 128.4, 129.2, 132.3, 139.4, 142.4, 156.4, 174.1, 174.2, 194.6; HRMS (ESI-TOF) m/z: Calcd. for C27H26ClN3NaO3S [M + Na]+: 530.1281; Found: 530.1280.

4fa: Light orange solid, m.p. 182.3–184.5 °C; yield 74%, >20:1 dr; 1H-NMR (CDCl3, 500 MHz) δ: 1.57–1.58 (m, 6H), 2.88 (s, 3H), 2.88–2.95 (m, 1H), 2.97 (s, 3H), 3.35–3.38 (m, 1H), 3.59 (d, J = 8.5 Hz, 1H), 3.77 (d, J = 9.0 Hz, 1H), 3.91 (d, J = 8.5 Hz, 1H), 5.24–5.28 (m, 1H), 5.52 (s, 1H), 6.58–6.64 (m, 2H), 7.01–7.05 (m, 2H), 7.20–7.23 (m, 1H), 7.54–7.56 (m, 1H), 7.62 (d, J = 7.5 Hz, 1H); 13C-NMR (CDCl3, 125 MHz) δ: 20.3, 26.4, 26.5, 27.1, 36.1, 50.4, 62.0, 65.8, 67.6, 76.4, 107.4, 108.0, 116.1 (d, JCF = 23.8 Hz), 117.1 (d, JCF = 26.3 Hz), 122.0, 122.7, 124.4, 128.5, 129.1, 139.4, 142.4, 156.4, 158.2 (d, JCF = 240.0 Hz), 173.6, 173.9, 194.5; HRMS (ESI-TOF) m/z: Calcd. for C27H26FN3NaO3S [M + Na]+: 514.1577; Found: 514.1580.

4ma: Light orange solid, m.p. 198.3–199.7 °C; yield 79%, >20:1 dr; 1H-NMR (CDCl3) δ: 1.55 (s, 3H), 1.60 (s, 3H), 2.40 (s, 3H), 2.85 (s, 3H), 2.94 (s, 3H), 2.95–2.97 (m, 1H), 3.33–3.37 (m, 1H), 3.63 (d, J = 6.4 Hz, 1H), 3.82 (d, J = 7.2 Hz, 1H), 3.87 (d, J = 6.4 Hz, 1H), 5.27–5.31 (m, 1H), 5.52 (s, 1H), 6.55 (d, J = 6.0 Hz, 1H), 6.60 (d, J = 6.4 Hz, 1H), 6.98–7.02 (m, 1H), 7.08–7.10 (m, 1H), 7.17–7.21 (m, 1H), 7.58–7.60 (m, 1H); 13C-NMR (CDCl3) δ: 20.3, 21.2, 26.1, 26.4, 27.1, 35.9, 50.0, 61.7, 66.0, 67.6, 76.3, 107.2, 107.4, 121.9, 122.9, 123.1, 128.4, 128.9, 129.3, 130.1, 130.9, 141.2, 142.5, 156.0, 173.7, 174.5, 195.0; HRMS (ESI-TOF) m/z: Calcd. for C28H29N3NaO3S [M + Na]+: 510.1827; Found: 510.1827.

4ag: Light orange solid, m.p. 211.3–211.8 °C; yield 70%, >20:1 dr; 1H-NMR (CDCl3) δ: 1.48 (s, 3H), 1.49 (s, 3H), 2.27 (s, 3H), 2.83 (s, 3H), 2.84 (s, 3H), 2.87–2.91 (m, 1H), 3.29–3.33 (m, 1H), 3.57 (d, J = 7.2 Hz, 1H), 3.74 (d, J = 7.2 Hz, 1H), 3.86 (d, J = 6.4 Hz, 1H), 5.19–5.23 (m, 1H), 5.44 (s, 1H), 6.43 (d, J = 6.4 Hz, 1H), 6.61 (d, J = 6.4 Hz, 1H), 6.92 (d, J = 6.4 Hz, 1H), 7.02–7.05 (m, 1H), 7.23–7.26 (m, 1H), 7.38 (s, 1H), 7.67 (d, J = 6.0 Hz, 1H); 13C-NMR (CDCl3) δ: 20.2, 21.2, 26.2, 26.5, 27.1, 36.2, 50.7, 62.1, 65.8, 67.6, 76.5, 107.0, 107.8, 121.4, 122.9, 123.2, 128.9, 129.0, 129.3, 129.9, 131.3, 140.1, 143.4, 155.7, 173.8, 174.0, 195.0; HRMS (ESI-TOF) m/z: Calcd. for C28H29N3NaO3S [M + Na]+: 510.1827; Found: 510.1827.

4mh: Light orange solid, m.p. 203.8–205.4 °C; yield 93%, >20:1 dr; 1H-NMR (CDCl3) δ: 1.52 (s, 3H), 1.61 (s, 3H), 2.33 (s, 3H), 2.82 (s, 3H), 2.87 (s, 3H), 2.88–2.91 (m, 1H), 3.27–3.30 (m, 1H), 3.55 (d, J = 6.4 Hz, 1H), 3.74 (d, J = 6.8 Hz, 1H), 3.80 (d, J = 6.4 Hz, 1H), 5.14–5.19 (m, 1H), 5.47 (s, 1H), 6.46–6.50 (m, 2H), 7.03–7.05 (m, 1H), 7.09–7.11 (m, 1H), 7.42 (s, 1H), 7.53 (s, 1H); 13C-NMR (CDCl3) δ: 20.5, 21.2, 26.2, 26.5, 27.2, 35.9, 50.0, 61.7, 65.8, 67.5, 76.0, 107.5, 108.1, 122.7, 127.4, 128.6, 128.8, 129.3, 130.3, 131.0, 141.1, 141.2, 156.7, 173.3, 174.0, 194.5; HRMS (ESI-TOF) m/z: Calcd. for C28H28ClN3NaO3S [M + Na]+: 544.1438; Found: 544.1435.

4ng: Light orange solid, m.p. 214.2–215.6 °C; yield 72%, >20:1 dr; 1H-NMR (CDCl3) δ: 1.49 (s, 3H), 2.27 (s, 3H), 2.82 (s, 3H), 2.87 (s, 3H), 2.88–2.91 (m, 1H), 3.29–3.32 (m, 1H), 3.50 (d, J = 7.2 Hz, 1H), 3.68 (d, J = 7.2 Hz, 1H), 3.85 (d, J = 7.2 Hz, 1H), 5.15–5.20 (m, 1H), 5.45 (s, 1H), 6.44 (d, J = 6.0 Hz, 1H), 6.53 (d, J = 7.2 Hz, 1H), 6.93–6.94 (m, 1H), 7.20–7.23 (m, 1H), 7.36 (s, 1H), 7.70 (s, 1H); 13C-NMR (CDCl3) δ: 20.3, 21.2, 26.3, 26.5, 27.1, 36.3, 50.9, 62.0, 65.7, 67.7, 76.4, 107.1, 108.5, 122.8, 124.4, 129.1, 129.4, 129.5, 129.8, 131.4, 140.1, 141.9, 156.0, 173.5, 173.7, 194.7; HRMS (ESI-TOF) m/z: Calcd. for C28H28ClN3NaO3S [M + Na]+: 544.1438; Found: 544.1439.

4nh: Light orange solid, m.p. 189.7–190.8 °C; yield 90%, >20:1 dr; 1H-NMR (CDCl3) δ: 1.54 (s, 3H), 1.59 (s, 3H), 2.85 (s, 3H), 2.88–2.91 (m, 4H), 3.29–3.32 (m, 1H), 3.49 (d, J = 7.2 Hz, 1H), 3.70 (d, J = 7.2 Hz, 1H), 3.84 (d, J = 7.2 Hz, 1H), 5.10–5.15 (m, 1H), 5.49 (s, 1H), 6.49 (d, J = 6.4 Hz, 1H), 6.55 (d, J = 6.8 Hz, 1H), 7.12–7.14 (m, 1H), 7.22–7.24 (m, 1H), 7.56 (s, 1H), 7.66 (s, 1H); 13C-NMR (CDCl3) δ: 20.5, 26.4, 26.6, 27.2, 36.3, 50.7, 62.0, 65.5, 67.5, 76.1, 108.2, 108.7, 122.6, 124.4, 127.2, 128.8, 129.1, 129.3, 130.0, 141.0, 141.9, 157.0, 173.0, 173.4, 194.0; HRMS (ESI-TOF) m/z: Calcd. for C27H25Cl2N3NaO3S [M + Na]+: 564.0891; Found: 564.0890.

5aa: Light orange solid, m.p. 201.1–202.9 °C; yield 82%, >20:1 dr; 1H-NMR (CDCl3) δ: 1.49 (s, 3H), 1.80 (s, 3H), 2.19 (s, 3H), 2.84 (s, 3H), 2.98 (s, 3H), 3.38–3.42 (m, 1H), 4.01–4.05 (m, 1H), 4.51–4.54 (m, 1H), 5.39 (s, 1H), 6.55 (d, J = 6.4 Hz, 2H), 6.87–6.91 (m, 1H), 7.01–7.04 (m, 1H), 7.11–7.14 (m, 1H), 7.21–7.24 (m, 1H), 7.28–7.31 (m, 1H), 7.47 (d, J = 6.4 Hz, 1H); 13C-NMR (CDCl3) δ: 20.5, 25.3, 26.3, 27.1, 35.3, 52.9, 55.8, 61.8, 78.6, 107.1, 107.5, 121.7, 122.1, 123.9, 124.8, 126.2, 127.8, 128.6, 129.5, 143.2, 144.1, 155.3, 173.8, 176.9, 195.6; HRMS (ESI-TOF) m/z: Calcd. for C26H27N3NaO3 [M + Na]+: 452.1950; Found: 452.1953.

5ba: Light orange solid, m.p. 203.7–204.9 °C; yield 87%, >20:1 dr; 1H-NMR (CDCl3) δ: 1.48 (s, 3H), 1.81 (s, 3H), 2.23 (s, 3H), 2.99 (s, 3H), 3.40–3.44 (m, 1H), 4.06–4.10 (m, 1H), 4.36 (d, J = 12.8 Hz, 1H), 4.53–4.57 (m, 1H), 4.84 (d, J = 12.4 Hz, 1H), 5.38 (s, 1H), 6.38 (d, J = 6.0 Hz, 1H), 6.61 (d, J = 6.4 Hz, 1H), 6.74 (d, J = 5.2 Hz, 2H), 6.84–6.87 (m, 1H), 6.98–7.01 (m, 1H), 7.07–7.20 (m, 5H), 7.33–7.35 (m, 1H), 7.51–7.53 (m, 1H); 13C-NMR (CDCl3) δ: 20.5, 26.3, 27.1, 35.3, 42.9, 53.0, 55.9, 61.8, 78.4, 107.2, 108.7, 122.2, 123.8, 126.7, 127.1, 128.3, 128.4, 128.6, 143.4, 155.3, 173.7, 177.1, 195.7; HRMS (ESI-TOF) m/z: Calcd. for C32H31N3NaO3 [M + Na]+: 528.2263; Found: 528.2265.

5ca: Light orange solid, m.p. 191.4–193.2 °C; yield 72%, >20:1 dr; 1H-NMR (CDCl3) δ: 1.49 (s, 3H), 1.86 (s, 3H), 2.36 (s, 3H), 3.00 (s, 3 H), 3.46–3.50 (m, 1H), 4.03–4.06 (m, 1H), 4.57–4.61 (m, 1H), 5.41 (s, 1H), 6.41 (d, J = 6.0 Hz, 1H), 6.59 (d, J = 6.4 Hz, 1H), 6.83–6.89 (m, 3H), 7.02–7.05 (m, 1H), 7.09–7.13 (m, 1H), 7.15–7.21 (m, 2H), 7.28–7.33 (m, 1H), 7.36–7.39 (m, 2H), 7.53–7.54 (m, 1H); 13C-NMR (CDCl3) δ: 20.6, 26.3, 27.2, 35.3, 53.4, 55.4, 62.3, 78.8, 107.3, 108.7, 124.0, 126.3, 126.7, 128.0, 128.7, 129.3, 129.5, 143.5, 144.4, 155.3, 173.4, 177.5, 195.6; HRMS (ESI-TOF) m/z: Calcd. for C31H29N3NaO3 [M + Na]+: 514.2107; Found: 514.2109.

5da: Light orange solid, m.p. 145.1–147.8 °C; yield 86%, >20:1 dr; 1H-NMR (CDCl3) δ: 1.49 (s, 3H), 1.82 (s, 3H), 2.19 (s, 3H), 2.34 (s, 3H), 2.97 (s, 3H), 3.09 (s, 3H), 3.37–3.42 (m, 1H), 3.98–4.03 (m, 1H), 4.49–4.54 (m, 1H), 5.37 (s, 1H), 6.56 (d, J = 8.0 Hz, 1H), 6.86–6.94 (m, 3H), 7.12–7.15 (m, 1H), 7.25–7.32 (m, 2H); 13C-NMR (CDCl3) δ: 19.0, 20.5, 26.3, 27.1, 28.7, 35.3, 52.9, 55.6, 62.0, 77.9, 107.1, 118.8, 121.6, 121.8, 123.9, 124.0, 127.7, 128.5, 133.3, 141.8, 143.2, 155.2, 174.5, 177.0, 195.7; HRMS (ESI-TOF) m/z: Calcd. for C27H29N3NaO3 [M + Na]+: 466.2107; Found: 466.2105.

5ea: Light orange solid, m.p. 181.3–183.7 °C; yield 83%, >20:1 dr; 1H-NMR (CDCl3) δ: 1.49 (s, 3H), 1.82 (s, 3H), 2.19 (s, 3H), 2.98 (s, 3H), 3.19 (s, 3H), 3.38–3.42 (m, 1H), 3.97–4.02 (m, 1H), 4.49–4.53 (m, 1H), 5.35 (s, 1H), 6.59 (d, J = 7.6 Hz, 1H), 6.88–6.95 (m, 2H), 7.13–7.18 (m, 2H), 7.23 (d, J = 7.6 Hz, 1H), 7.38 (d, J = 7.6 Hz, 1H); 13C-NMR (CDCl3) δ: 20.6, 26.3, 27.2, 28.7, 35.2, 53.0, 55.6, 62.1, 78.1, 107.3, 114.8, 121.9, 122.7, 123.8, 124.8, 128.8, 131.9, 139.9, 143.1, 155.6, 174.1, 176.8, 195.4; HRMS (ESI-TOF) m/z: Calcd. for C26H26ClN3NaO3 [M + Na]+: 486.1560; Found: 486.1560.

5fa: Light orange solid, m.p. 187.7–189.3 °C; yield 71%, >20:1 dr; 1H-NMR (CDCl3) δ: 1.50 (s, 3H), 1.81 (s, 3H), 2.20 (s, 3H), 2.84 (s, 3H), 3.02 (s, 3H), 3.36–3.40 (m, 1H), 3.98–4.01 (m, 1H), 4.49–4.53 (m, 1H), 5.38 (s, 1H), 6.47–6.49 (m, 1H), 6.58 (d, J = 7.5 Hz, 1H), 6.88–6.95 (m, 2H), 7.13–7.16 (m, 1H), 7.27–7.30 (m, 2H); 13C-NMR (CDCl3) δ: 20.6, 25.5, 26.4, 27.2, 35.3, 52.9, 55.8, 61.8, 78.6, 107.3, 107.9, 108.0, 114.4 (d, JCF = 26.3 Hz), 115.8 (d, JCF = 23.8 Hz), 121.9, 123.8, 124.5, 125.9, 127.9, 128.9, 140.1, 143.2, 155.6, 158.8 (d, JCF = 238.8 Hz), 173.6, 176.7, 195.4; HRMS (ESI-TOF) m/z: Calcd. for C26H26FN3NaO3 [M + Na]+: 470.1856; Found: 470.1859.

5ga: Light orange solid, m.p. 203.3–205.8 °C; yield 81%, >20:1 dr; 1H-NMR (CDCl3) δ: 1.48 (s, 3H), 1.64 (s, 3H), 2.07–2.11 (m, 2H), 2.23–2.29 (m, 2H), 2.48-2.53 (m, 1H), 2.72–2.75 (m, 1H), 2.93 (s, 3H), 3.18 (s, 3H), 4.58–4.63 (m, 2H), 5.77 (s, 1H), 6.49–6.51 (m, 2H), 6.62 (d, J = 6.4 Hz, 1H), 7.16–7.21 (m, 2H), 7.27–7.31 (m, 1H), 7.76 (d, J = 6.0 Hz, 1H); 13C-NMR (CDCl3) δ: 20.0, 26.1, 26.2, 27.1, 30.8, 31.3, 47.3, 58.9, 65.2, 67.2, 107.7, 108.7, 114.3, 122.4, 122.9, 127.2, 128.8, 129.2, 131.9, 142.7, 143.2, 154.6, 172.6, 176.5, 196.6; HRMS (ESI-TOF) m/z: Calcd. for C26H26BrN3NaO3 [M + Na]+: 530.1055; Found: 530.1057.

5ia: Light orange solid, m.p. 174.7–175.9 °C; yield 71%, >20:1 dr; 1H-NMR (CDCl3) δ: 1.50 (s, 3H), 1.81 (s, 3H), 2.24 (s, 3H), 3.04 (s, 3H), 3.39–3.44 (m, 1H), 4.04–4.08 (m, 1H), 4.36 (d, J = 16.0 Hz, 1H), 4.50–4.55 (m, 1H), 4.82 (d, J = 16.0 Hz, 1H), 5.38 (s, 1H), 6.30 (d, J = 8.4 Hz, 1H), 6.64 (d, J = 8.0 Hz, 1H), 6.71 (d, J = 6.4 Hz, 2H), 6.85–6.89 (m, 1H), 7.05–7.07 (m, 1H), 7.11–7.22 (m, 4H), 7.31 (d, J = 7.2 Hz, 1H), 7.53 (s, 1H); 13C-NMR (CDCl3) δ: 20.6, 26.4, 27.1, 35.3, 43.1, 53.0, 55.8, 61.8, 78.3, 107.3, 109.6, 122.2, 123.8, 126.7, 126.9, 127.3, 128.6, 128.8, 129.4, 141.8, 143.4, 155.7, 173.2, 176.8, 195.4; HRMS (ESI-TOF) m/z: Calcd. for C32H30ClN3NaO3 [M + Na]+: 562.1873; Found: 562.1875.

5ja: Light orange solid, m.p. 151.3–153.9 °C; yield 88%, >20:1 dr; 1H-NMR (CDCl3) δ: 1.50 (s, 3H), 1.82 (s, 3H), 2.24 (s, 3H), 3.04 (s, 3H), 3.40–3.43 (m, 1H), 4.03–4.07 (m, 1H), 4.36 (d, J = 12.8 Hz, 1H), 4.50–4.54 (m, 1H), 4.81 (d, J = 12.8 Hz, 1H), 5.38 (s, 1H), 6.24 (d, J = 6.8 Hz, 1H), 6.64 (d, J = 6.4 Hz, 1H), 6.71 (d, J = 5.6 Hz, 2H), 6.85–6.88 (m, 1H), 7.12–7.22 (m, 5H), 7.28–7.31 (m, 1H), 7.66 (s, 1H); 13C-NMR (CDCl3) δ: 20.6, 26.4, 27.2, 35.4, 43.1, 53.1, 55.7, 61.9, 78.4, 107.4, 110.2, 115.2, 122.3, 123.9, 124.7, 126.4, 126.7, 127.4, 128.3, 128.6, 128.8, 129.6, 132.4, 134.9, 142.4, 143.4, 155.7, 173.1, 176.9, 195.4; HRMS (ESI-TOF) m/z: Calcd. for C32H30BrN3NaO3 [M + Na]+: 606.1368; Found: 606.1369.

5ma: Light orange solid, m.p. 188.2–189.6 °C; yield 89%, >20:1 dr; 1H-NMR (CDCl3) δ: 1.50 (s, 3H), 1.81 (s, 3H), 2.19 (s, 3H), 2.34 (s, 3H), 2.82 (s, 3H), 2.98 (s, 3H), 3.37–3.41 (m, 1H), 4.01–4.04 (m, 1H), 4.49–4.53 (m, 1H), 5.40 (s, 1H), 6.43 (d, J = 6.4 Hz, 1H), 6.55 (d, J = 6.0 Hz, 1H), 6.86–6.90 (m, 1H), 7.01–7.02 (m, 1H), 7.11–7.14 (m, 1H), 7.28–7.30 (m, 2H); 13C-NMR (CDCl3) δ: 20.5, 21.0, 25.3, 26.2, 27.1, 35.3, 52.9, 55.6, 61.8, 78.6, 107.1, 107.2, 121.7, 123.9, 126.8, 127.8, 128.5, 129.7, 131.5, 141.6, 143.1, 155.2, 173.6, 177.0, 195.6; HRMS (ESI-TOF) m/z: Calcd. for C27H29N3NaO3 [M + Na]+: 466.2107; Found: 466.2108.

5na: Light orange solid, m.p. 170.2–171.7 °C; yield 93%, >20:1 dr; 1H-NMR (CDCl3) δ: 0.83–0.86 (m, 3H), 1.49 (s, 3H), 1.83 (s, 3H), 2.19 (s, 3H), 2.98 (s, 3H), 3.23–3.30 (m, 1H), 3.38–3.42 (m, 1H), 3.54–3.61 (m, 1H), 4.01–4.05 (m, 1H), 4.52–4.55 (m, 1H), 5.38 (s, 1H), 6.55–6.58 (m, 2H), 6.86–6.89 (m, 1H), 6.99–7.03 (m, 1H), 7.11–7.14 (m, 1H), 7.19–7.23 (m, 1H), 7.29–7.30 (m, 1H), 7.48–7.50 (m, 1H); 13C-NMR (CDCl3) δ: 12.2, 20.5, 26.2, 27.1, 33.7, 35.2, 53.0, 55.6, 61.8, 78.2, 107.1, 107.5, 121.7, 121.8, 123.9, 124.7, 126.4, 127.9, 128.5, 129.4, 143.1, 143.2, 155.2, 173.3, 177.2, 195.7; HRMS (ESI-TOF) m/z: Calcd. for C27H29N3NaO3 [M + Na]+: 466.2107; Found: 466.2107.

5oa: Light orange solid, m.p. 181.1–182.5 °C; yield 77%, >20:1 dr; 1H-NMR (CDCl3, 500 MHz) δ: 1.49 (s, 3H), 1.75 (s, 3H), 2.21 (s, 3H), 2.98 (s, 3H), 3.37–3.41 (m, 1H), 4.05–4.09 (m, 1H), 4.49–4.53 (m, 1H), 4.67 (d, J = 15.5 Hz, 1H), 4.80 (d, J = 15.5 Hz, 1H), 5.37 (s, 1H), 6.62 (d, J = 8.0 Hz, 1H), 6.85–6.99 (m, 5H), 7.13–7.20 (m, 4H), 7.33 (d, J = 7.5 Hz, 2H); 13C-NMR (CDCl3, 125 MHz) δ: 20.5, 26.4, 27.1, 35.3, 44.7, 52.7, 56.0, 61.9, 78.4, 107.2, 117.7 (d, JCF = 18.8 Hz), 122.2, 122.6, 123.6, 124.7, 127.1, 128.3 (d, JCF = 16.3 Hz), 128.8, 136.8, 143.2, 146.8 (d, JCF = 242.5 Hz), 155.6, 173.3, 176.5, 195.4; HRMS (ESI-TOF) m/z: Calcd. for C32H30FN3NaO3 [M + Na]+: 546.2169; Found: 546.2172.

5pa: Light orange solid, m.p. 131.3–132.8 °C; yield 77%, >20:1 dr; 1H-NMR (CDCl3) δ: 1.48 (s, 3H), 1.78 (s, 3H), 2.02 (s, 3H), 2.25 (s, 3H), 3.03 (s, 3H), 3.40–3.44 (m, 1H), 4.06–4.10 (m, 1H), 4.51–4.54 (m, 1H), 4.70 (d, J = 13.6 Hz, 1H), 5.03 (d, J = 13.6 Hz, 1H), 5.38 (s, 1H), 6.62–6.66 (m, 3H), 6.79–6.82 (m, 1H), 6.88–6.95 (m, 2H), 7.11–7.19 (m, 4H), 7.27 (d, J = 6.0 Hz, 1H), 7.43 (d, J = 6.0 Hz, 1H); 13C-NMR (CDCl3) δ: 18.6, 20.5, 26.3, 27.1, 35.3, 44.2, 52.9, 55.9, 61.9, 77.6, 107.1, 118.9, 122.1, 122.2, 123.8, 124.5, 125.3, 126.6, 128.4, 128.5, 128.6, 133.6, 137.4, 155.2, 174.5, 177.2, 195.7; HRMS (ESI-TOF) m/z: Calcd. for C33H33N3NaO3 [M + Na]+: 542.2420; Found: 542.2423.

5ai: Light orange solid, m.p. 138.0–139.8 °C; yield 87%, 19:1 dr; 1H-NMR (CDCl3) δ: 0.81–0.83 (m, 3H), 1.38 (s, 3H), 1.74 (s, 3H), 2.14 (s, 3H), 2.16 (s, 3H), 2.74 (s, 3H), 3.27–3.34 (m, 2H), 3.61–3.66 (m, 1H), 3.91–3.95 (m, 1H), 4.45–4.49 (m, 1H), 5.27 (s, 1H), 6.37 (d, J = 6.4 Hz, 1H), 6.45 (d, J = 6.4 Hz, 1H), 6.83 (d, J = 6.4 Hz, 1H), 6.91–6.95 (m, 1H), 7.04 (s, 1H), 7.11–7.14 (m, 1H), 7.41–7.43 (m, 1H); 13C-NMR (CDCl3) δ: 12.2, 20.5, 20.9, 25.1, 27.1, 34.5, 35.4, 53.2, 55.9, 61.7, 78.7, 106.9, 107.3, 122.1, 134.0, 125.2, 126.6, 128.6, 128.8, 129.4, 130.8, 140.0, 144.2, 154.8, 174.1, 176.6, 195.9; HRMS (ESI-TOF) m/z: Calcd. for C28H31N3NaO3 [M + Na]+: 480.2263; Found: 480.2265.

5aj: Light orange solid, m.p. 214.5–215.1 °C; yield 75%, >20:1 dr; 1H-NMR (CDCl3) δ: 1.47 (s, 3H), 1.71 (s, 3H), 2.11 (s, 3H), 2.30 (s, 3H), 2.77 (s, 3H), 3.18 (s, 3H), 3.28–3.32 (m, 1H), 3.96–3.99 (m, 1H), 4.41–4.44 (m, 1H), 5.36 (s, 1H), 6.52 (d, J = 6.4 Hz, 1H), 6.69–6.72 (m, 1H), 6.78 (d, J = 5.6 Hz, 1H), 6.96–6.99 (m, 1H), 7.11 (d, J = 5.6 Hz, 1H), 7.16–7.21 (m, 1H), 7.38–7.40 (m, 1H); 13C-NMR (CDCl3) δ: 19.1, 20.5, 25.5, 27.2, 29.8, 35.4, 52.7, 56.1, 61.4, 78.8, 107.6, 118.3, 121.5, 122.0, 123.9, 125.9, 126.3, 129.4, 132.4, 140.9, 144.0, 155.0, 173.7, 177.4, 195.7; HRMS (ESI-TOF) m/z: Calcd. for C27H29N3NaO3 [M + Na]+: 466.2107; Found: 466.2109.

5dh: Light orange solid, m.p. 185.8–187.2 °C; yield 93%, 12:1 dr; 1H-NMR (CDCl3) δ: 1.47 (s, 3H), 1.82 (s, 3H), 2.11 (s, 3H), 2.29 (s, 3H), 2.89 (s, 3H), 3.07 (s, 3H), 3.32–3.36 (m, 1H), 3.87–3.91 (m, 1H), 4.40–4.43 (m, 1H), 5.35 (s, 1H), 6.41 (d, J = 7.2 Hz, 1H), 6.81–6.84 (m, 1H), 6.87 (d, J = 6.4 Hz, 1H), 7.04–7.06 (m, 1H), 7.20–7.22 (m, 2H); 13C-NMR (CDCl3) δ: 19.0, 20.6, 26.4, 27.2, 28.8, 35.2, 52.9, 55.6, 61.9, 77.8, 108.0, 119.0, 122.0, 123.8, 124.0, 127.1, 128.0, 128.5, 133.5, 141.8, 142.0, 156.0, 174.4, 176.7, 195.3; HRMS (ESI-TOF) m/z: Calcd. for C27H28ClN3NaO3 [M + Na]+: 500.1717; Found: 500.1719.

5nb: Light orange solid, m.p. 200.2–201.8 °C; yield 79%, 20:1 dr; 1H-NMR (CDCl3) δ: 1.34 (s, 3H), 1.72 (s, 3H), 2.12 (s, 3H), 2.16 (s, 3H), 2.75 (s, 3H), 3.32–3.35 (m, 1H), 3.95–3.99 (m, 1H), 4.41 (d, J = 12.0 Hz, 1H), 4.45–4.49 (m, 1H), 4.95 (d, J = 12.4 Hz, 1H), 5.24 (d, J = 14.0 Hz, 1H), 6.24 (d, J = 6.4 Hz, 1H), 6.43 (d, J = 6.4 Hz, 1H), 6.72 (d, J = 6.4 Hz, 1H), 6.80 (d, J = 2.8 Hz, 2H), 7.03 (s, 1H), 7.11–7.13 (m, 3H), 7.15–7.17 (m, 1H), 7.49 (s, 1H); 13C-NMR (CDCl3) δ: 20.5, 21.0, 25.4, 27.1, 35.4, 43.8, 53.2, 56.5, 61.8, 78.5, 108.1, 108.4, 123.8, 126.3, 126.8, 127.4, 128.1, 128.5, 128.6, 129.0, 129.4, 131.4, 135.5, 140.3, 155.3, 173.7, 177.0, 195.5; HRMS (ESI-TOF) m/z: Calcd. for C33H32ClN3NaO3 [M + Na]+: 576.2030; Found: 576.2032.

5oc: Light orange solid, m.p. 195.3–196.9 °C; yield 75%, >20:1 dr; 1H-NMR (CDCl3) δ: 1.47 (s, 3H), 1.84 (s, 3H), 2.15 (s, 3H), 2.95 (s, 3H), 3.34–3.37 (m, 1H), 3.91–3.94 (m, 1H), 4.29 (d, J = 12.4 Hz, 1H), 4.41–4.45 (m, 1H), 4.83 (d, J = 12.8 Hz, 1H), 5.34 (s, 1H), 6.26–6.29 (m, 1H), 6.45 (d, J = 6.4 Hz, 1H), 6.72–6.76 (m, 3H), 7.11–7.13 (m, 3H), 7.20–7.22 (m, 1H), 7.26–7.28 (m, 1H), 7.41 (s, 1H); 13C-NMR (CDCl3, 100 MHz) δ: 20.8, 26.5, 27.3, 35.3, 43.3, 53.0, 55.9, 61.6, 78.3, 108.8, 109.3, 109.4, 114.6 (d, JCF = 26.3 Hz), 115.1, 116.1 (d, JCF = 23.8 Hz), 123.6, 126.8, 126.9, 127.5, 128.7, 131.4, 131.7, 135.1, 142.6, 156.6, 158.0, 158.9 (d, JCF = 240.0 Hz), 173.2, 176.5, 195.0; HRMS (ESI-TOF) m/z: Calcd. for C32H29BrFN3NaO3 [M + Na]+: 624.1274; Found: 624.1275.
All the NMR spectra of compounds 3–5 see Supplementary Materials.
3.4. Cytotoxicity Assay
The human cancer cell lines, K562 was purchased from Chinese Academy of Sciences, Kunming Cell Bank. All the cells were cultured in RPMI-1640 medium (GIBICO, Sigma-Aldrich Company, St. Louis, MO, USA), supplemented with 10% fetal bovine serum (Hyclone, Sigma-Aldrich Company) and penicillin-streptomycin (100 U/mL, respectively) in 5% CO2 at 37 °C. The cytotoxicity assay was performed according to the MTT (3-(4,5-dimethylthiazol-2-yl)-2,5-diphenyltetrazolium bromide) method in 96-well microplates. Briefly, 5000 cells were seeded into each well of 96-well cell culture plates and allowed to grow for 24 h before drug addition. Each tumor cell line was exposed to the test compound at the concentrations of 6.25, 12.5, 25, 50, and 100 μmol·L−1 in triplicates for 48 h, comparable to Cisplatin (Aladdin, Shanghai, China). Then the MTT reagent was added to reaction with the cancer cells for 4 h. At least, measure the OD value at 490 wavelengths. IC50 of all the compounds were calculated by IBM SPSS Statistics (version 19).
4. Conclusions
In conclusion, we have developed a facile and efficient methodology for the synthesis of novel turmerone motif-fused 3,3′-pyrrolidinyl-dispirooxindoles 3–5 via a multicomponent 1,3-dipolar cycloaddition event, reacting dienones 2 with azomethine ylides (thermally generated in situ from isatins and proline or thioproline or sarcosine). Products bearing four or three consecutive stereocenters consist of two oxindole moieties and a pyrrolidinyl core, including vicinal spiroquaternary stereocenters. These structures were smoothly obtained in high yields (up to 93% yield) with good diastereoselectivity (up to >20:1). Another valuable feature of this method was its possible application in the design of new hybrid architectures for biological screenings through the adequate fusion of these sub-units of turmerone and 3,3′-pyrrolidinyl-dispirooxindole, generating drug-like molecules.
Supplementary Materials
Supplementary materials are available online.
Acknowledgments
We are grateful for the financial support from the National Natural Science Foundations of China (No. 81560563, No. 81660576 and No. 81603390); Excellent creative talents of science and technology support plan in Guizhou Province colleges and universities ([(2015)491] Qian Jiao He KY Zi); Guizhou Chinese medicine and pharmaceutical engineering professional degree graduate student workstation (JYSZ [2014]002); Science and technology major project of Guizhou province (Qian Ke He J Zhong Da Zi ([2015]6009-5) and Major project of the graduate student education teaching reform (Qian Jiao Yan He JG Zi)[2016]06.
Author Contributions
B.L. and Y.Z. conceived and designed the experiments; G.Z. and Y.G. performed experiments; Q.D.W. and M.Y.T. analyzed data; W.C.Y. and T.T.F. contributed reagents/materials/analysis tools; X.L.L. wrote the paper.
Conflicts of Interest
The authors declare no conflict of interest.
References and Notes
- Nicolaou, K.C.; Vourloumis, D.; Winssinger, N.; Baran, P.S. The Art and Science of Total Synthesis at the Dawn of the Twenty-First Century. Angew. Chem. Int. Ed. 2000, 39, 44–122. [Google Scholar] [CrossRef]
- Nicolaou, K.C.; Edmonds, D.J.; Bulger, P.G. Cascade Reactions in Total Synthesis. Angew. Chem. Int. Ed. 2006, 45, 7134–7186. [Google Scholar] [CrossRef] [PubMed]
- Newman, D.J.; Cragg, G.M. Natural Products as Sources of New Drugs over the Last 25 Years. J. Nat. Prod. 2007, 70, 461–477. [Google Scholar] [CrossRef] [PubMed]
- Li, J.W.H.; Vederas, J.C. Drug discovery and natural products: End of an era or an endless frontier? Science 2009, 325, 161–165. [Google Scholar] [CrossRef] [PubMed]
- Gaich, T.; Baran, P.S. Aiming for the Ideal Synthesis. J. Org. Chem. 2010, 75, 4657–4673. [Google Scholar] [CrossRef] [PubMed]
- Arun, Y.; Bhaskar, G.; Balachandran, C.; Ignacimuthu, S.; Perumal, P.T. Facile one-pot synthesis of novel dispirooxindole-pyrrolidine derivatives and their antimicrobial and anticancer activity against A549 human lung adenocarcinoma cancer cell line. Bioorg. Med. Chem. Lett. 2013, 23, 1839–1945. [Google Scholar] [CrossRef] [PubMed]
- Velikorodov, A.V.; Ionova, V.A.; Degtyarev, O.V.; Sukhenko, L.T. Synthesis and antimicrobial and antifungal activity of carbamate-functionized spiro compounds. Pharm. Chem. J. 2013, 46, 715–719. [Google Scholar] [CrossRef]
- Babu, A.R.S.; Raghunathan, R.; Mathivanan, N.; Omprabha, G.; Velmurugan, D.; Raghu, R. Synthesis, Characterisation, Anti-Microbial Activity and Docking Studies of Novel Dispiro-Oxindolopyrrolidines. Curr. Chem. Biol. 2008, 2, 312–320. [Google Scholar] [CrossRef]
- Zhao, K.; Zhi, Y.; Li, X.; Puttreddy, R.; Rissanen, K.; Enders, D. Asymmetric synthesis of 3,3′-pyrrolidinyl-dispirooxindoles via a one-pot organocatalytic Mannich/deprotection/aza-Michael sequence. Chem. Commun. 2016, 52, 2249–2252. [Google Scholar] [CrossRef] [PubMed]
- Muthusamy, S.; Ganesh Kumar, S. A highly stereoselective, catalytic four-component synthesis of dispiroindolo-pyrrolidines/-imidazolidines via azomethine ylides. Tetrahedron 2016, 72, 2392–2401. [Google Scholar] [CrossRef]
- Dai, W.; Jiang, X.-L.; Wu, Q.; Shi, F.; Tu, S.-J. Diastereo- and Enantioselective Construction of 3,3′-Pyrrolidinyldispirooxindole Framework via Catalytic Asymmetric 1,3-Dipolar Cycloadditions. J. Org. Chem. 2015, 80, 5737–5744. [Google Scholar] [CrossRef] [PubMed]
- Suman, K.; Thennarasu, S. Acetic acid promoted tandem cyclization of in situ generated 1,3-dipoles: Stereoselective synthesis of dispiroimidazolidinyl and dispiropyrrolidinyl oxindoles with multiple chiral stereocenters. RSC Adv. 2015, 5, 79413–79422. [Google Scholar] [CrossRef]
- Almansour, A.I.; Arumugam, N.; Kumar, R.S.; Periyasami, G.; Ghabbour, H.A.; Fun, H.-K. A Novel One-Pot Green Synthesis of Dispirooxindolo-pyrrolidines via 1,3-Dipolar Cycloaddition Reactions of Azomethine Ylides. Molecules 2015, 20, 780–791. [Google Scholar] [CrossRef] [PubMed]
- Wang, Q.-L.; Cai, T.; Zhou, J.; Tian, F.; Xu, X.-Y.; Wang, L.-X. An unprecedented base-promoted domino reaction of methyleneindolinones and N-tosyloxycarbamates for the construction of bispirooxindoles and spiroaziridine oxindoles. Chem. Commun. 2015, 51, 10726–10729. [Google Scholar] [CrossRef] [PubMed]
- Suman, K.; Srinu, L.; Thennarasu, S. Lewis Acid Catalyzed Unprecedented [3+2] Cycloaddition Yields 3,3′-Pyrrolidinyldispirooxindoles Containing Four Contiguous Chiral Stereocenters with Two Contiguous Quaternary Spirostereocenters. Org. Lett. 2014, 16, 3732–3735. [Google Scholar] [CrossRef] [PubMed]
- Dandia, A.; Jain, A.K.; Laxkar, A.K.; Bhati, D.S. Synthesis and stereochemical investigation of highly functionalized novel dispirobisoxindole derivatives via [3+2] cycloaddition reaction in ionic liquid. Tetrahedron 2013, 2062–2069. [Google Scholar] [CrossRef]
- Xiao, J.-A.; Zhang, H.-G.; Liang, S.; Ren, J.-W.; Yang, H.; Chen, X.-Q. Synthesis of Pyrrolo(spiro-[2.3′]-oxindole)-spiro-[4.3″]-oxindole via 1,3-Dipolar Cycloaddition of Azomethine Ylides with 3-Acetonylideneoxindole. J. Org. Chem. 2013, 78, 11577–11583. [Google Scholar] [CrossRef] [PubMed]
- Liu, T.-L.; Xue, Z.-Y.; Tao, H.-Y.; Wang, C.-J. Catalytic asymmetric 1,3-dipolar cycloaddition of N-unprotected 2-oxoindolin-3-ylidene derivatives and azomethine ylides for the construction of spirooxindole-pyrrolidines. Org. Biomol. Chem. 2011, 9, 1980–1986. [Google Scholar] [CrossRef] [PubMed]
- Zhu, Y.-S.; Wang, W.-B.; Yuan, B.-B.; Li, Y.-N.; Wang, Q.-L.; Bu, Z.-W. A DBU-catalyzed Michael-Pinner-isomerization cascade reaction of 3-hydroxyoxindoles with isatylidene malononitriles: Access to highly functionalized bispirooxindoles containing a fully substituted dihydrofuran motif. Org. Biomol. Chem. 2017, 15, 984–990. [Google Scholar] [CrossRef] [PubMed]
- Hanhan, N.V.; Ball-Jones, N.R.; Tran, N.T.; Franz, A.K. Catalytic Asymmetric [3+2] Annulation of Allylsilanes with Isatins: Synthesis of Spirooxindoles. Angew. Chem. Int. Ed. 2012, 51, 989–992. [Google Scholar] [CrossRef] [PubMed]
- Dugal-Tessier, J.; O‘Bryan, E.A.; Schroeder, T.B.H.; Cohen, D.T.; Scheidt, K.A. An N-Heterocyclic Carbene/Lewis Acid Strategy for the Stereoselective Synthesis of Spirooxindole Lactones. Angew. Chem. Int. Ed. 2012, 51, 4963–4967. [Google Scholar] [CrossRef] [PubMed]
- Li, G.-L.; Liang, T.; Wojtas, L.; Antilla, J.C. An Asymmetric Diels–Alder Reaction Catalyzed by Chiral Phosphate Magnesium Complexes: Highly Enantioselective Synthesis of Chiral Spirooxindoles. Angew. Chem. Int. Ed. 2013, 52, 4628–4632. [Google Scholar] [CrossRef] [PubMed]
- Jia, Z.-J.; Jiang, H.; Li, J.-H.; Gschwend, B.; Li, Q.-Z.; Yin, X.; Grouleff, J.; Chen, Y.-C.; Jorgensen, K.A. Trienamines in Asymmetric Organocatalysis: Diels-Alder and Tandem Reactions. J. Am. Chem. Soc. 2011, 133, 5053–5061. [Google Scholar] [CrossRef] [PubMed]
- Lan, Y.-B.; Zhao, H.; Liu, Z.-M.; Liu, G.-G.; Tao, J.-C.; Wang, X.-W. Chiral Counteranion Synergistic Organocatalysis under High Temperature: Efficient Construction of Optically Pure Spiro[cyclohexanone-oxindole] Backbone. Org. Lett. 2011, 13, 4866–4869. [Google Scholar] [CrossRef] [PubMed]
- Tan, B.; Candeias, N.R.; Barbas, C.F., III. Core-Structure-Motivated Design of a Phosphine-Catalyzed [3+2] Cycloaddition Reaction: Enantioselective Syntheses of Spirocyclopenteneoxindoles. J. Am. Chem. Soc. 2011, 133, 4672–4675. [Google Scholar] [CrossRef] [PubMed]
- Tan, B.; Hernndez-Torres, G.; Barbas, C.F., III. Highly Efficient Hydrogen-Bonding Catalysis of the Diels-Alder Reaction of 3-Vinylindoles and Methyleneindolinones Provides Carbazole spirooxindole Skeletons. J. Am. Chem. Soc. 2011, 133, 12354–12357. [Google Scholar] [CrossRef] [PubMed]
- Liu, Y.-K.; Nappi, M.; Arceo, E.; Vera, S.; Melchiorre, P. Asymmetric Catalysis of Diels–Alder Reactions with in Situ Generated Heterocyclic ortho-Quinodimethanes. J. Am. Chem. Soc. 2011, 133, 15212–15218. [Google Scholar] [CrossRef] [PubMed]
- Tan, B.; Zeng, X.-F.; Leong, W.W.Y.; Shi, Z.-G.; Barbas, C.F., III.; Zhong, G.-F. Core Structure-Based Design of Organocatalytic [3+2]-Cycloaddition Reactions: Highly Efficient and Stereocontrolled Syntheses of 3,3′-Pyrrolidonyl Spirooxindoles. Chem. Eur. J. 2012, 18, 63–67. [Google Scholar] [CrossRef] [PubMed]
- Noole, A.; Jrving, I.; Werner, F.; Lopp, M.; Malkov, A.; Kanger, T. Organocatalytic Asymmetric Synthesis of 3-Chlorooxindoles Bearing Adjacent Quaternary-Tertiary Centers. Org. Lett. 2012, 14, 4922–4925. [Google Scholar] [CrossRef] [PubMed]
- Sun, W.-S.; Zhu, G.-M.; Wu, C.-Y.; Hong, L.; Wang, R. An Organocatalytic Cascade Strategy for the Enantioselective Construction of Spirocyclopentane Bioxindoles Containing Three Contiguous Stereocenters and Two Spiro Quaternary Centers. Chem. Eur. J. 2012, 18, 6737–6741. [Google Scholar] [CrossRef] [PubMed]
- Shen, L.-T.; Jia, W.-Q.; Ye, S. Catalytic [4+2]Cyclization of α,β-Unsaturated Acyl Chlorides with 3-Alkylenyloxindoles: Highly Diastereo- and Enantioselective Synthesis of Spirocarbocyclic Oxindoles. Angew. Chem. Int. Ed. 2013, 52, 585–588. [Google Scholar] [CrossRef] [PubMed]
- Wang, Y.; Wu, S.; Dong, G.; Miao, Z.; Zhang, W.; Sheng, C. Meeting Organocatalysis with Drug Discovery: Asymmetric Synthesis of 3,3′-Spirooxindoles Fused with Tetrahydrothiopyrans as Novel p53-MDM2 Inhibitors. Org. Lett. 2016, 18, 1028–1031. [Google Scholar] [CrossRef] [PubMed]
- Liu, Y.-Y.; Duan, S.-W.; Zhang, R.; Liu, Y.-H.; Chen, J.-R.; Xiao, W.-J. Base-catalyzed controllable reaction of 3-ylideneoxindoles with O-Boc hydroxy carbamates for the synthesis of amid acrylates and spiroaziridine oxindoles. Org. Biomol. Chem. 2016, 14, 5224–5228. [Google Scholar] [CrossRef] [PubMed]
- Zhao, B.-L.; Du, D.-M. Organocatalytic cascade Michael/Michael reaction for the asymmetric synthesis of spirooxindoles containing five contiguous stereocenters. Chem. Commun. 2016, 52, 6162–6165. [Google Scholar] [CrossRef] [PubMed]
- Cerisoli, L.; Lombardo, M.; Trombini, C.; Quintavalla, A. The First Enantioselective Organocatalytic Synthesis of 3-Spiro-α-Alkylidene-γ-Butyrolactone Oxindoles. Chem. Eur. J. 2016, 22, 3865–3872. [Google Scholar] [CrossRef] [PubMed]
- Wu, J.-L.; Du, F. Diastereo- and Enantioselective Construction of Dihydroiso coumarin-Based Spirooxindole Frameworks via Organocatalytic Tandem Reactions. Adv. Synth. Catal. 2016, 358, 2777–2790. [Google Scholar] [CrossRef]
- Zhu, Q.-N.; Zhang, Y.-C.; Xu, M.-M.; Sun, X.-X.; Yang, X.; Shi, F. Enantioselective Construction of Tetrahydroquinolin-5-one-Based Spirooxindole Scaffold via an Organocatalytic Asymmetric Multicomponent [3+3] Cyclization. J. Org. Chem. 2016, 81, 7898–7907. [Google Scholar] [CrossRef] [PubMed]
- Du, D.; Jiang, Y.; Xu, Q.; Tang, X.-Y.; Shi, M. Enantioselective [3+2] Cyclization of 3-Isothiocyanato Oxindoles with Trifluoromethylated 2-Butenedioic Acid Diesters. ChemCatChem 2015, 7, 1366–1371. [Google Scholar] [CrossRef]
- Rajesh, R.; Suresh, M.; Selvam, R.; Raghunathan, R. Synthesis of acridinedione derived mono spiro-pyrrolidine/pyrrolizidine derivatives—A facile approach via intermolecular [3+2] cycloaddition reaction. Tetrahedron Lett. 2014, 55, 4047–4053. [Google Scholar] [CrossRef]
- Senthil Kumar, G.; Satheesh kumar, R.; Kaminsky, W. A facile regioselective 1,3-dipolar cycloaddition protocol for the synthesis of new class of quinolinyl dispiro heterocycles. Tetrahedron Lett. 2014, 55, 5475–5480. [Google Scholar] [CrossRef]
- Peng, C.; Ren, J.; Xiao, J.-A.; Zhang, H.; Yang, H.; Luo, Y. Additive-assisted regioselective 1,3-dipolar cycloaddition of azomethine ylides with benzylideneacetone. Beilstein J.Org. Chem. 2014, 10, 352–360. [Google Scholar] [CrossRef] [PubMed]
- Lanka, S.; Thennarasu, S.; Perumal, P.T. Facile synthesis of novel dispiroheterocyclic derivatives through cycloaddition of azomethine ylides with acenaphthenone-2-ylidine ketones. Tetrahedron Lett. 2012, 53, 7052–7055. [Google Scholar] [CrossRef]
- Al Mamari, K.; El Mokhtar, E. Synthesis of novel dispiro-oxindoles via 1,3-dipolar cycloaddition reactions of azomethine ylides. Tetrahedron Lett. 2012, 53, 2328–2331. [Google Scholar] [CrossRef]
- Raj, A.A.; Raghunathan, R. A novel entry into a new class of spiroheterocyclic framework: Regioselective synthesis of dispiro[oxindole-cyclohexanone]pyrrolidines and dispiro[oxindole-hexahydroindazole]pyrrolidines. Tetrahedron 2001, 57, 10293–10298. [Google Scholar]
- Ranjith, K.R.; Perumal, S.; Senthilkumar, P.; Yogeeswari, P.; Sriram, D. A facile synthesis and antimycobacterial evaluation of novel spiro-pyrido-pyrrolizines and pyrrolidines. Eur. J. Med. Chem. 2009, 44, 3821–3829. [Google Scholar] [CrossRef] [PubMed]
- Coulter, T.; Grigg, R.; Malone, J.F.; Sridharan, V. Chiral induction in cycloaddition reactions of azomethine ylides derived from secondary α-amino acids by the decarboxylative route. Tetrahedron Lett. 1991, 32, 5417–5420. [Google Scholar] [CrossRef]
- Naga Siva Rao, J.; Raghunathan, R. A tactical 1,3-dipolar cycloaddition approach for the synthesis of carbohydrate derived polycyclic spiro heterocycles. Tetrahedron Lett. 2015, 56, 1539–1544. [Google Scholar]
- Arumugam, N.; Periyasami, G.; Raghunathan, R.; Kamalraj, S.; Muthumary, J. Synthesis and antimicrobial activity of highly functionalised novel β-lactam grafted spiropyrrolidines and pyrrolizidines. Eur. J. Med. Chem. 2011, 46, 600–607. [Google Scholar] [CrossRef] [PubMed]
- Purushothaman, S.; Prasanna, R.; Raghunathan, R. Regioselective synthesis of spiropyrrolidine/spiropyrrolizidine/spirothiazolidine-grafted macrocycles through 1,3-dipolar cycloaddition methodology. Tetrahedron 2013, 69, 9742–9750. [Google Scholar] [CrossRef]
- Santos, M.M.M. Recent advances in the synthesis of biologically active spirooxindoles. Tetrahedron 2014, 70, 9735–9757. [Google Scholar] [CrossRef]
- Hong, L.; Wang, R. Recent Advances in Asymmetric Organocatalytic Construction of 3,3′-Spirocyclic Oxindoles. Adv. Synth. Catal. 2013, 355, 1023–1052. [Google Scholar] [CrossRef]
- Han, W.-Y.; Zhao, J.-Q.; Zuo, J.; Xu, X.-Y.; Zhang, X.-M.; Yuan, W.-C. Recent Advances of α-Isothiocyana to Compounds in the Catalytic Asymmetric Reaction. Adv. Synth. Catal. 2015, 357, 3007–3031. [Google Scholar] [CrossRef]
- Zhou, F.; Liu, Y.L.; Zhou, J. Catalytic Asymmetric Synthesis of Oxindoles Bearing a Tetrasubstituted Stereocenter at the C-3 Position. Adv. Synth. Catal. 2010, 352, 1381–1407. [Google Scholar] [CrossRef]
- Ball-Jones, N.R.; Badillo, J.J.; Franz, A.K. Strategies for the enantioselective synthesis of spirooxindoles. Org. Biomol. Chem. 2012, 10, 5165–5181. [Google Scholar] [CrossRef] [PubMed]
- Singh, G.S.; Desta, Z.Y. Isatins as Privileged Molecules in Design and Synthesis of Spiro-Fused Cyclic Frameworks. Chem. Rev. 2012, 112, 6104–6155. [Google Scholar] [CrossRef] [PubMed]
- Yu, B.; Yu, D.-Q.; Liu, H.-M. Spirooxindoles: Promising scaffolds for anticancer agents. Eur. J. Med. Chem. 2015, 97, 673–698. [Google Scholar] [CrossRef] [PubMed]
- El-Ahl, A.-A.S. Three-component 1,3-dipolar cycloaddition reactions in synthesis of spiro[pyrrolidine-2,3′-oxindoline] derivatives. Heteroat. Chem. 2002, 13, 324–329. [Google Scholar] [CrossRef]
- Hazra, A.; Paira, P.; Sahu, K.B.; Naskar, S.; Saha, P.; Paira, R.; Mondal, S.; Maity, A.; Luger, P.; Weber, M.; et al. Chemistry of andrographolide: Formation of novel di-spiropyrrolidino and di-spiropyrrolizidino-oxindole adducts via one-pot three-component [3+2] azomethine ylide cycloaddition. Tetrahedron Lett. 2010, 51, 1585–1588. [Google Scholar] [CrossRef]
- Babu, S.R.; Raghunathan, R. An easy access to novel steroidal dispiropyrrolidines through 1,3-dipolar cycloaddition of azomethine ylides. Tetrahedron Lett. 2008, 49, 4618–4620. [Google Scholar] [CrossRef]
- Dandia, A.; Jain, A.K.; Bhati, D.S. Direct construction of novel dispiro heterocycles through 1,3-dipolar cycloaddition of azomethine ylides. Tetrahedron Lett. 2011, 52, 5333–5337. [Google Scholar] [CrossRef]
- Naga Siva Rao, J.; Raghunatha, R. An expedient diastereoselective synthesis of pyrrolidinyl spirooxindoles fused to sugar lactone via [3+2] cycloaddition of azomethine ylides. Tetrahedron Lett. 2012, 53, 854–858. [Google Scholar] [CrossRef]
- Poornachandran, M.; Raghunathan, R. Synthesis of Spirooxindolo/Spiroindano Nitro Pyrrolizidines through Regioselective Azomethine Ylide Cycloaddition Reaction. Synth. Commun. 2007, 37, 2507–2517. [Google Scholar] [CrossRef]
- Pavlovskaya, T.L.; Yaremenko, F.G.; Lipson, V.V.; Shishkina, S.V.; Shishkin, O.V.; Musatov, V.I.; Karpenko, A.I. The regioselective synthesis of spirooxindolo pyrrolidines and pyrrolizidines via three-component reactions of acrylamides and aroylacrylic acids with isatins and α-amino acids. Beilstein J. Org. Chem. 2014, 10, 117–126. [Google Scholar] [CrossRef] [PubMed]
- Kumar, R.S.; Rajesh, S.M.; Perumal, S.; Banerjee, D.; Yogeeswari, P.; Sriram, D. Novel three-component domino reactions of ketones, isatin and amino acids: Synthesis and discovery of antimycobacterial activity of highly functionalised novel dispiropyrrolidines. Eur. J. Med. Chem. 2010, 45, 411–422. [Google Scholar] [CrossRef] [PubMed]
- Prasanna, P.; Balamurugan, K.; Perumal, S.; Yogeeswari, P.; Sriram, D. A regio- and stereoselective 1,3-dipolar cycloaddition for the synthesis of novel spiro-pyrrolothiazolyloxindoles and their antitubercular evaluation. Eur. J. Med. Chem. 2010, 45, 5653–5661. [Google Scholar] [CrossRef] [PubMed]
- Calixto, J.B.; Otuki, M.F.; Santos, A.R.S. Anti-Inflammatory Compounds of Plant Origin. Part I. Action on Arachidonic Acid Pathway, Nitric Oxide and Nuclear Factor κ B (NF-κB). Planta Med. 2003, 69, 973–983. [Google Scholar] [PubMed]
- Hong, C.H.; Noh, M.S.; Lee, W.Y.; Lee, S.K. Inhibitory effects of natural sesquiterpenoids isolated from the rhizomes of Curcuma zedoaria on prostaglandin E2 and nitric oxide production. Planta Med. 2002, 68, 545–547. [Google Scholar] [CrossRef] [PubMed]
- Motoyoshiya, J.; Miyajima, M.; Hirakawa, K.; Kakurai, T. Dimethyl (2-oxo-4-methyl-3-pentenyl)phosphonate as a precursor of.alpha.,.alpha.′-dienones. Short syntheses of (.+-.)-.alpha.-atlantone and (.+-.)-ar-turmerone. J. Org. Chem. 1985, 50, 1326–1327. [Google Scholar] [CrossRef]
- Prete, D.D.; Millán, E.; Pollastro, F.; Chianese, G.; Luciano, P.; Collado, J.A.; Munoz, E.; Appendino, G.; Taglialatela-Scafati, O. Turmeric Sesquiterpenoids: Expeditious Resolution, Comparative Bioactivity, and a New Bicyclic Turmeronoid. J. Nat. Prod. 2016, 79, 267–273. [Google Scholar] [CrossRef] [PubMed]
- Han, W.-Y.; Li, S.-W.; Wu, Z.-J.; Zhang, X.-M.; Yuan, W.-C. 3-Isothiocyanato Oxindoles Serving as Powerful and Versatile Precursors to Structurally Diverse Dispirocyclic Thiopyrrolidineoxindoles through a Cascade Michael/Cyclization Process with Amino-Thiocarbamate Catalysts. Chem. Eur. J. 2013, 19, 5551–5556. [Google Scholar] [CrossRef] [PubMed]
- Han, Y.-Y.; Chen, W.-B.; Han, W.-Y.; Wu, Z.-J.; Zhang, X.-M.; Yuan, W.-C. Highly Efficient and Stereoselective Construction of Dispiro-[oxazolidine-2-thione]bisoxindoles and Dispiro[imidazolidine-2-thione]bisoxindoles. Org. Lett. 2012, 14, 490–493. [Google Scholar] [CrossRef] [PubMed]
- Liu, X.-L.; Han, W.-Y.; Zhang, X.-M.; Yuan, W.-C. Highly Efficient and Stereocontrolled Construction of 3,3′-Pyrrolidonyl Spirooxindoles via Organocatalytic Domino Michael/Cyclization Reaction. Org. Lett. 2013, 12, 1246–1249. [Google Scholar] [CrossRef] [PubMed]
- CCDC 1530052, CCDC 1530053 and 1530563 contain the supplementary crystallographic datas for this paper. These data can be obtained free of charge from The Cambridge Crystallographic Data Centre via www.ccdc.cam.ac.uk/data_request/cif.
- Mosman, T. Rapid colorimetric assay for cellular growth and survival: Application to proliferation and cytotoxicity assays. J. Immunol. Methods 1983, 65, 55–63. [Google Scholar] [CrossRef]
- Alley, M.C.; Scudiero, D.A.; Monks, A.; Hursey, M.L.; Czerwinski, M.J.; Fine, D.L.; Abbott, B.J.; Shoemaker, R.H.; Boyd, M.R. Feasibility of drug screening with panels of human tumor celllines using amicro culture tetrazolium assay. Cancer Res. 1988, 48, 589–601. [Google Scholar] [PubMed]
Sample Availability: Samples of the compounds 3–5 are available from the authors. |
© 2017 by the authors. Licensee MDPI, Basel, Switzerland. This article is an open access article distributed under the terms and conditions of the Creative Commons Attribution (CC BY) license (http://creativecommons.org/licenses/by/4.0/).








