The Role of Sub- and Supercritical CO2 as “Processing Solvent” for the Recycling and Sample Preparation of Lithium Ion Battery Electrolytes
Abstract
:1. Introduction
2. Lithium Ion Batteries Electrolytes
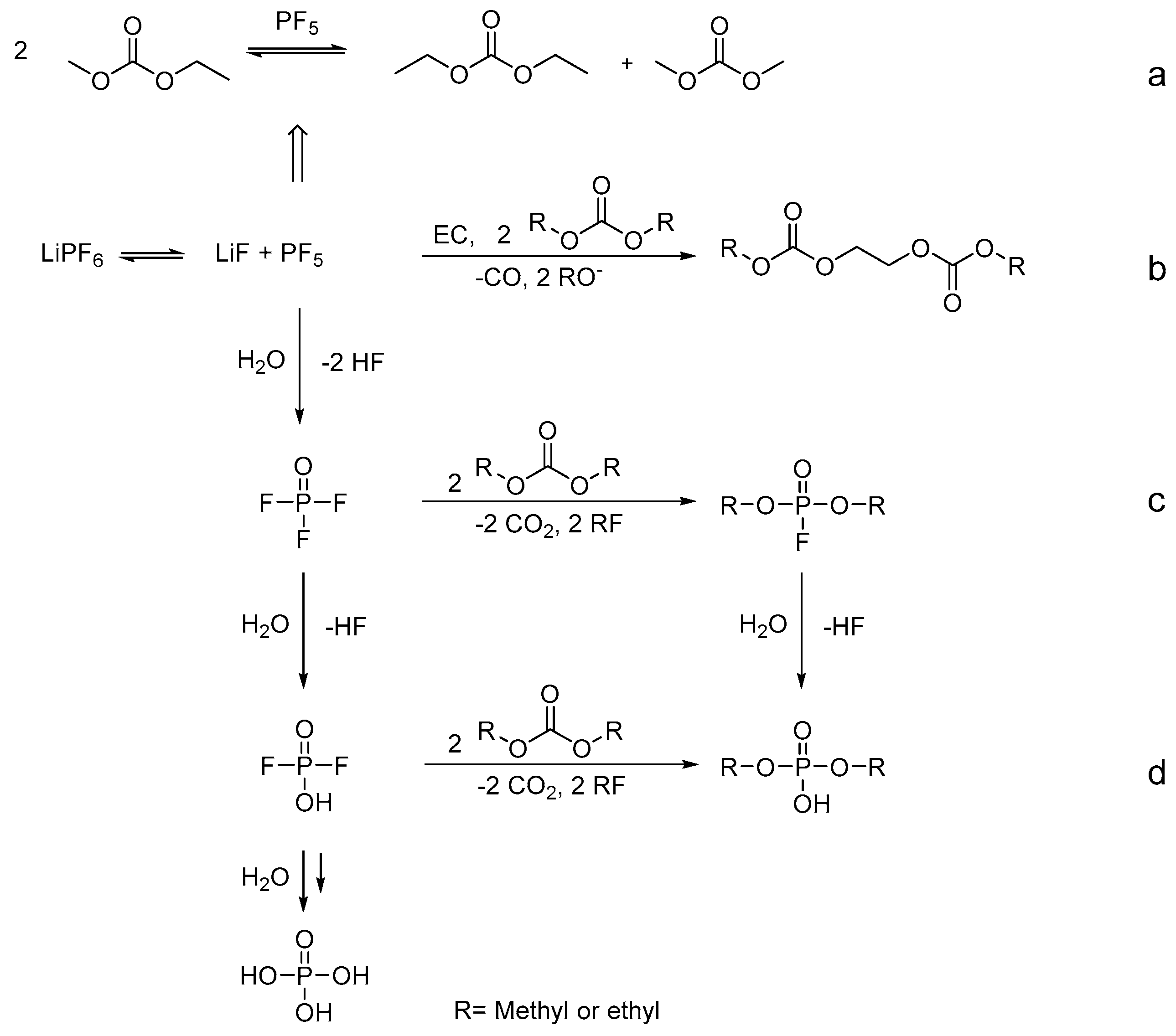
3. Aging of Lithium Ion Battery Electrolytes
4. Recycling of Lithium Ion Batteries Electrolytes
5. Carbon Dioxide and Its Extraction Properties
6. Application of Subcritical and Supercritical CO2 for Recycling of LIB Electrolytes
7. Application of Subcritical and Supercritical CO2 as a Sample Preparation Tool
8. Conclusions
Acknowledgments
Author Contributions
Conflicts of Interest
References
- Wagner, R.; Preschitschek, N.; Passerini, S.; Leker, J.; Winter, M. Current research trends and prospects among the various materials and designs used in lithium-based batteries. J. Appl. Electrochem. 2013, 43, 481–496. [Google Scholar] [CrossRef]
- Winter, M.; Brodd, R.J. What Are Batteries, Fuel Cells, and Supercapacitors? Chem. Rev. 2004, 104, 4245–4270. [Google Scholar] [CrossRef] [PubMed]
- Bieker, P.; Winter, M. Lithium-Ionen-Technologie und was danach kommen könnte. Chem. Unserer Zeit 2016, 50, 172–186. [Google Scholar] [CrossRef]
- Meister, P.; Jia, H.; Li, J.; Kloepsch, R.; Winter, M.; Placke, T. Best Practice: Performance and Cost Evaluation of Lithium Ion Battery Active Materials with Special Emphasis on Energy Efficiency. Chem. Mater. 2016, 28, 7203–7217. [Google Scholar] [CrossRef]
- Current Calendar Year Monthly Average Settlement Prices (30 June 2015). The London Metal Exchange Limited: London, UK. Available online: http://www.lme.com/~/media/Files/Market%20data/Historic%20Data/2015/June%202015.xlsx (accessed on 2 April 2016).
- Sonoc, A.; Jeswiet, J. A Review of Lithium Supply and Demand and a Preliminary Investigation of a Room Temperature Method to Recycle Lithium Ion Batteries to Recover Lithium and Other Materials. Procedia CIRP 2014, 15, 289–293. [Google Scholar] [CrossRef]
- Reuter, M.; Hudson, C.; Van Schaik, A.; Heiskanen, K.; Meskers, C.; Hagelüken, C. Metal Recycling: Opportunities, Limits, Infrastructure; United Nations Environment Programme: Paris, France, 2013; pp. 1–320. [Google Scholar]
- Gruber, P.W.; Medina, P.A.; Keoleian, G.A.; Kesler, S.E.; Everson, M.P.; Wallington, T.J. Global lithium availability. J. Ind. Ecol. 2011, 15, 760–775. [Google Scholar] [CrossRef]
- Perez, A.A.; Safirova, E.; Anderson, S.T. The Mineral Industries of Europe and Central Eurasia; U.S. Geological Survey: Reston, VA, USA, 2014; pp. 1–34.
- Battery-Kutter News. Available online: https://www.battery-kutter.de/main/news_detail&nid=52 (accessed on 28 January 2017).
- Directive 2006/66/EC on Batteries and Accumulators and Waste Batteries and Accumulators; The European Parliament and the Council of the European Union: Brussels, Belgium, 2006; Volume L 266/1.
- Directive 2012/19/EU on Waste Electrical and Electronic Equipment (WEEE); The European Parliament and the Council of the European Union: Brussels, Belgium, 2012; Volume L 197/38.
- Directive 2000/53/EC on End-of Life Vehicles; The European Parliament and the Council of the European Union: Brussels, Belgium, 2000; Volume L 269/34.
- Vetter, J.; Novák, P.; Wagner, M.; Veit, C.; Möller, K.-C.; Besenhard, J.; Winter, M.; Wohlfahrt-Mehrens, M.; Vogler, C.; Hammouche, A. Ageing mechanisms in lithium-ion batteries. J. Power Sources 2005, 147, 269–281. [Google Scholar] [CrossRef]
- Garche, J.; Dyer, C.K.; Moseley, P.T.; Ogumi, Z.; Rand, D.A.; Scrosati, B. Encyclopedia of Electrochemical Power Sources, 1st ed.; Elsevier Science: Amsterdam, The Netherlands, 2013; p. 4538. [Google Scholar]
- Börner, M.; Friesen, A.; Grützke, M.; Stenzel, Y.; Brunklaus, G.; Haetge, J.; Nowak, S.; Schappacher, F.; Winter, M. Correlation of aging and thermal stability of commercial 18650-type lithium ion batteries. J. Power Sources 2017, 342, 382–392. [Google Scholar] [CrossRef]
- Grützke, M.; Kraft, V.; Hoffmann, B.; Klamor, S.; Diekmann, J.; Kwade, A.; Winter, M.; Nowak, S. Aging investigations of a lithium-ion battery electrolyte from a field-tested hybrid electric vehicle. J. Power Sources 2015, 273, 83–88. [Google Scholar] [CrossRef]
- Kraft, V.; Grützke, M.; Weber, W.; Menzel, J.; Wiemers-Meyer, S.; Winter, M.; Nowak, S. Two-dimensional ion chromatography for the separation of ionic organophosphates generated in thermally decomposed lithium hexafluorophosphate-based lithium ion battery electrolytes. J. Chromatogr. A 2015, 1409, 201–209. [Google Scholar] [CrossRef] [PubMed]
- Grützke, M.; Kraft, V.; Weber, W.; Wendt, C.; Friesen, A.; Klamor, S.; Winter, M.; Nowak, S. Supercritical carbon dioxide extraction of lithium-ion battery electrolytes. J. Supercrit. Fluids 2014, 94, 216–222. [Google Scholar] [CrossRef]
- Fleischhammer, M.; Waldmann, T.; Bisle, G.; Hogg, B.-I.; Wohlfahrt-Mehrens, M. Interaction of cyclic ageing at high-rate and low temperatures and safety in lithium-ion batteries. J. Power Sources 2015, 274, 432–439. [Google Scholar] [CrossRef]
- Gachot, G.; Grugeon, S.; Eshetu, G.G.; Mathiron, D.; Ribière, P.; Armand, M.; Laruelle, S. Thermal behaviour of the lithiated-graphite/electrolyte interface through GC/MS analysis. Electrochim. Acta 2012, 83, 402–409. [Google Scholar] [CrossRef]
- Krueger, S.; Kloepsch, R.; Li, J.; Nowak, S.; Passerini, S.; Winter, M. How do reactions at the anode/electrolyte interface determine the cathode performance in lithium-ion batteries? J. Electrochem. Soc. 2013, 160, A542–A548. [Google Scholar] [CrossRef]
- Börner, M.; Klamor, S.; Hoffmann, B.; Schroeder, M.; Nowak, S.; Würsig, A.; Winter, M.; Schappacher, F. Investigations on the C-Rate and Temperature Dependence of Manganese Dissolution/Deposition in LiMn2O4/Li4Ti5O12 Lithium Ion Batteries. J. Electrochem. Soc. 2016, 163, A831–A837. [Google Scholar] [CrossRef]
- Jung, S.K.; Gwon, H.; Hong, J.; Park, K.Y.; Seo, D.H.; Kim, H.; Hyun, J.; Yang, W.; Kang, K. Understanding the degradation mechanisms of LiNi0.5Co0.2Mn0.3O2 cathode material in lithium ion batteries. Adv. Energy Mater. 2014, 4. [Google Scholar] [CrossRef]
- Winter, M. The solid electrolyte interphase—The most important and the least understood solid electrolyte in rechargeable Li batteries. Z. Phys. Chem. Int. J. Res. Phys. Chem. Chem. Phys. 2009, 223, 1395–1406. [Google Scholar] [CrossRef]
- Peled, E. The electrochemical behavior of alkali and alkaline earth metals in nonaqueous battery systems—The solid electrolyte interphase model. J. Electrochem. Soc. 1979, 126, 2047–2051. [Google Scholar] [CrossRef]
- Agubra, V.A.; Fergus, J.W.; Fu, R.; Choe, S.-Y. Analysis of effects of the state of charge on the formation and growth of the deposit layer on graphite electrode of pouch type lithium ion polymer batteries. J. Power Sources 2014, 270, 213–220. [Google Scholar] [CrossRef]
- Chung, G.C.; Kim, H.J.; Yu, S.I.; Jun, S.H.; Choi, J.W.; Kim, M.H. Origin of graphite exfoliation an investigation of the important role of solvent cointercalation. J. Electrochem. Soc. 2000, 147, 4391–4398. [Google Scholar] [CrossRef]
- Klett, M.; Svens, P.; Tengstedt, C.; Seyeux, A.; Światowska, J.; Lindbergh, G.R.; Wreland Lindström, R. Uneven film formation across depth of porous graphite electrodes in cycled commercial Li-ion batteries. J. Phys. Chem. C 2014, 119, 90–100. [Google Scholar] [CrossRef]
- Wiemers-Meyer, S.; Jeremias, S.; Winter, M.; Nowak, S. Influence of Battery Cell Components and Water on the Thermal and Chemical Stability of LiPF6 Based Lithium Ion Battery Electrolytes. Electrochim. Acta 2016, 222, 1267–1271. [Google Scholar] [CrossRef]
- Niehoff, P.; Kraemer, E.; Winter, M. Parametrisation of the influence of different cycling conditions on the capacity fade and the internal resistance increase for lithium nickel manganese cobalt oxide/graphite cells. J. Electroanal. Chem. 2013, 707, 110–116. [Google Scholar] [CrossRef]
- Friesen, A.; Schultz, C.; Brunklaus, G.; Rodehorst, U.; Wilken, A.; Haetge, J.; Winter, M.; Schappacher, F. Long Term Aging of Automotive Type Lithium-Ion Cells. ECS Trans. 2015, 69, 89–99. [Google Scholar] [CrossRef]
- Friesen, A.; Horsthemke, F.; Mönnighoff, X.; Brunklaus, G.; Krafft, R.; Börner, M.; Risthaus, T.; Winter, M.; Schappacher, F.M. Impact of cycling at low temperatures on the safety behavior of 18650-type lithium ion cells: Combined study of mechanical and thermal abuse testing accompanied by post-mortem analysis. J. Power Sources 2016, 334, 1–11. [Google Scholar] [CrossRef]
- Lux, S.F.; Chevalier, J.; Lucas, I.T.; Kostecki, R. HF Formation in LiPF6-Based Organic Carbonate Electrolytes. ECS Electrochem. Lett. 2013, 2, A121–A123. [Google Scholar] [CrossRef]
- Terborg, L.; Nowak, S.; Passerini, S.; Winter, M.; Karst, U.; Haddad, P.R.; Nesterenko, P.N. Ion chromatographic determination of hydrolysis products of hexafluorophosphate salts in aqueous solution. Anal. Chim. Acta 2012, 714, 121–126. [Google Scholar] [CrossRef] [PubMed]
- Terborg, L.; Weber, S.; Blaske, F.; Passerini, S.; Winter, M.; Karst, U.; Nowak, S. Investigation of thermal aging and hydrolysis mechanisms in commercial lithium ion battery electrolyte. J. Power Sources 2013, 242, 832–837. [Google Scholar] [CrossRef]
- Handel, P.; Fauler, G.; Kapper, K.; Schmuck, M.; Stangl, C.; Fischer, R.; Uhlig, F.; Koller, S. Thermal aging of electrolytes used in lithium-ion batteries—An investigation of the impact of protic impurities and different housing materials. J. Power Sources 2014, 267, 255–259. [Google Scholar] [CrossRef]
- Yang, H.; Zhuang, G.V.; Ross, P.N. Thermal stability of LiPF6 salt and Li-ion battery electrolytes containing LiPF6. J. Power Sources 2006, 161, 573–579. [Google Scholar] [CrossRef]
- Pyschik, M.; Klein-Hitpaß, M.; Girod, S.; Winter, M.; Nowak, S. Capillary electrophoresis with contactless conductivity detection for the quantification of fluoride in lithium ion battery electrolytes and in ionic liquids—A comparison to the results gained with a fluoride ion-selective electrode. Electrophoresis 2016. [Google Scholar] [CrossRef] [PubMed]
- Wilken, A.; Kraft, V.; Girod, S.; Winter, M.; Nowak, S. A fluoride-selective electrode (Fse) for the quantification of fluoride in lithium-ion battery (Lib) electrolytes. Anal. Methods 2016, 8, 6932–6940. [Google Scholar] [CrossRef]
- Campion, C.L.; Li, W.; Euler, W.B.; Lucht, B.L.; Ravdel, B.; DiCarlo, J.F.; Gitzendanner, R.; Abraham, K. Suppression of toxic compounds produced in the decomposition of lithium-ion battery electrolytes. Electrochem. Solid-State Lett. 2004, 7, A194–A197. [Google Scholar] [CrossRef]
- Campion, C.L.; Li, W.; Lucht, B.L. Thermal decomposition of LiPF6-based electrolytes for lithium-ion batteries. J. Electrochem. Soc. 2005, 152, A2327–A2334. [Google Scholar] [CrossRef]
- Kraft, V.; Grützke, M.; Weber, W.; Winter, M.; Nowak, S. Ion chromatography electrospray ionization mass spectrometry method development and investigation of lithium hexafluorophosphate-based organic electrolytes and their thermal decomposition products. J. Chromatogr. A 2014, 1354, 92–100. [Google Scholar] [CrossRef] [PubMed]
- Vortmann, B.; Nowak, S.; Engelhard, C. Rapid characterization of lithium ion battery electrolytes and thermal aging products by low-temperature plasma ambient ionization high-resolution mass spectrometry. Anal. Chem. 2013, 85, 3433–3438. [Google Scholar] [CrossRef] [PubMed]
- Weber, W.; Kraft, V.; Grützke, M.; Wagner, R.; Winter, M.; Nowak, S. Identification of alkylated phosphates by gas chromatography–mass spectrometric investigations with different ionization principles of a thermally aged commercial lithium ion battery electrolyte. J. Chromatogr. A 2015, 1394, 128–136. [Google Scholar] [CrossRef] [PubMed]
- Weber, W.; Wagner, R.; Streipert, B.; Kraft, V.; Winter, M.; Nowak, S. Ion and gas chromatography mass spectrometry investigations of organophosphates in lithium ion battery electrolytes by electrochemical aging at elevated cathode potentials. J. Power Sources 2016, 306, 193–199. [Google Scholar] [CrossRef]
- Kraft, V.; Weber, W.; Grützke, M.; Winter, M.; Nowak, S. Study of decomposition products by gas chromatography-mass spectrometry and ion chromatography-electrospray ionization-mass spectrometry in thermally decomposed lithium hexafluorophosphate-based lithium ion battery electrolytes. RSC Adv. 2015, 5, 80150–80157. [Google Scholar] [CrossRef]
- Kraft, V.; Weber, W.; Streipert, B.; Wagner, R.; Schultz, C.; Winter, M.; Nowak, S. Qualitative and quantitative investigation of organophosphates in an electrochemically and thermally treated lithium hexafluorophosphate-based lithium ion battery electrolyte by a developed liquid chromatography-tandem quadrupole mass spectrometry method. RSC Adv. 2016, 6, 8–17. [Google Scholar] [CrossRef]
- Ravdel, B.; Abraham, K.; Gitzendanner, R.; DiCarlo, J.; Lucht, B.; Campion, C. Thermal stability of lithium-ion battery electrolytes. J. Power Sources 2003, 119, 805–810. [Google Scholar] [CrossRef]
- Gachot, G.; Ribière, P.; Mathiron, D.; Grugeon, S.; Armand, M.; Leriche, J.-B.; Pilard, S.; Laruelle, S.P. Gas chromatography/mass spectrometry as a suitable tool for the Li-ion battery electrolyte degradation mechanisms study. Anal. Chem. 2010, 83, 478–485. [Google Scholar] [CrossRef] [PubMed]
- Schultz, C.; Kraft, V.; Pyschik, M.; Weber, S.; Schappacher, F.; Winter, M.; Nowak, S. Separation and quantification of organic electrolyte components in lithium-ion batteries via a developed HPLC method. J. Electrochem. Soc. 2015, 162, A629–A634. [Google Scholar] [CrossRef]
- Schultz, C.; Vedder, S.; Winter, M.; Nowak, S. Qualitative Investigation of the Decomposition of Organic Solvent Based Lithium Ion Battery Electrolytes with LC-IT-TOF-MS. Anal. Chem. 2016, 88, 11160–11168. [Google Scholar] [CrossRef] [PubMed]
- Grützke, M.; Weber, W.; Winter, M.; Nowak, S. Structure determination of organic aging products in lithium-ion battery electrolytes with gas chromatography chemical ionization mass spectrometry (GC-CI-MS). RSC Adv. 2016, 6, 57253–57260. [Google Scholar] [CrossRef]
- Terborg, L.; Weber, S.; Passerini, S.; Winter, M.; Karst, U.; Nowak, S. Development of gas chromatographic methods for the analyses of organic carbonate-based electrolytes. J. Power Sources 2014, 245, 836–840. [Google Scholar] [CrossRef]
- Wiemers-Meyer, S.; Winter, M.; Nowak, S. Mechanistic insights into lithium ion battery electrolyte degradation—A quantitative NMR study. Phys. Chem. Chem. Phys. 2016, 18, 26595–26601. [Google Scholar] [CrossRef] [PubMed]
- Wiemers-Meyer, S.; Winter, M.; Nowak, S. Battery Cell for In Situ NMR Measurements of Liquid Electrolytes. Phys. Chem. Chem. Phys. 2017, 19, 4962–4966. [Google Scholar] [CrossRef] [PubMed]
- Abraham, K. Directions in secondary lithium battery research and development. Electrochim. Acta 1993, 38, 1233–1248. [Google Scholar] [CrossRef]
- Balbuena, P.B.; Wang, Y. Lithium-Ion Batteries: Solid-Electrolyte Interphase; World Scientific: Singapore, 2004; p. 424. [Google Scholar]
- Jow, T.R.; Xu, K.; Borodin, O.; Makoto, U. Electrolytes for Lithium and Lithium-Ion Batteries; Springer: Berlin, Germany, 2014; Volum 58. [Google Scholar]
- Xu, K. Electrolytes and interphases in Li-ion batteries and beyond. Chem. Rev. 2014, 114, 11503–11618. [Google Scholar] [CrossRef] [PubMed]
- Xu, K. Nonaqueous liquid electrolytes for lithium-based rechargeable batteries. Chem. Rev. 2004, 104, 4303–4418. [Google Scholar] [CrossRef] [PubMed]
- Schmitz, R.W.; Murmann, P.; Schmitz, R.; Müller, R.; Krämer, L.; Kasnatscheew, J.; Isken, P.; Niehoff, P.; Nowak, S.; Röschenthaler, G.-V. Investigations on novel electrolytes, solvents and SEI additives for use in lithium-ion batteries: Systematic electrochemical characterization and detailed analysis by spectroscopic methods. Prog. Solid State Chem. 2014, 42, 65–84. [Google Scholar] [CrossRef]
- Tasaki, K.; Goldberg, A.; Winter, M. On the difference in cycling behaviors of lithium-ion battery cell between the ethylene carbonate-and propylene carbonate-based electrolytes. Electrochim. Acta 2011, 56, 10424–10435. [Google Scholar] [CrossRef]
- Wakihara, M.; Yamamoto, O. Lithium Ion Batteries: Fundamentals and Performance; John Wiley & Sons: Hoboken, NJ, USA, 2008. [Google Scholar]
- Aurbach, D.; Talyosef, Y.; Markovsky, B.; Markevich, E.; Zinigrad, E.; Asraf, L.; Gnanaraj, J.S.; Kim, H.-J. Design of electrolyte solutions for Li and Li-ion batteries: A review. Electrochim. Acta 2004, 50, 247–254. [Google Scholar] [CrossRef]
- Krämer, E.; Passerini, S.; Winter, M. Dependency of aluminum collector corrosion in lithium ion batteries on the electrolyte solvent. ECS Electrochem. Lett. 2012, 1, C9–C11. [Google Scholar] [CrossRef]
- Newman, G.; Francis, R.; Gaines, L.; Rao, B. Hazard investigations of LiClO4/dioxolane electrolyte. J. Electrochem. Soc. 1980, 127, 2025–2027. [Google Scholar] [CrossRef]
- Ding, M.S.; Xu, K.; Jow, T.R. Conductivity and Viscosity of PC-DEC and PC-EC Solutions of LiBOB. J. Electrochem. Soc. 2005, 152, A132–A140. [Google Scholar] [CrossRef]
- Amereller, M.; Schedlbauer, T.; Moosbauer, D.; Schreiner, C.; Stock, C.; Wudy, F.; Zugmann, S.; Hammer, H.; Maurer, A.; Gschwind, R. Electrolytes for lithium and lithium ion batteries: From synthesis of novel lithium borates and ionic liquids to development of novel measurement methods. Prog. Solid State Chem. 2014, 42, 39–56. [Google Scholar] [CrossRef]
- Rupp, B.; Schmuck, M.; Balducci, A.; Winter, M.; Kern, W. Polymer electrolyte for lithium batteries based on photochemically crosslinked poly(ethylene oxide) and ionic liquid. Eur. Polym. J. 2008, 44, 2986–2990. [Google Scholar] [CrossRef]
- Zhang, S.S. A review on electrolyte additives for lithium-ion batteries. J. Power Sources 2006, 162, 1379–1394. [Google Scholar] [CrossRef]
- Shigematsu, Y.; Kinoshita, S.-I.; Ue, M. Thermal behavior of a C∕LiCoO2 cell, its components, and their combinations and the effects of electrolyte additives. J. Electrochem. Soc. 2006, 153, A2166–A2170. [Google Scholar] [CrossRef]
- Tobishima, S.; Ogino, Y.; Watanabe, Y. Influence of electrolyte additives on safety and cycle life of rechargeable lithium cells. J. Appl. Electrochem. 2003, 33, 143–150. [Google Scholar] [CrossRef]
- Möller, K.-C.; Santner, H.; Kern, W.; Yamaguchi, S.; Besenhard, J.; Winter, M. In situ characterization of the SEI formation on graphite in the presence of a vinylene group containing film-forming electrolyte additives. J. Power Sources 2003, 119, 561–566. [Google Scholar] [CrossRef]
- Santner, H.; Korepp, C.; Winter, M.; Besenhard, J.; Möller, K.-C. In-situ FTIR investigations on the reduction of vinylene electrolyte additives suitable for use in lithium-ion batteries. Anal. Bioanal. Chem. 2004, 379, 266–271. [Google Scholar] [CrossRef] [PubMed]
- Vogl, U.; Schmitz, A.; Stock, C.; Badillo, J.P.; Gores, H.J.; Winter, M. Investigation of N-ethyl-2-pyrrolidone (NEP) as electrolyte additive in regard to overcharge protecting characteristics. J. Electrochem. Soc. 2014, 161, A1407–A1414. [Google Scholar] [CrossRef]
- Dippel, C.; Schmitz, R.; Müller, R.; Böttcher, T.; Kunze, M.; Lex-Balducci, A.; Röschenthaler, G.-V.; Passerini, S.; Winter, M. Carbene Adduct as Overcharge Protecting Agent in Lithium Ion Batteries. J. Electrochem. Soc. 2012, 159, A1587–A1590. [Google Scholar] [CrossRef]
- Korepp, C.; Kern, W.; Lanzer, E.; Raimann, P.; Besenhard, J.; Yang, M.; Möller, K.-C.; Shieh, D.-T.; Winter, M. 4-Bromobenzyl isocyanate versus benzyl isocyanate—New film-forming electrolyte additives and overcharge protection additives for lithium ion batteries. J. Power Sources 2007, 174, 637–642. [Google Scholar] [CrossRef]
- Schranzhofer, H.; Bugajski, J.; Santner, H.; Korepp, C.; Möller, K.-C.; Besenhard, J.; Winter, M.; Sitte, W. Electrochemical impedance spectroscopy study of the SEI formation on graphite and metal electrodes. J. Power Sources 2006, 153, 391–395. [Google Scholar] [CrossRef]
- Dey, A. Lithium anode film and organic and inorganic electrolyte batteries. Thin Solid Films 1977, 43, 131–171. [Google Scholar] [CrossRef]
- Peled, E.; Yamin, H. Kinetics of Lithium in Lithium LiAlCl4-SoCl2 Solutions. J. Electrochem. Soc. 1979, C308. [Google Scholar]
- Dupré, N.; Martin, J.-F.; Degryse, J.; Fernandez, V.; Soudan, P.; Guyomard, D. Aging of the LiFePO4 positive electrode interface in electrolyte. J. Power Sources 2010, 195, 7415–7425. [Google Scholar] [CrossRef]
- Kong, W.; Li, H.; Huang, X.; Chen, L. Gas evolution behaviors for several cathode materials in lithium-ion batteries. J. Power Sources 2005, 142, 285–291. [Google Scholar] [CrossRef]
- Sloop, S.E.; Kerr, J.B.; Kinoshita, K. The role of Li-ion battery electrolyte reactivity in performance decline and self-discharge. J. Power Sources 2003, 119, 330–337. [Google Scholar] [CrossRef]
- Sloop, S.E.; Pugh, J.K.; Wang, S.; Kerr, J.; Kinoshita, K. Chemical Reactivity of PF5 and LiPF6 in Ethylene Carbonate/Dimethyl Carbonate Solutions. Electrochem. Solid-State Lett. 2001, 4, A42–A44. [Google Scholar] [CrossRef]
- Wilken, S.; Treskow, M.; Scheers, J.; Johansson, P.; Jacobsson, P. Initial stages of thermal decomposition of LiPF6-based lithium ion battery electrolytes by detailed Raman and NMR spectroscopy. RSC Adv. 2013, 3, 16359–16364. [Google Scholar] [CrossRef]
- Kawamura, T.; Okada, S.; Yamaki, J.-I. Decomposition reaction of LiPF6-based electrolytes for lithium ion cells. J. Power Sources 2006, 156, 547–554. [Google Scholar] [CrossRef]
- Plakhotnyk, A.V.; Ernst, L.; Schmutzler, R. Hydrolysis in the system LiPF6—Propylene Carbonate—Dimethyl carbonate—H2O. J. Fluorine Chem. 2005, 126, 27–31. [Google Scholar] [CrossRef]
- Blomgren, G.E. Electrolytes for advanced batteries. J. Power Sources 1999, 81, 112–118. [Google Scholar] [CrossRef]
- Sasaki, T.; Abe, T.; Iriyama, Y.; Inaba, M.; Ogumi, Z. Formation mechanism of alkyl dicarbonates in Li-ion cells. J. Power Sources 2005, 150, 208–215. [Google Scholar] [CrossRef]
- Sasaki, T.; Jeong, S.-K.; Abe, T.; Iriyama, Y.; Inaba, M.; Ogumi, Z. Effect of an alkyl dicarbonate on Li-ion cell performance. J. Electrochem. Soc. 2005, 152, A1963–A1968. [Google Scholar] [CrossRef]
- Silver, S. The Toxieity of Dimethyl-, Diethyl-, and Diisopropyl Fluorophosphate Vapors. J. Ind. Hyg. Toxicol. 1948, 30, 307–311. [Google Scholar] [PubMed]
- Tripathi, H.L.; Dewey, W.L. Comparison of the effects of diisopropylfluorophosphate, sarin, soman, and tabun on toxicity and brain acetylcholinesterase activity in mice. J. Toxicol. Environ. Health Part A 1989, 26, 437–446. [Google Scholar] [CrossRef] [PubMed]
- Referenced to Journal of Toxicology and Environmental Health 1989, 26, 437. Available online: www.lookchem.com (accessed on 28 April 2017).
- Referenced to NTIS (National Technical Information Service). Available online: www.lookchem.com (accessed on 28 April 2017).
- Referenced to Deutsche Gesundheitswesen 1960, 15, 2179. Available online: www.lookchem.com (accessed on 28 April 2017).
- Referenced to RTECS (Registry of Toxic Effects of Chemical Substances). Available online: www.sigmaaldrich.com (accessed on 28 April 2017).
- TOXNET Database. Available online: https://toxnet.nlm.nih.gov/ (accessed on 10 September 2016).
- Patnaik, P. A Comprehensive Guide to the Hazardous Properties of Chemical Substances; John Wiley & Sons: Hoboken, NJ, USA, 2007. [Google Scholar]
- Delfino, R.T.; Ribeiro, T.S.; Figueroa-Villar, J.D. Organophosphorus compounds as chemical warfare agents: A review. J. Braz. Chem. Soc. 2009, 20, 407–428. [Google Scholar] [CrossRef]
- Copplestone, J.F. The development of the WHO Recommended Classification of Pesticides by Hazard. Bull. World Health Org. 1988, 66, 545. [Google Scholar] [PubMed]
- Raushel, F.M. Chemical biology: Catalytic detoxification. Nature 2011, 469, 310–311. [Google Scholar] [CrossRef] [PubMed]
- Costa, L.G. Current issues in organophosphate toxicology. Clin. Chim. Acta 2006, 366, 1–13. [Google Scholar] [CrossRef] [PubMed]
- Grützke, M.; Krüger, S.; Kraft, V.; Vortmann, B.; Rothermel, S.; Winter, M.; Nowak, S. Investigation of the Storage Behavior of Shredded Lithium-Ion Batteries from Electric Vehicles for Recycling Purposes. ChemSusChem 2015, 8, 3433–3438. [Google Scholar] [CrossRef] [PubMed]
- Zhang, P.; Yokoyama, T.; Itabashi, O.; Suzuki, T.M.; Inoue, K. Hydrometallurgical process for recovery of metal values from spent lithium-ion secondary batteries. Hydrometallurgy 1998, 47, 259–271. [Google Scholar] [CrossRef]
- Freitas, M.; Garcia, E. Electrochemical recycling of cobalt from cathodes of spent lithium-ion batteries. J. Power Sources 2007, 171, 953–959. [Google Scholar] [CrossRef]
- Swain, B.; Jeong, J.; Lee, J.-C.; Lee, G.-H.; Sohn, J.-S. Hydrometallurgical process for recovery of cobalt from waste cathodic active material generated during manufacturing of lithium ion batteries. J. Power Sources 2007, 167, 536–544. [Google Scholar] [CrossRef]
- Lain, M.J. Recycling of lithium ion cells and batteries. J. Power Sources 2001, 97, 736–738. [Google Scholar] [CrossRef]
- Georgi-Maschler, T.; Friedrich, B.; Weyhe, R.; Heegn, H.; Rutz, M. Development of a recycling process for Li-ion batteries. J. Power Sources 2012, 207, 173–182. [Google Scholar] [CrossRef]
- Contestabile, M.; Panero, S.; Scrosati, B. A laboratory-scale lithium-ion battery recycling process. J. Power Sources 2001, 92, 65–69. [Google Scholar] [CrossRef]
- Castillo, S.; Ansart, F.; Laberty-Robert, C.; Portal, J. Advances in the recovering of spent lithium battery compounds. J. Power Sources 2002, 112, 247–254. [Google Scholar] [CrossRef]
- Bernardes, A.; Espinosa, D.C.R.; Tenório, J.S. Recycling of batteries: A review of current processes and technologies. J. Power Sources 2004, 130, 291–298. [Google Scholar] [CrossRef]
- Espinosa, D.C.R.; Bernardes, A.M.; Tenório, J.A.S. An overview on the current processes for the recycling of batteries. J. Power Sources 2004, 135, 311–319. [Google Scholar] [CrossRef]
- Xu, J.; Thomas, H.; Francis, R.W.; Lum, K.R.; Wang, J.; Liang, B. A review of processes and technologies for the recycling of lithium-ion secondary batteries. J. Power Sources 2008, 177, 512–527. [Google Scholar] [CrossRef]
- Sloop, S.E. System and Method for Removing an Electrolyte from an Energy Storage and/or Conversion Device Using a Supercritical Fluid. U.S. Patent 7198865 B2, 3 April 2007. [Google Scholar]
- Cheret, D.; Santen, S. Battery Recycling. U.S. Patent 20050235775 A1, 27 October 2005. [Google Scholar]
- Hanisch, C.; Haselrieder, W.; Kwade, A. Recycling von Lithium-Ionen-Batterien—Das Projekt LithoRec. In Recycling und Rohstoffe; Thomé-Kozmiensky, K.J., Ed.; VIVIS: Neuruppin, Germany, 2012; Volume 5, pp. 691–698. [Google Scholar]
- Bahgat, M.; Farghaly, F.; Basir, S.A.; Fouad, O. Synthesis, characterization and magnetic properties of microcrystalline lithium cobalt ferrite from spent lithium-ion batteries. J. Mater. Process. Technol. 2007, 183, 117–121. [Google Scholar] [CrossRef]
- Kathryn, C.S. Solvent Extraction and Liquid Membranes. In Solvent Extraction and Liquid Membranes; Aguilar, M., Cortina, J.L., Eds.; CRC Press: Boca Raton, FL, USA, 2008; pp. 141–200. [Google Scholar]
- Sun, L.; Qiu, K. Organic oxalate as leachant and precipitant for the recovery of valuable metals from spent lithium-ion batteries. Waste Manag. 2012, 32, 1575–1582. [Google Scholar] [CrossRef] [PubMed]
- Li, L.; Lu, J.; Ren, Y.; Zhang, X.X.; Chen, R.J.; Wu, F.; Amine, K. Ascorbic-acid-assisted recovery of cobalt and lithium from spent Li-ion batteries. J. Power Sources 2012, 218, 21–27. [Google Scholar] [CrossRef]
- Li, L.; Ge, J.; Wu, F.; Chen, R.; Chen, S.; Wu, B. Recovery of cobalt and lithium from spent lithium ion batteries using organic citric acid as leachant. J. Hazard. Mater. 2010, 176, 288–293. [Google Scholar] [CrossRef] [PubMed]
- Shin, S.M.; Kim, N.H.; Sohn, J.S.; Yang, D.H.; Kim, Y.H. Development of a metal recovery process from Li-ion battery wastes. Hydrometallurgy 2005, 79, 172–181. [Google Scholar] [CrossRef]
- Ferreira, D.A.; Prados, L.M.Z.; Majuste, D.; Mansur, M.B. Hydrometallurgical separation of aluminium, cobalt, copper and lithium from spent Li-ion batteries. J. Power Sources 2009, 187, 238–246. [Google Scholar] [CrossRef]
- Dorella, G.; Mansur, M.B. A study of the separation of cobalt from spent Li-ion battery residues. J. Power Sources 2007, 170, 210–215. [Google Scholar] [CrossRef]
- Zeng, G.; Deng, X.; Luo, S.; Luo, X.; Zou, J. A copper-catalyzed bioleaching process for enhancement of cobalt dissolution from spent lithium-ion batteries. J. Hazard. Mater. 2012, 199, 164–169. [Google Scholar] [CrossRef] [PubMed]
- Rothermel, S.; Evertz, M.; Kasnatscheew, J.; Qi, X.; Grützke, M.; Winter, M.; Nowak, S. Graphite Recycling from Spent Lithium-Ion Batteries. ChemSusChem 2016, 9, 3473–3484. [Google Scholar] [CrossRef] [PubMed]
- Krüger, S.; Hanisch, C.; Kwade, A.; Winter, M.; Nowak, S. Effect of impurities caused by a recycling process on the electrochemical performance of Li[Ni0.33Co0.33Mn0.33]O2. J. Electroanal. Chem. 2014, 726, 91–96. [Google Scholar] [CrossRef]
- Hansen, J.; Sato, M.; Kharecha, P.; Beerling, D.; Berner, R.; Masson-Delmotte, V.; Pagani, M.; Raymo, M.; Royer, D.L.; Zachos, J.C. Target atmospheric CO2: Where should humanity aim? arXiv, 2008; arXiv:0804.1126. [Google Scholar]
- Donázar, J.A.; Cortés-Avizanda, A.; Fargallo, J.A.; Margalida, A.; Moleón, M.; Morales-Reyes, Z.; Moreno-Opo, R.; Pérez-García, J.M.; Sánchez-Zapata, J.A.; Zuberogoitia, I. Roles of raptors in a changing world: From flagships to providers of key ecosystem services. Ardeola 2016, 63, 181–234. [Google Scholar] [CrossRef]
- Pan, S.; Tian, H.; Dangal, S.R.; Yang, Q.; Yang, J.; Lu, C.; Tao, B.; Ren, W.; Ouyang, Z. Responses of global terrestrial evapotranspiration to climate change and increasing atmospheric CO2 in the 21st century. Earth’s Future 2015, 3, 15–35. [Google Scholar] [CrossRef]
- Rahman, S.M.; Kirkman, G.A. Costs of certified emission reductions under the Clean Development Mechanism of the Kyoto Protocol. Energy Econ. 2015, 47, 129–141. [Google Scholar] [CrossRef]
- Xia, W.; Vagin, S.I.; Rieger, B. Regarding initial ring opening of propylene oxide in its copolymerization with CO2 catalyzed by a cobalt (III) porphyrin complex. Chem. Eur. J. 2014, 20, 15499–15504. [Google Scholar] [CrossRef] [PubMed]
- Altenbuchner, P.T.; Kissling, S.; Rieger, B. Carbon dioxide as C-1 block for the synthesis of polycarbonates. In Transformation and Utilization of Carbon Dioxide; Springer: Berlin, Germany, 2014; pp. 163–200. [Google Scholar]
- Liu, Q.; Wu, L.; Jackstell, R.; Beller, M. Using carbon dioxide as a building block in organic synthesis. Nat. Commun. 2015, 6, 5933. [Google Scholar] [CrossRef] [PubMed]
- Fang, S.; Fujimoto, K. Direct synthesis of dimethyl carbonate from carbon dioxide and methanol catalyzed by base. Appl. Catal. A 1996, 142, L1–L3. [Google Scholar] [CrossRef]
- Isaacs, N.S.; O'Sullivan, B.; Verhaelen, C. High pressure routes to dimethyl carbonate from supercritical carbon dioxide. Tetrahedron 1999, 55, 11949–11956. [Google Scholar] [CrossRef]
- Sakakura, T.; Choi, J.-C.; Saito, Y.; Sako, T. Synthesis of dimethyl carbonate from carbon dioxide: Catalysis and mechanism. Polyhedron 2000, 19, 573–576. [Google Scholar] [CrossRef]
- Camy, S.; Pic, J.-S.; Badens, E.; Condoret, J.-S. Fluid phase equilibria of the reacting mixture in the dimethyl carbonate synthesis from supercritical CO2. J. Supercrit. Fluids 2003, 25, 19–32. [Google Scholar] [CrossRef]
- Besenhard, J.; Wagner, M.; Winter, M.; Jannakoudakis, A.; Jannakoudakis, P.; Theodoridou, E. Inorganic film-forming electrolyte additives improving the cycling behaviour of metallic lithium electrodes and the self-discharge of carbon—Lithium electrodes. J. Power Sources 1993, 44, 413–420. [Google Scholar] [CrossRef]
- Buqa, H.; Blyth, R.; Golob, P.; Evers, B.; Schneider, I.; Alvarez, M.S.; Hofer, F.; Netzer, F.; Ramsey, M.; Winter, M. Negative electrodes in rechargeable lithium ion batteries—Influence of graphite surface modification on the formation of the solid electrolyte interphase. Ionics 2000, 6, 172–179. [Google Scholar] [CrossRef]
- Buqa, H.; Golob, P.; Winter, M.; Besenhard, J. Modified carbons for improved anodes in lithium ion cells. J. Power Sources 2001, 97, 122–125. [Google Scholar] [CrossRef]
- Winter, M.; Imhof, R.; Joho, F.; Novak, P. FTIR and DEMS investigations on the electroreduction of chloroethylene carbonate-based electrolyte solutions for lithium-ion cells. J. Power Sources 1999, 81, 818–823. [Google Scholar] [CrossRef]
- Winter, M.; Novák, P. Chloroethylene Carbonate, a Solvent for Lithium-Ion Cells, Evolving CO2 during Reduction. J. Electrochem. Soc. 1998, 145, L27–L30. [Google Scholar] [CrossRef]
- Lide, D.; Haynes, W. CRC Handbook of Chemistry and Physics: A Ready-Reference Book of Chemical and Physical Data/editor-in-chief, David R. Lide; associate editor, WM" Mickey" Haunes, 90th ed.; CRC: Boca Raton, FL, USA, 2009. [Google Scholar]
- Atkins, P.W.; De Paula, J.; Ralf, L.; Appelhagen, A. Kurzlehrbuch Physikalische Chemie; Wiley-VCH: Weinheim, Germany, 2008; Volume 3. [Google Scholar]
- Henry, M.C.; Yonker, C.R. Supercritical fluid chromatography, pressurized liquid extraction, and supercritical fluid extraction. Anal. Chem. 2006, 78, 3909–3916. [Google Scholar] [CrossRef] [PubMed]
- Lack, E.; Seidlitz, H. Commercial scale decaffeination of coffee and tea using supercritical CO2. In Extraction of Natural Products Using Near-Critical Solvents; Springer: Berlin, Germany, 1993; pp. 101–139. [Google Scholar]
- Beckman, E.J. Peer Reviewed: Using CO2 to Produce Chemical Producs Sustainably; ACS Publications: Washington, DC, USA, 2002. [Google Scholar]
- Sinha, N.K.; Guyer, D.E.; Gage, D.A.; Lira, C.T. Supercritical carbon dioxide extraction of onion flavors and their analysis by gas chromatography-mass spectrometry. J. Agric. Food Chem. 1992, 40, 842–845. [Google Scholar] [CrossRef]
- Friedrich, J.; List, G.; Heakin, A. Petroleum-free extraction of oil from soybeans with supercritical CO2. J. Am. Oil Chem. Soc. 1982, 59, 288–292. [Google Scholar] [CrossRef]
- Reverchon, E.; Senatore, F. Supercritical carbon dioxide extraction of chamomile essential oil and its analysis by gas chromatography-mass spectrometry. J. Agric. Food Chem. 1994, 42, 154–158. [Google Scholar] [CrossRef]
- Moisan, S.; Martinez, V.; Weisbecker, P.; Cansell, F.; Mecking, S.; Aymonier, C. General Approach for the Synthesis of Organic—Inorganic Hybrid Nanoparticles Mediated by Supercritical CO2. J. Am. Chem. Soc. 2007, 129, 10602–10606. [Google Scholar] [CrossRef] [PubMed]
- Guironnet, D.; Gottker-Schnetmann, I.; Mecking, S. Catalytic polymerization in dense CO2 to controlled microstructure polyethylenes. Macromolecules 2009, 42, 8157–8164. [Google Scholar] [CrossRef]
- Le, D.; Passerini, S.; Guo, J.; Ressler, J.; Owens, B.; Smyrl, W. High surface area V2O5 aerogel intercalation electrodes. J. Electrochem. Soc. 1996, 143, 2099–2104. [Google Scholar] [CrossRef]
- Van Bommel, M.; De Haan, A. Drying of silica aerogel with supercritical carbon dioxide. J. Non-Cryst. Solids 1995, 186, 78–82. [Google Scholar] [CrossRef]
- Pierre, A.C.; Pajonk, G.M. Chemistry of aerogels and their applications. Chem. Rev. 2002, 102, 4243–4266. [Google Scholar] [CrossRef] [PubMed]
- Marini, L. Geological Sequestration of Carbon Dioxide: Thermodynamics, Kinetics, and Reaction Path Modeling; Elsevier: Amsterdam, The Netherlands, 2006; Volume 11. [Google Scholar]
- Span, R.; Wagner, W. A new equation of state for carbon dioxide covering the fluid region from the triple-point temperature to 1100 K at pressures up to 800 MPa. J. Phys. Chem. Ref. Data 1996, 25, 1509–1596. [Google Scholar] [CrossRef]
- Roth, M. Helium head pressure carbon dioxide in supercritical fluid extraction and chromatography: Thermodynamic analysis of the effects of helium. Anal. Chem. 1998, 70, 2104–2109. [Google Scholar] [CrossRef]
- Chiu, K.-H.; Yak, H.-K.; Wai, C.M.; Lang, Q. Dry ice-originated supercritical and liquid carbon dioxide extraction of organic pollutants from environmental samples. Talanta 2005, 65, 149–154. [Google Scholar] [CrossRef] [PubMed]
- Liu, Y.; Mu, D.; Zheng, R.; Dai, C. Supercritical CO2 extraction of organic carbonate-based electrolytes of lithium-ion batteries. RSC Adv. 2014, 4, 54525–54531. [Google Scholar] [CrossRef]
- Grützke, M.; Mönnighoff, X.; Horsthemke, F.; Kraft, V.; Winter, M.; Nowak, S. Extraction of lithium-ion battery electrolytes with liquid and supercritical carbon dioxide and additional solvents. RSC Adv. 2015, 5, 43209–43217. [Google Scholar] [CrossRef]
- Liu, Y.; Mu, D.; Dai, Y.; Ma, Q.; Zheng, R.; Dai, C. Analysis on Extraction Behaviour of Lithium-ion Battery Electrolyte Solvents in Supercritical CO2 by Gas Chromatography. Int. J. Electrochem. Sci. 2016, 11, 7594–7604. [Google Scholar] [CrossRef]
- Friesen, A.; Mönnighoff, X.; Börner, M.; Haetge, J.; Schappacher, F.M.; Winter, M. Influence of temperature on the aging behavior of 18650-type lithium ion cells: A comprehensive approach combining electrochemical characterization and post-mortem analysis. J. Power Sources 2017, 342, 88–97. [Google Scholar] [CrossRef]
- Kasnatscheew, J.; Schmitz, R.W.; Wagner, R.; Winter, M.; Schmitz, R. Fluoroethylene carbonate as an additive for γ-butyrolactone based electrolytes. J. Electrochem. Soc. 2013, 160, A1369–A1374. [Google Scholar] [CrossRef]
- Kim, G.-Y.; Petibon, R.; Dahn, J. Effects of succinonitrile (SN) as an electrolyte additive on the impedance of LiCoO2/graphite pouch cells during cycling. J. Electrochem. Soc. 2014, 161, A506–A512. [Google Scholar] [CrossRef]
- Leggesse, E.G.; Jiang, J.-C. Theoretical study of the reductive decomposition of 1,3-propane sultone: SEI forming additive in lithium-ion batteries. RSC Adv. 2012, 2, 5439–5446. [Google Scholar] [CrossRef]













| Compound | ivn-mus (LD50) | skn-mus (LD50) | ihl-mus (LC50) |
|---|---|---|---|
| Sarin | 0.109 mg/kg | 1.08 mg/kg | 5 mg/m3/30 min |
| DMFP | 0.45 mg/kg | 36 mg/kg | 290 mg/m3/10 min |
| DEFP | n/a | 35 mg/kg | 100 mg/m3/10 min |
| Sample (State of Health (SOH) | Coulombic Efficiency/% | Discharge Capacity 50th Cycle/mAh·g−1 | |||
|---|---|---|---|---|---|
| 1st Cycle | 2nd Cycle | 3rd Cycle | 50th Cycle | ||
| thermal (100%) | 56.1 ± 1.8 | 91.8 ± 0.4 | 94.7 ± 0.3 | 99.8 ± 0.1 | 332.7 ± 0.3 |
| thermal (70%) | 85.4 ± 0.5 | 97.8 ± 0.3 | 98.5 ± 0.3 | 99.9 ± 0.1 | 346.8 ± 7.8 |
| subCO2 (100%) | 81.6 ± 3.1 | 96.3 ± 1.2 | 97.6 ± 0.8 | 99.9 ± 0.1 | 372.7 ± 2.5 |
| subCO2 (70%) | 82.9 ± 0.9 | 97.6 ± 0.1 | 98.5 ± 0.1 | 99.9 ± 0.1 | 379.9 ± 4.4 |
| scCO2 (100%) | 78.7 ± 1.2 | 96.2 ± 0.4 | 97.4 ± 0.4 | 99.9 ± 0.1 | 348.8 ± 1.9 |
| scCO2 (70%) | 82.0 ± 1.4 | 97.2 ± 0.3 | 98.2 ± 0.2 | 99.9 ± 0.1 | 375.0 ± 1.0 |
| benchmark | 84.8 ± 0.8 | 97.3 ± 0.2 | 98.2 ± 0.2 | 99.9 ± 0.1 | 357.6 ± 1.4 |
© 2017 by the authors. Licensee MDPI, Basel, Switzerland. This article is an open access article distributed under the terms and conditions of the Creative Commons Attribution (CC BY) license ( http://creativecommons.org/licenses/by/4.0/).
Share and Cite
Nowak, S.; Winter, M. The Role of Sub- and Supercritical CO2 as “Processing Solvent” for the Recycling and Sample Preparation of Lithium Ion Battery Electrolytes. Molecules 2017, 22, 403. https://doi.org/10.3390/molecules22030403
Nowak S, Winter M. The Role of Sub- and Supercritical CO2 as “Processing Solvent” for the Recycling and Sample Preparation of Lithium Ion Battery Electrolytes. Molecules. 2017; 22(3):403. https://doi.org/10.3390/molecules22030403
Chicago/Turabian StyleNowak, Sascha, and Martin Winter. 2017. "The Role of Sub- and Supercritical CO2 as “Processing Solvent” for the Recycling and Sample Preparation of Lithium Ion Battery Electrolytes" Molecules 22, no. 3: 403. https://doi.org/10.3390/molecules22030403
APA StyleNowak, S., & Winter, M. (2017). The Role of Sub- and Supercritical CO2 as “Processing Solvent” for the Recycling and Sample Preparation of Lithium Ion Battery Electrolytes. Molecules, 22(3), 403. https://doi.org/10.3390/molecules22030403

