TBD- or PS-TBD-Catalyzed One-Pot Synthesis of Cyanohydrin Carbonates and Cyanohydrin Acetates from Carbonyl Compounds
Abstract
:1. Introduction
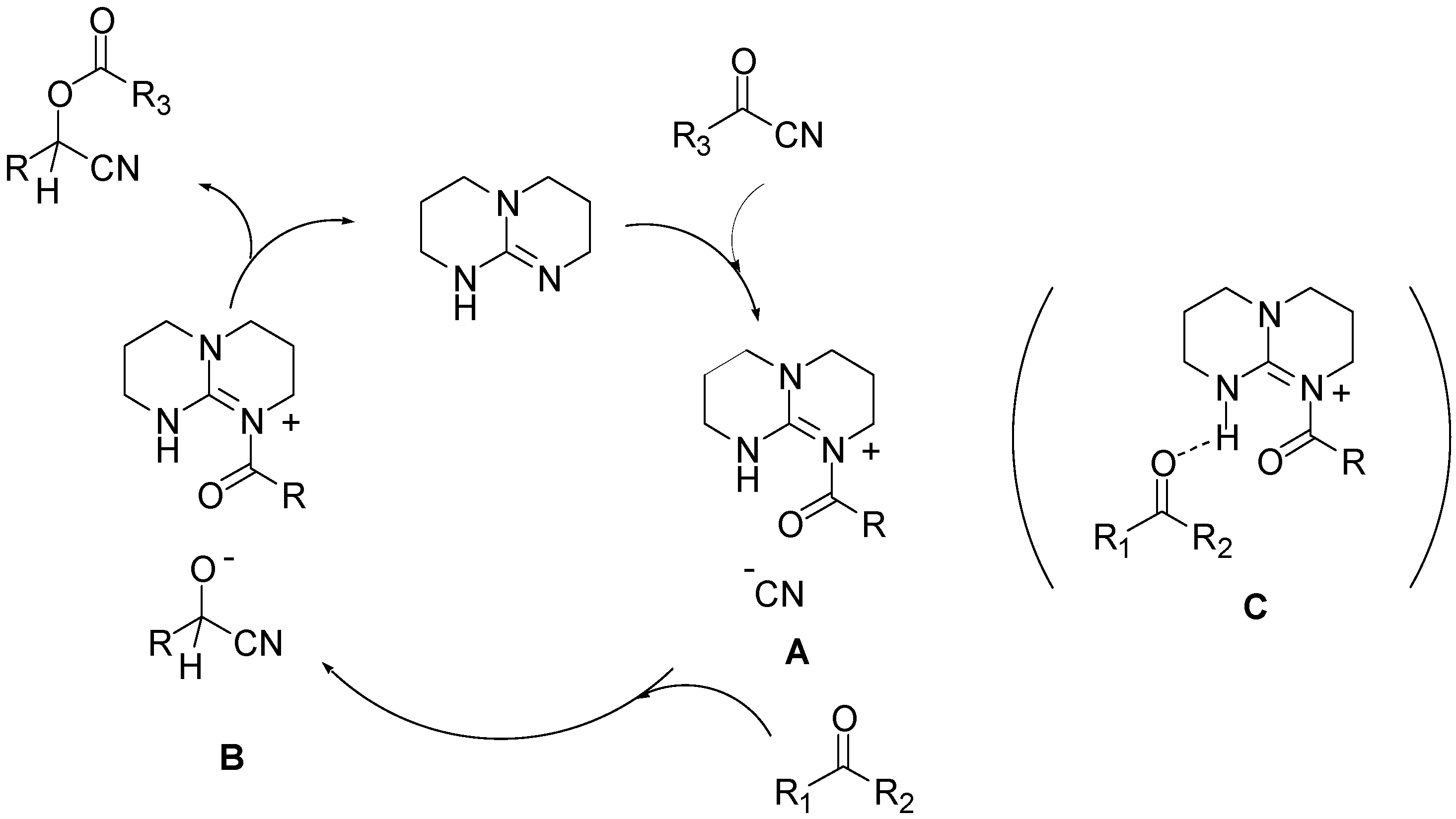
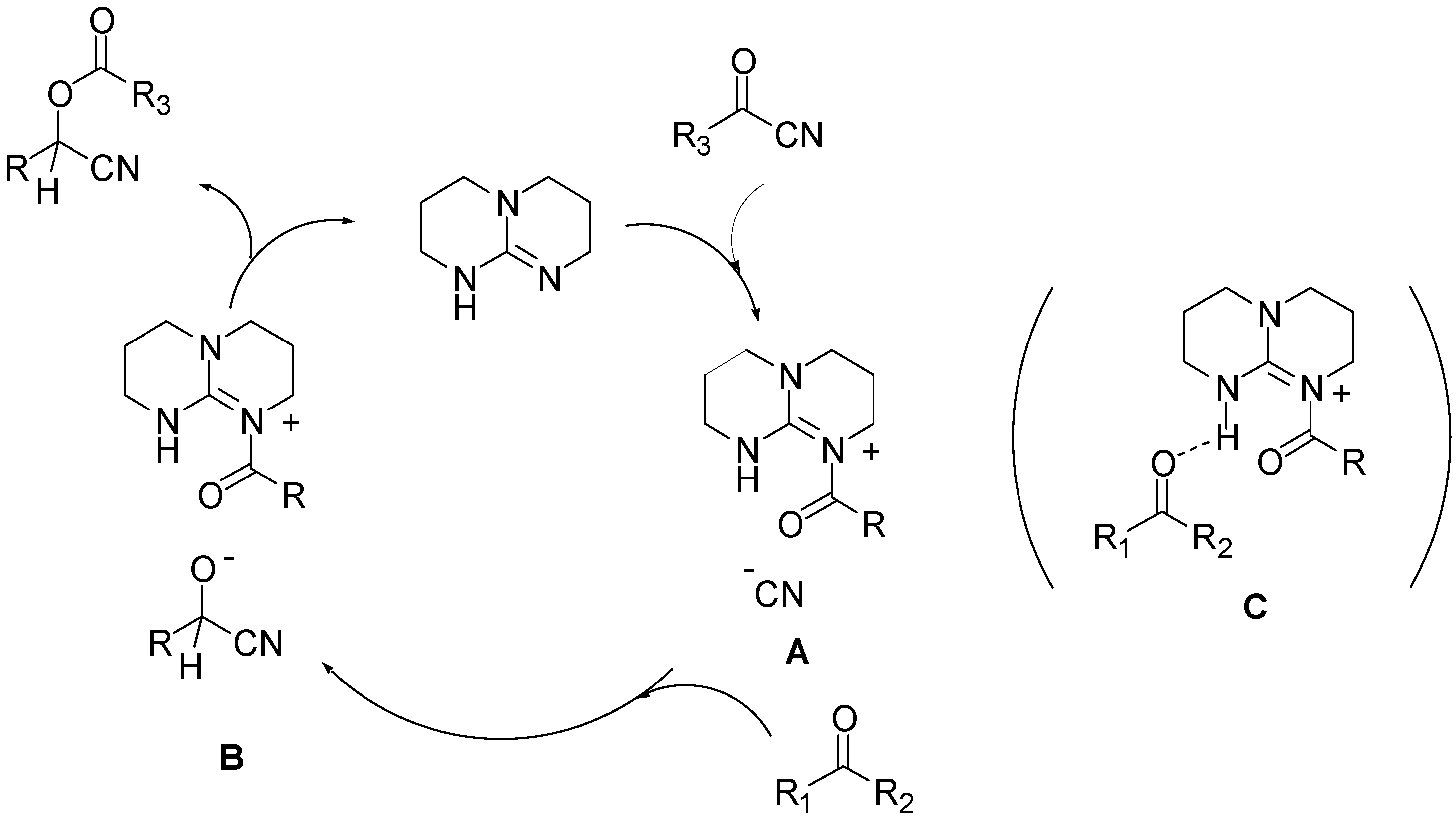
2. Results and Discussion
3. Experimental Section
3.1. General
3.2. Method
3.2.1. General Procedure for TBD-Catalyzed Cyanation Reactions of Carbonyl Compounds with Methyl Cyanoformate
3.2.2. General Procedure for TBD-Catalyzed Cyanation Reactions of Aldehydes with Acetyl Cyanide
3.2.3. General Procedure for PS-TBD Catalyzed Cyanation Reactions of Carbonyl Compounds with Methyl Cyanoformate
3.3. General Characterization of the Products
4. Conclusions
Supplementary Materials
Author Contributions
Conflicts of Interest
References
- North, M. Catalytic, asymmetric cyanohydrin formation. Synlett 1993, 1993, 807–820. [Google Scholar] [CrossRef]
- Gregory, J.H. Cyanohydrins in nature and the laboratory: Biology, preparations, and synthetic applications. Chem. Rev. 1999, 99, 3649–3682. [Google Scholar] [CrossRef] [PubMed]
- North, M. Synthesis and applications of non-racemic cyanohydrins. Tetrahedron Asymmetry 2003, 14, 147–176. [Google Scholar] [CrossRef]
- Brunel, J.M.; Holmes, I.P. Chemically catalyzed asymmetric cyanohydrin syntheses. Angew. Chem. Int. Ed. 2004, 43, 2752–2778. [Google Scholar] [CrossRef] [PubMed]
- Chen, F.X.; Feng, X. Synthesis of racemic tertiary cyanohydrins. Synett 2005, 2005, 892–899. [Google Scholar] [CrossRef]
- Khan, N.H.; Kureshy, R.I.; Abdi, S.H.R.; Agrawal, S.; Jasra, R. Metal catalyzed asymmetric cyanation reactions. Coord. Chem. Rev. 2008, 252, 593–623. [Google Scholar] [CrossRef]
- Evans, D.A.; Truesdale, L.K. Carbonyl insertion reactions of silicon pseudohalides: Catalysis. Tetrahedron Lett. 1973, 14, 4929–4932. [Google Scholar] [CrossRef]
- Evans, D.A.; Carroll, G.L.; Truesdale, L.K. Synthetic applications of trimethylsilyl cyanide. An efficient synthesis of aminomethyl alcohols. J. Org. Chem. 1974, 39, 914–917. [Google Scholar] [CrossRef]
- Scholl, M.; Lim, C.K.; Fu, G.C. Convenient and efficient conversion of aldehydes to acylated cyanohydrins using tributyltin cyanide as a catalyst. J. Org. Chem. 1995, 60, 6229–6231. [Google Scholar] [CrossRef]
- Okimoto, M.; Chiba, T. A Convenient and Improved Method for the Preparation of Cyanohydrin Esters from Acyl Cyanides and Aldehydes. Synthesis 1996, 1996, 1188–1190. [Google Scholar] [CrossRef]
- Baeza, A.; Najera, C.; Retamosa, M.G.; Sansano, J.M. Solvent-free synthesis of cyanohydrin derivatives catalysed by triethylamine. Synthesis 2005, 2005, 2787–2797. [Google Scholar]
- Poirier, D.; Berthiaume, D.; Boivi, R.P. Unexpected formation of O-methoxycarbonyl cyanohydrin showing potential as a protective group of ketones. Synlett 1999, 1999e, 1423–1425. [Google Scholar] [CrossRef]
- Deardorff, D.R.; Taniguchi, C.M.; Tafti, S.A.; Kim, H.Y.; Choi, S.Y.; Downey, K.J.; Nguyen, T.V. A two-Step procedure for the conversion of α,β-Unsaturated aldehydes into γ-Azido-α,β-unsaturated nitriles. J. Org. Chem. 2001, 66, 7191–7194. [Google Scholar] [CrossRef] [PubMed]
- Hoffmann, H.M.R.; Ismail, Z.M.; Hollweg, R.; Zein, A.R. DABCO-mediated synthesis and biological activity of cyanohydrin esters. Bull. Chem. Soc. Jpn. 1990, 63, 1807–1810. [Google Scholar] [CrossRef]
- Iwanami, K.; Hinakubo, Y.; Oriyama, T. Catalyst-free DMSO-promoted synthesis of cyanohydrin carbonates from aldehydes. Tetrahedron Lett. 2005, 46, 5881–5883. [Google Scholar] [CrossRef]
- Matsukawa, S.; Sekine, I.; Iitsuka, A. Tris(2,4,6-trimethoxyphenyl) phosphine (TTMPP): Efficient Catalysts for the Cyanosilylation and Cyanocarbonation of Aldehydes and Ketones. Molecules 2009, 14, 3353–3359. [Google Scholar] [CrossRef] [PubMed]
- Aoki, S.; Kotani, S.; Sugiura, M.; Nakajima, M. DMAP-catalyzed cyanation of aldehydes and ketones with ethyl cyanoformate. Tetrahedron Lett. 2010, 51, 3547–3549. [Google Scholar] [CrossRef]
- Zhang, J.; Du, G.; Xu, Y.; He, L.; Dai, B. N-heterocyclic carbene catalyzed cyanation reaction of carbonyl compounds with ethyl cyanoformate and acetyl cyanide. Tetrahedron Lett. 2011, 52, 7153–7156. [Google Scholar] [CrossRef]
- Tian, S.K.; Deng, L. A Highly enantioselective chiral Lewis base-catalyzed asymmetric cyanation of ketones. J. Am. Chem. Soc. 2001, 123, 6195–6196. [Google Scholar] [CrossRef] [PubMed]
- Tian, S.K.; Deng, L. Enantioselective cyanocarbonation of ketones with chiral base. Tetrahedron 2006, 62, 11320–11330. [Google Scholar] [CrossRef]
- Chinchilla, R.; Nájera, C.; Ortega, F.J. Enantioselective cyanoformylation of aldehydes using a recyclable dimeric cinchonidine ammonium salt as an organocatalyst. Tetrahedron Asymmetry 2008, 19, 265–268. [Google Scholar] [CrossRef]
- Li, F.; Widyan, K.; Wingstrand, E.; Moberg, C. Chiral Lewis base catalyzed enantioselective acetylcyanation of α-oxo esters. Eur. J. Org. Chem. 2009, 2009, 3917–3922. [Google Scholar] [CrossRef]
- Wang, J.; Wang, W.; Li, W.; Hu, X.; Shen, K.; Tan, C.; Liu, X.; Feng, X. Asymmetric Cyanation of Aldehydes, Ketones, Aldimines, and Ketimines Catalyzed by a Versatile Catalyst Generated from Cinchona Alkaloid, Achiral Substituted 2,2′-Biphenol and Tetraisopropyl Titanate. Chem. Eur. J. 2009, 15, 11642–11659. [Google Scholar] [CrossRef] [PubMed]
- Ogura, Y.; Akakura, M.; Sakakura, A.; Ishihara, K. Enantioselective cyanoethoxycarbonylation of Isatins promoted by a Lewis base-Brønsted acid cooperative catalyst. Angew. Chem. Int. Ed. 2013, 52, 8299–8303. [Google Scholar] [CrossRef] [PubMed]
- Ishihara, K.; Ogura, Y. Enantioselective Cyano-Alkoxycarbonylation of α-Oxoesters Promoted by Brønsted Acid-Lewis Base Cooperative Catalysts. Org. Lett. 2015, 17, 6070–6073. [Google Scholar] [CrossRef] [PubMed]
- Tian, J.; Yamagiwa, N.; Matsunaga, S.; Shibasaki, M. An asymmetric cyanation reaction and sequential asymmetric cyanation-nitroaldol reaction using a [YLi3{tris(binaphthoxide)}] single catalyst component: catalyst tuning with achiral additives. Angew. Chem. Int. Ed. 2002, 41, 3636–3638. [Google Scholar] [CrossRef]
- Tian, J.; Yamagiwa, N.; Matsunaga, S.; Shibasaki, M. Efficient two-step conversion of α,β-unsaturated aldehydes to optically active γ-oxy-α,β-unsaturated nitriles and its application to the total synthesis of (+)-Patulolide C. Org. Lett. 2003, 5, 3021–3024. [Google Scholar] [CrossRef] [PubMed]
- Yamagiwa, N.; Tian, J.; Matsunaga, S.; Shibasaki, M. Catalytic asymmetric cyano-ethoxycarbonylation reaction of aldehydes using a YLi3Tris (binaphthoxide) (YLB) complex: Mechanism and roles of achiral additives. J. Am. Chem. Soc. 2005, 127, 3413–3422. [Google Scholar] [CrossRef] [PubMed]
- Casas, J.; Baeza, A.; Sansano, J.M.; Nájera, C.; Saá, J.M. Enantioselective cyanoformylation of aldehydes mediated by BINOLAM-AlCl as a monometallic bifunctional catalys. Tetrahedron Asymmetry 2003, 14, 197–200. [Google Scholar] [CrossRef]
- Baeza, A.; Casas, J.; Nájera, C.; Sansano, J.M.; Saá, J.M. Enantioselective synthesis of O-methoxycarbonyl cyanohydrins: Chiral building blocks generated by bifunctional catalysis with BINOLAM-AlCl. Eur. J. Org. Chem. 2006, 2006e, 1949–1958. [Google Scholar] [CrossRef]
- Belokon’, Y.N.; Blacker, A.J.; Clutterbuck, L.A.; North, M. Catalytic, asymmetric synthesis of cyanohydrin ethyl carbonates. Org. Lett. 2003, 5, 4505–4507. [Google Scholar] [CrossRef] [PubMed]
- Lundgren, S.; Wingstrand, E.; Penhoat, M.; Moberg, C. Dual Lewis Acid-Lewis Base activation in enantioselective cyanation of aldehydes using acetyl cyanide and cyanoformate as cyanide sources. J. Am. Chem. Soc. 2005, 127, 11592–11593. [Google Scholar] [CrossRef] [PubMed]
- Li, Q.; Chang, L.; Liu, X.; Feng, X. Catalytic asymmetric cyano-ethoxycarbonylation reaction of aldehydes using a novel C2-symmetric chiral N, N′-dioxide Titanium complex. Synlett 2006, 1675–1678. [Google Scholar] [CrossRef]
- Gou, S.; Chen, X.; Xiong, Y.; Feng, X. Highly Enantioselective cyanation of aldehydes catalyzed by a multicomponent Titanium complex. J. Org. Chem. 2006, 71, 5732–5736. [Google Scholar] [CrossRef] [PubMed]
- Chen, S.K.; Peng, D.; Zhou, H.; Wang, L.W.; Chen, F.X.; Feng, X.M. Highly enantioselective cyanoformylation of aldehydes catalyzed by a mononuclear Salen-Ti(OiPr)4 complex produced in situ. Eur. J. Org. Chem. 2007, 2007, 639–644. [Google Scholar] [CrossRef]
- Gou, S.; Liu, X.; Zhou, X.; Feng, X. Asymmetric cyano-ethoxycarbonylation of aldehydes catalyzed by self-assembled titanium catalyst. Tetrahedron 2007, 63, 7935–7941. [Google Scholar] [CrossRef]
- Lundgren, S.; Wingstrand, E.; Moberg, C. Lewis Acid-Lewis Base-Catalysed Enantioselective Addition of a-Ketonitriles to Aldehydes. Adv. Synth. Catal. 2007, 349, 364–372. [Google Scholar] [CrossRef]
- Belokon’, Y.N.; Clegg, W.; Harrington, R.W.; Ishibashi, E.; Nomura, H.; North, M. Enantioselective and diastereoselective syntheses of cyanohydrin carbonates. Tetrahedron 2007, 63, 9724–9740. [Google Scholar] [CrossRef]
- Wingstrand, E.; Laurell, A.; Fransson, L.; Hult, K.; Moberg, C. Minor Enantiomer Recycling: Metal Catalyst, Organocatalyst and Biocatalyst Working in Concert. Chem. Eur. J. 2009, 14, 12107–12113. [Google Scholar] [CrossRef] [PubMed]
- Ji, N.; Yao, L.; He, W.; Li, Y. Bifunctional Schiff base/Ti (IV) catalysts for enantioselective cyanoformylation of aldehydes with ethyl cyanoformate. Appl. Organomet. Chem. 2013, 27, 209–213. [Google Scholar] [CrossRef]
- Khan, N.U.H.; Agrawal, S.; Kureshy, R.I.; Abdi, S.H.R.; Pathak, K.; Bajaj, H.C. Enantioselective cyanoformylation of aldehydes catalyzed with solid base mediated chiral V (V) salen complexes. Chirality 2010, 22, 153–158. [Google Scholar] [CrossRef] [PubMed]
- Schroeder, G.; Łeska, B.; Jarczewski, A.; Nowak-Wydra, B.; Brzezinski, B. FTIR, NMR and kinetic studies of proton transfer reactions from nitro-substituted diarylmethanes to N-bases with guanidine character. J. Mol. Struct. 1995, 344, 77–88. [Google Scholar] [CrossRef]
- Coles, M.P. Bicyclic-guanidines, -guanidinates and -guanidinium salts: Wide ranging applications from a simple family of molecules. Chem. Commun. 2009, 2009, 3659–3676. [Google Scholar] [CrossRef] [PubMed]
- Simoni, D.; Rondanin, R.; Morini, M.; Baruchello, R.; Invidata, F.P. 1,5,7-Triazabicyclo [4.4.0] dec-1-ene (TBD), 7-methyl-TBD (MTBD) and the polymer-supported TBD (P-TBD): Three efficient catalysts for the nitroaldol (Henry) reaction and for the addition of dialkyl phosphites to unsaturated systems. Tetrahedron Lett. 2000, 41, 1607–1610. [Google Scholar] [CrossRef]
- Simoni, D.; Rossi, M.; Rondanin, R.; Mazzali, A.; Baruchello, R.; Malagutti, C.; Roberti, M.; Invidata, F.P. Strong bicyclic guanidine base-promoted Wittig and Horner-Wadsworth-Emmons reactions. Org. Lett. 2000, 2, 3765–3768. [Google Scholar] [CrossRef] [PubMed]
- Ye, W.; Xu, J.; Tan, C.T.; Tan, C.H. 1,5,7-Triazabicyclo [4.4.0]dec-5-ene (TBD) catalyzed Michael reactions. Tetrahedron Lett. 2005, 46, 6875–6878. [Google Scholar] [CrossRef]
- Deredas, D.; Huben, K.; Maniukiewicz, W.; Krawczyk, H. Highly syn-diastereoselective Michael addition of enolizable ketones to 3-(diethoxyphosphoryl)coumarin. Tetrahedron 2014, 70, 8925–8929. [Google Scholar] [CrossRef]
- Ghobril, C.; Sabot, C.; Mioskowski, C.; Baati, R. TBD-Catalyzed Direct 5- and 6-enolexo Aldolization of Ketoaldehydes. Eur. J. Org. Chem. 2008, 2008, 4104–4108. [Google Scholar] [CrossRef]
- Lanari, D.; Rosati, O.; Curini, M. A solvent-free protocol for the synthesis of 3-formyl-2H-chromenes via domino oxa Michael/aldol reaction. Tetrahedron Lett. 2014, 55, 1752–1755. [Google Scholar] [CrossRef]
- Pratt, R.C.; Lohmeijer, B.G.G.; Long, D.A.; Waymouth, R.A.; Hedric, J.A. Triazabicyclodecene: A simple bifunctional organocatalyst for acyl transfer and ring-opening polymerization of cyclic esters. J. Am. Chem. Soc. 2006, 129, 4556–4557. [Google Scholar] [CrossRef] [PubMed]
- Simón, L.; Goodman, J.M. The Mechanism of TBD-catalyzed ring-opening polymerization of cyclic esters. J. Org. Chem. 2007, 72, 9656–9662. [Google Scholar] [CrossRef] [PubMed]
- Sabot, C.; Kumar, K.A.; Meunier, S.; Mioskowski, C. A convenient aminolysis of esters catalyzed by 1,5,7-triazabicyclo[4.4.0]dec-5-ene (TBD) under solvent-free conditions. Tetrahedron Lett. 2007, 48, 3863–3866. [Google Scholar] [CrossRef]
- Sabot, C.; Kumar, K.A.; Antheaume, C.; Mioskowski, C. Triazabicyclodecene: An Effective Isotope Exchange Catalyst in CDCl3. J. Org. Chem. 2007, 72, 5001–5004. [Google Scholar] [CrossRef] [PubMed]
- Jiang, Z.; Zhang, Y.; Ye, W.; Tan, C.H. P-C Bond formation via direct and three–component conjugate addition catalyzed by 1,5,7-triazabicyclo [4.4.0]dec-5-ene (TBD). Tetrahedron Lett. 2007, 48, 51–54. [Google Scholar] [CrossRef]
- Mahe, O.; Frath, D.; Dez, I.; Marsais, F.; Levacher, V.; Briere, J.F. TBD-organocatalysed synthesis of pyrazolines. Org. Biomol. Chem. 2009, 7, 3648–3651. [Google Scholar] [CrossRef] [PubMed]
- Saliu, F.; Rindone, B. Organocatalyzed synthesis of ureas from amines and ethylene carbonate. Tetrahedron Lett. 2010, 51, 6301–6304. [Google Scholar] [CrossRef]
- Poladura, B.; Martínez-Castañeda, Á.; Rodríguez-Solla, H.; Concellón, C.; del Amo, V. TBD-catalyzed α-sulfenylation of cyclic ketones: Desymmetrization of 4-substituted cyclohexanone. Tetrahedron 2012, 68, 6438–6446. [Google Scholar] [CrossRef]
- Kiesewetter, M.K.; Scholten, M.; Kirn, N.; Weber, R.L.; Hedrick, J.L.; Waymouth, R.M. Cyclic guanidine organic catalysts: What is magic about triazabicyclodecene? J. Org. Chem. 2009, 74, 9490–9496. [Google Scholar] [CrossRef] [PubMed]
- Hammar, P.; Ghobril, C.; Antheaume, C.; Wagner, A.; Baati, R.; Himo, F. Theoretical Mechanistic Study of the TBD-Catalyzed Intramolecular aldol reaction of ketoaldehydes. J. Org. Chem. 2010, 75, 4728–4736. [Google Scholar] [CrossRef] [PubMed]
- Fu, X.; Tan, C.H. Mechanistic considerations of guanidine-catalyzed reactions. Chem. Commun. 2011, 47, 8210–8222. [Google Scholar] [CrossRef] [PubMed]
- Matsukawa, S.; Harada, T.; Takahashi, H. TBD-catalyzed ring opening of aziridines with silylated nucleophiles. Synth. Commun. 2013, 43, 406–414. [Google Scholar] [CrossRef]
- Matsukawa, S.; Takahashi, H.; Takahashi, S. TBD-catalyzed trifluoromethylation of carbonyl compounds with (trifluoromethyl)trimethylsilane. Synth Commun. 2013, 43, 1523–1529. [Google Scholar] [CrossRef]
- Matsukawa, S.; Mouri, Y. A mild and regioselective ring-opening of aziridines with acid anhydride using TBD or PS-TBD as a catalyst. Molecules 2015, 20, 18482–18495. [Google Scholar] [CrossRef] [PubMed]
- Tomoi, M.; Kato, Y.; Kakiuchi, H. Polymer-supported bases, 2. Polystyrene-supported 1,8-diazabicyclo[5.4.0]undec-7-ene as reagent in organic syntheses. Makromol. Chem. 1984, 185, 2117–2124. [Google Scholar] [CrossRef]
- Iijima, K.; Fukuda, W.; Tomoi, M. Polymer-supported bases. XI. Esterification and alkylation in the presence of polymer-supported bicyclic amidine or guanidine moieties. J. Macromol. Sci. A Pure Appl. Chem. 1992, 29, 249–261. [Google Scholar] [CrossRef]
- Xu, W.; Mohan, R.; Morrissey, M.M. Polymer supported bases in combinatorial chemistry: Synthesis of aryl ethers from phenols and alkyl halides and aryl halides. Tetrahedron. Lett. 1997, 38, 7337–7340. [Google Scholar] [CrossRef]
- Boisnard, S.; Chastanet, J.; Zhu, J. A high throughput synthesis of aryl triflate and aryl nonaflate promoted by a polymer supported base (PTBD). Tetrahedron Lett. 1999, 40, 7469–7472. [Google Scholar] [CrossRef]
- McNamara, C.A.; Dixon, M.J.; Bradley, M. Recoverable catalysts and reagents using recyclable polystyrene-based supports. Chem. Rev. 2002, 102, 3275–3300. [Google Scholar] [CrossRef] [PubMed]
- Benaglia, M.; Puglisi, A.; Cozzi, F. Polymer-supported organic catalysts. Chem. Rev. 2003, 103, 3401–3429. [Google Scholar] [CrossRef] [PubMed]
- Cozzi, F. Immobilization of organic catalysts: When, why, and how. Adv. Synth. Catal. 2006, 348, 1367–1390. [Google Scholar] [CrossRef]
- Ikegami, S.; Hamamoto, H. Novel recycling system for organic synthesis via designer polymer-gel catalysts. Chem. Rev. 2009, 109, 583–593. [Google Scholar] [CrossRef] [PubMed]
- Lu, J.; Toy, P.H. Organic polymer supports for synthesis and for reagent and catalyst immobilization. Chem. Rev. 2009, 109, 815–838. [Google Scholar] [CrossRef] [PubMed]
- Kristensen, T.E.; Hansen, T. Polymer-supported chiral organocatalysts: Synthetic strategies for the road towards affordable polymeric immobilization. Eur. J. Org. Chem. 2010, 17, 3179–3204. [Google Scholar] [CrossRef]
- Fringuelli, F.; Pizzo, F.; Vittoriani, C.; Vaccaro, L. Polystyryl-supported TBD as an efficient and reusable catalyst under solvent-free conditions. Chem. Commun. 2004, 2004, 2756–2757. [Google Scholar] [CrossRef] [PubMed]
- Fringuelli, F.; Pizzo, F.; Vittoriani, C.; Vaccaro, L. Polystyrene-supported 1,5,7-triazabicyclo[4.4.0]dec-5-ene as an efficient and reusable catalyst for the thiolysis of 1,2-epoxides under solvent-free conditions. Eur. J. Org. Chem. 2006, 2006, 1231–1236. [Google Scholar] [CrossRef]
- Lanari, D.; Balini, R.; Palmieri, A.; Pizzo, F.; Vaccaro, L. Diastereoselective three-step route to o-(6-nitrocyclohex-3-en-1-yl) phenol and tetrahydro-6H-benzo[c]chromen-6-ol derivatives from salicylaldehydes. Eur. J. Org. Chem. 2011, 2011, 2874–2884. [Google Scholar] [CrossRef]
- Matsukawa, S.; Fujikawa, S. Polystyrene-supported TBD as an efficient and reusable organocatalyst for cyanosilylation of aldehydes, ketones, and imines. Tetrahedron Lett. 2012, 53, 1075–1077. [Google Scholar] [CrossRef]
- Matsukawa, S.; Harada, T.; Yasuda, S. Polystyrene-supported TBD catalyzed ring-opening of N-tosylaziridines with silylated nucleophiles. Org. Biomol. Chem. 2012, 10, 4886–4890. [Google Scholar] [CrossRef] [PubMed]
- Matsukawa, S.; Tsukamoto, K.; Harada, T.; Yasuda, S. An efficient method for opening N-tosyl aziridines with silylated nucleophiles using polystyrene-supported TBD as a reusable organocatalyst. Synthesis 2013, 45, 2959–2965. [Google Scholar] [CrossRef]
- Berthiaume, D.; Poirier, D. O-Methoxycarbonyl Cyanohydrin as a New Protective Group for Carbonyls. Tetrahedron 2000, 56, 5995–6003. [Google Scholar] [CrossRef]
- Hünig, S.; Reichelt, H. Trimethylsilylcyanid als umpolungsreagens, XI. Über den ambidenten charakter substituierter allyl-anionen. Chem. Ber. 1986, 119, 1772–1800. [Google Scholar] [CrossRef]
- Kadam, S.T.; Kim, S.S. One-pot three components synthesis of O-acetylcyanohydrins with TMSCN, acetic anhydride and carbonyl compounds under solvent-free condition. Tetrahedron 2009, 65, 6330–6334. [Google Scholar] [CrossRef]
- Quin, Y.C.; Liu, L.; Pu, L. On-step synthesis of a bifunctional BINOL ligand for the highly enantioselective cyanation of aliphatic aldehydes. Org. Lett. 2005, 7, 2381–2383. [Google Scholar] [CrossRef] [PubMed]
- Sample Availability: Samples of the compounds 2a–2j, 4a–4i, 5a–5l are available from the authors.

| Entry | Aldehyde(1) | Product | Solvent | Time | Yield (%) a |
|---|---|---|---|---|---|
| 1 | ![]() | 2a | CH3CN | 2 h | 90 |
| 2 | THF | 2 h | 81 | ||
| 3 | ClCH2CH2Cl | 3 h | 65 | ||
| 4 | DMF | 3 h | 60 | ||
| 5 | toluene | 12 h | 35 | ||
| 6 b | CH3CN | 12 h | 68 | ||
| 7 | ![]() | 2b | CH3CN | 12 h | 89 |
| 8 | ![]() | 2c | 4 h | 92 | |
| 9 c | ![]() | 2d | 0.5 h | 70 | |
| 10 | ![]() | 2e | 4 h | 96 | |
| 11 | ![]() | 2f | 4 h | 90 | |
| 12 | ![]() | 2g | 2 h | 85 | |
| 13 | ![]() | 2h | 4 h | 75 | |
| 14 | ![]() | 2i | 4 h | 96 | |
| 15 | ![]() | 2j | 4 h | 89 | |
| 16 | ![]() | 2k | 4 h | 88 |
| Entry | Ketone(3) | Product | Time | Yield (%) a |
|---|---|---|---|---|
| 1 | ![]() | 4a | 4 h | 85 |
| 2 | ![]() | 4b | 1 h | 90 |
| 3 | ![]() | 4c | 1 h | 86 |
| 4 | ![]() | 4d | 1 h | 70 |
| 5 b | ![]() | 4e | 24 h | 33 |
| 6 b | ![]() | 4f | 24 h | 31 |
| 7 b | ![]() | 4g | 24 h | 75 |
| 8 | ![]() | 4h | 6 h | 55 |
| 9 b | ![]() | 4i | 24 h | 38 |
| 10 | ![]() | 4j | 24 h | 0 |
| Entry | Aldehyde(1) | Product | Time | Yield (%) a |
|---|---|---|---|---|
| 1 | ![]() | 5a | 3 h | 80 |
| 2 | ![]() | 5b | 6 h | 91 |
| 3 | ![]() | 5c | 24 h | 94 |
| 4 | ![]() | 5d | 48 h | 67 |
| 5 | ![]() | 5e | 0.5 h | 40 |
| 6 | ![]() | 5f | 3 h | 90 |
| 7 | ![]() | 5g | 3 h | 90 |
| 8 | ![]() | 5h | 3 h | 92 |
| 9 | ![]() | 5i | 6 h | 70 |
| 10 | ![]() | 5j | 6 h | 88 |
| 11 | ![]() | 5k | 6 h | 85 |
| 12 | ![]() | 5l | 6 h | 80 |
| Entry | Carbonyl Compounds | Product | Time | Yield (%) a |
|---|---|---|---|---|
| 1 | ![]() | 2a | 2 h | 90 |
| 2 b | 2a | 2 h | 88 | |
| 3 c | 2a | 2 h | 92 | |
| 4 d | 2a | 2 h | 88 | |
| 5 | ![]() | 2b | 12 h | 73 |
| 6 | ![]() | 2c | 16 h | 86 |
| 7 | ![]() | 2d | 4 h | 94 |
| 8 | ![]() | 2e | 4 h | 98 |
| 9 | ![]() | 2h | 4 h | 90 |
| 10 | ![]() | 2k | 2 h | 78 |
| 11 | ![]() | 2i | 2 h | 82 |
| 12 | ![]() | 4a | 24 h | 24 |
| 13 e | 4a | 12 h | 75 | |
| 14 e | ![]() | 4b | 24 h | 70 |
| 15 e | ![]() | 4c | 18 h | 76 |
© 2016 by the authors. Licensee MDPI, Basel, Switzerland. This article is an open access article distributed under the terms and conditions of the Creative Commons Attribution (CC-BY) license ( http://creativecommons.org/licenses/by/4.0/).
Share and Cite
Matsukawa, S.; Kimura, J.; Yoshioka, M. TBD- or PS-TBD-Catalyzed One-Pot Synthesis of Cyanohydrin Carbonates and Cyanohydrin Acetates from Carbonyl Compounds. Molecules 2016, 21, 1030. https://doi.org/10.3390/molecules21081030
Matsukawa S, Kimura J, Yoshioka M. TBD- or PS-TBD-Catalyzed One-Pot Synthesis of Cyanohydrin Carbonates and Cyanohydrin Acetates from Carbonyl Compounds. Molecules. 2016; 21(8):1030. https://doi.org/10.3390/molecules21081030
Chicago/Turabian StyleMatsukawa, Satoru, Junya Kimura, and Miki Yoshioka. 2016. "TBD- or PS-TBD-Catalyzed One-Pot Synthesis of Cyanohydrin Carbonates and Cyanohydrin Acetates from Carbonyl Compounds" Molecules 21, no. 8: 1030. https://doi.org/10.3390/molecules21081030
APA StyleMatsukawa, S., Kimura, J., & Yoshioka, M. (2016). TBD- or PS-TBD-Catalyzed One-Pot Synthesis of Cyanohydrin Carbonates and Cyanohydrin Acetates from Carbonyl Compounds. Molecules, 21(8), 1030. https://doi.org/10.3390/molecules21081030
















































