Thermoregulated Coacervation, Metal-Encapsulation and Nanoparticle Synthesis in Novel Triazine Dendrimers
Abstract
:1. Introduction
2. Results and Discussion
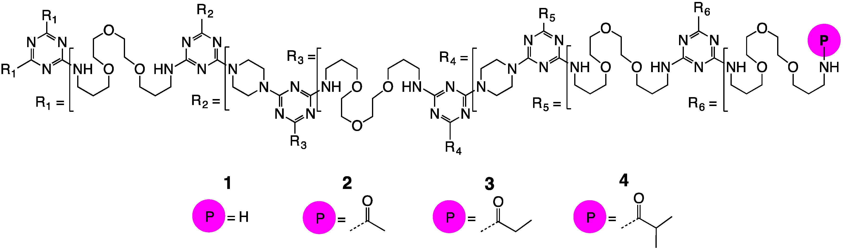
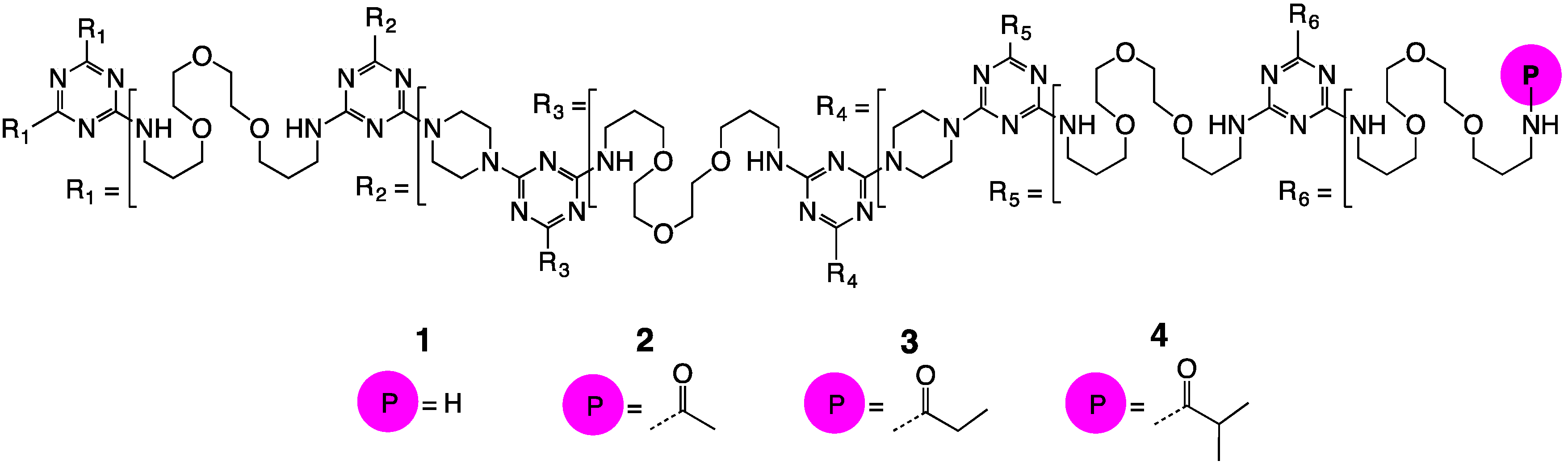
2.1. Design and Synthesis
2.2. Liquid-Liquid Phase Separaration (LLPS) Temperatures
2.3. Influence of Metal Ions on Solubility of 2
2.4. Formation of Nanoparticles
3. Materials and Methods
3.1. General Experimental
3.2. Preparation of 1
3.3. Preparation of 2
3.4. Preparation of 3
3.5. Preparation of 4
3.6. Preparation of 7
3.7. Measurement of the Cloud Point
3.8. Titrations
3.9. Nanoparticle Synthesis
3.10. Electron Microscopy
4. Conclusions
Supplementary Materials
Acknowledgments
Author Contributions
Conflicts of Interest
Abbreviations
| DEN | Dendrimer-encapsulated nanoparticle |
| G5 | Generation 5 |
| LCST | Lower critical solution temperature |
| LLPS | Liquid-liquid phase separation |
| PAMAM | Polyamidoamine |
| PPI | Polypropyleneimine |
| NaBH4 | Sodium tetrahydroborane |
| TEM | Transmission electron microscopy |
References
- Albertsson, P.A. Partition of Cell Particles and Macromolecules; Wiley: New York, NY, USA, 1986. [Google Scholar]
- Zhang, Y.; Cremer, P.S. Chemistry of Hofmeister Anions and Osmolytes. Annu. Rev. Phys. Chem. 2010, 61, 63–83. [Google Scholar] [CrossRef] [PubMed]
- Lima, A.C.; Sher, P.; Mano, J.F. Production methodologies of polymeric and hydrogel particles for drug delivery applications. Expert Opin. Drug Deliv. 2012, 9, 231–248. [Google Scholar] [CrossRef] [PubMed]
- Keating, C.D. Aqueous Phase Separation as a Possible Route to Compartmentalization of Biological Molecules. Acc. Chem. Res. 2012, 45, 2114–2124. [Google Scholar] [CrossRef] [PubMed]
- Elbert, D.L. Liquid-liquid two-phase systems for the production of porous hydrogels and hydrogel microspheres for biomedical applications: A tutorial review. Acta. Biomater. 2011, 7, 31–56. [Google Scholar] [CrossRef] [PubMed]
- Da Costa, V.C.P.; Annunziata, O. Unusual liquid–liquid phase transition in aqueous mixtures of a well-known dendrimer. Phys. Chem. Chem. Phys. 2015, 17, 28818–28829. [Google Scholar] [CrossRef] [PubMed]
- Simanek, E.E.; Abdou, H.; Lalwani, S.; Lim, J.; Mintzer, M.; Venditto, V.J.; Vittur, B. The 8 year thicket of triazinedendrimers: Strategies, targets and applications. Proc. R. Soc. A 2010, 466, 1445–1468. [Google Scholar] [CrossRef]
- Enciso, E.; Abid, Z.M.; Simanek, E.E. Rapid, semi-automated convergent synthesis of low generation triazine dendrimers using microwave assisted reactions. Polym. Chem. 2014, 5, 4635–4640. [Google Scholar] [CrossRef]
- Enciso, A.E.; Ramirez-Crescencio, F.; Zeiser, M.; Redon, R.; Simanek, E.E. Accelerated synthesis of large generation triazine dendrimers using microwave assisted reactions: A 24 hours challenge. Polym. Chem. 2015, 6, 5219–5224. [Google Scholar] [CrossRef]
- Lim, J.; Pavan, G.M.; Annunziata, O.; Simanek, E.E. Experimental and Computational Evidence for an Inversion in Guest Capacity in High-Generation Triazine Dendrimer Hosts. J. Am. Chem. Soc. 2012, 134, 1942–1945. [Google Scholar] [CrossRef] [PubMed]
- Zhao, M.; Sun, L.; Crooks, R.M. Preparation of Cu Nanoclusters within Dendrimer Templates. J. Am. Chem. Soc. 1998, 120, 4877–4878. [Google Scholar] [CrossRef]
- Zhao, P.; Feng, X.; Huang, D.; Yang, G.; Astruc, D. Basic concepts and recent advances in nitrophenol reduction by gold- and other transition metal nanoparticles. Coord. Chem. Rev. 2015, 287, 114–136. [Google Scholar] [CrossRef]
- Yamamoto, K.; Imaoka, T. Precision Synthesis of Subnanoparticles Using Dendrimers as a Superatom Synthesizer. Acc. Chem. Res. 2014, 47, 1127–1136. [Google Scholar] [CrossRef] [PubMed]
- Nemanashi, M.; Meijboom, R. Synthesis and characterization of Cu, Ag and Au dendrimer-encapsulated nanoparticles and their application in the reduction of 4-nitrophenol to 4-aminophenol. J. Colloid Interface Sci. 2013, 389, 260–267. [Google Scholar] [CrossRef] [PubMed]
- Esumi, K.; Isono, R.; Yoshimura, T. Preparation of PAMAM and PPI metal (Silver, Platinum, and Palladium) nanocomposites and their catalytic activities for reduction of 4-nitrophenol. Langmuir 2004, 20, 237–243. [Google Scholar] [CrossRef] [PubMed]
- Wang, D.; Astruc, D. Dendritic catalysis-Basic concepts and recent trends. Coord. Chem. Rev. 2013, 257, 2317–2334. [Google Scholar] [CrossRef]
- Myers, V.S.; Weir, M.G.; Carino, E.V.; Yancey, D.F.; Pande, S.; Crooks, R.M. Dendrimer-encapsulated nanoparticles: New synthetic and characterization methods and catalytic applications. Chem. Sci. 2011, 2, 1632–1646. [Google Scholar] [CrossRef]
- Crooks, R.M.; Zhao, M.; Sun, L.; Chechik, V.; Yeung, L.K. Dendrimer-Encapsulated Metal Nanoparticles: Synthesis, Characterization, and Applications to Catalysis. Acc. Chem. Res. 2001, 34, 181–190. [Google Scholar] [CrossRef] [PubMed]
- Boisselier, E.; Diallo, A.K.; Salmon, L.; Ruiz, J.; Astruc, D. Gold nanoparticles synthesis and stabilization via new “clicked” polyethyleneglycoldendrimers. Chem. Commun. 2008, 39, 4819–4821. [Google Scholar] [CrossRef] [PubMed]
- Li, N.; Echeverría, M.; Moya, S.; Ruiz, J.; Astruc, D. “Click” Synthesis of Nona-PEG-branched Triazole Dendrimers and Stabilization of Gold Nanoparticles That Efficiently Catalyze p-Nitrophenol Reduction. Inorg. Chem. 2014, 53, 6954–6961. [Google Scholar] [CrossRef] [PubMed]
- Deraedt, C.; Salmon, L.; Astruc, D. “Click” Dendrimer-Stabilized Palladium Nanoparticles as a Green Catalyst Down to Parts per Million for Efficient C-C Cross-Coupling Reactions and Reduction of 4-Nitrophenol. Adv. Synth. Catal. 2014, 356, 2525–2538. [Google Scholar] [CrossRef]
- Wang, X.; Zhang, Y.; Li, T.; Tian, W.; Zhang, Q.; Cheng, Y. Generation 9 Polyamidoamine Dendrimer Encapsulated Platinum Nanoparticle Mimics Catalase Size, Shape, and Catalytic Activity. Langmuir 2013, 29, 5262–5270. [Google Scholar] [CrossRef] [PubMed]
- Pietsch, T.; Appelhans, D.; Gindy, N.; Voit, B.; Fahmi, A. Oligosaccharide-modified dendrimers for templating gold nanoparticles: Tailoring the particle size as a function of dendrimer generation and size structure. Colloids Surf. A Physicochem. Eng. Asp. 2009, 341, 93–102. [Google Scholar] [CrossRef]
- Golpidas, K.R.; Whitesell, J.K.; Fox, M.A. Synthesis, Characterization, and Catalytic Applications of a Palladium-Nanoparticle-Cored Dendrimer. Nano. Lett. 2003, 3, 1757–1760. [Google Scholar] [CrossRef]
- Steffensen, M.B.; Simanek, E.E. Chemoselective building blocks for dendrimers from relative reactivity data. Org. Lett. 2003, 5, 2359–2361. [Google Scholar] [CrossRef] [PubMed]
- Moreno, K.X.; Simanek, E.E. Identification of Diamine Linkers with Differing Reactivity and their Application in the Synthesis of a Melamine Dendrimers. Tetrahedron Lett. 2008, 49, 1152–1154. [Google Scholar] [CrossRef] [PubMed]
- Lim, J.; Kostiainen, M.; Maly, J.; da Costa, V.C.; Annunziata, O.; Pavan, G.M.; Simanek, E.E. Synthesis of Large Dendrimers with the Dimensions of Small Viruses. J. Am. Chem. Soc. 2013, 135, 4660–4663. [Google Scholar] [CrossRef] [PubMed]
- Bergbreiter, D.E. Using soluble polymers to recover catalysts and ligand. Chem. Rev. 2002, 102, 3345–3383. [Google Scholar] [CrossRef] [PubMed]
- Malcolm, G.N.; Rowlinson, J.S. The Thermodynamic Properties of Aqueous Solutions of Polyethylene Glycol, Polypropylene Glycol and Dioxane. Trans. Faraday Soc. 1957, 53, 921–931. [Google Scholar] [CrossRef]
- Matsuyama, A.; Tanaka, F. Theory of Solvation-Induced Reentrant Phase Separation in Polymer Solutions. Phys. Rev. Lett. 1990, 65, 341–344. [Google Scholar] [CrossRef] [PubMed]
- Dormidontova, E.E. Role of Competitive PEO-Water and Water-Water Hydrogen Bonding in Aqueous Solution PEO Behavior. Macromolecules 2002, 35, 987–1001. [Google Scholar] [CrossRef]
- Simanek, E.E.; Enciso, A.E.; Pavan, G.M. Computational design principles for the discovery of bioactive dendrimers: [s]-triazines and other examples. Expert Opin. Drug Discov. 2013, 8, 1057–1069. [Google Scholar] [CrossRef] [PubMed]
- Fogarasi, S.; Imre-Lucaci, F.; Imre-Lucaci, A.; Ilea, P. Copper recovery and gold enrichment from waste printed circuit boards by mediated electrochemical oxidation. J. Hazard. Mater. 2014, 273, 215–221. [Google Scholar] [CrossRef] [PubMed]
- Ha, V.H.; Lee, J.C.; Huyhn, T.H.; Jeong, J.; Pandey, B.D. Optimizing the thiosulfate leaching of gold from printed circuit boards of discarded mobile phone. Hydrometallurgy 2014, 149, 118–126. [Google Scholar] [CrossRef]
- Zhang, Z.Y.; Zhang, F.S. Selective recovery of palladium from waste printed circuit boards by a novel non-acid process. J. Hazard. Mater. 2014, 279, 46–51. [Google Scholar] [CrossRef] [PubMed]
- Deng, S.; Tang, H.; Xiao, G. Regenerating Method and Process for Recycling Rare Precious Metals from Electronic Wastes. CN 103397186-A, 20 November 2013. [Google Scholar]
- Tong, S.; Jia, Q.; Song, N.; Zhou, W.; Duan, T.; Bao, C. Determination of gold(III) and palladium(II) in mine samples by cloud point extraction preconcentration coupled with flame atomic absorption spectrometry. Microchim. Acta 2011, 172, 95–102. [Google Scholar]
- Behbahani, M.; Gorji, T.; Mahyari, M.; Salarian, M.; Bagheri, A.; Shaabani, A. Application of Polypropylene Amine Dendrimers (POPAM)-Grafted MWCNTs Hybrid Materials as a New Sorbent for Solid-Phase Extraction and Trace Determination of Gold(III) and Palladium(II) in Food and Environmental Samples. Food Anal. Methods 2014, 7, 957–966. [Google Scholar] [CrossRef]
- Sample Availability: Not Available.




© 2016 by the authors. Licensee MDPI, Basel, Switzerland. This article is an open access article distributed under the terms and conditions of the Creative Commons Attribution (CC-BY) license ( http://creativecommons.org/licenses/by/4.0/).
Share and Cite
Ramírez-Crescencio, F.; Enciso, A.E.; Hasan, M.; Da Costa, V.C.P.; Annunziata, O.; Redón, R.; Coffer, J.L.; Simanek, E.E. Thermoregulated Coacervation, Metal-Encapsulation and Nanoparticle Synthesis in Novel Triazine Dendrimers. Molecules 2016, 21, 599. https://doi.org/10.3390/molecules21050599
Ramírez-Crescencio F, Enciso AE, Hasan M, Da Costa VCP, Annunziata O, Redón R, Coffer JL, Simanek EE. Thermoregulated Coacervation, Metal-Encapsulation and Nanoparticle Synthesis in Novel Triazine Dendrimers. Molecules. 2016; 21(5):599. https://doi.org/10.3390/molecules21050599
Chicago/Turabian StyleRamírez-Crescencio, Fermín, Alan E. Enciso, Mirza Hasan, Viviana C. P. Da Costa, Onofrio Annunziata, Rocío Redón, Jeffery L. Coffer, and Eric E. Simanek. 2016. "Thermoregulated Coacervation, Metal-Encapsulation and Nanoparticle Synthesis in Novel Triazine Dendrimers" Molecules 21, no. 5: 599. https://doi.org/10.3390/molecules21050599
APA StyleRamírez-Crescencio, F., Enciso, A. E., Hasan, M., Da Costa, V. C. P., Annunziata, O., Redón, R., Coffer, J. L., & Simanek, E. E. (2016). Thermoregulated Coacervation, Metal-Encapsulation and Nanoparticle Synthesis in Novel Triazine Dendrimers. Molecules, 21(5), 599. https://doi.org/10.3390/molecules21050599
