Synthesis and Biological Evaluation of Novel 99mTc(CO)3-Labeled Thymidine Analogs as Potential Probes for Tumor Proliferation Imaging
Abstract
:1. Introduction
2. Results and Discussion
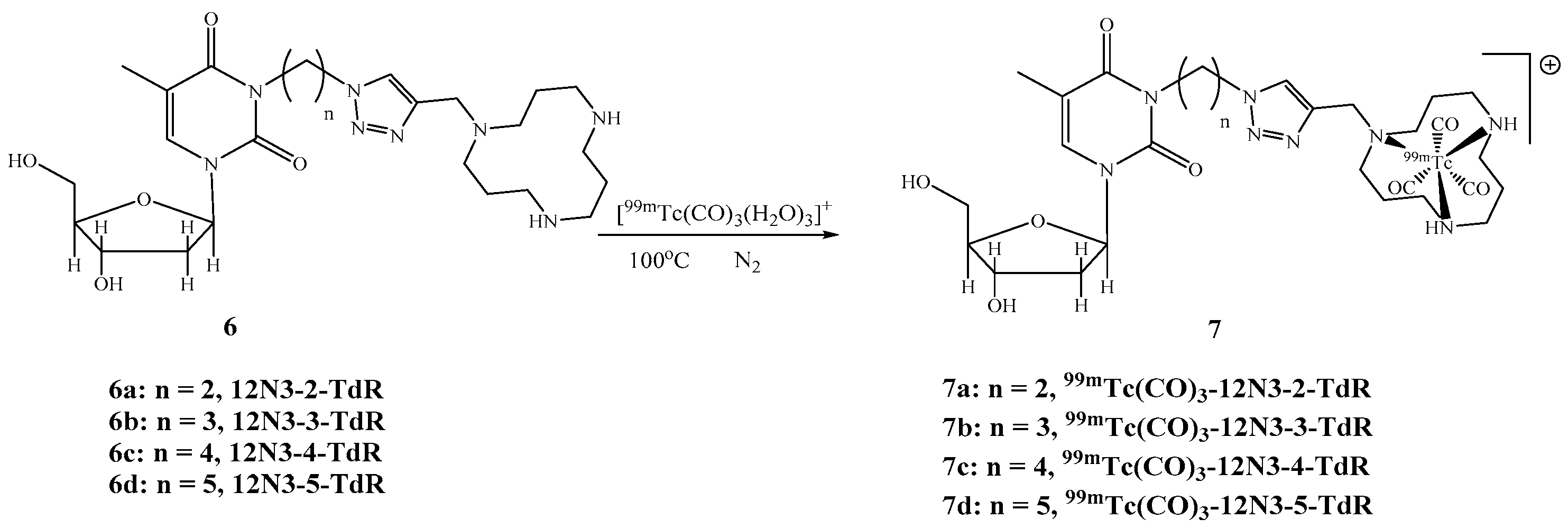
2.1. Chemistry and Radiolabeling
2.2. Stability and Partition Coefficients
2.3. In Vitro Cell Experiments
2.4. Biodistribution Study
3. Experimental Section
3.1. General
3.2. Synthesis
3.3. Radiolabeling
3.4. Stability Studies
3.5. Octanol/Water Partition Coefficient
3.6. In Vitro Cell Experiments
3.7. Biodistribution Study
4. Conclusions
Supplementary Materials
Acknowledgments
Author Contributions
Conflicts of Interest
References
- Rosenbaum, S.J.; Lind, T.; Antoch, G.; Bockisch, A. False-positive FDG PET uptake—The role of PET/CT. Eur. Radiol. 2006, 16, 1054–1065. [Google Scholar] [CrossRef] [PubMed]
- Kubota, R.; Yamada, S.; Kubota, K.; Ishiwata, K.; Tamahashi, N.; Ido, T. Intratumoral distribution of fluorine-18-fluorodeoxyglucose in vivo: High accumulation in macrophages and granulation tissues studied by microautoradiography. J. Nucl. Med. 1992, 33, 1972–1980. [Google Scholar] [PubMed]
- Hanahan, D.; Weinberg, R.A. Hallmarks of cancer: The next generation. Cell 2011, 144, 646–674. [Google Scholar] [CrossRef] [PubMed]
- Alauddin, M.M. Nucleoside-based probes for imaging tumor proliferation using positron emission tomography. J. Label. Compd. Radiopharm. 2013, 56, 237–243. [Google Scholar] [CrossRef] [PubMed]
- Shields, A.F.; Mankoff, D.A.; Link, J.M.; Graham, M.M.; Eary, J.F.; Kozawa, S.M.; Zheng, M.; Lewellen, B.; Lewellen, T.K.; Grierson, J.R. Carbon-11-thymidine and FDG to measure therapy response. J. Nucl. Med. 1998, 39, 1757–1762. [Google Scholar] [PubMed]
- Shields, A.F.; Grierson, J.R.; Dohmen, B.M.; Machulla, H.-J.; Stayanoff, J.C.; Lawhorn-Crews, J.M.; Obradovich, J.E.; Muzik, O.; Mangner, T.J. Imaging proliferation in vivo with [F-18]FLT and positron emission tomography. Nat. Med. 1998, 4, 1334–1336. [Google Scholar] [CrossRef] [PubMed]
- Grierson, J.R.; Shields, A.F. Radiosynthesis of 3′-deoxy-3′-[18F] fluorothymidine:[18F]FLT for imaging of cellular proliferation in vivo. Nucl. Med. Biol. 2000, 27, 143–156. [Google Scholar] [CrossRef]
- Vesselle, H.; Grierson, J.; Muzi, M.; Pugsley, J.M.; Schmidt, R.A.; Rabinowitz, P.; Peterson, L.M.; Vallières, E.; Wood, D.E. In vivo validation of 3′ deoxy-3′-[18F]fluorothymidine ([18F]FLT) as a proliferation imaging tracer in humans correlation of [18F]FLT uptake by positron emission tomography with Ki-67 immunohistochemistry and flow cytometry in human lung tumors. Clin. Cancer Res. 2002, 8, 3315–3323. [Google Scholar] [PubMed]
- Buck, A.K.; Halter, G.; Schirrmeister, H.; Kotzerke, J.; Wurziger, I.; Glatting, G.; Mattfeldt, T.; Neumaier, B.; Reske, S.N.; Hetzel, M. Imaging proliferation in lung tumors with PET: 18F-FLT versus 18F-FDG. J. Nucl. Med. 2003, 44, 1426–1431. [Google Scholar] [PubMed]
- McKinley, E.T.; Watchmaker, J.M.; Chakravarthy, A.B.; Meyerhardt, J.A.; Engelman, J.A.; Walker, R.C.; Washington, M.K.; Coffey, R.J.; Manning, H.C. [18F]-FLT PET to predict early response to neoadjuvant therapy in KRAS wild-type rectal cancer: A pilot study. Ann. Nucl. Med. 2015, 29, 535–542. [Google Scholar] [CrossRef] [PubMed]
- Conti, P.S.; Alauddin, M.M.; Fissekis, J.R.; Schmall, B.; Watanabe, K.A. Synthesis of 2′-fluoro-5-[11C]-methyl-1-β-d-arabinofuranosyluracil ([11C]-FMAU): A potential nucleoside analog for in vivo study of cellular proliferation with PET. Nucl. Med. Biol. 1995, 22, 783–789. [Google Scholar] [CrossRef]
- Alauddin, M.M.; Conti, P.S.; Fissekis, J.D. Synthesis of [18F]-labeled 2′-deoxy-2′-fluoro-5-methyl-1-β-d-arabinofuranosyluracil ([18F]-FMAU). J. Label. Compd. Rad. 2002, 45, 583–590. [Google Scholar] [CrossRef]
- Lu, L.; Samuelsson, L.; Bergström, M.; Sato, K.; Fasth, K.-J.; Långström, B. Rat studies comparing 11C-FMAU, 18F-FLT, and 76Br-BFU as proliferation markers. J. Nucl. Med. 2002, 43, 1688–1698. [Google Scholar] [PubMed]
- Sun, H.; Mangner, T.J.; Collins, J.M.; Muzik, O.; Douglas, K.; Shields, A.F. Imaging DNA synthesis in vivo with 18F-FMAU and PET. J. Nucl. Med. 2005, 46, 292–296. [Google Scholar] [PubMed]
- Jadvar, H.; Yap, L.P.; Park, R.; Li, Z.B.; Chen, K.; Hughes, L.; Kouhi, A.; Conti, P. [18F] -2’-Fluoro-5-methyl-1-β-d-arabinofuranosyluracil (18F-FMAU) in prostate cancer: Initial preclinical observations. Mol. Imaging 2012, 11, 426–432. [Google Scholar] [PubMed]
- Peck, M.; Pollack, H.A.; Friesen, A.; Muzi, M.; Shoner, S.C.; Shankland, E.G.; Fink, J.R.; Armstrong, J.O.; Link, J.M.; Krohn, K.A. Applications of PET imaging with the proliferation marker 18F-FLT. Q. J. Nucl. Med. Mol. Imaging 2015, 59, 95–104. [Google Scholar] [PubMed]
- Kim, J.Y.; Oh, S.J.; Ryu, J.S.; Choi, S.J.; Ha, H.J.; Moon, D.H. Synthesis of 99mTc(CO)3-deoxyuridine derivatives as potential HSV1-tk gene expression imaging agents. Appl. Radiat. Isot. 2008, 66, 489–496. [Google Scholar]
- Zhang, Y.; Dai, X.; Kallmes, D.F.; Pan, D. Synthesis of a technetium-99m-labeled thymidine analog: a potential HSV1-TK substrate for non-invasive reporter gene expression imaging. Tetrahedron Lett. 2004, 45, 8673–8676. [Google Scholar] [CrossRef]
- Celen, S.; de Groot, T.; Balzarini, J.; Vunckx, K.; Terwinghe, C.; Vermaelen, P.; Van Berckelaer, L.; Vanbilloen, H.; Nuyts, J.; Mortelmans, L.; et al. Synthesis and evaluation of a 99mTc-MAMA-propyl-thymidine complex as a potential probe for in vivo visualization of tumor cell proliferation with SPECT. Nucl. Med. Biol. 2007, 34, 283–291. [Google Scholar] [CrossRef] [PubMed]
- Teng, B.; Bai, Y.P.; Chang, Y.; Chen, S.Z.; Li, Z.L. Technetium-99m-labeling and synthesis of thymidine analogs: Potential candidates for tumor imaging. Bioorg. Med. Chem. Lett. 2007, 17, 3440–3444. [Google Scholar] [CrossRef] [PubMed]
- Lu, C.X.; Jiang, Q.F.; Tan, C.; Tang, J.; Zhang, J.K. Preparation and preliminary biological evaluation of novel 99mTc-Labelled thymidine analogs as tumor imaging agents. Molecules 2012, 17, 8518–8532. [Google Scholar] [CrossRef] [PubMed]
- Schmid, M.; Neumaier, B.; Vogg, A.T.; Wczasek, K.; Friesen, C.; Mottaghy, F.M.; Buck, A.K.; Reske, S.N. Synthesis and evaluation of a radiometal-labeled macrocyclic chelator-derivatised thymidine analog. Nucl. Med. Biol. 2006, 33, 359–366. [Google Scholar] [CrossRef] [PubMed]
- Chun Xiong, L.; Zheng Wu, W.; Quan Fu, J.; Jie, T.; Cheng, T.; Jian Kang, Z. Synthesis and preliminary biological evaluation of a technetium-99m labeled thymidine analog. Chin. Chem. Lett. 2011, 22, 1309–1312. [Google Scholar]
- Alberto, R.; Schibli, R.; Egli, A.; Schubiger, A.P.; Abram, U.; Kaden, T.A. A novel organometallic aqua complex of technetium for the labeling of biomolecules: Synthesis of [99mTc(OH2)3(CO)3]+from [99mTcO4]− in aqueous solution and its reaction with a bifunctional ligand. J. Am. Chem. Soc. 1998, 120, 7987–7988. [Google Scholar] [CrossRef]
- Desbouis, D.; Struthers, H.; Spiwok, V.; Kuster, T.; Schibli, R. Synthesis, in vitro, and in silico evaluation of organometallic technetium and rhenium thymidine complexes with retained substrate activity toward human thymidine kinase type 1. J. Med. Chem. 2008, 51, 6689–6698. [Google Scholar] [CrossRef] [PubMed]
- Struthers, H.; Hagenbach, A.; Abram, U.; Schibli, R. Organometallic [Re(CO)3]+ and [Re(CO)2(NO)]2+ labeled substrates for human thymidine kinase 1. Inorg.Chem. 2009, 48, 5154–5163. [Google Scholar] [CrossRef] [PubMed]
- Suzuki, K.; Shimmura, N.; Thipyapong, K.; Uehara, T.; Akizawa, H.; Arano, Y. Assessment of macrocyclic triamine ligands as synthons for organometallic 99mTc radiopharmaceuticals. Inorg. Chem. 2008, 47, 2593–2600. [Google Scholar] [CrossRef] [PubMed]
- Struthers, H.; Spingler, B.; Mindt, T.L.; Schibli, R. “Click-to-Chelate”: Design and incorporation of triazole-containing metal-chelating systems into biomolecules of diagnostic and therapeutic interest. Chem. Eur. J. 2008, 14, 6173–6183. [Google Scholar] [CrossRef] [PubMed]
- Kolb, H.C.; Finn, M.G.; Sharpless, K.B. Click chemistry: Diverse chemical function from a few good reactions. Angew. Chem. Int. Ed. 2001, 40, 2004–2021. [Google Scholar] [CrossRef]
- Kluba, C.A.; Mindt, T.L. Click-to-chelate: Development of technetium and rhenium-tricarbonyl labeled radiopharmaceuticals. Molecules 2013, 18, 3206–3226. [Google Scholar] [CrossRef] [PubMed]
- Kachare, D.; Song, X.P.; Herdewijn, P. Phospho-carboxylic anhydride of a homologated nucleoside leads to primer degradation in the presence of a polymerase. Bioorg. Med. Chem. Lett. 2014, 24, 2720–2723. [Google Scholar] [CrossRef] [PubMed]
- Guo, Z.F.; Yan, H.; Li, Z.F.; Lu, Z.L. Synthesis of mono- and di-[12]aneN3 ligands and study on the catalytic cleavage of RNA model 2-hydroxypropyl-p-nitrophenyl phosphate with their metal complexes. Org. Biomol. Chem. 2011, 9, 6788–6796. [Google Scholar] [CrossRef] [PubMed]
- Struthers, H.; Viertl, D.; Kosinski, M.; Spingler, B.; Buchegger, F.; Schibli, R. Charge dependent substrate activity of C3’ and N3 functionalized, organometallic technetium and rhenium-labeled thymidine derivatives toward human thymidine kinase 1. Bioconjug. Chem. 2010, 21, 622–634. [Google Scholar] [CrossRef] [PubMed]
- Alberto, R.; Schibli, R.; Schubiger, A.P.; Abram, U.; Pietzsch, H.J.; Johannsen, B. First application of fac-[99mTc(OH2)3(CO)3]+ in bioorganometallic chemistry: Design, structure, and in vitro affinity of a 5-HT1A receptor ligand labeled with 99mTc. J. Am. Chem. Soc. 1999, 121, 6076–6077. [Google Scholar] [CrossRef]
- Sample Availability: Samples of the compounds are available from the authors.




| Tissue | 30 min | 120 min | 240 min | 360 min |
|---|---|---|---|---|
| Heart | 2.48 ± 1.15 | 1.65 ± 1.12 | 1.26 ± 0.48 | 0.74 ± 0.29 |
| Liver | 9.94 ± 2.33 | 9.12 ± 2.09 | 8.10 ± 0.54 | 7.98 ± 1.00 |
| Lung | 2.92 ± 0.63 | 1.41 ± 0.33 | 0.92 ± 0.08 | 0.85 ± 0.15 |
| Kidney | 14.12 ± 1.56 | 9.90 ± 1.24 | 7.71 ± 1.04 | 8.35 ± 0.91 |
| Spleen | 1.77 ± 0.68 | 1.58 ± 0.90 | 0.86 ± 0.07 | 0.83 ± 0.09 |
| Stomach | 2.06 ± 0.69 | 1.57 ± 1.07 | 1.35 ± 0.48 | 1.31 ± 0.20 |
| Bone | 3.41 ± 0.85 | 2.73 ± 1.22 | 2.47 ± 0.30 | 2.14 ± 0.76 |
| Muscle | 1.65 ± 0.80 | 0.67 ± 0.11 | 0.88 ± 0.32 | 0.59 ± 0.24 |
| Intestine | 6.20 ± 1.07 | 4.06 ± 1.43 | 2.57 ± 0.80 | 2.62 ± 1.50 |
| Tumor | 2.16 ± 0.59 | 0.96 ± 0.45 | 0.57 ± 0.15 | 0.55 ± 0.14 |
| Blood | 2.50 ± 0.41 | 1.06 ± 0.48 | 0.54 ± 0.05 | 0.43 ± 0.09 |
| Thyroid (ID%) | 0.14 ± 0.01 | 0.11 ± 0.05 | 0.14 ± 0.05 | 0.05 ± 0.03 |
| Tumor/Blood | 0.86 | 0.90 | 2.02 | 1.29 |
| Tumor/Muscle | 1.31 | 1.44 | 1.23 | 0.94 |
| Tissue | 30 min | 120 min | 240 min | 360 min |
|---|---|---|---|---|
| Heart | 1.08 ± 0.24 | 0.77 ± 0.17 | 0.46 ± 0.06 | 0.51 ± 0.11 |
| Liver | 17.49 ± 4.40 | 9.22 ± 1.19 | 8.52 ± 0.32 | 7.13 ± 0.90 |
| Lung | 2.25 ± 0.35 | 1.15 ± 0.14 | 0.95 ± 0.11 | 0.79 ± 0.13 |
| Kidney | 14.54 ± 2.24 | 6.52 ± 0.69 | 5.18 ± 0.63 | 4.58 ± 0.85 |
| Spleen | 1.12 ± 0.17 | 1.58 ± 0.09 | 0.61 ± 0.05 | 0.45 ± 0.12 |
| Stomach | 1.04 ± 0.27 | 1.00 ± 0.41 | 0.87 ± 0.27 | 0.94 ± 0.33 |
| Bone | 1.77 ± 0.24 | 1.26 ± 0.93 | 0.84 ± 0.31 | 0.66 ± 0.32 |
| Muscle | 0.72 ± 0.10 | 0.29 ± 0.06 | 0.29 ± 0.05 | 0.25 ± 0.13 |
| Intestine | 5.21 ± 0.19 | 3.12 ± 1.01 | 2.50 ± 0.83 | 2.27 ± 0.36 |
| Tumor | 1.28 ± 0.46 | 0.70 ± 0.16 | 0.63 ± 0.15 | 0.46 ± 0.08 |
| Blood | 1.87 ± 0.28 | 0.92 ± 0.14 | 0.67 ± 0.06 | 0.65 ± 0.29 |
| Thyroid (ID%) | 0.07 ± 0.03 | 0.05 ± 0.02 | 0.04 ± 0.01 | 0.02 ± 0.01 |
| Tumor/Blood | 0.68 | 0.76 | 0.95 | 0.71 |
| Tumor/Muscle | 1.79 | 2.39 | 2.22 | 1.83 |
| Tissue | 30 min | 120 min | 240 min | 360 min |
|---|---|---|---|---|
| Heart | 0.72 ± 0.14 | 0.48 ± 0.20 | 0.43 ± 0.20 | 0.41 ± 0.11 |
| Liver | 8.70 ± 1.70 | 7.54 ± 0.95 | 9.58 ± 0.57 | 7.08 ± 1.52 |
| Lung | 2.64 ± 1.23 | 1.07 ± 0.14 | 1.03 ± 0.44 | 1.13 ± 0.42 |
| Kidney | 15.79 ± 1.30 | 12.23 ± 2.03 | 9.84 ± 1.77 | 8.48 ± 0.78 |
| Spleen | 0.85 ± 0.07 | 1.58 ± 0.14 | 0.64 ± 0.16 | 0.61 ± 0.18 |
| Stomach | 0.63 ± 0.34 | 0.32 ± 0.07 | 0.24 ± 0.05 | 0.36 ± 0.07 |
| Bone | 1.09 ± 0.33 | 0.79 ± 0.29 | 0.57 ± 0.26 | 0.97 ± 0.46 |
| Muscle | 0.47 ± 0.18 | 0.30 ± 0.07 | 0.19 ± 0.06 | 0.24 ± 0.11 |
| Intestine | 2.38 ± 0.30 | 1.10 ± 0.32 | 0.95 ± 0.55 | 0.98 ± 0.35 |
| Tumor | 1.57 ± 0.31 | 0.63 ± 0.18 | 0.47 ± 0.11 | 0.40 ± 0.06 |
| Blood | 1.83 ± 0.32 | 0.60 ± 0.09 | 0.53 ± 0.10 | 0.44 ± 0.03 |
| Thyroid (ID%) | 0.07 ± 0.03 | 0.05 ± 0.02 | 0.04 ± 0.01 | 0.02 ± 0.01 |
| Tumor/Blood | 0.86 | 1.06 | 0.90 | 0.92 |
| Tumor/Muscle | 3.36 | 2.11 | 2.49 | 1.70 |
| Tissue | 30 min | 120 min | 240 min | 360 min |
|---|---|---|---|---|
| Heart | 1.12 ± 0.27 | 0.63 ± 0.22 | 0.53 ± 0.14 | 0.36 ± 0.04 |
| Liver | 14.21 ± 2.40 | 11.70 ± 4.83 | 8.27 ± 2.09 | 8.86 ± 2.60 |
| Lung | 2.72 ± 0.56 | 1.39 ± 0.28 | 1.21 ± 0.29 | 0.96 ± 0.33 |
| Kidney | 11.40 ± 2.63 | 6.79 ± 1.20 | 5.24 ± 1.11 | 4.38 ± 0.53 |
| Spleen | 1.46 ± 0.47 | 1.58 ± 0.44 | 0.77 ± 0.13 | 0.65 ± 0.12 |
| Stomach | 1.24 ± 0.62 | 0.31 ± 0.12 | 0.26 ± 0.08 | 0.28 ± 0.05 |
| Bone | 2.40 ± 0.59 | 0.88 ± 0.31 | 0.69 ± 0.22 | 0.41 ± 0.18 |
| Muscle | 0.53 ± 0.10 | 0.22 ± 0.05 | 0.20 ± 0.08 | 0.25 ± 0.10 |
| Intestine | 4.04 ± 0.79 | 1.31 ± 0.42 | 0.80 ± 0.30 | 0.66 ± 0.11 |
| Tumor | 1.90 ± 0.58 | 0.63 ± 0.14 | 0.33 ± 0.05 | 0.36 ± 0.16 |
| Blood | 1.75 ± 0.23 | 0.67 ± 0.08 | 0.52 ± 0.08 | 0.47 ± 0.05 |
| Thyroid (ID%) | 0.07 ± 0.03 | 0.05 ± 0.02 | 0.04 ± 0.01 | 0.09 ± 0.01 |
| Tumor/Blood | 1.08 | 0.95 | 0.64 | 0.77 |
| Tumor/Muscle | 3.56 | 2.88 | 1.66 | 1.48 |
© 2016 by the authors. Licensee MDPI, Basel, Switzerland. This article is an open access article distributed under the terms and conditions of the Creative Commons by Attribution (CC-BY) license ( http://creativecommons.org/licenses/by/4.0/).
Share and Cite
Duan, X.; Liu, T.; Zhang, Y.; Zhang, J. Synthesis and Biological Evaluation of Novel 99mTc(CO)3-Labeled Thymidine Analogs as Potential Probes for Tumor Proliferation Imaging. Molecules 2016, 21, 510. https://doi.org/10.3390/molecules21040510
Duan X, Liu T, Zhang Y, Zhang J. Synthesis and Biological Evaluation of Novel 99mTc(CO)3-Labeled Thymidine Analogs as Potential Probes for Tumor Proliferation Imaging. Molecules. 2016; 21(4):510. https://doi.org/10.3390/molecules21040510
Chicago/Turabian StyleDuan, Xiaojiang, Teli Liu, Yichun Zhang, and Junbo Zhang. 2016. "Synthesis and Biological Evaluation of Novel 99mTc(CO)3-Labeled Thymidine Analogs as Potential Probes for Tumor Proliferation Imaging" Molecules 21, no. 4: 510. https://doi.org/10.3390/molecules21040510
APA StyleDuan, X., Liu, T., Zhang, Y., & Zhang, J. (2016). Synthesis and Biological Evaluation of Novel 99mTc(CO)3-Labeled Thymidine Analogs as Potential Probes for Tumor Proliferation Imaging. Molecules, 21(4), 510. https://doi.org/10.3390/molecules21040510
