Abstract
A solid-phase procedure is used to synthesize racemic peptidomimetics based on the fundamental peptide unit. The peptidomimetics are constructed around proline or proline homologues variably substituted at the amine and carbonyl sites. The procedure expands the diversity of substituted peptidomimetic molecules available to the Distributed Drug Discovery (D3) project. Using a BAL-based solid-phase synthetic sequence the proline or proline homologue subunit is both constructed and incorporated into the peptidomimetic by an α-alkylation, hydrolysis and intramolecular cyclization sequence. Further transformations on solid-phase provide access to a variety of piperazine derivatives representing a class of molecules known to exhibit central nervous system activity. The procedure works well with proline cores, but with larger six- and seven-membered ring homologues the nature of the carboxylic acid acylating the cyclic amine can lead to side reactions and result in poor overall yields.
1. Introduction
A major initiative in the Distributed Drug Discovery (D3) project is the development of simple, inexpensive and reproducible synthetic procedures for access to a large number of biomimetic molecules [1,2,3,4]. Flexible synthetic routes are sought that increase the diversity of molecule types available to D3. We recently reported a solid-phase synthetic route to derivatives of the generic fundamental peptide unit 1 [5]. Many variations of R1, R2, and R3 are permitted on this inherently biomimetic scaffold. We also published a synthetic route to 2 giving access to selective binding agents for subclasses of 5-hydroxytryptamine receptors [5,6,7]. Derivatives of scaffold 2 showed central nervous system activity [6]. We sought a solid-phase route to analogs 3, of 1 and 2, where R1 was incorporated into a cyclic amine (Figure 1).
Figure 1.
Fundamental peptide unit molecules 1, 2, and proline and proline homologues 3.
Compounds 1 and 2 can be readily prepared on solid support using BAL-type resins [5,7]. The reactions of this 9- and 12-step synthesis are outlined in Scheme 1.
Scheme 1.
Solid-phase synthetic routes to compounds 1 and 2 using BAL-based resins.
Proline, with its cyclic and secondary amine structure, confers unique properties on proline-containing peptides, proteins, and drugs [8,9]. This is a consequence of conformational constraints induced by this cyclic amino acid residue. It is typically incorporated into peptides by direct acylation of proline in a solid-phase synthetic sequence. To explore the consequences of subtle changes in proline structure on biological activity, we developed a five-step solid-phase synthetic route to racemic proline and proline homologues involving on-resin alkylation with α,ω-dihaloalkanes, followed by hydrolysis and intramolecular cyclization (Scheme 2) [8,9].
Scheme 2.
Solid-phase synthesis of proline and homologues from resin-bound intermediate 10 [8,9].
This paper describes adaptation of this chemistry to the BAL-based sequence outlined in Scheme 1, permitting the BAL-based solid-phase construction of racemic proline and homologues (compounds 3 in Figure 1) with simultaneous incorporation into the basic peptide unit 1. An exemplification incorporates piperazine derivatives into 3 to access the unique structural feature of compounds 2 identified as CNS agents. These results provide the research foundation for a highly flexible synthetic route for utilization in future D3-compatible processes.
2. Results and Discussion
Formation of the five-, six- and seven-membered nitrogen-containing rings in this solid-phase sequence relies on successful alkylation of the Schiff base of a resin-bound glycinate on BAL with α,ω-dihaoalkanes and subsequent intramolecular halide displacement by the α-amino group (Scheme 3). Previous studies demonstrated that use of the glycine aldimine provided the required activation for clean monoalkylation without further undesired dialkylation [7]. Therefore, aldimine 6 was chosen as the substrate for alkylation.
Scheme 3.
Pilot solid-phase synthetic pathway using BAL-based aldimine resins to yield proline amide and homologues.
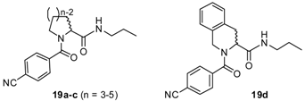
Pilot alkylation of aldimine 6a (R3 = nPr) with 1-bromo-3-chloropropane, hydrolysis to 16a, cyclization to 17a, followed by acylation with 4-cyanobenzoic acid and cleavage gave 19 (R3 = nPr; R2 = 4-NC-C6H4) along with side products with an α-allyl group. This suggested a competing alkylation with allyl halide, an activated electrophile, resulted from in situ elimination of 1-bromo-3-chloropropane. This undesired elimination and subsequent alkylation reaction was alleviated when 1-chloro-3-iodo-propane was used and completely absent when propane dihalides were replaced with butane or pentane dihalides, indicating expected nucleophilic displacement was dominating when allyl halide species were not produced (Table 1). Products for this nine-step synthesis (from BAL-resin 4) were obtained in moderate to good overall yields (Table 1). A higher yield to the bicyclic compound 19d was obtained when an activated electrophile α,α′-dichloro-p-xylene was used as the alkyl dihalide (R1X).
Table 1.
Preliminary studies of alkylating agents for the construction of proline (and homologue) rings using BAL-based aldimine resins.
Encouraged by these initial results for this nine-step synthetic pathway to cyclic amino acid amide derivatives, we next explored the chemical compatibility of on-resin cyclized intermediate products with: (1) acylations using more hindered carboxylic acids (cyclopropyl carboxylic acid and 1-admantane carboxylic acid), and (2) the subsequent on-resin nucleophilic displacement reaction of iodo-containing intermediates 21 with piperazines (Scheme 4). This nucleophilic displacement sequence was performed with the previously developed method of alcohol activation using PPh3/I2/imidazole [5]. Studies to target compounds 3 and 22 were conducted with the same four alkylating agents used for the preparation of compounds 19; cyclopropyl carboxylic acid and 1-admantane carboxylic acid in place of 4-cyanobenzoic acid; and three substituted piperazines. For n = 3, moderate overall yields of 3 and 22 were obtained in this 12-step synthesis (based on starting material 4) (Table 2).
Scheme 4.
Solid-phase synthetic route (using BAL-based aldimine resins) to proline and homologues substituted on both the amine and carbonyl residues.
Table 2.
Survey of eight cyclic amino acid amide compounds successfully prepared from two alkylating agents, two carboxylic acids, and three piperazines.
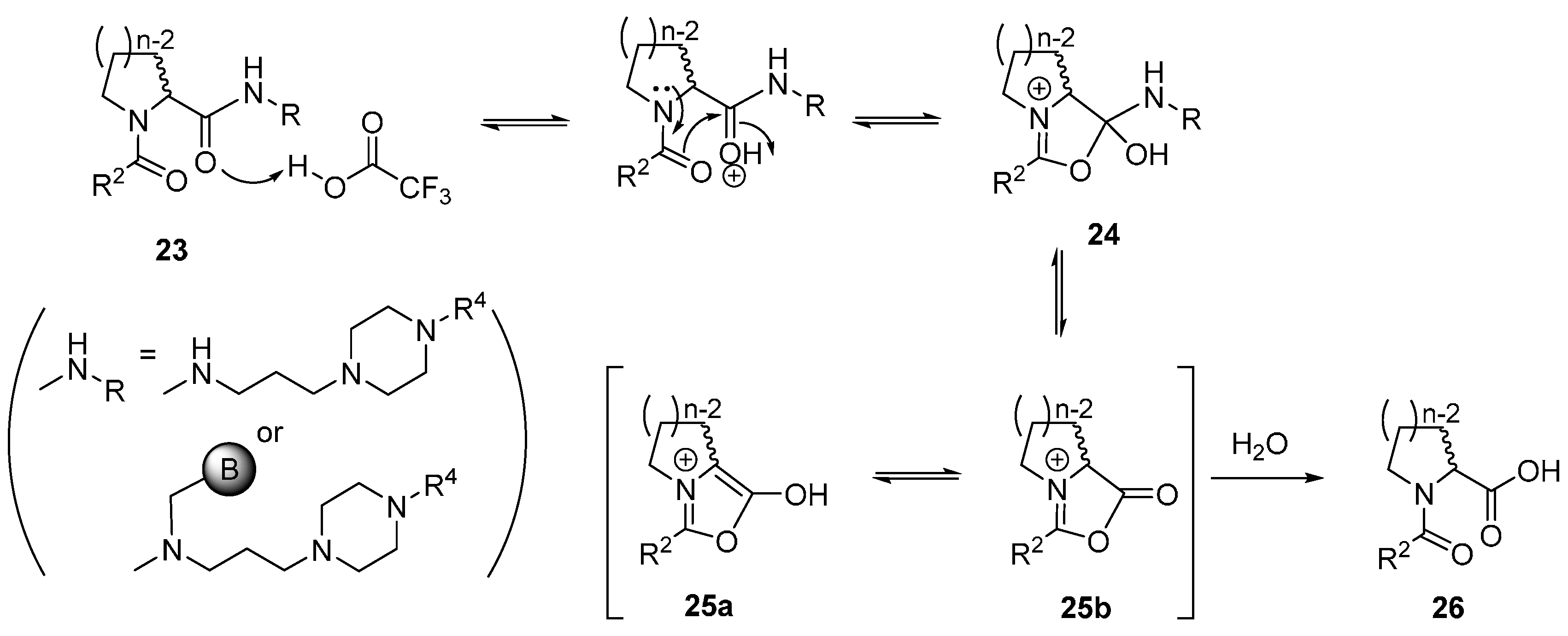
In contrast to the successful preparation of six- and seven-membered aliphatic ring homologs in the pilot Scheme 3, these scaffolds were not obtained (Scheme 4) when either cyclopropyl carboxylic acid or 1-admantane carboxylic acid was used in place of 4-cyanobenzoic acid. However, when α,α′-dichloro-p-xylene was used as the alkylating agent the desired final products were obtained in moderate yields with cyclopropane carboxylic acid as the acylating agent and piperazines of higher nucleophilicity. Based on the initial results shown in Table 1, five-, six-, and seven-membered rings should also have been formed by the sequence of alkylation, hydrolysis and intramolecular cyclization (Scheme 4). Therefore, the absence of the desired six- and seven-membered ring products can be attributed to reactions other than alkylation. This is likely due to an unstable amide bond to the α-carboxylic acid, a function, in these compounds, of both the ring size and the acylating agent. Unexpected hydrolysis of the amide bond involving the carboxylate of the six-membered ring pipecolic acid residue has been reported during TFA treatment of peptides [10]. Hydrolytic instability with electron donating acylating agents has also been reported [11]. In both these reports hydrolysis was proposed to proceed via an oxazolinium ion intermediate mechanism (Scheme 5). The ease of the amide bond hydrolysis is highly dependent on the stability of the intermediate 25a/25b, which is affected by two factors: the size of the ring that is fused to the oxazolinium ion (steric effect) [10] and the electronic nature of the R2 group (electronic effect) [11]. Compared with the five-membered ring, six- or seven-membered rings are less constrained, thus favoring the formation of the oxazolinium ion leading to the hydrolysis. In addition, electron-donating substituents on the acyl residue R2 stabilize the oxazolinium cation, thus favoring its formation and promoting hydrolysis. The combination of these steric and electronic effects magnifies the hydrolytic instability. These results are consistent with the successful preparation of the five, six and seven-membered compounds 19 (Table 1) where, in spite of the larger ring sizes, the electron-withdrawing cyano group on the aromatic acylating group destabilizes the oxazolinium cation, and, therefore, disfavors the hydrolytic side reaction to afford expected products (19).
Scheme 5.
Proposed mechanism for the hydrolysis of proline/proline homologue intermediate products upon treatment with trifluoroacetic acid (TFA).
3. Experimental Section
3.1. General
Solution and solid-phase organic transformations and resin washes were carried out at ambient temperature, unless indicated otherwise. Organic solvents and reagents were of reagent grade and used directly without purification. Chloroform-d1, 1-chloro-3-iodopropane, 1-(3-chlorophenyl)piperazine, α,α′-dichloro-o-xylene, 1,3-diisopropylcarbodiimide (DIC), anhydrous N,N-dimethylforamide (DMF), and sodium bisulfate monohydrate (NaHSO4·H2O) were purchased from Acros Organics. Acetic acid, trifluoroacetic acid (TFA), hydrochloric acid, and methanol were obtained from Fisher Scientific (Waltham, MA, USA). 1-Adamantane carboxylic acid was purchased from Fluka. 3-Aminopropanol, tert-butyl(chloro)diphenylsilane, 1-chloro-4-iodobutane, 1-chloro-5-iodopentane, 4-cyanobenzoic acid, 3,4-dichlorobenzaldehyde, 1-(2,3-dichlorophenyl)-piperazine hydrochloride, N,N-diisopropylethylamine (DIEA), 1-hydroxybenzotriazole hydrate (HOBt), imidazole, methanol-d4, 1-(2-methoxyphenyl)piperazine, piperidine, sodium cyanoborohydride, tetrabutylammonium fluoride (TBAF) (1M solution in THF), triethylamine, triphenylphosphine and trimethylorthoformate were obtained from Aldrich Chemical Co. (St. Louis, MO, USA) 4-Methylbenzhydrylamine hydrochloride resin (PL-MBHA·HCl, 1.6 mmol/g, 75–150 μm) was purchased from Polymer Laboratories (Hopkins, MN, USA). 4-(4-Formyl-3,5-dimethoxyphenoxy)butyric acid (BAL linker), N-α-Fmoc-glycine and 2-(1H-Benzotriazole-1-yl)-1,1,3,3-tetramethylaminium hexafluorophosphate (HBTU) were purchased from NovaBiochem (Danvers, MA, USA). Iodine was obtained from J. T. Baker (Avantor Performance Materials, Center Valley, PA, USA) and used without further purification. O-t-Butyldiphenylsilyl-3-aminopropanol hydrochloride (TBDPSO(CH2)3NH2·HCl) was prepared following the reported procedure [12]. Triphenylphosphine was recrystallized from hexanes before use. Ratios in all solvent and reagent mixtures prepared are volume to volume unless otherwise noted.
Manual solid-phase organic syntheses were carried out in two types of reaction vessels. For large scale (up to 3.7 mmol) reactions peptide synthesis reaction vessels (50 mL) with coarse porosity fritted glass support and supplied with a GL thread and a Teflon-lined PBT screw cap (Chemglass, CG-1860-03, Chemglass Life Sciences, Vineland, NJ, USA) were used. For small-scale reactions (typically 50 µmol each) Bill-Board equipment (Chemglass Life Sciences), designed to be inexpensive, simplify and expedite multiple, manual solid-phase syntheses [2,4,13], was used. The complete Bill-Board set (Catalog number CG-1869) and associated replacement parts and supplies can be purchased from Chemglass. For agitation, the large-scale reactions in the peptide synthesizers were placed on an orbital shaker (Thermolyne, Roto Mix, Type 50800, Alpha Multiservices Inc. Conroe, TX, USA) while appropriate motor rotators were used as rotation devices for small-scale reactions.
Depending on the number of reactions to be conducted, the starting resin was distributed either by weight or as aliquots from an isopycnic suspension [2]. In the case of distribution by volume from an isopycnic suspension, the Bill-Boards were placed in their drain trays, and from a neutral buoyancy suspension in CH2Cl2-NMP typically, 50 μmols of the starting resin (with a known loading) was distributed, via repeated aliquots (1 mL), to each of the reaction vessels in a given Bill-Board (6-pack or 24-pack). During the distribution of the resin, the isopycnic solvent was allowed to drain through the frit in the reaction vessels. When distribution was complete, residual solvent was removed with an “air-push” from a disposable plastic pipet (Fisher, 13-711-23) fitted with a pierced septum (Aldrich, Z12743-4). The resin was then washed with an appropriate solvent (this solvent wash was also carried out when the resin was weighed into the reaction vessels). The bottom of each reaction vessel was then capped, and a new calibrated pipet (Fisher, 13-711-24) was used for adding each reagent in the following step. The tops of all reaction vessels were capped and the Bill-Board was placed on an appropriate rotation apparatus. Following the reaction the reagents and solvents were drained and the resin product was then washed with the indicated solvents. Resin-bound intermediates were air-dried after the final CH2Cl2 washes, unless re-weighing was necessary, in which case overnight drying was carried out under high vacuum (≤0.2 mmHg) or under low vacuum (house vacuum) for 24–36 h in a vacuum desiccator. During resin washing with solvents for large scale reactions, at least 3 min of solvent contact with the resin in the reaction vessels (bottom closed) was performed, then the resin was drained, followed by an air-push. For washing of small scale reactions, at least 30 s was normally used after addition of solvents to the reaction vessels (with bottom end open for draining) followed by an air-push. Solid-phase reactions at elevated temperatures (50 °C, 60 °C and/or 80 °C) were carried out in an Isotemp® Oven Model 280A (Fisher Scientific) with the reaction vessels capped to finger tightness.
Analytical thin layer chromatography (TLC) was performed with EM Science silica gel 60 F254, 0.25 mm pre-coated glass plates (EMD Chemical Inc., 5715-7, Gibbstown, NJ, USA). TLC plates were visualized using UV254. Column chromatography was performed on HyperSep SI® 3 mL cartridges (60108-315, Thermo Fisher Scientific Inc.) preloaded with 500 mg of silica gel 60 (irregular particles 40–63 μm) from Thermo Electron Corporation (Beverly, MA, USA). The yields of the final compounds, after chromatographic purification, were calculated on the basis of the initial loading of the starting resins and are the overall yields for all reaction steps starting from these resins. 1H-NMR (500 MHz) and 13C-NMR (125 MHz) spectra were recorded on a Bruker Avance III 500 spectrometer (Billerica, MA, USA). Chemical shifts are reported in parts per million (ppm) and are referenced to the centerline of chloroform-d1 (δ 7.26 ppm 1H-NMR, 77.0 ppm 13C-NMR) using TMS (0.00 ppm), or chloroform-d1 mixed with methanol-d4 (2%–10%). Coupling constants are given in Hertz (Hz).
Electrospray ionization mass spectrometry was conducted using a PESciex API III triple stage quadrupole mass spectrometer (Agilent Technologies, Santa Clara, CA, USA) operated in either positive-ion or negative-ion detection mode. LC/MS analyses for initial purity of the crude products were conducted using an Agilent system (Agilent Technologies), consisting of a 1100 series HPLC connected to a diode array detector and a 1946D mass spectrometer configured for positive-ion/negative-ion electrospray ionization. The LC/MS samples were analyzed as solutions in CH3CN, prepared at 0.08–0.12 mg/mL concentration. The LC/MS derived composition of mixtures was determined based on UV integration at 210 nm. The LC/MS chromatography was carried out on an Agilent Zorbax SB-C8 column (PN835975-906; 4.6 mm × 50 mm, 3.5 μm) with linear gradients of 0.1% TFA in CH3CN and 0.1% aqueous TFA and were run at 1.0 mL/min flow rate from 20:80 to 90:10 for 25 min. The composition of reaction mixtures was determined based on the integration of NMR spectra as well as LC/MS results. High-resolution mass spectrometry was obtained on a MAT 95XP (Thermo Electron Corp.) with chemical ionization (CI), electron impact (EI), or fast-atom bombardment (FAB) mode.
3.2. General Procedures for Manual Solid-Phase Organic Syntheses
3.2.1. Preparation of MBHA-BAL Resin 4 and Derivatives 6a and 6b
The preparations followed the reported procedures [5,7].
3.2.2. General Procedures for the Preparation of 17a and 17b from 6a and 6b
Alkylations of the Aldimine of Glycine on BAL Resins 6a or 6b with α,ω-Dihaloalkanes, Subsequent Imine Hydrolysis, and Intramolecular Cyclization: After the resin bound Schiff base 6a or 6b (50 μmol) was washed with CH2Cl2 (3 × 1 mL) and pre-swelled in CH2Cl2 (1 mL) for 1 h, it was washed with NMP (4 × 1 mL). To the resin was added BTPP solutions in NMP (1.0 M, 0.5 mL, 10 eq), followed by addition of I-(CH2)n-Cl (neat, 0.5 mmol, 10 eq, whereas in the case of α,α’-dichloro-o-xylene, its solution in NMP (0.25 mL, 2.0 M, 10 eq) was added). Alkylation was allowed to proceed at room temperature for 24 h with rotation. The alkylated resin product 15a or 15b was washed with NMP (4 × 1 mL), CH2Cl2 (4 × 1 mL), and THF (4 × 1 mL), the resin was then hydrolyzed to afford 16a or 16b using 1N HCl-THF (1:2, 1 mL) over 20 min. After the drained resin was washed with THF (3 × 1 mL), CH2Cl2 (3 × 1 mL), and NMP (3 × 1 mL), it was then treated with 10% DIEA/NMP (1 mL) at ambient temperature for 24 h. The resulting resin bound product 17a or 17b was washed with NMP (4 × 1 mL), THF (3 × 1 mL), and CH2Cl2 (4 × 1 mL).
3.2.3. General Procedures for the Preparation of 19 from 17a
After the resin 17a was swelled in CH2Cl2 for 1 h and washed with DMF (4 × 1 mL), it was treated with a pre-mixed clear solution of carboxylic acid (0.25 mmol, 5 eq), HOBt (0.034 g, 0.25 mmol, 5 eq) and DIC (0.032 g, 0.25 mmol, 5 eq) in DMF. The completion of the reaction was indicated by a negative chloranil test [14]. The resulting resin product 18a was then washed with DMF (4 × 1 mL), THF (3 × 1 mL), and CH2Cl2 (3 × 1 mL). Cleavage with 90% TFA/CH2Cl2 (1 mL) at room temperature over 1.5 h gave desired product 19a–d. (Scheme 3).
1-(4-Cyanobenzoyl)-N-propylpyrrolidine-2-carboxamide (19a): Product 19a was obtained from resin 6a, 1-chloro-3-iodopropane, and 4-cyanobenzoic acid as light yellow oil (4.0 mg, 28% isolated yield) following chromatographic purification over silica gel with CH2Cl2/MeOH (97:3). Initial LC/MS purity (for crude product) 43%, tR = 3.1 min. 1H-NMR (500 MHz, CDCl3): δ 0.93 (t, J = 7.3 Hz, 3H), 1.53 (tq, J = 7.3 Hz, J = 7.3 Hz, 2H), 1.82–1.89 (m, 1H), 1.96–2.09 (m, 3H), 2.43–2.52 (m, 1H), 3.20–3.28 (m, 2H), 3.34–3.44 (m, 1H), 3.49–3.58 (m, 1H), 4.68 (dd, J = 7.3 Hz, J = 3.2 Hz, 1H), 6.78 (brs, 1H), 7.62 (d, J = 8.5 Hz, 2H), 7.72 (d, J = 8.6 Hz, 2H). 13C-NMR (500 MHz, CDCl3): δ 11.4, 20.4, 22.7, 25.8, 41.4, 46.0, 52.7, 113.9, 117.9, 126.5, 132.5, 139.7, 170.3, 171.1.
1-(4-Cyanobenzoyl)-N-propylpiperidine-2-carboxamide (19b): Product 19b was obtained from resin 6a, 1-chloro-4-iodobutane, and 4-cyanobenzoic acid as light yellow oil (3.0 mg, 20% isolated yield) following chromatographic purification over silica gel with CH2Cl2/MeOH (98:2). Initial LC/MS purity (for crude product) 46%, tR = 5.9 min. 1H-NMR (500 MHz, CDCl3): δ 0.92 (t, J = 7.3 Hz, 3H), 1.46–1.58 (m, 4H), 1.60–1.76 (m, 2H), 1.83–1.93 (m, 1H), 2.22–2.32 (m, 1H), 3.15–3.35 (m, 3H), 3.46–3.55 (m, 1H), 5.20 (m, 1H), 6.32 (brs, 1H), 7.53 (d, J = 8.5 Hz, 2H), 7.72 (d, J = 8.5 Hz, 2H). 13C-NMR (500 MHz, CDCl3): δ 11.2, 21.0, 23.1, 23.8, 25.2, 42.5, 44.5, 62.3, 113.6, 118.1, 127.9, 132.1, 139.5, 170.5, 171.3.
1-(4-Cyanobenzoyl)-N-propylazepane-2-carboxamide (19c): Product 19c was obtained from resin 6a, 1-chloro-5-iodopentane, and 4-cyanobenzoic acid as light yellow oil (4.0 mg, 26% isolated yield) following chromatographic purification over silica gel with CH2Cl2/MeOH (98:2). Initial LC/MS purity (for crude product) 82%, tR = 6.1 min. 1H-NMR (500 MHz, CDCl3): δ 0.93 (t, J = 7.3 Hz, 3H), 1.34–1.40 (m, 4H), 1.49–1.60 (m, 2H), 1.97–2.21 (m, 4H), 3.18–3.29 (m, 2H), 3.37–3.45 (m, 2H), 4.85 (dd, J = 7.4 Hz, J = 3.0 Hz, 1H), 6.32 (brs, 1H), 7.47 (d, J = 8.5 Hz, 2H), 7.71 (d, J = 8.6 Hz, 2H). 13C-NMR (500 MHz, CDCl3): δ 11.5, 23.0, 25.2, 28.9, 29.3, 30.9, 41.4, 46.2, 58.5, 113.5, 118.3, 127.1, 132.7, 141.2, 171.5, 172.2.
2-(4-Cyanobenzoyl)-N-propyl-1,2,3,4-tetrahydroisoquinoline-3-carboxamide (19d): Product 19d was obtained from resin 6a, α,α′-dichloro-o-xylene, and 4-cyanobenzoic acid as light yellow oil (9.0 mg, 52% isolated yield) following chromatographic purification over silica gel with CH2Cl2/MeOH (99:1). Initial LC/MS purity (for crude product) 75%, tR = 7.9 min. 1H-NMR (500 MHz, CDCl3): δ 0.91 (t, J = 7.3 Hz, 3H), 1.52 (m, 2H), 3.10–3.18 (m, 1H), 3.19–3.32 (m, 2H), 3.42–3.49 (m, 1H), 4.33–4.54 (m, 2H), 5.13 (m, 1H), 6.46 (brs, 1H), 7.16–7.28 (m, 4H), 7.54 (d, J = 8.5 Hz, 2H), 7.77 (d, J = 8.5 Hz, 2H). 13C-NMR (500 MHz, CDCl3): δ 11.3, 22.8, 29.7, 41.4, 49.6, 53.9, 114.1, 117.9, 125.2, 126.8, 127.5, 127.8, 128.2, 128.5, 133.2, 133.9, 139.7, 169.9, 170.1.
3.2.4. General Procedures for the Preparation of 3 and 22 from 17b
Synthesis of New Proline Amide and Homologue -based Piperazine Incorporated Products 3 and 22 through Acylation, Deprotection, Iodination, N-Alkylation with Piperazines, and Cleavage: After the resin 17b was swelled in CH2Cl2 for 1 h and washed with DMF (4 × 1 mL), it was treated with a pre-mixed clear solution of carboxylic acid (0.25 mmol, 5 eq), HOBt (0.034 g, 0.25 mmol, 5 eq) and DIC (0.032 g, 0.25 mmol, 5 eq) in DMF. The completion of the reaction was indicated by a negative chloranil test [14]. The resulting resin product 18b was then washed with DMF (4 × 1 mL), THF (3 × 1 mL), and CH2Cl2 (3 × 1 mL). After 18b was pre-swelled in CH2Cl2 for 40 min, it was washed with THF (3 × 1 mL), followed by treatment with 1M TBAF/THF (1 mL, 1 mmol, 20 eq) for removal of TBDPS group. After the reaction proceeded for 18 h, the drained resin product 20 was washed with THF (4 × 1 mL), and CH2Cl2 (3 × 1 mL). Iodination of alcohol resin 20 started with its pre-swelling in CH2Cl2 for 1 h, followed by washes with DMF (3 × 1 mL). The resin was then treated with a pre-mixed solution of iodine (0.063 g, 0.25 mmol, 5 eq), PPh3 (0.066 g, 0.25 mmol, 5 eq), and imidazole (0.017 g, 0.25 mmol, 5 eq) in DMF (0.75 mL). The reaction was allowed to proceed at room temperature overnight. After 18 h of iodination reaction, the filtered iodinated resin product 21 was washed with DMF (3 × 1 mL), MeOH (3 × 1 mL), DMF (2 × 1 mL), and CH2Cl2 (3 × 1 mL). The air-dried resin was swollen in CH2Cl2 for 40 min, and to the resin was then added a solution of Piperazines in DMSO (1 M, 0.75 mL, 15 eq) except that 2,3-dichlorophenyl piperazine hydrochloride (0.201 g, 0.75 mmol, 15 eq) was added as the solid together with same equivalent of base DIEA (0.097 g, 0.75 mmol, 15 eq). The reaction was heated to 50 °C for 6 h with occasional agitation. The resulting resin product was drained, and sequentially washed with DMF (2 × 1 mL), MeOH (2 × 1 mL), DMF (3 × 1 mL), and CH2Cl2 (4 × 1 mL). Cleavage with 90% TFA/CH2Cl2 (1 mL) at room temperature over 1.5 h afforded target compound 3a–3d, 22a and 22b.
1-(Cyclopropanecarbonyl)-N-(3-(4-(2-methoxyphenyl)piperazin-1-yl)propyl)pyrrolidine-2-carboxamide (3a): Product 3a was obtained from resin 6b, 1-chloro-3-iodopropane, cyclopropanecarboxylic acid, and 1-(2-methoxyphenyl)piperazine as light yellow oil (2.9 mg, 14% isolated yield) following chromatographic purification over silica gel with CH2Cl2/MeOH (95:5). Initial LC/MS purity (for crude product) 49%, tR = 3.3 min. 1H-NMR (500 MHz, CDCl3): δ 0.78–0.82 (m, 2H), 0.83–0.89 (m, 1H), 0.91–0.99 (m, 1H), 1.69–1.79 (m, 1H), 1.98–2.22 (m, 8H), 2.98–3.05 (m, 2H), 3.24–3.35 (m, 4H), 3.43–3.52 (m, 3H), 3.64–3.69 (m, 2H), 3.87 (s, 3H), 3.89–3.94 (m, 1H), 4.44 (dd, J = 7.6 Hz, J = 3.0 Hz, 1H), 6.89 (d, J = 7.9 Hz, 1H), 6.93–6.96 (m, 2H), 7.04–7.11 (m, 1H), 7.83 (m, 1H). 13C-NMR (500 MHz, CDCl3): δ 7.5, 8.0, 12.8, 23.0, 24.8, 28.9, 35.8, 47.3, 47.6, 51.8, 53.1, 54.2, 55.5, 60.9, 111.4, 118.9, 121.3, 124.5, 139.0, 152.2, 162.1, 173.0, 173.9.
N-(3-(4-(3-Chlorophenyl)piperazin-1-yl)propyl)-1-(cyclopropanecarbonyl)pyrrolidine-2-carboxamide (3b): Product 3b was obtained from resin 6b, 1-chloro-3-iodopropane, cyclopropanecarboxylic acid, and 1-(3-chlorophenyl)piperazine as light yellow oil (3.0 mg, 14% isolated yield) following chromatographic purification over silica gel with CH2Cl2/MeOH (92:8). Initial LC/MS purity (for crude product) 43%, tR = 5.1 min. 1H-NMR (500 MHz, CDCl3): δ 0.79–0.89 (m, 3H), 0.90–0.97 (m, 1H), 1.69–1.78 (m, 1H), 1.94–2.26 (m, 8H), 2.84–2.95 (m, 1H), 2.98–3.07 (m, 1H), 3.22–3.33 (m, 2 H), 3.38–3.49 (m, 3 H), 3.57–3.72 (m, 4H), 3.86–3.93 (m, 1H), 4.42 (dd, J = 7.5 Hz, J = 3.1 Hz), 6.79 (dd, J = 8.3 Hz, J = 2.2 Hz, 1H), 6.89 (m, 1H), 6.92–6.97 (m, 1H), 7.21 (t, J = 8.1 Hz, 1H), 7.73 (t, J = 5.2 Hz). 13C-NMR (500 MHz, CDCl3): δ 7.5, 8.1, 12.8, 23.1, 24.8, 29.0, 35.9, 46.3, 47.6, 54.3, 60.9, 114.9, 117.2, 121.5, 130.5, 135.3, 150.6, 173.0, 173.9. HRMS calcd for [M + H]+: C22H32N4O2Cl 419.2214, found 419.2229.
1-(Cyclopropanecarbonyl)-N-(3-(4-(2,3-dichlorophenyl)piperazin-1-yl)propyl)pyrrolidine-2-carboxamide (3c): Product 3c was obtained from resin 6b, 1-chloro-3-iodopropane, cyclopropanecarboxylic acid, and 1-(2,3-dichlorophenyl)-piperazine hydrochloride as light yellow oil (2.0 mg, 9% isolated yield) following chromatographic purification over silica gel with CH2Cl2/OH (95:5). Initial LC/MS purity (for crude product) 41%, tR = 6.1 min. 1H-NMR (500 MHz, CDCl3): δ 0.79–0.89 (m, 3H), 0.91–0.97 (m, 1H), 1.69–1.78 (m, 1H), 1.99–2.05 (m, 2H), 2.06–2.11 (m, 2H), 2.14–2.22 (m, 2H), 2.97–3.09 (m, 3H), 3.26–3.34 (m, 2H), 3.36–3.46 (m, 5H), 3.63–3.74 (m, 3H), 3.87–3.94 (m, 1H), 4.43 (dd, J = 7.6 Hz, J = 3.1 Hz, 1H), 7.02 (dd, J = 8.0 Hz, J = 1.4 Hz, 1H), 7.19 (t, J = 8.0 Hz, 1H), 7.25 (d, J = 1.3 Hz, 1H), 7.75 (t, J = 5.6 Hz, 1H). 13C-NMR (500 MHz, CDCl3): 7.5, 8.1, 12.8, 23.1, 24.8, 29.0, 35.8, 47.6, 47.9, 54.4, 60.9, 119.2, 126.2, 127.8, 127.9, 134.3, 149.1, 162.4, 173.0, 173.9. HRMS calcd for [M + H]+: C22H31N4O2Cl2 453.1824, found 453.1845 (RA 100%).
1-(Adamantanecarbonyl)-N-(3-(4-(2-methoxyphenyl)piperazin-1-yl)propyl)pyrrolidine-2-carboxamide (3d): This product was obtained from resin 6b, 1-chloro-3-iodopropane, 1-adamantanecarboxylic acid, and 1-(2-methoxyphenyl)piperazine as light yellow oil (5.7 mg, 22% isolated yield) following chromatographic purification over silica gel with CH2Cl2/MeOH (92:8). Initial LC/MS purity (for crude product) 44%, tR = 9.3 min. 1H-NMR (500 MHz, CDCl3): δ 1.71 (m, 6H), 1.85–1.95 (m, 3H), 1.96–1.99 (m, 5H), 2.00–2.09 (m, 7H), 3.05 (t, J = 10.8 Hz, 2H), 3.13–3.18 (m, 1H), 3.20–3.32 (m, 4H), 3.41–3.47 (m, 1H), 3.48–3.54 (m, 2H), 3.66 (d, J = 11.8 Hz, 1H), 3.76–3.84 (m, 3H), 3.87 (s, 3H), 4.43 (dd, J = 7.4 Hz, J = 5.3 Hz, 1H), 6.89 (d, J = 8.1 Hz, 1H), 6.92–6.95 (m, 2H), 7.03–7.12 (m, 1H), 7.41 (m, 1H). 13C-NMR (500 MHz, CDCl3): δ 23.7, 28.3, 35.9, 36.6, 38.2, 41.8, 47.5, 48.6, 52.4, 52.6, 54.6, 55.5, 62.9, 111.4, 118.9, 121.2, 124.4, 139.0, 152.2, 162.5, 173.9, 176.9. HRMS calcd for [M + H]+: C30H45N4O3 509.3492, found 509.3474.
N-(3-(4-(3-Chlorophenyl)piperazin-1-yl)propyl)-1-(adamantanecarbonyl)pyrrolidine-2-carboxamide (3e): This product was obtained from resin 6b, 1-chloro-3-iodopropane, 1-adamantanecarboxylic acid, and 1-(3-chlorophenyl)piperazine as light yellow oil (2.0 mg, 8% isolated yield) following chromatographic purification over silica gel with CH2Cl2/MeOH (92:8). Initial LC/MS purity (for crude product) 39%, tR = 10.8 min. 1H-NMR (500 MHz, CDCl3): δ 1.63–1.78 (m, 6H), 1.89–1.98 (m, 7H), 1.99–2.12 (m, 8H), 2.95 (m, 2H), 3.12–3.20 (m, 1H), 3.21–3.31 (m, 2H), 3.36–3.52 (m, 3H), 3.56–3.71 (m, 3H), 3.78–3.89 (m, 3H), 4.38 (dd, J = 7.7 Hz, J = 5.2 Hz, 1H), 6.78 (dd, J = 8.2 Hz, J = 2.1 Hz, 1H), 6.86–6.90 (m, 1H), 6.91–6.95 (m, 1H), 7.16–7.24 (m, 2H). 13C-NMR (500 MHz, CDCl3): δ 23.8, 28.3, 36.1, 36.6, 38.2, 41.8, 46.5, 48.6, 54.5, 62.9, 114.9, 117.2, 121.4, 130.4, 135.3, 150.6, 173.9, 176.9. HRMS calcd for [M + H]+: C29H42N4O2Cl 513.2996, found 513. 2987.
1-(Adamantanecarbonyl)-N-(3-(4-(2,3-dichlorophenyl)piperazin-1-yl)propyl)pyrrolidine-2-carboxamide (3f): This product was obtained from resin 6b, 1-chloro-3-iodopropane, 1-adamantanecarboxylic acid, and 1-(2,3-dichlorophenyl)-piperazine hydrochloride as light yellow oil 2.0 mg (7% isolated yield) following chromatographic purification (CH2Cl2/MeOH (92:8)): initial LC/MS purity (for crude product) 39%, tR = 11.5 min. 1H-NMR (500 MHz, CDCl3): δ 1.66–1.77 (m, 6H), 1.91–1.99 (m, 7H), 2.00–2.13 (m, 8H), 3.00–3.12 (m, 2H), 3.14–3.23 (m, 1H), 3.23–3.31 (m, 2H), 3.35–3.42 (m, 4H), 3.45–3.55 (m, 1H), 3.65–3.73 (m, 1H), 3.78–3.89 (m, 3H), 4.39 (dd, J = 7.7 Hz, J = 5.3 Hz, 1H), 7.01 (dd, J = 7.9 Hz, J = 1.1 Hz, 1H), 7.19 (t, J = 7.9 Hz, 2H), 7.24 (m, 1H). 13C-NMR (500 MHz, CDCl3): δ 23.9, 28.3, 35.9, 36.6, 38.2, 41.8, 48.2, 48.7, 54.7, 62.9, 119.2, 126.2, 127.8, 127.9, 134.3, 149.1, 173.8, 176.9. HRMS calcd for [M + H]+: C29H41N4O2Cl2 547.2607, found 547.2627.
2-(Cyclopropanecarbonyl)-N-(3-(4-(2-methoxyphenyl)piperazin-1-yl)propyl)-1,2,3,4-tetrahydroisoquinoline-3-carboxamide (22a): Product 22a was obtained from resin 6b, α,α′-dichloro-o-xylene, cyclopropanecarboxylic acid, and 1-(2-methoxyphenyl)piperazine as amorphous white solid (6.0 mg, 25% isolated yield) following chromatographic purification over silica gel with CH2Cl2/MeOH (92:8). Initial LC/MS purity (for crude product) 65%, tR = 6.2 min. 1H-NMR (500 MHz, CDCl3, 1:1 mixture of two rotamers): δ 0.78–0.91 (m, 2H), 0.93–1.05 (m, 1H), 1.05–1.19 (m, 1H), 1.38–1.49 (m, 1H), 1.56–1.61 (m, 1H), 1.69–1.83 (m, 2H), 1.90–2.05 (m, 1H), 2.07–2.23 (m, 1H), 2.47–2.59 (m, 2H), 2.63–2.75 (m, 2H), 2.97–3.05 (m, 1H), 3.07–3.16 (m, 3H), 3.17–3.26 (m, 2H), 3.35–3.45 (m, 1H), 3.86 (s, 3H), 4.56 (d, J = 15.9 Hz, 0.5 H), 4.81 (d, J = 15.9 Hz, 1H), 4.89 (m, 0.5H), 4.94 (d, J = 15.0 Hz, 0.5H), 5.16 (m, 0.5H), 6.87 (d, J = 7.8 Hz, 1H), 6.90–6.96 (m, 2H), 6.96–7.03 (m, 2H), 7.13–7.25 (m, 4H). 13C-NMR (500 MHz, CDCl3): δ 8.2, 12.4, 23.9, 29.7, 30.9, 32.9, 44.5, 48.5, 50.5, 53.4, 55.4, 111.2, 118.3, 121.0, 125.8, 126.4, 126.6, 127.3, 127.6, 127.9, 128.5, 133.9, 152.3, 173.3, 175.5. HRMS calcd for [M + H]+: C28H37N4O3 477.2866, found 477.2879.
N-(3-(4-(3-Chlorophenyl)piperazin-1-yl)propyl)-2-(cyclopropanecarbonyl)-1,2,3,4-tetrahydroisoquinoline-3-carboxamide (22b): Product 22b was obtained from resin 6b, α,α′-dichloro-o-xylene, cyclopropanecarboxylic acid, and 1-(3-chlorophenyl)piperazine as amorphous white solid (6.0 mg, 25% isolated yield) following chromatographic purification over silica gel with CH2Cl2/MeOH (92:8). Initial LC/MS purity (for crude product) 64%, tR = 7.8 min. 1H-NMR (500 MHz, CD3OD/CDCl3, 1 : 1 mixture of two rotamers): δ 0.87–0.91 (m, 2H), 1.06–1.12 (m, 1H), 1.39–1.44 (m, 2H), 1.59–1.66 (m, 2H), 1.85–1.93 (m, 1H), 1.97–2.05 (m, 2H), 2.68–2.76 (m, 1H), 3.02–3.09 (m, 1H), 3.22–3.28 (m, 2H), 3.32–3.40 (m, 2H), 3.42–2.59 (m, 4H), 3.63–3.71 (m, 1H), 4.86 (d, J = 15.0 Hz, 1H), 4.91–4.94 (m, 0.5H), 4.99–5.05 (m, 1H), 5.05–5.11 (m, 0.5H), 6.78 (dd, J = 8.2 Hz, J = 2.4 Hz, 1H), 6.86–6.89 (m, 1H), 6.91–6.95 (m, 1H), 7.14–7.25 (m, 5H). 13C-NMR (500 MHz, CD3OD/CDCl3): δ 12.2, 13.5, 19.7, 21.4, 23.9, 29.8, 46.5, 46.7, 51.8, 58.8, 114.9, 116.9, 126.3, 127.1, 127.8, 130.5, 133.4, 133.7, 134.0, 135.3, 151.0, 175.3, 176.4. HRMS calcd for [M + H]+: C27H34N4O2Cl 481.2370, found 481.2393.
4. Conclusions
In summary, a BAL-based synthetic route to acylated proline amides and six- and seven-membered homologues has been successfully developed using MBHA-BAL resin. Subsequent conversion to scaffolds containing piperazine derivatives was achieved with five-membered prolines but, except in two examples, not in the six- and seven-membered classes. This result appears to be a function of both ring size and the nature of the acylating agent. In order to enable the synthesis of new class of molecules within Distributed Drug Discovery (D3) project, optimization of current reaction conditions and alternative routes to the construction of six-membered or seven-membered proline amide and homologue ring products are under investigation.
Acknowledgments
We gratefully acknowledge the National Institutes of Health (R01 GM028193), The National Science Foundation (MRI CHE-0619254) and the Central Indiana Community Foundation for their financial support.
Author Contributions
Z.Z., W.L.S. and M.J.O. conceived and designed the experiments; Z.Z. performed the experiments; Z.Z. analyzed the data; W.L.S. contributed reagents/materials/analysis tools; Z.Z., W.L.S. and M.J.O. wrote the paper.
Conflicts of Interest
The authors declare no conflict of interest. The founding sponsors had no role in the design of the study; in the collection, analyses, or interpretation of data; in the writing of the manuscript, and in the decision to publish the results.
References
- Scott, W.L.; O’Donnell, M.J. Distributed drug discovery, part 1: Linking academia and combinatorial chemistry to find drug leads for developing world diseases. J. Comb. Chem. 2009, 11, 3–13. [Google Scholar] [CrossRef] [PubMed]
- Scott, W.L.; Alsina, J.; Audu, C.O.; Babaev, E.; Cook, L.; Dage, J.L.; Goodwin, L.A.; Martynow, J.G.; Matosiuk, D.; Royo, M.; et al. Distributed drug discovery, part 2: Global rehearsal of alkylating agents for the synthesis of resin-bound unnatural amino acids and virtual D3 catalog construction. J. Comb. Chem. 2009, 11, 14–33. [Google Scholar] [CrossRef] [PubMed]
- Scott, W.L.; Audu, C.O.; Dage, J.L.; Goodwin, L.A.; Martynow, J.G.; Platt, L.K.; Smith, J.G.; Strong, A.T.; Wickizer, K.; Woerly, E.M.; et al. Distributed drug discovery, part 3: Using D3 methodology to synthesize analogs of an anti-melanoma compound. J. Comb. Chem. 2009, 11, 34–43. [Google Scholar] [CrossRef] [PubMed]
- Scott, W.L.; Denton, R.E.; Marrs, K.A.; Durrant, J.D.; Samaritoni, J.G.; Abraham, M.M.; Brown, S.P.; Carnahan, J.M.; Fischer, L.G.; Glos, C.E.; et al. Distributed drug discovery: Advancing chemical education through contextualized combinatorial solid-phase organic laboratories. J. Chem. Educ. 2015, 92, 819–826. [Google Scholar] [CrossRef]
- Scott, W.L.; Zhou, Z.; Zajdel, P.; Pawlowski, M.; O’Donnell, M.J. Solid-phase synthetic route to multiple derivatives of a fundamental peptide unit. Molecules 2010, 15, 4961–4983. [Google Scholar] [CrossRef] [PubMed]
- Zajdel, P.; Subra, G.; Bojarski, A.J.; Duszyńska, B.; Tatarczyńska, E.; Nikiforuk, A.; Chojnacka-Wójcik, E.; Pawłowski, M.; Martinez, J. Novel class of arylpiperazines containing N-acylated amino acids: Their synthesis, 5-HT1A, 5-HT2A receptor affinity, and in vivo pharmacological evaluation. Bioorg. Med. Chem. 2007, 15, 2907–2919. [Google Scholar] [CrossRef] [PubMed]
- Scott, W.L.; Zhou, Z.; Martynow, J.G.; O’Donnell, M.J. Solid-phase synthesis of amino- andcarboxyl-functionalized unnatural α-amino acid amides. Org. Lett. 2009, 11, 3558–3561. [Google Scholar] [CrossRef] [PubMed]
- O’Donnell, M.J.; Alsina, J.; Scott, W.L. Solid-phase synthesis and utilization of side-chain reactive amino acids. Tetrahedron Lett. 2003, 44, 8403–8406. [Google Scholar] [CrossRef]
- Scott, W.L.; Alsina, J.; O’Donnell, M.J. The manual and automated solid-phase synthesis of α–substituted prolines and homologues. J. Comb. Chem. 2003, 5, 684–696. [Google Scholar] [CrossRef]
- Zajdel, P.; Nomezine, G.; Masurier, N.; Amblard, M.; Pawłowski, M.; Martinez, J.; Subra, G. A new highly versatile handle for chemistry on a solid support: The pipecolic linker. Chem. Eur. J. 2010, 16, 7547–7553. [Google Scholar] [PubMed]
- Samaritoni, J.G.; Copes, A.T.; Crews, D.K.; Glos, C.; Thompson, A.L.; Wilson, C.; O’Donnell, M.J.; Scott, W.L. Unexpected hydrolytic instability of N-acylated amino acid amides and peptides. J. Org. Chem. 2014, 79, 3140–3151. [Google Scholar] [CrossRef] [PubMed]
- Kupihár, Z.; Schmél, Z.; Kele, Z.; Penke, B.; Kovács, L. Synthesis and application of a novel, crystalline phosphoramidite monomer with thiol terminus, suitable for the synthesis of DNA conjugates. Bioorg. Med. Chem. 2001, 9, 1241–1247. [Google Scholar]
- Chemglass Life Sciences. Available online: http://chemglass.com/product_view.asp?pnr=CG-1869 (accessed on 2 February 2016).
- Vojkovsky, T. A negative chloranil test indicates completion of coupling (absence of starting amine). Pept. Res. 1995, 8, 236–237. [Google Scholar] [PubMed]
- Sample Availability: Not available
© 2016 by the authors. Licensee MDPI, Basel, Switzerland. This article is an open access article distributed under the terms and conditions of the Creative Commons by Attribution (CC-BY) license ( http://creativecommons.org/licenses/by/4.0/).















