Design, Synthesis and Antibacterial Evaluation of Some New 2-Phenyl-quinoline-4-carboxylic Acid Derivatives
Abstract
:1. Introduction
2. Results and Discussion
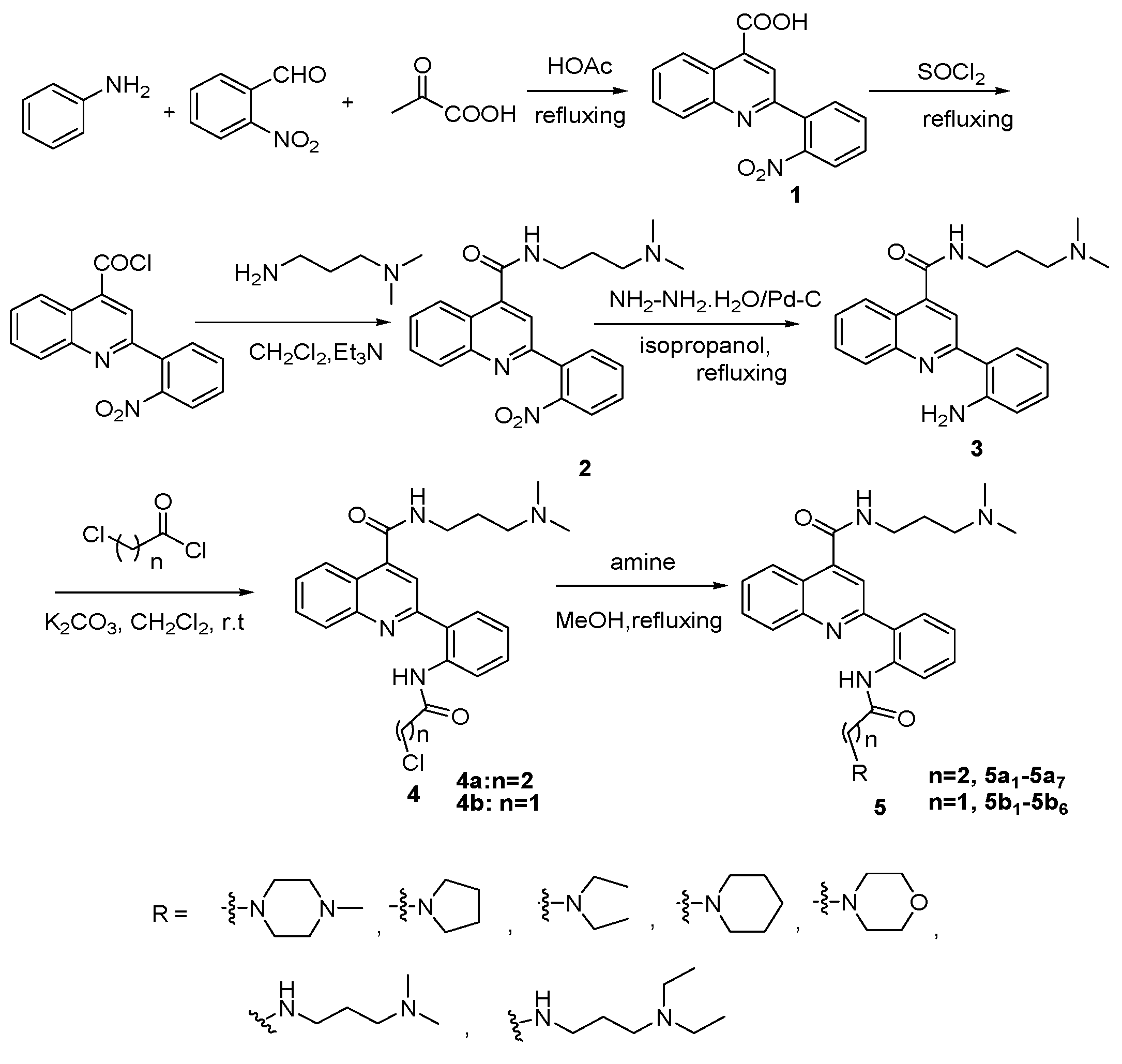
2.1. Chemistry
2.2. Evaluation of Antibacterial Activity
2.3. MTT-Based Cytotoxicity Studies
3. Experimental Section
3.1. General
3.2. Chemistry
3.2.1. Preparation of 2-(2-Nitrophenyl)quinoline-4-carboxylic Acid (1)
3.2.2. Preparation of N-(3-(Dimethylamino)propyl)-2-(2-nitrophenyl)quinoline-4-carboxamide (2)
3.2.3. Preparation of 2-(2-Aminophenyl)-N-(3-(dimethylamino)propyl)quinoline-4-carboxamide (3)
3.2.4. General Preparation of Compounds 4a–4b (GP1)
3.2.5. General Preparation of Compounds 5a–5b (GP2)
3.3. Antibacterial Studies
3.3.1. Screening for Antibacterial Activity by the Agar Diffusion Method
3.3.2. Minimum Inhibitory Concentration Determination
3.3.3. Cytotoxicity Assay
4. Conclusions
Supplementary Materials
Acknowledgments
Author Contributions
Conflicts of Interest
References
- Monaghan, R.L.; Barrett, J.F. Antibacterial drug discovery-Then, now and the genomics future. Biochem. Pharmacol. 2006, 71, 901–909. [Google Scholar] [CrossRef] [PubMed]
- Shang, R.F.; Liu, Y.; Xin, Z.J.; Guo, W.Z.; Guo, Z.T.; Hao, B.C.; Liang, J.P. Synthesis and antibacterial evaluation of novel pleuromutilin derivatives. Eur. J. Med. Chem. 2013, 63, 231–238. [Google Scholar] [CrossRef] [PubMed]
- Khalaj, A.; Nakhjiri, M.; Negahbani, A.S.; Samadizadeh, M.; Firoozpour, L.; Rajabalian, S.; Samadi, N.; Faramarzi, M.A.; Adibpour, N.; Shafiee, A.; et al. Discovery of a novel nitroimidazolyl-oxazolidinone hybrid with potent anti Gram-positive activity: Synthesis and antibacterial evaluation. Eur. J. Med. Chem. 2011, 46, 65–70. [Google Scholar] [CrossRef] [PubMed]
- Nathan, C.; Cars, O. Antibiotic Resistance-Problems, Progress, and Prospects. N. Engl. J. Med. 2014, 371, 1761–1763. [Google Scholar] [CrossRef] [PubMed]
- Cascioferro, S.; Cusimano, M.G.; Schillaci, D. Antiadhesion agents against Gram-positive pathogens. Future Microbiol. 2014, 9, 1209–1220. [Google Scholar] [CrossRef] [PubMed]
- Sabatini, S.; Gosetto, F.; Iraci, N.; Barreca, M.L.; Massari, S.; Sancineto, L.; Manfroni, G.; Tabarrini, O.; Dimovska, M.; Kaatz, G.W.; et al. Re-evolution of the 2‑phenyl-quinolines: Ligand-based design, synthesis, and biological evaluation of a potent new class of Staphylococcus aureus NorA efflux pump inhibitors to combat antimicrobial resistance. J. Med. Chem. 2013, 56, 4975–4989. [Google Scholar] [CrossRef] [PubMed]
- Livermore, D.M. Discovery research: The scientific challenge of finding new antibiotics. J. Antimicrob. Chemother. 2011, 66, 1941–1944. [Google Scholar] [CrossRef] [PubMed]
- Rex, J.H. ND4BB: Addressing the antimicrobial resistance crisis. Nat. Rev. Microbiol. 2014, 12, 231–232. [Google Scholar] [CrossRef]
- Spanò, V.; Parrino, B.; Carbone, A.; Montalbano, A.; Salvador, A.; Brun, P.; Vedaldi, D.; Diana, P.; Cirrincione, G.; Barraja, P. Pyrazolo[3,4-h]quinolines promising photosensitizing agents in the treatment of cancer. Eur. J. Med. Chem. 2015, 102, 334–351. [Google Scholar] [CrossRef] [PubMed]
- Faty, R.M.; Rashed, M.S.; Youssef, M.M. Microwave-assisted synthesis and antimicrobial evaluation of novel spiroisoquinoline and spiropyrido[4,3-d]pyrimidine derivatives. Molecules 2015, 20, 1842–1859. [Google Scholar] [CrossRef] [PubMed]
- Eda, M.; Kuroda, T.; Kaneko, S.; Aoki, Y.; Yamashita, M.; Okumura, C.; Ikeda, Y.; Ohbora, T.; Sakaue, M.; Koyama, N.; et al. Synthesis and Biological Evaluation of Cyclopentaquinoline Derivatives as Nonsteroidal Glucocorticoid Receptor Antagonists. J. Med. Chem. 2015, 58, 4918–4926. [Google Scholar] [CrossRef] [PubMed]
- Andriole, V.T. The quinolones: Past, present, and future. Clin. Infect. Dis. 2005, 41, S113–S119. [Google Scholar] [CrossRef] [PubMed]
- Velu, A.B.; Chen, G.W.; Hsieh, P.T.; Horng, J.T.; Hsu, J.T.; Hsieh, H.P.; Chen, T.C.; Weng, K.F.; Shih, S.R. BPR-3P0128 inhibits RNA-dependent RNA polymerase elongation and VPg uridylylation activities of Enterovirus71. Antivir. Res. 2014, 112, 18–25. [Google Scholar] [CrossRef] [PubMed]
- Zarghi, A.; Ghodsi, R. Design, synthesis, and biological evaluation of ketoprofen analogs as potent cyclooxygenase-2 inhibitors. Bioorg. Med. Chem. 2010, 18, 5855–5860. [Google Scholar] [CrossRef] [PubMed]
- Garudachari, B.; Satyanarayana, M.N.; Thippeswamy, B.; Shivakumar, C.K.; Shivananda, K.N.; Hegde, G.; Isloor, A.M. Synthesis, characterization and antimicrobial studies of some new quinoline incorporated benzimidazole derivatives. Eur. J. Med. Chem. 2012, 54, 900–906. [Google Scholar] [CrossRef] [PubMed]
- Huang, A.; Moretto, A.; Janz, K.; Lowe, M.; Bedard, P.W.; Tam, S.; Di, L.; Clerin, V.; Sushkova, N.; Tchernychev, B.; et al. Discovery of 2-[1-(4-chlorophenyl)cyclopropyl]-3-hydroxy-8-(trifluoromethyl)quinoline-4-carboxylic acid (PSI-421), a P-selectin inhibitor with improved pharmacokinetic properties and oral efficacy in models of vascular injury. J. Med. Chem. 2010, 53, 6003–6017. [Google Scholar] [CrossRef] [PubMed]
- Kishibayashi, N.; Miwa, Y.; Hayashi, H.; Ishii, A.; Ichikawa, S.; Nonaka, H.; Yokoyama, T.; Suzuki, F. 5-HT3 receptor antagonists. 3. Quinoline derivatives which may be effective in the therapy of irritable bowel syndrome. J. Med. Chem. 1993, 36, 3286–3292. [Google Scholar] [CrossRef] [PubMed]
- Vendruscolo, L.F.; Takahashi, R.N.; Brüske, G.R.; Ramos, A. Evaluation of the anxiolytic-like effect of NKP608, a NK1-receptor antagonist, in two rat strains that differ inanxiety-related behaviors. Psychopharmacology 2003, 170, 287–293. [Google Scholar] [CrossRef] [PubMed]
- Boa, A.N.; Canavan, S.P.; Hirst, P.R.; Ramsey, C.; Stead, A.M.; McConkey, G.A. Synthesis of brequinar analogue inhibitors of malaria parasite dihydroorotate dehydrogenase. Bioorg. Med. Chem. 2005, 13, 1945–1967. [Google Scholar] [CrossRef] [PubMed]
- Dinakaran, M.; Senthilkumar, P.; Yogeeswari, P.; China, A.; Nagaraja, V.; Sriram, D. Synthesis, antimycobacterial activities and phototoxic evaluation of 5H-thiazolo[3,2-a]-quinoline-4-carboxylicacid derivatives. Med. Chem. 2008, 4, 482–491. [Google Scholar] [CrossRef] [PubMed]
- Strigacova, J.; Hudecova, D.; Varecka, L.; Lasikova, A.; Vegh, D. Some biological properties of new quinoline-4-carboxylic acid and quinoline-4-carboxamide derivatives. Folia Microbiol. 2000, 45, 305–309. [Google Scholar] [CrossRef]
- Metwally, K.A.; Abdel-Aziz, L.M.; Lashine el, S.M.; Husseiny, M.I.; Badawy, R.H. Hydrazones of 2-arylquinoline-4-carboxylic acid hydrazides: Synthesis and preliminary evaluation as antimicrobial agents. Bioorg. Med. Chem. 2006, 14, 8675–8682. [Google Scholar] [CrossRef] [PubMed]
- Wadher, S.J.; Karande, N.A.; Borkar, D.S.; Yeole, P.G. Synthesis and biological evaluation of Schiff bases of Cinchophen as antimicrobial agents. Int. J. ChemTech Res. 2009, 1, 1297–1302. [Google Scholar]
- Saeed, A.E.M.; Elhadi, S.A. Synthesis of some 2-aryl- and 2,3-diaryl-quinolin-4-carboxylic acid derivatives. Synth. Commun. 2011, 41, 1435–1443. [Google Scholar] [CrossRef]
- Muscia, G.C.; Carnevale, J.P.; Bollini, M.; Asís, S.E. Microwave-assisted Döbner Synthesis of 2-Phenylquinoline-4-carboxylic Acids and their Antiparasitic Activities. J. Heterocycl. Chem. 2008, 45, 611–614. [Google Scholar] [CrossRef]
- Bhatt, H.G.; Agrawal, Y.K. Microwave-irradiated synthesis and antimicrobial activity of 2-phenyl-7-substitutedalkyl/arylaminoquinoline-4-carboxylic acid derivatives. Med. Chem. Res. 2010, 19, 392–402. [Google Scholar] [CrossRef]
- Baragaña, B.; Hallyburton, I.; Lee, M.C.; Norcross, N.R.; Grimaldi, R. A novel multiple-stage antimalarial agent that inhibits protein synthesis. Nature 2015, 522, 315–320. [Google Scholar] [CrossRef] [PubMed]
- Kumar, R.; Kumar, A.; Jain, S.; Kaushik, D. (2011) Synthesis, antibacterial evaluation and QSAR studies of 7-[4-(5-aryl-1,3,4-oxadiazole-2-yl)piperazinyl] quinolone derivatives. Eur. J. Med. Chem. 2011, 46, 3543–3550. [Google Scholar] [CrossRef] [PubMed]
- Abuo-Rahma, G.D.; Sarhan, H.A.; Gad, G.F. Design, synthesis, antibacterial activity and physicochemical parameters of novel N-4-piperazinyl derivatives of norfloxacin. Bioorg. Med. Chem. 2009, 17, 3879–3886. [Google Scholar] [CrossRef] [PubMed]
- Zarghi, A.; Ghodsi, R.; Azizi, E.; Daraie, B.; Hedayati, M.; Dadrass, O.G. Synthesis and biological evaluation of new 4-carboxyl quinoline derivatives as cyclooxygenase-2 inhibitors. Bioorg. Med. Chem. 2009, 17, 5312–5317. [Google Scholar] [CrossRef] [PubMed]
- Alexandre, V.I.; Alexander, V.K.; Vladimir, V.K.; Volodymir, M.K.; Caroline, T.W. A new insight into the Pfitzinger reaction. A facile synthesis of 6-sulfamoylquinoline-4-carboxylic acids. Tetrahedron Lett. 2004, 45, 5473–5476. [Google Scholar]
- Duvelleroy, D.; Perrio, C.; Parisel, O.; Lasne, M.C. Rapid synthesis of quinoline-4-carboxylic acid derivatives from arylimines and 2-substituted acrylates or acrylamides under indium(III) chloride and microwave activations. Scope and limitations of the reaction. Org. Biomol. Chem. 2005, 3, 3794–3804. [Google Scholar] [CrossRef] [PubMed]
- Tu, S.; Zhu, X.; Zhang, J.; Xu, J.; Zhang, Y.; Wang, Q.; Jia, R.; Jiang, B.; Zhang, J.; Yao, C. New potential biologically active compounds: Design and an efficient synthesis of N-substituted-4-aryl-4,6,7,8-tetrahydroquinoline-2,5(1H,3H)-diones under microwave irradiation. Bioorg. Med. Chem. Lett. 2006, 16, 2925–2928. [Google Scholar] [CrossRef] [PubMed]
- Li, Z.; Tan, J.H.; He, J.H.; Long, Y.; Ou, T.M.; Li, D.; Gu, L.Q.; Huang, Z.S. Disubstituted quinazoline derivatives as new type of highly selective ligands for telomeric G-quadruplex DNA. Eur. J. Med. Chem. 2012, 47, 299–311. [Google Scholar] [CrossRef] [PubMed]
- Arthington-Skaggs, B.A.; Motley, M.; Warnock, D.W.; Morrison, C.J. Comparative evaluation of PASCO and national committee for clinical laboratory standards M27-A broth microdilution methods for antifungal drug susceptibility testing of yeasts. J. Clin. Microbiol. 2000, 38, 2254–2260. [Google Scholar] [PubMed]
- Cong, N.T.; Nhan, H.T.; Van Hung, L.; Thang, T.D.; Kuo, P.C. Synthesis and antibacterial activity of analogs of 5-arylidene-3-(4-methylcoumarin-7-yloxyacetylamino)-2-thioxo-1,3-thiazoli-din-4-one. Molecules 2014, 19, 13577–13586. [Google Scholar] [CrossRef] [PubMed]
- Mickevičienė, K.; Baranauskaitė, R.; Kantminienė, K.; Stasevych, M.; Komarovska-Porokhnyavets, O.; Novikov, V. Synthesis and antimicrobial activity of N-substituted-β- amino acid derivatives containing 2-hydroxyphenyl, benzo[b]phenoxazine and quinoxaline moieties. Molecules 2015, 20, 3170–3189. [Google Scholar] [CrossRef] [PubMed]
- Jordão, A.K.; Novais, J.; Leal, B.; Escobar, A.C.; dos Santos, H.M., Jr.; Castro, H.C.; Ferreira, V.F. Synthesis using microwave irradiation and antibacterial evaluation of new N,O-acetals and N,S-acetals derived from 2-amino-1,4-naphthoquinones. Eur. J. Med. Chem. 2013, 63, 196–201. [Google Scholar] [CrossRef] [PubMed]
- Lei, X.; Li, J.; Liu, B.; Zhang, N.; Liu, H. Separation and Identification of Four New Compounds with Antibacterial Activity from Portulaca oleracea L. Molecules 2015, 20, 16375–16387. [Google Scholar] [CrossRef] [PubMed]
- Geng, Z.Z.; Zhang, J.J.; Lin, J.; Huang, M.Y.; An, L.K.; Zhang, H.B.; Sun, P.H.; Ye, W.C.; Chen, W.M. Novel cajaninstilbene acid derivatives as antibacterial agents. Eur. J. Med. Chem. 2015, 100, 235–245. [Google Scholar] [CrossRef] [PubMed]
- Suresh, N.; Nagesh, H.N.; Renuka, J.; Rajput, V.; Sharma, R.; Khan, I.A.; Kondapalli Venkata Gowri, C.S. Synthesis and evaluation of 1-cyclopropyl-6-fluoro-1,4-dihydro-4-oxo-7-(4-(2-(4-substituted-piperazin-1-yl)acetyl)piperazin-1-yl)quinoline-3-carboxylic acid derivatives as anti-tubercular and antibacterial agents. Eur. J. Med. Chem. 2014, 71, 324–332. [Google Scholar] [CrossRef] [PubMed]
- Sample Availability: Samples of the compounds 5a1–5a7, 5b1–5b6 are available from the authors.


| Zone of Inhibition in mm (Mean ± SD) n = 3 | ||||||||||||
|---|---|---|---|---|---|---|---|---|---|---|---|---|
| Compound | LogP | B. subtilis | S. aureus | E. coli | P. aeruginosa | MRSA | ||||||
| Concentration (μg/mL) | 50 | 100 | 50 | 100 | 50 | 100 | 50 | 100 | 50 | 100 | ||
| 5a1 | 0.32 | 1 ± 0.2 | 2 ± 0.5 | 3 ± 0.2 | 5 ± 0.4 | 2 ± 0.1 | 2 ± 0.5 | 1 ± 0.1 | 1 ± 0.2 | 3 ± 0.2 | 3 ± 0.4 | |
| 5a2 | 1.69 | 2 ± 0.3 | 2 ± 0.2 | 15 ± 0.5 | 17 ± 0.1 | 4 ± 0.2 | 5 ± 0.5 | 2 ± 0.5 | 3 ± 0.4 | 3 ± 0.1 | 6 ± 0.3 | |
| 5a3 | 1.05 | 10 ± 0.1 | 11 ± 0.5 | 14 ± 0.2 | 16 ± 0.5 | 3 ± 0.2 | 3 ± 0.4 | 2 ± 0.2 | 2 ± 0.5 | 4 ± 0.3 | 5 ± 0.4 | |
| 5a4 | 2.26 | 12 ± 0.3 | 13 ± 0.2 | 18 ± 0.2 | 20 ± 0.1 | 2 ± 0.5 | 3 ± 0.2 | 0 | 0 | 5 ± 0.5 | 6 ± 0.2 | |
| 5a5 | 0.60 | 6 ± 0.2 | 7 ± 0.4 | 7 ± 0.1 | 8 ± 0.5 | 0 | 0 | 3 ± 0.1 | 5 ± 0.1 | 2 ± 0.4 | 3 ± 0.5 | |
| 5a6 | 0.87 | 0 | 0 | 0 | 0 | 10 ± 0.2 | 13 ± 0.1 | 1 ± 0.2 | 2 ± 0.4 | 0 | 0 | |
| 5a7 | 1.94 | 0 | 0 | 1 ± 0.5 | 2 ± 0.1 | 12 ± 0.5 | 14 ± 0.1 | 0 | 0 | 0 | 0 | |
| 5b1 | 0.72 | 1 ± 0.1 | 1 ± 0.2 | 2 ± 0.1 | 3 ± 0.5 | 0 | 0 | 0 | 0 | 0 | 0 | |
| 5b2 | 1.75 | 3 ± 0.3 | 4 ± 0.2 | 4 ± 0.2 | 7 ± 0.1 | 2 ± 0.3 | 3 ± 0.4 | 0 | 0 | 0 | 0 | |
| 5b3 | 1.20 | 3 ± 0.5 | 3 ± 0.1 | 4 ± 0.1 | 6 ± 0.3 | 4 ± 0.2 | 6 ± 0.4 | 1 ± 0.2 | 2 ± 0.1 | 0 | 0 | |
| 5b4 | 2.32 | 10 ± 0.1 | 12 ± 0.5 | 8 ± 0.5 | 10 ± 0.1 | 3 ± 0.3 | 5 ± 0.1 | 0 | 0 | 5 ± 0.2 | 7 ± 0.4 | |
| 5b5 | 1.00 | 1 ± 0.2 | 3 ± 0.3 | 4 ± 0.5 | 5 ± 0.4 | 0 | 0 | 0 | 0 | 0 | 0 | |
| 5b6 | 0 | 0 | 0 | 0 | 0 | 10 ± 0.5 | 11 ± 0.2 | 3 ± 0.1 | 4 ± 0.3 | 0 | 0 | |
| 1 | 3.54 | 2 ± 0.5 | 3 ± 0.1 | 3 ± 0.5 | 5 ± 0.1 | 3 ± 0.1 | 4 ± 0.3 | 1 ± 0.4 | 2 ± 0.2 | 0 | 0 | |
| Control a | 0 | 0 | 0 | 0 | 0 | 0 | 0 | 0 | 0 | 0 | ||
| Ampicillin | 32 ± 0.3 | - b | 25 + 0.4 | - | 15 ± 0.4 | - | 12 ± 0.2 | - | 1 ± 0.4 | 1 ± 0.1 | ||
| Gentamycin | 10 ± 0.5 | - | 14 ± 0.3 | - | 17 ± 0.1 | - | 20 ± 0.4 | - | 0 | 0 | ||
| Compound | MIC (μg/ mL) | ||||
|---|---|---|---|---|---|
| B. subtilis | S. aureus | E. coli | P. aeruginosa | MRSA | |
| 5a1 | >512 | >512 | >512 | >512 | >512 |
| 5a2 | >512 | 128 | 512 | >512 | 512 |
| 5a3 | 256 | 128 | >512 | >512 | >512 |
| 5a4 | 256 | 64 | >512 | -a | 512 |
| 5a5 | 512 | 256 | - | 512 | >512 |
| 5a6 | - | - | 256 | >512 | - |
| 5a7 | - | >512 | 128 | - | - |
| 5b1 | >512 | >512 | - | - | - |
| 5b2 | >512 | 512 | >512 | - | - |
| 5b3 | >512 | 512 | 512 | >512 | - |
| 5b4 | 256 | 128 | >512 | - | 512 |
| 5b5 | >512 | >512 | - | - | - |
| 5b6 | - | - | 256 | >512 | - |
| 1 | >512 | 512 | >512 | >512 | - |
| Ampicillin | 16 | 16 | 64 | 64 | 512 |
| Gentamycin | 64 | 16 | 16 | 8 | - |
| Compound | IC50 b (μg/mL) |
|---|---|
| 5a4 | 98.24 ± 0.65 |
| 5a7 | 56.83 ± 0.32 |
| Ampicillin | 107.58± 0.47 |
| Gentamycin | 42.19 ± 0.19 |
© 2016 by the authors. Licensee MDPI, Basel, Switzerland. This article is an open access article distributed under the terms and conditions of the Creative Commons by Attribution (CC-BY) license ( http://creativecommons.org/licenses/by/4.0/).
Share and Cite
Wang, X.; Xie, X.; Cai, Y.; Yang, X.; Li, J.; Li, Y.; Chen, W.; He, M. Design, Synthesis and Antibacterial Evaluation of Some New 2-Phenyl-quinoline-4-carboxylic Acid Derivatives. Molecules 2016, 21, 340. https://doi.org/10.3390/molecules21030340
Wang X, Xie X, Cai Y, Yang X, Li J, Li Y, Chen W, He M. Design, Synthesis and Antibacterial Evaluation of Some New 2-Phenyl-quinoline-4-carboxylic Acid Derivatives. Molecules. 2016; 21(3):340. https://doi.org/10.3390/molecules21030340
Chicago/Turabian StyleWang, Xiaoqin, Xiaoyang Xie, Yuanhong Cai, Xiaolan Yang, Jiayu Li, Yinghan Li, Wenna Chen, and Minghua He. 2016. "Design, Synthesis and Antibacterial Evaluation of Some New 2-Phenyl-quinoline-4-carboxylic Acid Derivatives" Molecules 21, no. 3: 340. https://doi.org/10.3390/molecules21030340
APA StyleWang, X., Xie, X., Cai, Y., Yang, X., Li, J., Li, Y., Chen, W., & He, M. (2016). Design, Synthesis and Antibacterial Evaluation of Some New 2-Phenyl-quinoline-4-carboxylic Acid Derivatives. Molecules, 21(3), 340. https://doi.org/10.3390/molecules21030340
