Photostability and Performance of Polystyrene Films Containing 1,2,4-Triazole-3-thiol Ring System Schiff Bases
Abstract
:1. Introduction
2. Results and Discussion
2.1. Synthesis of Schiff Bases 1–4
2.2. Characterization of Schiff Bases 1–4
2.3. Measuring Photostabilization of Polystyrene Films by IR Spectroscopy
2.4. Measuring Photostabilization of Polystyrene Films by Weight Loss
2.5. Measuring Photostabilization of Polystyrene Films by Variation in Molecular Weight
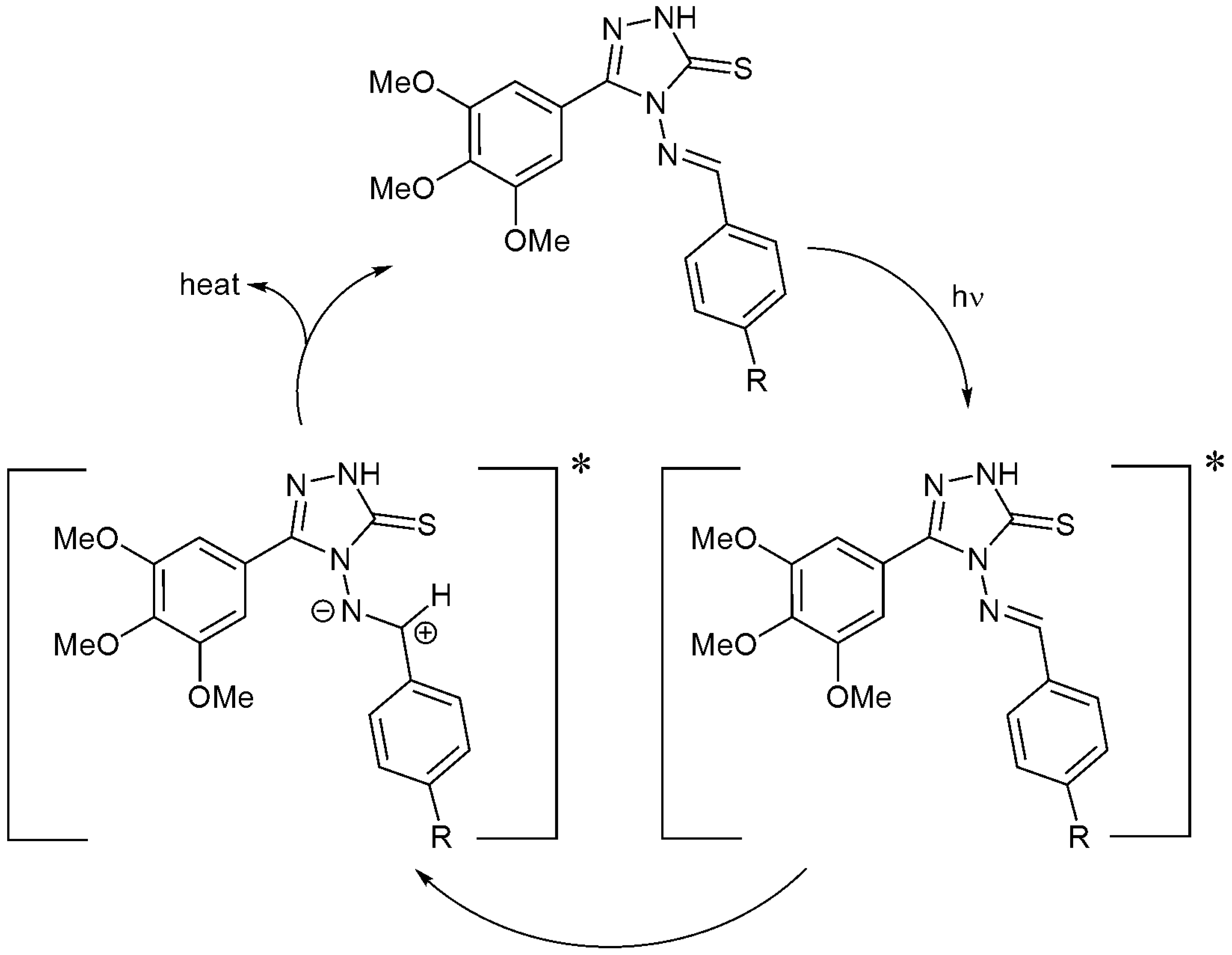
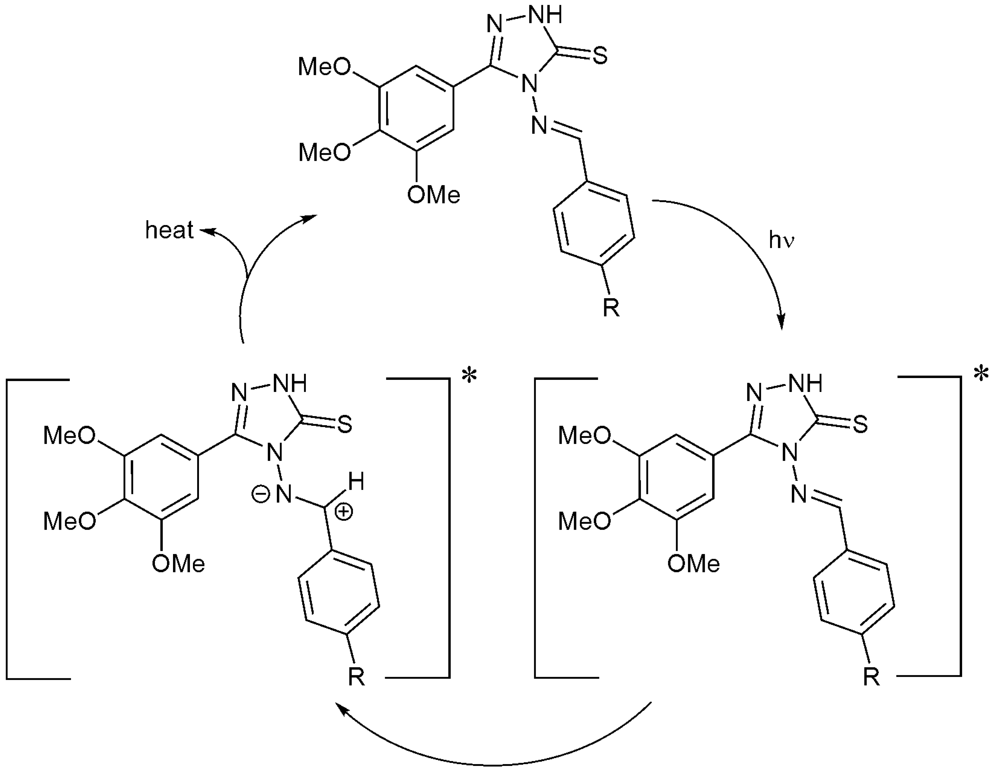
2.6. Photostabilization of Polystyrene Films Suggested Mechanisms
3. Experimental Section
3.1. General
3.2. Synthesis of Schiff Bases 1–4
3.3. Films Preparation
3.4. Accelerated Testing Technique
3.5. Photodegradation of PS Films by IR Spectrophotometer
3.6. Measuring the Photodegradation by Weight Loss
3.7. Photodegradation of PS Films by Viscometery Method
4. Conclusions
Acknowledgments
Author Contributions
Conflicts of Interest
References
- Wierckx, N.; Prieto, M.A.; Pomposiello, P.; de Lorenzo, V.; O’Connor, K.; Blank, L.M. Plastic waste as a novel substrate for industrial biotechnology. Microb. Biotechnol. 2015, 8, 900–903. [Google Scholar] [CrossRef] [PubMed]
- Wünsch, J.R. Polystyrene: Synthesis, Production and Applications; Rapra Technology Ltd.: Shawbury, Shrewsbury, Shropshire, UK, 2000. [Google Scholar]
- Maul, J.; Frushour, B.G.; Kontoff, J.R.; Eichenauer, H.; Ott, K.-H.; Schade, C. Polystyrene and Styrene Copolymers. In Ullmann's Encyclopedia of Industrial Chemistry; Wiley-VCH: Weinheim, Germany, 2007. [Google Scholar]
- De Rosa, C.; Auriemma, F. Structure and physical properties of syndiotactic polypropylene: A highly crystalline thermoplastic elastomer. Prog. Polym. Sci. 2006, 31, 145–237. [Google Scholar]
- Rabek, T.F. Photodegradation of Polymers: Physical Characteristics and Applications; Springer: Berlin/Heidelberg, Germany, 1996. [Google Scholar]
- White, J.R.; Turnbull, A. Weathering of polymers: mechanisms of degradation and stabilization: Testing strategies and modelling. J. Mater. Sci. 1994, 29, 584–613. [Google Scholar] [CrossRef]
- Hernández, C.G.; González, R.; Soto, J.J.; Rosales, I. Photo-Oxidation of Polystyrene Film Irradiated with UV-B; Springer: Gewerbestasse, Switzerland, 2016. [Google Scholar]
- Yousif, E.; Haddad, R. Photodegradation and photostabilization of polymers, especially polystyrene: review. SpringerPlus 2013, 2, 398. [Google Scholar] [CrossRef] [PubMed]
- Titow, W.V. PVC Technology, 4th ed.; Springer: Essex, UK, 1984. [Google Scholar]
- Sastre, R.; Catalina, F.; Mateo, J.L.; Claramunt, R.; Santa-Maria, M.D.; Catalán, J. Mechanism of photostabilization of polystyrene film by dihydroxyphenyl-pirazoles. J. Polym. Sci. A Polym. Chem. 1990, 28, 3661–3668. [Google Scholar] [CrossRef]
- Haddad, R.; Yousif, E.; Yusop, R.M. Ultra violet spectra studies of polystyrene films in presence of some transition metal complexes with 4-amino-5-pyridyl)-4H-1,2,4-triazole-3-thiol. Oriental J. Chem. 2014, 30, 1565–1569. [Google Scholar] [CrossRef]
- Goldshtein, J.; Margel, S. Synthesis and characterization of polystyrene/2-(5-chloro-2H-benzotriazole-2-yl)-6-(1,1-dimethylethyl)-4-methyl-phenol composite microspheres of narrow size distribution for UV irradiation protection. Colloid Polym. Sci. 2011, 289, 1863–1874. [Google Scholar] [CrossRef]
- Yousif, E.; Salimon, J.; Salih, N. New stabilizer for polystyrene based on 2-N-salicylidene-5-(substituted)-1,3,4-thiadiazole compounds. J. Saudi Chem. Soc. 2011, 16, 299–306. [Google Scholar] [CrossRef]
- Abd, M.A.; Zahra, A.A.I.A.; Shenta, A.A. Photostabilization of polystyrene films by anthraquinones derivatives and their complexes with copper(II), oxovanadium(IV) and nickel(II) ions. J. Basrah Res. 2009, 35, 81–97. [Google Scholar]
- Sabaa, M.W.; Oraby, E.H.; Naby, A.S.; Mohammed, R.R. Anthraquinone derivatives as organic stabilizers for rigid poly(vinyl chloride) against photo-degradation. Eur. Polym. J. 2005, 41, 2530–2543. [Google Scholar] [CrossRef]
- Tomohito, K.; Masahiko, O.; Guido, G.; Tadaaki, M.; Toshiaki, Y. Antibacterial effect of thiocyanate substituted poly (vinyl chloride). J. Polym. Res. 2011, 18, 945–947. [Google Scholar]
- Folarin, O.M.; Sadiku, E.R. Thermal stabilizers for poly(vinyl chloride): A review. Int. J. Phys. Sci. 2011, 6, 4323–4330. [Google Scholar]
- Chen, X.; Li, C.; Zhang, L.; Xu, S.; Zhou, Q.; Zhu, Y.; Qu, X. Main factors in preparation of antibacterial particles/PVC composite. China Particuol. 2004, 2, 226–229. [Google Scholar] [CrossRef]
- Cheng, Q.; Li, C.; Pavlinek, V.; Saha, P.; Wang, H. Surface-modified antibacterial TiO2/Ag+ nanoparticles: Preparation and properties. Appl. Surf. Sci. 2006, 252, 4154–4160. [Google Scholar] [CrossRef]
- Mohammed, R.; El-Hiti, G.A.; Ahmed, A.; Yousif, E. Poly(vinyl chloride) doped by 2-(4-isobutylphenyl)propanoate metal complexes: enhanced resistance to UV irradiation. Arab J. Sci. Eng. 2016. [Google Scholar] [CrossRef]
- Ali, M.M.; El-Hiti, G.A.; Yousif, E. Photostabilizing efficiency of poly(vinyl chloride) in the presence of organotin(IV) complexes as photostabilizers. Molecules 2016, 21, 1151. [Google Scholar] [CrossRef] [PubMed]
- Yousif, E.; Hasan, A.; El-Hiti, G.A. Spectroscopic, physical and topography of photochemical process of PVC films in the presence of Schiff base metal complexes. Polymers 2016, 8, 204. [Google Scholar] [CrossRef]
- Yousif, E.; El-Hiti, G.A.; Hussain, Z.; Altaie, A. Viscoelastic, spectroscopic and microscopic study of the photo irradiation effect on the stability of PVC in the presence of sulfamethoxazole Schiff’s bases. Polymers 2015, 7, 2190–2204. [Google Scholar] [CrossRef]
- Balakit, A.A.; Ahmed, A.; El-Hiti, G.A.; Smith, K.; Yousif, E. Synthesis of new thiophene derivatives and their use as photostabilizers for rigid poly(vinyl chloride). Int. J. Polym. Sci. 2015. [CrossRef]
- Yousif, E.; El-Hiti, G.A.; Haddad, R.; Balakit, A.A. Photochemical stability and photostabilizing efficiency of poly(methyl methacrylate) based on 2-(6-methoxynaphthalen-2-yl)propanoate metal ion complexes. Polymers 2015, 7, 1005–1019. [Google Scholar] [CrossRef]
- Altaee, N.; El-Hiti, G.A.; Fahdil, A.; Sudesh, K.; Yousif, E. Screening and evaluation of poly(3-hydroxybutyrate) with Rhodococcus equi using different carbon sources. Arab J. Sci. Eng. 2016. [CrossRef]
- Altaee, N.; El-Hiti, G.A.; Fahdil, A.; Sudesh, K.; Yousif, E. Biodegradation of different formulations of polyhydroxybutyrate films in soil. SpringerPlus 2016. [CrossRef] [PubMed]
- Smith, K.; Al-Zuhairi, A.J.; El-Hiti, G.A.; Alshammari, M.B. Comparison of cyclic and polymeric disulfides as catalysts for the regioselective chlorination of phenols. J. Sulfur Chem. 2015, 36, 74–85. [Google Scholar] [CrossRef]
- Smith, K.; Balakit, A.A.; El-Hiti, G.A. Poly(propylene sulfide)-borane: Convenient and versatile reagent for organic synthesis. Tetrahedron 2012, 68, 7834–7839. [Google Scholar] [CrossRef]
- Smith, K.; Balakit, A.A.; Pardasani, R.T.; El-Hiti, G.A. New polymeric sulfide-borane complexes: Convenient hydroborating and reducing reagents. J. Sulfur Chem. 2011, 32, 287–295. [Google Scholar] [CrossRef]
- Sumangala, V.; Poojary, B.; Chidananda, N.; Arulmoli, T.; Shenoy, S. Synthesis and biological evaluation of some Schiff bases of 4-amino-5-(4-methylsulfonyl)benzyl-2,4-dihydro-3H-[1,2,4]-triazole-3-thione. Med. Chem. Res. 2013, 22, 2921–2928. [Google Scholar] [CrossRef]
- Kiatkamjornwong, S.; Sonsuk, M.; Wittayapichet, S.; Prasassarakich, P.; Vejjanukroh, P.-C. Degradation of styrene-g-cassava starch filled polystyrene plastics. Polym. Degrad. Stab. 1999, 66, 323–334. [Google Scholar] [CrossRef]
- Rabek, J.F. Polymer Photodegradation: Mechanisms and Experimental Methods; Chapman and Hall: London, UK, 1995. [Google Scholar]
- Mori, F.; Koyama, M.; Oki, Y. Studies on photodegradation of poly(vinyl chloride), part 3. Macromol. Mater. Eng. 1979, 75, 113–122. [Google Scholar]
- Pinto, L.F.A.; Goi, B.E.; Schmitt, C.C.; Neumann, M.G. Photodegradation of polystyrene films containing UV-visible sensitizers. J. Res. Updates Polym. Sci. 2013, 2, 39–47. [Google Scholar]
- Stuart, B.H. Infrared Spectroscopy: Fundamentals and Applications; John Wiley and Sons, Ltd.: Chichester, UK, 2004. [Google Scholar]
- Rabie, S.T.; Ahmed, A.E.; Sabaa, M.W.; Abd El-Ghaffar, M.A. Maleic diamides as photostabilizers for polystyrene. J. Ind. Eng. Chem. 2013, 19, 1869–1878. [Google Scholar] [CrossRef]
- Jellinek, H.H.G. Aspects of Degradation and Stabilization of Polymers; Elsevier: Amsterdam, The Netherlands, 1978. [Google Scholar]
- Allcock, H.R.; Lamp, F.W.; Mark, J.E. Contemporary Polymer Chemistry, 3rd ed.; Pearson Prentice-Hall: Upper Saddle River, NJ, USA, 2003; pp. 316–325. [Google Scholar]
- Ameri, A.; Khodarahmi, G.; Hassanzadeh, F.; Forootanfar, H.; Hakimelahi, H. Novel aldimine-type Schiff bases of 4-amino-5-[(3,4,5-trimethoxyphenyl)methyl]-1,2,4-triazole-3-thione/thiol: Docking study, synthesis, biological Evaluation, and anti-tubulin activity. Arch. Pharm. Chem. Life Sci. 2016, 349, 662–681. [Google Scholar] [CrossRef] [PubMed]
- Rabek, J.; Ranby, B. Photodegradation, Photo-oxidation and Photostabilization of Polymers; John Wiley: New York, NY, USA, 1975. [Google Scholar]
- Sabaa, M.W.; Oraby, E.H.; Naby, A.S.; Mohamed, R.R. N-Phenyl-3-substituted-5-pyrazolone derivatives as organic stabilizer for rigid PVC against photodegradation. J. Appl. Polym. Sci. 2005, 101, 1543–1555. [Google Scholar] [CrossRef]
- Mark, J. Physical Properties of Polymers Handbook; Springer: New York, NY, USA, 2007. [Google Scholar]
- Sample Availability: Samples from the Schiff bases are not available.













| Schiff Base | R | Color | m.p. (°C) | Yield (%) | FR-IR (υ, cm−1) | ||
|---|---|---|---|---|---|---|---|
| NH | CH=N | C=S | |||||
| 1 | Me | yellow | 265–268 | 71 | 3122 | 1599 | 1244 |
| 2 | NO2 | orange | 219–222 | 79 | 3257 | 1589 | 1240 |
| 3 | OMe | yellow | 238–240 | 68 | 3120 | 1606 | 1244 |
| 4 | NMe2 | orange | 221–224 | 75 | 3120 | 1614 | 1240 |
| Compound | 1H-NMR (300 MHz: DMSO-d6, δ, ppm, J in Hz) |
|---|---|
| 1 | 9.56 (s, 1H, CH), 7.84 (d, J = 8.1 Hz, 2H, Ar), 7.39 (d, J = 8.1 Hz, 2H, Ar), 7.24 (s, 2H, Ar), 3.76 (s, 6H, 2 OMe), 3.74 (s, 3H, OMe), 2.41 (s, 3H, Me) |
| 2 | 9.69 (s, 1H, CH), 8.30 (d, J = 8.2 Hz, 2H, Ar), 8.02 (d, J = 8.2 Hz, 2H, Ar), 7.20 (s, 2H, Ar), 3.80 (s, 6H, 2 OMe), 3.75 (s, 3H, OMe) |
| 3 | 9.44 (s, 1H, CH), 7.90 (d, J = 8.4 Hz, 2H, Ar), 7.23 (s, 2H, Ar), 7.12 (d, J = 8.4 Hz, 2H, Ar), 3.85 (s, 3H, OMe), 3.76 (s, 6H, 2OMe), 3.71 (s, 3H, OMe) |
| 4 | 14.09 (s, exch., 1H, SH), 9.13 (s, 1H, CH), 7.73 (d, J = 8.2 Hz, 2H, Ar), 7.24 (s, 2H, Ar), 6.81 (d, J = 8.2 Hz, 1H, Ar), 3.76 (s, 6H, 2OMe), 3.71 (s, 3H, OMe), 3.04 (s, 6H, NMe2) |
© 2016 by the authors. Licensee MDPI, Basel, Switzerland. This article is an open access article distributed under the terms and conditions of the Creative Commons Attribution (CC-BY) license ( http://creativecommons.org/licenses/by/4.0/).
Share and Cite
Ali, G.Q.; El-Hiti, G.A.; Tomi, I.H.R.; Haddad, R.; Al-Qaisi, A.J.; Yousif, E. Photostability and Performance of Polystyrene Films Containing 1,2,4-Triazole-3-thiol Ring System Schiff Bases. Molecules 2016, 21, 1699. https://doi.org/10.3390/molecules21121699
Ali GQ, El-Hiti GA, Tomi IHR, Haddad R, Al-Qaisi AJ, Yousif E. Photostability and Performance of Polystyrene Films Containing 1,2,4-Triazole-3-thiol Ring System Schiff Bases. Molecules. 2016; 21(12):1699. https://doi.org/10.3390/molecules21121699
Chicago/Turabian StyleAli, Gassan Q., Gamal A. El-Hiti, Ivan Hameed R. Tomi, Raghad Haddad, Alaa J. Al-Qaisi, and Emad Yousif. 2016. "Photostability and Performance of Polystyrene Films Containing 1,2,4-Triazole-3-thiol Ring System Schiff Bases" Molecules 21, no. 12: 1699. https://doi.org/10.3390/molecules21121699
APA StyleAli, G. Q., El-Hiti, G. A., Tomi, I. H. R., Haddad, R., Al-Qaisi, A. J., & Yousif, E. (2016). Photostability and Performance of Polystyrene Films Containing 1,2,4-Triazole-3-thiol Ring System Schiff Bases. Molecules, 21(12), 1699. https://doi.org/10.3390/molecules21121699

