Identification of Nematicidal Constituents of Notopterygium incisum Rhizomes against Bursaphelenchus xylophilus and Meloidogyne incognita
Abstract
:1. Introduction
2. Results and Discussion
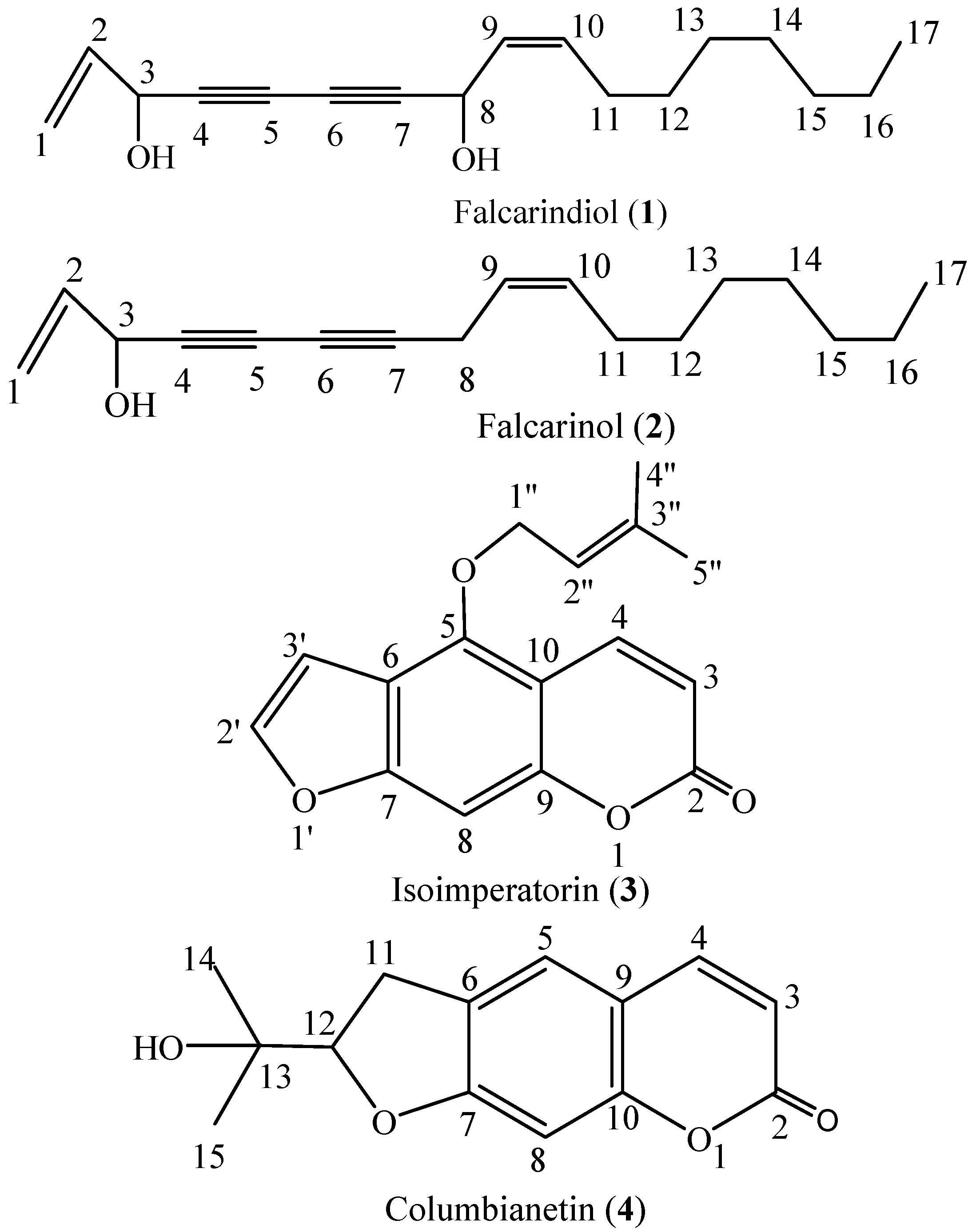
2.1. Isolated Bioactive Compounds
2.2. Nematicidal Activity
3. Experimental
3.1. General
3.2. Plant Material and Extraction
3.3. Bioassay-Directed Fractionation
3.4. Nematodes
3.5. Nematicidal Activity Bioassays
3.6. Isolated Constituent Compounds
3.7. Data Analysis
4. Conclusions
Supplementary Materials
Acknowledgments
Author Contributions
Conflicts of Interest
References
- Li, W.; Sun, Y.N.; Yan, X.T.; Yang, S.Y.; Lee, S.J.; Byun, H.J.; Moon, C.S.; Han, B.S.; Kim, Y.H. Isolation of nematicidal triterpenoid saponins from Pulsatilla koreana root and their activities against Meloidogyne incognita. Molecules 2013, 18, 5306–5316. [Google Scholar] [CrossRef] [PubMed]
- Guo, Q.; Du, G.; Qi, H.; Zhang, Y.; Yue, T.; Wang, J.; Li, R. A nematicidal tannin from Punica granatum L. rind and its physiological effect on pine wood nematode (Bursaphelenchus xylophilus). Pestic. Biochem. Physiol. 2016. [Google Scholar] [CrossRef]
- Caboni, P.; Ntalli, N.G. Botanical nematicides, recent findings. ACS Symp. 2014, 1172, 145–157. [Google Scholar]
- Ntalli, N.G.; Caboni, P. Botanical nematicides: A review. J. Agric. Food Chem. 2012, 60, 9929–9940. [Google Scholar] [CrossRef] [PubMed]
- Choi, N.H.; Kwon, H.R.; Son, S.W.; Choi, Y.H.; Jang, K.S.; Lee, S.O.; Choi, J.E.; Ngoc, L.H.; Kim, J.C. Nematicidal activity of malabaricones isolated from Myristica malabarica fruit rinds against Bursaphelenchus xylophilus. Nematology 2008, 10, 801–807. [Google Scholar] [CrossRef]
- Bai, C.Q.; Liu, Z.L.; Liu, Q.Z. Nematicidal constituents from the essential oil of Chenopodium ambrosioides aerial parts. E. J. Chem. 2011, 8, S143–S148. [Google Scholar] [CrossRef]
- Du, S.S.; Zhang, H.M.; Bai, C.Q.; Wang, C.F.; Liu, Q.Z.; Liu, Z.L.; Wang, Y.Y.; Deng, Z.W. Nematocidal flavone-C-glycosides against the root-knot nematodes (Meloidogyne incognita) from Arisaema erubescens tubers. Molecules 2011, 16, 5079–5086. [Google Scholar] [CrossRef] [PubMed]
- Zhang, H.M.; Wang, G.L.; Bai, C.Q.; Liu, P.; Liu, Z.M.; Liu, Q.Z.; Wang, Y.Y.; Liu, Z.L.; Du, S.S.; Deng, Z.W. A new eudesmane sesquiterpene glucoside from Liriope muscari fibrous roots. Molecules 2011, 16, 9017–9024. [Google Scholar] [CrossRef] [PubMed]
- Caboni, P.; Ntalli, N.G.; Aissani, N.; Cavoski, I.; Angioni, A. Nematicidal activity of (E,E)-2,4-decadienal and (E)-2-decenal from Ailanthus altissima against Meloidogyne javanica. J. Agric. Food Chem. 2012, 60, 1146–1151. [Google Scholar] [CrossRef] [PubMed]
- Liu, Q.Z.; Li, H.Q.; Liu, Z.L. Nematicidal constituents from the ethanol extract of Evodia rutaecarpa Hort unripe fruits. J. Chem. 2013. [Google Scholar] [CrossRef]
- Caboni, P.; Saba, M.; Oplos, C.; Aissani, N.; Maxia, A.; Menkissoglu-Spiroudi, U.; Casua, L.; Ntalli, N. Nematicidal activity of furanocoumarins from parsley against Meloidogyne spp. Pest Manag. Sci. 2014, 71, 1099–1105. [Google Scholar] [CrossRef] [PubMed]
- Li, Y.C.; Ji, H.; Li, H.T. Gas chromatography-mass spectrometric analysis of nematicidal essential oil of Valeriana amurensis P Smirn ex Kom (Valerianaceae) roots and its activity against Heterodera avenae. Trop. J. Pharm. Res. 2015, 14, 1673–1678. [Google Scholar]
- Naz, I.; Abdulkafi, S.; Munir, I.; Ahmad, M.; Ali, A.; Palomares-Rius, J.E.; Ali, S.; Ahmad, I. Cis- and trans-protopinium, a novel nematicide, for the eco-friendly management of root-knot nematodes. Crop Prot. 2016, 81, 138–144. [Google Scholar] [CrossRef]
- Begum, S.; Ayub, A.; Shaheen Siddiqui, B.; Fayyaz, S.; Kazi, F. Nematicidal triterpenoids from Lantana camara. Chem. Biodivers. 2015, 12, 1435–1442. [Google Scholar] [CrossRef] [PubMed]
- Faria, J.M.S.; Sena, I.; Ribeiro, B.; Rodrigues, A.M.; Maleita, C.M.N.; Abrantes, I.; Bennett, B.; Mota, M.; Figueiredo, A.C.S. First report on Meloidogyne chitwoodi hatching inhibition activity of essential oils and essential oils fractions. J. Pest Sci. 2016, 89, 207–217. [Google Scholar] [CrossRef]
- Faria, J.M.S.; Sena, I.; Moiteiro, C.; Bennett, R.N.; Mota, M.; Figueiredo, A.C. Nematotoxic and phytotoxic activity of Satureja montana and Ruta graveolens essential oils on Pinus pinaster shoot cultures and P. pinaster with Bursaphelenchus xylophilus in vitro co-cultures. Ind. Crop. Prod. 2015, 77, 59–65. [Google Scholar] [CrossRef]
- Faria, J.M.S.; Barbosa, P.; Bennett, R.N.; Mota, M.; Figueiredo, A.C.S. Bioactivity against Bursaphelenchus xylophilus: Nematotoxics from essential oils, essential oils fractions and decoction waters. Phytochemistry 2013, 94, 220–228. [Google Scholar] [CrossRef] [PubMed]
- Barbosa, P.; Faria, J.M.S.; Mendes, M.D.; Dias, L.S.; Tinoco, M.T.; Barroso, J.G.; Pedro, L.G.; Figueiredo, A.C.; Mota, M. Bioassays against pinewood nematode: Assessment of suitable dilution agent and screening for bioactive essential oils. Molecules 2012, 17, 12312–12329. [Google Scholar] [CrossRef] [PubMed]
- Barbosa, P.; Lima, A.S.; Vieira, P.; Dias, L.S.; Tinoco, M.T.; Barroso, J.G.; Pedro, L.G.; Figueiredo, A.C.; Mota, M. Nematicidal activity of essential oils and volatiles derived from Portuguese aromatic flora against the pinewood nematode, Bursaphelenchus xylophilus. J. Nematol. 2010, 42, 8–16. [Google Scholar] [PubMed]
- Notopterygium incisum. Flora of China. Available online: http://www.efloras.org/florataxon.aspx?flora_id=2&taxon_id=200015680 (accessed on 26 July 2016).
- Blunder, M.; Liu, X.; Kunert, O.; Winkler, N.A.; Schinkovitz, A.; Schmiderer, C.; Novak, J.; Bauer, R. Polyacetylenes from Radix et rhizoma Notopterygii incisi with an inhibitory effect on nitric oxide production in vitro. Planta Med. 2014, 80, 415–418. [Google Scholar] [CrossRef] [PubMed]
- Liu, X.; Kunert, O.; Blunder, M.; Fakhrudin, N.; Noha, S.M.; Malainer, C.; Schinkovitz, A.; Heiss, E.H.; Atanasov, A.G.; Kollroser, M.; et al. Polyyne hybrid compounds from Notopterygium incisum with peroxisome proliferator-activated receptor gamma agonistic effects. J. Nat. Prod. 2014, 77, 2513–2521. [Google Scholar] [CrossRef] [PubMed]
- Atanasov, A.G.; Blunder, M.; Fakhrudin, N.; Liu, X.; Noha, S.M.; Malainer, C.; Kramer, M.P.; Cocic, A.; Kunert, O.; Schinkovitz, A.; et al. Polyacetylenes from Notopterygium incisum—New selective partial agonists of peroxisome proliferator-activated receptor-gamma. PLoS ONE 2013, 8, e61755. [Google Scholar] [CrossRef] [PubMed]
- Xu, K.; Jiang, S.; Sun, H.; Zhou, Y.; Xu, X.; Peng, S.; Ding, L. New alkaloids from the seeds of Notopterygium incisum. Nat. Prod. Res. 2012, 26, 1898–1903. [Google Scholar] [CrossRef] [PubMed]
- You, M.; Xiong, J.; Zhao, Y.; Cao, L.; Wu, S.-B.; Xia, G.; Hu, J.-F. Glycosides from the methanol extract of Notopterygium incisum. Planta Med. 2011, 77, 1939–1943. [Google Scholar] [CrossRef] [PubMed]
- Kou, G.; Zhang, Y.; Yang, X.; Rong, R. O-Methylnotopterol, a new natural product from the roots and rhizomes of Notopterygium incisum. Chin. J. Chin. Mater. Med. 2010, 35, 1134–1136, (In Chinese with English Abstract). [Google Scholar]
- Wu, S.B.; Zhao, Y.; Fan, H.; Hu, Y.H.; Hamann, M.T.; Peng, J.N.; Starks, C.M.; O’Neil-Johnson, M.; Hu, J.F. New guaiane sesquiterpenes and furanocoumarins from Notopterygium incisum. Planta Med. 2008, 74, 1812–1817. [Google Scholar] [CrossRef] [PubMed]
- Wu, S.B.; Yu, Y.H.; Hu, Y.H.; Hu, J.F. A new dimeric furanocoumarin from Notopterygium incisum. Chin. Chem. Lett. 2008, 19, 940–942. [Google Scholar] [CrossRef]
- Xiao, Y.Q.; Baba, K.; Taniguchi, M.; Liu, X.H.; Sun, Y.F.; Kozawa, M. Coumarins from Notopterygium incisum Ting. Acta Pharm. Sin. 1995, 30, 274–279, (In Chinese with English Abstract). [Google Scholar]
- Xiao, Y.Q.; Liu, X.H.; Sun, Y.F.; Baba, K.; Taniguchi, M.; Kozawa, M. Three new furocoumarins from Notopterygium incisum Ting. Chin. Chem. Lett. 1994, 5, 593–596. [Google Scholar]
- Gu, Z.; Zhang, D.; Yang, X.; Hattori, M.; Namba, T. Isolation of two new coumarin glycosides from Notopterygium forbesii and evaluation of a Chinese crude drug, Qiang-Huo, the underground parts of N. incisum and N. forbesii, by high-performance liquid chromatography. Chem. Pharm. Bull. 1990, 38, 2498–2502. [Google Scholar] [CrossRef] [PubMed]
- Kozawa, M.; Fukumoto, M.; Matsuyama, Y.; Baba, K. Chemical studies on the constituents of the Chinese crude drug Qiang Huo. Chem. Pharm. Bull. 1983, 31, 2712–2717. [Google Scholar] [CrossRef]
- Wu, S.B.; Pang, F.; Wen, Y.; Zhang, H.F.; Zhao, Z.; Hu, J.F. Antiproliferative and apoptotic activities of linear furocoumarins from Notopterygium incisum on cancer cell lines. Planta Med. 2010, 76, 82–85. [Google Scholar] [CrossRef] [PubMed]
- Matsuda, H.; Sato, N.; Tokunaga, M.; Naruto, S.; Kubo, M. Bioactive constituent of Notopterygii rhizoma, falcarindiol having antibacterial activity against Staphylococcus aureus isolated from patients with atopic dermatitis. Nat. Med. (Tokyo Jpn.) 2002, 56, 113–116. [Google Scholar]
- Arnason, T.; Swain, T.; Wat, C.K.; Graham, E.A.; Partington, S.; Towers, G.H.N.; Lam, J. Mosquito larvicidal activity of polyacetylenes from species in the Asteraceae. Biochem. Syst. Ecol. 1981, 9, 63–68. [Google Scholar] [CrossRef]
- Wang, Y.; Toyota, M.; Krause, F.; Hamburger, M.; Hostettmann, K. Polyacetylenes from Artemisia borealis and their biological activities. Phytochemistry 1990, 29, 3101–3015. [Google Scholar]
- Guillet, G.; Philogene, B.J.R.; O’meara, J.; Durst, T.; Arnason, J.T. Multiple modes of insecticidal action of three classes of polyacetylene derivatives from Rudbeckia hirta. Phytochemistry 1997, 46, 495–498. [Google Scholar] [CrossRef]
- Tian, Y.Q.; Wei, X.Y.; Xu, H.H. Photoactivated insecticidal thiophene derivatives from Xanthopappus subacaulis. J. Nat. Prod. 2006, 69, 1241–1244. [Google Scholar] [CrossRef] [PubMed]
- Dalila, H.; Flamini, G.; Ben Halima-Kamel, M.; Ben Hamouda, M.H. Identification of an insecticidal polyacetylene derivative from Chrysanthemum macrotum leaves. Ind. Crop. Prod. 2011, 34, 1128–1134. [Google Scholar]
- Nakano, H.; Ali, A.; Ur Rehman, J.; Mamonov, L.K.; Cantrell, C.L.; Khan, I.A. Toxicity of thiophenes from Echinops transiliensis (Asteraceae) against Aedes aegypti (Diptera: Culicidae) larvae. Chem. Biodivers. 2014, 11, 1001–1009. [Google Scholar] [CrossRef] [PubMed]
- Eckenbach, U.; Lampman, R.L.; Seigler, D.S.; Ebinger, J.; Novak, R.J. Mosquitocidal activity of acetylenic compounds from Cryptotaenia canadensis. J. Chem. Ecol. 1999, 25, 1885–1893. [Google Scholar] [CrossRef]
- Kogiso, S.; Wada, K.; Munakata, K. Isolation of nematicidal polyacetylenes from Carthamus tinctorius L. Agric. Biol. Chem. 1976, 40, 2085–2089. [Google Scholar] [CrossRef]
- Kogiso, S.; Wada, K.; Munakata, K. Nematicidal polyacetylenes, 3Z, 11E- and 3E, 11E-trideca-1,3,11-triene-5,7,9-triyne from Carthamus tinctorius L. Tetrahedron Lett. 1976, 17, 109–110. [Google Scholar] [CrossRef]
- Wat, C.K.; Prasad, S.K.; Graham, E.A.; Partington, S.; Arnason, T.; Towers, G.H.N.; Lam, J. Photosensitization of invertebrates by natural polyacetylenes. Biochem. Syst. Ecol. 1981, 9, 59–62. [Google Scholar] [CrossRef]
- Christensen, L.P.; Brandt, K. Bioactive polyacetylenes in food plants of the Apiaceae family: Occurrence, bioactivity and analysis. J. Pharm. Biomed. Anal. 2006, 41, 683–693. [Google Scholar] [CrossRef] [PubMed]
- Kobaisy, M.; Abramowski, Z.; Lermer, L.; Saxena, G.; Hancock, R.E.W.; Towers, G.H.N. Antimycobacterial polyynes of Devil’s club (Oplopanax horridus), a North American native medicinal plant. J. Nat. Prod. 1997, 60, 1210–1213. [Google Scholar] [CrossRef] [PubMed]
- Garrod, B.; Lea, E.J.A.; Lewis, G. Studies on the mechanism of action of the antifungal compound falcarindiol. New Phytol. 1979, 83, 463–471. [Google Scholar] [CrossRef]
- Czyzewska, M.M.; Chrobok, L.; Kania, A.; Jatczak, M.; Pollastro, F.; Appendino, G.; Mozrzymas, J.W. Dietary acetylenic oxylipin falcarinol differentially modulates GABAA receptors. J. Nat. Prod. 2014, 77, 2671–2677. [Google Scholar] [CrossRef] [PubMed]
- Kuriyama, T.; Ju, X.L.; Fusazaki, S.; Hishinuma, H.; Satou, T.; Koike, K.; Nikaido, T.; Ozoe, Y. Nematocidal quassinoids and bicyclophosphorothionates: A possible common mode of action on the GABA receptor. Pestic. Biochem. Physiol. 2005, 81, 176–187. [Google Scholar] [CrossRef]
- Tian, Y.Q.; Zhang, Z.X.; Xu, H.H. Laboratory and field evaluations on insecticidal activity of Cicuta virosa L. var. latisecta Celak. Ind. Crop. Prod. 2013, 41, 90–93. [Google Scholar] [CrossRef]
- Wang, Z.; Kim, J.R.; Wang, M.; Shu, S.; Ahn, Y.J. Larvicidal activity of Cnidium monnieri fruit coumarins and structurally related compounds against insecticide-susceptible and insecticide-resistant Culex pipiens pallens and Aedes aegypti. Pest Manag. Sci. 2012, 68, 1041–1047. [Google Scholar] [CrossRef] [PubMed]
- Hadacek, F.; Mueller, C.; Werner, A.; Greger, H.; Proksch, P. Analysis, isolation and insecticidal activity of linear furanocoumarins and other coumarin derivatives from Peucedanum (Apiaceae: Apioideae). J. Chem. Ecol. 1994, 20, 2035–2054. [Google Scholar] [CrossRef] [PubMed]
- Afek, U.; Carmeli, S.; Aharoni, N. Columbianetin, a phytoalexin associated with celery resistance to pathogens during storage. Phytochemistry 1995, 39, 1347–1350. [Google Scholar] [CrossRef]
- Itokawa, H.; Yun, Y.; Morita, H.; Takeya, K.; Lee, S.R. Cytotoxic coumarins from roots of Angelica gigas Nakai. Nat. Med. 1994, 48, 334–335. [Google Scholar]
- De Souza, S.M.; Delle, M.F.; Smania, A. Antibacterial activity of coumarins. Z. Naturforsch. 2005, 60C, 693–700. [Google Scholar] [CrossRef]
- Meyer, S.L.; Zasada, I.A.; Roberts, D.P.; Vinyard, B.T.; Lakshman, D.K.; Lee, J.K.; Chitwood, D.J.; Carta, L.K. Plantago lanceolata and Plantago rugelii extracts are toxic to Meloidogyne incognita but not to certain microbes. J. Nematol. 2006, 38, 333–338. [Google Scholar] [PubMed]
- Viglierchio, D.R.; Schmitt, R.V. On the methodology of nematode extraction from field samples: Baermann funnel modifications. J. Nematol. 1983, 15, 438–444. [Google Scholar] [PubMed]
- Adhikari, B.; Devkota, H.P.; Joshi, K.R.; Watanabe, T.; Yahara, S. Two new diacetylene glycosides: Bhutkesoside A and B from the roots of Ligusticopsis wallichiana. Nat. Prod. Res. 2016, 14, 1577–1584. [Google Scholar] [CrossRef] [PubMed]
- Radulovi, N.S.; Deki, M.S.; Blagojevi, P.B. Chemical composition of the essential oil and diethyl ether extract of Trinia glauca (L.) Dumort. (Apiaceae) and the chemotaxonomic significance of 5-O-methylvisamminol. Chem. Biocivers. 2016, 13, 403–415. [Google Scholar] [CrossRef] [PubMed]
- Macias, F.A.; Hernández-Galán, R.; Massanet, G.M.; Rodriguezluis, F.; Vasquez, M.; Salva, J. 13C NMR of coumarins. V 3-prenylated coumarins. Magn. Reson. Chem. 1990, 28, 732–735. [Google Scholar] [CrossRef]
- Sakuma, M. Probit analysis of preference data. Appl. Entomol. Zool. 1998, 33, 339–347. [Google Scholar]
- Sample Availability: Samples of the crude extracts and pure compounds are available from the authors.

| Compound | Treatment | LC50 (μg/mL) (95% FL) * | RT ** | LC90 (μg/mL) (95% FL) * | Slope ± SE |
|---|---|---|---|---|---|
| Columbianetin | Dark | 103.44 (84.52–123.10) | - | 375.11 (288.16–560.48) | 2.29 ± 0.21 |
| Light | 72.12 (59.98–83.82) | 1.43 | 268.50(217.65–361.20) | 2.25 ± 0.24 | |
| UV | 32.11 (25.05–38.74) | 3.22 | 85.64 (67.29–128.53) | 3.01 ± 0.34 | |
| Falcarindiol | Dark | 2.20 (1.82–2.61) | - | 11.82 (8.66–18.82) | 1.76 ± 0.20 |
| Light | 0.95 (0.54–1.30) | 2.32 | 13.97 (7.82–48.18) | 1.10 ± 0.21 | |
| UV | 0.73 (0.62–0.83) | 3.01 | 2.65 (2.17–3.50) | 2.29 ± 0.32 | |
| Falcarinol | Dark | 12.61 (9.82–15.19) | - | 69.87 (54.61–100.05) | 1.72 ± 0.20 |
| Light | 7.42 (4.93–9.66) | 1.69 | 30.79 (21.45–63.14) | 1.63 ± 0.30 | |
| UV | 1.43 (1.15–1.71) | 8.82 | 3.98 (3.18–5.54) | 2.88 ± 0.23 | |
| Isoimperatorin | Dark | 21.83 (16.66–27.54) | - | 236.64 (135.22–660.45) | 1.24 ± 0.20 |
| Light | 15.14 (9.05–20.59) | 1.44 | 250.35 (128.36–1071.92) | 2.25 ± 0.21 | |
| UV | 12.07 (10.13–13.86) | 1.81 | 35.90 (30.39–45.16) | 2.71 ± 0.29 | |
| Ethanol extract | Dark | 45.21 (40.12–49.23) | - | 234.67 (211.56–256.78) | 2.23 ± 0.24 |
| Avermectin | 0.07 (0.06–0.08) | - | 0.24 (0.21–0.26) | 2.45 ± 0.20 |
| Compound | Treatment | LC50 (μg/mL) (95% FL) * | RT ** | LC90 (μg/mL) (95% FL) * | Slope ± SE |
|---|---|---|---|---|---|
| Columbianetin | Dark | 30.91 (26.04–36.18) | - | 161.08 (124.53–227.93) | 1.79 ± 0.16 |
| Light | 28.29 (14.78–40.44) | 1.09 | 171.12 (138.24–262.45) | 1.61 ± 0.27 | |
| UV | 12.33 (9.45–14.85) | 2.51 | 43.09 (35.06–58.65) | 2.36 ± 0.31 | |
| Falcarindiol | Dark | 1.08 (0.89–1.28) | - | 5.99 (4.36–9.68) | 1.72 ± 0.20 |
| Light | 0.56 (0.44–0.67) | 1.93 | 2.33 (1.79–3.47) | 2.07 ± 0.19 | |
| UV | 0.22 (0.15–0.29) | 4.91 | 2.31 (1.54–4.65) | 1.26 ± 0.09 | |
| Falcarinol | Dark | 4.96 (4.20–5.76) | - | 24.00 (19.10–32.27) | 1.87 ± 0.15 |
| Light | 3.44 (2.95–3.90) | 1.44 | 10.55 (9.11–12.74) | 2.63 ± 0.23 | |
| UV | 1.00 (0.86–1.15) | 4.96 | 5.50 (4.12–8.30) | 1.73 ± 0.17 | |
| Isoimperatorin | Dark | 17.21 (14.86–19.85) | - | 74.55 (58.88–101.81) | 1.79 ± 0.19 |
| Light | 7.57 (4.52–10.30) | 2.27 | 125.18 (64.18–535.96) | 1.05 ± 0.13 | |
| UV | 3.30 (1.96–4.46) | 5.22 | 18.22 (14.41–26.25) | 1.73 ± 0.17 | |
| Ethanol extract | Dark | 22.34 (19.89–24.67) | - | 130.56 (119.25–142.79) | 1.56 ± 0.14 |
| 2% Avermectin | – | 0.03 (0.02–0.03) | - | 0.24 (0.22–0.27) | 2.08 ± 0.16 |
© 2016 by the authors. Licensee MDPI, Basel, Switzerland. This article is an open access article distributed under the terms and conditions of the Creative Commons Attribution (CC-BY) license ( http://creativecommons.org/licenses/by/4.0/).
Share and Cite
Liu, G.; Lai, D.; Liu, Q.Z.; Zhou, L.; Liu, Z.L. Identification of Nematicidal Constituents of Notopterygium incisum Rhizomes against Bursaphelenchus xylophilus and Meloidogyne incognita. Molecules 2016, 21, 1276. https://doi.org/10.3390/molecules21101276
Liu G, Lai D, Liu QZ, Zhou L, Liu ZL. Identification of Nematicidal Constituents of Notopterygium incisum Rhizomes against Bursaphelenchus xylophilus and Meloidogyne incognita. Molecules. 2016; 21(10):1276. https://doi.org/10.3390/molecules21101276
Chicago/Turabian StyleLiu, Gai, Daowan Lai, Qi Zhi Liu, Ligang Zhou, and Zhi Long Liu. 2016. "Identification of Nematicidal Constituents of Notopterygium incisum Rhizomes against Bursaphelenchus xylophilus and Meloidogyne incognita" Molecules 21, no. 10: 1276. https://doi.org/10.3390/molecules21101276
APA StyleLiu, G., Lai, D., Liu, Q. Z., Zhou, L., & Liu, Z. L. (2016). Identification of Nematicidal Constituents of Notopterygium incisum Rhizomes against Bursaphelenchus xylophilus and Meloidogyne incognita. Molecules, 21(10), 1276. https://doi.org/10.3390/molecules21101276

