Abstract
We report herein the design and synthesis of a series of novel imidazo[1,2-a]pyridine amide-cinnamamide hybrids linked via an alkyl carbon chain. All 38 new hybrids were evaluated for their antimycobacterial activity against M. tuberculosis (MTB) H37Rv ATCC 27294 using the microplate Alamar Blue assay (MABA). Although the hybrids are less active than the two reference compounds, the promising activity (MICs: 4 μg/mL) of 2,6-dimethylimidazo[1,2-a]pyridine amide-cinnamamide hybrids 11e and 11k could be a good starting point to further find new lead compounds against multi-drug-resistant tuberculosis.
1. Introduction
Tuberculosis (TB), including multi-drug-resistant TB (MDR-TB) and extensively-drug-resistant TB (XDR-TB), as well as the lethal combination represented by HIV co-infection, constitutes an unacceptable burden of human suffering and loss [1,2]. For example, the current therapy requires at least 20 months of treatment for MDR-TB. For these infections, several novel candidates are currently in clinical trials [3,4,5], and one of them, Bedaquiline, was approved by the FDA in December 2012 for the treatment of MDR-TB. However, its wide application may be limited because of serious adverse effects, such as cardiac arrhythmias [6]. Therefore, there is still an urgent need for new anti-TB drugs that target novel biological pathways in M. tuberculosis (MTB), shorten therapy and reduce the burden of latent infection [7].
In recent years, imidazo[1,2-a]pyridine amides (IPAs) targeting the QcrB subunit of the menaquinol cytochrome c oxidoreductase (bc1 complex), which is a critical component of mycobacterial energy metabolism [8], have attracted broad attention due to their potent activity against MTB-resistant and -sensitive strains [9,10,11,12,13,14,15]. Two promising drug candidates, ND-09759 (Figure 1) and Q203 (Figure 1), are currently in pre-clinical and phase I clinical development [11,16], respectively. It has been generally accepted that the carboxamide linker with the N-benzylic group is critical for anti-MTB activity [12], but IPA derivatives containing a N-(2-phenoxyl)ethyl or N-(2-phenylamino)ethyl moiety, such as IMB1502 (Figure 1), were observed to have nanomolar potency against MTB H37Rv and MDR-MTB strains in our lab [17].
On the other hand, trans-cinnamic acid derivatives are an important class of molecules by reason of their wide spectrum of pharmacological profiles, including antioxidative [18], antitumor [19], antibacterial [20] and antitubercular [21] properties. It is of interest to note that cinnamic acid was used for TB even before the current therapy was discovered [22]. Additionally, cinnamic acid was found to act synergistically with isoniazid, rifamycin and other known anti-TB agents against MTB [23]. Additionally, rifamycin SV, a hybrid derivative of cinnamic acid and rifamycin, was observed to show higher activity against most of the tested MTB and MDR-MTB strains than its individual counterparts [24]. Recently, several natural products containing a cinnamic acid moiety were reported as anti-TB agents [25,26,27,28], such as pisoniamide (Figure 1), a natural cinnamamide isolated from Pisonia aculeate [29].
Figure 1.
Structures of selected anti-tuberculosis (TB) compounds and the design of imidazo[1,2-a]pyridine amide-cinnamamide hybrids.
Figure 1.
Structures of selected anti-tuberculosis (TB) compounds and the design of imidazo[1,2-a]pyridine amide-cinnamamide hybrids.

In our continuous program in the search of potent and safe IMB1502 derivatives, we intended to construct a new class of hybrids as attractive anti-TB agents by molecular hybridization between IMB1502 and pisoniamide. A detailed structural comparison revealed that both of them are composed of a delocalized aromatic pharmacophore (green) and a hydrophobic moiety (purple) connected via a same ethylidyne linkage (black, Figure 1). Therefore, a series of novel hybrid structures containing IPA and cinnamamide moieties linked via an alkyl carbon chain (ethylidyne or propylidyne) were designed and synthesized in this study (Figure 1), with the hope that these target compounds would exhibit improved anti-MTB activity.
2. Results and Discussion
2.1. Chemistry
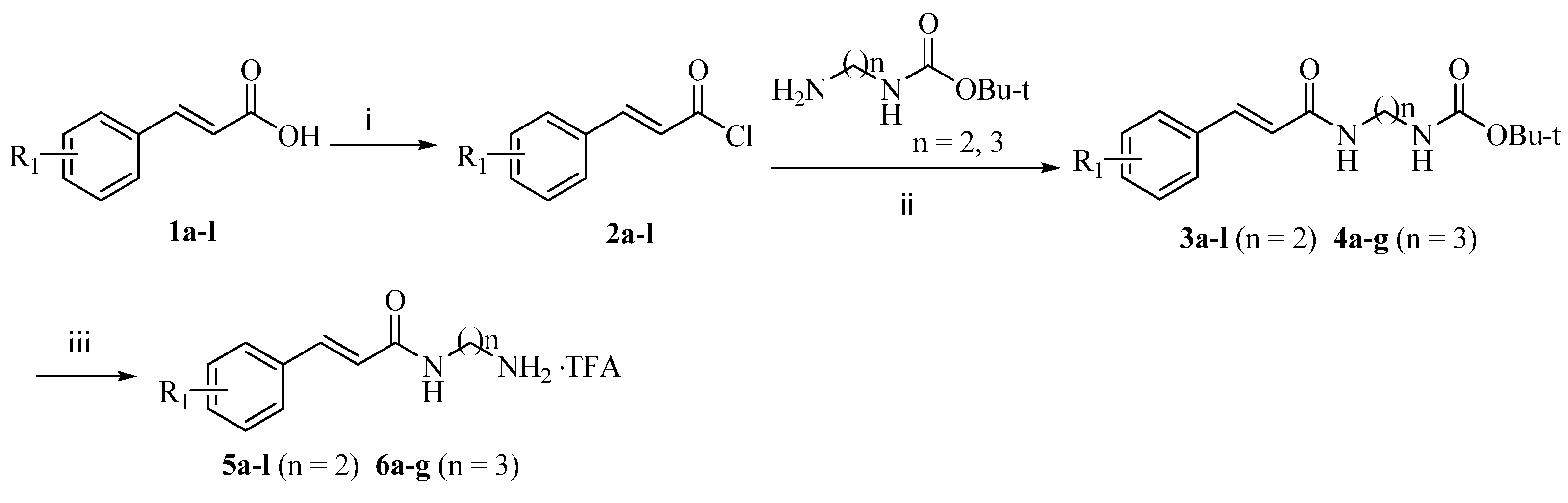
Detailed synthetic pathways to cinnamamide derivatives 5–6 and novel hybrids 11–14 are depicted in Scheme 1 and Scheme 2, respectively. Commercially available cinnamic acids 1a–l were treated with thionyl chloride at reflux to give the corresponding acyl chlorides 2a–l. Condensation of the resulting 2a–l with tert-butyl (2-aminoethyl)carbamate or tert-butyl (3-aminopropyl)carbamate in the presence of triethylamine (NEt3) yielded 3a–l and 4a–g, respectively, which were hydrolyzed with trifluoroacetic acid (TFA) to afford the desired cinnamamide derivatives 5a–l and 6a–g as TFA salts (Scheme 1).
Scheme 1.
Synthesis of cinnamamide derivatives 5a–l and 6a–g. Reagents and conditions: (i) SOCl2, DMF, relux, 4 h; (ii) Net3, CH2Cl2, rt, 2 h, 59%–75% (for two steps); (iii) TFA CHCl3, rt, 1 h, 100%.
Scheme 1.
Synthesis of cinnamamide derivatives 5a–l and 6a–g. Reagents and conditions: (i) SOCl2, DMF, relux, 4 h; (ii) Net3, CH2Cl2, rt, 2 h, 59%–75% (for two steps); (iii) TFA CHCl3, rt, 1 h, 100%.

The target Compounds 11–14 were conveniently prepared from ethyl 2,6-dimethylimidazo[1,2-a]pyridine-3-carboxylate 7 and ethyl 2,7-dimethylimidazo[1,2-a]pyridine-3-carboxylate 8 [30,31], by hydrolysis in LiOH–EtOH and condensation with the above cinnamamide derivatives 5a–l and 6a–g in the presence of bis(2-oxo-3-oxazolidinyl)phosphonic chloride (BOP-Cl) and NEt3, successively (Scheme 2).
Scheme 2.
Synthesis of imidazo[1,2-a]pyridine amide-cinnamamide hybrids 11–14. Reagents and conditions: (iv) LiOH, EtOH, rt, overnight, 78%–87%; (v) BOP-Cl, Net3, CH2Cl2, rt, 2 h, 32%–72%.
Scheme 2.
Synthesis of imidazo[1,2-a]pyridine amide-cinnamamide hybrids 11–14. Reagents and conditions: (iv) LiOH, EtOH, rt, overnight, 78%–87%; (v) BOP-Cl, Net3, CH2Cl2, rt, 2 h, 32%–72%.

2.2. Anti-MTB Activity
The target Compounds 11–14 were evaluated for their in vitro activity against MTB H37Rv ATCC 27294 using the microplate Alamar Blue assay (MABA) [32,33]. The minimum inhibitory concentration (MIC) is defined as the lowest concentration effecting a reduction in fluorescence of ≥90% relative to the mean of replicate bacterium-only controls, and MICs of 11–14 along with IMB1502 and isoniazid (INH) for comparison are presented in Table 1. The data reveal that all of the new synthesized hybrids 11–14 (MICs: 4–>32 μg/mL) are much less active than the reference drug INH (MIC: 0.05 μg/mL) and the parent compound IMB1502 (MIC: 0.015 μg/mL), but fourteen of them have potential activity against this strain (MICs: 4–32 μg/mL). Among them, Compounds 11e and 11k display the highest activity (MICs: 4 μg/mL), and Compounds 11k and 11e have also promising activity with MICs of 8 and 16 μg/mL, respectively, against MTB H37Rv ATCC 27294.
Variations (R1) on the benzene ring of the cinnamamide moiety in this study include methyl, methoxy, trifluoromethyl, trifluoromethoxy, nitro, fluoro, chloro, 3,4-dichloro, 3,4,5-trimethoxyl and hydrogen substitution (Table 1). Generally, compounds with multi-substituents (3,4-dichloro, 3,4,5-trimethoxyl) or without a substituent (hydrogen) on the benzene ring, like many mono-substituted (fluoro, chloro, methyl, methoxy, nitro) hybrids, are inactive (MICs: ≥32 μg/mL) in this study. In the case of the hybrids with MICs of 4–16 μg/mL, the 2,6-dimethylimidazo[1,2-a]pyridineamide moiety is more active than the responding 2,7-dimethylimidazo[1,2-a]pyridineamide one (11e vs. 12e; 11k vs. 12k). On the other hand, the hybrids with an ethylidyne linker (n = 2) seem to be more potent than the analogs containing a propylidyne one (n = 3) (11e vs. 13e; 12e vs. 14e), which is consistent with the structure-activity relationship (SAR) in our previous study [17]. Moreover, in the series of Hybrids 11 and 12 (n = 2), introduction of an electron-donating mono-substituted group (R1 = methyl, methoxy) instead of an electron-withdrawing one (R1 = trifluoromethyl, trifluoromethoxy) is significantly detrimental to the activity (11a vs. 11e; 11d vs. 11k; 12a vs. 12e; 12d vs. 12k). Finally, representative IMPs (5e, 6e) and cinnamamide (15) were, as expected, found to have no anti-MTB activity (MICs: >32 μg/mL), which highlights the design rationality of our hybrids in this study.
Table 1.
Anti-M. tuberculosis (MTB) activity of imidazo[1,2-a]pyridine amide-cinnamamide Hybrids 11–14.
| Compound | R1 | MIC (μg/mL) | Compd. | R1 | MIC (μg/mL) |
|---|---|---|---|---|---|
| 11a | 4-CH3 | >32 | 12a | 4-CH3 | >32 |
| 11b | 3,4,5-tri-OCH3 | >32 | 12b | 3,4,5-tri-OCH3 | >32 |
| 11c | 3,4-di-Cl | >32 | 12c | 3,4-di-Cl | 32 |
| 11d | 4-OCH3 | >32 | 12d | 4-OCH3 | >32 |
| 11e | 4-CF3 | 4 | 12e | 4-CF3 | 16 |
| 11f | 2-F | >32 | 12f | 2-F | >32 |
| 11g | 4-F | >32 | 12g | 4-F | >32 |
| 11h | 3-F | >32 | 12h | 3-F | >32 |
| 11i | 4-Cl | >32 | 12i | 4-Cl | >32 |
| 11j | 4-NO2 | 32 | 12j | 4-NO2 | >32 |
| 11k | 4-OCF3 | 4 | 12k | 4-OCF3 | 8 |
| 11l | H | >32 | 12l | H | >32 |
| 13a | 4-CH3 | 32 | 14a | 4-CH3 | >32 |
| 13b | 3,4,5-tri-OCH3 | 32 | 14b | 3,4,5-tri-OCH3 | >32 |
| 13c | 3,4-di-Cl | >32 | 14c | 3,4-di-Cl | >32 |
| 13d | 4-OCH3 | >32 | 14d | 4-OCH3 | 32 |
| 13e | 4-CF3 | 32 | 14e | 4-CF3 | 32 |
| 13f | 2-F | 32 | 14f | 2-F | >32 |
| 13g | 4-F | 32 | 14g | 4-F | 32 |
| 5e | >32 | isoniazid | 0.05 | ||
| 6e | >32 | IMB1502 | 0.015 | ||
| 15 | >32 |
3. Materials and Methods
3.1. Chemistry
Melting points were determined in open capillaries and are uncorrected. 1H-NMR spectra were determined on a Varian Mercury-400 spectrometer in DMSO-d6, D2O or CDCl3 using tetramethylsilane as an internal standard (see Supplementary Materials). Electrospray ionization (ESI) mass spectra and high resolution mass spectra (HRMS) were obtained on an MDSSCIEX Q-Tap mass spectrometer. The reagents were all of analytical grade or chemically pure. TLC was performed on silica gel plates (Merck, ART5554 60F254, Kenilworth, NJ, USA).
3.2. Synthesis
3.2.1. General Procedure for the Synthesis of Imidazo[1,2-a]pyridine-3-carboxylic Acids 9, 10
To a solution of 7, 8 (4.0 mmol) in EtOH (30 mL) was added an aqueous solution of lithium hydroxide (12.0 mmol in 10 mL of water), and the mixture was stirred at room temperature overnight. The organic solvent was evaporated, and 1N HCl was added until the pH = 6. The residual was collected by filtration, washed with water and dried to give 9, 10.
Ethyl 2,6-dimethylimidazo[1,2-a]pyridine-3-carboxylate acid (9): The title compound was obtained from 7 as a white solid (87%); m.p.: 173–175 °C. 1H-NMR (500 MHz, DMSO-d6) δ (ppm): 12.93 (s, 1H, -COOH), 9.08 (s, 1H, pyridine-H), 7.55 (d, J = 9.1 Hz, 1H, pyridine-H), 7.36 (dd, J = 9.1, 1.6 Hz, 1H, pyridine-H), 2.57 (s, 3H, CH3), 2.35 (s, 3H, CH3). MS-ESI (m/z): 191 [M + H]+.
Ethyl 2,7-dimethylimidazo[1,2-a]pyridine-3-carboxylate acid (10): The title compound was obtained from 8 as a white solid (78%); m.p.: 161–163 °C. 1H-NMR (400 MHz, DMSO-d6) δ (ppm): 12.90 (s, 1H, -COOH), 9.12 (d, J = 7.1 Hz, 1H, pyridine-H), 7.47–7.38 (m, 1H, pyridine-H), 6.98 (dd, J = 7.1, 1.7 Hz, 1H, pyridine-H), 2.56 (s, 3H, CH3), 2.40 (s, 3H, CH3). MS-ESI (m/z): 191 [M + H]+.
3.2.2. General Procedure for the Synthesis of Cinnamamide Derivatives 5a–l and 6a–g
To a solution of 1.2 equiv of substituted cinnamic acid 1a–l (5 mmol) in 5 equiv of thionyl chloride (3.6 mL), a catalytic amount of DMF was added. The reaction mixture was refluxed for 4 h, and then, solvent was evaporated under vacuum to get the product 2a–l in the form of a solid residue in quantitative yield. The solid residue was directly added partially to an ice-cold stirred solution of 1.0 equiv of tert-butyl (2-aminoethyl)carbamate or tert-butyl (3-aminopropyl)carbamate and 2.0 equiv triethylamine in DCM (20 mL). After the addition, the mixture was warmed to room temperature and stirred for 2 h. Then, DCM (20 mL) was added and washed with 0.2 M HCl (40 mL), H2O (40 mL), 5% saturated. NaHCO3 (40 mL) and brine (40 mL), then dried over anhydrous magnesium sulfate. The solvent was removed in vacuo to give the corresponding cinnamamide derivatives 3a–l (65%–75%, from 1a–l) and 4a–g (59%–70%, from 1a–g) as a white solid. 3a–l, 4a–g (4 mmol) in DCM/TFA (9:1, 40 mL) were stirred at room temperature for 1 h. Solvents were removed in vacuo to yield 5a–l (100%) and 6a–g (100%) as a colorless oil.
3.2.3. General Procedure for the Synthesis of Imidazo[1,2-a]pyridine amide-cinnamamide Hybrids 11–14
A mixture of imidazo[1,2-a]pyridine-3-carboxylic acids 9, 10 (1.0 mmol) and BOP-Cl (1.2 mmol) in dry DCM (10 mL) was stirred under N2 at room temperature for 5 min at room temperature. Then, Et3N (2.2 mmol) was added followed by 5a–l and 6a–g (1.2 mmol). The resulting suspension was allowed to continue stirring for 3 h. DCM (10 mL) was added and washed with 0.2 M HCl (20 mL), H2O (20 mL), 5% satd. NaHCO3 (20 mL) and brine (20 mL), then dried over anhydrous magnesium sulfate. The solvent was removed in vacuo. Silica flash column chromatography eluting with DCM/MeOH (95:5) yielded 11–14.
(E)-2,6-Dimethyl-N-(2-(3-p-tolylacrylamido)ethyl)imidazo[1,2-a]pyridine-3-carboxamide (11a): The title compound was prepared from 5a and 9 as a white solid (61%); m.p.: 215–217 °C. 1H-NMR (500 MHz, DMSO-d6) δ (ppm): 8.82 (s, 1H, pyridine-H), 8.27 (d, J = 5.5 Hz, 1H, -CONH-), 7.86 (d, J = 5.0 Hz, 1H, -CONH-), 7.47–7.44 (m, 3H, Ar-H), 7.40 (d, J = 16.0 Hz, 1H, =C-H), 7.23–7.20 (m, 3H, Ar-H), 6.58 (d, J = 16.0 Hz, 1H, =C-H), 3.44–3.41 (m, 4H, 2 × -CH2-), 2.54 (s, 3H, CH3), 2.31 (s, 3H, CH3), 2.28 (s, 3H, CH3). 13C-NMR (126 MHz, DMSO-d6) δ (ppm): 165.98, 161.57, 145.33, 144.25, 139.68, 139.14, 132.57, 130.00, 129.63, 127.96, 125.22, 122.39, 121.53, 116.14, 115.92, 38.96, 21.41, 18.24, 16.07. MS-ESI (m/z): 377 [M + H]+.
(E)-2,6-Dimethyl-N-(2-(3-(3,4,5-trimethoxyphenyl)acrylamido)ethyl)imidazo[1,2-a]pyridine-3-carboxamide (11b): The title compound was obtained from 5b and 9 as a white solid (63%)’ m.p.: 224–226 °C. 1H-NMR (500 MHz, DMSO-d6) δ (ppm): 8.83 (s, 1H, pyridine-H), 8.24 (t, J = 5.0 Hz, 1H, -CONH-), 7.85 (t, J = 5.0 Hz, 1H, -CONH-), 7.47 (d, J = 9.0 Hz, 1H, pyridine-H), 7.38 (d, J = 15.5 Hz, 1H, =C-H), 7.23 (dd, J = 9.0, 1.5 Hz, 1H, pyridine-H), 6.90 (s, 2H, Ar-H), 6.60 (d, J = 15.5 Hz, 1H, =C-H), 3.80 (s, 6H, -OCH3), 3.67 (s, 3H, CH3), 3.44–3.41 (m, 4H, 2 × -CH2-), 2.55 (s, 3H, CH3), 2.28 (s, 3H, CH3). 13C-NMR (126 MHz, DMSO-d6) δ (ppm): 165.48, 161.13, 153.08, 144.90, 143.82, 138.93, 138.60, 130.50, 129.18, 124.78, 121.95, 121.45, 115.68, 115.49, 104.91, 60.10, 55.87, 54.96, 38.58, 30.99, 17.79, 15.66. MS-ESI (m/z): 453 [M + H]+.
(E)-N-(2-(3-(3,4-Dichlorophenyl)acrylamido)ethyl)-2,6-dimethylimidazo[1,2-a]pyridine-3-carboxamide (11c): The title compound was prepared from 5c and 9 as a white solid (57%); m.p.: 213–215 °C. 1H-NMR (500 MHz, DMSO-d6) δ (ppm): 8.82 (s, 1H, pyridine-H), 8.37 (m, 1H, -CONH-), 7.88–7.83 (m, 2H, -CONH- and Ar-H), 6.65 (d, J = 8.5 Hz, 1H, Ar-H), 7.55 (dd, J = 8.0, 1.5 Hz, 1H, Ar-H), 7.46 (d, J = 9.0 Hz, 1H, pyridine-H), 7.42 (d, J = 16.0 Hz, 1H, =C-H), 7.22 (dd, J = 9.5, 2.0 Hz, 1H, Ar-H), 6.72 (d, J = 16.0 Hz, 1H, =C-H), 3.44 ( m, 4H, 2 × -CH2-), 2.55 (s, 3H, CH3), 2.27 (s, 3H, CH3). 13C-NMR (126 MHz, DMSO-d6) δ (ppm): 164.94, 161.16, 144.92, 143.82, 136.16, 135.84, 131.69, 131.61, 131.06, 129.44, 129.17, 127.28, 124.78, 124.44, 121.94, 115.67, 115.46, 38.86, 38.72, 17.79, 15.66. MS-ESI (m/z): 431 [M + H]+.
(E)-N-(2-(3-(4-Methoxyphenyl)acrylamido)ethyl)-2,6-dimethylimidazo[1,2-a]pyridine-3-carboxamide (11d): The title compound was prepared from 5d and 9 as a white solid (69%); m.p.: 203–205 °C. 1H-NMR (500 MHz, CDCl3) δ (ppm): 9.12 (s, 1H, pyridine-H), 7.55 (d, J = 15.5 Hz, 1H, =C-H), 7.44 (d, J = 9.0 Hz, 1H, pyridine-H), 7.40 (d, J = 9.0 Hz, 1H, pyridine-H), 7.14 (dd, J = 9.0, 1.5 Hz, 1H, Ar-H), 6.85 (d, J = 9.0 Hz, 1H, Ar-H), 6.80 (s, 1H, -CONH-), 6.60 (s, 1H, -CONH-), 6.29 (d, J = 15.5 Hz, 1H, =C-H), 3.80 (s, 3H, OCH3), 3.69–3.67 (m, 4H, 2 × -CH2-), 2.71 (s, 3H, CH3), 2.31 (s, 3H, CH3). 13C-NMR (126 MHz, CDCl3) δ (ppm): 167.73, 162.64, 161.11, 145.81, 144.99, 145.37, 130.11, 129.55, 127.38, 125.96, 123.10, 117.73, 115.71, 115.21, 114.35, 55.48, 41.06, 40.12, 18.49, 16.59. MS-ESI (m/z): 393 [M + H]+.
(E)-2,6-Dimethyl-N-(2-(3-(4-(trifluoromethyl)phenyl)acrylamido)ethyl)imidazo[1,2-a]pyridine-3-carboxamide (11e): The title compound was prepared from 5e and 9 as a white solid (72%); m.p.: 252–254 °C. 1H-NMR (500 MHz, DMSO-d6) δ (ppm): 8.82 (s, 1H, pyridine-H), 8.82–8.40 (m, 1H, Ar-H), 7.87–7.85 (m, 1H, Ar-H), 7.77 (dd, J = 9.0, 11.5 Hz, 1H, Ar-H), 7.52 (d, J = 16.0 Hz, 1H, =C-H), 7.46 (d, J = 9.0 Hz, 1H, pyridine-H), 7.22 (dd, J = 9.0, 1.5 Hz, 1H, Ar-H), 6.77 (d, J = 16.0 Hz, 1H, =C-H), 3.46–3.43 (m, 4H, 2 × -CH2-), 2.55 (s, 3H, CH3), 2.26 (s, 3H, CH3). 13C-NMR (126 MHz, DMSO-d6) δ (ppm): 164.91, 161.16, 144.92, 143.83, 138.98, 137.08, 129.33, 129.17, 128.17, 125.84, 125.81, 125.21, 124.95, 124.76, 121.93, 115.68, 115.49, 38.87, 38.62, 17.78, 15.65. HRMS-ESI (m/z): calcd. for C22H22O2N4F3 [M + H]+: 431.1695; found 431.1675.
(E)-N-(2-(3-(2-Fluorophenyl)acrylamido)ethyl)-2,6-dimethylimidazo[1,2-a]pyridine-3-carboxamide (11f): The title compound was prepared from 5f and 9 as a white solid (70%); m.p.: 197–199 °C. 1H-NMR (500 MHz, DMSO-d6) δ (ppm): 8.82 (s, 1H, pyridine-H), 8.42 (t, J = 5.0 Hz, 1H, -CONH-), 7.86 (t, J = 5.0 Hz, 1H, -CONH-), 7.67–7.64 (m, 1H, Ar-H), 7.52–7.40 (m, 3H, =C-H and Ar-H), 7.30–7.21 (m, 3H, pyridine-H and Ar-H), 6.74 (d, J = 16.0 Hz, 1H, =C-H), 3.45–3.42 (m, 4H, 2 × -CH2-), 2.54 (s, 3H, CH3), 2.28 (s, 3H, CH3). 13C-NMR (126 MHz, DMSO-d6) δ (ppm): 165.13, 161.48, 161.15, 159.49, 144.90, 143.82, 131.37, 131.30, 131.16, 129.22, 129.20, 129.18, 125.05, 124.99, 124.77, 121.94, 116.21, 116.04, 115.71, 115.49, 38.87, 38.60, 17.77, 15.62. MS-ESI (m/z): 381 [M + H]+.
(E)-N-(2-(3-(4-Fluorophenyl)acrylamido)ethyl)-2,6-dimethylimidazo[1,2-a]pyridine-3-carboxamide (11g): The title compound was prepared from 5g and 9 as a white solid (67%); m.p.: 208–211 °C. 1H-NMR (500 MHz, DMSO-d6) δ (ppm): 9.14 (s, 1H, pyridine-H), 7.55 (d, J = 15.5 Hz, 1H, =C-H), 7.46–7.42 (m, 3H, pyridine-H and Ar-H), 7.04 (dd, J = 9.0, 1.5 Hz, 1H, Ar-H), 7.05–7.01 (m, 2H, Ar-H), 6.67 (s, 1H, -CONH-), 6.60 (s, 1H, -CONH-), 6.34 (d, J = 15.5 Hz, 1H, =C-H), 3.72–3.67 (m, 4H, 2 × -CH2-), 2.72 (s, 3H, CH3), 2.32 (s, 3H, CH3). 13C-NMR (126 MHz, DMSO-d6) δ (ppm): 162.12, 159.72, 157.81, 157.73, 140.98, 140.17, 135.50, 125.94, 125.92, 125.11, 124.81, 124.74, 120.97, 118.11, 114.94, 114.92, 111.16, 110.99, 110.84, 110.09, 35.81, 35.41, 13.52, 11.74. MS-ESI (m/z): 381 [M + H]+.
(E)-N-(2-(3-(3-Fluorophenyl)acrylamido)ethyl)-2,6-dimethylimidazo[1,2-a]pyridine-3-carboxamide (11h): The title compound was prepared from 5h and 9 as a white solid (65%); m.p.: 172–175 °C. 1H-NMR (500 MHz, DMSO-d6) δ (ppm): 8.83 (s, 1H, pyridine-H), 8.32 (d, J = 5.5 Hz, 1H, -CONH-), 7.83 (d, J = 5.5 Hz, 1H, -CONH-), 7.46–7.39 (m, 5H, Ar-H), 7.22–7.19 (m, 2H, Ar-H and pyridine-H), 6.34 (d, J = 15.5 Hz, 1H, =C-H), 3.47–3.36 (m, 4H, 2 × -CH2-), 2.55 (s, 3H, CH3), 2.27 (s, 3H, CH3). 13C-NMR (126 MHz, DMSO-d6) δ (ppm): 165.12, 163.45, 161.51, 161.18, 144.93, 143.84, 137, 55, 137.49, 130.96, 130.89, 129.17, 124, 78, 123.71, 121.95, 116.24, 116.07, 115.69, 115.49, 114.05, 113.88, 38.91, 38.62, 17.78, 15.65. MS-ESI (m/z): 381 [M + H]+.
(E)-N-(2-(3-(4-Chlorophenyl)acrylamido)ethyl)-2,6-dimethylimidazo[1,2-a]pyridine-3-carboxamide (11i): The title compound was prepared from 5i and 9 as a white solid (59%); m.p.: 252–254 °C. 1H-NMR (500 MHz, DMSO-d6) δ (ppm): 8.82 (s, 1H, pyridine-H), 8.31 (s, 1H, -CONH-), 7.83 (s, 1H, -CONH-), 7.59 (d, J = 8.5 Hz, 2H, Ar-H), 7.48–7.40 (m, 4H, Ar-H and pyridine-H), 7.23 (dd, J = 9.0, 1.5 Hz, 1H, Ar-H), 6.64 (d, J = 16.0 Hz, 1H, =C-H), 3.45–3.41 (m, 4H, 2 × -CH2-), 2.54 (s, 3H, CH3), 2.28 (s, 3H, CH3). 13C-NMR (126 MHz, DMSO-d6) δ (ppm): 165.19, 161.15, 144.91, 143.82, 137.40, 133.90, 133.86, 129.25, 129.18, 128.99, 124.77, 122.95, 121.95, 115.69, 115.48, 38.93, 38.57, 17.79, 15.64. MS-ESI (m/z): 397 [M + H]+.
(E)-2,6-Dimethyl-N-(2-(3-(4-nitrophenyl)acrylamido)ethyl)imidazo[1,2-a]pyridine-3-carboxamide (11J): The title compound was prepared from 5J and 9 as a white solid (52%); m.p.: 213–215 °C. 1H-NMR (500 MHz, DMSO-d6) δ (ppm): 8.82 (s, 1H, pyridine-H), 8.48 (s, 1H, -CONH-), 8.24 (d, J = 9.0 Hz, 2H, pyridine-H), 7.87–7.82 (m, 3H, -CONH- and Ar-H), 7.55 (d, J =15.5 Hz, 1H, =C-H), 7.45 (d, J = 9.0 Hz, 2H, pyridine-H) 7.21 (dd, J = 9.0, 1.5 Hz, 1H, Ar-H), 6.84 (d, J = 16.0 Hz, 1H, =C-H), 3.47–3.43 (m, 4H, 2 × -CH2-), 2.55 (s, 3H, CH3), 2.27 (s, 3H, CH3). 13C-NMR (126 MHz, DMSO-d6) δ (ppm): 164.70, 161.16, 147.49, 144.94, 143.83, 141.51, 136.43, 129.16, 128.59, 126.43, 124.76, 124.13, 121.94, 115.66, 115.48, 38.82, 38.68, 17.80, 15.66. MS-ESI (m/z): 408 [M + H]+.
(E)-2,6-Dimethyl-N-(2-(3-(4-(trifluoromethoxy)phenyl)acrylamido)ethyl)imidazo[1,2-a]pyridine-3-carboxamide (11k): The title compound was prepared from 5k and 9 as a white solid (64%); m.p.: 214–217 °C. 1H-NMR (500 MHz, DMSO-d6) δ (ppm): 8.82 (s, 1H, pyridine-H), 8.81–8.42 (m, 1H, -CONH-), 7.85–7.82 (m, 1H, -CONH-), 7.70 (dd, J = 9.0, 11.5 Hz, 1H, Ar-H), 7.58 (d, J = 16.0 Hz, 1H, =C-H), 7.48 (d, J = 9.0 Hz, 1H, pyridine-H), 7.23 (dd, J = 9.0, 1.5 Hz, 1H, Ar-H), 6.97 (d, J = 16.0 Hz, 1H, =C-H), 3.50–3.45 (m, 4H, 2 × -CH2-), 2.58 (s, 3H, CH3), 2.24 (s, 3H, CH3). 13C-NMR (126 MHz, DMSO-d6) δ (ppm): 165.90, 162.15, 145.82, 143.83, 139.92, 137.18, 129.32, 129.17, 128.18, 126.85, 125.98, 125.31, 124.85, 124.74, 122.43, 114.90, 114.49, 38.85, 37.65, 18.75, 15.65. HRMS-ESI (m/z): calcd. for C22H22O3N4F3 [M + H]+: 447.1644; found 447. 1622.
(E)-N-(2-Cinnamamidoethyl)-2,6-dimethylimidazo[1,2-a]pyridine-3-carboxamide (11l): The title compound was obtained from 5l and 9 as a white solid (58%); m.p.: 196–198 °C. 1H-NMR (500 MHz, CDCl3) δ (ppm): 9.22 (s, 1H, pyridine-H), 7.65 (d, J = 16.0 Hz, 1H, =C-H), 7.52–7.47 (m, 3H, Ar-H and pyridine-H), 7.38–7.36 (m, 3H, Ar-H and pyridine-H), 7.18 (dd, J = 9.0, 2.0 Hz, 1H, Ar-H), 6.89 (t, J = 6.0 Hz, 1H, -CONH-), 6.58 (t, J = 6.0 Hz, 1H, -CONH-), 6.48 (d, J = 16.0 Hz, 1H, =C-H), 3.59 (dd, J = 12.0, 6.5 Hz, 2H, -CH2-), 3.54 (dd, J = 12.0, 6.5 Hz, 2H, -CH2-), 2.83 (s, 3H, CH3), 2.37 (s, 3H, CH3). 13C-NMR (126 MHz, CDCl3) δ (ppm): 166.96, 162.28, 145.66, 145.03, 141.40, 134.81, 129.97, 129.88, 128.94, 127.93, 126.04, 123.00, 120.55, 115.76, 115.39, 36.26, 35.66, 30.53, 18.52, 16.79. MS-ESI (m/z): 363 [M + H]+.
(E)-2,7-Dimethyl-N-(2-(3-p-tolylacrylamido)ethyl)imidazo[1,2-a]pyridine-3-carboxamide (12a): The title compound was prepared from 5a and 10 as a white solid (61%); m.p.: 244–247 °C. 1H-NMR (500 MHz, DMSO-d6) δ (ppm): 8.94 (d, J = 7.5 Hz, 1H, pyridine-H), 8.28 (d, J = 5.0 Hz, 1H, -CONH-), 7.79 (d, J = 5.0 Hz, 1H, -CONH-), 7.45 (d, J = 8.0 Hz, 2H, Ar-H), 7.40 (d, J = 15.5 Hz, 1H, =C-H), 7.34–7.33 (m, 1H, Ar-H and pyridine-H), 7.22 (d, J = 8.0 Hz, 2H, Ar-H), 6.58 (d, J = 15.5 Hz, 1H, =C-H), 3.45–3.41 (m, 4H, 2 × -CH2-), 2.55 (s, 3H, CH3), 2.36 (s, 3H, CH3), 2.32 (s, 3H, CH3). 13C-NMR (126 MHz, DMSO-d6) δ (ppm): 165.55, 161.15, 145.27, 145.16, 139.23, 138.71, 137.12, 132.12, 129.55, 127.52, 126.43, 121.08, 115.33, 115.15, 114.54, 38.52, 20.96, 20.73, 15.71. MS-ESI (m/z): 377 [M + H]+.
(E)-2,7-Dimethyl-N-(2-(3-(3,4,5-trimethoxyphenyl)acrylamido)ethyl)imidazo[1,2-a]pyridine-3-carboxamide (12b): The title compound was obtained from 5b and 10 as a white solid (61%); m.p.: 225–227 °C. 1H-NMR (500 MHz, DMSO-d6) δ (ppm): 8.92 (d, J = 7.0 Hz, 1H, pyridine-H), 8.24 (t, J = 5.0 Hz, 1H, -CONH-), 7.85 (t, J = 5.0 Hz, 1H, -CONH-), 7.47 (d, J = 9.0 Hz, 1H, pyridine-H), 7.38 (d, J = 15.5 Hz, 1H, =C-H), 7.23 (dd, J = 7.0, 1.5 Hz, 1H, Ar-H), 6.90 (s, 2H, Ar-H), 6.60 (d, J = 15.5 Hz, 1H, =C-H), 3.80 (s, 6H, 2 × OCH3), 3.67 (s, 3H, OCH3), 3.44–3.41 (m, 4H, 2 × -CH2-), 2.55 (s, 3H, CH3), 2.28 (s, 3H, CH3). 13C-NMR (126 MHz, DMSO-d6) δ (ppm): 166.38, 162.14, 154.10, 145.12, 143.83, 138.94, 138.50, 131.40, 128.19, 124.68, 122.14, 121.45, 115.67, 115.40, 105.81, 61.15, 56.88, 53.97, 39.57, 31.87, 18.80, 15.64. MS-ESI (m/z): 453 [M + H]+.
(E)-N-(2-(3-(3,4-Dichlorophenyl)acrylamido)ethyl)-2,7-dimethylimidazo[1,2-a]pyridine-3-carboxamide (12c): The title compound was prepared from 5c and 10 as a white solid (54%); m.p.: 201–204 °C. 1H-NMR (500 MHz, DMSO-d6) δ (ppm): 8.92 (d, J = 7.5 Hz, 1H, pyridine-H), 8.34 (d, J = 5.5 Hz, 1H, -CONH-), 7.84 (d, J = 2.0 Hz, 1H, pyridine-H), 7.78 (d, J = 5.0 Hz, 1H, -CONH-), 7.66 (d, J = 8.0, 1H, pyridine-H), 7.55 (dd, J = 8.5, 2.0 Hz, 1H, Ar-H), 7.42 (d, J = 16.0 Hz, 1H, =C-H), 7.32 (s, 1H, Ar-H), 6.82 (dd, J = 7.5, 2.0 Hz, 1H, Ar-H), 6.70 (d, J = 16.0 Hz, 1H, =C-H), 3.43 ( m, 4H, 2 × -CH2-), 2.55 (s, 3H, CH3), 2.35 (s, 3H, CH3). 13C-NMR (126 MHz, DMSO-d6) δ (ppm): 164.93, 161.16, 145.26, 145.15, 137.15, 136.19, 135.84, 131.69, 131.61, 131.07, 129.48, 127.28, 126.44, 124.42, 115.32, 115.16, 114.53, 38.87, 38.63, 20,72, 15.72. MS-ESI (m/z): 431 [M + H]+.
(E)-N-(2-(3-(4-Methoxyphenyl)acrylamido)ethyl)-2,7-dimethylimidazo[1,2-a]pyridine-3-carboxamide (12d): The title compound was prepared from 5d and 10 as a white solid (67%); m.p.: 218–221 °C. 1H-NMR (500 MHz, DMSO-d6) δ (ppm): 8.94 (d, J = 7.0 Hz, 1H, pyridine-H), 8.21 (d, J = 5.0 Hz, 1H, -CONH-), 7.78 (d, J = 5.0 Hz, 1H, -CONH-), 7.79–7.77 (m, 2H, Ar-H and pyridine-H), 7.34–7.37 (m, 2H, Ar-H and pyridine-H), 6.98–6.95 (m, 2H, Ar-H), 6.86–6.84 (m, 2H, Ar-H), 6.48 (d, J = 16.0 Hz, 1H, =C-H), 3.78 (s, 3H, OCH3), 3.44–3.40 (m, 4H, 2 × -CH2-), 2.55 (s, 3H, CH3), 2.36 (s, 3H, CH3). 13C-NMR (126 MHz, CDCl3) δ (ppm): 165.72, 161.13, 160.34, 145.27, 145.15, 138.47, 137.13, 129.13, 127.43, 126.44, 119.62, 115.34, 115.16, 114.55, 114.40, 55.27, 38.49, 20.73, 15.70. MS-ESI (m/z): 393 [M + H]+.
(E)-2,7-Dimethyl-N-(2-(3-(4-(trifluoromethyl)phenyl)acrylamido)ethyl)imidazo[1,2-a]pyridine-3-carboxamide (12e): The title compound was prepared from 5e and 10 as a white solid (72%); m.p.: 218–221 °C. 1H-NMR (500 MHz, DMSO-d6) δ (ppm): 8.83 (s, 1H, pyridine-H), 8.38 (t, J = 5.0, 1H, -CONH-), 7.83 (t, J = 5.0, 1H, -CONH-) 7.79–7.75 (m, 4H, Ar-H and pyridine-H), 7.51 (d, J = 16.0 Hz, 1H), 7.46 (d, J = 9.0 Hz, 1H, Ar-H), 7.22 (dd, J = 9.0, 1.5 Hz, 1H, Ar-H), 6.77 (d, J = 16.0 Hz, 1H, =C-H), 3.46–3.43 (m, 4H, 2 × -CH2-), 2.55 (s, 3H, CH3), 2.27 (s, 3H, CH3). 13C-NMR (126 MHz, DMSO-d6) δ (ppm): 165.71, 161.13, 160.34, 145.27, 145.15, 138.47, 137.13, 129.13, 127.43, 126.44, 119.62, 115.34, 115.16, 114.54, 114.40, 55.27, 38.49, 20.73, 15.70. MS-ESI (m/z): 431 [M + H]+.
(E)-N-(2-(3-(2-Fluorophenyl)acrylamido)ethyl)-2,7-dimethylimidazo[1,2-a]pyridine-3-carboxamide (12f): The title compound was prepared from 5f and 10 as a white solid (61%); m.p.: 213–216 °C. 1H-NMR (500 MHz, DMSO-d6) δ (ppm): 8.92 (d, J = 7.0 Hz, 1H, pyridine-H), 8.44 (d, J = 5.0 Hz, 1H, -CONH-), 7.79 (d, J = 5.0 Hz, 1H, -CONH-), 7.67–7.63 (m, 1H, Ar-H), 7.51 (d, J = 16.0 Hz, 1H, =C-H), 7.43–7.40 (m, 1H, Ar-H), 7.32 (s, 1H), 7.29–7.23 (m, 2H, Ar-H), 6.81 (dd, J = 7.5, 1.5 Hz, 1H), 6.74 (d, J = 16.0 Hz, 1H, =C-H), 3.45–3.42 (m, 4H, 2 × -CH2-), 2.55 (s, 3H, CH3), 2.35 (s, 3H, CH3). 13C-NMR (126 MHz, CDCl3) δ (ppm): 165.59, 161.92, 161.60, 159.93, 145.72, 145.60, 137.56, 131.79, 131.61, 129.65, 129.63, 126.87, 125.47, 125.44, 125.42, 116.64, 116.47, 115.78, 115.57, 114.98, 39.34, 39.05, 21.16, 16.14. MS-ESI (m/z): 381 [M + H]+.
(E)-N-(2-(3-(4-Fluorophenyl)acrylamido)ethyl)-2,7-dimethylimidazo[1,2-a]pyridine-3-carboxamide (12g): The title compound was prepared from 5g and 10 as a white solid (65%); m.p.: 246–248 °C. 1H-NMR (500 MHz, DMSO-d6) δ (ppm): 8.93 (d, J = 7.5 Hz, 1H, pyridine-H), 8.30 (t, J = 5.0 Hz, 1H, -CONH-), 7.62 (t, J = 3.5 Hz, 1H, -CONH-), 7.64–7.61 (m, 1H, Ar-H), 7.43 (d, J = 16.0 Hz, 1H, =C-H), 7.33 (s, 1H, Ar-H), 7.27–7.23 (m, 2H, Ar-H and pyridine-H), 6.83 (dd, J = 7.0, 1.5 Hz, 1H), 6.57 (d, J = 16.0 Hz, 1H, =C-H), 3.44–3.40 (m, 4H, 2 × -CH2-), 2.54 (s, 3H, CH3), 2.36 (s, 3H, CH3). 13C-NMR (126 MHz, CDCl3) δ (ppm): 165.77, 164.13, 162.17, 161.59, 145.71, 145.59, 138.02, 137.60, 131.98, 131.95, 130.19, 130.12, 126.88, 122.47, 116.47, 116.30, 115.78, 115.62, 114.98, 39.41, 38.99, 21.18, 16.15. MS-ESI (m/z): 381 [M + H]+.
(E)-N-(2-(3-(3-Fluorophenyl)acrylamido)ethyl)-2,7-dimethylimidazo[1,2-a]pyridine-3-carboxamide (12h): The title compound was prepared from 5h and 10 as a white solid (50%); m.p.: 172–175 °C. 1H-NMR (500 MHz, DMSO-d6) δ (ppm): 8.93 (d, J = 7.5 Hz, 1H, pyridine-H), 8.33 (t, J = 5.0 Hz, 1H, -CONH-), 7.78 (t, J = 5.0 Hz, 1H, -CONH-), 7.48-7.40 (m, 4H, Ar-H and pyridine-H), 7.33 (s, 1H, Ar-H), 7.23–7.18 (m, 1H, Ar-H), 6.83 (dd, J = 7.0, 1.5 Hz, 1H, Ar-H), 6.58 (d, J = 16.0 Hz, 1H, =C-H), 3.44–3.41 (m, 4H, 2 × -CH2-), 2.55 (s, 3H, CH3), 2.36 (s, 3H, CH3). 13C-NMR (126 MHz, DMSO-d6) δ (ppm): 165.10, 163.44, 161.51, 161.16, 145.28, 145.17, 137.55, 137.48, 137.14, 130.96, 130.89, 126.44, 123.70, 116.24, 116.07, 115.33, 115.16, 114.55, 114.06, 113.89, 38.91, 38.59, 20.73, 15.71. MS-ESI (m/z): 381 [M + H]+.
(E)-N-(2-(3-(4-Chlorophenyl)acrylamido)ethyl)-2,7-dimethylimidazo[1,2-a]pyridine-3-carboxamide (12i): The title compound was prepared from 5i and 10 as a white solid (61%); m.p.: 172–175 °C. 1H-NMR (500 MHz, DMSO-d6) δ (ppm): 8.83 (s, 1H, pyridine-H), 8.32 (d, J = 5.5 Hz, 1H, -CONH-), 7.83 (d, J = 5.0 Hz, 1H, -CONH-), 7.46–7.39 (m, 5H, pyridine-H, Ar-H and =C-H), 7.21 (d, J = 9.0 Hz, 1H, Ar-H), 6.69 (d, J = 15.5 Hz, 1H, =C-H, Ar-H), 3.47–3.43 (m, 4H, 2 × -CH2-), 2.55 (s, 3H, CH3), 2.27 (s, 3H, CH3). 13C-NMR (126 MHz, DMSO-d6) δ (ppm): 165.56, 161.60, 149.25, 145.72, 145.61, 137.59, 134.72, 129.89, 129.79, 126.88, 123.80, 121.91, 121.51, 119,47, 115.77, 115.61, 114.99, 39.36, 39.01, 31.17, 13.15. MS-ESI (m/z): 397 [M + H]+.
(E)-2,7-Dimethyl-N-(2-(3-(4-nitrophenyl)acrylamido)ethyl)imidazo[1,2-a]pyridine-3-carboxamide (11j): The title compound was prepared from 5j and 10 as a white solid (71%); m.p.: 213–215 °C. 1H-NMR (500 MHz, DMSO-d6) δ (ppm): 8.93 (d, J = 7.0 Hz, 1H, pyridine-H), 8.45 (s, 1H, -CONH-), 8.25 (d, J = 8.5 Hz, 1H, Ar-H), 7.83 (d, J = 8.5 Hz, 1H, Ar-H), 7.78 (d, J = 5.5 Hz, 1H, -CONH-), 7.55 (d, J = 16.0 Hz, 1H, =C-H, Ar-H), 7.33 (s, 1H, Ar-H), 6.85–6.80 (m, 2H, Ar-H), 3.44 (s, 4H, 2 × -CH2-), 2.54 (s, 3H, CH3), 2.36 (s, 3H, CH3). 13C-NMR (126 MHz, DMSO-d6) δ (ppm): 164.69, 161.17, 147.52, 145.28, 145.18, 141.51, 137.15, 136.46, 128.62, 126.43, 124.16, 115.31, 115.17, 114.55, 38.83, 38.66, 20.73, 15.72. MS-ESI (m/z): 408 [M + H]+.
(E)-2,6-Dimethyl-N-(2-(3-(4-(trifluoromethoxy)phenyl)acrylamido)ethyl)imidazo[1,2-a]pyridine-3-carboxamide (12k): The title compound was prepared from 5k and 10 as a white solid (61%); m.p.: 214–216 °C. 1H-NMR (500 MHz, DMSO-d6) δ (ppm): 8.93 (d, J = 7.0 Hz, 1H, pyridine-H), 8.33 (d, J = 5.0 Hz, 1H, -CONH-), 7.78 (d, J = 5.0 Hz, 1H, -CONH-), 7.59 (dd, J = 7.0, 2.0 Hz, 2H, Ar-H), 7.45 (dd, J = 7.0, 2.0 Hz, 2H, Ar-H), 7.43 (d, J = 16.0 Hz, 1H, =C-H), 7.33 (s, 1H, pyridine-H), 6.83 (dd, J = 7.5, 2.0 Hz, 1H, pyridine-H), 6.63 (d, J = 16.0 Hz, 1H, =C-H), 3.44–3.40 (m, 4H, 2 × -CH2-), 2.54 (s, 3H, CH3), 2.36 (s, 3H, CH3). 13C-NMR (126 MHz, DMSO-d6) δ (ppm): 165.17, 161.15, 145.27, 145.16, 137.40, 137.14, 133.89, 133.85, 129.26, 129.00, 126.43, 122.94, 115.32, 115.16, 114.55, 54.96, 38.56, 20.73, 15.71. HRMS-ESI (m/z): calcd. for C22H22O3N4F3 [M + H]+: 447.1644; found 447. 1631.
(E)-N-(2-Cinnamamidoethyl)-2,7-dimethylimidazo[1,2-a]pyridine-3-carboxamide (12l): The title compound was obtained from 5l and 10 as a white solid (59%); m.p.: 197–200 °C. 1H-NMR (500 MHz, DMSO-d6) δ (ppm): 8.93 (d, J = 7.0 Hz, 1H, pyridine-H), 8.30 (d, J = 5.0 Hz, 1H, -CONH-), 7.56 (d, J = 5.0 Hz, 1H, -CONH-), 7.56–7.55 (m, 3H, Ar-H and pyridine-H), 7.42–7.34 (m, 3H, Ar-H), 6.85 (dd, J = 7.0, 2.0 Hz, 1H, pyridine-H), 6.63 (d, J = 14.5 Hz, 1H, =C-H), 3.45–3.41 (m, 4H, 2 × -CH2-), 2.55 (s, 3H, CH3), 2.37 (s, 3H, CH3). 13C-NMR (126 MHz, CDCl3) δ (ppm): 165.36, 161.13, 145.26, 145.14, 138.73, 137.13, 134.87, 129.49, 128.97, 127.54, 126.43,122.12, 115.33, 115.16, 114.54, 44.47, 38.53, 20.73, 15.70. MS-ESI (m/z): 363 [M + H]+.
(E)-2,6-Dimethyl-N-(3-(3-p-tolylacrylamido)propyl)imidazo[1,2-a]pyridine-3-carboxamide (13a): The title compound was obtained from 6a and 9 as a white solid (52%); m.p.: 196–198 °C. 1H-NMR (500 MHz, CDCl3) δ (ppm): 9.15 (s, 1H, pyridine-H), 7.58 (d, J = 15.5 Hz, 1H, =C-H), 7.43 (d, J = 9.0 Hz, 2H, Ar-H), 7.34 (d, J = 8.0 Hz, 1H, pyridine-H), 7.13–7.11 (m, 3H, Ar-H and pyridine-H), 6.99 (t, J = 6.0 Hz, 1H, -CONH-), 6.81 (t, J = 6.0 Hz, 1H, -CONH-), 6.43 (d, J = 15.5 Hz, 1H, =C-H),3.55 (dd, J = 12.0, 6.0 Hz, 2H, -CH2-), 3.49 (dd, J = 12.0, 6.0 Hz, 2H, -CH2-), 2.79 (s, 3H, CH3), 2.32 (s, 6H, 2 × CH3), 1.81–1.78 (m, 2H, -CH2-). 13C-NMR (126 MHz, CDCl3) δ (ppm): 165.30, 160.92, 144.67, 143.79, 139.17, 138.58, 132.15, 129.54, 127.49, 124.70, 121.96, 121.12, 115.74, 115.49, 36.48, 29.56, 20.97, 17.82, 15.59. MS-ESI (m/z): 391 [M + H]+.
(E)-2,6-Dimethyl-N-(3-(3-(3,4,5-trimethoxyphenyl)acrylamido)propyl)imidazo[1,2-a]pyridine-3-carboxamide (13b): The title compound was obtained from 6b and 9 as a white solid (48%); m.p.: 196–199 °C. 1H-NMR (500 MHz, CDCl3) δ (ppm): 9.12 (s, 1H, pyridine-H), 7.50 (d, J =15.5 Hz, 1H, =C-H), 7.40 (d, J =9.0 Hz, 1H, pyridine-H), 7.11 (dd, J = 9.0, 1.5 Hz, 1H, Ar-H), 6.97 (t, J = 6.0 Hz, 1H, -CONH-), 6.87 (t, J = 6.0 Hz, 1H, -CONH-), 6.66 (s, 2H, Ar-H), 6.39 (d, J = 15.5 Hz, 1H, =C-H), 3.82 (s, 3H, OCH3), 3.80 (s, 6H, 2 × OCH3), 3.54–3.45 (m, 4H, 2 × -CH2-), 2.76 (s, 3H, CH3), 2.29 (s, 3H, CH3), 1.79–1.74 (m, 2H, -CH2-). 13C-NMR (126 MHz, DMSO-d6) δ (ppm): 165.27, 160.94, 153.09, 144.70, 143.82, 138.81, 138.57, 130.56, 129.15, 124.71, 121.98, 121.52, 115.75, 115.50, 104.88, 60.10, 55.86, 36.48, 29.52, 17.82, 15.69. MS-ESI (m/z): 467 [M + H]+.
(E)-N-(3-(3-(3,4-Dichlorophenyl)acrylamido)propyl)-2,6-dimethylimidazo[1,2-a]pyridine-3-carboxamide (13c): The title compound was prepared from 6c and 9 as a white solid (57%); m.p.: 213–215 °C. 1H-NMR (500 MHz, CDCl3) δ (ppm): 1H-NMR (500 MHz, CDCl3) δ (ppm): 9.17 (s, 1H, pyridine-H), 7.55–7.54 (m, 1H, Ar-H), 7.51–7.45 (m, 2H, Ar-H and pyridine-H), 7.41 (d, J = 8.5 Hz, 1H, Ar-H), 7.30–7.27 (m, 1H, Ar-H), 7.17 (d, J = 9.0 Hz, 1H, Ar-H), 6.83 (d, J = 5.0 Hz, 1H, -CONH-), 6.76 (d, J = 5.0 Hz, 1H, -CONH-), 6.44 (d, J = 15.5 Hz, 1H, =C-H), 3.58–3.48 (m, 4H, 2 × -CH2-), 2.78 (s, 3H, CH3), 2.35 (s, 3H, CH3), 1.85–1.80 (m, 2H, -CH2-). 13C-NMR (126 MHz, DMSO-d6) δ (ppm): 164.68, 160.95, 144.69, 143.80, 136.07, 135.88, 131.68, 131.06, 129.44, 129.14, 127.28, 124.70, 124.47, 121.96, 115.74, 115.50, 36.59, 36.49, 29.46, 17.82, 15.69. MS-ESI (m/z): 445 [M + H]+.
(E)-N-(3-(3-(4-Methoxyphenyl)acrylamido)propyl)-2,6-dimethylimidazo[1,2-a]pyridine-3-carboxamide (13d): The title compound was prepared from 6d and 9 as a white solid (45%); m.p.: 178–181 °C. 1H-NMR (500 MHz, CDCl3) δ (ppm): 9.10 (s, 1H, pyridine-H), 7.53 (d, J = 15.5 Hz, 1H, =C-H), 7.39 (d, J = 9.0 Hz, 1H, Ar-H), 7.35 (d, J = 9.0 Hz, 1H, Ar-H), 7.10–7.05 (m, 2H, Ar-H and pyridine-H), 6.98 (t, J = 6.0 Hz, 1H, -CONH-), 6.79 (d, J = 8.5 Hz, 1H, -CONH-), 6.33 (d, J = 15.5 Hz, 1H, =C-H), 3.75 (s, 3H, OCH3), 3.53–3.44 (m, 4H, 2 × -CH2-), 2.76 (s, 3H, CH3), 2.83 (s, 3H, CH3), 1.79-1.74 (m, 2H, -CH2-). 13C-NMR (126 MHz, CDCl3) δ (ppm): 165.52, 160.94, 160.31, 144.71, 143.82, 138.38, 129.15, 129.11, 127.48, 124.73, 121.98, 119.67, 115.76, 115.50, 114.39, 55.26, 36.49, 36.46, 29.61, 17.82, 15.70. MS-ESI (m/z): 407 [M + H]+.
(E)-2,6-Dimethyl-N-(3-(3-(4-(trifluoromethyl)phenyl)acrylamido)propyl)imidazo[1,2-a]pyridine-3-carboxamide (13e): The title compound was prepared from 6e and 9 as a white solid (32%); m.p.: 162–165 °C. 1H-NMR (500 MHz, CDCl3) δ (ppm): 9.19 (s, 1H, pyridine-H), 7.66–7.57 (m, 5H, pyridine-H and Ar-H), 7.46 (d, J = 9.5 Hz, 1H), 7.17 (dd, J = 9.0, 1.5 Hz, 1H, Ar-H), 6.76 (t, J = 6.0 Hz, 1H, -CONH-), 6.67 (d, J = 6.0 Hz, 1H, -CONH-), 6.54 (d, J = 15.5 Hz, 1H, =C-H), 3.60–3.50 (m, 4H, 2 × -CH2-), 2.80 (s, 3H, CH3), 2.35 (s, 3H, CH3), 1.86–1.81 (m, 2H, -CH2-). 13C-NMR (126 MHz, DMSO-d6) δ (ppm): 164.67, 161.50, 144.69, 143.80, 139.03, 136.98, 129.16, 128.17, 125.84, 125.81, 125.23, 124.97, 124.70, 121.98, 115.75, 115.51, 115.49, 36.60, 36.51, 29.46, 17.81, 15.68. MS-ESI (m/z): 445 [M + H]+.
(E)-N-(3-(3-(2-Fluorophenyl)acrylamido)propyl)-2,6-dimethylimidazo[1,2-a]pyridine-3-carboxamide (13f): The title compound was prepared from 6f and 9 as a white solid (41%); m.p.: 197–199 °C. 1H-NMR (500 MHz, DMSO-d6) δ (ppm): 8.99 (s, 1H, pyridine-H), 8.42 (t, J = 5.0 Hz, 1H, -CONH-), 7.86 (t, J = 5.0 Hz, 1H, -CONH-), 7.67–7.64 (m, 1H, Ar-H), 7.53–7.41 (m, 3H, Ar-H and pyridine-H), 7.30–7.22 (m, 3H, =C-H and Ar-H), 6.74 (d, J = 16.0 Hz, 1H, =C-H), 3.45–3.42 (m, 4H, 2 × -CH2-), 2.55 (s, 3H, CH3), 2.29 (s, 3H, CH3), 1.85–1.82 (m, 2H, -CH2-). 13C-NMR (126 MHz, DMSO-d6) δ (ppm): 165.13, 161.48, 161.15, 159.49, 144.90, 143.82, 131.37, 131.30, 131.16, 129.22, 129.20, 129.18, 125.05, 124.99, 124.77, 121.94, 116.21, 116.04, 115.71, 115.49, 38.87, 38.60, 29.44, 17.77, 15.62. MS-ESI (m/z): 395 [M + H]+.
(E)-N-(3-(3-(4-Fluorophenyl)acrylamido)propyl)-2,6-dimethylimidazo[1,2-a]pyridine-3-carboxamide (13g): The title compound was prepared from 6g and 9 as a white solid (67%); m.p.: 151–153 °C. 1H-NMR (500 MHz, DMSO-d6) δ (ppm): 8.84 (s, 1H, pyridine-H), 8.22 (t, J = 5.5 Hz, 1H, -CONH-), 7.84 (t, J = 5.5 Hz, 1H, -CONH-), 7.64–7.61 (m, 2H, pyridine-H and Ar-H), 7.47 (d, J = 9.5 Hz, 1H, Ar-H), 7.44 (d, J = 15.5 Hz, 1H, =C-H), 7.27–7.21 (m, 3H, pyridine-H and Ar-H), 6.59 (d, J = 15.5 Hz, 1H), 3.39–3.27 (m, 4H, 2 × -CH2-), 2.58 (s, 3H, CH3), 2.30 (s, 3H, CH3), 1.79–1.73 (m, 2H, -CH2-). 13C-NMR (126 MHz, DMSO-d6) δ (ppm): 165.54, 164.10, 162.14, 161.38, 145.14, 144.25, 137.90, 132.01, 130.15, 130.08, 129.58, 125.15, 122.51, 116.44, 116.27, 116.19, 115.94, 36.96, 36.94, 29.97, 18.25, 16.13. MS-ESI (m/z): 395 [M + H]+.
(E)-2,7-Dimethyl-N-(3-(3-p-tolylacrylamido)propyl)imidazo[1,2-a]pyridine-3-carboxamide (14a): The title compound was obtained from 6a and 10 as a white solid (59%); m.p.: 197–200 °C. 1H-NMR (500 MHz, CDCl3) δ (ppm): 9.20 (d, J = 7.0 Hz, 1H, pyridine-H), 7.56 (d, J = 15.5 Hz, 1H, =C-H), 7.32 (d, J = 7.5 Hz, 1H, Ar-H), 7.10 (d, J = 8.0 Hz, 2H, Ar-H), 6.98 (s, 2H, Ar-H), 6.68 (s, 1H, -CONH-), 6.42 (d, J = 15.5 Hz, 1H, =C-H), 3.54-3.46 (m, 4H, 2 × -CH2-), 2.77 (s, 3H, CH3), 2.38 (s, 3H, CH3), 2.31 (s, 3H, CH3), 1.77 (s, 2H, -CH2-). 13C-NMR (126 MHz, DMSO-d6) δ (ppm): 165.34, 160.96, 145.26, 144.93, 139.18, 138.61, 137.07, 132.16, 129.54, 127.50, 126.38, 121.12, 115.44, 115.16, 114.56, 36.48, 29.59, 20.96, 20.73, 15.75. MS-ESI (m/z): 391 [M + H]+.
(E)-2,7-Dimethyl-N-(3-(3-(3,4,5-trimethoxyphenyl)acrylamido)propyl)imidazo[1,2-a]pyridine-3-carboxamide (14b): The title compound was obtained from 6b and 10 as a white solid (41%); m.p.: 192–195 °C. 1H-NMR (500 MHz, CDCl3) δ (ppm): 9.19 (d, J = 7.0 Hz, 1H, pyridine-H), 7.50 (d, J = 15.5 Hz, 1H, =C-H), 7.26 (d, J = 3.5 Hz, 1H), 6.93–6.91 (m, 2H, Ar-H), 6.69–6.67 (m, 3H, Ar-H), 6.39 (d, J = 15.5 Hz, 1H, =C-H), 3.82 (s, 3H, OCH3), 3.80 (s, 6H, 2 × OCH3), 3.54–3.45 (m, 4H, 2 × -CH2-), 2.76 (s, 3H, CH3), 2.35 (s, 3H, CH3), 1.77–1.73 (m, 2H, -CH2-). 13C-NMR (126 MHz, DMSO-d6) δ (ppm): 165.27, 160.95, 153.08, 145.25, 144.93, 138.80, 138.57, 137.08, 130.56, 126.37, 121.52, 115.42, 115.17, 114.56, 104, 88, 60.10, 55.86, 36.47, 36.44, 29.54, 20.73, 15.75. MS-ESI (m/z): 467 [M + H]+.
(E)-N-(3-(3-(3,4-Dichlorophenyl)acrylamido)propyl)-2,7-dimethylimidazo[1,2-a]pyridine-3-carboxamide (14c): The title compound was prepared from 6c and 10 as a white solid (54%); m.p.: 178–181 °C. 1H-NMR (500 MHz, CDCl3) δ (ppm): 9.27 (d, J = 7.0 Hz, 1H, pyridine-H), 7.57 (d, J = 1.5 Hz, 1H, pyridine-H), 7.52 (d, J = 15.5 Hz, 1H, =C-H), 7.44 (d, J = 8.5 Hz, 1H, Ar-H), 7.33–7.28 (m, 2H, Ar-H and -CONH-), 6.78–6.76 (m, 2H, Ar-H and -CONH-), 6.47 (d, J = 15.5 Hz, 1H, =C-H), 3.61–3.50 (m, 4H, 2 × -CH2-), 2.80 (s, 3H, CH3), 2.43 (s, 3H, CH3), 1.87–1.82 (m, 2H, -CH2-). 13C-NMR (126 MHz, DMSO-d6) δ (ppm): 165.13, 161.40, 145.68, 145.36, 137.51, 136.51, 136.32, 132.11, 132.00, 131.49, 129.88, 127.73, 126.80, 124.89, 115.86, 115.60, 114.99, 37.03, 36.92, 29.92, 21.17, 16.18. MS-ESI (m/z): 445 [M + H]+.
(E)-N-(3-(3-(4-Methoxyphenyl)acrylamido)propyl)-2,7-dimethylimidazo[1,2-a]pyridine-3-carboxamide (14d): The title compound was prepared from 6d and 10 as a white solid (67%); m.p.: 217–220 °C. 1H-NMR (500 MHz, CDCl3) δ (ppm): 9.18 (d, J = 7.0 Hz, 1H, pyridine-H),7.52 (d, J = 15.5 Hz, 1H, =C-H), 7.37–7.33 (m, 2H, Ar-H and pyridine-H), 7.25 (d, J = 7.5 Hz, pyridine-H), 7.03–6.98 (m, 2H, Ar-H and -CONH-), 6.81–6.78 (m, 2H, Ar-H and -CONH-), 6.67 (dd, J = 1.5, 7.5 Hz, 1H, Ar-H), 6.48 (d, J = 16.0 Hz, 1H, =C-H), 3.76 (s, 3H), 3.52–3.44 (m, 4H, 2 × -CH2-), 2.76 (s, 3H, CH3), 2.34 (s, 3H, CH3), 1.77–1.75 (m, 2H, -CH2-). 13C-NMR (126 MHz, DMSO-d6) δ (ppm): 165.50, 160.94, 160.31, 145.25, 144.92, 138.36, 137.07, 129.10, 127.47, 119.66, 115.43, 115.17, 114.56, 114.38, 114.40, 55.20, 36.46, 36.45, 29.62, 20.73, 15.74. MS-ESI (m/z): 407 [M + H]+.
(E)-2,7-Dimethyl-N-(3-(3-(4-(trifluoromethyl)phenyl)acrylamido)propyl)imidazo[1,2-a]pyridine-3-carboxamide (14e): The title compound was prepared from 6e and 10 as a white solid (22%); m.p.: 222–225 °C. 1H-NMR (500 MHz, DMSO-d6) δ (ppm): 9.26 (d, J = 7.0 Hz, 1H, pyridine-H), 8.38 (s, 1H, -CONH-), 7.65–7.57 (m, 4H, c and -CONH-), 7.33 (s, 1H, pyridine-H), 6.77–6.65 (m, 3H, Ar-H), 6.52 (d, J = 15.5 Hz, 1H, =C-H), 3.59–3.51 (m, 4H, 2 × -CH2-), 2.80 (s, 3H, CH3), 2.42 (s, 3H, CH3), 1.83–1.80 (m, 2H, -CH2-). 13C-NMR (126 MHz, DMSO-d6) δ (ppm): 164.67, 161.50, 144.69, 143.80, 139.03, 136.98, 129.16, 128.17, 125.84, 125.81, 125.23, 124.97, 124.70, 121.98, 115.75, 115.51, 115.49, 36.60, 36.51, 29.46, 17.81, 15.68. MS-ESI (m/z): 445 [M + H]+.
(E)-N-(3-(3-(2-Fluorophenyl)acrylamido)propyl)-2,7-dimethylimidazo[1,2-a]pyridine-3-carboxamide (14f): The title compound was prepared from 6f and 9 as a white solid (34%); m.p.: 197–199 °C. 1H-NMR (500 MHz, DMSO-d6) δ (ppm): 8.93 (d, J = 7.0 Hz, 1H, pyridine-H), 8.45 (d, J = 5.0 Hz, 1H, -CONH-), 7.78 (d, J = 5.0 Hz, 1H, -CONH-), 7.67–7.62 (m, 1H, Ar-H), 7.51 (d, J = 16.0 Hz, 1H, =C-H), 7.43–7.41 (m, 1H, Ar-H), 7.33 (s, 1H, pyridine-H), 7.29–7.23 (m, 2H, Ar-H), 6.81 (dd, J = 7.5, 1.5 Hz, 1H, Ar-H), 6.74 (d, J = 16.0 Hz, 1H, =C-H), 3.45–3.42 (m, 4H, 2 × -CH2-), 2.54 (s, 3H, CH3), 2.28 (s, 3H, CH3), 1.85–1.82 (m, 2H, -CH2-). 13C-NMR (126 MHz, DMSO-d6) δ (ppm): 165.19, 161.92, 161.60, 159.93, 145.72, 145.60, 137.55, 131.78, 131.61, 129.65, 129.63, 126.87, 125.47, 125.44, 125.42, 116.64, 116.47, 115.78, 115.57, 114.98, 38.88, 38.61, 29.44, 17.76, 15.62. MS-ESI (m/z): 395 [M + H]+.
(E)-N-(3-(3-(4-Fluorophenyl)acrylamido)propyl)-2,7-dimethylimidazo[1,2-a]pyridine-3-carboxamide (14g): The title compound was prepared from 6g and 10 as a white solid (55%); m.p.: 203–206 °C. 1H-NMR (500 MHz, DMSO-d6) δ (ppm): 8.92 (d, J = 7.5 Hz, 1H, pyridine-H), 8.22 (d, J = 5.5 Hz, 1H, -CONH-), 7.77 (d, J = 5.5 Hz, 1H, -CONH-), 7.64–7.60 (m, 1H, Ar-H), 7.42 (d, J = 16.0 Hz, 1H, =C-H), 7.41 (s, 1H, pyridine-H), 7.26–7.22 (m, 2H, Ar-H), 6.84 (dd, J = 7.0, 1.5 Hz, 1H, Ar-H), 6.58 (d, J = 16.0 Hz, 1H, =C-H), 3.37–3.26 (m, 4H, 2 × -CH2-), 2.57 (s, 3H, CH3), 2.35 (s, 3H, CH3), 1.78–1.72 (m, 2H, -CH2-). 13C-NMR (126 MHz, CDCl3) δ (ppm): 165.10, 163.66, 161.70, 160.95, 145.25, 144.92, 137.45, 137.07, 131.57, 131.55, 129.72, 129.65, 122.08, 116.00, 115.83, 115.43, 115.16, 114.56, 36.51, 36.48, 29.55, 20.73, 15.74. MS-ESI (m/z): 395 [M + H]+.
4. Conclusions
In summary, a series of novel imidazo[1,2-a]pyridine amide-cinnamamide hybrids, 11–14, linked via an alkyl carbon chain were designed, synthesized and evaluated for their in vitro anti-MTB activity. All of the target hybrids are less active than the two reference compounds against MTB H37Rv ATCC 27294, but the promising activity (MICs: 4 μg/mL) of two compounds, 11e and 11k, suggests that they may be selectively targeted to MTB growths and could be a good starting point for further studies, as well as to find new lead compounds with better anti-MTB activity. By the way, the further expansion of the imidazo[1,2-a]pyridine amide-cinnamamide hybrids is underway to find a potent anti-TB agent in our lab.
Supplementary Materials
Supplementary materials can be accessed at: http://www.mdpi.com/1420-3049/21/1/49/s1.
Acknowledgments
This work was supported by the National S&T Major Special Project on Major New Drug Innovations (2014ZX09507009-003), NSFC (81373267-003) and Beijing Municipal Administration of Hospitals Clinical Medicine Development of Special Funding Support (ZYLX201304).
Author Contributions
Conceived of and designed the experiments: Mingliang Liu, Yu Lu and Huiyuan Guo. Performed the experiments: Linhu Li and Zhuorong Li. Analyzed the data: Linhu Li, Weiyi Shen and Bin Wang. Wrote the paper: Mingliang Liu, Zhuorong Li and Linhu Li. All authors read and approved the final manuscript.
Conflicts of Interest
The authors declare no conflict of interest.
References and Notes
- WHO. WHO Report 2009 (WHO/HTM/TB/2009), Global Tuberculosis Control; WHO: Geneva, Switzerland, 2009. [Google Scholar]
- Glaziou, P.; Falzon, D.; Floyd, K.; Raviglione, M. Global epidemiology of tuberculosis. Semin. Respir. Crit. Care Med. 2013, 1, 3–16. [Google Scholar] [CrossRef] [PubMed]
- Diacon, A.H.; Dawson, R.; Hanekom, M.; Narunsky, K.; Maritz, S.J.; Venter, A.; Donald, P.R.; van Niekerk, C.; Whitney, K.D.; Rouse, J.; et al. Early bactericidal activity and pharmacokinetics of PA-824 in smear-positive tuberculosis patients. Antimicrob. Agents Chemother. 2010, 54, 3402–3407. [Google Scholar] [CrossRef] [PubMed]
- Diacon, A.H.; Donald, P.R.; Pym, A.; Grobusch, M.; Patientia, R.F.; Mahanyele, R.; Bantubani, N.; Narasimooloo, R.; de Marez, T.; van Heeswijk, R.; et al. Randomized pilot trial of eight weeks of bedaquiline (TMC207) treatment for multidrug-resistant tuberculosis: Long-term outcome, tolerability, and effect on emergence of drug resistance. Antimicrob. Agents Chemother. 2012, 56, 3271–3276. [Google Scholar] [CrossRef] [PubMed]
- Gler, M.T.; Skripconoka, V.; Sanchez-Garavito, E.; Xiao, H.; Cabrera-Rivero, J.L.; Vargas-Vasquez, D.E.; Gao, M.; Awad, M.; Park, S.K.; Shim, T.S.; et al. Delamanid for multidrug-resistant pulmonary tuberculosis. N. Engl. J. Med. 2012, 366, 2151–2160. [Google Scholar] [CrossRef] [PubMed]
- Cohen, J. Infectious disease. Approval of novel TB drug celebrated—With restraint. Science 2013, 6116. [Google Scholar] [CrossRef]
- Mitchison, D.; Davies, G. The chemotherapy of tuberculosis: Past, present and future. Int. J. Tuberc. Lung Dis. 2012, 16, 724–732. [Google Scholar] [CrossRef] [PubMed]
- Bald, D.; Koul, A. Respiratory ATP synthesis: The new generation of mycobacterial drug targets? FEMS Microbiol. Lett. 2010, 1, 1–7. [Google Scholar] [CrossRef] [PubMed]
- Moraski, G.C.; Markley, L.D.; Chang, M.; Cho, S.; Franzblau, S.G.; Hwang, C.H.; Boshoff, H.; Miller, M.J. Generation and exploration of new classes of antitubercular agents: The optimization of oxazolines, oxazoles, thiazolines, thiazoles to imidazo[1,2-a]pyridines and isomeric 5,6-fused scaffolds. Bioorg. Med. Chem. 2012, 20, 2214–2220. [Google Scholar] [CrossRef] [PubMed]
- Moraski, G.C.; Markley, L.D.; Cramer, J.; Hipskind, P.A.; Boshoff, H.; Baily, M.; Alling, T.; Ollinger, J.; Parish, T.; Miller, M.J. Advancement of Imidazo[1,2-a]pyridines with Improved Pharmacokinetics and Nanomolar Activity Against Mycobacterium tuberculosis. Med. Chem. Lett. 2013, 4, 675–679. [Google Scholar] [CrossRef] [PubMed]
- Ollinger, J.; Bailey, M.A.; Moraski, G.C.; Casey, A.; Florio, S.; Alling, T.; Miller, M.J.; Parish, T. A dual read-out assay to evaluate the potency of compounds active against Mycobacterium tuberculosis. PLoS ONE 2013, 8. [Google Scholar] [CrossRef] [PubMed]
- Kang, S.; Kim, R.Y.; Seo, M.J.; Lee, S.; Kim, Y.M.; Seo, M.; Seo, J.J.; Ko, Y.; Choi, I.; Jang, J.; et al. Lead optimization of a novel series of imidazo[1,2-a]pyridine amides leading to a clinical candidate (Q203) as a multi- and extensively-drug-resistant anti-tuberculosis agent. J. Med. Chem. 2014, 57, 5293–5305. [Google Scholar] [CrossRef] [PubMed]
- Abrahams, K.A.; Cox, J.A.; Spivey, V.L.; Loman, N.J.; Pallen, M.J.; Constantinidou, C.; Fernández, R.; Alemparte, C.; Remuiñán, M.J.; Barros, D.; et al. Identification of novel imidazo[1,2-a]pyridine inhibitors targeting M. tuberculosis QcrB. PLoS ONE 2012, 7. [Google Scholar] [CrossRef] [PubMed]
- Pethe, K.; Bifani, P.; Jang, J.; Kang, S.; Park, S.; Ahn, S.; Jiricek, J.; Jung, J.; Jeon, H.K.; Cechetto, J.; et al. Discovery of Q203, a potent clinical candidate for the treatment of tuberculosis. Nat. Med. 2013, 19, 1157–1160. [Google Scholar] [CrossRef] [PubMed]
- Cheng, Y.; Moraski, G.C.; Cramer, J.; Miller, M.J.; Schorey, J.S. Bactericidal activity of an imidazo[1,2-a]pyridine using a mouse M. tuberculosis infection model. PLoS ONE 2014, 9. [Google Scholar] [CrossRef] [PubMed]
- Dose-Escalation Study to Evaluate Safety, Tolerability and Pharmacokinetics of Single Doses of Q203 in Normal, Healthy, Male and Female Volunteers. Available online: https://clinicaltrials.gov/show/NCT02530710 (accessed on 18 August 2015).
- Li, L.H.; Liu, M.L.; Chinese Academy of Medical Sciences and Peking Union Medical College, Beijing, China. Unpublished work. 2016.
- Natella, F.; Nardini, M.; Felice, M.; Scaccini, C. Benzoic and cinnamic acid derivatives as antioxidants: Structure-activity relation. J. Agric. Food Chem. 1999, 47, 1453–1459. [Google Scholar] [CrossRef] [PubMed]
- De, P.; Baltas, M.; Bedos-Belval, F. Cinnamic acid derivatives as anticancer agents—A review. Curr. Med. Chem. 2011, 18, 1672–1703. [Google Scholar] [CrossRef] [PubMed]
- Naz, S.; Ahmad, S.; Rasool, S.A.; Sayeed, S.A.; Siddiqi, R. Antibacterial activity directed isolation of compounds from Onosma hispidum. Microbiol. Res. 2006, 161, 43–48. [Google Scholar] [CrossRef] [PubMed]
- De, P.; Yoya, G.K.; Constant, P.; Bedos-Belval, F.; Duran, H.; Saffon, N.; Daffe, M.; Baltas, M. Design, synthesis, and biological evaluation of new cinnamic derivatives as antituberculosis agents. J. Med. Chem. 2011, 54, 1449–1461. [Google Scholar] [CrossRef] [PubMed]
- Patel, K.N.; Telvekar, V.N. Design, synthesis and antitubercular evaluation of novel series of N-[4-(piperazin-1-yl)phenyl]cinnamamide derivatives. Eur. J. Med. Chem. 2014, 75, 43–56. [Google Scholar] [CrossRef] [PubMed]
- Rastogi, N.; Goh, K.S.; Horgen, L.; Barrow, W.W. Synergistic activities of antituberculous drugs with cerulenin and trans-cinnamic acid against Mycobacterium tuberculosis. FEMS Immunol. Med. Microbiol. 1998, 21, 149–157. [Google Scholar] [CrossRef] [PubMed]
- Reddy, V.M.; Nadadhur, G.; Daneluzzi, D.; Dimova, V.P.; Gangadharam, R.J. Antimycobacterial activity of a new rifamycin derivative, 3-(4-cinnamylpiperazinyl iminomethyl) rifamycin SV (T9). Antimicrob. Agents Chemother. 1995, 39, 2320–2324. [Google Scholar] [CrossRef] [PubMed]
- Barnes, C.C.; Smalley, M.K.; Manfredi, K.P.; Kindscher, K.; Loring, H.; Sheele, D.M. Characterization of an anti-tuberculosis resin glycoside from the prairie medicinal plant Ipomoea leptophylla. J. Nat. Prod. 2003, 66, 1457–1462. [Google Scholar] [CrossRef] [PubMed]
- García, A.; Bocanegra-García, V.; Palma-Nicolás, J.; Rivera, G. Recent advances in antitubercular natural products. Eur. J. Med. Chem. 2012, 49, 1–23. [Google Scholar] [CrossRef] [PubMed]
- Friis-Moller, A.; Chen, M.; Fuursted, K.; Christensen, S.B.; Kharazmi, A. In vitro antimycobacterial and antilegionella activity of licochalcone A from Chinese licorice roots. Planta Med. 2002, 68, 416–419. [Google Scholar] [CrossRef] [PubMed]
- Yan, M.; Ma, S.T. Recent advances in the research of heterocyclic compounds as antitubercular agents. Chem. Med. Chem. 2012, 7, 2063–2075. [Google Scholar] [CrossRef] [PubMed]
- Wu, M.C.; Peng, C.F.; Chen, I.S.; Tsai, I.L. Antitubercular chromones and flavonoids from Pisonia aculeata. J. Nat. Prod. 2011, 74, 976–982. [Google Scholar] [CrossRef] [PubMed]
- Chunavala, K.C.; Joshi, G.; Suresh, E.; Adimurthy, S. Thermal and microwave-assisted rapid syntheses of substituted imidazo [1,2-a]pyridines under solvent-and catalyst-Free conditions. Synthesis 2011, 4, 635–641. [Google Scholar] [CrossRef]
- Li, L.H.; Wu, Z.Y.; Li, Z.R.; Liu, M.L.; Guo, H.Y.; Zhang, Q.R. Microwave Assisted Synthesis of Disubstituted Imidazo[1,2-a]pyridine-3-carboxylic Acid Esters. Heterocycles 2015, 11, 2087–2096. [Google Scholar] [CrossRef]
- Collins, L.; Franzblau, S.G. Microplate alamar blue assay versus BACTEC 460 system for high-throughput screening of compounds against Mycobacterium tuberculosis and Mycobacterium avium. Antimicrob. Agents Chemother. 1997, 41, 1004–1009. [Google Scholar] [PubMed]
- Lu, Y.; Zheng, M.Q.; Wang, B.; Fu, L.; Zhao, W.J.; Li, P.; Xu, J.; Zhu, H.; Jin, H.X.; Yin, D.L.; et al. Clofazimine analogs with efficacy against experimental tuberculosis and reduced potential for accumulation. Antimicrob. Agents Chemother. 2011, 55, 5185–5193. [Google Scholar] [CrossRef] [PubMed]
- Sample Availability: Samples of the compounds 11a–l, 12a–l and 13a–g, 14a–g are available from the authors.
© 2015 by the authors. Licensee MDPI, Basel, Switzerland. This article is an open access article distributed under the terms and conditions of the Creative Commons by Attribution (CC-BY) license ( http://creativecommons.org/licenses/by/4.0/).