Synthesis, Characterization, and Anti-Cancer Activity of Some New N′-(2-Oxoindolin-3-ylidene)-2-propylpentane hydrazide-hydrazones Derivatives
Abstract
:1. Introduction

2. Results and Discussion
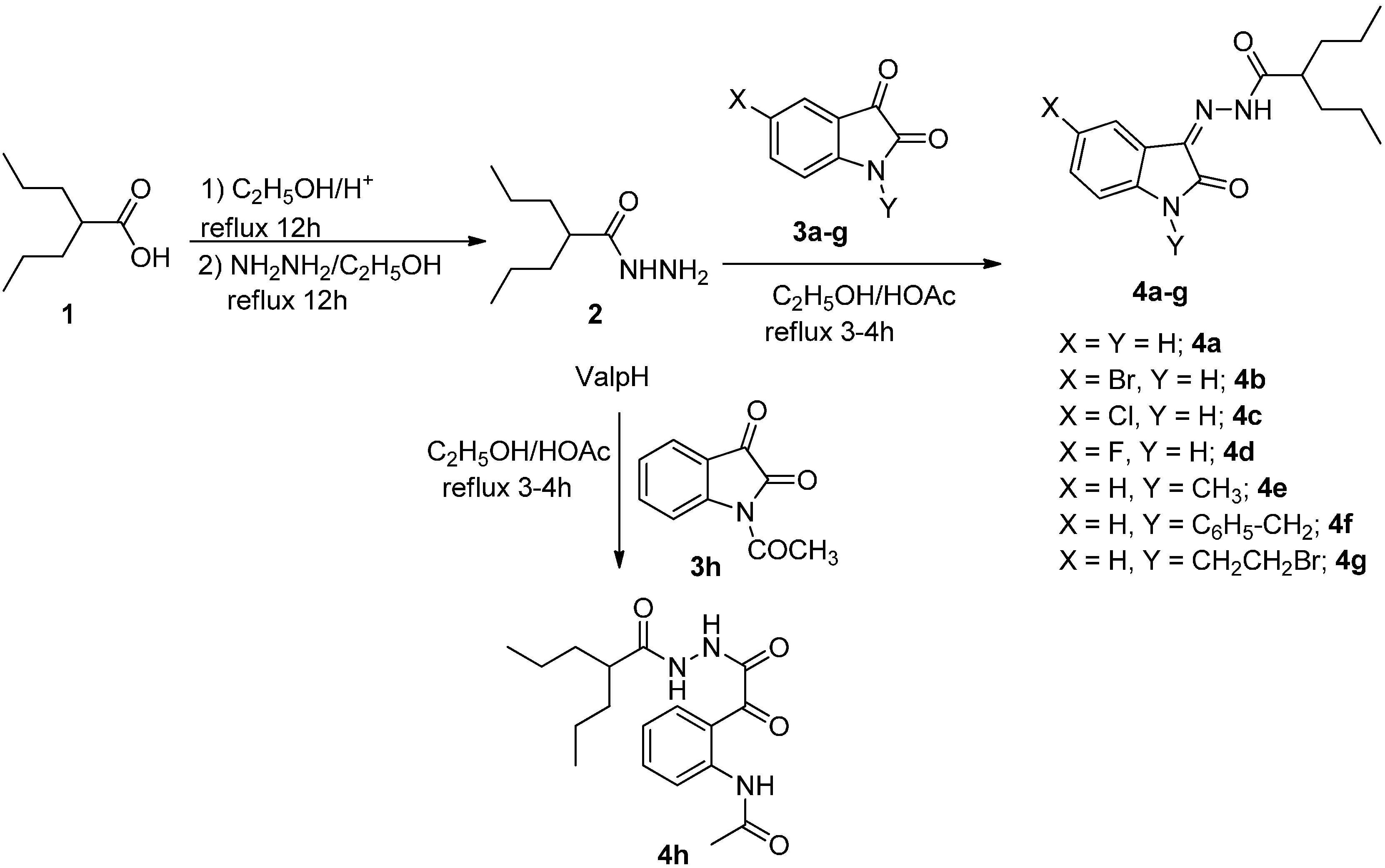
2.1. Chemistry



| Compound | 4g |
|---|---|
| Empirical formula | C18H24BrN3O2 |
| Formula weight | 349.21 |
| Temperature (K) | 100 |
| Wavelength (A) | Mo Kα radiation, λ = 0.71073 Å |
| Crystal system, Space group | Triclinic, P-1 |
| Crystal | Plate, yellow |
| a (Å) | 8.8126 (11) |
| b (Å) | 14.4104 (18) |
| c (Å) | 14.479 (2) |
| α (°) | 92.002 (4) |
| β (°) | 97.498 (4) |
| γ (°) | 92.598 (4) |
| Volume (Å3) | 1819.6 (4) |
| Z, Dcalc (Mg·m−3) | 4, 1.275 |
| F (000) | 816 |
| Crystal size (mm) | 0.58 × 0.41 × 0.12 |
| θ Range for data (°) | 2.33–28.11 |
| Collection Limiting indices | −12 ≤ h ≤ 12, −20 ≤ k ≤ 20, −20 ≤ k ≤ 20 |
| Reflections collected/unique | 81,300/6824 [Rint = 0.136] |
| restraints/parameters | 112/469 |
| Goodness-of-fit on F2 | 1.009 |
| Final R indices[I > 2s(I)] | R1 = 0.053, wR2 = 0.135 |
| Absorption correction | Multi-scan, SADABS V2012/1 (Bruker AXS Inc., Madison, WI, USA) |
| Instrument | Bruker APEX-II D8 venture diffractometer |

| D—H···A | D—H | H···A | D···A | D—H···A |
|---|---|---|---|---|
| N3B−H3NB···O1B | 0.81 (3) | 2.10 (3) | 2.779 (3) | 141 (3) |
| N3A−H3NA···O1A | 0.86 (3) | 2.11 (3) | 2.799 (3) | 138 (3) |
| C10A−H10A···N2A | 0.9800 | 2.3700 | 2.815 (4) | 107.00 |
| C10B−H10B···N2B | 0.9800 | 2.3600 | 2.833 (4) | 109.00 |
| C17A−H17A···O1A | 0.9700 | 2.5700 | 2.930 (3) | 102.00 |
| C17A−H17B···Br1B i | 0.9700 | 2.9100 | 3.779 (3) | 149.00 |
| C17B−H17D···O2B ii | 0.9700 | 2.4100 | 3.139 (4) | 131.00 |
| C18A−H18B···O2A iii | 0.9700 | 2.2900 | 3.096 (3) | 140.00 |
2.2. Anti-Cancer Activity


| Compd. No. | IC50 (μM) | ||
|---|---|---|---|
| HepG2 | Jurkat | HEK293 | |
| 1 | 69.74 ± 40.8 | 79.35 ± 40.7 | 62.98 ± 38.2 |
| 2 | 68.50 ± 37.1 | N.A. | N.A. |
| 3a | N.A. | N.A. | 16.73 ± 50.0 |
| 3e | 2.82 ± 40.7 | 7.13 ± 46.0 | N.A. |
| 3f | 3.13 ± 42.0 | 3.13 ± 42.0 | N.A. |
| 3h | N.A. | N.A. | N.A. |
| 4a | N.A. | 3.15 ± 43.3 | N.A. |
| 4b | N.A. | N.A. | 26.08 ± 31.3 |
| 4c | 4.39 ± 43.2 | 2.90 ± 36.3 | 4.77 ± 42.7 |
| 4d | N.A. | N.A. | N.A. |
| 4e | 7.61 ± 44.6 | 3.19 ± 46.9 | N.A. |
| 4f | N.A. | N.A. | N.A. |
| 4g | N.A. | N.A. | 45.43 ± 48.9 |
| 4h | N.A. | N.A. | N.A. |
| 5-FU | 32.15 ± 48.1 | 51.16 ± 47.4 | N.A. |
| DMSO | N.A. | N.A. | N.A. |
3. Experimental Section
3.1. Chemistry
3.1.1. Materials
3.1.2. Synthesis of Valproic Hydrazide 2
3.1.3. Synthesis of Compounds 3e–h
3.1.4. General Method for Preparation of N′-(2-Oxoindolin-3-ylidene)-2-propylpentane Hydrazide Derivatives 4a–h
3.2. X-ray Crystallography
3.3. Biology
3.3.1. Cell Culture and Cell Viability Assay
3.3.2. Statistics
4. Conclusions
Supplementary Materials
Acknowledgments
Author Contributions
Conflicts of Interest
References
- Olayinka, O.A.; Craig, A.O.; Obinna, C.N.; David, A.A. Microwave assisted synthesis and antimicrobial activity of 2-quinoxalinone-3-hydrazone derivatives. Bioorg. Med. Chem. 2010, 18, 214–221. [Google Scholar]
- Rollas, S.; Gulerman, N.; Edeniz, H. Synthesis and antimicrobial activity of some new hydrazones of 4-fluorobenzoic acid hydrazide and 3-acetyl-2,5-disubstituted-1,3,4-oxadiazolines. Farmaco Prat. 2002, 57, 171–174. [Google Scholar] [CrossRef]
- Cukurovali, A.; Yilmaz, B.; Gur, S.; Kazaz, C. Synthesis, antibacterial and antifungal activity of some new thiazolylhydrazone derivatives containing 3-substituted cyclobutane ring. Eur. J. Med. Chem. 2006, 41, 201–207. [Google Scholar] [CrossRef] [PubMed]
- Capilla, J.; Serena, C.; Javier, F.; Ortoneda, T.; Guarro, J. Efficacy of voriconazole in treatment of systemic scedosporiosis in neutropenic mice. Antimicrob. Agents Chemother. 2003, 47, 3976–3978. [Google Scholar] [CrossRef] [PubMed]
- Mamolo, M.G.; Falagiani, V.; Zampieri, D.; Vio, U.; Banfi, E.; Scialino, G. Synthesis and antimycobacterial activity of (3,4-diaryl-3H-thiazol-2-ylidene)-hydrazide derivatives. Farmaco Prat. 2003, 58, 631–637. [Google Scholar] [CrossRef]
- Govindasami1, T.; Pandey, A.; Palanivelu, N.; Pandey1, A. Synthesis, characterization and antibacterial activity of biologically important vanillin related hydrazone derivatives. Int. J. Org. Chem. 2011, 1, 71–77. [Google Scholar] [CrossRef]
- Dimmock, J.R.; Vasishtha, S.C.; Stables, J.P. Anticonvulsant properties of various acetylhydrazones, oxamoylhydrazones and semicarbazones derived from aromatic and unsaturated carbonyl compounds. Eur. J. Med. Chem. 2000, 35, 241–248. [Google Scholar] [CrossRef]
- Lima, P.C.; Lima, L.M.; Silva, K.C.; Leda, P.H.; Miranda, A.L.P.; Fraga, C.A.M.; Barreiro, E.J. Synthesis and analgesic activity of novel N-acylarylhydrazones and isosters, derived from natural safrole. Eur. J. Med. Chem. 2000, 35, 187–203. [Google Scholar] [CrossRef]
- Salgin, G.U.; Gokham, K.N.; Gostal, O.; Koysal, Y.; Kilici, E.; Isik, S.; Aktay, G.; Ozalp, M. 1-Acylthiose-micarbazides, 1,2,4-triazole-5(4H)-thiones, 1,3,4-thia-diazoles and hydrazones containing 5-methyl-2-benzoxazolinones: Synthesis, analgesic-anti-inflammatory and antimicrobial activities. Bioorg. Med. Chem. 2007, 15, 5738–5751. [Google Scholar] [CrossRef] [PubMed]
- Silva, G.A.; Costa, L.M.M.; Brito, F.C.B.; Miranda, A.L.P.; Barreiro, E.J.; Fraga, C.A.M. New class of potent antinociceptive and antiplatelet 10H-phenothiazine-1-acylhydrazone derivatives. Bioorg. Med. Chem. 2004, 12, 3149–3158. [Google Scholar] [CrossRef] [PubMed]
- Imramovsky, A.; Polanc, S.; Vinsova, J.; Kocevar, M.; Jampitek, J.; Reckova, Z.; Kaustova, J.A. A new modification of anti-tubercular active molecules. Bioorg. Med. Chem. 2007, 15, 2551–2559. [Google Scholar] [CrossRef] [PubMed]
- Janin, Y. Antituberculosis drugs: Ten years of research. Bioorg. Med. Chem. 2007, 15, 2479–2513. [Google Scholar] [CrossRef] [PubMed]
- Du Toit, L.C.; Pillay, V.; Danckwerts, M.P. Tuberculosis chemotherapy: Current drug delivery approaches. Respir. Res. 2006, 7, 118–136. [Google Scholar] [CrossRef] [PubMed]
- Savini, L.; Chiasserini, L.; Travagli, V.; Pellerano, C.; Novellino, E.; Consentino, S.; Pisano, M.B. New α-(N)-heterocyclichydrazones: Evaluation of anti-cancer, anti-HIV and antimicrobial activity. Eur. J. Med. Chem. 2004, 39, 113–122. [Google Scholar] [CrossRef] [PubMed]
- El-Hawash, A.M.; Abdel, W.A.E.; El-Dewellawy, M.A. Cyanoacetic acid hydrazones of 3-(and 4-) acetyl-pyridine and some derived ring systems as potential antitumor and anti-HCV agents. Arch. Pharm. 2006, 339, 14–23. [Google Scholar] [CrossRef] [PubMed]
- Wahba, W.; Nahed, W.; El-Sayed, N.E.; Mohareb, R.M. Synthesis and anti-tumor evaluation of novel hydrazide and hydrazide-hydrazone derivatives. Acta Pharm. 2013, 63, 45–57. [Google Scholar]
- Mohareb, R.M.; Fleita, D.H.; Sakka, O.K. Novel synthesis of hydrazide-hydrazone derivatives and their utilization in the synthesis of coumarin, pyridine, thiazole and thiophene derivatives with antitumor activity. Molecules 2011, 16, 16–27. [Google Scholar] [CrossRef] [PubMed]
- Terzioglu, N.; Gursoy, A. Synthesis and anti-cancer evaluation of some new hydrazone derivatives of 2,6-dimethylimidazo[2,1-b][1,3,4]thiadiazole-5-carbohydrazide. Eur. J. Med. Chem. 2003, 38, 781–786. [Google Scholar] [CrossRef]
- Boga, C.; Fiume, L.; Baglioni, M.; Bertucci, C.; Farina, C.; Kratz, F.; Manerba, M.; Naldiand, M.; Stefano, G. Characterization of the conjugate of the (6-maleimidocaproyl) hydrazone derivative of doxorubicin with lactosaminated human albumin by 13C-NMR spectroscopy. Eur. J. Pharm. Sci. 2009, 38, 262–269. [Google Scholar] [CrossRef] [PubMed]
- El-Sabbagh, O.I.; Rady, H.M. Synthesis of new acridines and hydrazones derived from cyclic α-diketone for cytotoxic and antiviral evaluation. Eur. J. Med. Chem. 2009, 44, 3680–3686. [Google Scholar] [CrossRef] [PubMed]
- Zhang, H.Z.; Drewe, J.; Tseng, B.; Kasibhatla, S.; Cai, S.X. Discovery and SAR of indole-2-carboxylic acid benzylidene-hydrazides as a new series of potent apoptosis inducers using a cell-based HTS assay. Bioorg. Med. Chem. 2004, 12, 3649–3655. [Google Scholar] [CrossRef] [PubMed]
- Vicini, P.; Incerti, M.I.; Collaand, P.L.; Loddo, R. Anti HIV evaluation of benzo[d]isothiazole hydrazones. Eur. J. Med. Chem. 2009, 44, 1801–1807. [Google Scholar] [PubMed]
- Rahman, V.M.; Mukhtar, S.; Ansari, W.H.; Lemiere, G. Synthesis, stereochemistry and biological activity of some novel long alkyl chain substituted thiazolidin-4-ones and thiazan-4-one from 10-undecenoic acid hydrazide. Eur. J. Med. Chem. 2005, 40, 173–184. [Google Scholar] [CrossRef] [PubMed]
- Kaushik, D.; Khan, S.A.; Chawla, G.; Kumar, S. N′-[(5-chloro-3-methyl-1-phenyl-1H-pyrazol-4-yl)methylene] 2/4-substituted hydrazides: Synthesis and anticonvulsant activity. Eur. J. Med. Chem. 2010, 45, 3943–3949. [Google Scholar] [CrossRef] [PubMed]
- Xia, Y.L.; Chuan-Dong, F.; Zhao, B.X.; Zhao, J.; Shin, D.S.; Miaom, J.Y. Synthesis and structure–Activity relationships of novel 1-arylmethyl-3-aryl-1H-pyrazole-5-carbohydrazide hydrazone derivatives as potential agents against A549 lung cancer cells. Eur. J. Med. Chem. 2008, 43, 2347–2353. [Google Scholar] [CrossRef] [PubMed]
- Menendez, C.; Chollet, A.; Rodriguez, F.; Inard, C.; Pasca, M.R.; Lherbet, C.; Baltas, M. Chemical synthesis and biological evaluation of triazole derivatives as inhibitors of InhA and antituberculosis agents. Eur. J. Med. Chem. 2012, 52, 275–283. [Google Scholar] [CrossRef] [PubMed]
- Nerkar, A.G.; Saxena, A.K.; Ghone, S.A.; Thaker, A.K. In Silico Screening, synthesis and in vitro evaluation of some quinazolinone and pyridine derivatives as dihydrofolate reductase inhibitors for anti-cancer activity. J. Chem. 2009, 6, 97–102. [Google Scholar]
- Chu, W.; Zhang, J.; Zeng, C.; Rothfuss, J.; Tu, Z.; Chu, Y.; Reichert, D.E.; Welch, M.J.; Mach, R.H. N-Benzylisation sulfonamide analogues as potent caspase-3 inhibitors: Synthesis, in vitro activity, and molecular modeling studies. J. Med. Chem. 2005, 48, 7637–7647. [Google Scholar] [CrossRef] [PubMed]
- Chu, W.; Rothfuss, J.; Chu, Y.; Zhou, D.; Mach, R.H. Synthesis and in vitro evaluation of sulfonamide isatin Micheal acceptors as small molecule inhibitors of caspase-6. J. Med. Chem. 2009, 52, 2188–2191. [Google Scholar] [CrossRef] [PubMed]
- Chohan, Z.H.; Pervez, H.; Rauf, A.; Khan, K.M.; Supuran, C.T. Isatin-derived antibacterial and antifungal compounds and their transition metal complexes. J. Enzyme Inhib. Med. Chem. 2004, 19, 417–423. [Google Scholar] [CrossRef] [PubMed]
- Pirrung, M.C.; Pansare, S.V.; das Sarma, K.; Keith, K.A.; Kern, E.R. Combinatorial optimization of isatin-β-thiosemicarbazones as anti-poxvirus agents. J. Med. Chem. 2005, 48, 3045–3050. [Google Scholar] [CrossRef] [PubMed]
- Konkel, M.J.; Lagu, B.; Boteju, L.W.; Jimenez, H.; Noble, S.; Walker, M.W.; Chandrasena, G.; Blackburn, T.P.; Nikam, S.S.; Wright, J.L.; et al. 3-Arylimino-2-indolones are potent and selective galanin GAL3 receptor antagonists. J. Med. Chem. 2006, 49, 3757–3758. [Google Scholar] [CrossRef] [PubMed]
- Natarajan, A.; Fan, Y.H.; Chen, H.; Guo, Y.; Iysere, J.; Harbinski, F.; Christ, H.; Aktas, W.J.; Halperin, Y.A. 3,3-Diaryl-1,3-dihydroindol-2-ones as antiproliferatives mediated by translation initiation inhibition. J. Med. Chem. 2004, 47, 1882–1885. [Google Scholar]
- Matheus, M.E.; Violante, F.D.A.; Garden, S.J.; Pinto, A.C.; Fernandes, P.D. Isatins inhibit cyclooxygenase-2- and inducible nitric oxide synthesis in a mouse macrophage cell line. Eur. J. Pharmacol. 2007, 556, 300–306. [Google Scholar] [CrossRef] [PubMed]
- Zhou, L.; Liu, Y.; Zhang, W.; Wei, P.; Huang, C.; Pei, J.; Yuan, Y.; Lai, L. Isatin compounds as noncovalent SARS coronavirus 3C-like protease inhibitors. J. Med. Chem. 2006, 49, 3440–3443. [Google Scholar] [CrossRef] [PubMed]
- Jarrahpour, A.; Khalili, D.; de Clercq, E.; Salmi, C.; Brunel, J.M. Synthesis, antibacterial, antifungal and antiviral activity evaluation of some new bis-Schiff bases of isatin and their derivatives. Molecules 2007, 12, 1720–1730. [Google Scholar] [CrossRef] [PubMed]
- Sharaf, O.A. Some pharmacological activities of new substituted pyrolloindoles, Indolothiazepine and azole derivatives. Bull. Fac. Pharm. 1997, 35, 79–82. [Google Scholar]
- Verma, M.; Pandeya, S.N.; Singh, K.N.; Stables, J.P. Anticonvulsant activity of Schiff bases of Isatin derivatives. Acta Pharm. 2004, 54, 49–56. [Google Scholar] [PubMed]
- Bersudsky, Y.; Applebaum, J.; Gaiduk, Y.; Sharony, L.; Mishory, A.; Podberezsky, A.; Agam, G.; Belmaker, R.H. Valnoctamide as a valproate substitute with low teratogenic potential in mania: A double-blind, controlled, add-on clinical trial. Bipolar Disord. 2010, 12, 376–382. [Google Scholar] [CrossRef] [PubMed]
- Bialer, M. New antiepileptic drugs that are second generation to existing antiepileptic drugs. Expert Opin. Investig. Drugs 2006, 15, 637–647. [Google Scholar] [CrossRef] [PubMed]
- Bialer, M.; Yagen, B. Valproic acid: Second generation. Neurotherapeutics 2007, 4, 130–137. [Google Scholar] [CrossRef] [PubMed]
- Michaelis, M.; Michaelis, U.R.; Fleming, I.; Suhan, T.; Cinatl, J.; Blaheta, R.A.; Hoffmann, K.; Kotchetkov, R.; Busse, R.; Nau, H.; et al. Valproic acid inhibits angiogenesis in vitro and in vivo. Mol. Pharm. 2004, 65, 520–527. [Google Scholar] [CrossRef] [PubMed]
- Osuka, S.; Takano, S.; Watanabe, S.; Yamamoto, T.; Matsumura, A. Valproic acid inhibits angiogenesis in vitro and glioma angiogenesis in vivo in the brain. Neurol. Med. Chir. (Tokyo) 2012, 52, 186–193. [Google Scholar] [CrossRef] [PubMed]
- Zgouras, D.; Becker, U.; Loitsch, S.; Stein, J. Modulation of angiogenesis-related protein synthesis by valproic acid. Biochem. Biophys. Res. Commun. 2004, 316, 693–697. [Google Scholar] [CrossRef] [PubMed]
- Kitazoe, K.; Abe, M.; Hiasa, M.; Oda, A.; Amou, H.; Harada, T.; Nakano, A.; Takeuchi, K.; Hashimoto, T.; Ozaki, S.; et al. Valproic acid exerts anti-tumor as well as anti-angiogenic effects on myeloma. Int. J. Hematol. 2009, 89, 45–57. [Google Scholar] [CrossRef] [PubMed]
- Farooq, M.; Sulochana, K.N.; Pan, X.; To, J.; Sheng, D.; Gong, Z.; Ge, R. Histone deacetylase 3 (hdac3) is specifically required for liver development in zebrafish. J. Dev. Biol. 2008, 317, 336–353. [Google Scholar] [CrossRef] [PubMed]
- Gottlicher, M.; Minucci, S.; Zhu, P.; Kramer, O.H.; Schimpf, A.; Giavara, S.; Sleeman, J.P.; lo Coco, F.; Nervi, C.; Pelicci, P.G.; et al. Valproic acid defines a novel class of HDAC inhibitors inducing differentiation of transformed cells. Eur. Mol. Biol. Org. J. 2001, 20, 6969–6978. [Google Scholar] [CrossRef] [PubMed]
- Kuendgen, A.; Gattermann, N. Valproic acid for the treatment of myeloid malignancies. Cancer 2007, 110, 943–954. [Google Scholar] [CrossRef] [PubMed]
- Farooq, M.; El-Faham, A.; Ahmad, M.; Sami, A.S.; Wadaan, M.A. Teratogenic profile of valproic acid and newly synthesized derivatives in zebrafish embryos. Int. J. Agric. Biol. 2012, 14, 894–900. [Google Scholar]
- El-Faham, A.; Farooq, M.; Khattab, S.N.; Elkayal, A.M.; Ibrahim, M.F.; Abutaha, N.; Wadaan, M.A.M.; Hamed, E.A. Synthesis and biological activity of Schiff base series of valproyl, N-valproyl glycinyl, and N-valproyl-4-aminobenzoyl hydrazide derivatives. Chem. Pharm. Bull. 2014, 62, 591–599. [Google Scholar] [CrossRef] [PubMed]
- Farooq, M.; El-Faham, A.; Khattab, S.N.; Elkayal, A.M.; Ibrahim, M.F.; Abutaha, N.; Baabbad, A.; Wadaan, M.A.M.; Hamed, E.A. Biological screening of novel derivatives of valproic acid for anti-cancer and antiangiogenic properties. Asian Pac. J. Cancer Prev. 2014, 15, 7785–7792. [Google Scholar] [CrossRef] [PubMed]
- Allen, F.H.; Kennard, O.; Watson, D.G.; Brammer, L.; Orpen, A.G.; Taylor, R. Tables of bond lengths determined by X-ray and neutron diffraction. Part 1. Bond lengths in organic compounds. J. Chem. Soc. Perkin Trans. 1987, 2, S1–S19. [Google Scholar] [CrossRef]
- El-Faham, A.; Khattab, S.N.; Ghabbour, H.A.; Fun, H.K.; Siddiqui, M.R. Microwave irradiation: Synthesis and characterization of α-ketoamide and bis (α-ketoamide) derivatives via the ring opening of N-acetylisatin. Chem. Cent. J. 2014, 8, 1–10. [Google Scholar] [CrossRef] [PubMed]
- El-Faham, A.; Elzatahry, A.A.; Al Othman, Z.A.; Elsayed, E.A. Facile method for the synthesis of silver nanoparticles using 3-hydrazino-isatin derivatives in aqueous methanol and their antibacterial activity. Int. J. Nanomedicine 2014, 9, 1167–1174. [Google Scholar] [CrossRef] [PubMed]
- Sheldrick, G.M. A short history of SHELX. Acta Crystallogr. A 2008, 64, 112–122. [Google Scholar] [CrossRef] [PubMed]
- Bruker, APEX2, SAINT, SADABS; Bruker AXS Inc.: Madison, WI, USA, 2009.
- Sample Availability: Samples of the compounds 4 a–h are available from the authors.
© 2015 by the authors. Licensee MDPI, Basel, Switzerland. This article is an open access article distributed under the terms and conditions of the Creative Commons Attribution license ( http://creativecommons.org/licenses/by/4.0/).
Share and Cite
El-Faham, A.; Farooq, M.; Khattab, S.N.; Abutaha, N.; Wadaan, M.A.; Ghabbour, H.A.; Fun, H.-K. Synthesis, Characterization, and Anti-Cancer Activity of Some New N′-(2-Oxoindolin-3-ylidene)-2-propylpentane hydrazide-hydrazones Derivatives. Molecules 2015, 20, 14638-14655. https://doi.org/10.3390/molecules200814638
El-Faham A, Farooq M, Khattab SN, Abutaha N, Wadaan MA, Ghabbour HA, Fun H-K. Synthesis, Characterization, and Anti-Cancer Activity of Some New N′-(2-Oxoindolin-3-ylidene)-2-propylpentane hydrazide-hydrazones Derivatives. Molecules. 2015; 20(8):14638-14655. https://doi.org/10.3390/molecules200814638
Chicago/Turabian StyleEl-Faham, Ayman, Muhammad Farooq, Sherine N. Khattab, Nael Abutaha, Mohammad A. Wadaan, Hazem A. Ghabbour, and Hoong-Kun Fun. 2015. "Synthesis, Characterization, and Anti-Cancer Activity of Some New N′-(2-Oxoindolin-3-ylidene)-2-propylpentane hydrazide-hydrazones Derivatives" Molecules 20, no. 8: 14638-14655. https://doi.org/10.3390/molecules200814638
APA StyleEl-Faham, A., Farooq, M., Khattab, S. N., Abutaha, N., Wadaan, M. A., Ghabbour, H. A., & Fun, H.-K. (2015). Synthesis, Characterization, and Anti-Cancer Activity of Some New N′-(2-Oxoindolin-3-ylidene)-2-propylpentane hydrazide-hydrazones Derivatives. Molecules, 20(8), 14638-14655. https://doi.org/10.3390/molecules200814638

