Abstract
3-[(2-Hydroxyphenyl)amino]butanoic and 3-[(2-hydroxy-5-methyl(chloro)phenyl)amino]butanoic acids were converted to a series of derivatives containing hydrazide, pyrrole and chloroquinoxaline moieties. The corresponding benzo[b]phenoxazine derivatives were synthesized by the reaction of the obtained compounds with 2,3-dichloro-1,4-naphthoquinone. Five of the synthesized compounds exhibited good antimicrobial activity against Staphylococcus aureus and Mycobacterium luteum, whereas three compounds showed significant antifungal activity against Candida tenuis and Aspergillus niger.
1. Introduction
The frequency of bacterial and fungal infections is an important contemporary problem due to the emerging new infectious diseases and increasing multi-drug resistance of microbial pathogens [1]. The widespread use of antibiotics has contributed to the growing infection rate since fungal infections occur after antibiotic therapy, which has the effect of killing the beneficial bacteria that normally suppress fungi. The development of new effective antifungal and antibacterial agents is strongly needed.
β-Amino acids and their derivatives are structural units of various natural compounds, such as peptides, depsipeptides, lactones, alkaloids, and antibiotics. Bacteria, cyanobacteria, fungi, and plants often incorporate β-amino acids into secondary metabolites. Many natural compounds characterized by potent biological activities are active thanks to the presence of β-amino acid substructure [2].
Benzoquinone and naphthoquinone fragments are also often incorporated into the structure of natural biologically active compounds. In most cases, the biological activity of quinones is related to their ability to accept one and/or two electrons to form the corresponding radical anion or dianion species, as well as the acid-base properties of the compounds. The variable capacity of quinone compounds to accept electrons is due to the electron-attracting (or donating) substituents at the quinone moiety, which modulate the redox properties responsible for the resulting oxidative stress [3]. Redox properties of quinones can be tuned by their substituents [4].
Different 1,4-naphthoquinone derivatives have been reported as potent anticancer [5,6], antifungal [7,8], antibacterial [9,10,11,12,13], antiviral [14,15], and antiprotozoal therapeutic agents [16], as well as cholesterol acyltransferase inhibitors [17].
Quinoxaline and its derivatives are important nitrogen-containing heterocyclic compounds possessing various biologically interesting properties with several pharmaceutical applications. The biological applications of quinoxaline compounds include antimicrobial [18,19], anti-inflammatory [20,21], antitubercular [22], anticancer [23], and antitumor agents [24,25].
Hydrazone derivatives of heteroaromatic compounds have also been reported to possess anti-inflammatory [26,27], anticancer [28], antitumor [29], antibacterial or plant-growth activity [30,31].
Herein, we report the synthesis and biological evaluation of new β-amino acid derivatives containing aromatic, heterocyclic moiety and/or naphthoquinone fragments. The structures of the synthesized compounds were unambiguously confirmed by elemental analysis, mass spectrometry, IR, 1H-NMR and 13C-NMR spectroscopy.
2. Results and Discussion
2.1. Chemistry
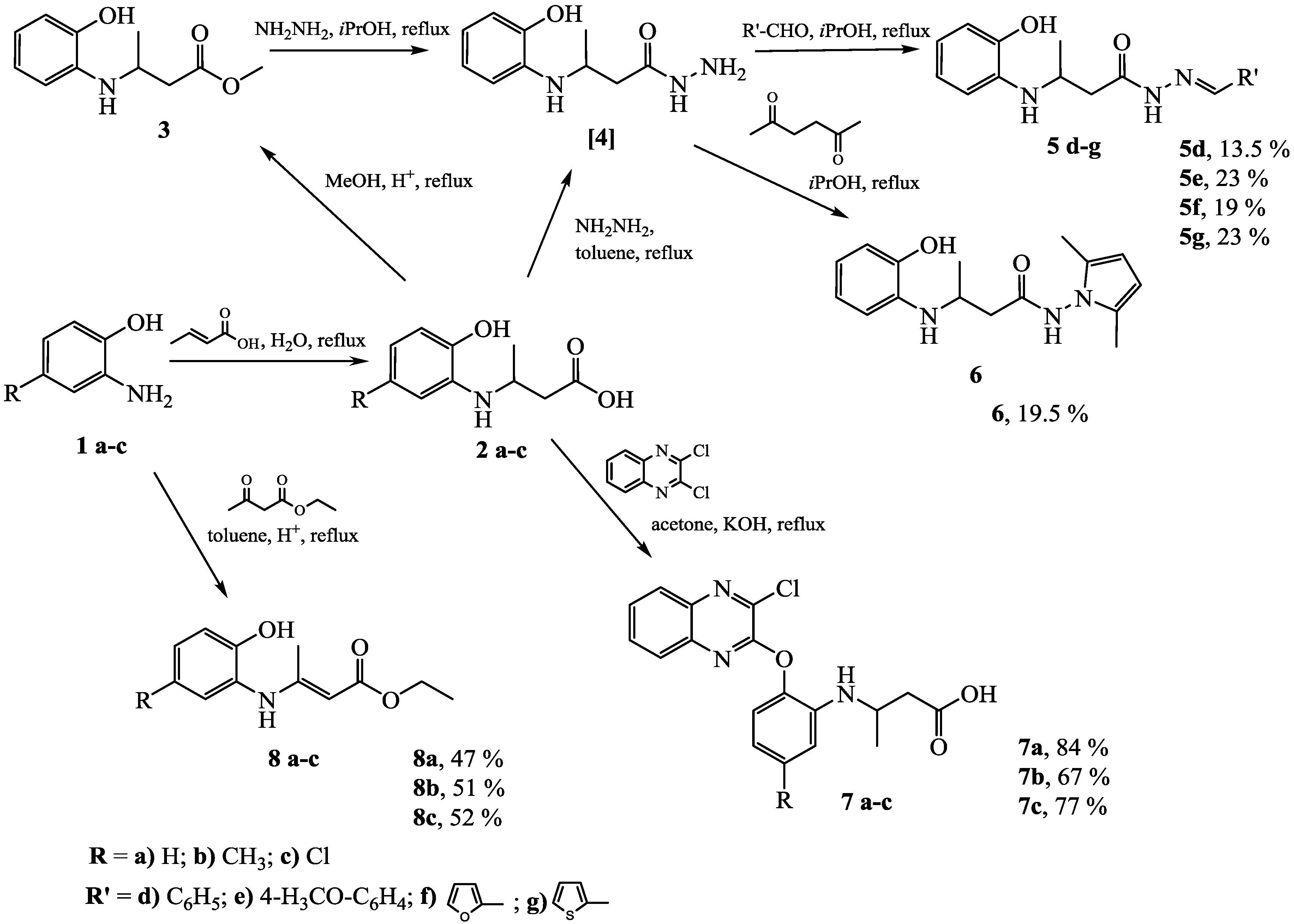
3-[(2-Hydroxyphenyl)amino]butanoic acids 2a–c were obtained by the reaction of the corresponding amines 1a–c with crotonic acid (Scheme 1). The reactions were carried out under reflux in water without using organic solvents and the products were isolated by crystallization. Usually, synthesis of carboxylic acid hydrazides from esters is more facile than the one from acids. However, attempts to synthesize methyl 3-[(2-hydroxyphenyl)amino]butanoate (3) by esterification reaction of 3-[(2-hydroxyphenyl)amino]butanoic acid (2a) with methanol in the presence of a catalytic amount of sulfuric acid were unsuccessful. The target product was obtained as an oily residue and required tedious work-up procedure. Furthermore, the subsequent reaction of 3 with hydrazine hydrate gave a complex mixture of products, from which it was not possible to isolate 3-[(2-hydroxyphenyl)amino]butanehydrazide (4). Therefore, hydrazide 4 was prepared from 2a by heating it under reflux with hydrazine hydrate in toluene. The residual semisolid obtained was used in subsequent reactions without further purification. The formation of ester 3 was confirmed by the presence of a singlet at 3.57 ppm attributable to the OCH3 group protons in the 1H-NMR spectrum.
Scheme 1.
Transformation reactions of 3-[(2-hydroxyphenyl)amino]-butanoic acids 2a–c and synthesis of ethyl-3-[(2-hydroxy-5-substitutedphenyl)amino]but-2-enoates 8a–c.
Scheme 1.
Transformation reactions of 3-[(2-hydroxyphenyl)amino]-butanoic acids 2a–c and synthesis of ethyl-3-[(2-hydroxy-5-substitutedphenyl)amino]but-2-enoates 8a–c.

Hydrazones 5d–g were synthesized, under reflux conditions, by condensation of hydrazide 4 with different aromatic aldehydes in 2-propanol (Scheme 1). Compounds 5d–g having an azomethine group appear as a mixture of E and Z isomers in solution [10,32,33] as it has been proven by their NMR spectra. For example, two doublets attributable to the CH3 group protons at 1.18 ppm (E isomer) and 1.22 ppm (Z isomer), and two doublets of doublets attributable to the CH2 group protons at 2.64 ppm and 3.08 ppm are observed in the 1H-NMR spectrum for 5d. The NH group proton resonated as a doublet at 4.53 ppm. Protons of the CH, OH, and NH-N groups gave double sets of 1H-NMR resonances at 8.01 ppm (E) and 8.18 (Z), 9.22 ppm (Z) and 9.25 (E), 11.35 (Z) and 11.43 ppm (E), respectively, as well. The full set of resonances for each isomer is present in the 13C-NMR spectrum for 5d. In the 1H- and 13C-NMR spectra for 5f and 5g, the pattern of chemical resonances indicating the formation of E/Z isomers in the solution, is analogues to the one for 5d. The intensity ratio of the signals in all cases is 3:2 and the Z isomer prevails.
N-(2,5-Dimethyl-1H-pyrrol-1-yl)-3-[(2-hydroxyphenyl)amino]butanamide 6 was synthesized by the reaction of 4 with 2,5-hexanedione. The formation of pyrrole ring in compound 6 has been confirmed by the 1H-NMR signal at 5.62 ppm attributable to two aromatic protons.
3-{{2-[(3-Chloroquinoxalin-2-yl)oxy]phenyl}amino}butanoic acids 7a–c were synthesized by the reaction of acids 2a–c with 2,3-dichloroquinoxaline. The characteristic singlets attributable to the phenolic OH groups in the 1H-NMR spectra for compounds 2a–c are absent in the 1H-NMR spectra for 7a–c. The formation of compounds 7a–c has been confirmed also by the increased intensity by four protons of the signals in the aromatic region.
3-(2-Hydroxyphenylamino)but-2-enoates 8a–c were prepared by the reaction of the corresponding 2-aminophenols 1a–c with ethyl 3-oxobutanoate. The best results were gotten when the reactions were carried out in toluene under reflux conditions. After elimination of the solvent, the products were obtained by crystallization in hexane. The formation of compounds 8a–c has been confirmed by the presence of the resonances attributable to the protons of the =CCH3 group at approx. 2 ppm in the 1H-NMR spectra and the carbon atom signals of the methyl group at approx. 20 ppm in the 13C-NMR spectra. The presence of the double bond has been confirmed by the proton signal attributable to the methine group at approx. 4.5 ppm in the 1H-NMR spectra. In the 13C-NMR spectra, carbon of this group resonated at approx. 86 ppm, whereas the carbon resonance at approx. 160 ppm was attributed to the =CCH3 group. The 1H-NMR spectra of compounds 8a–c display double sets of chemical resonances indicating that these compounds exist as a mixture of E/Z isomers in the DMSO-d6 solution. The intensity ratio of the chemical resonances is 1:4 (8a) and 1.5:8.5 (8b and 8c), and Z isomer is the prevailing one.
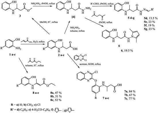
Condensation of compounds 2a–c, 5d–g, 6, and 8a–c with 2,3-dichloro-1,4-naphthoquinone by three different methods was investigated (Scheme 2).
Scheme 2.
Synthesis of benzo[b]phenoxazine derivatives.
Scheme 2.
Synthesis of benzo[b]phenoxazine derivatives.

3-(2-Substituted-6,11-dioxo-6,11-dihydro-12H-benzo[b]phenoxazin-12-yl)butanoic acids 9a–c were prepared by the reactions of 3-[(2-hydroxyphenyl)amino]-butanoic acids 2a–c with 2,3-dichloro-1,4-naphthoquinone in dimethylsulfoxide at room temperature in the presence of sodium carbonate. Reaction mixtures were diluted with water, filtered off and the filtrates were acidified with acetic acid up to pH 6. Acids 9a–c are unstable under strong alkaline conditions and decompose to colourless compounds. Therefore, sodium carbonate was used in the work-up instead of sodium hydroxide. The synthesized compounds were purified by dissolving them in aqueous sodium carbonate solution and acidifying the filtrate with acetic acid to pH 6. The synthesis of 3-(6,11-dioxo-6,11-dihydro-12H-benzo[b]phenoxazin-12-yl)butanoic acid (9a) has been reported previously [34]. Its solution was found to stimulate the growth of barley at a concentration of 1.5 mg/L and it also increased the content of flavonoids.
Since compounds 9a–c are unstable in acidic and alkaline media, they were treated with iodoetane in the presence of sodium carbonate to furnish ethyl 3-(2-substituted-6,11-dioxo-6,11-dihydro-12H-benzo[b]phenoxazin-12yl)butanoates 10a–c.
The reactions of aminocrotonates 8a–c and 2,3-dichloro-1,4-naphthoquinone in the presence of sodium carbonate afforded corresponding derivatives 11a–c. In analogous way 12d and 13 were synthesized from 5d and 6, respectively.
Some of the hydrazones did not react with 2,3-dichloro-1,4-naphthoquinone in DMSO. The attempts to synthesize the target products by the reaction in acetone, under reflux conditions, in the presence of sodium carbonate were unsuccessful. Therefore, sodium acetate was used as a base instead of sodium carbonate. Thus, N′-substituted-3-(6,11-dioxo-6,11-dihydro-12H-benzo[b]phenoxazin-12-yl)butanehydrazides 12e–g were synthesized. Compounds 9a–c could also be prepared by this method, but the reaction in DMSO was more facile, took place at room temperature and the work-up procedure was more simple. The 1H-NMR spectra have shown that in the DMSO-d6 solution compounds 11c and 12d–g exist as a mixture of E/Z isomers in the ratio 1:4 (11c) and 3:7 (12d–g) as reflected by the intensity of the resonance lines, and Z isomer is the prevailing one.
The structures of compounds 9–13 have been confirmed by the absence of the OH group proton singlets, which are present in the 1H-NMR spectra of the precursors 2a–c, 5d–g, 6, and 8a–c, and the increased intensity of the signals of the aromatic protons.
2.2. Biological Study
The synthesized compounds 5d–g, 6, 7a–c, 9a–c, 10a–c, 11a–c, 12d–g, and 13 were evaluated for their antibacterial and antifungal activity against Escherichia coli В-906, Staphylococcus aureus 209-Р, Mycobacterium luteum В-917, Candida tenuis VKM Y-70 and Aspergillus niger VKM F-1119 strains by the diffusion [35] and serial dilution method (determination of minimum inhibitory concentration MIC) [36]. Their activity was compared to that of the known antibacterial agent vancomycin and the antifungal agent nystatin.
The test-culture E. coli had low sensitivity only to the compounds 9c and 11b (d = 8 mm) at a concentration of 0.5% (diffusion method). The compounds 9a–c, 10c, and 12f had good activity against strain S. aureus at a concentration of 0.5% (diffusion method) and compounds 12d, 12e, 12g were found to exhibit low antibacterial activity against S. aureus. The strain M. luteum was most sensitive to compounds 9a–c, 10b,c, 12f,g, and 13 at a concentration of 0.5% and low sensitive to compounds 7b,c. Other compounds had no antibacterial activity against S. aureus and M. luteum at 0.5% and 0.1% concentrations evaluated by the diffusion method. The results obtained are presented in Table 1.
Table 1.
Antimicrobial activity of the synthesized compounds determined by diffusion method (only compounds that gave positive results at least in one case are included in the table).
| Compound | Conc. (%) | Inhibition Diameter of Microorganism Growth (mm) | ||||
|---|---|---|---|---|---|---|
| Bacteria | Fungi | |||||
| E. coli | S. aureus | M. luteum | C. tenuis | A. niger | ||
| 7b | 0.5 | 0 | 0 | 13.0 (b/s) | 0 | 12.0 (f/s) |
| 0.1 | 0 | 0 | 0 | 0 | 0 | |
| 7c | 0.5 | 0 | 0 | 16.0 (b/s) | 0 | 10.0 (f/s) |
| 0.1 | 0 | 0 | 0 | 0 | 0 | |
| 9a | 0.5 | 0 | 22.4 | 15.0 | 12.0 (f/s) | 0 |
| 0.1 | 0 | 15.4 | 0 | 0 | 0 | |
| 9b | 0.5 | 0 | 24.4 | 19.4 | 0 | 0 |
| 0.1 | 0 | 14.4 | 10.0 (b/s) | 0 | 0 | |
| 9c | 0.5 | 8.0 | 23.4 | 23.0 | 20.0 (f/s) | 0 |
| 0.1 | 0 | 14.0 | 0 | 15.0 (f/s) | 0 | |
| 10a | 0.5 | 0 | 0 | 7.0 (b/s) | 0 | 0 |
| 0.1 | 0 | 0 | 0 | 0 | 0 | |
| 10b | 0.5 | 0 | 0 | 11.4 | 0 | 0 |
| 0.1 | 0 | 0 | 6.0 | 0 | 0 | |
| 10c | 0.5 | 0 | 23.7 | 20.7 | 0 | 0 |
| 0.1 | 0 | 18.7 | 10.0 (b/s) | 0 | 0 | |
| 11a | 0.5 | 0 | 0 | 0 | 10.0 (f/s) | 0 |
| 0.1 | 0 | 0 | 0 | 0 | 0 | |
| 11b | 0.5 | 8.0 (b/s) | 0 | 0 | 0 | 0 |
| 0.1 | 0 | 0 | 0 | 0 | 0 | |
| 12d | 0.5 | 0 | 8.0 | 0 | 0 | 0 |
| 0.1 | 0 | 7.0 (b/s) | 0 | 0 | 0 | |
| 12e | 0.5 | 0 | 7.7 | 0 | 0 | 0 |
| 0.1 | 0 | 0 | 0 | 0 | 0 | |
| 12f | 0.5 | 0 | 24.0 | 15.4 | 0 | 0 |
| 0.1 | 0 | 13.4 | 6.0 | 0 | 0 | |
| 12g | 0.5 | 0 | 11.7 | 13.0 | 0 | 24.4 |
| 0.1 | 0 | 7.7 | 10.0 | 0 | 20.0 | |
| 13 | 0.5 | 0 | 0 | 11.0 | 0 | 0 |
| 0.1 | 0 | 0 | 0 | 0 | 0 | |
| C * | 0.1 | 14.0 | 15.0 | 18.0 | 19.0 | 20.0 |
Notes: * Vancomycin was used as a control in the tests of antibacterial acitvity of the synthesized compounds, and nystatin was used in the tests of antifungal activity; b/s—bacteriostatic activity; f/s—fungistatic activity.
The results for the determination of minimum inhibitory concentrations (MIC) by the serial dilution method are provided in Table 2. All compounds, except 9c and 11c (500 µg/mL), showed no inhibition action against E. coli. Compounds 5d–g, 6 didn’t show inhibition action against the S. aureus bacterial strain at any concentration. Compounds 9b, 9c, 10c, 12f showed MIC against S. aureus at a concentration of 31.2 µg/mL. Compounds 9a, 7b, and 7a,c were active at 62.5 µg/mL, 250 µg/mL, and 500 µg/mL, respectively. Compounds 9a–c, 10b, 12f showed MIC against M. luteum at a concentration of 62.5 µg/mL, whereas MIC concentration for 13 was 15.6 µg/mL, the one for 10c and 12g was 31.2 µg/mL. Compounds 7a, c were active at 250 µg/mL, and 5d,f, 6, 7b showed MIC at 500 µg/mL.
Table 2.
Bactericidal activity of the synthesized compounds determined by serial dilution method (only compounds that gave positive results at least in one case are included in the table).
| Comp. | E. coli | S. aureus | M. luteum |
|---|---|---|---|
| MIC (µg/mL) | |||
| 5d | + | + | 500.0 |
| 5f | + | + | 500.0 |
| 6 | + | + | 500.0 |
| 7a | + | 500.0 | 250.0 |
| 7b | + | 250.0 | 500.0 |
| 7c | + | 500.0 | 250.0 |
| 9a | + | 62.5 | 62.5 |
| 9b | + | 31.2 | 62.5 |
| 9c | 500.0 | 31.2 | 62.5 |
| 10b | + | + | 62.5 |
| 10c | + | 31.2 | 31.2 |
| 11c | 500.0 | + | + |
| 12f | + | 31.2 | 62.5 |
| 12g | + | + | 31.2 |
| 13 | + | + | 15.6 |
| C * | 31.2 | 3.9 | 7.8 |
Notes: +: Growth of microorganisms; * Vancomycin was used as a control.
Antifungal activity (Table 1) (diffusion method) against C. tenuis was observed only for compounds 9a, 9c, and 11a at a 0.5% concentration. The test-culture A. niger appeared to be insensitive to all compounds except 12 g at 0.5% and 0.1% concentrations. MIC against test-culture C. tenuis of 9b and 9c was observed at 31.2 µg/mL, the ones for 9a, 6, 11a, and 11b were observed at 15.6 µg/mL, 125 µg/mL, 250 µg/mL, and 500 µg/mL, respectively. Evaluation of antifungal activity of compounds showed that 12 g had MIC at 3.9 µg/mL, 11a, 12f at 62.5 µg/mL, and 7a, 9c, 11c, 12e at 125 µg/mL, 9a, 10a at 250 µg/mL for A. niger. For other compounds growth of fungi was observed at the investigated concentrations. Results are presented in Table 3.
Table 3.
Fungicidal activity of the synthesized compounds determined by serial dilution method (only compounds that gave positive results at least in one case are included in the table).
| Compound | C. tenuis | A. niger |
|---|---|---|
| MIC (µg/mL) | ||
| 6 | 125.0 | + |
| 7a | + | 125.0 |
| 9a | 15.6 | 250.0 |
| 9b | 31.2 | + |
| 9c | 31.2 | 125.0 |
| 10a | + | 250.0 |
| 11a | 250.0 | 62.5 |
| 11b | 500.0 | + |
| 11c | + | 125.0 |
| 12e | + | 125.0 |
| 12f | + | 62.5 |
| 12g | + | 3.9 |
| C * | 7.8 | 15.6 |
Notes: +: Growth of microorganisms; * Nystatin was used as a control.
The structure activity relationship study of these compounds has shown that introduction of the substituent into the benzo[b]phenoxazine moiety increases the antibacterial activity. 3-[(2-Hydroxyphenyl)amino]butanoic acid derivatives do not possess antimicrobial activity, whereas products of their condensation with 2,3-dichloro-1,4-naphthoquinone do exhibit antimicrobial action. The comparison of the activity of acids 9a–c with the one of esters 10a–c has shown that acids are more active against S. aureus and M. luteum. However, the presence of chlorine atom at the second position intensifies the antibacterial effect for esters, but does not influence the one for acids. On the other hand, esters 11a–c, containing a double bond, are inactive against the tested bacteria strains and show moderate activity just against A. niger. As the comparison of benzo[b]phenoxazine derivatives with hydrazine moiety has revealed, the ones containing aromatic substituents are inactive against both bacteria and fungi. As it could be expected, benzo[b]phenoxazine derivatives containing hydrazide moiety with furan and thiophen substituents have shown significant antifungal activity against A. niger. Whereas, the pyrrole moiety has increased the activity against M. luteum.
3. Experimental Section
3.1. General Information
Melting points were determined on a Mel-Temp melting point apparatus (Electrochemical, A Bibby Scientific Company, Burlington, NJ, USA) and are uncorrected. The 1H- and 13C-NMR spectra were recorded on a Varian Unity Inova (300 MHz, 75 MHz) and AvanceIII 400 (400 MHz, 100 MHz) spectrometers operating in the Fourier transform mode, using TMS as an internal standard. Chemical shifts are expressed in parts per million (ppm, δ units). IR spectra (ν, cm–1) were recorded on a Perkin Elmer Spectrum BX FT-IR spectrometer using KBr tablets. Mass spectra were obtained on a Waters ZQ 2000 spectrometer (Micromass, Milford, MA, USA) using ESI technique. TLC was performed on Fluka Silica gel plates on TLC Alu foils, 60 Å, F254. Silica gel (Fluka, 230–400 mesh particle size, pore size 60 Å) was used for column chromatography.
3.2. Chemistry
3-[(2-Hydroxy-5-substitutedphenyl)amino]butanoic acids (2a–c) were prepared as described in [37]. Their melting points and 1H-NMR spectra were identical to those described in [37].
Methyl 3-[(2-hydroxyphenyl)amino]butanoate (3): A mixture of 3-[(2-hydroxyphenyl)amino]butanoic acid 2a (1.95 g, 0.01 mol), methanol (20 mL) and catalytic amount of conc. H2SO4 was refluxed for 6 h. Then the solvent was removed under reduced pressure. The precipitate was neutralized with 10% Na2CO3 solution. The crude product was extracted with diethyl ether. Yield 0.636 g (33%); liquid; Rf = 0.65 (acetone–hexane, 1:1); IR (KBr), ν, cm−1: 3391 (OH), 2955 (NH), 2730 (OCH3), 1732, 1715 (CO); 1H-NMR (400 MHz, DMSO-d6): δ = 1.17 (d, 3H, J = 6.4 Hz, CH3), 2.44 (dd, 1H, J = 6.9, 15.0 Hz, CH2), 2.63 (dd, 1H, J = 6.9, 15.0 Hz, CH2), 3.60 (s, 3H, OCH3), 3.87–3.77 (m, 1H, CHCH2), 4.45 (d, 1H, J = 9.7 Hz, NH), 6.41–6.68 (m, 4H, Haromatic), 9.26 (s, 1H, OH). Anal. Calcd. (%) for C11H15NO3: C, 63.14; H, 7.23; N, 6.69%. Found: C, 63.24; H, 7.31; N, 6.52%.
3-[(2-hydroxyphenyl)amino]butanehydrazide (4). Method A: A mixture of acid 2a (1.95 g, 0.01 mol) and 98% hydrazide hydrate (1.25 g, 0.025 mol) in toluene (30 mL) was refluxed for 14 h. The residual semisolid obtained was used in subsequent reactions without further purification. Method B: A mixture of ester 3 (0.636 g, 3.3 mmol), 2-propanol (20 mL) and 98% hydrazine hydrate (0.25 g, 5 mmol) was refluxed for 5 h. The reaction mixture was cooled, the liquid fraction was decanted and oily residue was obtained.
3.2.1. General Procedure for Synthesis of N'-Aryl-3-[(2-hydroxyphenyl)amino]butanehydrazides (5d–g)
A mixture of 3-[(2-hydroxyphenyl)amino]butanehydrazide (4), corresponding arylaldehyde (0.015 mol) and 2-propanol (30 mL) was heated under reflux for 3 h. The reaction mixture was cooled down, the precipitate was filtered off and washed with 2-propanol and diethyl ether or the solvent was evaporated under reduced pressure and the product was purified by column chromatography (acetone–hexane, 1:1).
N'-Benzylidene-3-[(2-hydroxyphenyl)amino]butanehydrazide (5d). Yield 0.25 g (13.5%), m.p.: 92–93 °C; Rf = 0.58 (acetone–hexane, 1:1); IR (KBr), ν, cm−1: 3396 (OH), 2976 (CONH), 2927 (NH), 1648 (CO); 1H-NMR (400 MHz, DMSO-d6): δ = 1.18 (d, (1.2)3H (E), J = 6.3 Hz, CH3), 1.22 (d, (1.8)3H (Z), J = 6.3 Hz, CH3), 2.64 (dd, 1H, J = 7.6, 14.4 Hz, CH2), 3.08 (dd, 1H, J = 5.4, 14.3 Hz, CH2), 3.84–3.94 (m, 1H, CHCH2), 4.53 (d, 1H, J = 11.9 Hz, NH), 6.40–6.67 (m, 4H, Haromatic), 7.42–7.69 (m, 5H, Haromatic), 8.01 (s, (0.6)1H, (Z), NCH), 8.18 (s, (0.4)1H (E), NCH), 9.22 (s, (0.6)1H (Z), OH) 9.25 (s, (0.4)1H (E), OH), 11.35 (s, (0.6)1H (Z), NHN), 11.43 (s, (0.4)1H (E), NHN); 13C-NMR (100 MHz, DMSO-d6): δ = 20.31 (CH3 (E)), 20.45 (CH3 (Z)), 41.22 (CH2), 45.41 (CH), 110.49, 110.66, 113.56, 115.88, 115.97, 119.70, 119.76, 126.78, 127.02, 128.84, 129.76, 129.97, 134.29, 136.08, 144.27 (Caromatic), 142.98 (NCH (Z)), 146.13 (NCH (E)), 167.18 (CO (E)), 172.92 (CO (Z)); HRMS calculated for C17H19N3O2 [M+H]+ 298.1477 found 298.1551; Anal. Calcd. (%) for: C, 68.67; H, 6.44; N, 14.13, found: C, 68.70; H, 6.88; N, 14.31.
3-[(2-Hydroxyphenyl)amino]-N'-[4-methoxybenzylidene]butanehydrazide (5e). Yield 0.47 g (23%); m.p.: 163–164 °C; IR (KBr), ν, cm−1: 3433 (OH), 2968 (CONH), 2968 (NH), 2838 (OCH3), 1619, 1602 (CO); 1H-NMR (400 MHz, DMSO-d6): δ = 1.15 (d, (1.2)3H (E), J = 6.4 Hz, CH3), 1.21 (d, (1.8)3H (Z), J = 6.6 Hz, CH3), 2.60 (dd, 1H, J = 7.5, 14.7 Hz, CH2), 3.05 (dd, 1H, J = 5.4, 14.3 Hz, CH2), 3.82 (s, 3H, OCH3), 3.90–3.95 (m, 1H, CHCH2), 4.52 (d, 1H, J = 11.9 Hz, NH), 6.39–6.68 (m, 4H, Haromatic), 7.58–7.63 (m, 4H, Haromatic), 8.32 (s, (0.6)1H, (Z), NCH), 8.43 (s, (0.4)1H (E), NCH), 9.21 (s, (0.6)1H (Z), OH) 9.25 (s, (0.4)1H (E), OH), 11.22 (s, (0.6)1H (Z), NHN), 11.29 (s, (0.4)1H (E), NHN); HRMS calculated for C18H21N3O3 [M+H]+ 328.1583 found 328.1585; Anal. Calcd. (%) for: C, 66.04; H, 6.47; N, 12.84, found: C, 66.10; H, 6.38; N, 12.91.
N'-[Furan-2-ylmethylene]-3-[(2-hydroxyphenyl)amino]butanehydrazide (5f). Yield 0.334 g (19%); m.p.: 175–176 °C; IR (KBr), ν, cm−1: 3401 (OH), 2974 (CONH), 2934 (NH), 1628, 1609 (CO); 1H-NMR (400 MHz, DMSO-d6): δ = 1.14 (d, (1.2)3H (E), J = 6.3 Hz, CH3), 1.16 (d, (1.8)3H (Z), J = 6.3 Hz, CH3), 2.73 (dd, 1H, J = 7.5, 14.7 Hz, CH2), 3.02 (dd, 1H, J = 5.1, 14.9 Hz, CH2), 3.76–3.87 (m, 1H, CHCH2), 4.60 (d, 1H, J = 11.0 Hz, NH), 5.84 (s, 1H, CH), 6.39–6.67 (m, 4H, Haromatic), 6.87 (s, 1H, CH), 7.82 (s, (0.6)1H (Z), NCH), 7.89 (s, (0.4)1H (E), NCH), 8.07 (s, 1H, CH), 9.30 (br. s, 1H, OH), 11.29 (s, (0.6)1H (Z), NHN), 11.40 (s, (0.4)1H (E), NHN); HRMS calculated for C15H17N3O3 [M+H]+ 288.1270 found 288.1345; Anal. Calcd. (%) for: C, 62.71; H, 5.96; N, 14.63, found: C, 62.60; H, 5.88; N, 14.71.
3-[(2-Hydroxyphenyl)amino]-N'-[thiophen-2-ylmethylene]butanehydrazide (5g). Yield 0.44 g (23%); m.p.: 95–96 °C; IR (KBr), ν, cm−1: 3199 (OH), 3072 (CONH), 2970 (NH), 1660 (CO); 1H-NMR (400 MHz, DMSO-d6): δ = 1.17 (d, (1.2)3H (E), J = 6.3 Hz, CH3), 1.20 (d, (1.8)3H (Z), J = 6.4 Hz, CH3), 2.28 (m, 1H, CH2), 3.01 (dd, 1H, J = 5.4, 14.2 Hz, CH2), 3.73–3.88 (m, 1H, CHCH2), 4.49 (d, 1H, J = 11.8 Hz, NH), 6.2–6.67 (m, 4H, Haromatic), 7.11 (s, 1H, CH), 7.63 (s, 1H, CH), 8.18 (s, (0.6)1H (Z), NCH) , 8.19 (s, (0.4)1H (E), NCH), 8.4 (s, 1H, CH), 9.22 (br. s, 1H, OH), 11.30 (s, (0.6)1H (Z), NHN), 11.38 (s, (0.4)1H (E), NHN); HRMS calculated for C15H17N3O2S [M+H]+ 304.1041 found 304.2612; Anal. Calcd. (%) for: C, 59.39; H, 5.65; N, 13.85, found: C, 59.70; H, 5.86; N, 13.61.
N-(2,5-Dimethyl-1H-pyrrol-1-yl)-3-[(2-hydroxyphenyl)amino]butanamide (6): A mixture of 3-[(2-hydroxyphenyl)amino]butanehydrazide (4), hexane-2,5-dione (2.28 g, 0.02 mol) and 2-propanol (20 mL) was heated under reflux for 6 h. The solvent was evaporated under reduced pressure and the product was purified by column chromatography (acetone–hexane, 1:1). Yield 0.35 g (19.5%); m.p.: 154–155 °C; Rf = 0.28 (Ac:H, 1:2); IR (KBr), ν, cm−1: 3296 (OH), 2974 (CONH), 2866 (NH), 1686, 1654 (CO); 1H-NMR (400 MHz, DMSO-d6): δ = 1.22 (d, 3H, J = 6.3 Hz, CH3), 1.94 (d, 6H, J = 20.1 Hz, 2CH3), 2.39 (dd, 1H, J = 6.9, 14.0 Hz, CH2), 2.59 (dd, 1H, J = 5.9, 14.0 Hz, CH2), 3.90 (m, 1H, CHCH2), 4.53 (d, 1H, J = 11.9 Hz, NH), 5.62 (s, 2H, 2CH), 6.41–6.68 (m, 4H, Haromatic), 9.26 (s, 1H, OH), 10.68 (s, 1H, NHN); 13C-NMR (100 MHz, DMSO-d6): δ = 11.45 (2CH3), 20.65 (CH3), 40.58 (CH2), 45.79 (CH), 103.38 (2CH), 110.93, 114.06, 116.45, 120.16, 136.35, 144.81 (Caromatic), 127.10, 127.31 (NC), 170.58 (CO); HRMS calculated for C16H21N3O2 [M+H]+ 288.1634 found 288.1707; Anal. Calcd. (%) for: C, 66.88; H, 7.37; N, 14.62, found: C, 66.70; H, 7.28; N, 14.51.
3.2.2. General Procedure for Synthesis of 3-[(2-[{3-Chloroquinoxalin-2-yl}oxy]-5-substitutedphenyl)amino]butanoic Acids 7a–c
A mixture of corresponding acid 2a–c (8 mmol), 2,3-dichloroquinoxaline (2.98 g, 15 mmol), KOH (0.84 g, 15 mmol), and acetone (40 mL) was heated under reflux for 20 h, then cooled down and diluted with water (80 mL). Undissolved precipitate was filtered off and the solution was acidified with acetic acid to pH 6. The crystals were filtered off, washed with water, and recrystallized from 2-propanol.
3-[(2-((3-Chloroquinoxalin-2-yl)oxy)phenyl)amino]butanoic acid (7a). Yield 2.31 g (84%); m.p.: 201–202 °C; IR (KBr), ν, cm−1: 3105 (OH), 2974 (NH), 1731 (CO); 1H-NMR (300 MHz, DMSO-d6): δ = 1.60 (d, 3H, J = 6.9 Hz, CH3), 2.98–3.06 (dd, 1H, J = 7.3, 16.3 Hz, CH2), 3.16–3.24 (dd, 1H, J = 6.5, 16.3 Hz, CH2), 5.04–5.12 (m, 1H, CH), 6.92–7.58 (m, 8H, Haromatic), 12.32 (br s, 1H, OH); 13C-NMR (75 MHz, DMSO-d6): δ = 16.67 (CH3), 37.29 (CH2), 48.39 (CH), 99.42, 114.60, 116.31, 122.60, 124.87, 125.75, 126.08, 126.18, 127.71, 136.57, 139.22, 141.05, 142.61, 147.78 (Caromatic), 172.58 (CO). Anal. Calcd. (%) for C18H16ClN3O3: C, 60.42; H, 4.51; N, 11.74, found: C, 60.84; H, 4.74; N, 12.05.
3-[(2-((3-Chloroquinoxalin-2-yl)oxy)-5-methylphenyl)amino]butanoic acid (7b). Yield 1.17 g (67%); m.p.: 217–219 °C; IR (KBr), ν, cm−1: 2973 (OH); 2922 (NH); 1708 (CO); 1H-NMR (300 MHz, DMSO-d6): δ = 1.60 (d, 3H, J = 6.9 Hz, CHCH3), 2.27 (s, 3H, CH3), 3.01–3.09 (dd, 1H, J = 7.2, 16.3 Hz, CH2), 3.22–3.30 (dd, 1H, J = 6.8, 16.3 Hz, CH2), 5.00–5.07 (m, 1H, CH), 6.73 (d, 1H, J = 8.9 Hz, NH), 6.86–7.57 (m, 7H, Haromatic), 12.28 (s, 1H, OH); 13C-NMR (75 MHz, DMSO-d6): δ = 16.70 (CHCH3), 20.61 (CH3), 37.15 (CH2), 48.47 (CH), 114.87, 116.01, 122.84, 125.73, 126.05, 126.14, 127.62, 129.50, 134.13, 136.57, 139.14, 140.44, 140.99, 147.85 (Caromatic), 172.48 (CO). Anal. Calcd. (%) for C19H18ClN3O3: C, 61.38; H, 4.88; N, 11.30, found: C, 61.07; H, 5.10; N, 11.42.
3-[(5-Chloro-2-[(3-chloroquinoxalin-2-yl)oxy]phenyl)amino]butanoic acid (7c). Yield 1.58 g (77%); m.p.: 195–196 °C; IR (KBr), ν, cm−1: 3066 (OH), 2975 (NH), 1707 (CO); 1H-NMR (300 MHz, DMSO-d6): δ = 1.58 (d, 3H, J = 6.9 Hz, CH3), 2.94–3.02 (dd, 1H, J = 6.7, 16.4 Hz, CH2), 3.28–3.36 (dd, 1H, J = 7.1, 16.4 Hz, CH2), 4.91–4.98 (m, 1H, CH), 6.93 (d, 1H, J = 8.5 Hz, NH), 7.00–7.60 (m, 7H, Haromatic), 12.33 (s, 1H, OH); 13C-NMR (75 MHz, DMSO-d6): δ = 16.72 (CH3), 37.27 (CH2), 49.21 (CH), 114.53, 117.54, 121.91, 125.95, 126.27, 126.47, 127.90, 128.66, 136.59, 139.04, 140.49, 141.63, 147.49, 151.20 (Caromatic), 172.62 (CO). Anal. Calcd. (%) for C18H15Cl2N3O3: C, 55.12; H, 3.85; N, 10.71, found: C, 55.84; H, 4.10; N, 10.78.
3.2.3. General Procedure for Synthesis of Ethyl-3-[(2-Hydroxy-5-substitutedphenyl)amino]but-2-enoates (8a–c)
A mixture of corresponding 2-aminophenol 1a–c (0.1 mol), ethyl 3-oxobutanoate (19.5 g, 0.15 mol), acetic acid (0.5 mL) and toluene (100 mL) was heated under reflux for 3 h. Water generated during the course of the reaction was removed with Dean-Stark trap, the liquid fraction was evaporated under reduced pressure. Residue was poured over with hexane (150 mL) and heated at reflux temperature. The precipitate was filtered off and recrystallized from 2-propanol.
Ethyl-3-[(2-hydroxyphenyl)amino]but-2-enoate (8a). Yield 10.15 g (47%); m.p.: 95–96 °C IR (KBr), ν, cm−1: 3232 (OH), 2978 (NH), 1636 (CO); 1H-NMR (300 MHz, DMSO-d6): δ = 1.08 (t, (0.2)3H (E), J = 7.1 Hz, OCH2CH3), 1.18 (t, (0.8)3H (Z), J = 7.1 Hz, OCH2CH3), 1.98 (s, (0.8)3H (Z), =CCH3), 2.32 (s, (0.2)3H (E), =CCH3), 3.88 (q, (0.2)2H (E), J = 7.1 Hz, OCH2CH3), 4.04 (q, (0.8)3H (Z), J = 7.1 Hz, OCH2CH3), 4.44 (s, (0.2)1H (E), =CH), 4.64 (s, (0.8)1H (Z), =CH), 6.74–7.16 (m, 4H, Haromatic), 7.94 (s, (0.2)1H (E), OH), 9.64 (s, (0.2)1H (E), NH), 9.86 (s, (0.8)1H (Z), NH), 10.18 (s, (0.8)1H (Z), OH). Anal. Calcd. (%) for C12H15NO3: C, 65.14; H, 6.83; N, 6.33, found: C, 65.53; H, 7.03; N, 6.44.
Ethyl-3-[(2-hydroxy5-methylphenyl)amino]but-2-enoate (8b). Yield 11.90 g (51%); m.p.: 103–104 °C; IR (KBr), ν, cm−1: 3286 (OH), 3142 (NH), 1622 (CO); 1H-NMR (300 MHz, DMSO-d6): δ = 1.08 (t, (0.15)3H (E), J = 7.1 Hz, OCH2CH3), 1.18 (t, (0.85)3H (Z), J = 7.1 Hz, OCH2CH3), 1.97 (s, (0.85)3H (Z), =CCH3), 2.00 (s, (0.15)3H (E), =CCH3), 2.19 (s, (0.85)3H (Z), 4-CH3), 2.30 (s, (0.15)3H (E), 4-CH3), 3.88 (q, (0.15)2H (E), J = 7.1 Hz, OCH2CH3), 4.03 (q, (0.85)3H (Z), J = 7.1 Hz, OCH2CH3), 4.41 (s, (0.15)1H (E), =CH), 4.62 (s, (0.85)1H (Z), =CH), 6.71–6.96 (m, 3H, Haromatic), 7.36, 7.90, 8.88, 9.19, 9.53, 9.59, 9.81, 10.13, 10.64 (9s, 2H, OH+NH). Anal. Calcd. (%) for C13H17NO3: C, 66.36; H, 7.28; N, 5.95, found: C, 66.07; H, 7.30; N, 6.37.
Ethyl-3-[(5-chloro-2-hydroxyphenyl)amino]but-2-enoate (8c). Yield 13.3 g (52%); m.p.: 134–136 °C; IR (KBr), ν, cm−1: 3250 (OH), 3159 (NH), 1620 (CO); 1H-NMR (300MHz, DMSO-d6): δ = 1.09 (t, (0.15)3H (E), J = 7.1 Hz, OCH2CH3), 1.18 (t, (0.85)3H (Z), J = 7.1 Hz, OCH2CH3), 2.05 (d, (0.85)3H (Z), =CCH3), 2.07 (d, (0.15)3H (E), J = 0.6 Hz, =CCH3), 3.90 (q, (0.15)3H (E), J = 7.1 Hz, OCH2CH3), 4.04 (q, (0.85)3H (Z), J = 7.1 Hz, OCH2CH3), 4.47 (q, (0.15)1H (E), J = 0.6 Hz, =CH), 4.84 (q, (0.85)1H (Z), J = 0.6 Hz, =CH), 6.81–7.00 (m, 3H, HAr), 8.78, 9.24, 9.55, 9.82, 10.10, 10.20, 10.23, 10.27, 10.92 (9s, 2H, OH+NH). Anal. Calcd. (%) for C12H14ClNO3: C, 56.37; H, 5.52; N, 5.48, found: C, 56.00; H, 5.80; N, 5.73.
3.2.4. General Procedure for Synthesis of 3-(2-Substituted-6,11-dioxo-6,11-dihydro-12H-benzo[b]phenoxazin-12-yl)butanoic Acids 9a–c
A mixture of the corresponding compound 2a–c (0.05 mol), 2,3-dichloro-1,4-naphthoquinone (11.35 g, 0.05 mol), sodium carbonate (2.01 g, 0.019 mol), and dimethyl sulfoxide (20 mL) was stirred at room temperature for 14 h. The reaction was quenched by diluting the reaction mixture with water, causing the product to precipitate. The crude product was isolated by dissolving it in aqueous sodium carbonate solution and acidifying filtrate with acetic acid up to pH 6.
3-(6,11-Dioxo-6,11-dihydro-12H-benzo[b]phenoxazin-12-yl)butanoic acid (9a). Yield 0.95 g (55%); its melting point and 1H- and 13C-NMR spectra were identical to those described in [31].
3-(2-Methyl-6,11-dioxo-6,11-dihydro-12H-benzo[b]phenoxazin-12-yl)butanoic acid (9b). Yield 4.73 g (93%); m.p.: 169–170 °C; IR (KBr), ν, cm−1: 3312 (OH), 1724, 1673, 1625 (CO); 1H-NMR (300 MHz, DMSO-d6): δ = 1.49 (d, 3H, J = 6.9 Hz, CHCH3), 2.22 (s, 3H, CH3), 2.59–2.67 (dd, 1H, J = 7.5, 16.3 Hz, CH2), 2.81–2.89 (dd, 1H, J = 6.8, 16.3 Hz, CH2), 4.08–4.19 (m, 1H, CH), 6.75–7.95 (m, 7H, Haromatic), 12.25 (s, 1H, OH); 13C-NMR (75 MHz, DMSO-d6): δ = 20.38 (CHCH3), 20.67 (CH3), 56.91 (CH2), 115.82 (CH), 120.63, 125.09, 125.14, 125.93, 129.95, 130.72, 131.33, 133.65, 133.92, 134.33, 136.22, 136.34, 145.45, 145.83 (2C+Caromatic), 172.57, 175.81, 180.91 (3CO). Anal. Calcd. (%) for C21H17NO5: C, 69.41; H, 4.72; N, 3.85, found: C, 69.43; H, 4.80; N, 3.79.
3-(2-Chloro-6,11-dioxo-6,11-dihydro-12H-benzo[b]phenoxazin-12-yl)butanoic acid (9c). Yield 3.12 g (64%); m.p.: 214–215 °C; IR (KBr), ν, cm−1: 3195 (OH), 1723, 1669, 1642 (CO); 1H-NMR (300 MHz, DMSO-d6): δ = 1.46 (d, 3H, J = 6.9 Hz, CH3), 2.53–2.61 (dd, 1H, J = 7.7, 16.1 Hz, CH2), 2.75–2.83 (dd, 1H, J = 6.7, 16.1 Hz, CH2), 4.08–4.19 (m, 1H, CH), 6.87–7.93 (m, 7H, Haromatic), 12.48 (s, 1H, OH); 13C-NMR (75 MHz, DMSO-d6): δ = 20.69 (CH3), 57.59 (CH2), 61.70 (CH), 99.44, 117.36, 119.37, 124.38, 125.17, 126.01, 128.56, 129.85, 130.70, 133.71, 133.79, 134.02, 135.50, 145.32 (2C+Caromatic), 146.99, 175.69, 180.67 (3CO). Anal. Calcd. (%) for C20H14ClNO5: C, 62.59; H, 3.68; N, 3.65, found: C, 62.47; H, 3.82; N, 3.63.
3.2.5. General Procedure for Synthesis of Ethyl 3-(2-substituted-6,11-dioxo-6,11-dihydro-12H-benzo[b]phenoxazin-12yl)butanoates 10a–c
A mixture of corresponding butanoic acid 9a–c (0.033 mol), iodoethane (1.6 mL, 0.02 mol), potassium carbonate (1.52 g, 0.011 mol), and acetone (10 mL) was heated under reflux for 3.5 h. The liquid fraction was removed under reduced pressure. Water (20 mL) was poured over the residue; the precipitate was filtered off and washed with water.
Ethyl 3-(6,11-dioxo-6,11-dihydro-12H-benzo[b]phenoxazin-12-yl)butanoate (10a). Yield 0.8 g (65%); m.p.: 163–165 °C; IR (KBr), ν, cm−1: 1726, 1657, 1630 (CO); 1H-NMR (300 MHz, CDCl3): δ = 1.19 (t, 3H, J = 7.1 Hz, CH2CH3), 1.57 (d, 3H, J = 6.9 Hz, CH3), 2.63–2.71 (dd, 1H, J = 7.4, 15.9 Hz, CHCH2), 3.00–3.06 (dd, 1H, J = 7.1, 15.9 Hz, CHCH2), 4.10–4.13 (m, 2H, CH2), 4.24–4.35 (m, 1H, CH), 6.92–8.07 (m, 8H, Haromatic); 13C-NMR (75 MHz, CDCl3): δ = 14.05 (CH2CH3), 21.24 (CH3), 40.43 (CHCH2), 57.47 (CH2), 60.80 (CH), 116.87, 120.16, 124.94, 125.28, 125.88, 126.40, 130.38, 131.04, 131.88, 133.47, 133.70, 136.53, 146.54, 149.02 (2C+Caromatic), 171.18, 176.65, 181.21 (3CO). Anal. Calcd. (%) for C22H19NO5: C, 70.02; H, 5.07; N, 3.71, found: C, 68.05; H, 4.85; N, 3.62.
Ethyl 3-(2-methyl-6,11-dioxo-6,11-dihydro-12H-benzo[b]phenoxazin-12-yl)butanoate (10b). Yield 0.77 g (73%); m.p.: 88–90 °C; IR (KBr), ν, cm−1: 1721, 1664, 1655 (CO); 1H-NMR (300 MHz, DMSO-d6): δ = 1.06 (t, 3H, J = 7.1 Hz, CH2CH3), 1.50 (d, 3H, J = 6.8 Hz, CHCH3), 2.22 (s, 3H, CH3), 2.69–2.77 (dd, 1H, J = 6.8, 16.0 Hz, CHCH2), 2.85–2.93 (dd, 1H, J = 7.5, 16.0 Hz, CHCH2), 3.96–4.01 (m, 2H, CH2), 4.03–4.12 (m, 1H, CH), 6.74–7.93 (m, 7H, Haromatic); 13C-NMR (75 MHz, DMSO-d6): δ = 13.76 (CH2CH3), 20.36 (CHCH3), 20.98 (CH3), 30.59 (CH2), 60.04 (CH), 83.83, 98.55, 98.94, 99.41, 103.27, 115.81, 120.87, 120.71, 125.27, 131.11, 134.42, 140.96, 146.26, 170.74 (2C+Caromatic), 171.09, 179.88, 198.75 (3CO). Anal. Calcd. (%) for C23H21NO5: C, 70.58; H, 5.41; N, 3.58, found: C, 70.25; H, 5.53; N, 3.41.
Ethyl 3-(2-chloro-6,11-dioxo-6,11-dihydro-12H-benzo[b]phenoxazin-12-yl)butanoate (10c). Yield 0.66 g (62%); m.p.: 86–88 °C; IR (KBr), ν, cm−1: 1731, 1666, 1625 (CO); 1H-NMR (300 MHz, DMSO-d6): δ = 1.07 (t, 3H, J = 7.1 Hz, CH2CH3), 1.49 (d, 3H, J = 6.9 Hz, CH3), 2.72–2.80 (dd, 1H, J = 6.9, 16.2 Hz, CHCH2), 2.85–2.92 (dd, 1H, J = 7.7, 16.2 Hz, CHCH2), 3.98–4.02 (m, 2H, CH2), 4.12–4.19 (m, 1H, CH), 6.89–7.94 (m, 7H, Haromatic); 13C-NMR (75 MHz, DMSO-d6): δ = 13.75 (CH2CH3), 20.68 (CH3), 30.08 (CHCH2), 57.27 (CH2), 60.11 (CH), 117.40, 119.57, 124.62, 125.16, 125.19, 126.14, 128.69, 133.31, 133.86, 134.06, 135.18, 144.27, 145.57, 147.03 (2C+Caromatic), 170.64, 175.75, 180.59 (3CO). Anal. Calcd. (%) for C22H18ClNO5: C, 64.16; H, 4.41; N, 3.40, found: C, 64.59; H, 3.96; N, 3.51.
3.2.6. General Procedure for the Synthesis of 11a–c, 12d and 13
A mixture of 8a–c, 5d or 6 (0.33 mmol), 2,3-dichloro-1,4-naphthoquinone (0.075 g, 0.33 mmol), sodium carbonate (0.20 g, 1.9 mmol), and DMSO (20 mL) was stirred at room temperature for 17 h. The reaction was quenched by diluting the reaction mixture with water, causing the products to precipitate. The precipitate was filtered off and washed with water. Compounds 11a–c were recrystallized from acetone. Compounds 12d and 13 were purified by column chromatography (acetone–hexane, 1:1).
Ethyl-3-(6,11-dioxo-6,11-dihydro-12H-benzo[b]phenoxazin-12-yl)but-2-enoate (11a) was synthesized from 8a to afford 0.70 g (75%) of 11a; m.p.: 193–194 °C; IR (KBr), ν, cm−1: 1712, 1671, 1639 (CO); 1H-NMR (300 MHz, DMSO-d6): δ = 1.19 (t, 3H, J = 7.1 Hz, OCH2CH3), 2.42 (s, 3H, =CCH3), 4.10 (q, 2H, J = 7.1 Hz, OCH2CH3), 5.88 (s, 1H, =CH), 6.92–7.02 (m, 4H, Haromatic); 7.77–7.97 (m, 4H, Haromatic); 13C-NMR (75 MHz, DMSO-d6): δ = 14.12 (OCH2CH3), 18.69 (=CCH3), 59.62 (OCH2CH3), 112.72 (=CH), 116.83, 118.77, 125.40, 125.29, 125.88, 126.02, 130.04, 130.24, 130.59, 130.85, 131.08, 134.22, 144.48, 145.88 (2C+Caromatic), 159.83 (=CCH3), 165.89, 175.90, 178.81 (3CO). Anal. Calcd. (%) for C22H17NO5: C, 70.39; H, 4.56; N, 3.73, found: C, 70.13; H, 4.79; N, 3.70.
Ethyl-3-(2-methyl-6,11-dioxo-6,11-dihydro-12H-benzo[b]phenoxazin-12-yl)but-2-enoate (11b) was synthesized from 8b to afford 2.32 g (66%) of 11b; m.p.: 207–209 °C; IR (KBr), ν, cm−1: 1710, 1670, 1645 (CO); 1H-NMR (300 MHz, DMSO-d6): δ = 1.20 (t, 3H, J = 7.1 Hz, OCH2CH3), 2.19 (s, 3H, CH3), 2.43 (s, 3H, =CCH3), 4.10 (q, 2H, J = 7.1 Hz, OCH2CH3), 5.86 (s, 1H, =CH), 6.75–6.88, 7.80–7.97 (m, 7H, m, Haromatic). Anal. Calcd. (%) for C23H19NO5: C, 70.94; H, 4.92; N, 3.60, found: C, 71.03; H, 5.02; N, 3.75.
Ethyl-3-(2-chloro-6,11-dioxo-6,11-dihydro-12H-benzo[b]phenoxazin-12-yl)but-2-enoate (11c) was synthesized from 8c to afford 3.08 g (86%) of 11c; m.p.: 208–209 °C; IR (KBr), ν, cm−1: 1712, 1671, 1646 (CO); 1H-NMR (300 MHz, DMSO-d6): δ = 1.05 (t, (0.8)3H (Z), J = 7.1 Hz, OCH2CH3), 1.21 (t, (0.2)3H (E), J = 7.1 Hz, OCH2CH3), 2.22 (d, (0.8)3H (Z), J = 1.0 Hz, =CCH3), 2.41 (d, (0.2)3H (E), J = 1.0 Hz, =CCH3), 4.00 (q, (0.8)2H (Z), J = 7.1 Hz, OCH2CH3), 4.13 (q, (0.2)2H (E), J = 7.1 Hz, OCH2CH3), 6.01 (q, (0.2)1H (E), J = 1.0 Hz, =CH), 6.24 (q, (0.8)1H (Z), J = 1.0 Hz, =CH), 6.41–6.98, 7.72–7.94 (m, 7H, Haromatic). Anal. Calcd. (%) for C22H16ClNO5: C, 64.48; H, 3.94; N, 3.42, found: C, 64.97; H, 4.19; N, 3.49.
N'-Benzylidene-3-(6,11-dioxo-6,11-dihydro-12H-benzo[b]phenoxazin-12-yl)butanehydrazide (12d) was synthesized from 5d to afford 0.13 g (84%) of 12d; m.p.: 154 °C (decomp.); Rf = 0.74 (acetone–hexane, 1:1); IR (KBr), ν, cm−1: 3230 (CONH), 1693, 1668, 1635 (CO); 1H-NMR (400 MHz, DMSO-d6): δ = 1.60 (d, (0.6)3H (E), J = 6.9 Hz, CH3), 1.69 (d, (2.4)3H (Z), J = 7.0 Hz, CH3), 2.91 (d, 1H, J = 15.7 Hz, CH2), 3.57 (d, 1H, J = 15.7 Hz, CH2), 4.35–4.56 (m, 1H, CHCH2), 6.74–8.21 (m, 13H, Haromatic), 8.17 (s, 1H, CH), 11.29 (s, (0.7)1H (Z), NHN), 11.33 (s, (0.3)1H (E), NHN); 13C-NMR (100 MHz, DMSO-d6): δ = 20.63 (CH3 (E)), 21.39 (CH3 (E)), 37.28 (CH2), 57.42 (CH), 116.20, 120.36, 120.65, 124.95, 125.17, 126.04, 127.01, 128.54, 128.60, 129.49, 129.72, 130.36, 131.13, 132.56, 133.55, 133.82, 134.47, 136.77, 145.88 (2C+ Caromatic), 142.81 (CN (Z)), 148.66 (CN (E)), 172.07, 175.98, 181.21 (3CO); HRMS calculated for C27H21N3O4 [M+H]+ 452.1532 found 452.1601; Anal. Calcd. (%) for: C, 71.83; H, 4.69; N, 9.31, found: C, 71.70; H, 4.28; N, 9.51.
N-(2,5-Dimethyl-1H-pyrrol-1-yl)-3-(6,11-dioxo-6,11-dihydro-12H-benzo[b]phenoxazin-12-yl)butanamide (13) was synthesized from 6 to afford 0.3 g (43%) of 13; m.p.: 185 °C (decomp.); Rf = 0.69 (acetone–hexane, 1:1); IR (KBr), ν, cm−1: 3250 (CONH), 1704, 1666, 1644 (CO); 1H-NMR (400 MHz, Acetone-d6): δ = 1.65 (d, 3H, J = 6.9 Hz, CH3), 1.99 (s, 6H, 2CH3), 3.18 (dd, 2H, J = 7.3, 15.7 Hz, CH2), 4.44–4.84 (m, 1H, CHCH2), 5.58 (s, 2H, 2CH), 6.81–7.13, 7.79–8.05 (m, 8H, Haromatic), 9.91 (d, 1H, J = 16.4 Hz, NHN); 13C-NMR (100 MHz, Acetone-d6): δ = 11.31 (2 CH3), 21.28 (CH3), 39.85 (CH2), 57.99 (CH), 103.97 (2CH), 117.37, 121.44, 125.37, 125.98, 126.20, 127.01, 131.49, 131.83, 132.45, 133.50, 134.46, 134.77, 136.83, 137.12 (2C+2C+Caromatic), 170.28, 174.03, 181.92 (3CO); HRMS calculated for C26H23N3O4 [M+H]+ 442.1689 found 442.1761; Anal. Calcd. (%) for: C, 70.74; H, 5.25; N, 9.52, found: C, 70.60; H, 5.38; N, 9.41.
3.2.7. General Procedure for Synthesis of N'-Substituted-3-(6,11-dioxo-6,11-dihydro-12H-benzo[b]phenoxazin-12-yl)butanehydrazides 12e–g
A mixture of the compound 5e–g (0.35 mmol), 2,3-dichloro-1,4-naphthoquinone (0.08 g, 0.35 mmol), sodium acetate (0.14 g, 1.75 mmol), and acetone (20 mL) was heated under reflux for 14 h. The liquid fraction was removed under reduced pressure and the target product was isolated by column chromatography (acetone–hexane, 1:1).
3-(6,11-Dioxo-6,11-dihydro-12H-benzo[b]phenoxazin-12-yl)-N'-(4-methoxybenzylidene)butanehydrazide (12e). Yield 0.10 g (35.5%); m.p.: 146–147 °C; Rf = 0.60 (acetone–hexane, 1:1); IR (KBr), ν, cm−1: 2924 (CONH), 2852 (OCH3), 1667, 1625, 1604 (CO); 1H-NMR (400 MHz, DMSO-d6): δ = 1.53 (d, (0.6)3H (E), J = 6.9 Hz, CH3), 1.62 (d, (2.4)3H (Z), J = 7.0 Hz, CH3), 2.76–2.92 (m, 1H, CH2), 3.43 (dd, 1H, J = 7.9, 15.5 Hz, CH2), 3.77 (s, 3H, OCH3), 4.22–4.38 (m, 1H, CHCH2), 7.83–7.97 (m, 13H, Haromatic+CH), 11.25 (s, (0.7)1H (Z), NHN), 11.27 (s, (0.3)1H (E), NHN); 13C-NMR (100 MHz, DMSO-d6): δ = 20.99 (CH3 (E)), 21.68 (CH3 (Z)), 40.19 (CH2), 55.28 (CH), 57.22 (OCH3), 114.12, 114.26, 116.24, 119.91, 126.06, 126.61, 128.15, 128.62, 130.00, 130.78, 132.17, 134.05, 136.48, 138.80, 145.14, 146.11, 160.48 (2C+ Caromatic), 142.73 (CN (Z)), 148.14 (CN (E)), 171.73, 176.02, 181.12 (3CO); HRMS calculated for C28H23N3O5 [M+H]+ 482.1634 found 482.1708; Anal. Calcd. (%) for: C, 69.84; H, 4.81; N, 8.73, found: C, 69.71; H, 4.58; N, 8.81.
3-(6,11-Dioxo-6,11-dihydro-12H-benzo[b]phenoxazin-12-yl)-N'-(furan-2-ylmethylene)butanehydrazide (12f). Yield 0.11 g (73%); m.p.: 69–70 °C; Rf = 0.58 (acetone–hexane, 1:1); IR (KBr), ν, cm−1: 2924 (CONH), 1722, 1673, 1629 (CO); 1H-NMR (400 MHz, DMSO-d6): δ = 1.53 (d, (1)3H (E), J = 6.8 Hz, CH3), 1.61 (d, (2)3H (Z), J = 6.9 Hz, CH3), 2.64 (dd, 1H, J = 7.6, 15.6 CH2), 2.82 (dd, 1H, J = 6.8, 16.3 Hz, CH2), 4.27 (dd, (0.5)1H, J = 7.1, 14.0 Hz, CHCH2), 4.35 (dd, (0.5)1H, J = 7.0, 14.1 Hz, CHCH2), 6.54–7.06, 7.68–8.09 (9H, m, Haromatic+3CH), 11.28 (s, (0.7)1H (Z), NHN), 11.33 (s, (0.3)1H (E), NHN); HRMS calculated for C25H19N3O5 [M+H]+ 442.1325 found 442.1707; Anal. Calcd. (%) for: C, 68.02; H, 4.34; N, 9.52, found: C, 68.50; H, 4.48; N, 9.62.
3-(6,11-Dioxo-6,11-dihydro-12H-benzo[b]phenoxazin-12-yl)-N'-(thiophen-2-ylmethylene)butanehydrazide (12g). Yield 0.06 g (40%); m.p.: 77–78 °C; Rf = 0.61 (acetone–hexane, 1:1); IR (KBr), ν, cm−1: 3069 (CONH), 1663, 1664, 1625 (CO); 1H-NMR (400 MHz, DMSO-d6): δ = 1.52 (d, (0.6)3H (E), J = 6.9 Hz, CH3), 1.60 (d, (2.4)3H (Z), J = 7.0 Hz, CH3), 2.82 (dd, 1H, J = 8.2, 15.1 CH2), 2.82 (dd, 1H, J = 7.3, 15.7 Hz, CH2), 4.24–4.33 (m, 1H, CHCH2), 6.83–8.09 (m, 11H, Haromatic+3CH), 8.28 (s, 1H, CH), 11.35 (s, (0.7)1H (Z), NHN), 11.36 (s, (0.3)1H (E), NHN); 13C-NMR (100 MHz, DMSO-d6): δ = 22.04 (CH3 (E)), 24.37 (CH3 (Z)), 30.06 (CH2), 58.81 (CH), 111.33, 116.36, 120.75, 124.43, 128.21, 128.24, 130.47, 131.29, 134.49, 136.62, 137.90, 139.56, 141.22, 148.89, (2C+3C+Caromatic), 125.65 (CN (E)), 126.53 (CN (Z)), 163.01 (CCS), 172.08, 176.07, 181.73 (3CO); HRMS calculated for C25H19N3O4S [M+H]+ 458.1634 found 458.1166; Anal. Calcd. (%) for: C, 65.63; H, 4.19; N, 9.18, found: C, 65.74; H, 4.28; N, 9.41.
3.3. Biology
3.3.1. Diffusion Technique
Antimicrobial activity of compounds has been evaluated by diffusion in peptone on solid nutrient medium (nutrient agar—for bacteria, wort agar—for fungi). The microbial loading was 109 cells/mL. The duration of incubation for bacteria was 24 h at 35 °C and for fungi it was 48–72 h at 28–30 °C. The results were recorded by measuring the zones surrounding the disk. Control disk contained vancomycin (for bacteria) or nystatin (for fungi) as a standard substance.
3.3.2. Serial Dilution Technique
Compounds were tested according to standard microbroth dilution for determination of minimum inhibitory concentration (MIC). The certain volume of solution of compound in DMSO was brought in nutrient medium (nutrient meat-extract—for bacteria, wort—for fungi). The tested compounds were dissolved in DMSO and the concentration range was 500–1.9 μg/mL. The inoculum of bacteria and fungi was inoculated in nutrient medium. The duration of incubation of bacteria was 24–72 h at 37 °C for bacteria and 30 °C for fungi. The results were estimated according to the presence or absence of growth of microorganisms.
4. Conclusions
A series of compounds containing hydrazide, pyrrole and chloroquinoxaline moieties were synthesized from 3-[(2-hydroxyphenyl)amino]butanoic and 3-[(2-hydroxy-5-methyl(chloro)phenyl)amino]butanoic acids. The subsequent reactions of the obtained compounds with 2,3-dichloro-1,4-naphthoquinone provided respective benzo[b]phenoxazine derivatives. The screening of antimicrobial and antifungal activity of the synthesized compounds has revealed that benzo[b]phenoxazine derivatives 9a–c, 10c, and 12f are active against Gram-positive bacteria S. aureus and M. luteum at lower concentrations. Among the most active antifungal compounds, carboxylic acids 9a,c can be mentioned. Thiophene derivative 12g, which MIC value against A. niger was as low as 3.9 µg/mL, showed better inhibiting action than antifungal agent nystatin.
Acknowledgments
Postdoctoral fellowship is being funded by European Union Structural Funds project “Postdoctoral Fellowship Implementation in Lithuania” within the framework of the Measure for Enhancing Mobility of Scholars and Other Researchers and the Promotion of Student Research (VP1-3.1-ŠMM-01) of the Program of Human Resources Development Action Plan.
Author Contributions
K.K., V.N. designed research, K.M., R.B., O.K.-P. performed research, K.M., M.S., O.K.-P. analyzed the data, K.M., K.K., M.S., V.N. wrote the paper. All authors read and approved the final manuscript.
Conflicts of Interest
The authors declare no conflict of interest.
References
- Rice, L.B. Unmet medical needs in antibacterial therapy. Biochem. Pharmacol. 2006, 71, 991–995. [Google Scholar] [CrossRef] [PubMed]
- Patočka, J. β-Amino acids and their natural biologically active derivatives. 5. Derivatives of unusual alicyclic and heterocyclic β-amino acids. Mil. Med. Sci. Lett. 2011, 80, 2–11. [Google Scholar]
- Chemin, L.S.; Buisine, E.; Yardley, V.; Kohler, S.; Debreu, M.A.; Landry, V.; Sergheraert, C.; Croft, S.L.; Siegel, R.L.K.; Charvet, E.D. 2- and 3-Substituted 1,4-naphthoquinone derivatives as subversive substrates of trypanothione reductase and lipoamide dehydrogenase from Trypanosoma cruzi: Synthesis and correlation between redox cycling activities and in vitro cytotoxicity. J. Med. Chem. 2001, 44, 548–565. [Google Scholar] [CrossRef] [PubMed]
- Uchimiya, M.; Stone, A.T. Reversible redox chemistry of quinones: Impact on biogeochemical cycles. Chemosphere 2009, 77, 451–458. [Google Scholar] [CrossRef] [PubMed]
- Pérez-Sacau, E.; Díaz-Peñate, R.G.; Estévez-Braun, A.; Ravelo, A.G.; García-Castellano, J.M.; Pardo, L.; Campillo, M. Synthesis and pharmacophore modeling of naphthoquinone derivatives with cytotoxic activity in human promyelocytic leukemia HL-60 cell line. J. Med. Chem. 2007, 50, 696–706. [Google Scholar] [CrossRef] [PubMed]
- Tandon, V.K.; Chhor, R.B.; Singh, R.V.; Rai, S.; Yadav, D.B. Design, synthesis and evaluation of novel 1,4-naphthoquinone derivatives as antifungal and anticancer agents. Bioorg. Med. Chem. Lett. 2004, 14, 1079–1083. [Google Scholar] [CrossRef] [PubMed]
- Sasaki, K.; Abe, H.; Yoshizaki, F. In vitro antifungal activity of naphthoquinone derivatives. Biol. Pharm. Bull. 2002, 25, 669–670. [Google Scholar] [CrossRef] [PubMed]
- Tandon, V.K.; Maurya, H.K.; Tripathi, A.; ShivaKesva, G.B.; Shukla, P.K.; Srivastava, A.; Panda, D. 2,3-Disubstituted-1,4-naphthoquinones, 12H-benzo[b]phenothiazine-6,11-diones and related compounds: Synthesis and biological evaluation as potential antiproliferative and antifungal agents. Eur. J. Med. Chem. 2009, 44, 1086–1092. [Google Scholar] [CrossRef] [PubMed]
- Voskienė, A.; Sapijanskaitė, B.; Mickevičius, V.; Kantminienė, K.; Stasevych, M.; Komarovska-Porokhnyavets, O.; Musyanovych, R.; Novikov, V. Synthesis, chemical properties and antimicrobial activity of 2- and 2,3-substituted[(tetrahydro-2,4-dioxopyrimidin-1(2H)-yl)-phenoxy]naphthalene-1,4-diones. Monatsh. Chem. 2011, 142, 529–537. [Google Scholar] [CrossRef]
- Voskienė, A.; Sapijanskaitė, B.; Mickevičius, V.; Jonuškienė, I.; Stasevych, M.; Komarovska-Porokhnyavets, O.; Musyanovych, R.; Novikov, V. Synthesis and microbial evaluation of new 2- and 2,3-diphenoxysubstituted naphthalene-1,4-diones with 5-oxypyrrolidine moieties. Molecules 2012, 17, 14434–14448. [Google Scholar] [CrossRef] [PubMed]
- Anusevičius, K.; Jonuškienė, I.; Mickevičius, V. Synthesis and antimicrobial activity of N-(4-chlorophenyl)-β-alanine derivatives with an azole moiety. Monatsh. Chem. 2013, 144, 1883–1891. [Google Scholar] [CrossRef]
- Ibis, C.; Tuyun, A.F.; Bahar, H.; Ayla, S.S.; Stasevych, M.V.; Musyanovych, R.Y.; Komarovska-Porokhnyavets, O.; Novikov, V. Synthesis of novel 1,4-naphthoquinone derivatives: Antibacterial and antifungal agents. Med. Chem. Res. 2013, 22, 2879–2888. [Google Scholar] [CrossRef]
- Jordão, A.K.; Novais, J.; Leal, B.; Escobar, A.C.; dos Santos, H.M., Jr.; Castro, H.C.; Ferreira, V.F. Synthesis using microwave irradiation and antibacterial evaluation of new N,O-acetals and N,S-acetals derived from 2-amino-1,4-naphthoquinones. Eur. J. Med. Chem. 2013, 63, 196–201. [Google Scholar] [CrossRef] [PubMed]
- Tandon, V.K.; Yadav, D.B.; Singh, R.V.; Vaish, M.; Chaturvedi, A.K.; Shukla, P.K. Synthesis and biological evaluation of novel 1,4-naphthoquinone derivatives as antibacterial and antiviral agents. Bioorg. Med. Chem. Lett. 2005, 15, 3463–3466. [Google Scholar] [CrossRef] [PubMed]
- Bhasin, D.; Chettiar, S.N.; Etter, J.P.; Mok, M.; Li, P.-K. Anticancer activity and SAR studies of substituted 1,4-naphthoquinones. Bioorg. Med. Chem. 2013, 21, 4662–4669. [Google Scholar] [CrossRef] [PubMed]
- Silva, T.M.S.; Camara, C.S.; Barbosa, T.P.; Soares, A.Z.; Cunha, L.C.; Pinto, A.C.; Vargas, M.D. Molluscicidal activity of synthetic lapachol amino and hydrogenated derivatives. Bioorg. Med. Chem. 2009, 13, 193–196. [Google Scholar] [CrossRef]
- Lee, K.; Cho, S.H.; Lee, J.H.; Goo, J.; Lee, S.Y.; Boovanahalli, S.K.; Yeo, S.K.; Lee, S.J.; Kim, Y.K.; Kim, D.H.; et al. Synthesis of a novel series of 2-alkylthio substituted naphthoquinones as potent acyl-CoA: Cholesterol acyltransferase (ACAT) inhibitors. Eur. J. Med. Chem. 2013, 62, 515–525. [Google Scholar] [CrossRef] [PubMed]
- Ali, M.M.; Ismail, M.M.F.; El-Gaby, M.S.A.; Zahran, M.A.; Ammar, Y.A. Synthesis and antimicrobial activities of some novel quinoxalinone derivatives. Molecules 2000, 5, 864–873. [Google Scholar] [CrossRef]
- Badran, M.M.; Moneer, A.A.; Refaat, H.M.; El-Malah, A.A. Synthesis and antimicrobial activity of novel quinoxaline derivatives. J. Chin. Chem. Soc. 2007, 2, 469–478. [Google Scholar]
- González, M.; Cerecetto, H. Quinoxaline derivatives: A patent review (2006-present). Exp. Opin. Ther. Pat. 2012, 22, 1289–1302. [Google Scholar] [CrossRef]
- Kumar, A.; Verma, A.; Chawla, G. Synthesis, antiinflammatory and antimicrobial activities of new hydrazone and quinoxaline derivatives. Int. J. ChemTech Res. 2009, 1, 1177–1181. [Google Scholar]
- Patidar, A.K.; Jeyakandan, M.; Mobiya, A.K.; Selvam, G. Exploring potential of quinoxaline moiety. Int. J. PharmTech Res. 2011, 3, 386–392. [Google Scholar]
- Wu, P.; Su, Y.; Liu, X.; Yan, J.; Ye, Y.; Zhang, L.; Xu, J.; Weng, S.; Li, Y.; Liu, T.; et al. Discovery of novel morpholino-quinoxalines as PI3Kα inhibitors by pharmacophore-based screening. Med. Chem. Commun. 2012, 3, 659–662. [Google Scholar] [CrossRef]
- Noolvi, M.N.; Patel, H.M.; Bhardwaj, V.; Chauhan, A. Synthesis and in vitro antitumor activity of substituted quinazoline and quinoxaline derivatives: Search for anticancer agent. Eur. J. Med. Chem. 2011, 46, 2327–2346. [Google Scholar] [CrossRef] [PubMed]
- Mielcke, T.R.; Mascarello, A.; Fillipi-Chiela, E.; Zanin, R.F.; Lenz, G.; Leal, P.C.; Chiaradia, L.D.; Yunes, R.A.; Nunes, R.J.; Battastini, A.M.; et al. Activity of novel quinoxaline-derived chalcones on in vitro glioma cell proliferation. Eur. J. Med. Chem. 2012, 48, 255–264. [Google Scholar] [CrossRef] [PubMed]
- Fraga, C.A.M.; Barreiro, E. Medicinal chemistry of N-acylhydrazones: New lead-compounds of analgesic, antiinflammatory and antithrombotic drugs. J. Curr. Med. Chem. 2006, 13, 167–198. [Google Scholar] [CrossRef]
- Rollas, S.; Küçükgüzel, S.G. Biological activities of hydrazone derivatives. Molecules 2007, 12, 1910–1939. [Google Scholar] [CrossRef] [PubMed]
- Zulkepli, N.A.; Rou, K.V.K.; Sulaiman, W.N.H.W.; Salhin, A.; Saad, B.; Seeni, A. A synthetic hydrazone derivative acts as an apoptotic inducer with chemopreventive activity on a tongue cancer cell line. Asian Pac. J. Cancer Prev. 2011, 12, 259–263. [Google Scholar] [PubMed]
- Wardakhan, W.W.; El-Sayed, N.N.R.; Mohareb, M. Synthesis and anti-tumor evaluation of novel hydrazide and hydrazide-hydrazone derivatives. Acta Pharm. 2013, 63, 45–57. [Google Scholar] [CrossRef] [PubMed]
- Mickevičius, V.; Voskienė, A.; Jonuškienė, I.; Kolosej, R.; Šiugždaitė, J.; Venskutonis, P.R.; Kazernavičiūtė, R.; Brazienė, Z.; Jakienė, E. Synthesis and biological activity of 3-[phenyl(1,3-thiazol-2-yl)-amino]propanoic acids and their derivatives. Molecules 2013, 18, 15000–15018. [Google Scholar] [CrossRef] [PubMed]
- Tumosienė, I.; Jakienė, E.; Kantminienė, K.; Rutkauskas, K.; Beresnevičius, Z.J. Synthesis and plant growth regulating activity of halo derivatives of 3,3'-(arylimino)dipropanoic acids. CHEMIJA 2010, 21, 139–144. [Google Scholar]
- Brokaitė, K.; Mickevičius, V.; Mikulskienė, G. Synthesis and structural investigation of some 1,4-disubstituted 2-pyrrolidinones. ARKIVOC 2006, 2, 61–67. [Google Scholar]
- Anusevicius, K.; Mickevicius, V.; Stasevych, M.; Zvarych, V.; Komarovska-Porokhnyavets, O.; Novikov, V.; Tarasova, O.; Gloriozova, T.; Poroikov, V. Synthesis and chemoinformatics analysis of N-aryl-β-alanine derivatives. Res. Chem. Intermed. 2014. [CrossRef]
- Stankevičienė, R.; Jonuškienė, I.; Baranauskaitė, R.; Mickevičius, V. The influence of N-(2-hydroxyphenyl)-β-alanines and products of their interaction with 2,3-dichloro-1,4-naphthoquinone on barley (Hordeum vulgare L.) growth and flavonoids formation. Chem. Technol. 2010, 56, 19–24. [Google Scholar]
- CLSI. Performance Standards for Antimicrobial Disk Susceptibility Tests, Approved Standard—12th ed.; CLSI Document M02-A12; Clinical and Laboratory Standards Institute: Wayne, PA, USA, 2015. [Google Scholar]
- CLSI. Reference Method for Broth Dilution Antifungal Susceptibility Testing of Filamentous Fungi, Approved Standard—2nd ed.; CLSI Document M38-A2; Clinical and Laboratory Standards Institute: Wayne, PA, USA, 2008. [Google Scholar]
- Mickevičius, V.; Baltrušis, R.; Beresnevičius, Z. Synthesis and cyclization of N-(2-hydroxyphenyl)-β-alanines and N-(2-benzylhydroxyphenyl)-β-alanines. Khim. Geterotsikl. Soedin. 1991, 4, 527–531. [Google Scholar]
- Sample Availability: Samples of the compounds are available from the authors.
© 2015 by the authors. Licensee MDPI, Basel, Switzerland. This article is an open access article distributed under the terms and conditions of the Creative Commons Attribution license ( http://creativecommons.org/licenses/by/4.0/).