Next Article in Journal
Antimycobacterial Activities of Endolysins Derived From a Mycobacteriophage, BTCU-1
Next Article in Special Issue
Efficient Syntheses of 1,2,3-Triazoloamide Derivatives Using Solid- and Solution-Phase Synthetic Approaches
Previous Article in Journal
Cytotoxicity of Triterpenes from Green Walnut Husks of Juglans mandshurica Maxim in HepG-2 Cancer Cells
Previous Article in Special Issue
Synthesis of Some Novel Heterocyclic and Schiff Base Derivatives as Antimicrobial Agents
 
 
Correction published on 29 June 2018, see Molecules 2018, 23(7), 1592.
Font Type:
Arial Georgia Verdana
Font Size:
Aa Aa Aa
Line Spacing:
Column Width:
Background:
Article

Novel 2-Thioxanthine and Dipyrimidopyridine Derivatives: Synthesis and Antimicrobial Activity †

1
Organic Chemistry Department, Faculty of Pharmacy (Girls), ElAzhar University, Nasr City 11651, Egypt
2
Chemistry Department, Faculty of Science, Jazan University, Jazan (Female Section) 45142, Saudi Arabia
3
Medical Chemistry Division, Faculty of Medicine, Jazan University, Jazan 82621, Saudi Arabia
4
Chemistry Department, Faculty of Science, Zagazig University, Zagazig 44511, Egypt
*
Author to whom correspondence should be addressed.
Oral Presentation at the 1st International Turkic World Conference on Chemical Sciences and Technologies October 2015.
Molecules 2015, 20(10), 19263-19276; https://doi.org/10.3390/molecules201019263
Submission received: 22 August 2015 / Revised: 3 October 2015 / Accepted: 12 October 2015 / Published: 22 October 2015
(This article belongs to the Collection Heterocyclic Compounds)

Abstract

:
Several fused imidazolopyrimidines were synthesized starting from 6-amino-1-methyl-2-thiouracil (1) followed by nitrosation, reduction and condensation with different aromatic aldehydes to give Schiff’s base. The dehydrocyclization of Schiff’s bases using iodine/DMF gave Compounds 5ag. The methylation of 5ag using a simple alkylating agent as dimethyl sulfate ((CH3)2SO4) gave either monoalkylated imidazolopyrimidine 6ag at room temperature or dialkylated derivatives 7ag on heating 6ag with ((CH3)2SO4). On the other hand, treatment of 1 with different aromatic aldehydes in absolute ethanol in the presence of conc. hydrochloric acid at room temperature and/or reflux with acetic acid afforded bis-5,5′-diuracylmethylene 8ae, which cyclized on heating with a mixture of acetic acid/HCl (1:1) to give 9ae. Compounds 9ae can be obtained directly by refluxing of Compound 1 with a mixture of acetic acid/HCl. The synthesized new compounds were screened for antimicrobial activity, and the MIC was measured.

Graphical Abstract

1. Introduction

The importance of fused uracils, a common source for the development of new potential therapeutic agents [1,2], is well known. Fused uracils continue to attract considerable attention because of their great practical usefulness, primarily due to a very wide spectrum of biological activities. Uracils and their derivatives are considered to be important for drugs. A large number of uracil derivatives are reported to exhibit antimycobacterial [3], antitumor [4], antiviral [5] and anticancer [6,7] activities. In recent years, considerable attention has been focused on the development of new methodologies to synthesize many kinds of xanthine rings. Indeed, purines represent an important class of heterocyclic compounds having wide range of pharmaceutical and biological activities. The replacement of the oxygen by a sulfur atom may induce changes in the properties of the nucleobases and the ability to stabilize the DNA [8,9]. Furthermore, it has been suggested that the presence of the thio-group may enhance the probability of mutations that occur in DNA [10]. Therefore, versatile and widely-applicable methods for the synthesis of thiopurines are of considerable interest. On the other hand, acridine derivatives are known as antibacterial [11] and antitumor drugs [12,13] with clinical importance. The mechanism of the antibacterial action of acridine derivatives seems to be connected to the intercalation to DNA [14]. 1-Aza analogues of aminacrine and rivanol were, however, shown to be more active than the parent compounds against a hemolytic streptococcal strain [15], analogues of aminacrine and rivanol derived from 1:10-diazaanthracenes [16,17,18].
Our strategy has been directed towards the synthesis of a series of new thiouracil fused ring analogs, and their biological effects are determined.

2. Results and Discussion

2.1. Chemistry

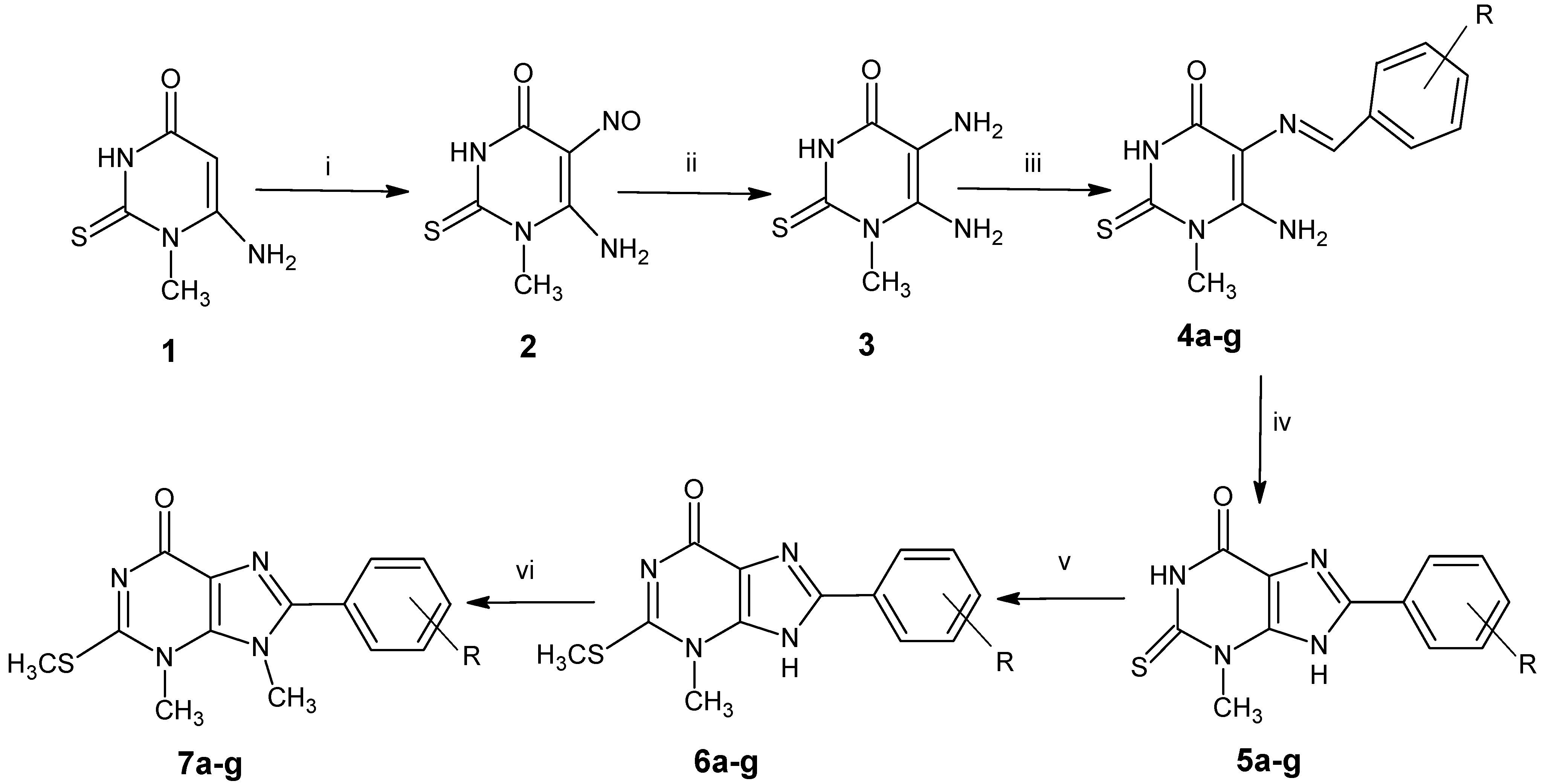
2-Thioxanthine [19] and 3-methyl-2-thioxanthine were previously prepared by different methods [20,21]. The alkylation of N-H or S-H takes place by many different reported methods in the literature [22,23]. Herein, we use one of the simplest methylating agents and a simple method. 8-Aryl-3-methyl-2-thioxanthines (5ag) [21] were synthesized by the treatment of 6-amino-1-methyl-2-thiouracil (1) with sodium nitrite in acetic acid, affording 5-nitrosouracil 2, followed by the reduction using ammonium sulfide, giving 4,5-diminouracil 3. The obtained Compound 3 was condensed with different aromatic aldehydes in ethanol, affording 5-arylideneaminouracil 4ag, which undergoes dehydrocyclization via the reaction with I2/DMF, giving 5ag in a good yield. Methylation of 5ag takes place by the reaction with dimethyl sulfate in 0.5 N NaOH and ethanol for 1 h at room temperature with stirring to produce the target mono-alkylated thioxanthines 6ag; the methylation takes place smoothly on S-H (C-2). While refluxing of 6ag with dimethyl sulfate in 0.5 N NaOH and ethanol for 1 h gave 7ag, the methylation was carried out on N-H (C-9), as well as on the -OH group of the phenyl-8 in 7f,g as shown in Scheme 1. The structures of the synthesized compounds were proven by 1H-NMR, elemental analysis, mass and IR spectra. 1H-NMR (DMSO-d6) for Compounds 6ag showed a characteristic signals at 4.0–4.54 ppm for S-CH3 and a characteristic signal at 10.02–11.11 ppm for N-H (9), while Compounds 7af showed the disappearance of N-H (9) signals and the appearance of new N-CH3 at 3.38–3.79 ppm. Mass spectra of Compound 6b showed fragmentation at M+ + 2 = 308, M+ = 306, and Compound 7b showed M+ + 2 = 322, M+ = 320, due to the presence of the Cl atom attached to the phenyl group, as well as in compound 6d showed fragmentation at M+ + 2 = 353, M+ = 351, and 7d M+ + 2 = 367, M+ = 365, due to the presence of the Br atom; also, Ms of compounds 7f showed M+ = 316, which explain the methylation of para OH of the phenyl group 8.
Scheme 1. Synthesis of 8-aryl-3,9-dimethyl-2-methylthio-3,9-dihydro-6H-purin-6-one.
Scheme 1. Synthesis of 8-aryl-3,9-dimethyl-2-methylthio-3,9-dihydro-6H-purin-6-one.
Molecules 20 19263 g001
i = NaNO2/AcOH/r.t.; ii = (NH4)2S; iii = ArCHO/EtOH; iv = I2/DMF; v = (CH3)2SO4/NaOH/EtOH/r.t; vi = (CH3)2SO4/NaOH/EtOH/reflux; where R in 6ag are: a = H; b = 4-Cl; c = 2-OCH3; d = 4-Br; e = 4-F; f = 4-OH; g = 2-OH; R in 7ag are: a = H; b = 4-Cl; c = 2-OCH3; d = 4-Br; e = 4-F; f = 4-OCH3; g = 2-OCH3.
As part of our synthetic studies of fused uracils, we have reported the synthesis of dipyrimidopyridines [24,25]. Refluxing of Compound 1 with different aromatic aldehydes in acetic acid and/or absolute ethanol in the presence of conc. hydrochloric acid with stirring at room temperature produced the bis derivatives 8ae, which on refluxing compound 8a for 1 h with a mixture of AcOH/HCl afforded the dipyrimidopyridine derivatives 9a. Compounds 9ae can be synthesized directly in one step by refluxing Compound 1 with a mixture of AcOH/HCl for 4–6 h, as shown in Scheme 2. 1H-NMR (DMSO-d6) of Compounds 8ae showed a characteristic signal at 5.46–5.62 ppm for CH-5 and at 7.58–7.92 for NH2 (6), while 1H-NMR for Compounds 9ae showed a characteristic signals at 7.88–8.46 for NH-10 and at 6.06–6.22 for CH-5.
Scheme 2. Reactions of aromatic aldehydes with 6-amino-1-methyl-2-thiouracil.
Scheme 2. Reactions of aromatic aldehydes with 6-amino-1-methyl-2-thiouracil.
Molecules 20 19263 g002
Ar: a = 4-Cl-C6H4; b = 3-NO2-C6H4; c = 4-NO2-C6H4; d = 4-Br-C6H4; e = 2-HO-C6H4.

2.2. Antimicrobial Screening

Results in Table 1 reveal that there is a vast variation between tested microorganisms, whereas Escherichia coli as a negative bacterial strains tolerate the applicable organic compounds. On the other hand, S. aureus is a positive bacterial strain affected by the application of Compounds 7d, 8c and 9a. The most obvious inhibition zone was developed with Compound 7d with the MIC reaching 0.4 µg followed by Compounds 9a (MIC = 0.3 µg) and 8d (the lowest effect). It is worth mentioning that the inhibitory effect induced by Compound 7d was three-fold more than Compound 8d. With respect to C. albicans, it is affected by Compounds 7b, 7d, 8c and 9a with the inhibition zone ranging between 8.3 and 16.0 mm. The highest inhibition was developed after application of Compound 9a (16 mm) with the MIC reaching to 0.5 µg/mL.

3. Experimental Section

3.1. General

Melting points were determined with an Electro Thermal Mel-Temp II apparatus and are uncorrected. All reactions were monitored by thin layer chromatography (TLC) on pre-coated silica gel plates (0.25 mm, 20 × 20 cm, 60F254, E. Merck KGaA, Konstanz, Germany) with an appropriate solvent system ((A) 1:9 CH3OH–CHCl3; (B) 1:1 tolune–ethylacetate). IR spectra were obtained in the solid state in the form of KBr discs using a Perkin-Elmer Model 1430 spectrometer (Perkin-Elmer, Akron, OH, USA) and carried out in Taif University, Taif, KSA. 1H-NMR spectra were run at 400 MHz and 13C spectra were run at 125 MHz in dimethylsulfoxide (DMSO-d6) and TMS as an internal standard. Mass spectra were recorded on GC Ms-QP 5050A mass spectrometer (Shimadzu Corporation, Tokyo, Japan) at 70 eV and microanalytical data were performed on Elementar Vario EI III CHN analyzer (Elementar, Langenselbold, Germany) at the microanalytical unit, in Regional center for Mycology and Biotechnology, Al-Azhar University, Nasr City, Egypt.
Table 1. Detection of the antimicrobial activity of some organic compounds by measuring the formed inhibition zone (inhibition zone measured in mm and MIC in µg/mL).
Table 1. Detection of the antimicrobial activity of some organic compounds by measuring the formed inhibition zone (inhibition zone measured in mm and MIC in µg/mL).
Compd. No.Staphylococcus aureusEscherichia coliCandida albicans
6a000
6b000
6c000
6d000
6e000
6f000
6g000
7a000
7b008.3 ± 0.881
7c000
7d15.3 ± 0.88 * (0.4)012.6 ± 1.1547 * (0.3)
7e000
7f000
8a000
8b000
8c5.0 ±0.9 *012.3 ± 0.91 * (0.3)
8d000
8e000
9a14.6 ± 1.2 * (0.5)016.0 ± 1.1547 * (0.5)
9b000
9c000
9d000
9e000
DMSO000
* ±SE: standard error for three measurements; MIC: the value indicated between the brackets.

3.2. Synthesis of 8-Aryl-3-methyl-2-methylthio-3,9-dihydro-3,6H-purin-6-one (6ag)

Dimethyl sulfate (7.0 mL) was added to a mixture of NaOH (12.5 mL, 0.5 N) and 2-thioxanthines 5ag (5 mmol). Ethanol was added gradually till completely dissolving of 2-thioxanthines. The mixture was stirred for 1 h at room temperature; the formed precipitate was collected by filtration, dried in the oven and crystallized from DMF/ethanol.
3-Methyl-2-(methylthio)-8-phenyl-3,9-dihydro-6H-purin-6-one (6a). Yield: 70%; m.p. >300 °C; IR (KBr) νmax (cm−1): 3425 (NH), 3055 (CH aromatic), 2921 (CH aliphatic), 1688 (C=O), 1617 (C=N), 1290 (NH); 1H-NMR (DMSO-d6): 11.11 (s, 1H, NH), 7.83–7.77 (m, 2H, arom.), 7.58–7.55 (m, 3H, arom.), 4.03 (s, 3H, SCH3), 3.83 (s, 3H, NCH3); 13C-NMR (DMSO-d6): δ = 16.4 (SCH3), 29.28 (NCH3), 108.24, 114.40, 122.78, 128.01, 136.68, 142.92 (C-S), 150.76, 154.15, 154.17 (C=O) ppm; MS: m/z (%) = M+, 272 (7), 256 (9), 213 (16), 82 (100); Anal. calcd. for C13H12N4OS (272.32): C, 57.34; H, 4.44; N, 20.57. Found: C, 57.49; H, 4.51; N, 20.72.
8-(4-Chlorophenyl)-3-methyl-2-(methylthio)-3,9-dihydro-6H-purin-6-one (6b). Yield: 78%; m.p. >300 °C; IR (KBr) νmax (cm−1): 3473 (NH), 3013 (CH arom.), 2955 (CH aliph.),1687 (C=O), 1612 (C=N), 1265 (NH); 1H-NMR (DMSO-d6): 10.31 (s, 1H, NH), 7.84–7.61 (d, 2H, J = 8.7, arom.), 7.60–7.58 (d, 2H, J = 8.4, arom.), 4.54 (s, 3H, SCH3), 3.63 (s, 3H, NCH3); 13C-NMR (DMSO-d6): δ = 16.6 (SCH3), 29.26 (NCH3), 107.21, 113.41, 122.78, 128.01, 136.68, 141.90 (C-S), 149.88, 153.18, 153.89 (C=O) ppm; MS: m/z (%) = M+ +2, 308 (19), M+ + 1, 307 (15), M+, 306 (54), 171 (33), 111 (28), 68 (100). Anal. calcd. for C13H11ClN4OS (306.77): C, 50.90; H, 3.91; N, 18.26. Found: C, 51.08; H, 3.94; N, 18.47.
8-(2-Methoxyphenyl)-3-methyl-2-(methylthio)-3,9-dihydro-6H-purin-6-one (6c). Yield: 67%; m.p. >300 °C; IR (KBr) νmax (cm−1): 3450 (NH), 3076 (CH arom.), 2928 and 2838 (CH aliph.), 1694 (C=O), 1629 (C=N), 1286 (NH); 1H-NMR (DMSO-d6): 10.76 (s, 1H, NH), 8.04–8.01 (d, 1H, J = 1.8, arom.), 7.50–7.50 (m, 1H, J = 1.2, arom.), 7.22–7.19 (d, 1H, J = 8.4, arom.), 7.12–7.07 (m, 1H, J = 7.5, arom.), 4.43(s, 3H, SCH3), 3.93 (s, 3H, OCH3), 3.84 (s, 3H, NCH3). MS: m/z (%) = M+, 302 (95), 257 (51), 134 (65), 68 (100). Anal. calcd. for C14H14N4O2S (302.35): C, 55.61; H, 4.67; N, 18.53. Found: C, 55.74; H, 4.74; N, 18.69.
8-(4-Bromophenyl)-3-methyl-2-(methylthio)-3,9-dihydro-6H-purin-6-one (6d). Yield: 78%; m.p. >300 °C; IR (KBr) νmax (cm−1): 3446 (NH), 3080 (CH arom.), 2924 and 2853 (CH aliph.), 1697 (C=O), 1633 (C=N), 1208 (NH); 1H-NMR (DMSO-d6): 10.88 (s, 1H, NH), 7.89–7.87 (d, 2H, J = 8.4, arom.), 7.59–7.56 (d, 2H, J = 8.1, arom.), 4.43 (s, 3H, SCH3), 3.82 (s, 3H, NCH3).MS: m/z (%) = M+ + 2, 353 (6), M+, 351 (9), 336 (12), 68 (100); Anal. calcd. for C13H11BrN4OS (351.22): C, 44.46; H, 3.16; N, 15.95. Found: C, 44.62; H, 3.12; N, 16.14.
8-(4-Fluorophenyl)-3-methyl-2-(methylthio)-3,9-dihydro-6H-purin-6-one (6e). Yield: 64%; m.p. >300 °C; IR (KBr) νmax (cm−1): 3526 (NH), 3082 (CH arom.), 2933 and 2827 (CH aliph.), 1684 (C=O), 1625 (C=N), 1216 (NH); 1H-NMR (DMSO-d6): 11.02 (s, 1H, NH), 7.69–7.54 (m, 2H, arom.), 7.30–7.25 (m, 2H, arom.), 4.14 (s, 3H, SCH3), 3.72 (s, 3H, NCH3); 13C-NMR (DMSO-d6): δ = 16.3 (SCH3), 29.23 (NCH3), 107.11, 113.42, 122.64, 127.89, 136.57, 141.48 (C-S), 149.83, 153.01, 154.23 (C=O) ppm; MS: m/z (%) = M+ + 1, 291 (16), M+, 290 (27), 122 (32), 68 (100); Anal. calcd. for C13H11FN4OS (290.31): C, 53.78; H, 3.82; N, 19.30. Found: C, 53.87; H, 3.89; N, 19.37.
8-(4-Hydroxyphenyl)-3-methyl-2-(methylthio)-3,9-dihydro-6H-purin-6-one (6f). Yield: 63%; m.p. >300 °C; IR (KBr) νmax (cm−1): 3615 (OH), 3406 (NH), 3071 (CH arom.), 2938 and 2839 (CH aliph.), 1700 (C=O), 1602 (C=N), 1253 (NH); 1H-NMR (DMSO-d6): 13.23 (s, 1H, OH), 10.02 (s, 1H, NH), 7.66–6.64 (d, 2H, J = 4.2, arom.), 6.88–6.86 (d , 2H, J = 6.9, arom.), 4.21 (s, 3H, SCH3), 3.83 (s, 3H, NCH3). MS: m/z (%) = M+, 288 (34), 258 (7), 120 (23), 82 (100), 67 (60); Anal. calcd. for C13H12N4O2S (288.32): C, 54.15; H, 4.20; N, 19.43. Found: C, 54.29; H, 4.27; N, 19.66.
8-(2-Hydroxyphenyl)-3-methyl-2-(methylthio)-3,9-dihydro-6H-purin-6-one (6g). Yield: 58%; m.p. >300 °C; IR (KBr) νmax (cm−1): 3632 (OH), 3400 (NH), 3062 (CH arom.), 2925 and 2829 (CH aliph.), 1688 (C=O), 1624 (C=N), 1251 (NH); 1H-NMR (DMSO-d6): 13.12 (s, 1H, OH), 10.98 (s, 1H, NH), 7.820–7.815 (d, 1H, J = 1.5, arom.), 7.15–7.01 (m, 2H, arom.), 6.87–6.80 (m, 1H, arom.), 4.29 (s, 3H, SCH3), 3.79 (s, 3H, NCH3); 16.21 (SCH3), 28.98 (NCH3), 107.10, 113.41, 122.55, 127.72, 128.17, 136.61, 141.32 (C-S), 149.83, 152.24, 154.13 (C=O) ppm; MS: m/z (%) = M+, 288 (100), 274 (33), 215 (74), 120 (69); Anal. calcd. for C13H12N4O2S (288.32): C, 54.15; H, 4.20; N, 19.43. Found: C, 54.21; H, 4.24; N, 19.62.

3.3. 8-Aryl-3,9-dimethyl-2-methylthio-3,9-dihydro-6H-purin-6-one (7ag)

Dimethyl sulfate (7.0 mL) was added to a mixture of NaOH (12.5 mL, 0.5 N) and 2-thioxanthines 6ag (5 mmol), and ethanol was added gradually till 2-thioxanthines were completely dissolved. The mixture was heated under reflux for 1 h with stirring. The reaction mixture was evaporated under reduced pressure, and the residue was collected by filtration and crystallized from ethanol to afford Compounds 7ag.
3,9-Dimethyl-2-(methylsulfanyl)-8-phenyl-3,9-dihydro-6H-purin-6-one (7a). Yield: 78%; m.p. >300 °C; IR (KBr) νmax (cm−1): 3059 (CH arom.), 2980 (CH aliph.),1687 (C=O), 1609 (C=N); 1H-NMR (DMSO-d6): 7.79–7.76 (m, 2H, arom.), 7.54–7.51 (m, 3H, arom.), 4.00 (s, 3H, SCH3), 3.83 (s, 3H, NCH3), 3.72 (s, 3H, NCH3); 16.18 (SCH3), 29.38 (NCH3), 44.18 (NCH3), 108.13, 113.27, 122.42, 127.89, 136.57, 141.48 (C-S), 149.83, 153.01, 154.21 (C=O) ppm; MS: m/z (%) = M+, 286 (67), 82 (100); Anal. calcd. for C14H14N4OS (286.35): C, 58.72; H, 4.93; N, 19.57. Found: C, 58.89; H, 4.98; N, 19.64.
3,9-Dimethyl-2-(methylsulfanyl)-8-(4-chlorophenyl)-3,9-dihydro-6H-purin-6-one (7b). Yield: 82%; m.p. >300 °C; IR (KBr) νmax (cm−1): 3068 (CH arom.), 2970 (CH aliph.), 1676 (C=O), 1623 (C=N); 1H-NMR (DMSO-d6): 7.62–7.60 (d, 2H, arom.), 7.55–7.52 (d, 2H, arom.), 4.03 (s, 3H, SCH3), 3.80 (s, 3H, NCH3), 3.66 (s, 3H, NCH3); MS: m/z (%) = M+ + 2, 322 (13), M+, 320 (30), 307 (16), 86 (11), 68 (100); Anal. calcd. for C14H13ClN4OS (320.79): C, 52.42; H, 4.08; N, 17.46. Found: C, 52.49; H, 4.13; N, 17.59.
3,9-Dimethyl-2-(methylsulfanyl)-8-(2-methoxyphenyl)-3,9-dihydro-6H-purin-6-one (7c). Yield: 71%; m.p. >300 °C; IR (KBr) νmax (cm−1): 3092 (CH arom.), 2838 (CH aliph.), 1699 (C=O), 1633 (C=N); 1H-NMR (DMSO-d6): 7.46–7.45 (m, 1H, arom.), 7.26–7.23 (m, 2H, arom.), 7.13–7.09 (m, 1H, arom.), 4.13 (s, 3H, SCH3), 3.93 (s, 3H, OCH3), 3.79 (s, 3H, NCH3), 3.70 (s, 3H, NCH3); 16.31 (SCH3), 29.27 (NCH3), 44.16 (NCH3), 52.01 (OCH3), 108.13, 111.29, 113.27, 122.42, 127.89, 128.13, 136.57, 141.48 (C-S), 149.83, 153.01, 154.21 (C=O) ppm; MS: m/z (%) = M+, 316 (21), 302 (100), 287 (13), 243 (12), 119 (8), 70 (11), 64 (12); Anal. calcd. for C15H16N4O2S (316.37): C, 56.94; H, 5.10; N, 17.71. Found: C, 57.21; H, 5.17; N, 17.83.
3,9-Dimethyl-2-(methylsulfanyl)-8-(4-bromophenyl)-3,9-dihydro-6H-purin-6-one (7d). Yield: 79%; m.p. >300 °C; IR (KBr) νmax (cm−1): 3079 (CH arom.), 2953(CH aliph.), 2841 (CH aliph.), 1689 (C=O), 1617 (C=N); 1H-NMR (DMSO-d6): 8.06–8.02 (m, 2H, arom.), 7.69–7.67 (m, 2H, arom.), 4.41 (s, 3H, SCH3), 3.74 (s, 3H, NCH3), 3.39 (s, 3H, NCH3); MS: m/z (%) = M+ + 2, 367 (8), M+, 365 (12), 348 (22), 68 (100); Anal. calcd. for C14H13BrN4OS (365.24): C, 46.04; H, 3.59; N, 15.34. Found: C, 46.19; H, 3.66; N, 15.46.
3,9-Dimethyl-2-(methylsulfanyl)-8-(4-fluorophenyl)-3,9-dihydro-6H-purin-6-one (7e). Yield: 69%; m.p. >300 °C; IR (KBr) νmax (cm−1): 3074 (CH arom.), 2921 (CH aliph.), 2827 (CH aliph.), 1693 (C=O), 1618 (C=N), 1257 (NH); 1H-NMR (DMSO-d6): 7.87–7.84 (m, 2H, arom.), 7.40–7.36 (m, 2H, arom.), 4.03 (s, 3H, SCH3), 3.78 (s, 3H, NCH3), 3.67 (s, 3H, NCH3); MS: m/z (%) = M+ + 1, 305 (6), M+, 304 (18), 171 (33), 122 (54), 68 (100); Anal. calcd. for C14H13FN4OS (304.34): C, 55.25; H, 4.31; N, 18.41. Found: C, 55.34; H, 4.34; N, 18.56.
3,9-Dimethyl-8-(4-methoxyphenyl)-2-(methylsulfanyl)-3,9-dihydro-6H-purin-6-one (7f). Yield: 72%; m.p. >300 °C; IR (KBr) νmax (cm−1): 3654 (OH), 3076 (CH arom.), 2928 (CH aliph.), 2839 (CH aliph.), 1695 (C=O), 1619 (C=N); 1H-NMR (DMSO-d6): 7.97–7.94 (d, 2H, arom.), 6.93–6.91 (d , 2H, arom.), 4.30 (s, 3H, SCH3), 4.05 (s, 3H, OCH3), 3.77 (s, 3H, NCH3), 3.64 (s, 3H, NCH3); MS: m/z (%) = M+, 316 (18), 302 (56), 268 (100), 214 (24); Anal. calcd. for C15H16N4O2S (316.37): C, 56.94; H, 5.10; N, 17.71. Found: C, 57.21; H, 5.07; N, 17.62.
3,9-Dimethyl-8-(2-methoxyphenyl)-2-(methylsulfanyl)-3,9-dihydro-6H-purin-6-one (7g). Yield: 67%; m.p. >300 °C; IR (KBr) νmax (cm−1): 3052 (CH arom.), 2830 (CH aliph.), 1674 (C=O), 1627 (C=N); 1H-NMR (DMSO-d6): 7.43–7.41 (m, 1H, arom.), 7.24–7.21 (m, 2H, arom.), 7.18–7.12 (m, 1H, arom.), 4.22 (s, 3H, SCH3), 3.81 (s, 3H, OCH3), 3.68 (s, 3H, NCH3), 3.69 (s, 3H, NCH3); MS: m/z (%) = M+, 316 (21), 302 (100), 287 (13); Anal. calcd. for C15H16N4O2S (316.37): C, 56.94; H, 5.10; N, 17.71. Found: C, 57.18; H, 5.13; N, 17.85.

3.4. Synthesis of 5,5′-Arylmethylenebis-(6-Amino-1-methyl-2-thiouracil) (8ae)

A mixture of 6-amino-1-methyl-2-thiouracil (1) (0.5 g, 2.4 mmol) and appropriate aromatic aldehydes (2.4 mmol) in absolute ethanol (20 mL) in the presence of conc. Hydrochloric acid (1mL) was stirred at room temperature for 1.5 h and/or reflux with glacial acetic acid (5 mL) for 1 h. The formed precipitate was filtered, washed with ethanol and crystallized from DMF/ethanol (3:1) into colorless crystals.
5,5'-[(4-Chlorophenyl)methylene]bis(6-amino-1-methyl-2-thioxo-2,3-dihydropyrimidin-4(1H)-one) (8a). Yield: 95%; m.p. = 240–242 °C; IR (KBr) νmax (cm−1): 3442, 3340 (NH2 and NH), 3064 (CH arom.), 2871 (CH aliph.), 1732, 1662 (C=O), 1598 (C=C), 1086, 1119 (C=S), 747 (C-Cl); 1H-NMR (DMSO-d6): 12.28 (s, 2H, 2NH), 7.59 (bs, 4H, 2NH2), 7.26–7.24 (d, J = 5.9, 2H, arom.), 7.15–7.13 (d, J = 9.2, 2H, arom.), 5.48 (s, 1H, CH-5), 3.77 (s, 6H, 2 CH3); 13C-NMR (DMSO-d6): δ = 28.4 (CH), 38.7 (CH3), 91.2, 111.9, 117.2, 126.1, 129.3, 131.3, 162.2 (C=O), 171.1 (C=S) ppm; MS: m/z (%) = M+ + 2, 439 (8), M+ + 1, 438 (15), M+, 437 (22), 156 (82), 124 (77), 88 (100); Anal. calcd. for C17H17ClN6O2S2 (436.93): C, 46.73; H, 3.92; N, 19.23. Found: C, 46.98; H, 3.98; N, 19.42
5,5'-[(3-Nitrophenyl)methylene]bis(6-amino-1-methyl-2-thioxo-2,3-dihydropyrimidin-4(1H)-one) (8b). Yield: 88%; m.p. = 258–260 °C; IR (KBr) νmax (cm−1): 3406, 3335 (NH2 and NH), 3057 (CH arom.), 2833 (CH aliph.), 1731, 1690 (C=O), 1528 (C=N), 1128, 1081 (C=S); 1H-NMR (DMSO-d6): 12.34 (s, 2H, 2NH), 8.03–8.01 (d, 1H, arom.), 7.9 (d, 1H, arom.), 7.63–7.61 (bs, 4H, 2 NH2), 7.54–7.50 (m, 2H, arom.), 5.60 (s, 1H, CH-5), 3.79 (s, 6H, 2 CH3); MS: m/z (%) = M+, 447 (37), 358 (48), 325 (18), 286 (100); Anal. calcd. for C17H17N7O4S2 (447.49): C, 45.63; H, 3.83; N, 21.91. Found: C, 45.85; H, 3.88; N, 22.14.
5,5'-[(4-Nitrophenyl)methylene]bis(6-amino-1-methyl-2-thioxo-2,3-dihydropyrimidin-4(1H)-one) (8c). Yield: 90%; m.p. = 261–263 °C; IR (KBr) νmax (cm−1): 3450, 3328 (NH2 and NH), 3051 (CH arom.), 2992 (CH aliph.), 1714, 1663 (C=O), 1563 (C=N), 1116, 1086 (C=S); 1H-NMR (DMSO-d6): 12.34 (s, 2H, 2NH), 8.09–8.06 (d, J = 5.8, 2H, arom), 7.61 (bs, 4H, 2 NH2), 7.43–7.41 (d, J = 8.8, 2H, arom.), 5.59 (s, 1H, CH-5), 3.78 (s, 6H, 2 CH3); 13C-NMR (DMSO-d6): δ = 28.6 (CH), 39.2 (CH3), 91.7, 112.1, 117.5, 126.7, 129.6, 131.4, 162.4 (C=O), 171.3 (C=S) ppm; MS: m/z (%) = M+ , 447 (3), 377 (26), 286 (16), 198 (14), 149 (57), 125 (100); Anal. calcd. for C17H17N7O4S2 (447.49): C, 45.63; H, 3.83; N, 21.91. Found: C, 45.91; H, 3.81; N, 22.12.
5,5'-[(4-Bromophenyl)methylene]bis(6-amino-1-methyl-2-thioxo-2,3-dihydropyrimidin-4(1H)-one) (8d). Yield: 93%; m.p. = 224–226 °C; IR (KBr) νmax (cm−1): 3442, 3308 (NH2 and NH), 3060 (CH arom.), 2946 (CH aliph.), 1727 (C=O), 1569 (C=N), 1142, 1077 (C=S); 1H-NMR (DMSO-d6): 12.28 (s, 2H, 2NH), 7.58 (bs, 4H, 2NH2), 7.39–7.37 (d, J = 5.8, 2H, arom.), 7.09–7.07 (d, J = 9.1, 2H, arom.), 5.46 (s, 1H, CH-5), 3.77 (s, 6H, 2 CH3); 13C-NMR (DMSO-d6): δ = 28.3 (CH), 38.7 (CH3), 91.4, 111.8, 117.3, 126.0, 129.2, 131.2, 162.4 (C=O), 171.3 (C=S) ppm; MS: m/z (%) = M+ + 2, 483 (5), M+, 481 (14), 449 (84), 249 (60), 208 (100), 193 (97), 167 (60); Anal. calcd. for C17H17BrN6O2S2 (481.38): C, 42.42; H, 3.56; N, 17.46 Found: C, 42.53; H, 3.58; N, 17.63.
5,5'-[(2-Hydroxyphenyl)methylene]bis(6-amino-1-methyl-2-thioxo-2,3-dihydro-pyrimidin-4(1H)-one) (8e). Yield: 89%; m.p. = 248–250 °C; IR (KBr) νmax (cm−1): 3628 (OH), 3443, 3315 (NH2 and NH), 3028 (CH arom.), 2946 (CH aliph.), 1632 and 1602 (C=O), 1482 (C=N), 1145, 1087 (C=S); 1H-NMR (DMSO-d6): 13.82 (s, 1H, OH), 12.54 (s, 2H, 2NH), 7.29 (bs, 4H, 2NH2), 7.24–7.21 (d, J = 6.0, 1H, arom.), 7.18–7.16 (d, J = 6.0, 1H, arom.), 7.13–7.11 (m, 2H, arom.), 5.62 (s, 1H, CH-5), 3.80 (s, 6H, 2 CH3); 13C-NMR (DMSO-d6): δ = 28.3 (CH), 39.1 (CH3), 91.2, 112.3, 117.6, 126.3, 128.3, 129.7, 131.3, 132.0, 162.2 (C=O), 171.1 (C=S) ppm; MS: m/z (%) = M+, 418 (1), 377 (5), 97 (12), 91 (100); Anal. calcd. for C17H18N6O3S2 (418.49): C, 48.79; H, 4.34; N, 20.08. Found: C, 48.88; H, 4.42; N, 20.32.

3.5. Synthesis of 5-Aryl-1,9-dimethyl-2,8-dithioxo-2,3,5,8,9,10-hexahydropyrimido[5',4':5,6]pyrido [2,3-d]pyrimidine-4,6(1H,7H)-diones (9ae)

Two methods were used to synthesize the target Compounds 9ae:
  • A mixture of acetic acid/HCl (1:1, 2mL) was added to 6-amino-1-methyl-2-thiouracil (1) (0.26 g, 1.2 mmol) and appropriate aromatic aldehydes (1.2 mmol). The mixture was heated under reflux for 4–6 h. After cooling, the formed precipitate was filtered, washed with ethanol and crystallized from DMF, affording 9ae.
  • A mixture of 5,5′-arylmethylene bis(6-amino-1-methyl-2-thiouracil) (8a) (0.1 g, 0.22 mmol) and acetic acid/HCl (1:1, 2 mL) was heated under reflux for 1 h. After cooling, the formed precipitate was filtered, washed with ethanol and crystallized from DMF to afford 9a.
5-(4-Chlorophenyl)-1,9-dimethyl-2,8-dithioxo-2,3,5,8,9,10-hexahydropyrimido [5',4':5,6]pyrido[2,3-d]pyrimidine-4,6(1H,7H)-dione (9a). Yield (method A): 84%, (method B): 67%; m.p. = 298–300 °C; reflux 4 h; IR (KBr) νmax (cm−1): 3219 (NH), 3046 (CH arom.), 2818 (CH aliph.), 1704 (C=O), 1561 (C=N), 1103, 1052 (C=S); 1H-NMR (DMSO-d6): 12.58 (s, 1H, NH), 12.50 (s, 1H, NH), 8.32 (s, 1H, NH (10)), 8.15–8.13 (d, J = 5.9, 1H, arom.), 7.94–7.92 (d, J = 8.9, 1H, arom.), 7.69–7.67 (d, J = 6.0, 1H, arom.), 7.57–7.55 (d, J = 8.8, 1H, arom.), 6.08 (s, 1H, CH-5), 3.57 (s, 3H, NCH3), 3.52 (s, 3H, NCH3); 13C-NMR (DMSO-d6): δ = 33.46 (CH), 45.9 (CH3), 125.08, 127.9, 128.2, 128.9, 129.52, 131.20, 161.9 (C=O), 169.8 (C=S) ppm; MS: m/z (%) = M+ + 2, 422 (0.3), M+, 420 (1), 129 (19), 74 (39), 69 (100); Anal. calcd. for C17H14ClN5O2S2 (419.90): C, 48.63; H, 3.63; N, 16.68. Found: C, 49.02; H, 2.86; N, 17.01.
1,9-Dimethyl-5-(3-nitrophenyl)-2,8-dithioxo-2,3,5,8,9,10-hexahydropyrimido [5',4':5,6]pyrido[2,3-d] pyrimidine-4,6(1H,7H)-dione (9b). Yield (method A): 86%; m.p. >300 °C; reflux 5 h; IR (KBr) νmax (cm−1): 3461 (NH), 3060 (CH arom.), 2856 (CH aliph.), 1729 (C=O), 1582 (C=N), 1166, 1092 (C=S); 1H-NMR (DMSO-d6): 12.56 (s, 1H, NH), 12.05 (s, 1H, NH), 8.15 (s, 1H, NH(10)), 8.06 (s, 1H, arom.), 7.96–7.48 (m, 3H, arom.), 6.22 (s, 1H, CH-5), 3.58 (s, 3H, NCH3), 3.52 (s, 3H, NCH3); 13C-NMR (DMSO-d6): δ = 33.56 (CH), 46.33 (CH3), 125.24, 126.72, 127.45, 128.12, 128.43, 129.21, 129.91, 131.82, 162.4 (C=O), 171.3 (C=S) ppm; MS: m/z (%) = M+, 430 (5), 428 (16), 299 (18), 106 (100); Anal. calcd. for C17H14N6O4S2 (430.46): C, 47.43; H, 3.28; N, 19.52. Found: C, 47.94; H, 2.85; N, 19.97.
1,9-Dimethyl-5-(4-nitrophenyl)-2,8-dithioxo-2,3,5,8,9,10-hexahydropyrimido [5',4':5,6]pyrido[2,3-d] pyrimidine-4,6(1H,7H)-dione (9c). Yield (method A): 83%; m.p. >300 °C; reflux 4 h, IR (KBr) νmax (cm−1): 3384 (NH), 3034 (CH arom.), 2918 (CH aliph.), 1705 (C=O), 1520 (C=N), 1134, 1086 (C=S); 1H-NMR (DMSO-d6): 11.93 (s, 2H, 2NH), 8.46 (s, 1H, NH(10)), 8.06–8.04 (s, J = 7.5, 2H, arom.), 7.29–7.27 (s, J = 7.5, 2H, arom.), 6.20 (s, 1H, CH-5), 3.51 (s, 6H, 2 NCH3); 13C-NMR (DMSO-d6): δ = 33.55 (CH), 46.41 (CH3), 125.27, 128.11, 128.43, 128.93, 129.86, 131.34, 161.93 (C=O), 169.78 (C=S) ppm; MS: m/z (%) = M+, 430 (1), 332 (24), 106 (68), 91 (14), 78 (100); Anal. calcd. for C17H14N6O4S2 (430.46): C, 47.43; H, 3.28; N, 19.52. Found: C, 48.01; H, 2.86; N, 19.93.
5-(4-Bromophenyl)-1,9-dimethyl-2,8-dithioxo-2,3,5,8,9,10-hexahydropyrimido [5',4':5,6]pyrido[2,3-d] pyrimidine-4,6(1H,7H)-dione (9d). Yield (method A): 90%; m.p. >300 °C; reflux 4 h; IR (KBr) νmax (cm−1): 3220 (NH), 3046 (CH arom.), 2818 (CH aliph.), 1721 (C=O), 1567 (C=N), 1107, 1068 (C=S); 1H-NMR (DMSO-d6): 12.61 (s, 1H, NH), 12.52 (s, 1H, NH), 8.28–8.26 (d, 1H, arom.), 8.05–8.03 (d, J = 8.6, 1H, arom.), 7.99–7.97 (d, J = 8.8, 2H, arom.), 7.84 (s, 1H, NH(10)), 6.06 (s, 1H, CH-5), 3.56 (s, 3H, NCH3), 3.51 (s, 3H, NCH3); 13C-NMR (DMSO-d6): δ = 33.48 (CH), 45.88 (CH3), 125.16, 127.89, 128.16, 128.91, 129.47, 131.16, 161.89 (C=O), 169.77 (C=S) ppm; MS: m/z (%) = M+ + 2, 466 (2), M+, 464 (6), 200 (58), 95 (100); Anal. calcd. for C17H14BrN5O2S2 (464.35): C, 43.97; H, 3.04; N, 15.08 Found: C, 44.34; H, 2.60; N, 15.31.
5-(2-Hydroxyphenyl)-1,9-dimethyl-2,8-dithioxo-2,3,5,8,9,10-hexahydropyrimido [5',4':5,6]pyrido[2,3-d]pyrimidine-4,6(1H,7H)-dione (9e). Yield (method A): 81%; m.p. >300 °C; reflux 6 h; IR (KBr) νmax (cm−1): 3321 (NH), 3096 (CH arom.), 2901 (CH aliph.), 1684 (C=O), 1580 (C=N), 1141, 1081 (C=S); 1H-NMR (DMSO-d6): 12.44 (s, 1H, OH), 12.36 (s, 1H, NH), 10.96 (s, 1H, NH), 8.40–8.38 (d, 1H, arom.), 8.36–8.34 (d, 1H, arom.), 8.28–8.26 (d, 1H, arom.), 7.88 (s, 1H, NH(10)), 6.91–6.89 (d, 1H, arom.), 6.17 (s, 1H, CH-5), 3.56 (s, 6H, 2 NCH3); 13C-NMR (DMSO-d6): δ = 33.46 (CH), 45.64 (CH3), 125.02, 127.84, 128.12, 128.76, 129.32, 131.14, 161.85 (C=O), 169.73 (C=S) ppm; MS: m/z (%) = M+, 401 (0.4), 109 (36), 106 (100), 78 (51), 43 (52); Anal. calcd. for C17H15N5O3S2 (401.46): C, 50.86; H, 3.77; N, 17.44. Found: C, 51.27; H, 3.31; N, 17.70.

4. Antimicrobial Activity

4.1. Microorganisms and Culture Media

Staphylococcus aureus (Gram-positive), Escherichia coli (Gram-negative) and Candida albicans (yeast) were obtained from the microbiology lab of the Faculty of Medicine, Jazan University Culture Collection. All bacteria strains were maintained and kept at −80 °C until used. Müller–Hinton agar (MHA) and Sabouraud dextrose agar (SDA) were obtained from the microbiology lab of the Faculty of Medicine, Jazan University.

4.2. Disc Diffusion Method

The disc diffusion method for antimicrobial susceptibility testing was carried out according to the standard method [26] to assess the presence of antibacterial activities of the tested chemical substances. A microbial culture (which has been adjusted to 0.5 McFarland standards) was used to inoculate Müller–Hinton agar and Sabouraud dextrose agar plates evenly using a sterile swab. The plates were dried for 15 min and then used for the sensitivity test. The discs that had been impregnated with 1 mg/mL of the chemical samples were placed on the Müller–Hinton agar and Sabouraud dextrose agar surface. Each test plate comprises six discs: one negative control (disc with the used solvent) and five treated discs. The negative control was DMSO (100%). Besides the controls, each plate had five treated discs were placed about equidistant from each other. The plate was then incubated at 37 °C for 18–24 h depending on the species of bacteria or yeast used in the test. After the incubation, the plates were examined for the inhibition zone. The inhibition zone was then measured using calipers and recorded. The test was performed in triplicates to ensure reliability.

4.3. Minimum Inhibition Concentration Determination

Minimum inhibition concentration determination was performed according to the method described in [27,28,29]. Serial dilutions of the chemical substances that showed antimicrobial activity with the disc diffusion method (a reasonable inhibition zone) (a range of 10 dilutions from 0.1 µg/mL up to 1 µg/mL) are added to a Müller–Hinton or and Sabouraud dextrose broth medium in separate test tubes. These tubes are then inoculated with the microorganism that one wishes to test (Staphylococcus aureus, Escherichia coli or Candida albicans). The tubes are allowed to incubate overnight. Broth tubes that appear turbid are indicative of bacterial growth, while tubes that remain clear indicate no growth. The MIC of the antibiotic is the lowest concentration that does not show growth.

5. Conclusions

Simple methylation methods were used for the methylation of S-H and N-H in the 2-thioxanthines. Also, the formation of tricyclic dipyrimidopyridines was developed. Compounds 7d and 9a showed a significant effect against Staphylococcus aureus and Candida albicans.

Acknowledgments

We wish to thank Asmaa Amar for carrying out the antimicrobial activity for the newly-synthesized compounds in the microbiology laboratory, Faculty of Medicine, Jazan University.

Author Contributions

Samar El-kalyoubi and Fatmah Agili formulated the research idea, conceived and prepared the manuscript; Samar El-kalyoubi and Fatmah Agili performed the experiments; Samar El-kalyoubi and Fatmah Agili analyzed the data; Samar El-Kalyoubi and Shaker Youssif wrote the paper. All authors have read and approved the final manuscript.

Conflicts of Interest

The authors declare no conflict of interest.

References

  1. Wamhoff, H.; Dzenis, J.; Hirota, K. Uracils: Versatile Starting Materials in Heterocyclic Synthesis. Adv. Heterocycl. Chem. 1992, 55, 129–259. [Google Scholar]
  2. González-Vallinas, M.; Molina, S.; Vicente, G.; Cueva, A.; Vargas, T.; Santoyo, S.; García-Risco, M.R.; Fornari, T.; Reglero, G.; Molina, A.R. Antitumor effect of 5-fluorouracil is enhanced by rosemary extract in both drug sensitive and resistant colon cancer cells. Pharmacol. Res. 2013, 72, 61–68. [Google Scholar] [CrossRef] [PubMed]
  3. Kumar, A.; Sinha, S.; Chauhan, P.M. Syntheses of novel antimycobacterial combinatorial libraries of structurally diverse substituted pyrimidines by three-component solid-phase reactions. Bioorg. Med. Chem. Lett. 2002, 12, 667–669. [Google Scholar] [CrossRef]
  4. Baraldi, P.G.; Pavani, M.G.; Nunez, M.; Nuñez, M.C.; Brigidi, P.; Vitali, B.; Gambari, R.; Romagnoli, R. Antimicrobial and antitumor activity of N-heteroimmine-1,2,3-dithiazoles and their transformation in triazolo-, imidazo-, and pyrazolopirimidines. Bioorg. Med. Chem. 2002, 10, 449–456. [Google Scholar] [CrossRef]
  5. Nasr, M.N.; Gineinah, M.M. Pyrido[2,3-d]pyrimidines and pyrimido[5′,4′:5,6]pyrido[2,3-d]pyrimidines as new antiviral agents: Synthesis and biological activity. Arch. Pharm. 2002, 335, 289–295. [Google Scholar] [CrossRef]
  6. Nagarapu, L.; Vanaparthi, S.; Bantu, V.; Kumar, C.G. Synthesis of Novel Benzo[4,5]thiazolo[1,2-a]pyrimi-dine-3-carboxylate Derivatives and Biological Evaluation as Potential Anticancer Agents. Eur. J. Med. Chem. 2013, 69, 817–822. [Google Scholar] [CrossRef] [PubMed]
  7. Sondhi, S.M.; Johar, M.; Rajvanshi, S.; Dastidar, S.G.; Shukla, R.; Raghubir, R.; Lown, J.W. Anticancer, anti-inflammatory and analgesic activity evaluation of heterocyclic compounds synthesized by the reaction of 4-isothiothiocyanato-4-methylpentan-2-one with substituted o-phenylenediamines, o-diaminopyridine and (un)substituted o-diaminopyrimidines. Aust. J. Chem. 2001, 54, 69–74. [Google Scholar]
  8. Saenger, W. Principles of Nucleic Acid Structure; Springer: New York, NY, USA, 1984; p. 556. [Google Scholar]
  9. Ono, M.; Kawakami, M. Separation of newly-synthesized RNA by organomercurial agarose affinity chromatography. J. Biochem. 1977, 81, 1247–1252. [Google Scholar]
  10. Leszczynski, J. Tautomers of 6-thioguanine: Structures and properties. J. Phys. Chem. 1993, 97, 3520–3524. [Google Scholar] [CrossRef]
  11. Nagdi, L.; Galy, J.P.; Barbe, J.; Cremieux, A.; Chevalier, J.; Sharples, D. Some new 1-nitro acridine derivatives as antimicrobial agents. Eur. J. Med. Chem. 1990, 25, 67–70. [Google Scholar]
  12. Pawlak, K.; Pawlak, J.W.; Konopa, J. Cytotoxic and antitumor activity of 1-nitroacridines as an aftereffect of their interstrand DNA cross-linking. Cancer Res. 1984, 44, 4289–4296. [Google Scholar] [PubMed]
  13. Gunaratnam, M.; Green, C.; Moreira, J.B.; Moorhouse, A.D.; Kelland, L.R.; Moses, J.E.; Neidle, S. G-quadruplex compounds and cis-platin act synergistically to inhibit cancer cell growth in vitro and in vivo. Biochem. Pharmacol. 2009, 78, 115–122. [Google Scholar] [CrossRef] [PubMed]
  14. Nesměrák, K.; Pospíšek, M.; Zikánová, B.; Němec, I.; Barbe, J.; Gabriel, J. Effect of structure on antibiotic action of new 9-(ethylthio)acridines. Folia Microbiol. 2002, 47, 118–120. [Google Scholar] [CrossRef]
  15. Besly, D.M.; Goldberg, A.A. Potential antimalarial derivatives of triaza-anthracene. J. Chem. Soc. 1957, 4997–5001. [Google Scholar] [CrossRef]
  16. Bruce-Chwatt, L.J.; Archibald, H.M. Field trials of new antimalarials in West Africa. Br. Med. J. 1953, 1, 539–541. [Google Scholar] [CrossRef] [PubMed]
  17. Greenwood, D. Conflicts of interest: The genesis of synthetic antimalarial agents in peace and war. J. Antimicrob. Chemother. 1995, 36, 857–872. [Google Scholar] [CrossRef] [PubMed]
  18. Wainwright, M.; Phoenix, D.A.; Marland, J.; Wareing, D.R.; Bolton, F.J. In-vitro photobactericidal activity of aminoacridines. J. Antimicrob. Chemother 1997, 40, 587–589. [Google Scholar] [CrossRef] [PubMed]
  19. Robins, R.K.; Dille, K.J.; Willits, C.H.; Christensen, B.E. Purines. II. The Synthesis of Certain Purines and the Cyclization of Several Substituted 4,5-Diaminopyrimidines. J. Am. Chem. Soc. 1953, 75, 263–266. [Google Scholar] [CrossRef]
  20. Bergmann, F.; Levin, G.; Kalmus, A.; Kwietny-Govrin, H. Synthesis and Properties of 3-Methylpurines. J. Org. Chem. 1961, 26, 1504–1508. [Google Scholar] [CrossRef]
  21. Youssif, S.; Agili, F.; Mohamed, S.F. Syntheis, Antiviral and Antimicrobial activities of New Substituted Thioxanthines and Thiolumazines. J. Appl. Sci. Res. 2009, 5, 1844–1852. [Google Scholar]
  22. Stanovnik, B.; Tisler, M.; Hribar, A.; Barlin, G.B.; Brown, D.J. Methylation of heterocyclic compounds containing NH, SH and/or OH groups by means of N,N-dimethylformamide dimethyl acetal. Aust. J. Chem. 1981, 34, 1729–1738. [Google Scholar]
  23. Lamoureux, G.; Agüero, C. A comparison of several modern alkylating agents. Arkivoc 2009, 1, 251–264. [Google Scholar]
  24. Youssif, S.; El-Bahaie, S.; Nabih, E. A Facile One-pot Synthesis of Fused 2-Thiouracils: Dipyrimidinopyridine, Pyrazolopyrimidine and Pyridazinopyrimidines. Bull. Korean Chem. Soc. 2003, 24, 1429–1432. [Google Scholar] [CrossRef]
  25. Youssif, S.; Mohamed, S.F. 6-Amino-2-thio- and 6-Aminouracils as Precursors for the Synthesis of Antiviral and Antimicrobial Methylenebis(2-thiouracils), Tricyclic Pyrimidines, and 6-Alkylthiopurine-2-ones. Chem. Mon. 2008, 139, 161–168. [Google Scholar] [CrossRef]
  26. Bauer, A.W.; Kirby, W.M.; Sherris, J.C.; Turck, M. Antibiotic susceptibility testing by a standardized single disk method. Am. J. Clin. Pathol. 1966, 45, 493–496. [Google Scholar] [PubMed]
  27. Wiegand, I.; Hilpert, K.; Hancok, R.E. Agar and broth dilution methods to determine the minimal inhibitory concentration (MIC) of antimicrobial substances. Nat. Protoc. 2008, 3, 163–175. [Google Scholar] [CrossRef] [PubMed]
  28. Hammer, K.A.; Carson, C.F.; Riley, T.V. Susceptibility of transient and commensal skin flora to the essential oil of Melaleuca alternifolia (tea tree oil). Am. J. Infect. Control 1996, 24, 186–189. [Google Scholar] [CrossRef]
  29. Turnidge, J.D.; Ferraro, M.J.; Jorgensen, J.H. Susceptibility Test Methods. General Considerations. In Manual of Clinical Microbiology, 8th ed.; Murray, P.R., Baron, E.J., Jorgensen, J.H., Pfaller, M.A., Yolken, R.H., Eds.; ASM Press: Washington, DC, USA, 2003. [Google Scholar]
  • Sample Availability: Not available

Share and Cite

MDPI and ACS Style

El-kalyoubi, S.; Agili, F.; Youssif, S. Novel 2-Thioxanthine and Dipyrimidopyridine Derivatives: Synthesis and Antimicrobial Activity. Molecules 2015, 20, 19263-19276. https://doi.org/10.3390/molecules201019263

AMA Style

El-kalyoubi S, Agili F, Youssif S. Novel 2-Thioxanthine and Dipyrimidopyridine Derivatives: Synthesis and Antimicrobial Activity. Molecules. 2015; 20(10):19263-19276. https://doi.org/10.3390/molecules201019263

Chicago/Turabian Style

El-kalyoubi, Samar, Fatmah Agili, and Shaker Youssif. 2015. "Novel 2-Thioxanthine and Dipyrimidopyridine Derivatives: Synthesis and Antimicrobial Activity" Molecules 20, no. 10: 19263-19276. https://doi.org/10.3390/molecules201019263

APA Style

El-kalyoubi, S., Agili, F., & Youssif, S. (2015). Novel 2-Thioxanthine and Dipyrimidopyridine Derivatives: Synthesis and Antimicrobial Activity. Molecules, 20(10), 19263-19276. https://doi.org/10.3390/molecules201019263

Article Metrics

Back to TopTop