Next Article in Journal
Potential of Essential Oils as Penetration Enhancers for Transdermal Administration of Ibuprofen to Treat Dysmenorrhoea
Next Article in Special Issue
Novel 2-Thioxanthine and Dipyrimidopyridine Derivatives: Synthesis and Antimicrobial Activity
Previous Article in Journal
Synthesis and Preliminary Evaluation of N-Oxide Derivatives for the Prevention of Atherothrombotic Events
Previous Article in Special Issue
Heterocyclic Anticancer Compounds: Recent Advances and the Paradigm Shift towards the Use of Nanomedicine’s Tool Box
 
 
Font Type:
Arial Georgia Verdana
Font Size:
Aa Aa Aa
Line Spacing:
Column Width:
Background:
Article

Synthesis of Some Novel Heterocyclic and Schiff Base Derivatives as Antimicrobial Agents

by
Mohamed E. Azab
1,*,
Sameh A. Rizk
1 and
Abd El-Galil E. Amr
2,3
1
Department of Chemistry, Faculty of Science, University of Ain Shams, Cairo 11566, Egypt
2
Pharmaceutical Chemistry Department, Drug Exploration & Development Chair (DEDC), College of Pharmacy, King Saud University, Riyadh 11451, Saudi Arabia
3
Applied Organic Chemistry Department, National Research Center, Dokki, Cairo 12622, Egypt
*
Author to whom correspondence should be addressed.
Molecules 2015, 20(10), 18201-18218; https://doi.org/10.3390/molecules201018201
Submission received: 5 September 2015 / Revised: 20 September 2015 / Accepted: 23 September 2015 / Published: 7 October 2015
(This article belongs to the Collection Heterocyclic Compounds)

Abstract

:
Treatment of 2,3-diaryloxirane-2,3-dicarbonitriles 1ac with different nitrogen nucleophiles, e.g., hydrazine, methyl hydrazine, phenyl hydrazine, hydroxylamine, thiosemicarbazide, and/or 2-amino-5-phenyl-1,3,4-thiadiazole, afforded pyrazole, isoxazole, pyrrolotriazine, imidazolothiadiazole derivatives 25, respectively. Reacting pyrazoles 2ac with aromatic aldehydes and/or methyl glycinate produced Schiff’s bases 7ad and pyrazolo[3,4-b]-pyrazinone derivative 8, respectively. Treating 7 with ammonium acetate and/or hydrazine hydrate, furnished the imidazolopyrazole and pyrazolotriazine derivatives 9 and 10, respectively. Reaction of 8 with chloroacetic acid and/or diethyl malonate gave tricyclic compound 11 and triketone 12, respectively. On the other hand, compound 1 was reacted with active methylene precursors, e.g., acetylacetone and/or cyclopentanone producing adducts 14a,b which upon fusion with ammonium acetate furnished the 3-pyridone derivatives 15a,b, respectively. Some of newly synthesized compounds were screened for activity against bacterial and fungal strains and most of the newly synthesized compounds showed high antimicrobial activities. The structures of the new compounds were elucidated using IR, 1H-NMR, 13C-NMR and mass spectroscopy.

1. Introduction

2,3-Diaryloxirane-2,3-dicarbonitriles are well-known as important synthetic intermediates [1,2]. The reaction of such compounds with nitrogen and carbon nucleophiles produces many biologically active heteocyclic compounds. For example, substituted pyrazoles are reported to be an important class of compounds in the agricultural and medicinal chemistry fields because of their broad spectrum biological activities [3,4,5,6] and they also have anti-cancer effects [7]. Imidazole derivatives act as potent and selective neuropeptide Y Y5 receptor antagonists, having antifungal and antibacterial activity and are used as potential tuberculostatic agents [8,9,10]. On the other hand, isooxazole derivatives have antifungal activity against Candida albicans, immunological and immunotropic activities [11,12,13]. Schiff bases have remarkable complex-forming properties and serve as excellent chelating ligands and have been used as analytical reagents for the spectrophotometric determination of metal ions [14,15]. For the abovementioned properties, and in continuation of our program in synthesis of biologically active heterocyclic compounds [16,17,18,19,20,21,22,23,24,25,26], we decided to use 2,3-diaryloxirane-2,3-dicarbonitrile derivatives 1ac as a key starting material for the purpose of preparing some novel heterocyclic compounds by reaction with different nitrogen and carbon nucleophiles whereby we synthesized pyrazoles, oxazoles, fused pyrazoles and pyridines, and then study their antimicrobial activity. Most of the newly synthesized compounds were screened in vitro for their antimicrobial activities against different strains of bacteria and fungi. Some of the compounds such as compounds 7a and 7b showed high antibacterial activity similar to or higher than that of the reference compounds, suggesting that they may find use as antibacterial agents.

2. Results and Discussion

2.1. Chemistry

The 2,3-diaryloxirane-2,3-dicarbonitrile derivatives 1ac were allowed to react with different nitrogen binucleophiles. Thus, compounds 1ac were treated with hydrazine derivatives (hydrazine hydrate, methyl hydrazine and/or phenyl hydrazine), hydroxylamine hydrochloride, thiosemicarbazide, and/or 2-amino-5-aryl-1,3,4-thiadiazole to afford 3-amino-1-substituted-5,5-diaryl-1H-pyrazol-4(5H)-ones 2ae, 3-amino-5,5-diarylisoxazol-4(5H)-ones 3ac, pyrrolo[2,3-e][1,2,4]triazine-3(2H)-thione (4) and imidazo[2,1-b][1,3,4]thiadiazol-5(6H)-one (5), respectively (Scheme 1).
Scheme 1. Synthetic routes for compounds 25.
Scheme 1. Synthetic routes for compounds 25.
Molecules 20 18201 g001
Reagents and Conditions: (i) N2H4/ethanol/reflux 6 h, 60%–76%; (ii) NH2OH/pyridine/reflux 5 h, 68%–77%; (iii) NH2NHCSNH2/ethanol/reflux, 77%; (iv) 2-amino-5-phenyl-1,3,4-thiadiazole/ethanol/ reflux 4 h, 65%.
The speculated mechanism for the formation of compound 2 is shown in Scheme 2.
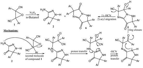
On the other hand, when compound 1 was reacted with hydrazine hydrate in boiling n-butanol, two products were isolated, one of them was the pyrazolone 2 and the other was identified to be the imidazolopyrazolone 6 (Scheme 3). The structure of 6 was elucidated from its 1H-NMR and 13C-NMR spectra, which indicate the presence of four aryl groups and two carbonyl groups. The postulated mechanism for the formation of compound 6 is shown in Scheme 3.
Scheme 2. Mechanism for the formation of compound 2.
Scheme 2. Mechanism for the formation of compound 2.
Molecules 20 18201 g002
Scheme 3. Synthetic route for compound 6.
Scheme 3. Synthetic route for compound 6.
Molecules 20 18201 g003
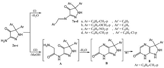
The structures of pyrazolone derivatives 2ac were supported chemically by their reaction with aromatic aldehydes (namely: benzaldehyde, and p-chlorobenzaldehyde) and/or methyl glycinate, in boiling ethanol, producing the Schiff’s bases 7ad and the pyrazolo[3,4-b]-pyrazinone derivative 8, respectively (Scheme 4).
Scheme 4. Synthetic routes for compounds 7 and 8.
Scheme 4. Synthetic routes for compounds 7 and 8.
Molecules 20 18201 g004
Reaction Conditions: (i) ArCHO/ethanol/reflux 4 h, 65%–75%; (ii) Methyl glycinate/ethanol/reflux 4 h, 70%.
The formation of compounds 7ac takes place through condensation reactions between the carbonyl group of the aldehyde and the amino group of compound 2 (accompanied by loss of a water molecule). The reaction of 2 with methyl glycinate takes place by the attack of the pyrazole amino group on the ester group followed by the removal of a methanol molecule forming the intermediate A, then elimination of a water molecule to form intermediate B which rearranges to the more stable form 8.
Furthermore, the Schiff's bases 7a–c were subjected to reaction with ammonium acetate (fusion at 90 °C) and/or hydrazine hydrate (in boiling ethanol), afforded the imidazolopyrazoles 9a–c and the pyrazolo[3,4-e]1,2,4-triazine derivatives 10a–c, respectively (Scheme 5).
Scheme 5. Synthetic routes for compounds 9 and 10.
Scheme 5. Synthetic routes for compounds 9 and 10.
Molecules 20 18201 g005
Reaction Conditions: (i) Ammonium acetate/fusion at 90 °C/3 h, 66%–74%; (ii) N2H4∙H2O/ethanol/reflux 6 h, 68%–72%.
Compounds 9ac were formed by the formation of the imine C (by condensation of ammonia and the carbonyl group) followed by ring closure via the attack of the imino group on the C=N moiety of the Schiff's base. Similarly, formation of compounds 10ac occurs by the formation of the hydrazone D followed by ring closure via the attack of the amino group on the Schiff's base C=N.
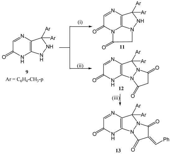
Treatment of the pyrazolopyrazinone derivative 8 with chloroacetic acid in the presence of phosphorus oxychloride furnished the tricyclic compound 11, while reaction of diethyl malonate with 8 in boiling ethanol produced the triketone 12, which upon refluxing with benzaldehyde in ethanol, afforded the chalcone 13 (Scheme 6).
Scheme 6. Synthetic routes for compounds 1113.
Scheme 6. Synthetic routes for compounds 1113.
Molecules 20 18201 g006
Reaction Conditions: (i) ClCH2CO2H/POCl3/reflux 2 h, 55%; (ii) CH2(CO2C2H5)2/ethanol/reflux 4 h, 57%; (iii) PhCHO/ethanol/reflux 6 h, 24%.
The present investigation was extended to explore the reactivity of the oxirane derivative 1a towards some carbon nucleophiles. Thus, when compound 1a was refluxed in ethanol with active methylene compounds (namely: acetylacetone, and/or cyclohexanone) in the presence of 50% aqueous NaOH (as a catalyst), the adducts 14a,b were obtained. Cyclization of 14a,b, by fusion with ammonium acetate furnished the 3-pyridone derivatives 15a,b (Scheme 7).
Scheme 7. Synthetic routes for compounds 14 and 15.
Scheme 7. Synthetic routes for compounds 14 and 15.
Molecules 20 18201 g007
Reaction Conditions: (i) Active methylene/NaOH/ethanol/reflux 3 h, 67%–70%; (ii) Ammonium acetate/fusion at 150 °C/2 h, 65%–74%.
A plausible mechanism for the formation of compounds 15a,b is illustrated in Scheme 8.
Scheme 8. Mechanism for the formation of compounds 15a,b.
Scheme 8. Mechanism for the formation of compounds 15a,b.
Molecules 20 18201 g008

2.2. Antimicrobial Activity

Most of the newly synthesized compounds were screened in vitro for their antimicrobial activities against different strains of bacteria and fungi. The microorganisms used were Staphylococcus aureus (Gram positive), Escherichia coli, Pseudomonas aeruginosa (Gram negative) and Candida albicans (yeast) by using the agar diffusion method [27] to select the most potent compounds.
One mg of each compound was dissolved in dimethyl sulfoxide (DMSO, 1 mL) then made up to 10 mL with sterile water to give a concentration of 100 μg/mL. The bacteria were maintained on nutrient agar media. The efficiency of the tested compounds was compared to that of ampicillin, streptomycin and nystatin.
The agar media was incubated with the different tested microorganisms. After 24–48 h of incubation at 37 °C, DMSO showed no inhibition zones. The diameters of the inhibition zones of the tested compounds were measured. The results are presented in Table 1.
Table 1. Antimicrobial activity of compounds 215.
Table 1. Antimicrobial activity of compounds 215.
Synthesized CompoundsStaphylococcusAureusEscherichia ColiPseudomonas AeruginosaCandida Albicans
2a19202115
2b19162115
2c17181611
412121812
512161810
6a1211150.0
7a18232215
7b17202113
9a20172021
9b11141016
10a13130.015
1214130.011
1316161913
1415172112
1513120.011
Ampicillin0.0220.00.0
Streptomycin20210.00.0
Nystatin0.00.00.022
Zone of inhibition measured in mm: no activity (0.0), very weak activity (< 7 mm), weak activity (7–10), moderate activity (11–15 mm), strong activity (> 15 mm).
The antimicrobial activity results revealed that most of the tested compounds have moderate to strong activity. The most potent compounds are 7a, 7b and 9a. When these compounds were compared with the reference compounds (ampicillin, streptomycin and nystatin) we found that they have an antimicrobial activity higher or almost equal to them. On the other hand, in comparing the obtained values of antimicrobial activity for our newly synthesized Schiff bases 7a, 7b with similar compounds which were previously reported [28,29], we found that our compounds display higher antimicrobial activity values.

3. Experimental Section

3.1. General Information

All melting points are uncorrected and were determined on a Stuart electric melting point apparatus. The microanalysis were within ±0.4% of theoretical values and were carried out at the Microanalytical Centre, National Research Centre, Cairo, Egypt. IR spectra (KBr) were recorded on a FT-IR 400D infrared spectrometer (New York, USA) using the OMNIC program and are reported as frequency of absorption in cm−1. 1H-NMR spectra were recorded on a Bruker spectrophotometer (Rheinstetten, Germany) at 400 MHz using TMS as internal standard and with residual signals of the deuterated solvent δ = 7.26 ppm for CDCl3 and δ 2.51 ppm for DMSO-d6. 13C-NMR spectra were recorded on the same spectrometer at 100 MHz and referenced to solvent signals δ = 77 ppm for CDCl3 and δ 39.50 ppm for DMSO-d6. DEPT 135 NMR spectroscopy was used where appropriate to aid the assignment of signals in the 1H and 13C-NMR spectra. The mass spectra were recorded on a Shimadzu GCMS-QP-1000 EX mass spectrometer (Kyoto, Japan) at 70 eV using the electron ionization technique. Homogeneity of all compounds synthesized was checked by TLC which was performed on Merck 60 (Munchen, Germany) ready-to-use silica gel plates to monitor the reactions and test the purity of the new synthesized compounds. Compounds 1ac were prepared by a previously reported method [2].

3.2. General Procedure for the Preparation of Compounds 2ae

An equimolar mixture of compounds 1ac (0.01 mol) and the hydrazine derivatives, namely hydrazine hydrate, methyl hydrazine and phenyl hydrazine (0.01 mol) in 50 mL ethanol was refluxed for 6 h. The solid that separated after cooling was filtered off, washed with petroleum ether (b.p 40–60 °C), dried and then crystallized from ethanol.
3-Amino-5,5-di(4-methylphenyl)-1H-pyrazol-4(5H)-one (2a). Yield 73%. m.p. 230–232 °C. IR (KBr), ν cm−1: 3310, 3270 (NH2, NH), 3056 (CHAr), 1713 (CO). 1H-NMR (DMSO-d6): δ at 2.13 (s, 6H, 2CH3), 7.09–7.86 (m, 8H, ArH), 8.83 (bs, 2H, NH2, D2O exchangeable) 11.81 (s, 1H, NH D2O exchangeable), 13C-NMR (DMSO-d6) δ ppm: 23.6 (CH3), 75.2 (C5), 130.5, 131.7, 134.3, 135.8, 144.4 (aromatic + C=N), 191.6 (C=O). MS: m/z 279 [M+.] (34%). Anal. Calc. for C17H17N3O (279): C, 73.11; H, 6.09; N 15.05; found: C, 73.39; H, 5.87; N, 15.44.
3-Amino-5,5-di(4-methoxyphenyl)-1H-pyrazol-4(5H)-one (2b). Yield 77%. m.p. 246–248 °C. IR (KBr), ν cm−1: 3436, 3276 (NH2, NH), 3063 (CHAr), 1712 (CO). 1H-NMR (DMSO-d6): δ 3.53 (s, 6H, 2OCH3), 7.43-7.82 (m, 8H, ArH), 12.12 (bs, 2H, NH2, D2O exchangeable), and 13.24 (bs, 1H, NH, D2O exchangeable). 13C-NMR (DMSO-d6) δ ppm: 59.8 (CH3), 77.1 (C5), 116.7, 128.4, 134.6, 143.8, 153.5 (aromatic + C=N), 191.1 (C=O). MS: m/z 311 [M+.] (23.7%). Anal. Calc. for C17H17N3O3 (311): C, 65.59; H, 5.46; N, 15.43; found: C 65.23, H 5.31, N 15.05.
3-Amino-5,5-di(4-nitrophenyl)-1H-pyrazol-4(5H)-one (2c). Yield 65%. m.p. 182–184 °C. IR (KBr), ν cm−1: 3457, 3338 (NH2, NH), 3065 (CHAr), 1718 (CO). 1H-NMR(DMSO-d6): δ 7.32–7.82 (m, 8H, ArH), 11.86 (bs, 2H, NH2, D2O exchangeable) and 12.85 (bs, 1H, NH, D2O exchangeable). MS: m/z 341 [M+.] (14.8%). Anal. Calc. for C15H11N5O5 (341): C, 52.78; H, 3.22; N, 20.53; found: C, 53.02; H, 3.08, N, 20.89.
3-Amino-5,5-di(4-methylphenyl)-1-methyl-pyrazol-4(5H)-one (2d). Yield 64%. m.p. 204–206 °C. IR (KBr), ν cm−1: 3324 (NH2), 3056 (CHAr), 1722 (CO). 1H-NMR (DMSO-d6): δ 2.21 (s, 6H, 2CH3Ar), 3.36 (s, 3H, CH3), 7.21–7.66 (m, 8H, ArH), 11.27 (bs, 2H, NH2, D2O exchangeable). 13C-NMR (DMSO-d6) δ ppm: 22.7 (CH3), 38.5 (CH3), 78.6 (C5), 130.6, 132.3, 133.5, 137.9, 144.1 (aromatic + C=N), 192.0 (C=O). MS: m/z 293 [M+.] (12.9%). Anal. Calc. for C18H19N3O (293): C, 73.72; H, 6. 48; N, 14.33; found: C, 74.00; H, 6.75; N, 14.00.
3-Amino-5,5-di(4-methylphenyl)-1-phenyl-pyrazol-4(5H)-one (2e). Yield 60%. m.p. 218–220 °C. IR (KBr), ν cm−1: 3321 (NH2), 3060 (CHAr), 1720 (CO). 1HNMR (DMSO-d6): δ 2.26 (s, 6H, 2CH3), multiplet at 7.28–7.80 (m, 13H, ArH), 10.17 (bs, 2H, NH2, D2O exchangeable). 13C-NMR (DMSO-d6) δ ppm: 23.1 (CH3), 76.7 (C5), 117.8, 123.6, 126.8, 130.8, 132.1, 133.1, 135.5, 141.7, 144.6 (aromatic + C=N), 192.6(C=O). MS: m/z 355 [M+.] (8.9%). Anal. Calc. for C23H21N3O (355): C, 77.74; H, 5.91; N, 11.83; found: C, 78.05; H, 5.77; N, 11.50.

3.3. General Procedure for the Preparation of the Compounds 3ac

A mixture of 1ac (0.01 mol) and hydroxylamine hydrochloride (1.03 g; 0.015 mol) in boiling pyridine (50 mL) was heated under reflux for 5h. The reaction mixture was allowed to cool, poured into ice/HCl. The product that precipitated was filtered, dried, and recrystallized from dioxane.
3-Amino-5,5-di(4-methylphenyl)isoxazol-4(5H)-one (3a). Yield 73%. m.p. 222–224 °C. IR (KBr), ν cm−1: 3357 (NH2), 3056 (CHAr), 1706 (CO). 1H-NMR (DMSO-d6): δ 2.11 (s, 6H, 2CH3), 7.25–7.80 (m, 8H, Ar-H), 8.11 (bs, 2H, NH2, D2O exchangeable). 13C-NMR (DMSO-d6) δ ppm: 23.4 (CH3), 101.7 (C5), 128.3, 130.4, 134.6, 140.0, 149.2 (aromatic + C=N), 193.0(C=O). MS: m/z 280 [M+.] (4.6%). Anal. Calc. for C17H16N2O2 (280): C, 72.86; H, 5.71; N, 10.00; found: C, 72.57; H, 5.55; N, 10.32.
3-Amino-5,5-di(4-methoxyphenyl)isoxazol-4(5H)-one (3b). Yield 77%. m.p. 250–252 °C. IR (KBr), ν cm−1: 3299 (NH2), 3054 (CHAr), 1724 (CO). 1H-NMR (DMSO-d6): δ 3.67 (s, 6H, 2OCH3), 7.23–7.89 (m, 8H, Ar-H), 9.21 (bs, 2H, NH2, D2O exchangeable). 13C-NMR (DMSO-d6) δ ppm: 58.2 (CH3), 102.2 (C5), 120.6, 129.1, 135.2, 149.5, 154.4 (aromatic + C=N), 192.1 (C=O). MS: m/z 312 [M+.] (15.7%). Anal. Calc. for C17H16N2O4 (312): C, 65.38; H, 5.13; N, 8.97; found: C, 65.00; H, 4.99; N 8.65.
3-Amino-5,5-di(4-nitrophenyl)isoxazol-4(5H)-one (3c). Yield 68%. m.p. 204–206 °C. IR (KBr), ν cm−1: 3448 (NH2), 3058 (CHAr), 1723 (CO). 1H-NMR (DMSO-d6): δ 7.16–7.74 (m, 8H, Ar-H), 8.78 (bs, 2H, NH2, D2O exchangeable). MS: m/z 342 [M+.] (12.8%). Anal. Calc. for C15H10N4O6 (342): C, 52.63; H, 2.92; N, 16.37; found: C, 52.99; H, 2.80; N, 16.05.

3.4. 6-Amino-7-hydroxy-7,7a-di(4-methylphenyl)-7,7a-dihydro-1H-pyrrolo[2,3-e][1,2,4]-triazine-3(2H)-thione (4)

An equimolar mixture of compound 1a (2.74 g; 0.01 mol) and thiosemicarbazide (0.91 g, 0.01 mol) in 50 mL ethanol was refluxed for 4 h. The solid that separated after cooling was filtered off, dried and then, recrystallized from ethanol. Yield 70%. m.p. 192–194 °C. IR (KBr), ν cm−1: 3543 (OH), 3408 (NH2), 3287, 3209 (NH), 3052 (CHAr), 2860 (SH), 1629 (C=N). 1H-NMR (DMSO-d6): δ 2.19 (s, 6H, 2CH3), 5.63 (bs, 1H, OH, D2O exchangeable), 7.16–7.72 (m, 8H, ArH) 8.77 (bs, 2H, NH2, D2O exchangeable) 12.07, 12.52 (bs, 2H, 2NH, D2O exchangeable). 13C-NMR (DMSO-d6) δ ppm: 23.1 (CH3), 66.9, 92.4 (saturated-C), 124.7, 125.4, 126.4, 127.8, 135.3, 136.1, 140.1, 145.3, 157.2, 158.3 (Aromatic + C=N), 179.9 (C=S). MS: m/z 365 [M+.] (21.4%). Anal. Calc. for C19H19N5OS (365): C 62.47, H 5.20, N 19.18, S 8.77; found: C 62.18, H 5.40, N 18.87, S 8.45.

3.5. (6-(4-Methylbenzoyl)-2-phenyl-6-(4-methyphenyl)imidazo[2,1-b][1,3,4]thiadiazol-5(6H)-one (5)

A mixture of 1a (2.74g, 0.01 mol) and 2-amino-5-phenyl-1,3,4-thiadiazole (1.77 g; 0.01 mol) in ethanol (50 mL) was refluxed for 4h, then left to cool. The separated solid product was filtered off, dried and recrystallized from toluene-ethanol mixture. Yield 65%. m.p. 152–154 °C. IR (KBr), ν cm−1: 3052 (CHAr), 1668, 1687 (CO), 1613 (C=N). 1H-NMR (DMSO-d6): δ 2.14 (s, 3H, CH3), 7.24–7.81 (m, 13H, ArH). 13C-NMR (DMSO-d6) δ ppm: 22.4 (CH3), 84.4 (saturated-C), 127.3, 128.1, 129.6, 130.4, 131.7, 132.6, 133.4, 134. 3,135.2, 136.3, 137.5, 138.2, 141.7, 146.9, 149.3 (aromatic + C=N), 175.8, 199.1, (C=O). MS: m/z 425 [M+] (5.1%). Anal. Calc. for C25H19N3O2S (425): C, 70.59; H, 4.47; N, 9.88; S, 7.53; found: C, 70.95; H, 4.28; N, 9.52; S, 7.80.

3.6. General Procedure for the Preparation of Compounds 6ac

An equimolar mixture of compounds 1ac (0.01 mol) and hydrazine hydrate (0.5 mL, 0.01 mol) in n-butanol (30 mL) was refluxed for 8 h. The solid that separated after cooling was filtered off, washed by petroleum ether (b.p. 40–60 °C), dried and then crystallized from n-butanol to afford compounds 7ac. The mother liquor (n-butanol) was evaporated under vacuum till dryness. The obtained solid was crystallized from ethanol producing compounds 2ac.
2,2,6,6-Tetra(4-methylphenyl)-5,6-dihydro-2H-pyrazolo[1,5-a]imidazole-3,7-dione (6a). Yield 30%. m.p. 296–298 °C. IR (KBr), ν cm−1: 3119 (NH), 3074 (CHAr), 1669, 1652 (C=O). 1H-NMR (DMSO-d6): δ 2.14, 2.36 (s, 12H, 4CH3), 7.04–7.58 (m, 16H, ArH), 12.33 (bs, 1H, NH, D2O exchangeable). 13C-NMR (DMSO-d6) δ ppm: 22.4 (CH3), 79.9, 87.8 (saturated-C), 130.3, 131.4, 134.8, 137.1, 138.2, 140.1, 140.9, 148.8 (aromatic + C=N), 184.5, 190.8 (C=O). MS: m/z 499 [M+.] (7.75). Anal. Calc. for C33H29N3O2 (499): C, 79.36; H, 5.81; N, 8.42; found: C, 79.32; H, 5.83; N, 8.45.
2,2,6,6-Tetra(4-methoxyphenyl)-5,6-dihydro-2H-pyrazolo[1,5-a]imidazole-3,7-dione (6b). Yield 27%. m.p. 282–284 °C. IR (KBr), ν cm−1: 3331 (NH), 3050 (CHAr), 1680, 1666 (C=O). 1H-NMR (DMSO-d6): δ 3.72, 3.86 (s, 12H, 4OCH3), 7.54–8.20 (m, 16H, ArH), 12.51 (bs, 1H, NH, D2O exchangeable). 13C-NMR (DMSO-d6) δ ppm: 57.1 (CH3), 78.8, 88.1 (saturated-C), 118.7, 130.5, 133.2, 134.1, 146.3, 149.9 (aromatic + C=N), 177.8, 194.4 (C=O). MS: m/z 563 [M+.] (13.4%). Anal. Calc. for C33H29N3O6 (563): C, 70.34; H, 5.15; N, 7.46; found: C, 70.08; H, 4.93; N, 7.09.
2,2,6,6-Tetra(4-nitrophenyl)-5,6-dihydro-2H-pyrazolo[1,5-a]imidazole-3,7-dione (6c). Yield 25%. m.p. 260–262 °C. IR (KBr), ν cm−1: 3276 (NH), 3073(CHAr), 1685, 1669 (C=O). 1H-NMR (DMSO-d6): δ 7.37–7.94 (m, 16H, ArH), 12.89 (bs, 1H, NH, D2O exchangeable). MS: m/z 623 [M+.] (44.4%). Anal. Calc. for C29H17N7O10 (623): C, 55.85; H, 2.72; N, 15.73; found: C, 55.84; H, 2.70; N, 15.70.

3.7. General Procedure for the Preparation of the Schiff's Bases 7ad

A mixture of compounds 2ac (0.01 mol) and aromatic aldehyde, namely benzaldehyde and/or p-chlorobenzaldehyde (0.01 mol) in ethanol (50 mL) was refluxed for 4 h. The solid that separated after cooling was filtered off, dried and then crystallized from ethanol.
3-(Benzylideneamino)-5,5-di(4-methylphenyl)-1H-pyrazol-4(5H)-one (7a). Yield 70%. m.p. 212–214 °C. IR (KBr), ν cm−1: 3221 (NH), 3056 (CHAr), 1676 (CO). 1H-NMR (DMSO-d6): δ 2.25 (s, 6H, 2CH3), 6.22 (s, 1H, CH=), 7.19–7.92 (m, 13H, ArH), 11.24 (bs, 1H, NH, D2O exchangeable). 13C-NMR (DMSO-d6) δ ppm: 23.3 (CH3), 75.7 (saturated-C), 127.4, 128.6, 130.2, 131.4, 133.9, 134.7, 135.6, 137.9, 147.1, 152.6 (aromatic + C=N), 191.5 (C=O). MS: m/z 367 [M+.], 274, 194, 178, 166, 145. Anal. Calc. for C24H21N3O (367): C, 78.47; H, 5.72; N, 11.44; found: C, 78.81; H, 5.55; N 11.12.
3-(Benzylideneamino)-5,5-di(4-methoxyphenyl)-1H-pyrazol-4(5H)-one (7b). Yield 75%. m.p. 226–228 °C. IR (KBr), ν cm−1: 3211(NH), 3058 (CHAr), 1670 (CO). 1H-NMR (DMSO-d6): δ 3.71 (s, 6H, 2OCH3), 6.31 (s,1H, CH=), 7.16–7.97 (m, 13H, ArH), 11.32 (bs, 1H, NH, D2O exchangeable). 13C-NMR (DMSO-d6) δ ppm: 59.3 (CH3), 77.4 (saturated-C), 116.2, 128.6, 130.1, 131.5, 133.2, 134.6, 135.8, 148.5, 149.8 153.5(aromatic + C=N), 189.5(C=O). MS: m/z 399 [M+] (28.2%). Anal. Calc. for C24H21N3O3 (399): C, 72.18; H, 5.26; N, 10.53; found: C, 71.83; H, 5.61; N, 10.35.
3-(Benzylideneamino)-5,5-di(4-nitrophenyl)-1H-pyrazol-4(5H)-one (7c). Yield 65%. m.p. 210–212 °C. IR (KBr), ν cm−1: 3278 (NH), 3080 (CHAr), 1680 (CO). 1H-NMR (DMSO-d6): δ 6.47 (s, 1H, CH=), 7.14–8.00 (m, 13H, ArH), 10.11 (bs, 1H, NH, D2O exchangeable). MS: m/z 429 [M+.] (25.6%). Anal. Calc. for C22H15N5O5 (429): C, 67.71; H, 4.07; N, 13.16; found: C, 67.70; H, 4.02; N, 13.15.
3-(4-Chlorobenzylidenimino)-5,5-di(4-methylphenyl)-1H-pyrazol-4(5H)-one (7d). Yield 72%. m.p. 226–228 °C. IR (KBr), ν cm−1: 3290 (NH), 3052 (CHAr), 1672 (CO). 1H-NMR (DMSO-d6): δ 2.28 (s, 6H, 2CH3), 6.57 (s, 1H, CH=), 7.31–7.95 (m, 12H, ArH), 11.00 (bs, 1H, NH, D2O exchangeable). 13C-NMR (DMSO-d6) δ ppm: 23.0 (CH3), 75.1 (saturated-C), 127.7, 128.8, 130.0, 131.6, 133.5, 134.8, 135.8, 137.5, 147.4, 153.1 (aromatic + C=N), 191.8 (C=O). MS: m/z 401 [M+.] (33.6%), [M + 2] (11.1%). Anal. Calc. for C24H20N3OCl (401.5): C, 71.73; H, 4.98; N, 10.46; Cl, 8.84; found: C, 70.65; H, 4.26; N, 11.21; Cl, 8.51.

3.8. 3,3-Di(4-methylphenyl)-2,3-dihydro-1H-pyrazolo[4,3-b]pyrazin-6(7H)-one (8)

A mixture of compound 2a (2.76 g; 0.01 mol) and methyl glycinate (1 mL, 0.01 mol) in ethanol (50 mL) was refluxed for 4 h. The solid that separated out after cooling was filtered off, dried and then recrystallized from dioxane. Yield 70%. m.p. 164–166 °C. IR (KBr), ν cm−1: 3277–3226 (NH), 3050 (CHAr), 1668 (C=O). 1H-NMR (DMSO-d6): δ 2.20 (s, 6H, 2CH3), 6.77 (s, 1H, CHpy), 7.21–7.80 (m, 8H, ArH), 6.4, 9.7 and 12.4 (3bs, 3H, 3NH, D2O exchangeable). 13C-NMR (DMSO-d6) δ ppm: 23.0 (CH3), 75.9 (saturated-C), 115.8, 130.1, 131.5, 134.0, 137.4, 138.7, 142.6 (aromatic + C=N), 178.4 (C=O). MS: m/z 318 [M+.] (23.9%). Anal. Calc. for C19H18N4O (318): C, 71.70; H, 5.66; N, 17.61; found: C, 71.47; H, 5.48; N, 17.28.

3.9. General Procedure for the Preparation of the Compounds 9ac

A mixture of compounds 7ac (0.01 mol) and ammonium acetate (2.31 g, 0.03 mol) was heated in an oil bath at 90 °C for 3 h. The mixture was left to cool then washed with water several times. The solid product was filtered off, dried and then, crystallized from dioxane.
3,3-Di(4-methylphenyl)-5-phenyl-4,5-dihydroimidazo[4,5-c]pyrazole (9a). Yield 69%. m.p. 164–166 °C. IR (KBr), ν cm−1: 3233, 3196 (NH), 3066 (CHAr), 1604 (C=N). 1H-NMR (DMSO-d6): δ 2.26 (s, 6H, 2CH3), 5.13 (s, 1H, imidazol), 7.23–7.73 (m, 13H, ArH), 9.71 and 10.49 (bs, 2H, 2NH, D2O exchangeable). 13C-NMR (DMSO-d6) δ ppm: 22.9 (CH3), 67.1, 75.8 (saturated-C), 117.6, 124.5, 127.8, 128.7, 130.4, 131.9, 133.8, 137.7, 141.4, 143.3 (aromaic-C). MS: m/z 366 [M+.] (55.1%). Anal. Calc. for C24H22N4 (366): C, 78.69; H, 6.01; N, 15.30; found: C, 78.96; H, 5.75; N, 15.62.
3,3-Di(4-methoxyphenyl)-5-phenyl-4,5-dihydroimidazo[4,5-c]pyrazole (9b). Yield 74%. m.p. 180–182 °C. IR (KBr), ν cm−1: 3280, 3208 (NH), 3050 (CHAr), 1614 (C=N). 1H-NMR (DMSO-d6): δ 3.85 (s, 6H, 2CH3), 5.28 (s, 1H, imidazol), 7.12–7.92 (m, 13H, ArH), 8.88 and 9.99 (bs, 2H, 2NH, D2O exchangeable). 13C-NMR (DMSO-d6) δ ppm: 58.7 (CH3), 67.4, 75.2 (saturated-C), 118.5, 124.8, 127.2, 128.9, 130.7, 131.7, 133.5, 136.7, 145.8, 149.6 (aromatic-C). MS: m/z 398 [M+] (43.8%). Anal. Calc. for C24H22N4O2 (398): C, 72.36; H, 5.53; N, 14.07; found: C, 71.98; H, 5.75; N, 13.76.
3,3-Di(4-nitrophenyl)-5-phenyl-4,5-dihydroimidazo[4,5-c]pyrazole (9c). Yield 66%. m.p. 224–228 °C. IR (KBr), ν cm−1: 3278, 3202 (NH), 3080 (CHAr), 1629 (C=N). 1H-NMR (DMSO-d6): δ 5.41 (s, 1H, imidazol), 7.34–8.23 (m, 13H, ArH), 10.22 and 11.09 (bs, 2H, 2NH, D2O exchangeable). 13C-NMR (DMSO-d6) δ ppm: 66.8, 75.2 (saturated-C) 120.8, 124.2, 126.1, 127.8, 129.5, 130.6, 131.7, 142.5, 146.3, 147.8 (aromatic-C). MS: m/z 428 [M+.] (48.2%). Anal. Calc. for C22H16N6O4 (428): C, 61.68; H, 3.74; N, 19.63; found: C, 61.89; H, 4.01; N, 19.99.

3.10. General Procedure for the Preparation of the Compounds 10ac

An equimolar mixture of compounds 7ac (0.01 mol) and hydrazine hydrate (0.5 mL, 0.01 mol) in ethanol (50 mL) was refluxed for 6 h. The solid that separated out after cooling was filtered off, washed with petroleum ether (b.p. 40–60 °C), dried and then crystallized from ethanol.
7,7-Di(4-methylphenyl)-3-phenyl-2,3,4,7-tetrahydro-1H-pyrazolo[3,4-e][1,2,4]triazine (10a). Yield 70%. m.p. 190–192 °C. IR (KBr), ν cm−1: 3298, 3260, 3182 (NH), 3063 (CHAr), 1630 (C=N). 1H-NMR (DMSO-d6): δ 2.22 (s, 6H, 2CH3), 5.55 (s, 1H, triazine), 7.13–7.88 (m, 13H, ArH), 9.13, 10.27 and 11.07 (bs, 3H, NH, D2O exchangeable). 13C-NMR (DMSO-d6) δ ppm: 22.5 (CH3), 70.2, 76.4 (saturated-C), 118.2, 124.8, 127.4, 128.9, 130.5, 131.7, 133.5, 137.2, 142.1, 145.1 (aromatic-C). MS: m/z 381 [M+.] (22.3%). Anal. Calc. for C24H23N5 (381): C, 75.59; H, 6.04; N, 18.37; found: C, 75.75; H, 5.86; N, 18.02.
7,7-Di(4-methoxyphenyl)-3-phenyl-2,3,4,7-tetrahydro-1H-pyrazolo[3,4-e][1,2,4]triazine (10b). Yield 72%. m.p. 181–183 °C. IR (KBr), ν cm−1: 3284, 3222, 3200 (NH), 3056 (CHAr), 1641 (C=N). 1H-NMR (DMSO-d6): δ 3.79 (s, 6H, 2OCH3), 5.42 (s, 1H, triazine), 7.30–7.79 (m, 13H, ArH), 9.38, 10.30 and 12.00 (bs, 3H, NH, D2O exchangeable). 13C-NMR (DMSO-d6) δ ppm: 59.1 (CH3), 70.8, 77.3 (saturated-C), 117.8, 124.1, 126.8, 128.6, 129.9, 131.4, 133.8, 137.1, 146.2, 150.5 (aromatic-C). MS: m/z 413 [M+] (26.1%). Anal. Calc. for C24H23N5O2 (413): C, 69.73; H, 5.57; N, 16.95; found: C, 70.01; H, 5.71; N, 16.60;
7,7-Di(4-nitrophenyl)-3-phenyl-2,3,4,7-tetrahydro-1H-pyrazolo[3,4-e][1,2,4]triazine (10c). Yield 68%. m.p. 241–243 °C. IR (KBr), ν cm−1: ν 3300, 3268, 3190 (NH), 3080 (CHAr), 1632 (C=N). 1H-NMR (DMSO-d6): δ 4.8 (s, 1H, triazine), 7.31–8.28 (m, 13H, ArH), 8.49, 10.01 and 11.77 (bs, 3H, NH, D2O exchangeable). 13C-NMR (DMSO-d6) δ ppm: 69.9, 75.9 (saturated-C) 116.4, 121.4, 126.5, 127.6, 129.7, 130.7, 132.1, 138.0, 146.0, 149.9 (aromatic-C). MS: m/z 443 [M+.] (27.7%). Anal. Calc. for C22H17N7O4 (443): C, 59.59; H, 3.84; N, 22.12; found: C, 59.85; H, 4.07; N, 21.77.

3.11. 4,4-Di(4-methylphenyl)-3,4-dihydro-7H-2a,3,5,7a-tetraazacyclopenta[c,d]indene-1,7-(2H)-dione (11).

An equimolar mixture of compound 8 (3.18 g; 0.01 mol) and chloroacetic acid (1 g; 0.01 mol) in phosphorous oxychloride (20 mL) was refluxed for 2 h. After cooling, the reaction mixture was poured onto ice/H2O, the solid that separated out was filtered off, washed with petroleum ether (b.p. 40–60 °C), dried and then crystallized from toluene. Yield 55%. m.p. 170–172 °C. IR (KBr), ν cm−1: 3222 (NH), 1677, 1655 (CO), 1613 (C=N). 1H-NMR (DMSO-d6): δ 2.16 (s, 6H, 2CH3), 4.17 (s, 2H, CH2), 6.72 (s, 1H, pyrazine), 7.44–7.76 (m, 8H, ArH), 8.72 (bs, 1H, NH, D2O exchangeable). 13C-NMR (DMSO-d6) δ ppm: 23.2 (CH3), 57.1, 76.8 (sp3-C), 117.4, 127.8, 130.7, 131.9, 134.1, 137.6, 145.1 (aromatic + sp2-C), 160.2, 170.1 (C=O). MS: m/z 358 [M+] (43.7%). Anal. Calc. for C21H18N4O2 (358): C, 70.39; H, 5.03; N, 15.64; found: C, 70.08; H, 4.81; N, 16.01.

3.12. 10,10-Di(4-methylphenyl)-4,10-dihydro-3H,6H-pyrazolo[1′,2′:1,2]pyrazolo[3,4-b]-pyrazine-3,6,8-(7H)-trione (12)

A mixture of compound 8 (3.18 g; 0.01 mol) and diethyl malonate (2.4 mL; 0.015 mol) in ethanol (50 mL) was refluxed for 4 h. The solid that separated out after cooling was filtered off, washed with petroleum ether (b.p. 40–60 °C), dried and then recrystallized from ethanol. Yield 57%. m.p. 224–226 °C. IR (KBr), ν cm−1: 3245 (NH), 1691, 1672, 1659 (CO), 1620 (C=N), 1H-NMR (DMSO-d6): δ 2.15 (s, 6H, 2CH3), 4.51(s, 2H, COCH2CO), 6.81 (s, 1H, pyrazine), 7.32–7.83 (s,8H, ArH), 10.14 (bs, 1H, NH, D2O exchangeable). 13C-NMR (DMSO-d6) δ ppm: 23.0 (CH3), 49.4, 76.0 (saturated-C), 117.0, 127.4, 130.0, 131.2, 134.7, 138.0, 145.9 (aromatic + C=N), 161.3, 170.9, 175.3 (C=O). MS: m/z 386 [M+] (44.4%). Anal. Calc. for C22H18N4O3 (386): C, 68.39; H, 4.66; N, 14.51; found: C, 68.07; H, 4.88; N, 14.22.

3.13. 7-Benzylidene-10,10-di(4-methylphenyl)-4,10-dihydro-3H,6H-pyrazolo[1',2':1,2]-pyrazolo[3,4-b]pyrazine-3,6,8(7H)-trione (13)

An equimolar mixture of compound 12 (3.86 g; 0.01 mol) and benzaldehyde (1.06 mL; 0.01 mol) in ethanol (50 mL) was refluxed for 6 h. The solid that separated after cooling was filtered off, dried and then crystallized from n-butanol. Yield 24%. m.p. 266–268 °C. IR (KBr), ν cm−1: 3290 (NH), 1687, 1677, 1666, (CO), 1626 (C=N). 1H-NMR (DMSO-d6): δ 2.26 (s, 6H, 2CH3), 6.44, 6.87 (bs, 2H, benzylic and pyrazine), 7.27–7.87 (m, 13H, ArH), 9.82 (bs,1 H, NH, D2O exchangeable). 13C-NMR (DMSO-d6) δ ppm: 23.4 (CH3), 76.5 (saturated-C), 117.8, 125.1, 126. 4, 127.7, 128.9, 130.0, 131.2, 133.0, 134.7, 136.3, 138.0, 145.9, 150.7 (aromatic + C=N), 160.5, 171.2, 173.7 (C=O). MS: m/z 474 [M+] (77.6%). Anal. Calc. for C29H22N4O3 (474): C, 73.42; H, 4.64; N, 11.81; found: C 73.05; H, 4.35; N, 12.13.

3.14. General Procedure for the Preparation of Compounds 14a,b

An equimolar mixture of compound 1a (2.74 g; 0.01 mol) and an active methylene precursor, e.g., acetylacetone and/or cyclopentanone (0.01 mol) and aqueous NaOH (50%, 8 mL) in ethanol (50 mL) was refluxed for 3 h and left overnight. The reaction mixture was poured into ice/HCl. The solid so formed filtered off, washed with water, dried and then crystallized from ethanol.
3,3-Diacetyl-1,2-di(4-methylphenyl)-1,2-dicyanopropanol (14a). Yield 70%. m.p. 220–222 °C. IR (KBr), ν cm−1: 3380 (OH), 3062 (CHAr), 2240, 2220 (CN), 1688 (CO). 1H-NMR (DMSO-d6): δ 2.19 (s, 6H, 2CH3), 2.43 (s, 6H, 2CH3), 4.29 (s, 1H, COCHCO), 5.55 (bs, 1H, OH, D2O exchangeable), 7.25–7.84 (m, 8H, ArH). 13C-NMR (DMSO-d6) δ ppm: 22.5, 30.2, (CH3), 36.0, 63.1, 78.2 (saturated-C), 116.8, 120.0 (CN), 125.3, 127.1, 129.6, 131.2, 134.6, 136.8, 141.1, 146.9 (aromatic-C), 200.2 (C=O). MS: m/z 374 [M+.] (87.4%). Anal. Calc. for C23H22N2O3 (374): C, 73.80; H, 5.88; N, 7.48; found: C, 74.15; H, 5.67; N, 7.16.
1,2-Dicyano-1,2-di(4-methylphenyl)-2-(2-oxocyclopentyl)ethanol (14b). Yield 67%. m.p. 192–194 °C. IR (KBr), ν cm−1: 3367 (OH), 3051 (CHAr), 2950 (CHAli), 2243, 2221 (CN), 1677 (CO), 1H-NMR (DMSO-d6): δ 1.79–2.01 (m, 6H, CHcyclopent.), 2.13 (s, 6H, 2CH3), 2.31 (s, 1H, CHcyclopent), 5.88 (bs, 1H, OH, D2O exchangeable), 7.15–7.78 (m, 8H, ArH). 13C-NMR (DMSO-d6) δ ppm: 15.4, 21.5, 22.7, 36.9, 42.3, 52.0, 77.2 (saturated-C), 116.1, 119.2 (CN), 125.5, 127.4, 129.9, 130.9, 133.8, 136.3, 141.1, 145.2 (aromatic-C), 209.0 (C=O). MS: m/z 358 [M+.] (77.7%). Anal. Calc. for C23H22N2O2 (358): C, 76.09; H, 6.15; N 7.82; found: C, 75.73; H, 5.89; N, 8.14.

3.15. General Procedure for the Preparation of the Compounds 15a,b

Compounds 14a,b (0.01 mol) and ammonium acetate (2.31 g, 0.03 mol) were mixed thoroughly and fused in an oil bath at 150 °C for 2 h. Left to cool, then washed with water several times. The solid product was dried and recrystallized from benzene.
5-Acetyl-2-amino-6-methyl-4,4-di(4-methylpheny)pyridin-3(4H)-one (15a). Yield 74%. m.p. 210–212 °C. IR (KBr), ν cm−1: 3285 (NH2). 1691, 1665 (CO), 1630 (C=N), 1H-NMR (DMSO-d6): δ 2.14 (s, 6H, 2CH3), 2.41 (s, 3H, CH3), 2.77(s, 3H, CH3), 7.44–7.83 (m, 8H, ArH), 9.42 (bs, 2H, NH2, D2O exchangeable). 13C-NMR (DMSO-d6) δ ppm: 22.5, 23.6, 28.5 (CH3), 52.0 (saturated-C), 128.7, 130.0, 131.9, 133.2, 137.0, 140.9, 145.6 (aromatic + C=N), 192.7, 198.00 (C=O). MS: m/z 346 [M+] (41.8%). Anal. Calc. for C22H22N2O2 (346): C, 76.30; H, 6.36; N, 8.09; found: C, 76.60; H, 6.00; N, 8.41.
2-Amino-4,4-(4-methylpheny)-4,5,6,7-tetrahydro-3H-cyclopenta[b]pyridin-3-one (15b). Yield 65%. m.p. 176–178 °C. IR (KBr) ν cm−1: 1613 (C=N), 1685 (CO), 3272 (NH). 1H-NMR (DMSO-d6): δ 1.79 (q, 2H, CH2-cyclopentane), 2.17–2.41 (m, 10H, 2CH3, 2CH2-cyclopent.), 7.32–7.73 (m, 8H, ArH), 9.66 (bs, 2H, NH2, D2O exchangeable). 13C-NMR (DMSO-d6) δ ppm: 20.8, 22.4, 26.9, 47.1, 54.0 (saturated-C), 129.2, 130.4, 131.6, 133.8, 137.4, 140.9, 141.8 (aromatic + C=N), 192.0 (C=O). MS: m/z 330 [M+] (37.6%). Anal. Calc. for C22H22N2O (330): C, 80.00; H, 6.67; N, 8.48; found: C, 79.97; H, 6.63; N, 8.48.

4. Conclusions

In the present work, a series of some Schiff bases and novel fused heterocyclic derivatives 215 were synthesized using 2,3-diaryloxirane-2,3-dicarbonitriles 1ac as starting materials. Some of newly synthesized compounds were screened against bacterial and fungal strains and most of the newly synthesized compounds showed high antimicrobial activities. The structures of the new compounds were elucidated using IR, 1H-NMR, 13C-NMR and mass spectroscopy.

Acknowledgments

The authors would like to extend their sincere appreciation to the Deanship of Scientific Research at King Saud University for its funding of this research through the Research Group project no. RGP-172.

Author Contributions

The listed authors contributed to this work as described in the following. Mohamed E. Azab gave the concepts of the work, interpreted the results and prepared the manuscript, Sameh A. Rizk, carried out the synthetic work, interpreted the results and prepared the manuscript and Abd El-Galil E. Amr interpreted the results and cooperated in the preparation of the manuscript. All authors read and approved the final manuscript.

Conflicts of Interest

The authors declare no conflict of interest

References

  1. Muller, A.J.; Nishiyama, K.; Griffin, G.W.; Ishikawa, K.; Gibson, D.M. Reductive condensation of methyl arylglyoxylates. Direct synthesis of 2,3-bis(carbomethoxy)stilbene oxides and related systems. J. Org. Chem. 1982, 47, 2342–2352. [Google Scholar] [CrossRef]
  2. Li, Z.; Xu, J.; Niu, P.; Liu, C.; Yang, J. Direct synthesis of 2,3-diaryloxirane-2,3-dicarbonitriles from aroyl chlorides using potassium hexacyanoferrate(II) as an eco-friendly cyanide source. Tetrahedron 2012, 68, 8880–8883. [Google Scholar] [CrossRef]
  3. Daidone, G.; Maggio, B.; Plescia, S.; Raffa, D.; Musiu, C.; Milia, C.; Perra, G.; Marongiu, M.E. Antimicrobial and antineoplastic activities of new 4-diazopyrazole derivatives. Eur. J. Med. Chem. 1998, 33, 375–382. [Google Scholar] [CrossRef]
  4. Singh, N.; Sangwan, N.K.; Dhindsa, K.S. Synthesis and fungitoxic activity of 5-aryl-1-formyl-4,5-dihydro-3-(2-hydroxyphenyl)-1H-pyrazoles and their complexes. Pest Manag. Sci. 2000, 56, 284–288. [Google Scholar] [CrossRef]
  5. Daidone, G.; Raffa, D.; Plescia, F.; Maggio, B.; Roccaro, A. Synthesis of pyrazole-4-carbohydrazide derivatives of pharmaceutical interest. Arkivoc 2002, xi, 227–235. [Google Scholar]
  6. Migliara, O.; Plescia, S.; Diana, P.; di Stefano, V.; Camarda, L.; Dall’Olio, R. Synthesis and pharmacological evaluation of 7-substituted 1-ethyl-3,4,10-trimethyl-1,10-dihydro-11H-pyrazolo[3,4-c][1,6]benzodiazocin-11-one. A new ring system. Arkivoc 2004, v, 44–53. [Google Scholar]
  7. Bouabdallah, I.; M’Barek, L.A.; Zyad, A.; Ramdani, A.; Zidane, I.; Melhaoui, A. Anticancer effect of three pyrazole derivatives. Nat. Prod. Res. 2006, 20, 1024–1030. [Google Scholar] [CrossRef] [PubMed]
  8. Sato, N.; Jitsuoka, M.; Ishikawa, S.; Nagai, K.; Tsuge, H.; Ando, M.; Okamoto, O.; Iwaasa, H.; Gomori, A.; Ishihara, A.; et al. Discovery of substituted 2,4,4-triarylimidazoline derivatives as potent and selective neuropeptide Y Y5 receptor antagonists. Bioorg. Med. Chem. Lett. 2009, 19, 1670–1674. [Google Scholar] [CrossRef] [PubMed]
  9. Plachta, D.A.; Baranowski, A.M.; Laudy, A.E.; Starosciak, B.J.; Kleps, J. Synthesis of 1-{4-[4-(adamant-1-yl)phenoxymethyl]-2-(4-bromophenyl)-1,3-dioxolan-2-ylmethyl}imidazole with expected antifungal and antibacterial activity. Acta Pol. Pharm. Drug Res. 2007, 64, 535–540. [Google Scholar]
  10. Owawiak, J.; Olender, D.; Zwolska, Z.; Augustynowicz-Kopec, E.; Zaprutko, L. Synthesis of 2,3-dihydro-7-nitroimidazo[5,1-b]oxazoles as potential tuberculostatic agents. Acta Pol. Pharm. Drug Res. 2008, 65, 229–233. [Google Scholar]
  11. Sharma, P.C.; Sharma, S.V.; Jain, S.; Singhd, D.; Suresh, B. Synthesis of some new isoxazoline derivatives as possible anti-candida agents. Acta Pol. Pharm. Drug Res. 2009, 66, 101–104. [Google Scholar]
  12. Maczynski, M.; Zimecki, M.; Taraszkiewicz, M.; Ryng, S. Synthesis, immunological activity and computational study of 5-amino-3-methyl-4-isoxazolecarboxylic acid semicarbazides and thiosemicarbazides. Acta Pol. Pharm. Drug Res. 2008, 65, 543–549. [Google Scholar]
  13. Maczynski, M.; Zimecki, M.; Ryng, S. A new class of isoxazole derivatives: The m 1–9 series of compounds with immunotropic activity. Acta Pol. Pharm. Drug Res. 2008, 65, 241–244. [Google Scholar]
  14. Jain, M.; Nehra, S.; Trivedi, P.C.; Singh, R.V. Nematicidal, fungicidal and bactericidal activities of manganese(II) complexes with heterocyclic sulphonamide imines. Metal Based Drugs 2002, 9, 53–60. [Google Scholar] [CrossRef] [PubMed]
  15. Patil, R.M. Synthetic, structural and biological properties of binuclear complexes with some schiff bases. Acta Pol. Pharm. Drug Res. 2007, 64, 345–353. [Google Scholar]
  16. Rizk, S.A.; El-Hashash, M.A.; Mostafa, K.K. Utility of β-aroyl acrylic acids in heterocyclic synthesis. Egypt. J. Chem. 2008, 51, 611–621. [Google Scholar]
  17. Rizk, S.A.; EL-Hashash, M.A.; Aburzeza, M.M. Utility of p-acetamidobenzoyl prop-2-enoic acid in the synthesis of new α-amino acids and using them as building blocks in heterocyclic synthesis. Egypt. J. Chem. 2011, 54, 299–305. [Google Scholar]
  18. Rizk, S.A. Utility of E-1-(4-acetamidobenzoyl)-2-oxirane carboxylic acid in synthesis some fused heterocycles and spiro compounds. Amer. J. Chem. 2011, 1, 65–72. [Google Scholar] [CrossRef]
  19. Azab, M.E.; Kassab, E.A.; El-Hashash, M.A.; Ali, R.S. Synthesis and antibacterial activity of some new 4(3H)quinazolin-4-one derivatives. Phos. Sulf. Silicon 2009, 184, 610–625. [Google Scholar] [CrossRef]
  20. Azab, M.E.; Youssef, M.M.; El-Bordany, E.A. Synthesis and antibacterial evaluation of novel heterocyclic compounds containing a sulfonamido moiety. Molecules 2013, 18, 832–844. [Google Scholar] [CrossRef] [PubMed]
  21. Khamees, H.; Jaleel, G.A.A.; Azab, M.E.; Mohamed, G.A.M.; Abdel-Aziz, T.A.; Eyada, H.A. Synthesis, characterization, anticancer, analgesic, and antiinflammatory activities of hitherto unknown thiazolo[3,2-a]pyridine and thiazolo[3,2-a]-1,8-naphthyridine derivatives. J. Atoms Mol. 2013, 3, 478–491. [Google Scholar]
  22. Azab, M.E.; Amr, A.E. Synthesis of chiral linear and macrocyclic candidates: III. Synthesis and antimicrobial activity of linear tetrapeptide and macrocyclic pentapeptide Schiff bases. Russ. J. Gen. Chem. 2015, 85, 1513–1521. [Google Scholar] [CrossRef]
  23. Said, A.S.; Amr, A.E.; El-Sayed, H.A.; Al-Omar, M.A.; Abdalla, M.M. Synthesized of some heterocyclic systems and their nucleoside of potent anti-inflammatory activities. Int. J. Pharm. 2015, 11, 502–507. [Google Scholar] [CrossRef]
  24. Fayed, A.A.; Al-Harb, N.; Amr, A.E.; Kalmoush, A.A.; Shadid, K.H.; Flefel, E.M. Synthesis, reactions, and pharmacological evaluations of some novel pyridazolopyridiazine candidates. J. Het. Chem. 2014, 51, 1770–1777. [Google Scholar] [CrossRef]
  25. Khalifa, N.M.; Al-Omar, M.A.; Amr, A.E.; Baiuomy, A.R.; Abdel Rahman, R.F. Synthesis and biological evaluation of some novel fused thiazolo[3,2-a]pyrimidines as potential analgesic and antiinflammatory agents. Russ. J. Bioorg. Chem. 2015, 41, 192–201. [Google Scholar] [CrossRef]
  26. Ouf, N.H.; Amr, A.E.; Sakran, M.I. Anticancer activity of some newly synthesized pyrano[2,3-d][1,2,3]triazine derivatives using 1-(7-hydroxy-2,2-dimethyl-chroman-6-yl)ethanone as synthon. Med. Chem. Res. 2015, 24, 1514–1526. [Google Scholar] [CrossRef]
  27. Carson, C.F.; Riley, T.V. Antimicrobial activity of the major components of the essential oil of Melaleuca alternifolia. J. Appl. Bact. 1995, 78, 264–269. [Google Scholar] [CrossRef]
  28. Alam, M.S.; Lee, D.U.; Bari, L. Antibacterial and cytotoxic activities of Schiff base analogues of 4-aminoantipyrine. J. Korean Soc. Appl. Biol. Chem. 2014, 57, 613–619. [Google Scholar] [CrossRef]
  29. Cheng, Q.; Xu, X.; Wang, Q.; Zhang, L.; Lin, Q.; Zhang, J.; Yang, X. Synthesis and antibacterial activities of novel pyrazole Schiff bases and metal complexes. Chinese J. Org. Chem. 2009, 29, 1387–1391. [Google Scholar]
  • Sample Availability: Samples of the compounds are available from the authors.

Share and Cite

MDPI and ACS Style

Azab, M.E.; Rizk, S.A.; Amr, A.E.-G.E. Synthesis of Some Novel Heterocyclic and Schiff Base Derivatives as Antimicrobial Agents. Molecules 2015, 20, 18201-18218. https://doi.org/10.3390/molecules201018201

AMA Style

Azab ME, Rizk SA, Amr AE-GE. Synthesis of Some Novel Heterocyclic and Schiff Base Derivatives as Antimicrobial Agents. Molecules. 2015; 20(10):18201-18218. https://doi.org/10.3390/molecules201018201

Chicago/Turabian Style

Azab, Mohamed E., Sameh A. Rizk, and Abd El-Galil E. Amr. 2015. "Synthesis of Some Novel Heterocyclic and Schiff Base Derivatives as Antimicrobial Agents" Molecules 20, no. 10: 18201-18218. https://doi.org/10.3390/molecules201018201

APA Style

Azab, M. E., Rizk, S. A., & Amr, A. E.-G. E. (2015). Synthesis of Some Novel Heterocyclic and Schiff Base Derivatives as Antimicrobial Agents. Molecules, 20(10), 18201-18218. https://doi.org/10.3390/molecules201018201

Article Metrics

Back to TopTop