Synthesis and Antibacterial Activity of Analogs of 5-Arylidene-3-(4-methylcoumarin-7-yloxyacetylamino)-2-thioxo-1,3-thiazoli-din-4-one
Abstract
:1. Introduction
2. Results and Discussion
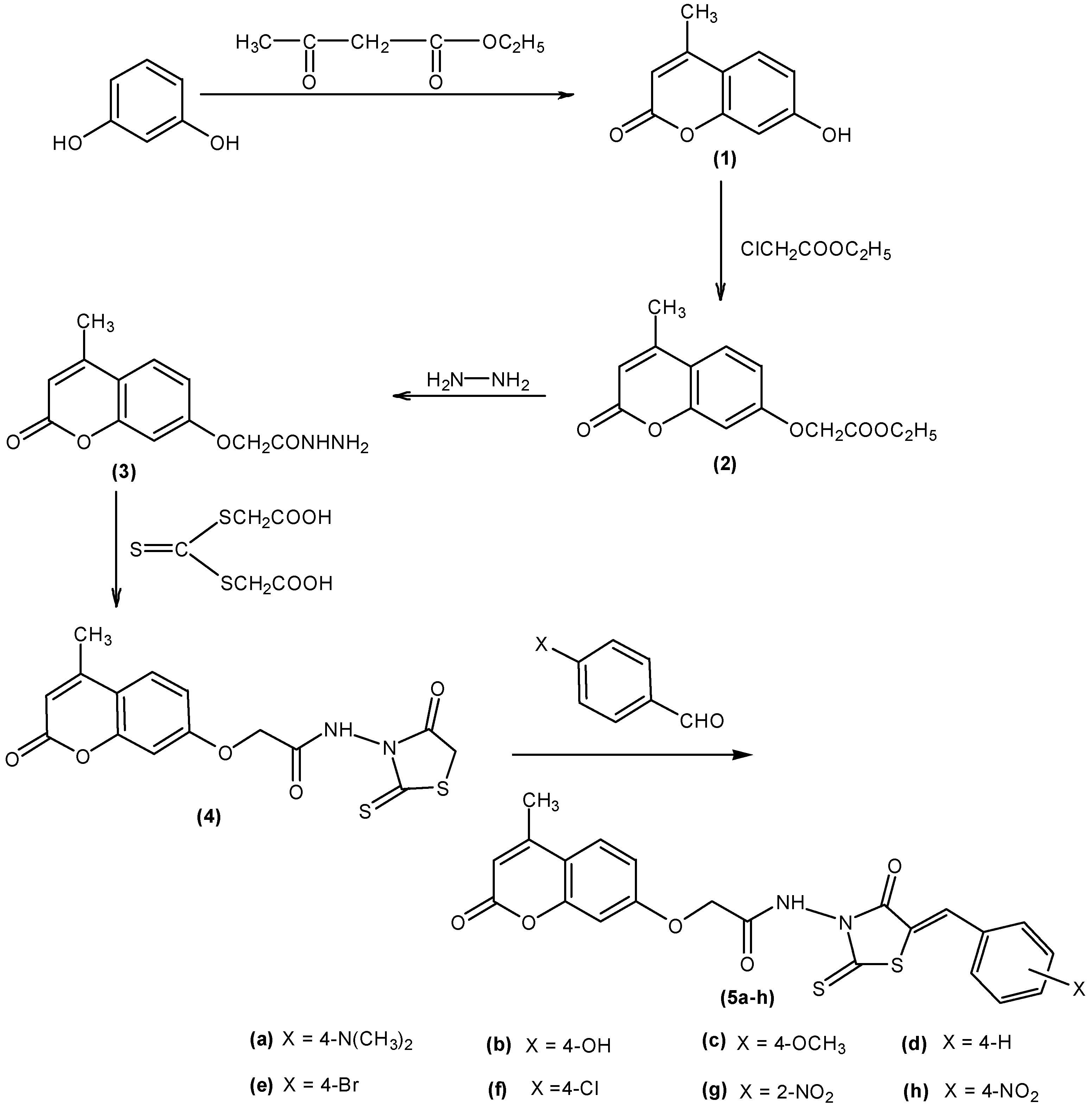
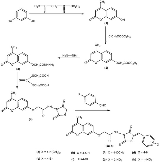
2.1. Synthesis of 7-Hydroxy-4-methylcoumarin Derivatives 5a–h

2.2. Determination of the in Vitro Antimicrobial Activity
| Bacteria | Conc. | X | |||||||
|---|---|---|---|---|---|---|---|---|---|
| 4-N(CH3)2 (5a) | 4-OH (5b) | 4-OCH3 (5c) | 4-H (5d) | 4-Br (5e) | 4-Cl (5f) | 2-NO2 (5g) | 4-NO2 (5h) | ||
| d (mm) a | |||||||||
| Escherichia coli | 0.1% | 14 | 15 | 13 | 14 | 15 | 12 | 12 | 15 |
| 0.2% | 16 | 17 | 16 | 16 | 16 | 15 | 15 | 18 | |
| Pseudomonas aeruginosa | 0.1% | 13 | 19 | 12 | 17 | 15 | 15 | 14 | 18 |
| 0.2% | 15 | 23 | 15 | 19 | 18 | 17 | 16 | 20 | |
| Bacillus subtilis | 0.1% | 15 | 15 | 14 | 15 | 18 | 14 | 13 | 14 |
| 0.2% | 17 | 19 | 16 | 18 | 21 | 18 | 16 | 17 | |
| Staphylococcus aureus | 0.1% | 13 | 14 | 14 | 16 | 17 | 14 | 15 | 16 |
| 0.2% | 15 | 16 | 18 | 17 | 20 | 16 | 17 | 18 | |
| Bacteria | MIC (μg/mL) | |||||||
|---|---|---|---|---|---|---|---|---|
| 4-N(CH3)2 (5a) | 4-OH (5b) | 4-OCH3 (5c) | 4-H (5d) | 4-Br (5e) | 4-Cl (5f) | 2-NO2 (5g) | 4-NO2 (5h) | |
| Escherichia coli | - a | - | - | - | - | - | - | - |
| P. aeruginosa | - | - | - | - | - | - | - | - |
| Bacillus subtilis | - | - | - | - | - | - | - | - |
| Staphylococcus aureus | - | - | 50 | - | - | - | 50 | 50 |
3. Experimental Section
3.1. General Procedures
3.2. Synthesis of 7-Hydroxy-4-methylcoumarin Derivatives 5a–h
3.2.1. Synthesis of 4-Oxo-2-thioxothiazolidine Derivatives
3.2.2. Synthesis of 2-(4-Methyl-2-oxo-2H-chromen-7-yloxy)-N-(4-oxo-2-thioxothiazo-lidin-3-yl)aceta-mide (4)
3.2.3. General Procedure for Synthesis of N-(5-Arylidene-4-oxo-2-thioxothiazolidin-3-yl)-2-(4-methyl-2-oxo-2H-chromen-7-yloxy)acetamides 5a–h
3.3. Determination of the in Vitro Antimicrobial Activity
3.4. Minimum Inhibitory Concentration (MIC) Determination
4. Conclusions
Acknowledgments
Author Contributions
Conflicts of Interest
References
- Abuladze, T.; Li, M.; Menetrez, M.Y.; Dean, T.; Senecal, A.; Sulakvelidze, A. Bacteriophages reduce experimental contamination of hard surfaces, tomato, spinach, broccoli, and ground beef by Escherichia coli O157:H7. Appl. Environ. Microbiol. 2008, 74, 6230–6238. [Google Scholar]
- Allende, A.; Martínez, B.; Selma, V.; Gil, M.I.; Suárez, J.E.; Rodríguez, A. Growth and bacteriocin production by lactic acid bacteria in vegetable broth and their effectiveness at reducing Listeria monocytogenes in vitro and in fresh-cut lettuce. Food Microbiol. 2007, 24, 759–766. [Google Scholar]
- Brown, A.L.; Brooks, J.C.; Karunasena, E.; Echeverry, A.; Laury, A.; Brashears, M.M. Inhibition of Escherichia coli O157:H7 and Clostridium sporogenes in spinach packaged in modified atmospheres after treatment combined with chlorine and lactic acid bacteria. J. Food Sci. 2011, 76, M427–M432. [Google Scholar]
- Leverentz, B.; Conway, W.S.; Janisiewicz, W.; Abadias, M.; Kurtzman, C.P.; Camp, M.J. Biocontrol of the food-borne pathogens Listeria monocytogenes and Salmonella enterica serovar Poona on fresh-cut apples with naturally occurring bacterial and yeast antagonists. Appl. Environ. Microbiol. 2006, 72, 1135–1140. [Google Scholar]
- Cacic, M.; Molnar, M.; Balic, T.; Draca, N.; Rajkovic, V. Design and synthesis of some thiazolidin-4-ones based on (7-hydroxy-2-oxo-2H-chromen-4-yl) acetic acid. Molecules 2009, 14, 2501–2513. [Google Scholar]
- Kumar, S.; Chandna, M.; Gupta, M. Synthesis and antimicrobial activity of schiff bases and azetidinones of 7-hydroxy-4-methyl-chromen-2-one. J. Pharm. Res. 2010, 3, 3010–3012. [Google Scholar]
- Hamdi, N.; Al-Ayed, A.S.; Said, R.B.; Fabienne, A. Synthesis and characterization of new thiazolidinones containing coumarin moieties and their antibacterial and antioxidant activities. Molecules 2012, 17, 9321–9334. [Google Scholar]
- Kokil, G.R.; Rewatkar, P.V.; Gosain, S.; Aggarwal, S.; Verma, A.; Kalrac, A.; Thareja, S. Synthesis and in vitro evaluation of novel 1, 2, 4-triazole derivatives as antifungal agents. Lett. Drug Des. Discov. 2010, 7, 46–49. [Google Scholar]
- Šarkanj, B.; Molnar, M.; Cacic, M.; Gille, L. 4-Methyl-7-hydroxycoumarin antifungal and antioxidant activity enhancement by substitution with thiosemicarbazide and thiazolidinone moieties. Food Chem. 2013, 139, 488–495. [Google Scholar]
- Ilango, K.; Biju, C.R. In silico docking investigation, synthesis and cytotoxic studies of coumarin substituted 1,3,4-oxadiazole derivatives. J. Pharm. Res. 2012, 5, 1514–1517. [Google Scholar]
- Abdelhafez, O.M.; Amin, K.M.; Ali, H.I.; Abdalla, M.M.; Batran, R.Z. Synthesis of new 7-oxycoumarin derivatives as potent and selective monoamine oxidase inhibitors. J. Med. Chem. 2012, 55, 10424–10436. [Google Scholar]
- Roman, O.; Lesyk, R. Synthesis and anticancer activity in vitro of some 2-thioxo-4-thiazolidone derivatives. Farmacia 2007, 55, 640–648. [Google Scholar]
- Mosula, L.; Zimenkovsky, B.; Havrylyuk, D.; Missir, A.; Chiriţă, I.C.; Lesyk, R. Synthesis and antitumor activity of novel 2-thioxo-4-thiazolidinones with benzothiazole moieties. Farmacia 2009, 57, 321–330. [Google Scholar]
- Coulibaly, W.K.; Paquin, L.; Bénié, A.; Bekro, Y.; Durieux, E.; Meijer, L.; Guével, R.L.; Corlu, A.; Bazureau, J. Synthesis of new N,N'-bis(5-arylidene-4-oxo-4,5-dihydrothiazolin-2-yl)piper-azine derivatives under microwave irradiation and preliminary biological evaluation. Sci. Pharm. 2012, 80, 825–836. [Google Scholar]
- Talele, T.T.; Arora, P.; Kulkarni, S.S.; Patel, M.R.; Singh, S.; Chudayeu, M.; Kaushik-Basu, N. Structure-based virtual screening, synthesis and SAR of novel inhibitors of hepatitis C virus NS5B polymerase. Bioorg. Med. Chem. 2010, 18, 4630–4638. [Google Scholar]
- Ramkumar, K.; Yarovenko, V.N.; Nikitina, A.S.; Zavarzin, I.V.; Krayushkin, M.M.; Kovalenko, L.V.; Esqueda, A.; Odde, S.; Neamati, N. Design, synthesis and structure-activity studies of rhodanine derivatives as HIV-1 integrase inhibitors. Molecules 2010, 15, 3958–3992. [Google Scholar]
- Nguyen, T.C.; Nguyen, T.T.D.; Vo, T.H.L.; Đo, H.Đ. Synthesis of 7-hydroxy-4-methylcoumarin and its derivatives. Viet. J. Chem. 2009, 47, 84–88. [Google Scholar]
- Egorov, N.S. Antibiotics—A Scientific Approach; Mir Publishers: Moscow, Russia, 1985; pp. 76–340. [Google Scholar]
- McKane, L.; Kandel, J. Microbiology: Essentials and Applications, 2nd ed.; McGraw-Hill: New York, NY, USA, 1996; pp. 375–406. [Google Scholar]
- Sample Availability: Samples of the compounds 1–4 and 5a–h are available from the authors.
© 2014 by the authors. Licensee MDPI, Basel, Switzerland. This article is an open access article distributed under the terms and conditions of the Creative Commons Attribution license ( http://creativecommons.org/licenses/by/3.0/).
Share and Cite
Cong, N.T.; Nhan, H.T.; Van Hung, L.; Thang, T.D.; Kuo, P.-C. Synthesis and Antibacterial Activity of Analogs of 5-Arylidene-3-(4-methylcoumarin-7-yloxyacetylamino)-2-thioxo-1,3-thiazoli-din-4-one. Molecules 2014, 19, 13577-13586. https://doi.org/10.3390/molecules190913577
Cong NT, Nhan HT, Van Hung L, Thang TD, Kuo P-C. Synthesis and Antibacterial Activity of Analogs of 5-Arylidene-3-(4-methylcoumarin-7-yloxyacetylamino)-2-thioxo-1,3-thiazoli-din-4-one. Molecules. 2014; 19(9):13577-13586. https://doi.org/10.3390/molecules190913577
Chicago/Turabian StyleCong, Nguyen Tien, Huynh Thi Nhan, Luong Van Hung, Tran Dinh Thang, and Ping-Chung Kuo. 2014. "Synthesis and Antibacterial Activity of Analogs of 5-Arylidene-3-(4-methylcoumarin-7-yloxyacetylamino)-2-thioxo-1,3-thiazoli-din-4-one" Molecules 19, no. 9: 13577-13586. https://doi.org/10.3390/molecules190913577
APA StyleCong, N. T., Nhan, H. T., Van Hung, L., Thang, T. D., & Kuo, P.-C. (2014). Synthesis and Antibacterial Activity of Analogs of 5-Arylidene-3-(4-methylcoumarin-7-yloxyacetylamino)-2-thioxo-1,3-thiazoli-din-4-one. Molecules, 19(9), 13577-13586. https://doi.org/10.3390/molecules190913577
