Next Article in Journal
In Silico Studies of Quinoxaline-2-Carboxamide 1,4-di-N-Oxide Derivatives as Antimycobacterial Agents
Previous Article in Journal
Structure and Antioxidant Activity Relationships of Isoflavonoids from Dalbergia parviflora
 
 
Font Type:
Arial Georgia Verdana
Font Size:
Aa Aa Aa
Line Spacing:
Column Width:
Background:
Article

Two New Bidesmoside Triterpenoid Saponins from the Seeds of Momordica charantia L.

1
State Key Laboratory of Bioactive Substances and Functions of Natural Medicines, Institute of Materia Medica, Chinese Academy of Medical Sciences & Peking Union Medical College, Beijing 100050, China
2
Jiangxi University of Traditional Chinese Medicine, Nanchang 330004, China
*
Author to whom correspondence should be addressed.
Molecules 2014, 19(2), 2238-2246; https://doi.org/10.3390/molecules19022238
Submission received: 29 December 2013 / Revised: 7 February 2014 / Accepted: 10 February 2014 / Published: 21 February 2014

Abstract

:
Two new bidesmoside triterpenoid saponins which were identifed as 28-O-β-d-xylopyranosyl(1→3)-β-d-xylopyranosyl(1→4)-α-l-rhamnopyranosyl(1→2)-[α-l-rhamno-pyranosyl(1→3)]-β-d-fucopyranosyl gypsogenin 3-O-β-d-glucopyranosyl (1→2)-β-d-glucopyranosiduronic acid (C1) and 28-O-β-d-xylopyranosyl(1→4)-α-l-rhamnopyranosyl (1→2)-[α-l-rhamnopyranosyl(1→3)]-β-d-fucopyranosyl gypsogenin 3-O-β-d-gluco-pyranosyl(1→2)-β-d-glucopyranosiduronic acid (C2) were isolated together with two known compounds from the seeds of Momordica charantia L. Their structures were elucidated by the combination of mass spectrometry (MS), one and two-dimensional NMR experiments and chemical reactions.

1. Introduction

The fruit, seeds, aerial parts and roots of Momordica charantia L. (Cucurbitaceae) have been used to treat diabetes. Over 100 compounds have been isolated from the fruits, seeds, leaves, canes and roots of this genus, mainly cucurbitane- and oleanene-type triterpenes, and recently studies have discovered that many new cucurbitane triterpenoids from the fruits and the roots of M. charantia L. [1,2,3], and cucurbitane triterpenoids from the fruits of this genus showed a significant enhancement of glucose disposal and increases in fatty acid oxidation. The cucurbitane triterpenoids from M. charantia L. may therefore provide novel leads for the development of a new class of AMPK-activating agents [4]. Five cucurbitane-type triterpene glycosides from the seeds of M. charantia L. was reported [5,6].
In this paper, we now report the isolation and characterization of two new bidesmoside triterpenoid glycosides which were identified as 28-O-β-d-xylopyranosyl(1→3)-β-d-xylopyranosyl(1→4)-α-l-rhamnopyranosyl(1→2)-[α-l-rhamnopyranosyl(1→3)]-β-d-fucopyranosyl gypsogenin 3-O-β-d-glucopyranosyl (1→2)-β-d-glucopyranosiduronic acid (C1) and 28-O-β-d-xylopyranosyl(1→4)-α-l-rhamnopyranosyl(1→2)-[α-l-rhamnopyranosyl(1→3)]-β-d-fucopyranosyl gypsogenin 3-O-β-d-gluco-pyranosyl(1→2)-β-d-glucopyranosiduronic acid (C2) and two known compounds identified as 3-O-β-d-glucopyranosyl-24β-ethyl-5α-chole-sta-7,trans-22E,5(7)trien-3β-ol (C3) and momordicoside S(C4) (Figure 1) on the basis of spectroscopic and chemical evidence.
Figure 1. Structures of compounds C14.
Figure 1. Structures of compounds C14.
Molecules 19 02238 g001

2. Results and Discussion

The n-BuOH-soluable portions of the 95% EtOH extract of seeds of M. charantia L. was subjected to silica gel, RP-18, and Sephadex LH-20 column chromatographies and semipreparative HPLC to yield two new oleanane-type triterpenoids C1 and C2 and two known compounds identified as 3-O-β-d-glucopyranosyl-24β-ethyl-5α-cholesta-7-trans-22E,5(7)trien-3β-ol (C3) and momordicoside S (C4).
Compound C1 was an amorphous white powder, which gave a positive result in the Liebermann- Burchard test. Acid hydrolysis of compound C1 with 2 mol/L HCl–1,4-dioxane (1:1, v/v) furnished d-xylose, l-rhamnose, d-glucose, and d-fucose in the ratio of 2:2:1:1 by HPLC analysis of the corresponding thiazolidine derivatives following conversion to the 1-[(S)-N-acetyl-(R)-methylbenzylamino]-1-deoxyalditol acetate derivatives [7]. In the (‒)- and (+)-ESI-MS of C1, quasimolecular ion peaks were observed at m/z 1,509 [M–H] and m/z 1,533 [M+Na]+ respectively, HR-ESI-MS (m/z 1,533.7190 [M+Na]+) analysis revealed the molecular formula of C1 to be C69H112O33Na (calcd. 1,533.7168). The five fragment ions at m/z 1,377 [M–132–H], 1,329 [M–162–H], 1,171 [M–162–176–H], 807 [M–146 × 3–132 × 2–H] and 469 [M–146 × 3–132 × 2–162–176–H], indicated the sequential losses of seven sugar moieties (five hexoses and two pentoses).
The 1H (pyridine-d5) spectra of C1 revealed the presence of nine methyl proton signals at δH 0.76 (Me-25), 0.89 (Me-29), 0.92 (Me-26), 0.96 (Me-30), 1.18 (Me-27), 1.36 (Me-24), 9.89 (H-29) and included signals due to a gyosogenin skeleton [8], 1.54, 3H, d, J = 5.5 Hz (Me-Fuc), 1.61, 3H, d, J = 5.5 Hz (Me-RhaII), 1.67, 3H, d, J = 5.5 Hz,(Me-RhaI), as well as an olefinic proton at δH 5.37, 1H, s (H-12); The signals at δC 122.4, 143.8 in the 13C-NMR spectrum were assigned to a 12(13)-ene grouping by comparison with literature data [5].
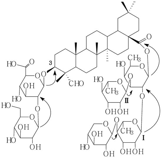
The 1H and 13C-NMR (Table 1) spectra of C1 exhibited seven sugar anomeric protons assignable to a β-d-glucopyranosiduronic acid moiety [δH 4.76, 1H, d, 6.5 Hz], a β-d-glucopyranosyl moiety[δH 5.38, 1H, s], a β-d-fucopyranosyl moiety [δH 6.30, 1H, d, 5.5 Hz ], two α-l-rhamnopyranosyl moieties [δH 5.74, 1H, s (RhmI-1-H); δH 5.67, 1H, s (RhmII-1-H)], two β-d-xylopyranosyl moieties [δH 5.08, 1H, d, 7.0 Hz (XylI-1-H); δH 5.21, 1H, d, 7.0 Hz (XylII-1-H)], and a gyosogenin moiety [δH 3.04, 1H, dd-like, (18-H), δH 4.04, 1H, m (3-H), δH 5.44, 1H, s, (12-H); δH 9.89, 1H, s (23-H)]. The identities of the monosaccharides and the oligosaccharide sequence were determined by a combination of DEPT and two-dimensional NMR experiments (such as HMQC, HMBC, TOCSY NMR). The sequence of the glycan part was deduced from the following HMBC correlations: the anomeric proton signals at δH 4.76 and δC 83.5 (H-1 of the β-d-glucopyranosiduronic acid attached to the C-3 of the aglycone), δH 5.38 and δC 82.6 (H-1 of the β-d-glucopyranosyl moiety attached to the C-2 of the β-d-gluco-pyranosiduronic acid), and on the other hand, the pentasaccharide part at C-28 was established by the following HMBC information between the following protons and carbons: Fuc-1-H and 28-C, RhmI-1-H and Fuc-2-C, RhmII-1-H and Fuc-3-C, XylI-1-H and RhmI-4-C, XylII-1-H and XylI-3-C (Figure 2). On the basis of the foregoing evidence, the structure of C1 was determined as 28-O-β-d-xylopyranosyl(1→3)-β-d-xylopyranosyl(1→4)-α-l-rhamnopyranosyl(1→2)-[α-l-rhamnopyranosyl-(1→3)]-β-d-fucopyranosylgypsogenin 3-O-β-d-glucopyranosyl (1→2)-β-d-glucopyranosiduronic acid.
Table 1. 1H-NMR (500 MHz) and 13C-NMR (125 MHz) data for C1 in pyridine-d5 (δ, ppm).
Table 1. 1H-NMR (500 MHz) and 13C-NMR (125 MHz) data for C1 in pyridine-d5 (δ, ppm).
PositionC1-AglyconePositionC1-Sugar Chain
13C1H13C1H
139.8 GlcA-1102.74.76, 1H, d, 6.5 Hz
225.8 282.64.32, 1H, m
383.54.04, 1H, m377.84.65, 1H, m
454.7------472.44.20, 1H, m
548.1 576.94.50, 1H, m
618.7 6175.9
732.9 Glc-1105.95.38, 1H, s
839.8 275.14.15, 1H, m
947.5 377.84.25, 1H, m
1035.9 471.44.02, 1H, m
1123.5 577.94.20, 1H, m
12122.45.44, 1H, s 661.83.65, 2H, m
13143.8-------Fuc-193.436.30, 1H, d, 5.5 Hz
1441.7------276.74.25, 1H, m
1527.9 383.73.95, 1H, m
1623.5 472.43.86, 1H, m
1746.7-------574.03.80, 1H, m
1841.83.04, 1H, dd-like618.31.54, 3H, d, 5.5 Hz
1946.7 RhmI-1100.95.74, 1H, s
2030.6------271.44.33, 1H, m
2132.1 372.34.28, 1H, m
2232.9 482.94.50, 1H, m
23209.79.89, 1H, s568.74.01, H, m
2410.91.36, 3H, s618.31.67, 3H, d, 5.5 Hz
2515.40.76, 3H, sRhmII-1101.25.67, 1H, s
2617.30.92, 3H, s271.43.26, 1H, m
2726.11.18, 3H, s372.14.32, 1H, m
28175.9------470.64.71, 1H, m
2932.10.89, 3H, s568.74.51, 1H, m
3023.50.96, 3H, s618.31.61, 3H, d, 5.5 Hz
XylI-1106.25.08, 1H, d, 7.0 Hz
274.84.01, 1H, m
386.74.18, 1H, m
470.24.13, 1H, m
566.64.28/3.45, 2H, m
XylII-1105.65.21, 1H, d, 7.0 Hz
276.34.04, 1H, m
377.94.16, 1H, m
470.64.13, 1H, m
567.04.28/3. 61, 2H, m
Figure 2. Key HMBC correlations of compound C1.
Figure 2. Key HMBC correlations of compound C1.
Molecules 19 02238 g002
Compound C2 was obtained as a white, amorphous powder, In the (−)- and (+)-ESI-MS of C2, quasimolecular ion peaks were observed at m/z 1,377 [M-H] and, m/z 1,401 [M+Na]+, respectively, and HR-ESI-MS analysis revealed the molecular formula of C2 to be C65H102O31 (calcd. 1401.6297, observed m/z 1,401.6345 [M+Na]+). Eight fragment ions at 1,247 [M–132+H], 1,217 [M–162+H], 1,085 [M–162–132+H], 939 [M–132–162–146+H], 909 [M–162–132–176+H], 793 [M–162–132–146–146+H], 647 [M–132–162–146–146–146+H] and 436 [M–132–162–146–146–146–176+H], indicated the sequential losses of one pentose and five hexoses. Acid hydrolysis of compound C2 with 2 mol/L HCl–1,4-dioxane (1:1, v/v) furnished d-xylose, l-rhamnose, d-glucose, d-fucose in the ratio of 1:2:1:1 which were identified by HPLC analysis of the thiazolidine derivatives following conversion to the corresponding 1-[(S)-N-acetyl-(R)-methylbenzylamino]-1-deoxyalditol acetate derivatives [8].
The 1H-NMR spectrum of C2 revealed the presence of nine methyl proton signals at δH 0.75 (Me-25), 0.88 (Me-29), 0.93 (Me-26), 0.95 (Me-30), 1.18 (Me-27), 1.37 (Me-24), 9.90 (H-29) and it included signals due to a gyosogenin skeleton [8], 1.53, 3H, d, J = 6.0 Hz (Me-Fuc), 1.62, 3H, d, J = 6.5Hz (Me-RhaII), 1.72, 3H, d, J = 6.0 Hz (Me-RhaI), as well as an olefinic proton at δH 5.37, 1H, s (H-12); The signals at δC 122.5, 143.9 in the 13C-NMR spectrum were assigned to the 12(13)-ene bond by comparison with literature data [5].
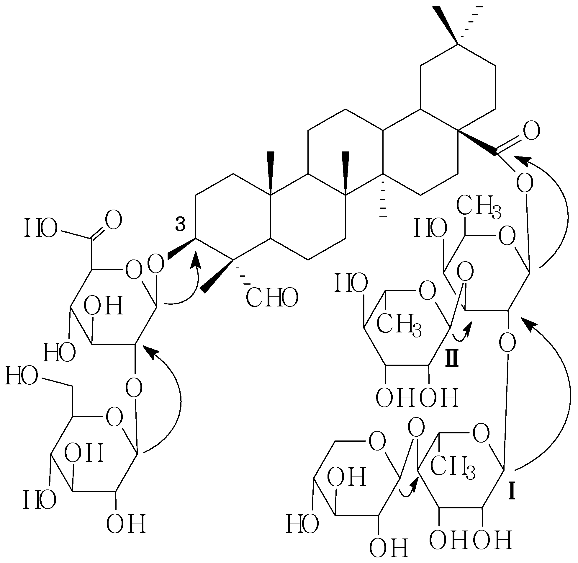
Comparison of the 1H-NMR and 13C-NMR spectral data of compound C2 (Table 2) with that of C1 indicated the compound C2 lacked the xylpyranosyl moiety of C1. The identities of the monosaccharides and the oligosaccharide sequence were determined by a combination of DEPT and two-dimensional NMR experiments (such as HMQC, HMBC, TOCSY NMR). The sequence of the glycan part was deduced from the following HMBC correlations: the anomeric proton signals at δH 4.77 and δC 83.9 (H-1 of the β-d-glucopyranosiduronic acid attached to the C-3 of the aglycone), δH 5.37 and δC 82.2 (H-1 of the β-d-glucopyranosyl moiety attached to the C-2 of the β-d-gluco-pyranosiduronic acid), and on the other hand, the oligosaccharide part at C-28 was established by the HMBC correlationns between the following protons and carbons: Fuc-1-H and 28-C, RhmI-1-H and Fuc-2-C, RhmII-1-H and Fuc-3-C, Xyl-1-H and RhmI-4-C (Figure 3). On the basis of the foregoing evidence, the structure of C2 was established as 28-O-β-d-xylopyranosyl(1→4)-α-l-rhamno-pyranosyl(1→2)-[α-l-rhamnopyranosyl(1→3)]-β-d-fucopyranosyl gypsogenin 3-O-β-d-gluco-pyranosyl(1→2)-β-d-glucopyranosiduronic acid.
Table 2. 1H-NMR (500 MHz) and 13C-NMR (125 MHz) data for C2 in pyridine-d5 (δ, ppm).
Table 2. 1H-NMR (500 MHz) and 13C-NMR (125 MHz) data for C2 in pyridine-d5 (δ, ppm).
PositionC2-AglyconePositionC2-Sugar Chain
13C1H13C1H
138.0 GlcA-1102.94.77, 1H, brs
225.9 282.24.36, 1H, m
383.94.04, 1H, m377.84.65, 1H, m
454.9------472.44.20, 1H, m
548.2 576.94.54, 1H, m
618.6 6175.6
732.4 Glc-1106.25.37, 1H, s
840.0 275.44.51, 1H, m
947.6 378.44.52, 1H, m
1035.6 471.64.06, 1H, m
1123.6 577.94.36, 1H, m
12122.55.37, 1H, s 662.04.57, 2H, m
13143.9-------Fuc-193.66.29, 1H, d, 5.5 Hz
1441.8------276.53.99, 1H, m
1528.0 383.34.31, 1H, m
1623.7 472.34.05, 1H, m
1746.9-------574.24.07, 1H, m
1842.03.10, 1H, dd-like618.41.53,3H, d, 6.0 Hz
1946.1 RhmI-1100.85.77, 1H, s
2030.7------270.84.33, 1H, m
2132.2 372.44.28, 1H, m
2233.0 483.04.52, 1H, m
23209.89.90, 1H, s568.73.13, 1H, m
2410.91.37, 3H, s618.81.72, 3H, d, 6.0 Hz
2515.60.76, 3H, sRhmII-1101.55.68, 1H, s
2617.40.93, 3H, s271.63.85, 1H, m
2725.91.18, 3H, s372.44.32, 1H, m
28176.2------470.44.75, 1H, m
2932.00.88, 3H, s568.74.53, 1H, m
3023.10.95, 3H, s618.61.62, 3H, d, 6.5 Hz
Xyl-1106.95.15, 1H, d,7.0 Hz
274.84.04, 1H, m
386.94.21, 1H, m
470.04.13, 1H, m
567.34.27/3.48, 2H, m
Figure 3. Key HMBC correlations of compound C2.
Figure 3. Key HMBC correlations of compound C2.
Molecules 19 02238 g003

3. Experimental Section

3.1. General

Melting points were determined of an XT4-100x micromelting apparatus (Beijing Keyi Electric Light Instrument Factory, Beijing, China) and are uncorrected. Optical rotations were measured with a Perkin-Elmer 241 MC polarimeter (PerkinElmer Inc., Waltham, MA, USA). IR spectra were obtained of Nicolet 5700 IR spectrometer (Thermo Fisher Scientific, Inc., Waltham, MA, USA). NMR spectra were recorded on an Inova 500 (1H, 500 MHz; 13C, 125 MHz) spectrometer (Agilent Technologies, Inc., Santa Clara, CA, USA). ESI-MS was performed with Agilent 1100 LC/MSD (Agilent Technologies, Inc., Santa Clara, CA, USA). For column chromatography, silica gel (200-300 mesh, Qingdao Marine Chemical Inc., Qingdao, China), ODS (40–60 μm, Alltech), and Sephadex LH-20 (Pharmacia Biotech AB, Uppsala, Sweden) were used. The analytical HPLC was performed on an Agilent 1200 LC equipped with a DAD and the preparative HPLC was performed on a Shimadzu LC-20A (Shimadzu LC-20A, Kyoto, Japan) equipped with a YMC-Pack ODS column (20 × 250 mm, 10 μm, YMC Co. Ltd. Kyoto, Japan).

3.2. Plant Material

The seeds of Momordica charantia L. were purchased from Anguo of Hebei Province in 2011, and identified by Lin Ma at Institute of Materia Medica, Chinese Academy of Medical Sciences & Peking Union Medical College. A voucher specimen has been deposited at our lab at the Institute of Materia Medica, Chinese Academy of Medical Sciences & Peking Union Medical College.

3.3. Extraction and Isolation

The seeds of M. charantia L. (15.0 kg) were defatted three times by petroleun ether (90 L each time), and then extracted three times by heating to reflux with 95% ethanol (90 L each time), and the combined solution was concentrated under reduced pressure to yield an extract (1.6 kg). The alcohol extract was partitioned successively with CHCl3, EtOAc and n-BuOH. The n-BuOH-soluble portions (175 g) was subjected to normal phase silica gel column chromatography with gradient elution [CHCl3–MeOH 20:1 (2 L), CHCl3–MeOH 9:1 (2 L), CHCl3–MeOH 4:1 (2 L), CHCl3–MeOH–H2O 7:3:0.5 (2 L), CHCl3–MeOH–H2O 6:4:0.5 (2 L), MeOH (2 L)] to give eleven fractions (Fr1-11). Compound C1 (8.0 mg) was purified from Fr9 (7.6 g) by normal-phase silica gel and Sephadex LH-20 chromatography. Compound C2 (5.0 mg) was purified from Fr10 (20.6 g) by repeated column chromatography as well as compound C1. Compound C3 (210.0 mg) was purified from Fr10 (20.6 g) by repeated column chromatography over silica gel with eluent as CHCl3–MeOH–H2O 4:1:0.1. Compound C4 (102.0 mg) was purified from Fr11 (12.5 g) by repeated column chromatography over silica gel with eluent as CHCl3–MeOH–H2O 6:4:0.5, and further purified by Sephadex LH-20 with eluent as MeOH and preparative HPLC (MeOH–H2O, 60:40).

3.4. Acid Hydrolysis of Compounds C1 and C2

d-Glucose, d-galactose, l-rhamnose, d-fucose, d-xylose and l-arabinose aqueous solution (each 2 mg/mL, 80 μL) PMP CH3OH solution (0.5 mol/L, 80 μL) and aqueous NaOH solution (0.3 mol/L, 80 μL) were heated at 70 °C for 30 min, cooled to room temperature for 10 min, HCl aqueous solution added (0.3 mol/L, 80 μL) and extracted with CHCl3 (0.5 mL, three times). The aqueous fractions were identified by HPLC analysis (Phenomenex C18, 250 mm × 4.6 mm, 5 μm column); flow phase A: CH3CN-20 mmol/L NH4OAc aqueous solution (15:85), B: CH3CN-20 mmol/L NH4OAc aqueous solution (40:60), flow rate: 1.2 mL/min; gradient elution, 0→20 min, volume fraction of B from 0 to 60%; detection wavelengths: 245 nm; sample volume: 20 μL).
Compounds C1 (2 mg) and C2 (2 mg) were heated in an ampule with aqueous 2 mol/L HCl–1,4-dioxane (1:1, 2 mL) at 80 °C for 6 h. The aglycon was extracted with chloroform, and the aqueous layer was evaporated under reduced pressure and subjected to the normal preparation of sugar derivatives. Thus, compound C1 furnished d-xylose, l-rhamnose, d-glucose, and d-fucose in a ratio of 2:2:1:1, and compound C2 furnished d-xylose, l-rhamnose, d-glucose and d-fucose in the ratio of 1:2:1:1, which were identified by HPLC analysis of the thiazolidine derivatives following conversion to the 1-[(S)-N-acetyl-(R)-methylbenzylamino]-1-deoxyalditol acetate derivatives [7].

4. Conclusions

Two new bidesmoside triterpenoid glycosides identified as 28-O-β-d-xylopyranosyl-(1→3)-β-d-xylopyranosyl(1→4)-α-l-rhamnopyranosyl(1→2)-[α-l-rhamnopyranosyl(1→3)]-β-d-fucopyranosyl gypsogenin 3-O-β-d-glucopyranosyl (1→2)-β-d-glucopyranosiduronic acid (C1) and 28-O-β-d-xylopyranosyl(1→4)-α-l-rhamnopyranosyl(1→2)-[α-l-rhamnopyranosyl(1→3)]-β-d-fucopyranosyl gypsogenin 3-O-β-d-glucopyranosyl(1→2)-β-d-glucopyranosiduronic acid (C2) were isolated from the seeds of M. charantia L. together with two known ones identified as 3-O-β-d-glucopyranosyl-24β-ethyl-5α-cholesta-7-trans-22E,5(7)trien-3β-ol (C3) and momordicoside S (C4). This finding represents an addition to the ongoing research on the pharmacological activity of these compounds, which may be helpful to understand the use of this plant in traditional medicine and should continue to clarify its actual health benefits.

Supplementary Materials

Supplementary materials can be accessed at: https://www.mdpi.com/1420-3049/19/2/2238/s1.

Acknowledgments

This work was financially supported by the National Nature Science Foundation of China (NO. 30960047).

Conflicts of Interest

The authors declare no conflict of interest.

References

  1. Liu, J.Q.; Chen, J.C.; Wang, C.F.; Qiu, M.H. New cucurbitane triterpenoids and steroidal glycoside from Momordica. charantia L. Molecules 2009, 14, 4804–4813. [Google Scholar] [CrossRef]
  2. Chen, J.C.; Tian, R.R.; Qiu, M.H.; Lu, L.; Zheng, Y.T.; Zhang, Z.Q. Trinorcucurbitane and cucurbitane triterpenoids from the roots of Momordica charantia. Phytochemistry 2008, 69, 1043–1048. [Google Scholar] [CrossRef]
  3. Chen, J.C.; Lu, L.; Zhang, X.M.; Zhou, L.; Li, Z.R.; Qiu, M.H. Eight new cucurbitane glycosides, kuguaglycosides A-H, from the root of Momordica. charantia L. Helv. Chim. Acta 2008, 91, 920–929. [Google Scholar] [CrossRef]
  4. Tan, M.J.; Ye, J.M.; Turner, N.; Cordula, H.B.; Ke, C.Q.; Tang, C.P.; Chen, T.; Weiss, H.C.; Gesing, E.R.; Rowland, A.; et al. Antidiabetic activities of triterpenoids isolated from bitter melon associated with activation of the AMPK pathway. Chem. Biol. 2008, 15, 263–273. [Google Scholar] [CrossRef]
  5. Zhu, Z.J.; Zhong, Z.C.; Luo, Z.Y.; Xiao, Z.Y. Studies on the active constituents of the seeds of Momordica. charantia L. Acta Pharm. Sin. 1990, 25, 898–903. [Google Scholar]
  6. Yumi, Y.; Hikaru, O.; Tatsuo, Y. Studies on the constituents of Momordica. charantia L. II. Isolation and characterization of minor seed glycosides, momordicosides C, D and E. Chem. Pharm. Bull. 1981, 29, 1561–1566. [Google Scholar] [CrossRef]
  7. Oshima, R.; Yamauchi, Y.; Kumanotani, J. Resolution of the enantiomers of aldoses by liquid chromatography of diastereoisomeric 1-(N-acetyl-α-methylbenzylamino)-1-deoxyalditol acetates. Carbohydr. Res. 1982, 107, 169–176. [Google Scholar] [CrossRef]
  8. Murakami, T.; Emoto, A.; Matsuda, H.; Yoshikawa, M. Medicinal foodstuffs. XXI. Structures of new cucurbitane-type triterpene glycosides, goyaglycosides-a, -b, -c, -d, -e, -f, -g, and -h, and new oleanane-type triterpene saponins, goyasaponins I, II, and III, from the fresh fruit of Japanese Momordica. charantia L. Chem. Pharm. Bull. 2001, 49, 54–63. [Google Scholar] [CrossRef]
  • Sample Availability: Samples of the compounds 14 are available from the authors.

Share and Cite

MDPI and ACS Style

Ma, L.; Yu, A.-H.; Sun, L.-L.; Gao, W.; Zhang, M.-M.; Su, Y.-L.; Liu, H.; Ji, T. Two New Bidesmoside Triterpenoid Saponins from the Seeds of Momordica charantia L. Molecules 2014, 19, 2238-2246. https://doi.org/10.3390/molecules19022238

AMA Style

Ma L, Yu A-H, Sun L-L, Gao W, Zhang M-M, Su Y-L, Liu H, Ji T. Two New Bidesmoside Triterpenoid Saponins from the Seeds of Momordica charantia L. Molecules. 2014; 19(2):2238-2246. https://doi.org/10.3390/molecules19022238

Chicago/Turabian Style

Ma, Lin, Ai-Hua Yu, Li-Li Sun, Wan Gao, Meng-Meng Zhang, Ya-Lun Su, Hua Liu, and Tengfei Ji. 2014. "Two New Bidesmoside Triterpenoid Saponins from the Seeds of Momordica charantia L." Molecules 19, no. 2: 2238-2246. https://doi.org/10.3390/molecules19022238

APA Style

Ma, L., Yu, A.-H., Sun, L.-L., Gao, W., Zhang, M.-M., Su, Y.-L., Liu, H., & Ji, T. (2014). Two New Bidesmoside Triterpenoid Saponins from the Seeds of Momordica charantia L. Molecules, 19(2), 2238-2246. https://doi.org/10.3390/molecules19022238

Article Metrics

Back to TopTop