The Chemistry of Curcumin: From Extraction to Therapeutic Agent
Abstract
:1. Introduction
2. Extraction of Curcumin from Turmeric and Detection
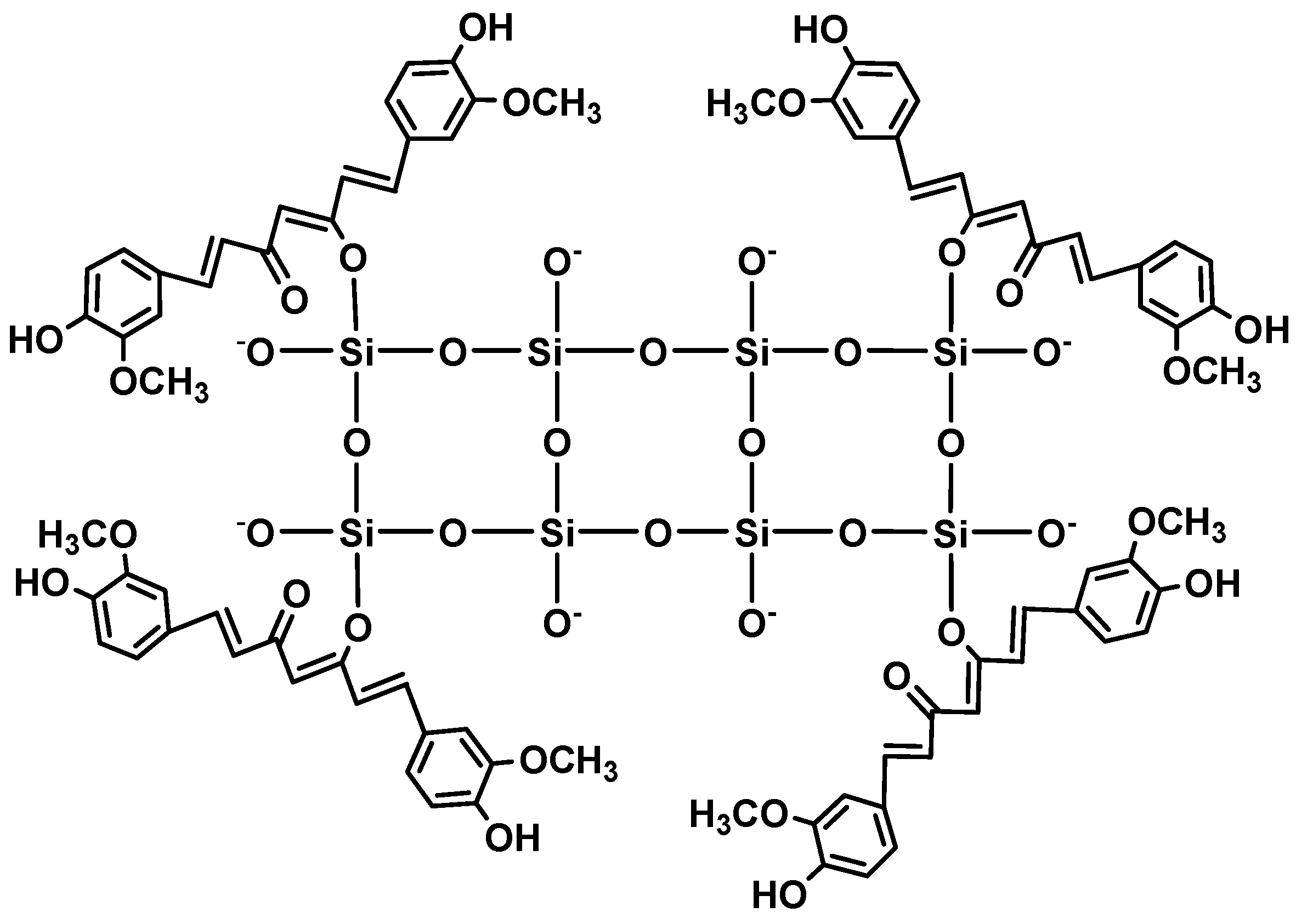
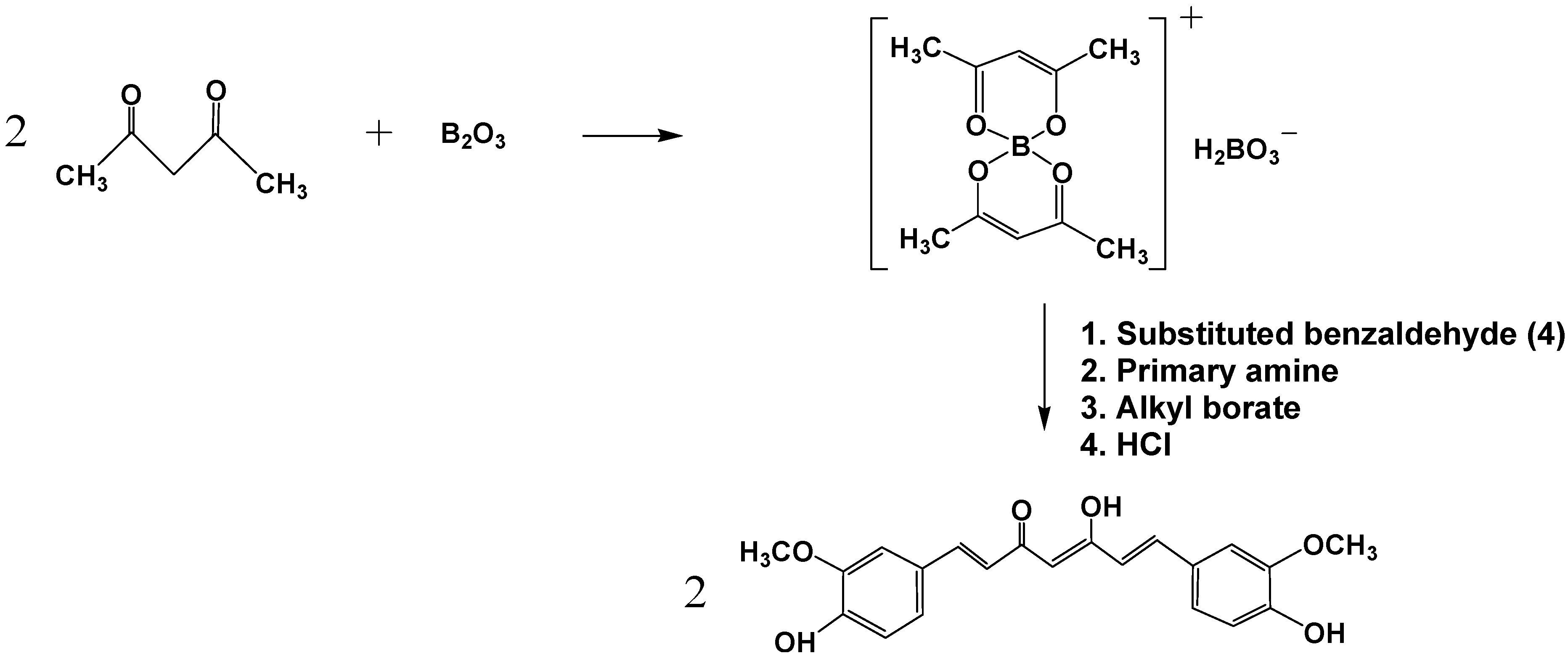
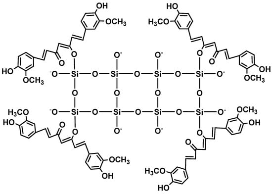
3. Synthesis of Curcumin

4. Structural Characteristics of Curcumin

5. Curcumin Reactivity
5.1. Reactions with ROS

5.2. Chemical Degradation and Metabolism
5.3. Nucleophillic Addition Reactions of Curcumin

6. Chemistry of Curcumin-Metal Ion Interactions

7. New Curcumin Delivery Systems



8. Conclusions and Future Directions
Acknowledgments
Conflict of Interest
References
- Aggarwal, B.B.; Kumar, A.; Bharti, A.C. Anticancer potential of curcumin: Preclinical and clinical studies. Anticancer Res. 2003, 23, 363–398. [Google Scholar] [PubMed]
- Wilken, R.; Veena, S.M.; Wang, M.B.; Srivatsan, E.S. Curcumin: A review of anticancer properties and therapeutic activity in head and neck squamous cell carcinoma. Mol. Cancer 2011, 10, 1–19. [Google Scholar] [CrossRef] [PubMed]
- Grykiewicz, G.; Silfirski, P. Curucmin and curcuminoids in quest for medicinal status. Acta Biochim. Pol. 2012, 59, 201–212. [Google Scholar] [PubMed]
- Esatbeyoglu, T.; Huebbe, P.; Insa, M.A.; DawnChin, E.; Wagner, A.E.; Rimbach, G. Curcumin—From Molecule to Biological Function. Angew. Chem. Int. Ed. 2012, 51, 5308–5332. [Google Scholar] [CrossRef]
- Gupta, S.; Prasad, S.; Ji, H.K.; Patchva, S.; Webb, L.J.; Priyadarsini, K.I.; Aggarwal, B.B. Multitargeting by curcumin as revealed by molecular interaction studies. Nat. Prod. Rep. 2011, 28, 1937–1955. [Google Scholar] [CrossRef] [PubMed]
- Priyadarsini, K.I. Chemical and structural features influencing the biological activity of curcumin. Curr. Pharm. Des. 2013, 19, 2093–2100. [Google Scholar] [PubMed]
- Vogel, H.A.; Pelletier, J. Curcumin-biological and medicinal properties. J. Pharma 1815, 2, 50. [Google Scholar]
- Sharma, O.P. Antioxidant activity of curcumin and related compounds. Biochem. Pharmacol. 1976, 25, 1811–1812. [Google Scholar] [CrossRef] [PubMed]
- Singh, S.; Aggarwal, B. Activation of transcription factor NF-κB is suppressed by curcumin (Diferuloylmethane). J. Biol. Chem. 1995, 270, 24995–25000. [Google Scholar] [CrossRef] [PubMed]
- Ramanjaneyulu, P.S.; Sayi, Y.S.; Raman, V.A.; Ramakumar, K.L. Spectrophotometric determination of boron in nuclear grade uranium compounds with curcumin and studies on effect of HNO3. J. Radioanal. Anal. Nucl. Chem. 2007, 274, 109–114. [Google Scholar] [CrossRef]
- Paulucci, V.P.; Couto, R.O.; Teixeira, C.C.C.; Freitas, L.A.P. Optimization of the extraction of curcumin from Curcuma longa rhizomes. Braz. J. Pharmacogn. 2013, 23, 94–100. [Google Scholar] [CrossRef]
- Lee, K.J.; Yang, H.J.; Jeong, S.W.; Ma, J.Y. Solid-phase extraction of curcuminoid from turmeric using physical process method. Korean J. Pharmacogn. 2012, 43, 250–256. [Google Scholar]
- Lee, K.J.; Ma, J.Y.; Kim, Y.-S.; Kim, D.-S.; Jin, Y. High purity extraction and simultaneous high-performance liquid chromatography analysis of curcuminoids in turmeric. J. Appl. Biol. Chem. 2012, 55, 61–65. [Google Scholar] [CrossRef]
- Li, M.; Ngadi, M.O.; Ma, Y. Optimisation of pulsed ultrasonic and microwave-assisted extraction for curcuminoids by response surface methodology and kinetic study. Food Chem. 2014, 165, 29–34. [Google Scholar] [CrossRef] [PubMed]
- Patel, K.; Krishna, G.; Sokoloski, E.; Ito, Y. Preparative separation of curcuminoids from crude curcumin and turmeric powder by pH-zone-refining counter current chromatography. J. Liquid Chromatogr. 2000, 23, 2209–2218. [Google Scholar] [CrossRef]
- Kim, Y.-J.; Lee, H.J.; Shin, Y. Optimization and validation of high-performance liquid chromatography method for individual curcuminoids in turmeric by heat-refluxed extraction. J. Agric. Food Chem. 2013, 61, 10911–10918. [Google Scholar] [CrossRef] [PubMed]
- Takenaka, M.; Ohkubo, T.; Okadome, H.; Sotome, I.; Itoh, T.; Isobe, S. Effective extraction of curcuminoids by grinding turmeric (Curcuma longa) with medium-chain triacylglycerols. Food Sci. Technol. Res. 2013, 19, 655–659. [Google Scholar] [CrossRef]
- Baumann, W.; Rodrigues, S.V.; Viana, L.M. Pigments and their solubility in and extractability by supercritical CO2- The case of curcumin. Braz. J. Chem. Eng. 2000, 17, 323–328. [Google Scholar] [CrossRef]
- Chassagnez-Mendez, A.L.; Correa, N.C.F.; Franca, L.F.; Machado, N.T.; Araujo, M.E. Mass transfer model applied to the supercritical extraction with CO2 of curcumins from turmeric rhizomes. Braz. J. Chem. Eng. 2000, 17, 315–322. [Google Scholar] [CrossRef]
- Kurmudle, N.; Kagliwal, L.D.; Bankar, S.B.; Singhal, R.S. Enzyme-assisted extraction for enhanced yields of turmeric oleoresin and its constituents. Food Biosci. 2013, 3, 36–51. [Google Scholar] [CrossRef]
- Pramasivam, M.; Poi, R.; Banerjee, H.; Bandyopadhyay, A. High performance thin layer chromatography method for quantitative determination of curcuminoids in Curcuma longa. Food Chem. 2009, 113, 640–644. [Google Scholar] [CrossRef]
- Ali, I.; Haque, A.; Saleem, K. Separation and identification of curcuminoids in turmeric powder by HPLC using phenyl column. Anal. Methods 2014, 6, 2526–2536. [Google Scholar] [CrossRef]
- Lee, K.J.; Kim, Y.S.; Jung, P.M.; Ma, J.Y. Optimization of the conditions for the analysis of curcumin and a related compound in Curcuma longa with mobile-phase composition and column temperature via RP-HPLC. Asian J. Chem. 2013, 25, 6306–6310. [Google Scholar]
- Lee, K.J.; Kim, Y.S.; Ma, J.Y. Separation and identification of curcuminoids from Asian turmeric (Curcuma longa L) using RP-HPLC and LC-MS. Asian J. Chem. 2013, 25, 909–912. [Google Scholar]
- Nhujak, T.; Saisuwan, W.; Srisa-art, M.; Petsome, A. Microemulsion electrokinetic chromatography for separation analysis of curcumionids in turmeric samples. J. Sep. Sci. 2006, 29, 666–676. [Google Scholar] [CrossRef] [PubMed]
- Sun, X.; Gao, C.; Cao, W.; Yang, X.; Wang, E. Capillary elelctrophoresis with amperometric detection of curcumin in Chinese herbal medicine pretreated by solid-phase extraction. J. Chromatogr. A 2002, 962, 117–125. [Google Scholar] [CrossRef] [PubMed]
- Marczylo, T.H.; Steward, W.P.; Gescher, A.J. Rapid analysis of curcumin and curcumin metabolites in rat biomatrices using a novel Ultraperformance Liquid Chromatography (UPLC) Method. J. Agric. Food Chem. 2009, 57, 797–803. [Google Scholar] [PubMed]
- Lampe, V.; Milobedzka, J. Studien uber Curucmin. Ber. Dtsch. Chem. Ges. 1913, 46, 2235–2240. [Google Scholar] [CrossRef]
- Pabon, H.J. Synthesis of curcumin and related compounds. Recl. Trav. Chim. Pays-Bas 1964, 83, 379–386. [Google Scholar] [CrossRef]
- Babu, K.V.; Rajasekharan, K.N. A convenient synthesis of curcumin-I analogues. Org. Prep. Proced. Int. 1994, 26, 674–677. [Google Scholar] [CrossRef]
- Venkateswarlu, S.; Ramachandra, M.S.; Subbaraju, G.V. Synthesis and biological evaluation of polyhydroxycurcuminoids. Bioorg. Med. Chem. 2005, 13, 6374–6380. [Google Scholar] [CrossRef] [PubMed]
- Venkata Rao, E.; Sudheer, P. Revisiting curcumin chemistry part I: A new strategy for the synthesis of curcuminoids. Indian J. Pharm. Sci. 2011, 73, 262–270. [Google Scholar] [PubMed]
- Priyadarsini, K.I. Photophysics, Photochemistry and Photobiology of Curcumin: Studies from organic solutions, bio-mimetics and living cells. J. Photochem. Photobiol. C 2009, 10, 81–96. [Google Scholar] [CrossRef]
- Borsari, M.; Ferrari, E.; Grandi, R.; Saladini, M. Curucminoids as potential new iron-chelating agents: Spectroscopic, polarographic and potentiometric study on their Fe(III) complexing ability. Inorg. Chim. Acta 2002, 328, 61–68. [Google Scholar] [CrossRef]
- Priyadarsini, K.I. Free radical reactions of curcumin in model membranes. Free Radic. Biol. Med. 1997, 23, 838–884. [Google Scholar] [CrossRef] [PubMed]
- Priyadarsini, K.I.; Maity, D.K.; Naik, G.H.; Kumar, M.S.; Unnikrishnan, M.K.; Satav, J.G.; Mohan, H. Role of phenolic O-H and methylene hydrogen on the free radical reactions and antioxidant activity of curcumin. Free Radic. Biol. Med. 2003, 35, 475–484. [Google Scholar] [CrossRef] [PubMed]
- Mishra, B.; Priyadarsini, K.I.; Bhide, M.K.; Kadam, R.M.; Mohan, H. Reactions of superoxide radicals with curcumin: Probable mechanisms by optical spectroscopy and EPR. Free Radic. Res. 2004, 38, 355–362. [Google Scholar] [CrossRef] [PubMed]
- Jovanovic, S.V.; Boone, C.W.; Steenken, S.; Trinoga, M.; Kaskey, R.B. How curcumin works preferentially with water soluble antioxidants. J. Am. Chem. Soc. 2001, 12, 3064–3068. [Google Scholar] [CrossRef]
- Sun, Y.M.; Zhang, H.Y.; Chen, D.Z.; Liu, C.B. Theoretical Elucidation on the Antioxidant Mechanism of Curcumin: A DFT Study. Org. Lett. 2002, 4, 2909–2911. [Google Scholar] [CrossRef] [PubMed]
- Kim, J.E.; Kim, A.R.; Chung, H.Y.; Han, S.Y.; Kim, B.S.; Choi, J.S. In vitro peroxynitrite scavenging activity of diarylheptanoids from Curcumia longa. Phytother. Res. 2003, 17, 481–484. [Google Scholar] [CrossRef] [PubMed]
- Iwunze, M.O.; McEwan, D. Peroxynitrite interaction with curcumin solubilised in ethanol. Cell. Mol. Biol. 2004, 50, 749–752. [Google Scholar] [PubMed]
- Shen, L.; Ji, H.F. The pharmacology of curcumin: Is it the degradation products? Trends Mol. Med. 2012, 18, 138–143. [Google Scholar] [CrossRef] [PubMed]
- Price, L.C.; Buescher, R.W. Kinetics of alkaline degradation of the food pigments curcumin and curcuminoids. J. Food Sci. 1997, 62, 267–269. [Google Scholar] [CrossRef]
- Wang, Y.J.; Pan, M.H.; Cheng, A.L.; Lin, L.I.; Ho, Y.S.; Hsieh, C.Y.; Lin, J.K. Stability of curcumin in buffer solution and characterization of its degradation products. J. Pharm. Biomed. Anal. 1997, 15, 1867–1876. [Google Scholar] [CrossRef] [PubMed]
- Canamares, M.V.; Garcia-Ramos, J.V.; Sanchez-Cortes, S. Degradation of curcumin in aqueous solutions and Ag nanoparticle studied by Uv-Vis absorption and surface enhanced Raman spectroscopy. Appl. Spectrosc. 2006, 60, 1386–1391. [Google Scholar] [CrossRef] [PubMed]
- Khurana, A.; Ho, C.T. High performance liquid chromatographic analysis of curcuminoids and their photo-oxidative decomposition compounds in curcuma longa. J. Liquid Chromatogr. 1988, 11, 2295–2304. [Google Scholar] [CrossRef]
- Tønnesen, H.H.; de Vries, H.; Karlsen, J.; Henegouwen, B.V. Studies on curcumin and curcuminoids IX: Investigation of the photobiological activity of curcumin using bacterial indicator systems. J. Pharm. Sci. 1987, 76, 371–373. [Google Scholar] [CrossRef] [PubMed]
- Singh, U.; Verma, S.; Ghosh, H.N.; Rath, M.C.; Priyadarsini, K.I.; Sharma, A.; Pushpa, K.K.; Sarkar, S.K.; Mukherjee, T. Photo-degradation of curcumin in the presence of TiO2 nanoparticles: Fundamentals & application. J. Mol. Catal. A 2010, 318, 106–111. [Google Scholar] [CrossRef]
- Asai, A.; Miyazawa, T. Occurrence of orally administered curcuminoid as glucuronide and glucuronide/sulfate conjugates in rat plasma. Life Sci. 2000, 67, 2785–2793. [Google Scholar] [CrossRef] [PubMed]
- Ireson, C.R.; Jones, D.J.L.; Orr, S.; Coughtrie, M.W.H.; Boocock, D.J.; Williams, M.L.; Farmer, P.B.; Steward, W.P.; Gesher, A.J. Metabolism of the cancer chemopreventive agent curcumin in human and rat intestine. Cancer Epidemol. Biomark. Prev. 2002, 11, 105–111. [Google Scholar]
- Wahlstrom, B.; Blennow, G. A study on the fate of curcumin in the rat. Acta Pharmacol. Toxicol. 1978, 43, 86–92. [Google Scholar] [CrossRef]
- Garcea, G.; Jones, D.J.; Singh, R.; Dennison, A.R.; Farmer, P.B.; Sharma, R.A.; Steward, W.P.; Gescher, A.J.; Berry, D.P. Detection of curcumin and its metabolites in hepatic tissue and portal blood of patients following oral administration. Br. J. Cancer 2004, 90, 1011–1015. [Google Scholar] [CrossRef] [PubMed]
- Hoehle, S.I.; Pfeiffer, E.; Solyom, A.M.; Metzler, M. Metabolism of curcuminoids in tissue slices and subcellular fractions from rat liver. J. Agric. Food Chem. 2006, 54, 756–764. [Google Scholar] [CrossRef] [PubMed]
- Awasthi, S.; Pandya, U.; Singhal, S.S.; Lin, J.T.; Thiviyanathan, V.; Seifert, W.E.; Awasthi, Y.C.; Ansari, G.A. Curcumin-glutathione interactions and the role of human glutathione S-transferase PI-1. Chem. Biol. Int. 2000, 128, 19–38. [Google Scholar] [CrossRef]
- Lersel, M.L.; Ploemen, J.P.; Struik, I.; van Amersfoort, C.; Keyzer, A.E.; Schefferlie, J.G.; van Bladeren, P.J. Inhibition of glutathione S-transferase activity in human melanoma cells by α,-β unsaturated carbonyl derivatives. Chem. Biol. Int. 1996, 102, 117–132. [Google Scholar] [CrossRef]
- Fang, J.; Jun, L.; Holmegren, A. Thioredoxin reductase is irreversibly modified by curcumin: A novel molecular mechanism for its anticancer activity. J. Biol. Chem. 2005, 280, 25284–25290. [Google Scholar] [CrossRef] [PubMed]
- Jung, Y.; Xu, W.; Kim, H.; Ha, N.; Neckers, L. Curcumin-induced degradation of ErbB2: A role for the ubiquitin ligase CHIP and the Michael reaction acceptor activity of curcumin. Biochim. Biophys. Acta Mol. Cell Res. 2007, 1773, 383–390. [Google Scholar] [CrossRef]
- Li, W.; Wu, W.; Yu, F.; Huang, H.; Liang, X.; Ye, J. Catalytic asymmetric Michael addition with curcumin derivative. Org. Biomol. Chem. 2011, 9, 2505–2511. [Google Scholar] [CrossRef] [PubMed]
- Dutta, S.; Padhye, S.; Priyadarsini, K.I.; Newton, C. Antioxidant and antiproliferative activity of curcumin semicarbazone derivative. Bio-Org. Med. Chem. 2005, 15, 2738–2744. [Google Scholar] [CrossRef]
- Simoni, D.; Rizzi, M.; Rondanin, R.; Baruchello, R.; Marchetti, P.; Invidiata, F.P.; Labbozzetta, M.; Poma, P.; Carina, V.; Notarbartolo, M.; et al. Antitumor effects of curcumin and structurally modified b-diketone analogs on multidrug resistant cancer cells. Bioorganic Med. Chem. Lett. 2008, 18, 845–849. [Google Scholar]
- Ferrari, E.; Asti, M.; Benassi, R.; Francesca, P.; Saladini, M. Metal binding ability of curcumin derivatives: A theoretical vs. experimental approach. Dalton Trans. 2013, 42, 5304–5313. [Google Scholar] [CrossRef]
- Pallikkavil, R.; Ummathur, M.S.; Sreedharan, S.; Krishnankutty, K. Synthesis, characterization and antimicrobial studies of Cd(II), Hg(II), Pb(II), Sn(II) and Ca(II) complexes of curcumin. Main Group Metal Chem. 2013, 36, 123–127. [Google Scholar] [CrossRef]
- Moamen, R.S. Synthesis and characterization of ligational behavior of curcumin drug towards some transition metal ions: Chelation effect on their thermal stability and biological activity. Spectrochim. Acta Part A—Mol. Biomol. Spectrosc. 2013, 105, 326–337. [Google Scholar] [CrossRef]
- Khalil, M.I.; Al-Zahem, A.M.; Al-Qunaibit, M.H. Synthesis, characterisation, Mössbauer parameters and anti-tumor activity of Fe(III) curcumin complex. Bioinorg. Chem. Appl. 2013. [Google Scholar] [CrossRef]
- Mohammadi, K.; Thompson, K.H.; Patrick, B.O.; Storr, T.; Martins, C.; Polishchuk, E.; Yuen, V.G.; McNeill, J.H.; Orvig, C. Synthesis and characterisation of dual function vanadyl, gallium and indium curcumin complexes for medicinal applications. J. Inorg. Biochem. 2005, 99, 2217–2225. [Google Scholar] [CrossRef] [PubMed]
- Ali, I.S.; Kishwar, W.; Diana, H. lSynthesis, DNA binding, hemolytic, and anti-cancer assays of curcumin -based ligands and their ruthenium(III) complexes. Med. Chem. Res. 2013, 22, 1386–1398. [Google Scholar] [CrossRef]
- Leung, M.H.; Harada, M.; Kee, T.; Tak, W. Delivery of Curcumin and Medicinal Effects of the Copper(II)-Curcumin Complexes. Curr. Pharm. Des. 2013, 19, 2070–2083. [Google Scholar] [PubMed]
- Vajragupta, O.; Boonchoong, P.; Watanabe, H.; Wongkrajang, Y.; Kammasud, N. Manganese complexes of curcumin and its derivatives: Evaluation for the radical scavenging ability and neuroprotective activity. Free Radic. Biol. Med. 2003, 35, 1632–1644. [Google Scholar] [CrossRef] [PubMed]
- Vajragupta, O.; Boonchoong, P.; Berliner, L.J. Manganese complexes of curcumin nanlogues: Evaluation of hydroxyl radical scavenging ability, superoxide dismutase activity and stability towards hydrolysis. Free Radic. Res. 2004, 38, 303–314. [Google Scholar] [CrossRef] [PubMed]
- Barik, A.; Mishra, B.; Shen, L.; Mohan, H.; Kadam, R.M.; Dutta, S.; Zhang, H.; Priyadarsini, K.I. Evaluation of new copper–curcumin complex as superoxide dismutase mimic and its free radical reactions. Free Radic. Biol. Med. 2005, 39, 811–822. [Google Scholar] [CrossRef] [PubMed]
- Barik, A.; Mishra, B.; Kunwar, A.; Kadam, R.M.; Shen, L.; Dutta, S.; Padhye, S.; Satpati, A.K.; Zhang, H.-Y.; Priyadarsini, K.I. Comparative study of copper (II)–curcumin complexes as superoxide dismutase mimics & free radical scavengers. Eur. J. Med. Chem. 2007, 42, 431–439. [Google Scholar] [CrossRef] [PubMed]
- Kunwar, A.; Narang, K.; Priyadarsini, K.I.; Krishna, M.; Pandey, R.; Sainis, K.B. Delayed activation of PKCδ and NFκB and higher radioprotection in splenic lymphocytes by Copper (II)-curcumin (1:1) complex. J. Cell. Biochem. 2007, 102, 1214–1224. [Google Scholar] [CrossRef] [PubMed]
- Koiram, P.R.; Veerapur, V.R.; Kunwar, A.; Mishra, B.; Barik, A.; Priyadarsini, K.I.; Unnikrishnan, M.K. Effect of curcumin and curcumin copper complex on radiation induced changes in the antioxidant enzymes levels in the livers of Swiss albino mice. J. Radiat. Res. 2007, 48, 241–245. [Google Scholar]
- Baum, L.; Ng, A. Curcumin interaction with copper and iron suggests one possible mechanism of action in Alzheimer’s disease animal models. J. Alzheimer’s Dis. 2004, 6, 367–377. [Google Scholar]
- Jiang, T.; Zhi, X.; Zhang, Y.; Pan, L.; Zhou, P. Inhibitory effect of curcumin on the Al(III)-induced A beta(42) aggregation and neurotoxicity in vitro. Biochim. Biophys. Acta—Mol. Basis Dis. 2012, 1822, 1207–1215. [Google Scholar] [CrossRef]
- Jiang, T.; Wang, L.; Zhang, S.; Sun, P.-C.; Ding, C.-F.; Chu, Y.-Q.; Zhou, P. Interaction of curcumin with Al(III) and its complex structures based on experiments and theoretical calculations. J. Mol. Struct. 2011, 1004, 163–173. [Google Scholar] [CrossRef]
- Gianluca, M.; Erika, F.; Gigliola, L.; Valentina, A.; Francesca, F.; Claudio, M.; Francesca, P.; Monica, S.; Ledi, M. The role of coordination chemistry in the development of innovative gallium-based bioceramics: The case of curcumin. J. Mater. Chem. 2011, 21, 5027–5037. [Google Scholar] [CrossRef]
- Pucci, D.; Bellini, T.; Crispini, A.; D’Agnano, I.; Liquori, P.F.; Garcia-Orduna, P.; Pirillo, S.; Valentini, A.; Zanchetta, G. DNA binding and cytotoxicity of fluorescent curcumin-based Zn(II) Complexes. Med. Chem. Commun. 2012, 3, 462–468. [Google Scholar] [CrossRef]
- Mei, X.; Xu, D.; Xu, S.; Zheng, Y.; Xu, S. Gastroprotective and antidepressant effects of a new zinc(II)-curcumin complex in rodent models of gastric ulcer and depression induced by stresses. Pharmacol. Biochem. Behav. 2011, 99, 66–74. [Google Scholar] [CrossRef] [PubMed]
- Sharma, K.K.; Chandra, S.; Basu, D.K. Synthesis and antiarthritic study of a new orally active diferuloyl methane (curcumin) gold complex. Inorg. Chim. Acta 1987, 135, 47–48. [Google Scholar] [CrossRef]
- Thompson, K.H.; Bohmerle, K.; Polishchuk, E.; Martins, C.; Toleikis, P.; Tse, J.; Yuen, V.; McNeill, J.H.; Orvig, C. Complementary inhibition of synoviocyte, smooth muscle cell or mouse lymphoma cell proliferation by a vanadyl curcumin complex compared to curcumin alone. J. Inorg. Biochem. 2004, 98, 2063–2070. [Google Scholar] [CrossRef] [PubMed]
- Rennolds, J.; Malireddy, S.; Hassan, F.; Tridandapani, S.; Parinandi, N.; Boyaka, P.N.; Cormet-Boyaka, E. Curcumin regulates airway epithelial cell cytokine responses to the pollutant cadmium. Biochem. Biophys. Res. Commun. 2012, 417, 256–261. [Google Scholar] [CrossRef] [PubMed]
- Oguzturk, H.; Ciftci, O.; Aydin, M.; Timurkaan, N.; Beytur, A.; Yilmaz, F. Ameliorative effects of curcumin against acute cadmium toxicity on male reproductive system in rats. Andrologia 2012, 44, 243–249. [Google Scholar] [CrossRef] [PubMed]
- Agarwal, R.; Goel, S.K.; Behari, J.R. Detoxification and antioxidant effects of curcumin in rats experimentally exposed to mercury. J. Appl. Toxicol. 2010, 30, 457–468. [Google Scholar] [PubMed]
- Daniel, S.; Limson, J.L.; Dairam, A.; Watkins, G.M.; Daya, S. Through metal binding curcumin protects against lead- and cadmium-induced lipid peroxidation in rat brain homogenates and against lead-induced tissue damamge in rat brain. J. Biol. Inorg. Chem. 2004, 98, 266–275. [Google Scholar]
- Eybl, V.; Kotyzova, D.; Leseticky, l.; Bludovska, M.; Koutensky, J. The influence of curcumin and managanes complex of curcumin on cadmium induced oxidative damamge and trace elements status in tissues of mice. J. Appl. Toxicol. 2006, 26, 207–212. [Google Scholar] [CrossRef] [PubMed]
- Valentini, A.; Conforti, F.; Crispini, A.; De Martino, A.; Condello, R.; Stellitano, C.; Giuseppe, R.; Ghedini, M.; Federici, G.; Bernardini, S.; et al. Synthesis, oxidant properties, and antitumoral effects of a heteroleptic palladium(II) complex of curcumin on human prostate cancer cells. J. Med. Chem. 2009, 52, 484–491. [Google Scholar]
- John, V.D.; Kuttan, G.; Krishnankutty, K. Anti-tumor studies of metal chelates of synthetic curcuminoids. J. Exp. Clin. Cancer Res. 2002, 21, 219–224. [Google Scholar] [PubMed]
- Lou, J.R.; Zhang, X.X.; Zheng, J.; Ding, W.Q. Transient metals enhance cytotoxicity of curcumin: Potential involvement of the NF-kappaB and mTOR signaling pathways. Anticancer Res. 2010, 30, 3249–3255. [Google Scholar] [PubMed]
- Huang, Q.-M.; Wang, S.; Pan, W.; Deng, P.-X.; Zhou, H.; Pan, Z.-Q. Synthesis and characterization of curcumin bridged porphyrins as photosensitizers. Chem. J. Chin. Univ.-Chin. 2012, 33, 732–737. [Google Scholar]
- Akhtar, H.; Kumar, S.; Banik, B.; Banerjee, S.; Nagaraju, G.; Chakravarthy, A.R. Enhancing the photocytotoxic potential of curcumin on terpyridyl-lanthanide(III) complex formation. Dalton Trans. 2013, 42, 182–195. [Google Scholar] [CrossRef] [PubMed]
- Zhou, S.X.; Xuan, W.; Jia-Feng, D.; Dong, Y.; Jiang, B.; Wei, D.; Wan, M.-L.; Jia, Y. Synthesis, optical properties and biological imaging of the rare earth complexes with curcumin and pyridine. J. Mater. Chem. 2012, 22, 22774–22780. [Google Scholar] [CrossRef]
- Song, Y.M.; Xu, J.P.; Ding, L.; Hou, Q.; Liu, J.W.; Zhu, Z.L. Syntheses, characterisation and biological activities of rare earth metal complexes with curcumin and 1,10-phenanthroline-5,6-dione. J. Inorg. Biochem. 2009, 103, 396–400. [Google Scholar] [CrossRef] [PubMed]
- Sagnou, M.; Benaki, D.; Triantis, C.; Tsotakos, T.; Psycharis, V.; Raptopoulou, C.P.; Pirmettis, I.; Papadopoulos, M.; Pelecanou, M. Curcumin as the OO bidentate ligand in “2+1” complexes with the [M(CO)3]+ (M = Re, Tc99m) tricarbonyl core for radiodiagnostic applications. Inorg. Chem. 2011, 50, 1295–1303. [Google Scholar] [CrossRef] [PubMed]
- Asti, M.; Ferrari, E.; Groci, S.; Atti, G.; Rubagotti, S.; Lori, M.; Capponi, P.C.; Zerbini, A.; Saladini, M.; Versari, A. Synthesis and characterization of 68Ga-labeled curcumin and curcuminoid Complexes as potential radiotracers for imaging of cancer and Alzheimer’s disease. Inorg. Chem. 2014, 53, 4922–4933. [Google Scholar] [CrossRef] [PubMed]
- Kunwar, A.; Barik, A.; Pandey, R.; Priyadarsini, K.I. Transport of liposomal and albumin loaded curcumin to living cells: An absorption and fluorescence spectroscopic study. Biochim. Biophys. Acta (Gen.) 2006, 1760, 1513–1520. [Google Scholar] [CrossRef]
- Li, L.; Braiteh, F.S.; Kurzrock, R. Liposome-encapsulated curcumin: in vitro and in vivo effects on proliferation, apoptosis, signaling, and angiogenesis. Cancer 2005, 104, 1322–1331. [Google Scholar] [CrossRef] [PubMed]
- Prasad, S.; Tyagi, A.K.; Aggarwal, B. Recent developments in delivery, bioavailability, absorption and metabolism of curcumin: The golden pigment from golden spice. Cancer Res. Treat. 2014, 46, 2–18. [Google Scholar] [CrossRef] [PubMed]
- Chin, S.F.; Iyer, K.S.; Saunders, M.; Tim, G.; Buckley, C.; Paskevicious, M.; Raston, C.L. Encapsulation and sustained release of curcumin using superparamagnetic silica reservoirs. Chemistry 2009, 15, 5661–5665. [Google Scholar] [CrossRef] [PubMed]
- Jin, D.; Park, K.-W.; Lee, J.H.; Song, K.; Kim, J.-G.; Seo, M.L.; Jung, J.H. The selective immobilization of curcumin onto the internal surface of mesoporous hollow silica particles by covalent bonding and its controlled release. J. Mat. Chem. 2011, 21, 3641–3645. [Google Scholar] [CrossRef]
- Dinda, A.K.; Prashant, C.K.; Naqvi, S. Curcumin loaded organically modified silica (ORMOSIL) nanoparticle; A novel agent for cancer therapy. Int. J. Nanotechnol. 2012, 9, 862–871. [Google Scholar] [CrossRef]
- Yan, H.; The, C.; Sreejit, S.; Zhu, L.; Kwok, A.; Fang, W.; Ma, X.; Nguyen, K.T.; Korzh, V.; Zhao, Y. Functional mesoporous silica nanoparticles for phootthermal-controlled drug delivery. Angew. Chem. Int. Ed. 2012, 51, 8373–8377. [Google Scholar] [CrossRef]
- Jin, D.; Lee, J.; Seo, M.L.; Jaworski, J.; Jung, J.H. Controlled drug delivery from mesoporous silica using a pH response release. New J. Chem. 2012, 36, 1616–1620. [Google Scholar] [CrossRef]
- Patra, D.; Sleem, F. A new method for pH triggered curcumin release by applying poly(l-lysine) mediated nanoparticle-congregation. Anal. Chim. Acta 2013, 795, 60–68. [Google Scholar] [CrossRef] [PubMed]
- Gangwar, R.K.; Tomar, G.B.; Dhumale, V.A.; Zinjarde, S.; Sharma, R.B.; Datar, S. Curcumin conjugated silica nanoparticles for improving bioavailability and its anticancer applications. J. Agric. Food Chem. 2013, 61, 9632–9637. [Google Scholar] [PubMed]
- Singh, S.P.; Sharma, M.; Gupta, P.K. Enhancement of phototoxicity of curcumin in human oral cancer cells using silica nanoparticles as delivery vehicle. Lasers Med. Sci. 2014, 29, 645–652. [Google Scholar] [CrossRef] [PubMed]
- Ma’Mani, L.; Nikzad, S.; Kheiri-Manjili, H.; Al-Musawi, S.; Saeedi, M.; Askaralou, S. Curcumin-loaded guanidine functionalized PEGylated mesoporous silica nanoparticles KIT-6: Practical strategy for the breast cancer therapy. Eur. J. Med. Chem. 2014, 83, 646–654. [Google Scholar] [CrossRef] [PubMed]
- Sindhu, K.; Rajaram, A.; Sreeram, K.J.; Rajaram, R. Curcumin conjugated gold nanoparticle synthesis and its bioavailability. RSC Adv. 2014, 4, 1808–1814. [Google Scholar]
- Singh, D.K.; Jagannathan, R.; Khandelwal, P.; Abraham, P.M.; Poddar, P. In situ synthesis and surface functionalization of gold nanoparticles with curcumin and their antioxidant properties: An experimental and density functional theory investigation. Nanoscale 2013, 5, 1882–1893. [Google Scholar] [CrossRef] [PubMed]
- Sreelakshmi, C.; Goel, N.; Datta, K.K.R.; Addlagatta, A.; Ummani, R.; Reddy, B.V.S. Green synthesis of curcumin capped gold nanoparticles and evaluation of their cytotoxicity. Nanosci. Nanotechnol. Lett. 2013, 5, 1258–1265. [Google Scholar] [CrossRef]
- Gangwar, R.K.; Dhumale, V.A.; Kumari, D.; Nakate, U.T.; Gosavi, S.W.; Sharma, R.B.; Kale, S.N.; Datar, S. Conjugation of curcumin with PVP capped gold nanoparticles for improving bioavailability. Mater. Sci. Eng. C 2012, 32, 2659–2663. [Google Scholar] [CrossRef]
- Sakey, R.; Bafubiandi-Mulaba, A.F.; Rajnikanth, V.; Varaprasad, K.; Reddy, N.N.; Raju, K.M. Development and characterization of curcumin loaded silver nanoparticle hydrogels for antibacterial and drug delivery applications. J. Inorg. Organomet. Polym. Mat. 2012, 22, 1254–1262. [Google Scholar] [CrossRef]
- Hatamie, S.; Nouri, M.; Karandikar, S.K.; Kulkarni, A.; Dhole, S.D.; Phase, D.M.; Kale, S.N. Complexes of cobalt nanoparticles and polyfunctional curcumin as antimicrobial agents. Mat. Sci. Eng. C 2012, 32, 92–97. [Google Scholar] [CrossRef]
- Chen, W.; Xu, N.; Xu, L.; Wang, L.; Li, Z.; Ma, W.; Zhu, Y.; Xu, C.; Kotov, N.A. Multifunctional magnetoplasmonic nanoparticle assemblies for cancer therapy and diagnostics (Theranostics). Macromol. Rapid Comm. 2010, 31, 228–236. [Google Scholar]
- Yellapu, M.M.; Shadi, F.O.; Curtis, E.T. Multi-functional magnetic nanoparticles for magnetic resonance imaging and cancer therapy. Biomaterials 2011, 32, 1890–1905. [Google Scholar] [CrossRef] [PubMed]
- Yallapu, M.M.; Othman, S.F.; Curtis, E.T.; Bauer, N.A.; Chauhan, N.; Kumar, D.; Jaggi, M.; Chauhan, S.C. Curucmin loaded magnetic nanoparticles for breast cancer therapeutics and imaging applications. Int. J. Nanomed. 2012, 7, 1761–1779. [Google Scholar]
- Yallapu, M.M.; Ebeling, M.C.; Khan, S.; Sundram, V.; Chauhan, N.; Gupta, B.K.; Puumala, S.E.; Jaggi, M.; Chauhan, S.C. Novel curcumin-loaded magnetic nanoparticles for pancreatic cancer treatment. Mol. Cancer Ther. 2013, 12, 1471–1480. [Google Scholar] [CrossRef] [PubMed]
© 2014 by the authors. Licensee MDPI, Basel, Switzerland. This article is an open access article distributed under the terms and conditions of the Creative Commons Attribution license ( http://creativecommons.org/licenses/by/4.0/).
Share and Cite
Priyadarsini, K.I. The Chemistry of Curcumin: From Extraction to Therapeutic Agent. Molecules 2014, 19, 20091-20112. https://doi.org/10.3390/molecules191220091
Priyadarsini KI. The Chemistry of Curcumin: From Extraction to Therapeutic Agent. Molecules. 2014; 19(12):20091-20112. https://doi.org/10.3390/molecules191220091
Chicago/Turabian StylePriyadarsini, Kavirayani Indira. 2014. "The Chemistry of Curcumin: From Extraction to Therapeutic Agent" Molecules 19, no. 12: 20091-20112. https://doi.org/10.3390/molecules191220091
APA StylePriyadarsini, K. I. (2014). The Chemistry of Curcumin: From Extraction to Therapeutic Agent. Molecules, 19(12), 20091-20112. https://doi.org/10.3390/molecules191220091
