Next Article in Journal
The Effect of Freeze/Thaw Cycles on Reproducibility of Metabolic Profiling of Marine Microalgal Extracts Using Direct Infusion High-Resolution Mass Spectrometry (HR-MS)
Previous Article in Journal
Structural Formation and Photocatalytic Activity of Magnetron Sputtered Titania and Doped-Titania Coatings
 
 
Font Type:
Arial Georgia Verdana
Font Size:
Aa Aa Aa
Line Spacing:
Column Width:
Background:
Article

Synthesis and Biological Evaluation of Novel Curcuminoid Derivatives

1
Department of Applied Chemistry, Marine College, Shandong University, Weihai 264209, China
2
Department of Environmental Engineering, School of Marine Science and Technology, Harbin Institute of Technology, Weihai 264209, China
*
Author to whom correspondence should be addressed.
These authors contributed equally to this work.
Molecules 2014, 19(10), 16349-16372; https://doi.org/10.3390/molecules191016349
Submission received: 15 September 2014 / Revised: 26 September 2014 / Accepted: 29 September 2014 / Published: 13 October 2014
(This article belongs to the Section Medicinal Chemistry)

Abstract

:
Curcuminoids have been reported to possess multiple bioactivities, such as antioxidant, anticancer and anti-inflammatory properties. Three novel series of curcuminoid derivatives (11ah, 15ah and 19ad) with enhanced bioactivity have been synthesized. Among the synthesized compounds, 11b exhibited the most significant activity with an MIC of 0.5 µM /mL against selected medically important Gram-positive cocci (S. aureus and S. viridans) and Gram-negative bacilli (E. coli and E. cloacae). The derivatives exhibited remarkable results in an antioxidant test with an IC50 2.4- to 9.3-folder smaller than curcuminoids. With respect to antiproliferative activity against Hep-G2, LX-2, SMMC7221 and MDA-MB-231, the derivatives exhibited an effect stronger than curcuminoids with an IC50 ranging from 0.18 to 4.25 µM.

1. Introduction

Natural compounds derived from plants, animals and microorganisms proved to be an excellent source for therapeutic agents. Phytochemicals once served humankind as the source of new drug development, and today, these natural products or their derivatives still represent preventive and therapeutic agents against a wide range of human diseases [1,2]. Turmeric and ginger are spices that belong to the Zingiberaceae family. Ginger, a common ingredient for various foods and beverages, is also employed in medicine for the treatment of various ailments, like headaches, nausea, rheumatism and colds [3]. Curcuminoids, viz., curcumin (CCM), demethoxycurcumin (DCM) and bisdemethoxycurcumin (BCM), are the yellow pigments of turmeric [4]. (Figure 1) Recent studies have shown that curcuminoids possess a wide range of biological activities, including antioxidant [5,6], anti-inflammatory [7,8], anticancer [9,10] and anti-angiogenesis [11,12] properties, as well as medicinal applications, including their use in HIV therapies [13] and Alzheimer’s disease [14]. The non-toxic food origin and wide range of pharmaceutical properties of curcuminoids make them promising candidate molecules for medicine. Efforts have been made to synthesize new curcuminoid derivatives with stronger biological activities [15,16,17].
Figure 1. Curcumin, demethoxycurcumin and bisdemethoxycurcumin.
Figure 1. Curcumin, demethoxycurcumin and bisdemethoxycurcumin.
Molecules 19 16349 g001
In addition to curcuminoids, some other natural products, such as methionine [18,19], selenomethionine [19,20,21,22], caffeic acid [23,24,25], ferulic acid [26,27,28] and 18β-glycyrrhetinic acid [29,30,31], have drawn our attention because of various pharmaceutical properties. Hence, we selected those active ingredients as starting materials to design and synthesize three serials of curcuminoid derivatives. The antioxidant ability, antibacterial activity, as well as cytotoxic potency of the compounds against human tumor cells were evaluated.

2. Results and Discussion

2.1. Chemistry

Symmetrical curcuminoids, CCM and BCM were synthesized according to the procedure previously reported (Scheme 1) [32]. Compounds 1a and 1b were obtained in an excellent yield. NMR and other analytical data support the curcuminoids’ purity of >95% after recrystallization in methanol.
Scheme 1. Syntheses of curcumin (1a) and bisdemethoxycurcumin (1b).
Scheme 1. Syntheses of curcumin (1a) and bisdemethoxycurcumin (1b).
Molecules 19 16349 g002
The synthesis of curcuminoid derivatives, viz., 11ah, 15ah and 19ad, were reported. In the first series, selenomethionine (8) was prepared from methionine (2) through seven steps according to the procedure previously reported (Scheme 2) [33]. The synthesis of 10ah was carried out in dry CHCl3 in the presence of dehydrating agents, 1-Ethyl-3-(3-dimethyllaminopropyl)carbodiimide hydrochloride/1-Hydroxybenzotriazole (EDCI/HOBT) or Dicyclohexylcarbodiimide/4-dimethylaminopyridine (DCC/DMAP), as catalysts. Subsequently, deprotection of amino group were completed with HCl in dry ethyl acetate (EA) at room temperature for 2–4 h to get methionine-substituted and selenomethionine-substituted curcuminoids (11ah).
Scheme 2. Synthesis of selenomethionine-substituted curcuminoids and methionine-substituted curcuminoids.
Scheme 2. Synthesis of selenomethionine-substituted curcuminoids and methionine-substituted curcuminoids.
Molecules 19 16349 g003
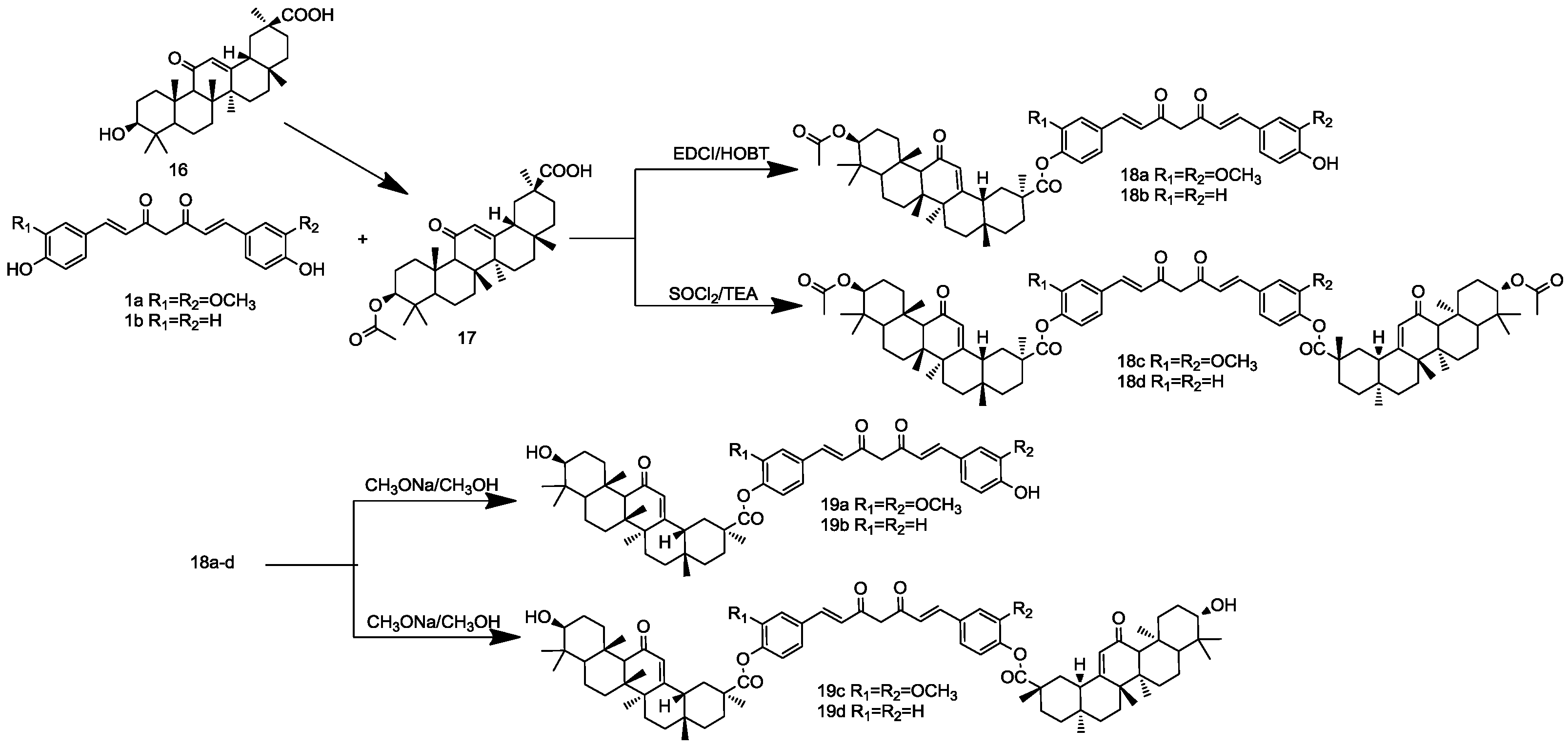
The synthesis of the second series depicted in Scheme 3, 13a or 13b, was reacted with curcuminoids in the presence of EDCI/HOBT to obtain 14ad in 45%–65% yield. Treatment of 13a or 13b with SOCl2 was followed by the addition of curcuminoids and Triethylamine (TEA) as the acid-binding agent, using the esterification procedure furnished compounds 14eh. Acetylated compounds 14ah resulted upon hydrolysis with CH3ONa, resulting in their respective phenolic compounds, 15ah. As shown in Scheme 4, we designed the synthesis of curcuminoid-glycyrrhetinic acid conjugates (19ad) using similar methods. All of the newly synthesized bioconjugates were characterized by melting point, elemental analysis, ESI-MS, 1H-NMR and 13C-NMR.
Scheme 3. Synthesis of curcuminoid-caffeic acid and curcuminoid-ferulic acid conjugates.
Scheme 3. Synthesis of curcuminoid-caffeic acid and curcuminoid-ferulic acid conjugates.
Molecules 19 16349 g004
Scheme 4. Synthesis of curcuminoid-glycyrrhetinic acid conjugates.
Scheme 4. Synthesis of curcuminoid-glycyrrhetinic acid conjugates.
Molecules 19 16349 g005

2.2. Pharmacological Activities

2.2.1. Antioxidant Activity

As one of their well-known mechanisms, antioxidants can inhibit lipid oxidation by scavenging free radicals. Compared to other methods of measuring antioxidant activity, the DPPH radical method is quite simple and rapid for screening specific compounds, as the DPPH radical is commercially available and does not need to be generated prior to use. Thus, the antioxidant activity of all of the synthesized new curcuminoid derivatives (11ah, 15ah and 19ad) was assessed for their radical scavenging ability using the stable DPPH radical method. The assay was conducted at six different concentrations of antioxidants (2.5 µM, 5 µM, 10 µM, 20 µM, 40 µM and 80 µM) in a polar, homogeneous medium. The antioxidant potency (IC50) is presented in µM concentrations of the synthesized curcuminoid derivatives, as shown in Table 1. Besides, we tracked the change of absorbance of the DPPH solution over time in the presence of curcuminoid derivatives at a concentration of 20 µM and, based on these data, determined the decay rates of the DPPH radicals (Table 1).
Table 1. In vitro DPPH free radical scavenging activity (FRSA) of the target compounds. CCM, curcumin; BCM, bisdemethoxycurcumin.
Table 1. In vitro DPPH free radical scavenging activity (FRSA) of the target compounds. CCM, curcumin; BCM, bisdemethoxycurcumin.
CompoundDPPH FRSA%IC50 (µM)d[radical]/dt(µM·min−1)
2.5 µM5 µM10 µM20 µM40 µM80 µM
11a4.28.316.733.366.793.3309.49
11b11.422.745.590.995.596.61118.58
11c3.56.913.927.855.692.4368.92
11d6.311.923.847.692.295.52113.14
11e3.36.513.226.352.692.2388.57
11f5.210.319.839.881.594.82512.44
11g2.96.111.523.847.291.2428.61
11h4.58.817.635.571.293.92811.05
15a5.210.220.641.782.993.72412.62
15b3.46.613.527.354.993.1378.83
15c4.38.517.234.769.294.22913.22
15d4.69.218.537.374.193.92711.55
15e4.48.917.534.568.793.52910.88
15f3.16.311.923.547.692.2427.25
15g6.312.525.350.592.695.22014.12
15h3.46.613.927.354.192.83710.23
19a3.36.513.426.552.692.23810.92
19b2.64.910.320.840.880.7495.89
19c5.210.420.841.783.393.42413.02
19d3.67.114.428.657.192.3359.88
CCM1.22.54.99.719.538.81031.34
BCM1.22.34.18.516.332.11230.56
The radical-scavenging assay by the DPPH method clearly indicated that all curcuminoid derivatives have lower IC50 values than curcuminoids. For instance, methionine-substituted curcumin exhibited 2.5- to 3.4-fold lower IC50 values than did curcumin as the standard compound, which could be attributed to the sulfur moiety present in it, acting as a good radical-scavenging agent. However, selenomethionine-substituted curcuminoids showed 1.5- to 2.7-fold lower IC50 values than did methionine-substituted curcuminoids, which revealed the important role of selenium in scavenging radicals.
The results also showed that attachment of a caffeic acid and a ferulic acid moiety to the curcuminoids significantly enhanced the antioxidant activity. For instance, curcumin-di-caffeic acid (15f) showed a potent DPPH free radical scavenging ability with IC50 of 29 µM, while the IC50 of curcumin as the standard compound is 103 µM. In addition, curcuminoids with a caffeic acid moiety showed a higher DPPH radical scavenging ability than those with ferulic acid, which revealed the great influence of free hydroxyl groups on the DPPH radical scavenging activity of curcuminoid derivatives. For instance, curcumin-mono-caffeic acid (15b) exhibited better antioxidant activity with an IC50 of 24 µM, while the corresponding curcumin-mono-ferulic acid (15a) showed an IC50 of 37 µM.
With respect to the third series of curcuminoid derivatives, the best radical scavenger is curcumin-di-glycyrrhetinic acid (19c), whose scavenging ability is 4.3-folder higher than curcumin as the standard compound. The curcuminoid-glycyrrhetinic conjugates also showed more efficiency than curcuminoids. As the results revealed, the curcumin-di-glycyrrhetinic acid exhibited a 9.7-folder higher scavenging radical rate than curcumin did.

2.2.2. Antibacterial Activity

All curcuminoid derivatives were tested for their antimicrobial potential against Gram-positive cocci (S. aureus and S. viridans) and Gram-negative bacilli (E. coli and E. cloacae). The lowest concentration of curcuminoid derivatives in µmol/mL that prevented in vitro growth of microorganism has been represented as being correlated with the zone of inhibition and MIC (minimum inhibitory concentration), as shown in Table 2.
Table 2. Zone of inhibition a and MIC b correlation diagram of curcuminoid derivatives against bacterial strains.
Table 2. Zone of inhibition a and MIC b correlation diagram of curcuminoid derivatives against bacterial strains.
CompoundName of Bacteria
Gram-positiveGram-negative
S. aureusS. viridansE. coliE. cloacae
Zone of InhibitionMICZone of InhibitionMICZone of InhibitionMICZone of InhibitionMIC
11a19, 16, 142.019, 17, 142.019, 17, 152.018, 16, 144.0
11b26, 20, 180.524, 20, 180.525, 20, 170.523, 20, 180.5
11c19, 17, 152.318, 16, 142.319, 16, 144.619, 16, 144.6
11d24, 17, 141.022, 18, 151.022, 17, 151.024, 19, 161.5
11e18, 15, 133.218, 14, 102.218, 15, 133.218, 14, 133.2
11f21, 18, 160.721, 18, 160.720, 17, 150.321, 18, 150.7
11g18, 16, 143.722, 19, 172.418, 16, 133.720, 18, 162.4
11h20, 17, 151.623, 20, 181.620, 15, 131.622, 19, 171.6
15a19, 16, 143.819, 17, 143.819, 17, 142.419, 16, 151.9
15b22, 20, 183.721, 19, 163.722, 20, 182.322, 20, 181.8
15c18, 15, 134.319, 15, 134.318, 16, 112.718, 15, 122.1
15d20, 18, –4.120, 18, –4.120, 18, –2.621, 18, 172.1
15e18, 15, 132.718, 15, –2.716, 13, 101.719, 17, 131.3
15f21, 17, 162.823, 17, 162.821, 17, 161.721, 18, 161.4
15g19, 17, 143.219, 16, 143.219, 16, 142.019, 16, 141.6
15h21, 19, 183.026, 20, 183.026, 20, 181.926, 20, 181.5
19a19, 17, 152.420, 18, 162.420, 18, 171.519, 17, 161.2
19b21, 19, 172.621, 18, 162.621, 18, 171.620, 18, –1.3
19c25, 20, 181.624, 21, 191.624, 22, 201.023, 21, 190.8
19d22, 20, 181.722, 20, 181.722, 19, 171.021, 19, 170.8
CCM10, 8, 621.711, 9, –21.710, 8, –27.212, 8, –27.2
BCM8, 5, –32.58, 6, –32.58, 5, –32.59, 6, –32.5
Ampicillin21, 18, 152.520, 17, 152.520, 17,143.220, 18, 153.2
– Resistant; a the zone of inhibition was measured in mm at concentrations of 20, 10 and 5 µM/mL; b MIC (minimum inhibitory concentration) values were measured in µM/mL.
All curcuminoid derivatives exhibited better antibacterial activity than curcuminoids. The most encouraging results were obtained in the case of curcumin-mono-selenomethionine (11b) having an MIC of 0.5 µM/mL against S. aureus, while ampicillin, the best marketed antibiotic, shows an MIC of 2.5 µM/mL, showing that (11b) is five times more effective than the ampicillin at similar concentrations. The zones of inhibition of 11b were 26 mm, 20 mm and 18 mm, while curcumin had zones of 10 mm, 8 mm and 6 mm. The monoester 11b has shown highly satisfactory results as an antibacterial agent, which may be due to the selenium and free hydroxyls. Curcuminoid-caffeic acid and curcuminoid-ferulic acid conjugates showed an MIC ranging from 2.8 to 4.3 µM/mL. With respect to the third series of curcuminoid derivatives, the best antibacterial agents are 19c and 19d, with an MIC ranging between 1.6 µM/mL and 1.7 µM/mL, 1.5- to 1.6-fold lower than did ampicillin.
What is more, the second and third series of curcuminoid derivatives showed better antibacterial activity against E. coli than ampicillin without exception. Curcuminoid-caffeic acid and curcuminoid-ferulic acid conjugates showed an MIC ranging between 1.7 µM/mL and 2.7 µM/mL, 1.2- to 1.9-folder lower than ampicillin did. Curcumin-glycyrrhetinic acid conjugates showed an MIC ranging between 0.8 µM/mL and 1.3 µM/mL, 2.5- to 4.0-folder lower than ampicillin did.
The results of an antibacterial test against E. cloacae were also encouraging. The antibacterial activity of the bioconjugates was 8.6–49.4-times higher than that of curcuminoids.

2.2.3. Antiproliferative Activity

The inhibitory effects of curcuminoid derivatives on the growth of three lines of cultured human hepatoma cells (Hep-G2, LX-2 and SMMC-7221) and one line of human breast cancer cells (MDA-MB-231) were determined using the MTT assay. For each experiment, CCM and BCM were used as positive controls. The cytotoxic effects of curcuminoid derivatives were confirmed at concentrations of 1 µM, 5 µM, 10 µM and 20 µM. Inhibitory activities (IC50) were presented in µM/L concentrations of the synthesized curcuminoid derivatives, as shown in Table 3.
All curcuminoid derivatives showed remarkably stronger cancer growth inhibitory effects in Hep-G2, LX-2, SMMC-7221 and MDA-MB-231 cells than did curcuminoids, as determined by the MTT assay. The activity data suggests that the derivatives having methionine exhibited good anticancer activity, and replacement of the selenium atom with the sulfur atom showed more remarkable anticancer activity, which was effective against all cell lines. Compound 11b exhibited an IC50 of 0.18–0.63 µM in Hep-G2, LX-2, SMMC-7221 and MDA-MB-231 cells, while the IC50 of 11a was 4.9- to 9.8-fold higher (1.41–2.94 µM). We also determined that the monoesters demonstrated improved anticancer properties compared to their corresponding diesters. The ester linkages to selenomethionine and methionine could be hydrolyzed by esterase enzymes, releasing parent curcuminoids at the target site. Thus, monoesters having one free phenolic hydroxyl and one ester linkage to selenomethionine have great advantages and hold promise as prodrugs.
In the second series of curcuminoid derivatives, curcuminoid-caffeic acid conjugates showed a stronger inhibition effect on the growth of tumor cells than curcuminoid-ferulic acid conjugates. For instance, Compound 15a exhibited an IC50 of 2.75–3.96 μM in Hep-G2, LX-2, SMMC-7221 and MDA-MB-231 cells, while the IC50 of 15b was between 1.11 and 2.16 μM.
Table 3. Inhibitory effects of curcuminoid derivatives on the growth of Hep-G2, LX-2, SMMC7221 and MDA-MB-231.
Table 3. Inhibitory effects of curcuminoid derivatives on the growth of Hep-G2, LX-2, SMMC7221 and MDA-MB-231.
CompoundIC50 (µM)
Hep-G2LX-2SMMC-7721MDA-MB-231
CCM24.9513.9712.5711.45
BCM32.6516.3517.1114.10
11a2.542.922.052.64
11b0.310.620.180.52
11c3.013.222.351.84
11d0.750.980.550.85
11e3.543.553.413.59
11f0.950.781.351.22
11g4.014.394.174.62
11h0.961.421.211.82
15a3.753.962.753.23
15b1.111.282.161.72
15c4.253.363.322.75
15d3.111.281.162.05
15e5.154.243.233.05
15f2.163.382.982.80
15g3.753.942.753.23
15h3.113.282.162.72
19a4.253.363.322.75
19b3.162.252.282.15
19c0.750.941.031.05
19d1.521.481.651.78
IC50, the compound concentration required to inhibit cell proliferation by 50%. Hep-G2, LX-2, SMMC-7221 and MDA-MB-231 were seeded at a density of 2 × 103 Cells/well. The cells were then treated with various concentrations (1 µM, 5 µM, 10 µM and 20 µM) of different curcuminoid derivatives for 72 h. The effects of the different compounds on the growth of Hep-G2, LX-2, SMMC-7221 and MDA-MB-231 cells were determined by the MTT assay.
Among the curcuminoid-glycyrrhetinic acid conjugates, 19c showed the best antiproliferative activity with an IC50 of 0.75–1.05 µM. In the first series, we found that the monoesters exhibited better anti-tumor activity than their corresponding diesters, but the third series is just the opposite. The IC50 of curcumin-mono-glycyrrhetinic acid (19a) ranged between 2.75 to 4.25 µM, while the IC50 of curcumin-di-glycyrrhetinic acid (19c) was between 0.75 µM and 1.05 µM.

2.3. Structure-Activity Relationship

Curcumin has two phenyl rings and substitutions at the 3 and 4 positions with methoxy and hydroxyl groups, respectively. It has been reported to undergo extensive in vitro and in vivo phase I and phase II metabolism through oxidation, reduction, glucuronidation and sulfation. The glucuronidation and sulfation occur on the 4-OH groups present on both phenyl rings of curcumin. The protection of the 4-OH groups improves its stability.
In the first series of curcuminoid derivatives, the assessment of their antioxidant, antimicrobial and anticancer activities suggested that derivatives are relatively more active than curcuminoids, which may be due to their increased solubility, slow metabolism and better cellular uptake. Shiv K. Dubey et al. [34] enhanced the biological activities of curcumin by introducing glycine, glutamic acid and valine on phenyl rings. They also found that monoesters of curcumin have even better antimicrobial activity than their corresponding diesters, emphasizing the role of the free phenolic group. That findings are consistent with our results. What is more, the CCM derivatives exhibited better bioactivities than the corresponding BCM derivatives, which revealed the importance of methoxy groups in the skeleton for biological activity.
Wisut et al. [35] synthesized a series of succinate prodrugs by esterification of curcuminoids with a methyl or ethyl ester of succinyl chloride. These compounds showed better anticancer activity against Caco-2 cells with IC50 values in the 1.8–9.6 µM range, Compared with succinylation, the conjugation of caffeic acid and ferulic acid is in favor of the formation of hydrogen bond formation and the extension of the conjugate structure. Zhang’s [36] research found that these factors greatly impact the bioactivity of curcuminoid derivatives. In addition, the curcuminoids-caffeic acid conjugates showed better activities than curcuminoids-ferulic acid conjugates, which may be attributed to different numbers of hydroxyl groups in two substituents.
In the third series, 18β-glycyrrhetinic acid was used as the starting material to prepare prodrugs with novel structures. To alter the lipophilicity of the molecule and to improve the bioavailability, the carboxylic acid at position C-30 was transformed into esters by reacting with curcuminoids. The synthesized derivatives retained the active groups of 18β-glycyrrhetinic acid, the C-3 hydroxyl group, which proved to be essential for good biological activities. In addition, diesters with a two glycyrrhetinic acid moiety showed better biological activities than monoesters, and the results agree with Fuchs’ findings [37].
Thus, we attempt to summarize the key issues:
  • The absence of the methoxy group in curcuminoid derivatives leads to a decrease in the biological activity.
  • The difference in the biological activity between monoesters and diesters depends on the substituent on the phenyl rings of curcuminoids.
  • To some extent, but not as hard absolutes, the more hydroxyl groups the substituent contains, the better biological activity the derivatives will have. In other word, the hydroxyl groups incorporated are helpful for the improvement of biological activity.

3. Experimental Section

3.1. Chemicals and Reagents

All reagents and solvents were purchased from Aldrich Chemical Co. (Beijing, China) and used without further purification. Se-Met was synthesized in-house. Melting points were determined on a Fisher-Johns melting apparatus (Weihai, China). Electrospray ionization mass spectral (ESI-MS) data were obtained on a Bruker Esquire HCT spectrometer (Waters, New York, NY, USA). The 1H-NMR spectral data were recorded on a 400-MHz NMR spectrometer (Fällanden, Switzerland).
Human hepatoma cells (Hep-G2, LX-2 and SMMC-7221) and human breast cancer cells (MDA-MB-231) were obtained from Expression Systems (Beijing, China). Cultured cells were grown at 37 °C in a humidified atmosphere of 5% CO2 and were passaged twice a week.

3.2. General Method for the Synthesis of CCM (1a) and BCM (1b)

Acetylacetone (10 mmol) was added to a solution of boric anhydride (5.0 mmol) in ethyl acetate (30 mL), followed by the addition of vanillin (20 mmol) or 4-hydroxybenzaldehyde (20 mmol) and tributyl borate (40 mmol). The reaction mixture was stirred at 50 °C for 10 min. Subsequently, n-butylamine (5.0 mmol) in ethyl acetate (5 mL) was added dropwise over 15 min at 50 °C and additionally stirred for 4 hours at 80 °C. Hydrochloric acid (1 N, 30 mL) was added, and the mixture was stirred for another 40 min. The organic layers were washed with water, dried with Na2SO4. The solvent was evaporated, and the residue was recrystallized from methanol to give the corresponding curcuminoids (1a and 1b) as yellow solids.
CCM (1a). Yield 85%. m.p. 185–186 °C. 1H-NMR (CDCl3): δ 7.59 (d, J = 15.7 Hz, 2H), 7.13 (dd, J = 8.1 and 1.8 Hz, 1H), 7.05 (d, J = 1.8 Hz, 2H), 6.94 (d, J = 8.1 Hz, 2H), 6.48 (d, J = 15.8 Hz, 2H), 5.85 (s, 1H), 3.95 (s, 6H). ESI-MS (m/z): (M−H) = 367.03. Anal. Calcd. for C21H20O6: C, 68.47; H, 5.47; O, 26.06%. Found: C, 68.40; H, 5.41; O, 26.12%.
BCM (1b). Yield 80%. m.p. 233–234 °C. 1H-NMR (CDCl3): δ 7.53 (d, J = 16.2 Hz, 2H).7.55 (d, J = 8.6 Hz, 4H), 6.85 (d, J = 8.6 Hz, 4H), 6.65 (d, J = 15.9 Hz, 2H), 6.09 (s, 1H). ESI-MS (m/z): (M−H) = 307.03. Anal. Calcd. for C21H20O6: C, 74.01; H, 5.23; O, 20.76%. Found: C, 74.06; H, 5.21; O, 20.82%.

3.3. Procedure of the Preparation of Selenomethionine-Substituted Curcuminoids and Methionine-Substituted Curcuminoids

According to the procedure previously reported [33], selenomethionine (8) was prepared. Methionine (2) was used as the starting material in a three-pot, seven-step procedure to obtain selenomethionine in 47% yield. In a 100-mL round-bottomed flask, selenomethionine or methionine was dissolved in water and NaHCO3 (3 eq.) was added. A solution of (BOC)2O (1.5 eq.) in dioxane was added to this mixture. The reaction mixture was stirred at 25 °C overnight. The reaction mixture was washed with ethyl acetate. The resulting aqueous layer was acidified to pH 2 with concentrated hydrochloric acid and extracted with ethyl acetate. The combined organic extracts were dried over Na2SO4, filtered and concentrated in vacuo to give 9a or 9b as colorless gums.

3.3.1. General Procedure for the Synthesis of 10ad

To a solution of 9a or 9b (10 mmol) in chloroform (50 mL) was added EDCI (12 mmol), HOBT (12 mmol) and DIEA (1 mL). After stirring at 0 °C for 1 h, a solution of CCM (10 mmol) or BCM (10 mmol) in chloroform (40 mL) was added dropwise to the reaction mixture, which was stirred overnight at room temperature. After completion of the reaction, as indicated by TLC, the mixture was washed with hydrochloric acid (1 M) and brine. The organic layer was dried over anhydrous Na2SO4 and concentrated in vacuo. Purification by column chromatography over polyamide gel (1:10, CH3OH/CCl4) gave 10ad as yellow solids.
Curcumin-mono-N-(tert-butoxycarbonyl)-methionine (10a). Yield 48%. m.p. 165–166 °C. 1H-NMR (400 MHz, CDCl3): δ 7.63 (d, J = 5.6 Hz, 1H), 7.59 (d, J = 5.6 Hz, 1H), 7.21–7.07 (m, 4H), 7.06 (d, J = 1.8 Hz, 1H), 6.94 (d, J = 8.2 Hz, 1H), 6.55 (d, J = 15.8 Hz, 1H), 6.49 (d, J = 15.8 Hz, 1H), 5.83 (s, 1H), 5.21 (d, J = 8.0 Hz, 1H), 4.71 (s, 1H), 3.95 (s, 3H), 3.87 (s, 3H), 2.69 (t, J = 7.8 Hz, 2H), 2.34 (m, 2H), 2.15 (s, 3H), 1.47 (s, 9H). 13C-NMR (CDCl3): δ 198.9, 173.4, 155.2, 151.4, 149.5, 147.9, 142.8, 141.1, 130.6, 127.6, 122.2, 121.9, 116.8, 112.5, 110.9, 79.5, 56.5, 55.8, 51.9, 30.9, 29.7, 28.4. ESI-MS (m/z): (M−H) = 598.31. Anal. Calcd. for C31H37NO9S: C, 62.09; H, 6.22; N, 2.34%. Found: C, 62.12; H, 6.24; N, 2.38%.
Curcumin-mono-N-(tert-butoxycarbonyl)-selenomethionine (10b). Yield 52%. m.p. 172–173 °C. 1H-NMR (400 MHz, CDCl3): δ 7.63 (d, J = 6.0 Hz, 1H), 7.59 (d, J = 6.0 Hz, 1H), 7.22–7.07 (m, 4H), 7.06 (d, J = 1.6 Hz, 1H), 6.94 (d, J = 8.2 Hz, 1H), 6.56 (d, J = 15.8 Hz, 1H), 6.50 (d, J = 15.8 Hz, 1H), 5.83 (s, 1H), 5.20 (d, J = 8.1 Hz, 1H), 4.71 (d, J = 5.0 Hz, 1H), 3.95 (s, 3H), 3.87 (s, 3H), 2.75–2.67 (m, 2H), 2.41–2.21 (m, 2H), 2.05 (s, 3H), 1.47 (s, 9H). 13C-NMR (CDCl3): δ 198.5, 172.4, 155.9, 152.3, 149.5, 148.6, 142.6, 142.5, 133.8, 131.4, 125.6, 124.3, 122.9, 121.9, 116.8, 111.9, 110.9, 56.1, 55.8, 51.9, 28.4, 25.1. ESI-MS (m/z): (M−H) = 646.08. Anal. Calcd. for C31H37NO9Se: C, 57.58; H, 5.77; N, 2.17%. Found: C, 57.50; H, 5.71; N, 2.12%.
Bisdesmethoxycurcumin-mono-N-(tert-butoxycarbonyl)-methionine (10c). Yield 55%, m.p. 183–184 °C. 1H-NMR (400 MHz, CDCl3): δ 7.61 (d, J = 12.9 Hz, 2H), 7.54 (d, J = 8.3 Hz, 2H), 7.43 (d, J = 8.1 Hz, 2H), 7.12 (d, J = 8.5 Hz, 2H), 6.85 (d, J = 7.8 Hz, 2H), 6.56 (d, J = 15.8 Hz, 1H), 6.48 (d, J = 15.8 Hz, 1H), 5.80 (s, 1H), 5.24 (d, J = 7.8 Hz, 1H), 4.67 (s, 1H), 2.66 (t, J = 8.1 Hz, 2H),2.25 (m, 2H) 2.14 (s, 3H), 1.48 (s, 9H). 13C-NMR (CDCl3): δ 198.5, 171.4, 158.8, 153.9, 150.2, 134.8, 131.9, 130.8, 130.2, 129.6, 121.6, 116.8, 79.2, 56.8, 51.9, 30.6, 28.6, 15.6. ESI-MS (m/z): (M−H) = 538.33. Anal. Calcd. for C29H33NO7S: C, 64.54; H, 6.16; N, 2.60%. Found: C, 64.50; H, 6.11; N, 2.65%.
Bisdemethoxycurcumin-mono-N-(tert-butoxycarbonyl)-selenomethionine (10d). Yield 60%. m.p. 192–193 °C. 1H-NMR (400 MHz, CDCl3): δ 7.61 (d, J = 14.9 Hz, 2H), 7.54 (d, J = 8.3 Hz, 2H), 7.43 (d, J = 8.1 Hz, 2H), 7.12 (d, J = 7.6 Hz, 2H), 6.85 (d, J = 5.5 Hz, 2H), 6.49 (d, J = 13.5 Hz, 2H), 5.80 (s, 1H), 5.18 (d, J = 8.2 Hz, 1H), 4.66 (s, 1H), 2.66 (t, 2H), 2.41–2.31 (m, 2H), 2.03 (s, 3H), 1.48 (s, 9H). 13C-NMR (CDCl3): δ 198.6, 170.5, 155.6, 150.4, 135.8, 131.6, 130.9, 130.4, 128.6, 122.5, 115.8, 79.4, 60.2, 51.8, 28.6, 25.1, 22.4, 9.5. ESI-MS (m/z): (M−H) = 586.22. Anal. Calcd. for C29H33NO7Se: C, 59.38; H, 5.67; N, 2.39%. Found: C, 59.32; H, 5.61; N, 2.33.

3.3.2. General Procedure for the Synthesis of 10eh

To a stirred solution of 9a or 9b (10 mmol) in anhydrous chloroform (50 mL) was added a solution of CCM or BCM (3 mmol) in chloroform (40 mL) dropwise. After 15 min, the reaction mixture was basified with triethylamine (1 mL) and stirred for 20 min, followed by the addition of DCC (3 mmol). The reaction mixture was stirred for 8 h and monitored by TLC. Upon completion of the reaction, 1, 3-dicyclohexylurea (DCU) was removed by filtration, and the filtrate was evaporated. The resulting residue was dissolved in chloroform (50 mL), washed consecutively with 1 M HCl (50 mL), 5% NaHCO3 solution (50 mL), brine (50 mL) and H2O (50 mL), dried over anhydrous Na2SO4, filtered and concentrated in vacuo. Purification by column chromatography over polyamide gel (1:10, CH3OH/CCl4) gave 10eh as yellow solids.
Curcumin-di-N-(tert-butoxycarbonyl)-methionine (10e). Yield 50%. m.p. 187–188 °C. 1H-NMR (400 MHz, CDCl3): δ 7.64 (d, J = 15.8 Hz, 2H), 7.21–7.09 (m, 6H), 6.60 (d, J = 15.8 Hz, 2H), 5.89 (s, 1H), 5.25 (d, J = 7.7 Hz, 2H), 4.74 (d, J = 4.5 Hz, 2H), 3.89 (s, 6H), 2.71 (t, J = 7.6 Hz, 4H), 2.34 (m, 4H), 2.18 (s, 6H), 1.49 (s, 18H). 13C-NMR (CDCl3): δ 198.5, 170.3, 155.6, 151.2, 142.5, 141.3, 131.8, 130.6, 124.4, 121.9, 110.9, 79.6, 56.7, 55.9, 51.3, 30.2, 29.4, 28.2, 15.1. ESI-MS (m/z): (M−H) = 829.33. Anal. Calcd. for: C41H54N2O12S2: C, 59.26; H, 6.55; N, 3.37%. Found: C, 59.21; H, 6.51; N, 3.32%.
Curcumin-di-N-(tert-butoxycarbonyl)-selenomethionine (10f). Yield 58%. m.p. 200–201 °C. 1H-NMR (400 MHz, CDCl3): δ 7.62 (d, J = 15.4 Hz, 2H), 7.24–6.81 (m, 6H), 6.58 (d, J = 14.6 Hz, 2H), 5.87 (s, 1H), 5.19 (d, J = 5.7 Hz, 2H), 4.71 (s, 2H), 3.87 (s, 6H), 2.70 (t, 4H), 2.29 (m, 4H), 2.05 (s, 6H), 1.47 (s, 18H). 13C-NMR (CDCl3): δ 198.9, 170.7, 155.9, 151.8, 143.2, 141.1, 131.8, 124.4, 121.9, 110.9, 60.1, 55.8, 51.9, 28.4, 25.1, 9.4. ESI-MS (m/z): (M−H) = 926.08. Anal. Calcd. for: C41H54N2O12Se2: C, 51.58; H, 5.70; N, 3.17%. Found: C, 51.51; H, 5.73; N, 3.12%.
Bisdesmethoxycurcumin-di-N-(tert-butoxycarbonyl)-methionine (10g). Yield 65%. m.p. 207–208 °C. 1H-NMR (400 MHz, CDCl3): δ 7.64 (d, J = 15.8 Hz, 2H), 7.58 (d, J = 8.4 Hz, 4H), 7.16 (d, J = 8.4 Hz, 4H), 6.59 (d, J = 15.8 Hz, 2H), 5.84 (s, 1H), 5.20 (d, J = 6.2 Hz, 2H), 4.66 (s, 2H), 2.66 (t, 4H), 2.31 (m, 2H), 2.15 (s, 6H), 2.10(m, 2H), 1.47 (s, 18H). 13C-NMR (CDCl3): δ198.9, 170.2, 159.8, 150.7, 135.2, 130.6, 129.4, 121.7, 79.7, 56.9, 52.3, 31.2, 30.4, 28.6, 15.5. ESI-MS (m/z): (M−H) = 769.5. Anal. Calcd. for: C39H50N2O10S2: C, 60.76; H, 6.54; N, 3.63%. Found: C, 60.71; H, 6.50; N, 3.67%.
Bisdesmethoxycurcumin-di-N-(tert-butoxycarbonyl)-selenomethionine (10h). Yield 62%. m.p. 214–215 °C. 1H-NMR (400 MHz, CDCl3): δ 7.65 (d, J = 15.8 Hz, 2H), 7.58 (d, J = 8.6 Hz, 4H), 7.16 (d, J = 8.6 Hz, 4H), 6.59 (d, J = 15.8 Hz, 2H), 5.84 (s, 1H), 5.15 (d, J = 7.0 Hz, 2H), 4.65 (s, 2H), 2.67 (t, J = 7.4 Hz, 4H), 2.44–2.29 (m, 4H), 2.34 (d, J = 18.5 Hz, 2H), 2.27–2.08 (m, 4H), 2.04 (s, 6H), 1.47 (s, 18H). 13C-NMR (CDCl3): δ 198.8, 170.2, 156.2, 150.7, 135.2, 130.5, 129.7, 122.2, 79.5, 60.3, 52.4, 28.7, 25.2, 22.3, 9.3. ESI-MS (m/z): (M−H) = 863.3. Anal. Calcd. for C39H50N2O10Se2: C, 54.17; H, 5.83; N, 3.24%. Found: C, 54.11; H, 5.89; N, 3.20%.

3.3.3. General Procedure for the Synthesis of Compounds 11ah

A solution of HCl/EA (4 mL, 4 M) in a 25-mL round-bottom flask equipped with a magnetic stir-bar was cooled by an ice-water bath under nitrogen. Compound (10ah, 1 mmol) was added in one portion with stirring. The ice-bath was removed, and the mixture was stirred at 25 °C. After 30 min, TLC indicated that the reaction was completed. The product separated as a precipitate, as it was insoluble in EA.
Curcumin-mono-methionine (11a). Yield 60%. m.p. 60–61 °C. 1H-NMR (400 MHz, DMSO): δ 7.63 (d, J = 7.6 Hz, 1H), 7.59 (d, J = 7.9 Hz, 1H), 7.40–7.24 (m, 4H), 7.18 (d, J = 8.2 Hz, 1H), 7.00 (d, J = 16.0 Hz, 1H), 6.85 (d, J = 8.2 Hz, 1H), 6.81 (d, J = 15.9 Hz, 1H), 6.15 (s, 1H), 3.87 (s, 3H), 3.84 (s, 3H), 2.78–2.71 (m, 2H), 2.28–2.23 (m, 2H), 2.12 (s, 3H). 13C-NMR (CDCl3): δ 198.7, 168.2, 151.7, 149.2, 147.5, 142.9, 141.4, 131.9, 130.5, 124.7, 122.9, 121.8, 117.2, 56.4, 52.3, 33.9, 29.7, 15.5. ESI-MS (m/z): (M−H) = 498.17. Anal. Calcd. for C26H29NO7S: C, 62.51; H, 5.85; N, 2.80%. Found: C, 62.58; H, 5.80; N, 2.83%.
Curcumin-mono-selenomethionine (11b). Yield 65%. m.p. 69–70 °C. 1H-NMR (400 MHz, DMSO): δ 7.63 (d, J = 7.7 Hz, 1H), 7.59 (d, J = 7.6 Hz, 1H), 7.41–7.23 (m, 4H), 7.18 (d, J = 8.3 Hz, 1H), 7.01 (d, J = 16.0 Hz, 1H), 6.85 (d, J = 8.2 Hz, 1H), 6.81 (d, J = 15.8 Hz, 1H), 6.15 (s, 1H), 3.87 (s, 3H), 3.84 (s, 3H), 2.78–2.69 (m, 2H), 2.33 (m, 2H), 2.02 (s, 3H). 13C-NMR (CDCl3): δ198.5, 167.8, 151.4, 149.2, 147.5, 142.9, 141.2, 131.7, 130.2, 123.1, 122.2, 120.8, 116.2, 55.8, 51.8, 32.8, 25.7, 9.4. ESI-MS (m/z): (M−H) = 546.1. ESI-MS (m/z): (M−H) = 546.1. Anal. Calcd. for C26H29NO7Se: C, 62.51; H, 5.85; N, 2.80%. Found: C, 62.58; H, 5.80; N, 2.83%.
Bisdesmethoxycurcumin-mono-methionine (11c). Yield 62%. m.p. 73–74 °C. 1H-NMR (400 MHz, DMSO): δ 7.84 (d, J = 8.7 Hz, 2H), 7.59 (d, J = 8.5 Hz, 2H), 7.34 (d, J = 8.7 Hz, 2H), 6.94 (d, J = 16.0 Hz, 1H), 6.85 (d, J = 8.6 Hz, 2H), 6.74 (d, J = 15.9 Hz, 1H), 6.14 (s, 1H), 4.40 (s, 2H), 2.69 (m, 2H), 2.37–2.21 (m, 2H), 2.11 (s, 3H). 13C-NMR (CDCl3): δ 198.9, 168.0, 157.4, 150.6, 135.1, 130.7, 130.5, 121.1, 115.2, 52.2, 34.1, 30.7, 15.4. ESI-MS (m/z): (M−H) = 438.17. Anal. Calcd. for C24H25NO5S: C, 65.58; H, 5.73; N, 3.19%. Found: C, 65.53; H, 5.76; N, 3.21%.
Bisdesmethoxycurcumin-mono-selenomethionine (11d). Yield 65%. m.p. 77–78 °C. 1H-NMR (400 MHz, DMSO): δ 7.84 (d, J = 8.6 Hz, 2H), 7.59 (d, J = 8.3 Hz, 2H), 7.33 (d, J = 8.6 Hz, 2H), 6.95 (d, J = 15.9 Hz, 1H), 6.85 (d, J = 8.5 Hz, 2H), 6.74 (d, J = 15.9 Hz, 1H), 6.14 (s, 1H), 4.40 (s, 1H), 2.75 (t, J = 8.8 Hz, 2H), 2.38–2.28 (m, 2H), 2.01 (s, 3H). 13C-NMR (CDCl3): δ198.7, 168.5, 157.6, 150.8, 136.3, 130.8, 130.4, 121.3, 115.2, 55.5, 51.9, 34.1, 25.7, 9.4. ESI-MS (m/z): (M−H) = 486.08. Anal. Calcd. for C24H25NO5Se: C, 59.26; H, 5.18; N, 2.88%. Found: C, 59.23; H, 5.16; N, 2.92%.
Curcumin-di-methionine (11e). Yield 70%. m.p. 82–83 °C. 1H-NMR (400 MHz, DMSO): δ 7.68 (d, J = 16.0 Hz, 2H), 7.60 (s, 2H), 7.41 (d, J = 7.9 Hz, 2H), 7.06 (d, J = 15.9 Hz, 2H), 6.24 (s, 1H), 4.44 (s, 2H), 3.87 (s, 6H), 2.82–2.69 (m, 4H), 2.32–2.24 (m, 4H), 2.12 (s, 6H). 13C-NMR (CDCl3): δ 197.7, 168.2, 151.6, 142.8, 141.3, 132.3, 130.6, 122.4, 120.3, 111.2, 56.5, 52.3, 33.9, 30.3, 15.7. ESI-MS (m/z): (M−H) = 629.25. Anal. Calcd. for C31H38N2O8S2: C, 59.03; H, 6.07; N, 4.44%. Found: C, 59.07; H, 6.11; N, 4.45%.
Curcumin-di-selenomethionine (11f). Yield: 75%. m.p. 88–89 °C. 1H-NMR (400 MHz, DMSO): δ 7.68 (d, J = 15.9 Hz, 2H), 7.60 (s, 2H), 7.40 (d, J = 7.8 Hz, 2H), 7.28 (d, J = 8.2 Hz, 2H), 7.06 (d, J = 16.0 Hz, 2H), 6.23 (s, 1H), 4.44 (s, 2H), 3.87 (s, 6H), 2.80–2.69 (m, 4H), 2.35–2.26 (m, 4H), 2.02 (s, 6H). 13C-NMR (CDCl3): δ 198.2, 168.1, 151.1, 143.1, 141.2, 131.8, 130.5, 124.4, 121.3, 110.2, 56.5, 52.3, 25.3, 9.2. ESI-MS (m/z): (M–H) = 725.17. Anal. Calcd. for C31H38N2O8Se: C, 51.39; H, 5.29; N, 3.87%. Found: C, 51.37; H, 5.25; N, 3.84%.
Bisdesmethoxycurcumin-di-methionine (11g). Yield 77%. M.p. 92–93 °C. 1H-NMR (400 MHz, DMSO): δ 7.86 (d, J = 8.5 Hz, 4H), 7.67 (d, J = 16.0 Hz, 2H), 7.35 (d, J = 8.5 Hz, 4H), 6.97 (d, J = 15.7 Hz, 2H), 6.18 (s, 1H), 4.40 (s, 2H), 2.78–2.69 (m, 4H), 2.27 (d, 4H), 2.11 (s, 6H). 13C-NMR (CDCl3): δ 198.8, 168.3, 150.5, 134.8, 130.8, 121.7, 121.8, 52.5, 33.8, 29.3, 15.4. ESI-MS (m/z): (M−H) = 570.25. Anal. Calcd. for C29H34N2O6S2: C, 61.03; H, 6.00; N, 4.91%. Found: C, 61.11; H, 6.07; N, 4.92%.
Bisdesmethoxycurcumin-di-selenomethionine (11h). Yield 70%. m.p. 97–98 °C. 1H-NMR (400 MHz, DMSO): δ 7.86 (d, J = 8.6 Hz, 4H), 7.68 (d, J = 11.5 Hz, 2H), 7.35 (d, J = 8.6 Hz, 4H), 6.99 (d, J = 16.0 Hz, 2H), 6.23 (s, 1H), 4.40 (t, J = 6.2 Hz, 2H), 2.81–2.68 (m, 4H), 2.41–2.24 (m, 4H), 2.01 (s, 6H). 13C-NMR (CDCl3): δ 198.8, 168.2, 150.7, 135.0, 130.9, 129.8, 121.7, 55.8, 52.2, 25.3, 9.4. ESI-MS (m/z): (M−H) = 665.00. Anal. Calcd. for C29H34N2O6Se2: C, 52.42; H, 5.16; N, 4.20%. Found: C, 52.49; H, 5.14; N, 4.23%.

3.4. General Method for the Synthesis of Curcuminoid-Caffeic Acid and Curcuminoid-Ferulic Acid Conjugates

3.4.1. General Procedure for the Synthesis of 13ab

12a or 12b (1 mmol) was heated under reflux with Ac2O (20 mmol) for 5 h. Then, acetic acid solution was added to the still hot solution. The product, crystallized upon cooling, was filtered off and washed with cold H2O and Et2O and dried in vacuo to give 13a or 13b as a white solid.
Ferulic acid acetate (13a). Yield 80%. 1H-NMR (400 MHz, CDCl3): δ 7.60 (d, J = 24 Hz, 1H), 7.01 (m, 3H). 6.30 (d, J = 24 Hz, 1H), 3.90 (s, 3H), 2.33(s, 3H). ESI-MS (m/z): (M−H) = 236.08. Anal. Calcd. for C12H12O5: C, 61.01; H, 5.12; O, 33.87%. Found: C, 61.06; H, 5.16; O, 33.82%.
Caffeic acid acetate (13b). Yield 85%. 1H-NMR (400MHz, CDCl3): δ 7.47 (d, J = 15.8 Hz, 1H), 7.33 (m, 3H), 6.33(d, J = 16.0 Hz, 1H), 2.30(s, 3H), 2.28(s, 3H). ESI-MS (m/z): (M−H) = 263.52. Anal. Calcd. for C13H12O6: C, 59.09; H, 4.58; O, 36.33%. Found: C, 59.12; H, 4.52; O, 36.30%.

3.4.2. General Procedure for the Synthesis of 9ad

To a solution of 13a or 13b (1 mmol) in chloroform (50 mL), EDCI (1.2 mmol), HOBT (1.2 mmol) and DIEA (1 mL) were added. After stirring at 0 °C for 1 h, a chloroform solution (40 mL) of CCM or BCM (1 mmol) was added dropwise to the mixtures, which was allowed to be stirred overnight at room temperature. After completion of the reaction, as indicated by TLC, the mixture was washed with hydrochloric acid (1 M) and then with brine. The organic layer was dried with anhydrous Na2SO4 and evaporated to dryness under vacuum. Purification by dry column flash chromatography on silica gel-G (CHCl2:MeOH = 1:10) gave 14ad as a yellow solid.
Curcumin-mono-ferulic acid acetate (14a). Yield 57%. 183–184 °C. 1HNMR (400 MHz, CDCl3): δ 7.60 (d, J = 20.2 Hz, 1H),7.45 (d, J = 15.8 Hz, 1H), 7.10 (d, J = 2.5Hz, 1H), 7.05-6.92 (m, 6H), 7.01 (m, 3H), 6.92–6.72 (m, 2H), 6.30 (d, J = 20.0 Hz,1H), 6.20(d, J = 16.0 Hz, 1H), 5.50 (s, 1H), 3.90 (s, 3H), 3.91 ( s, 3H), 3.89 (s, 3H,), 3.87 (s, 3H), 2.32(s, 3H). 13C-NMR (CDCl3): δ 198.6, 169.0, 164.3, 151.2, 149.5, 147.6, 142.7, 137.5, 130.6, 128.3, 123.2, 122.5, 121.2, 116.8, 115.0, 111.2, 110.9, 55.9, 52.1, 20.1. ESI-MS (m/z): (M−H) = 553.5. Anal. Calcd. for C33H30O10: C, 67.57; H, 5.15; O, 27.28%. Found: C, 67.50; H, 5.18; O, 27.30%.
Curcumin-mono-caffeic acid acetate (14b). Yield 60%. m.p. 179–180 °C. 1H-NMR (400 MHz, CDCl3): δ 7.65 (d, J = 6.0 Hz, 1H), 7.55 (d, J = 6.0 Hz, 1H), δ7.45 (d, J = 15.8 Hz, 1H), 7.33 (m, 3H), 7.21–7.09 (m, 4H), 7.06 (d, J = 1.8 Hz, 1H), 6.94 (d, J = 8.2 Hz, 1H), 6.58 (d, J = 15.8 Hz, 1H), 6.50 (d, J = 15.8 Hz, 1H), 6.33 (d, J = 16.0 Hz, 1H), 5.83 (s, 1H), 3.90 (s, 3H), 3.88 (s, 3H), 2.30 (s, 3H), 2.28 (s, 3H). 13C-NMR (CDCl3): δ 198.6, 169.2, 164.8, 151.7, 150.0, 148.1, 142.9, 137.8, 130.6, 128.2, 123.9, 122.8, 121.6, 117.2, 115.6, 111.8, 110.6, 55.9, 52.1, 20.5. ESI-MS (m/z): (M−H) = 613.18. Anal. Calcd. for C34H30O11: C, 66.44; H, 4.92; O, 28.64%. Found: C, 66.40; H, 4.88; O, 28.60%.
Bisdesmethoxycurcumin-mono-ferulic acid acetate (14c). Yield 55%. m.p. 197–198 °C. 1H-NMR (400 MHz, CDCl3): δ 7.67 (d, J = 15.5 Hz, 2H), 7.62 (d, J = 20.4 Hz, 1H), 7.57 (d, J = 8.6 Hz, 2H), 7.46 (d, J = 8.6 Hz, 2H), 7.12 (d, J = 7.6 Hz, 2H), 7.01 (m, 3H), 6.85 (d, J = 7.5 Hz, 2H), 6.49 (d, J = 13.5 Hz, 2H), 6.33 (d, J = 20.6 Hz, 1H), 5.80 (s, 1H), 3.90 (s, 3H), 2.31(s, 3H). 13C-NMR (CDCl3): δ 198.7, 169.0, 164.2, 157.6, 151.8, 150.6, 148.1, 141.3, 135.3, 132.0, 130.6, 124.8, 121.7, 115.8, 110.5, 110.5, 55.9, 52.2, 20.4. ESI-MS (m/z): (M−H) = 525.56. Anal. Calcd. for C31H26O8: C, 70.71; H, 4.98; O, 24.31%. Found: C, 70.65; H, 5.02; O, 24.36%.
Bisdesmethoxycurcumin-mono-caffeic acid acetate (14d). Yield 55%. m.p. 193–194 °C. 1H-NMR (400 MHz, CDCl3): δ 7.61 (d, J = 12.9 Hz, 2H), 7.54 (d, J = 8.3 Hz, 2H), δ7.49 (d, J = 15.8 Hz, 1H), 7.43 (d, J = 8.1 Hz, 2H), 7.12 (d, J = 8.5 Hz, 2H), 7.36 (m, 3H), 6.85 (d, J = 7.8 Hz, 2H), 6.56 (d, J = 15.8 Hz, 1H), 6.48 (d, J = 15.8 Hz, 1H), 6.38(d, J = 16.0 Hz, 1H), 5.80 (s, 1H), 2.32(s, 3H), 2.30(s, 3H). 13C-NMR (CDCl3): δ 198.7, 168.8, 164.2, 157.5, 150.7, 147.8, 142.6, 135.1, 130.6, 130.2, 126.3, 122.9, 121.5, 115.8, 115.2, 53.3, 20.7. ESI-MS (m/z): (M−H) = 553.10. Anal. Calcd. for C32H26O9: C, 69.31; H, 4.73; O, 25.97%. Found: C, 69.35; H, 4.76; O, 25.94%.

3.4.3. General Procedure for the Synthesis of 14eh

To a stirred, ice-cooled, solution of 13a or 13b (20 mL, 10 mmol), a solution of CCM or BCM (20 mmol) in dry CHCl3 (30 mL) was added dropwise, and the resulting solution was stirred for 10 min at 0 °C. Then, TEA (10 mmol) was added to the solution and stirred at room temperature for 10 h. After completion of the reaction, as indicated by TLC, the mixture was washed with sodium bicarbonate (1 M) and then with brine. The organic layer was dried with anhydrous Na2SO4 and evaporated to dryness under vacuum. Purification by chromatography on silica (CHCl3:MeOH = 20:1) gave 14eh as a yellow solid.
Curcumin-di-ferulic acid acetate (14e). Yield 60%. m.p. 206–207 °C. 1HNMR (400 MHz, CDCl3): δ 7.69 (d, J = 15.8 Hz, 2H), 7.64 (d, J = 20.8 Hz, 1H), 7.31–7.13 (m, 6H), 7.09 (m, 6H), 6.65 (d, J = 15.8 Hz, 2H), 5.89 (s, 1H), 6.30 (d, J = 20.0 Hz, 2H), 3.90 (s, 6H), 2.33(s, 6H), 2.31(s, 6H). 13C-NMR (CDCl3): δ198.9, 169.0, 164.3, 151.5, 147.8, 142.5, 141.2, 137.4, 131.6, 130.4, 124.5, 121.9, 115.5, 110.8, 55.9, 51.9, 20.2. ESI-MS (m/z): (M−H) = 803.45. Anal. Calcd. for C45H40O14: C, 67.16; H, 5.01; O, 27.83%. Found: C, 67.20; H, 5.07; O, 27.80%.
Curcumin-di-caffeic acid acetate (14f). Yield 57%. m.p. 201–202 °C. 1HNMR (400 MHz, CDCl3): 1H-NMR (400 MHz, CDCl3) δ 7.66 (d, J = 16.2 Hz, 2H), δ7.47 (d, J = 15.8 Hz, 2H), 7.36–7.25 (m, 6H), 7.21–7.10 (m, 6H), 6.60 (d, J = 16.0 Hz, 2H), 6.33(d, J = 16.0 Hz, 2H), 3.89 (s, 6H), 2.30 (s, 6H), 2.28 (s, 6H). 13C-NMR (CDCl3): δ 198.9, 169, 164.3, 151.5, 147.9, 143.2, 142.6, 142.2, 137.4, 131.5, 131.0, 130.6, 126.8, 124.6, 123.8, 122.8, 121.2, 115.1, 110.7, 55.8, 51.8, 20.3. ESI-MS (m/z): (M−H) = 859.25. Anal. Calcd. for C47H40O16: C, 65.58; H, 4.68; O, 29.74%. Found: C, 65.50; H, 4.62; O, 29.70%.
Bisdesmethoxycurcumin-di-ferulic acid acetate (14g). Yield 55%. m.p. 217–218 °C. 1H-NMR (400 MHz, CDCl3): δ 7.68 (d, J = 15.8 Hz, 2H), 7.63 (d, J = 21.0 Hz, 2H), 7.60 (d, J = 8.5 Hz, 4H), 7.21 (d, J = 8.6 Hz, 4H), 7.05 (m, 6H), 6.62 (d, J = 15.8 Hz, 2H), 6.30 (d, J = 20.8 Hz, 1H), 5.86 (s, 1H), 3.91 (s, 6H), 2.33(s, 6H). 13C-NMR (CDCl3): δ 198.9, 169.3, 164.3, 151.5, 150.5, 147.9, 141.2, 134.8, 131.6, 130.7, 130.4, 129.6, 129.6, 124.4, 121.9, 121.5, 121.5, 115.5, 110.9, 55.8, 51.9, 20.4. ESI-MS (m/z): (M−H) = 743.21. Anal. Calcd. for C43H36O12: C, 69.35; H, 4.87; O, 25.78%. Found: C, 69.40; H, 4.80; O, 25.82%.
Bisdesmethoxycurcumin-di-caffeic acid acetate (14h). Yield 65%. m.p. 213–214 °C. 1HNMR (400 MHz, CDCl3): δ 7.68 (d, J = 15.8 Hz, 2H), 7.59 (d, J = 8.5 Hz, 4H), 7.50(d, J = 16.0 Hz, 2H), 7.35–7.25 (m, 6H), 7.20 (d, J = 8.5 Hz, 4H), 6.61 (d, J = 16.2 Hz, 2H), 6.30 (d, J = 16.2 Hz, 2H), 2.34 (s, 6H), 2.32 (s, 6H). 13C-NMR (CDCl3): δ 198.9, 169.3, 164.3, 150.5, 147.9, 143.2, 142.5, 134.9, 131.2, 130.7, 130.4, 129.6, 126.4, 123.8, 122.9, 121.5, 121.5, 115.5, 51.9, 20.3. ESI-MS (m/z): (M−H) = 799.20. Anal. Calcd. for C45H36O14: C, 67.50; H, 4.53; O, 27.97%. Found: C, 67.55; H, 4.50; O, 27.92%.

3.4.4. General Procedure for the Synthesis of 15ah

A solution of 14ah (1 mmol) and CH3ONa (10 mmol) in MeOH (10 mL) was stirred at room temperature overnight. The solvent was evaporated and the residue diluted with water and HCl (1 M) and extracted with CHCl3. The organic layers were dried, and the solvent was evaporated in vacuo. The residue was purified by flash chromatography on silica (CHCl3:MeOH = 10:1) to give 15ah as a yellow powder.
Curcumin-mono-ferulic acid (15a): Yield 65%. m.p 143–144 °C. 1H-NMR (400 MHz, CDCl3): δ 7.66 (d, J = 8.0 Hz, 1H), 7.60 (d, J = 8.2 Hz, 1H), 7.57 (d, J = 19.5 Hz, 1H), 7.38–7.26 (m, 4H), 7.19 (d, J = 8.5 Hz, 1H), 7.03 (m, 3H), 7.07 (d, J = 16.0 Hz, 1H), 6.85 (d, J = 8.2 Hz, 1H), 6.81 (d, J = 15.8 Hz, 1H), 6.36 (d, J = 20.0 Hz, 1H), 3.92 (s, 3H), 3.87 (s, 3H). 13C-NMR (CDCl3): δ 198.8, 164.5, 151.2, 149.1, 147.5, 138.2, 132.2, 132.2, 130.4, 126.8, 123.8, 121.6, 116.8, 115.8, 112.2, 56.4, 52.6. ESI-MS (m/z): (M−H) = 543.10. Anal. Calcd. for C31H28O9: C, 68.37; H, 5.18; O, 26.44%. Found: C, 68.40; H, 5.20; O, 26.50%.
Curcumin-mono-caffeic acid (15b): Yield 60%. m.p. 135–136 °C. 1H-NMR (400MHz, CDCl3): δ 7.66 (d, J = 7.5 Hz, 1H), 7.58 (d, J = 8.0 Hz, 1H), 7.49 (d, J = 15.8 Hz, 1H), 7.38–7.26 (m, 4H), 7.35 (m, 3H), 7.20(d, J = 8.0 Hz, 1H), 7.04 (d, J = 16.0 Hz, 1H), 6.88 (d, J = 8.2 Hz, 1H), 6.85 (d, J = 15.9 Hz, 1H), 6.38 (d, J = 16.0 Hz, 1H), 3.90 (s, 3H). 13C-NMR (CDCl3): δ 198.9, 164.3, 150.8, 147.9, 146.5, 145.9, 142.8, 139.2, 132.2, 131.2, 128.4, 125.8, 123.5, 122.6, 116.8, 115.5, 115.0, 114.2, 51.6. ESI-MS (m/z): (M−H) = 529.12. Anal. Calcd. for C30H26O9: C, 67.92; H, 4.94; O, 27.14%. Found: C, 67.90; H, 4.90; O, 27.10%.
Bisdesmethoxycurcumin-mono-ferulic acid (15c). Yield 65%. m.p. 155–156 °C. 1H-NMR (400 MHz, CDCl3): δ 7.88 (d, J = 8.5 Hz, 2H), 7.63(d, J = 8.6Hz, 2H), 7.60 (d, J = 20.0 Hz, 1H), 7.38 (d, J = 8.6 Hz, 2H), 7.01 (m, 3H), 6.98 (d, J = 15.9 Hz, 1H), 6.89 (d, J = 8.6 Hz, 2H), 6.78 (d, J = 16.0 Hz, 1H), 6.30 (d, J = 20.6 Hz, 1H). 13C-NMR (CDCl3): δ198.5, 164.3, 157.3, 150.5, 149.4, 147.3, 130.8, 130.5, 121.5, 115.9, 111.6, 56.3, 52.5. ESI-MS (m/z): (M−H) = 483.19. Anal. Calcd. for C29H24O7: C, 71.89; H, 4.99; O, 23.12%. Found: C, 71.80; H, 4.90; O, 23.14%.
Bisdesmethoxycurcumin-mono-caffeic acid (15d). Yield 65%. m.p 148–149 °C. 1H-NMR (400 MHz, CDCl3): δ 7.86 (d, J = 8.5 Hz, 2H), 7.62 (d, J = 8.5 Hz, 2H), 7.48 (d, J = 15.8 Hz, 1H), 7.38 (d, J = 8.5 Hz, 2H), 7.35-7.28 (m, 3H), 6.94 (d, J = 16.0 Hz, 1H), 6.85 (d, J = 8.6 Hz, 2H), 6.74 (d, J = 15.9 Hz, 1H), 6.36 (d, J = 16.0 Hz, 1H). 13C-NMR (CDCl3): δ 198.9, 164.3, 157.9, 150.4, 147.98, 146.3, 145.8, 134.6, 130.4, 123.5, 121.3, 117.5, 115.9, 51.6. ESI-MS (m/z): (M−H) = 469.39. Anal. Calcd. for C28H22O7: C, 71.48; H, 4.71; O, 23.81%. Found: C, 71.40; H, 4.80; O, 23.94%.
Curcumin-di-ferulic acid (15e). Yield 60%. m.p. 166–167 °C. 1H-NMR (400 MHz, CDCl3): δ 7.66 (d, J = 15.9 Hz, 2H), 7.60 (s, 2H), 7.56 (d, J = 23.8 Hz, 2H), 7.42 (d, J = 8.0 Hz, 2H), 7.32 (d, J = 8.2 Hz, 2H), 7.05 (m, 6H), 7.01 (d, J = 16.0 Hz, 2H), 6.30 (d, J = 23.8 Hz, 2H), 3.90 (s, 6H), 3.88 (s, 3H), 3.87 (s, 3H). 13C-NMR (CDCl3): δ 198.9, 164.5, 151.5, 149.2, 147.8, 142.5, 137.5, 131.6, 127.6, 124.4, 122.5, 121.4, 116.9, 109.6, 55.6, 52.1. ESI-MS (m/z): (M−H) = 719.20. Anal. Calcd. for C39H32O12: C, 68.33; H, 5.03; O, 26.64%. Found: C, 68.40; H, 5.00; O, 26.70%.
Curcumin-di-caffeic acid (15f). Yield 62%. m.p. 162–163 °C. 1H-NMR (400 MHz, CDCl3): δ 7.69 (d, J = 16.0 Hz, 2H), 7.49 (d, J = 15.8 Hz, 2H), 7.60 (d, J = 8.5 Hz, 2H), 7.46 (d, J = 7.9 Hz, 2H), 7.38 (m, 6H), 6.38 (d, J = 16.0 Hz, 2H), 7.09 (d, J = 15.9 Hz, 2H), 3.90 (s, 6H). 13C-NMR (CDCl3): δ 198.9, 164.2, 151.7, 148.4, 146.4, 143.3, 137.9, 132.4, 130.6, 128.5, 124.6, 123.2, 121.9, 115.3, 110.5, 55.5, 51.5. ESI-MS (m/z): (M−H) = 743.25. Anal. Calcd. for C39H32O12: C, 67.63; H, 4.66; O, 27.72%. Found: C, 67.70; H, 4.70; O, 28.10%.
Bisdesmethoxycurcumin-di-ferulic acid (15g). Yield 57%. m.p. 191-192 °C. 1H-NMR (400 MHz, CDCl3): δ 7.88 (d, J = 8.6 Hz, 4H), 7.70 (d, J = 11.5 Hz, 2H), 7.60 (d, J = 20.0 Hz, 2H), 7.38 (d, J = 8.5 Hz, 4H), 7.25–7.13 (m, 6H), 6.96 (d, J = 16.0 Hz, 2H), 6.36 (d, J = 20.2 Hz, 1H), 3.90 (s, 6H). 13C-NMR (CDCl3): 198.9, 168.5, 148.7, 147.5, 134.6, 130.2, 129.5, 127.6, 123.3, 121.5, 116.8, 115.9, 149.2, 56.6, 52.2. ESI-MS (m/z): (M−H) = 659.10. Anal. Calcd. for C39H32O10: C, 70.90; H, 4.88; O, 24.22%. Found: C, 70.85; H, 4.90; O, 24.30%.
Bisdesmethoxycurcumin-di-caffeic acid (15h). Yield 55%. m.p. 181–182 °C. 1H-NMR (400 MHz, CDCl3): δ 7.85 (d, J = 8.6 Hz, 4H), 7.69 (d, J = 16.0 Hz, 2H), 7.49 (d, J = 16.2 Hz, 2H), 7.35 (d, J = 8.6 Hz, 4H), 7.30-7.18 (m, 6H), 6.97 (d, J = 15.7 Hz, 2H), 6.37 (d, J = 16.4 Hz, 2H). 13C-NMR (CDCl3): 198.9, 150.4, 146.5, 145.5, 139.5, 130.3, 129.8, 128.4, 123.5, 121.5, 117.5, 115.3, 51.5. ESI-MS (m/z): (M−H) = 631.10. Anal. Calcd. for C37H28O10: C, 70.25; H, 4.46; O, 25.29%. Found: C, 70.30; H, 4.50; O, 25.30%.

3.5. General Procedure for the Synthesis of Curcuminoid-Glycyrrhetinic Acid Conjugates

Glycyrrhetinic acid (16, 1 mmol) was heated under reflux with Ac2O (50 mmol) for 2 h. Then, acetic acid solution was added to the still hot solution. The product, crystallized upon cooling, was filtered off and washed with cold H2O and Et2O and dried in vacuo to give 17 as a white solid.
Glycyrrhetinic acid acetate (17). Yield 79%. m.p. 317–318 °C. 1H-NMR (400 MHz, CDCl3): δ 5.76 (s, 1H), 4.55 (dd, J = 11.8, 5.4 Hz, 1H), 2.85 (d, J = 13.9 Hz, 1H), 2.35 (s, 1H), 2.17 (d, J = 13.1 Hz, 1H), 2.07(s, 3H), 2.09–1.57 (m, 12H), 1.45–1.01 (m, 7H), 1.35 (s, 3H), 1.25(s, 3H), 1.22(s, 3H), 1.15 (s, 3H), 0.88 (s, 6H), 0.84 (s, 3H). ESI-MS (m/z): (M−H) = 511.65. Anal. Calcd. for C32H48O5: C, 74.96; H, 9.44; O, 15.60%. Found: C, 74.95; H, 9.50; O, 15.55%.

3.5.1. General Procedure for the Synthesis of Compounds 18ab

To the solution of 17 (1 mmol) in chloroform (50 mL), EDCI (1.2 mmol), HOBT (1.2 mmol) and DIEA (1 mL) were added. After stirring at 0 °C for 1 h, a chloroform solution (40 mL) of CCM (1 mmol) or BCM (1 mmol) was added dropwise to the mixtures, which was allowed to be stirred overnight at room temperature. After completion of the reaction, as indicated by TLC, the mixture was washed with hydrochloric acid (1 M) and then with brine. The organic layer was dried with anhydrous Na2SO4 and evaporated to dryness under vacuum. Purification by dry column flash chromatography on silica gel-G (EA:PE = 1:5) gave 18ab as a yellow solid.
Curcumin-mono-glycyrrhetinic acid acetate (18a). Yield 55%. m.p. 225–226 °C. 1H-NMR (400 MHz, CDCl3): δ 7.63 (d, J = 5.6 Hz, 1H), 7.59 (d, J = 5.6 Hz, 1H), 7.25–7.07 (m, 4H), 7.09 (d, J = 2.0 Hz, 1H), 6.96 (d, J = 8.4 Hz, 1H), 6.59 (d, J = 16.2 Hz, 1H), 6.49 (d, J = 15.8 Hz, 1H), 5.79 (s, 1H), 4.55 (dd, J = 12.0, 5.8 Hz, 1H), 3.90(s, 3H), 3.88(s, 3H), 2.85 (d, J = 14.4 Hz, 1H), 2.38(s, 1H), 2.23(s, 3H), 2.18 (d, J = 13.1 Hz, 1H), 2.09–1.57 (m, 12H), 1.46–1.03 (m,7H), 1.35 (s, 3H), 1.27(s, 3H), 1.24(s, 3H), 1.17 (s, 3H), 0.89 (s, 6H), 0.85 (s, 3H). 13C-NMR (CDCl3): δ 200.9, 176.3, 170.6, 170.2, 151.5, 149.1, 147.9, 142.8, 141.5, 131.8, 130.6, 128.3, 127.8, 124.4, 122.5, 121.6, 116.8, 111.9, 110.9, 80.6, 61.3, 56.1, 55.9, 51.8, 48.2, 45.6, 43.6, 41.9, 41.1, 37.6, 37.1, 36.6, 35.7, 32.5, 32.1, 30.5, 28.3, 26.9, 26.7, 26.2, 25.7, 23.8, 23.6, 21.5, 18.4, 17.2, 16.8. ESI-MS (m/z): (M−H) = 861.40. Anal. Calcd. for C53H66O10: C, 73.75; H, 7.71; O, 18.54%. Found: C, 73.78; H, 7.80; O, 18.59%.
Bisdesmethoxycurcumin-mono-glycyrrhetinic acid acetate (18b). Yield 55%. m.p. 232–233 °C. 1H-NMR (400 MHz, CDCl3): δ 7.69 (d, J = 15.9 Hz, 2H), 7.58 (d, J = 8.6 Hz, 2H), 7.48 (d, J = 8.6 Hz, 2H), 7.17 (d, J = 8.6 Hz, 2H), 6.89 (d, J = 7.8 Hz, 2H), 6.57 (d, J = 15.8 Hz, 1H), 6.45(d, J = 15.8 Hz, 1H), δ 5.79 (s, 1H), 4.58 (dd, J = 12.2, 6.0 Hz, 1H), 2.87 (d, J = 14.2 Hz, 1H), 2.36 (s, 1H), 2.25(s, 3H), 2.19 (d, J = 13.8 Hz, 1H), 2.09–1.59 (m, 12H), 1.48–1.04 (m, 7H), 1.37 (s, 3H), 1.26 (s, 3H), 1.23(s, 3H), 1.17 (s, 3H), 0.88 (s, 6H), 0.86 (s, 3H). 13C-NMR (CDCl3): δ 200.8, 176.3, 170.6, 170.2, 151.5, 149.1, 147.9, 142.8, 141.5, 131.8, 130.6, 128.3, 127.5, 124.3, 122.2, 121.4, 116.7, 111.6, 110.5, 80.3, 61.2, 55.5, 51.5, 48.1, 45.3, 43.2, 41.6, 41.0, 37.4, 37.0, 36.4, 35.5, 32.3, 32.0, 30.4, 28.1, 26.6, 26.5, 26.1, 26.0, 23.1, 23.3, 21.6, 18.4, 17.3, 16.9. ESI-MS (m/z): (M−H) = 819.40. Anal. Calcd. for C51H64O9: C, 74.61; H, 7.86; O, 17.54%. Found: C, 74.68; H, 17.60; O, 17.59%.

3.5.2. General Procedure for the Synthesis of Compounds 18cd

A stirred suspension of 17 (10 mmol) in acetyl chloride was heated up to 50 °C for 1 h resulting in a clear solution. Excess acetyl chloride was removed under vacuum and the residue triturated using diethyl ether. The residue was filtered and dried in vacuo to get glycyrrhetinic acid chloride. To a stirred, ice-cooled, solution of glycyrrhetinic acid chloride (20 mL, 10 mmol), a solution of CCM or BCM (20 mmol) in dry CHCl3 (30 mL) was added dropwise, and the resulting solution was stirred for 10 min at 0 °C. Then, TEA (10 mmol) was added to the solution and stirred at room temperature for 10 h. After completion of the reaction, as indicated by TLC, the mixture was washed with sodium bicarbonate (1M) and then with brine. The organic layer was dried with anhydrous Na2SO4 and evaporated to dryness under vacuum. Purification by chromatography on silica (CHCl3:MeOH = 20:1) gave 18cd as a yellow solid.
Curcumin-di-glycyrrhetinic acid acetate (18c). Yield 65%. m.p. 238–239 °C. 1H-NMR (400 MHz, CDCl3) δ 7.66 (d, J = 15.8 Hz, 2H), 7.21–7.13 (m, 6H), 6.65 (d, J = 15.8 Hz, 2H), 5.80 (s, 2H), 4.55 (dd, J = 12.2, 5.6 Hz, 2H), 2.85 (d, J = 14.8 Hz, 2H), 2.38 (s, 2H), 2.25(s, 6H), 2.15 (d, J = 15.6 Hz, 2H), 2.08–1.67 (m, 24H), 1.52–1.10 (m, 14H), 1.33 (s, 6H), 1.28(s, 6H), 1.26 (s, 6H), 1.15 (s, 3H), 0.88 (s, 12H), 0.84 (s, 6H). 13C-NMR (CDCl3): δ 200.8, 198.9, 176.3, 171.6, 170.2, 151.7, 143.9, 141.3, 131.9, 130.6, 128.3, 125.4, 124.7, 121.9, 121.9, 110.9, 80.6, 61.3, 55.8, 54.8, 51.9, 48.2, 44.6, 43.6, 41.4, 41.1, 37.6, 37.1, 36.3, 35.8, 32.5, 32.1, 30.5, 28.5, 26.9, 26.7, 26.4, 25.7, 24.2, 23.7, 21.3, 18.7, 17.3, 16.8. ESI-MS (m/z): (M−H) = 1,355.80. Anal. Calcd. for C85H112O14: C, 75.19; H, 8.31; O, 16.50%. Found: C, 75.20; H, 8.37; O, 16.59%.
Bisdesmethoxycurcumin-di-glycyrrhetinic acid acetate (18d). Yield 62%. m.p. 245–246 °C. 1H-NMR (400 MHz, CDCl3): δ 7.69 (d, J = 16.4 Hz, 2H), 7.59 (d, J = 12.0 Hz, 4H), 7.18 (d, J =12.2 Hz, 4H), 6.63 (d, J = 15.8 Hz, 2H), 4.70 (dd, J = 16.2, 8.2 Hz, 2H), 2.86 (d, J = 14.8 Hz, 2H), 2.38 (s, 2H), 2.28(s, 6H), 2.17 (d, J = 15.6 Hz, 2H), 2.11–1.78 (m, 20H), 1.58–1.19 (m, 14H), 1.37 (s, 6H), 1.30 (s, 6H), 1.29 (s, 6H), 1.19 (s, 3H), 0.89 (s, 12H), 0.87 (s, 6H). 13C-NMR (CDCl3): δ 200.8, 198.9, 175.3, 170.6, 169.2, 168.7, 142.9, 140.3, 130.7, 130.2, 127.3, 124.4, 122.7, 121.9, 120.4, 111.5, 80.3, 60.2, 52.8, 50.9, 47.2, 44.2, 43.1, 41.0, 40.1, 36.6, 36.1, 35.3, 34.8, 32.5, 32.1, 30.5, 28.5, 26.5, 26.0, 25.7, 24.2, 23.4, 21.1, 18.2, 17.0, 16.8. ESI-MS (m/z): (M−H) = 1,355.80. Anal. Calcd. for C83H108O12: C, 76.82; H, 8.39; O, 14.79%. Found: C, 76.80; H, 8.30; O, 14.69%.

3.5.3. General Procedure for the Synthesis of Compounds 19ad

A solution of 19ad (1 mmol) and CH3ONa (10 mmol) in MeOH (10 mL) was stirred at room temperature overnight. The solvent was evaporated and the residue diluted with water and HCl (1 M) and extracted with CHCl3. The organic layers were dried, and the solvent was evaporated in vacuo. The residue was purified by flash chromatography on silica (CHCl3:MeOH = 20:1) to give 19ad as a yellow powder.
Curcumin-mono-glycyrrhetinic acid (19a). Yield 62%. 198–199 °C. 1H-NMR (400 MHz, CDCl3): δ 7.69 (d, J = 8.0 Hz, 1H), 7.57 (d, J = 8.0 Hz, 1H), 7.45–7.28 (m, 4H), 7.17 (d, J = 8.0 Hz, 1H), 7.04 (d, J = 16.0 Hz, 1H), 6.89 (d, J = 8.4 Hz, 1H), 6.84 (d, J = 16.2 Hz, 1H), 5.76 (s, 1H), 4.59 (dd, J = 12.8, 5.4 Hz, 1H), 3.87 (s, 3H), 3.84 (s, 3H), 2.85 (d, J = 14.0 Hz, 1H), 2.38 (s, 2H), 2.19 (d, J = 14.0 Hz, 1H), 2.09(s, 3H), 2.15–1.76 (m, 12H), 1.47–1.15 (m, 7H), 1.38 (s, 3H), 1.28(s, 3H), 1.25(s, 3H), 1.17 (s, 3H), 0.88 (s, 6H), 0.84 (s, 3H). ESI-MS (m/z): (M−H) = 819.40. Anal. Calcd. for C51H64O9: C, 76.82; H, 8.39; O, 14.79%. 13C-NMR (CDCl3): δ 200.8, 198.9, 176.3, 170.6, 151.5, 149.1, 147.9, 142.8, 141.1, 131.8, 130.4, 128.3, 127.6, 124.4, 122.9, 121.9, 116.8, 111.9, 110.9, 78.6, 61.3, 56.1, 55.8, 54.6, 51.9, 48.2, 44.6, 43.6, 41.4, 41.1, 38.9, 36.7, 35.6, 33.2, 32.5, 30.6, 28.5, 27.4, 26.9, 26.5, 26.0, 25.4, 23.2, 18.8, 17.6, 17.0. Found: C, 76.80; H, 8.30; O, 14.69%. Found: C, 76.80; H, 8.31; O, 14.71%.
Bisdesmethoxycurcumin-mono-glycyrrhetinic acid (19b). Yield 58%. 208–209 °C. 1H-NMR (400 MHz, CDCl3): δ 7.88 (d, J = 8.5 Hz, 2H), 7.63 (d, J = 8.6 Hz, 2H), 7.39 (d, J = 8.5 Hz, 2H), 6.99 (d, J = 16.0 Hz, 1H), 6.89 (d, J = 8.6 Hz, 2H), 6.78 (d, J = 16.2Hz, 1H), 2.88 (d, J = 14.0 Hz, 1H), 2.38 (s, 1H), 2.19 (d, J = 13.9 Hz, 1H), 2.11(s, 3H), 2.11–1.69 (m, 12H), 1.40–1.19 (m, 7H), 1.39 (s, 3H), 1.28 (s, 3H), 1.24 (s, 3H), 1.17 (s, 3H), 0.87 (s, 6H), 0.85 (s, 3H). 13C-NMR (CDCl3): δ 201.2, 198.8, 177.3, 171.6, 152.5, 149.3, 147.6, 142.4, 141.3, 131.5, 130.6, 128.5, 126.6, 125.2, 121.9, 121.2, 117.8, 111.9, 110.5, 78.6, 61.3, 55.8, 54.6, 51.9, 48.2, 44.6, 43.6, 42.4, 41.5, 38.5, 36.5, 35.6, 33.6, 32.2, 30.3, 28.5, 27.9, 26.8, 26.4, 26.2, 25.5, 23.3, 18.9, 17.9, 17.4. ESI-MS (m/z): (M−H) = 759.40. Anal. Calcd for: C, 77.34; H, 7.95; O, 14.72%. Found: C, 77.40; H, 8.01; O, 14.68%.
Curcumin-di-glycyrrhetinic acid (19c). Yield 66%. 217–219 °C. 1H-NMR (400 MHz, CDCl3): δ 7.84 (d, J = 8.7 Hz, 2H), 7.59 (d, J = 8.6 Hz, 2H), 7.38 (d, J = 8.7 Hz, 2H), 6.98 (d, J = 16.2 Hz, 1H), 6.89 (d, J = 8.5 Hz, 2H), 6.78 (d, J = 16.0Hz, 1H), 3.90 (s, 6H), 2.89 (d, J = 16.0 Hz, 2H), 2.38 (s, 2H), 2.20 (d, J = 16.0 Hz, 2H), 2.07 (s, 3H), 2.09–1.57 (m, 24H), 1.55–1.19 (m, 7H), 1.35 (s, 6H), 1.28 (s, 6H), 1.24 (s, 6H), 1.19 (s, 6H), 0.89 (s, 12H), 0.86 (s, 6H). 13C-NMR (CDCl3): δ 200.8, 198.5, 177.3, 171.6, 153.5, 150.1, 148.9, 143.8, 141.9, 132.2, 131.4, 129.3, 128.2, 125.4, 123.6, 122.3, 117.8, 113.9, 111.5, 79.5, 61.8, 57.2, 56.9, 55.6, 52.9, 49.2, 45.6, 44.1, 42.0, 41.2, 38.9, 36.9, 35.6, 33.2, 31.5, 30.6, 28.8, 27.3, 26.9, 26.5, 26.2, 25.8, 23.2, 19.8, 18.6, 17.6. ESI-MS (m/z): (M−H) = 1,243.70. Anal. Calcd. for C79H104O12: C, 76.17; H, 8.42; O, 15.41%. Found: C, 76.10; H, 8.47; O, 15.46%.
Bisdesmethoxycurcumin-di-glycyrrhetinic acid (19d). Yield 66%. 225–226 °C. 1H-NMR (400 MHz, CDCl3): δ 7.84 (d, J = 8.6 Hz, 2H), 7.59 (d, J = 8.5 Hz, 2H), 7.33 (d, J = 8.6 Hz, 2H), 6.95 (d, J = 16.4 Hz, 1H), 6.85 (d, J = 8.5 Hz, 2H), 6.79 (d, J = 16.2 Hz, 1H), 2.88 (d, J = 13.9 Hz, 2H), 2.47 (s, 2H), 2.17 (d, J = 14.0 Hz, 2H), 2.14–1.77 (m, 24H), 1.55–1.14 (m, 14H), 1.37 (s, 6H), 1.28(s, 6H), 1.24(s, 6H), 1.18 (s, 6H), 0.88 (s, 12H), 0.85 (s, 6H). 13C-NMR (CDCl3): δ 202.2, 199.2, 179.3, 172.6, 153.6, 149.6, 147.6, 142.4, 141.3, 131.5, 130.6, 128.5, 126.6, 125.2, 121.9, 121.2, 117.8, 111.9, 110.5, 78.6, 61.3, 56.3, 54.8, 51.6, 48.5, 44.2, 43.8, 42.6, 41.6, 38.8, 36.2, 35.2, 33.2, 32.0, 30.5, 28.2, 27.9, 26.5, 26.0, 25.9, 25.5, 23.6, 18.5, 17.4, 17.1. ESI-MS (m/z): (M−H) = 1,211.75. Anal. Calcd. for C79H104O10: C, 78.18; H, 8.64; O, 13.18%. Found: C, 78.10; H, 8.67; O, 13.12%.

3.6. Assay for DPPH-Scavenging Activity

Antioxidant activity was determined as radical-scavenging ability using the stable radical, DPPH. Briefly, 100 µL of ethanol solutions of the synthesized curcumin or bisdesmethoxycurcumin derivatives (5 µM, 10 µM, 20 µM, 40 µM, 80 µM and 160 µM) were added to 100 µL of an ethanol solution of DPPH radicals (100 µM). After 30 min of incubation at 25 °C in a dark environment, the absorbance was recorded at 517 nm, using ethanol as a blank for baseline correction. CCM and BCM were used as references, and their concentrations were maintained to that of the synthesized compounds. Sample concentrations providing 50% inhibition (IC50) were calculated from the graph of inhibition percentage plotted against concentration. These experiments were carried out in triplicate, and the resulting values were averaged. The radical-scavenging activity (%) was calculated using the following formula:
Radical-scavenging activity (%) = [(Ac − As)/Ac] × 100]
where Ac is the absorbance of the control and As is the absorbance of the tested sample after 30 min.

3.7. Antibacterial Assay

The in vitro antibacterial activity of each curcuminoid bioconjugate against Gram-positive cocci (S. aureus and S. viridans) and Gram-negative bacilli (E. coli and E. cloacae) was evaluated by the microdilution broth susceptibility test method. The stock solutions of the conjugates along with curcuminoids were prepared in DMSO. The tubes bore different concentrations (1 µg/mL, 1.25 µg/mL, 2 µg/mL, 2.5 µg/mL, 5 µg/mL and 10 µg/mL). All of the compounds and control tubes were incubated at 37 °C for 24 h. After incubation, the antibacterial activity of molecules in the tube was detected by the lack of turbidity, which indicated the inhibition of bacterial growth. The concentration in the tube with the highest dilution showing no turbidity has been reported as the MIC. Each test was performed in triplicate, and the MIC reported represents the result of at least three repetitions.

3.8. Anticancer Assays

Hep-G2, LX-2, SMMC-7221 and MDA-MB-231 cells were seeded at a density of 2 × 103 cells/well. These cells were incubated at 37 °C under a humidified atmosphere containing 5% CO2 for 24 h before treatment with compounds. The cells were treated with various concentrations (1 µM, 5 µM, 10 µM and 20 µM) of the curcumin and bisdesmethoxycurcumin derivatives for 72 h. After treatment, media was removed, and the cells were washed with 3-[4,5-dimethylthiazol-2-yl]-2,5-diphenyl tetrazolium bromide (MTT). Approximately 20 µL of the MTT solution were added to each well followed by incubation for 6 h at 37 °C. The media was removed, followed by the addition of 200 µL of DMSO. The absorbance was recorded on a microplate reader at 540 nm. The cell viability (%) was calculated as the ratio of the number of surviving cells upon treatment with the test compounds compared to the blank.

4. Conclusions

Three series of curcuminoid derivatives were synthesized through conjugation of bioactive compounds via ester bonds. The radical-scavenging assay by the DPPH method clearly indicated that all curcuminoid derivatives have lower IC50 values than the curcuminoids. The results of the bioassay showed that compounds containing one selenomethionine molecule (11b) attached on the hydroxy group of curcuminoids showed the highest antimicrobial activity. As the starting materials showed broad anti-tumor activities, we chose four different human cancer cell lines to evaluate the curcuminoid derivatives. Three series of curcuminoid derivatives all inhibited the proliferation of all cancer cells. The results suggest that the attempt to apply a structure combination to discover more efficient, less toxic and more effective antibacterial, antioxidant and antiproliferative lead compounds is viable.

Acknowledgments

This study was supported by the Natural Science Foundation of Shandong province (No. ZR2010BM021) and the National Natural Science Foundation of China (21202028, 21372054).

Author Contributions

Q.-Y.H. designed the research; Y.-K.C. performed the experimental work; H.-J.L., Z.-F.S., Y.L. contributed ideas/bioassay; Y.-K.C. and Q.-Y.H. wrote the manuscript. All authors discussed, edited and approved the final version.

Conflicts of Interest

The authors declare no conflict of interest.

References

  1. Civjan, N. Chemical Biology: Approaches to Drug Discovery and Development to Targeting Disease; John Wiley & Sons: Hoboken, NJ, USA, 2012. [Google Scholar]
  2. Dias, D.A.; Urban, S.; Roessner, U. A historical overview of natural products in drug discovery. Metabolites 2012, 2, 303–336. [Google Scholar] [PubMed]
  3. Butler, M.S. Natural products to drugs: Natural product derived compounds in clinical trials. Nat. Prod. Rep. 2005, 22, 162–195. [Google Scholar]
  4. Chattopadhyay, I.; Biswas, K.; Bandyopadhyay, U.; Banerjee, R.K. Turmeric and curcumin: Biological actions and medicinal applications. Curr. Sci. 2004, 87, 44–53. [Google Scholar]
  5. Motterlini, R.; Foresti, R.; Bassi, R.; Green, C.J. Curcumin, an antioxidant and anti-inflammatory agent, induces heine oxygenase-1 and protects endothelial cells against oxidative stress. Free Radic. Biol. Med. 2000, 28, 1303–1312. [Google Scholar]
  6. Menon, V.P.; Sudheer, A.R. Antioxidant and anti-inflammatory properties of curcumin. Adv. Exp. Med. Biol. 2007, 595, 105–125. [Google Scholar]
  7. Yang, Z.; Zhao, T.; Zou, Y.; Zhang, J.H.; Feng, H. Curcumin inhibits microglia inflammation and confers neuroprotection in intracerebral hemorrhage. Immunol. Lett. 2014, 160, 89–95. [Google Scholar] [CrossRef] [PubMed]
  8. Wang, Y.F.; Zu, J.N.; Li, J.; Chen, C.; Xi, C.Y.; Yan, J.L. Curcumin promotes the spinal cord repair via inhibition of glial scar formation and inflammation. Neurosci. Lett. 2014, 7, 51–56. [Google Scholar] [CrossRef]
  9. Oelkrug, C.; Lange, C.M.; Wenzel, E.; Fricke, S.; Hartke, M.; Simasi, J.; Schubert, A. Analysis of the tumoricidal and anti-cachectic potential of curcumin. Anticancer Res. 2014, 34, 4781–4788. [Google Scholar] [PubMed]
  10. Ohtsu, H.; Xiao, Z.Y.; Ishida, J.; Nagai, M.; Wang, H.; Itokawa, K.H.; Su, C.Y.; Shih, C.; Chiang, T.Y.; Chang, E.; et al. Antitumor agents. 217. curcumin analogues as novel androgen receptor antagonists with potential as anti-prostate cancer agents. J. Med. Chem. 2002, 45, 5037–5042. [Google Scholar]
  11. Fan, X.; Zhang, C.; Liu, D.B.; Yan, J.; Liang, H.P. The clinical applications of curcumin: Current state and the future. Curr. Pharm. Des. 2013, 19, 2011–2031. [Google Scholar] [PubMed]
  12. Adams, B.K.; Ferstl, E.M.; Davis, M.C.; Herold, M.; Kurtkaya, S.; Camalier, R.F.; Hollingshead, M.G.; Kaur, G.; Sausville, E.A.; Rickles, F.R.; et al. Synthesis and biological evaluation of novel curcumin analogs as anti-cancer and anti-angiogenesis agents. Bioorg. Med. Chem. 2004, 12, 3871–3883. [Google Scholar]
  13. Conteas, C.N.; Panossian, A.M.; Tran, T.T.; Singh, H.M. Treatment of HIV-associated diarrhea with curcumin. Dig. Dis. Sci. 2009, 54, 2188–2191. [Google Scholar] [CrossRef] [PubMed]
  14. Mourtas, S.; Lazar, A.N.; Markoutsa, E.; Duyckaerts, C.; Antimisiaris, S.G. Multifunctional nanoliposomes with curcumin-lipid derivative and brain targeting functionality with potential applications for Alzheimer disease. Eur. J. Med. Chem. 2014, 80, 175–183. [Google Scholar] [CrossRef] [PubMed]
  15. Asti, M.; Ferrari, E.; Croci, S.; Atti, G.; Rubagotti, S.; Iori, M.; Capponi, P.C.; Zerbini, A.; Saladini, M.; Versari, A. Synthesis and characterization of 68Ga-Labeled curcumin and curcuminoid complexes as potential radiotracers for imaging of cancer and Alzheimer’s disease. Inorg. Chem. 2014, 19, 4922–4933. [Google Scholar] [CrossRef]
  16. Li, Y.; Peng, P.; Tang, L.; Hu, Y.; Hu, Y.; Sheng, R. Design, synthesis and evaluation of rivastigmine and curcumin hybrids as site-activated multitarget-directed ligands for Alzheimer’s disease therapy. Bioorg. Med. Chem. 2014, 22, 4717–4725. [Google Scholar] [CrossRef] [PubMed]
  17. Zhang, Y.; Zhao, L.; Wu, J.; Jiang, X.; Dong, L.; Xu, F.; Zou, P.; Dai, Y.; Shan, X.; Yang, S.; et al. Synthesis and evaluation of a series of novel asymmetrical curcumin analogs for the treatment of inflammation. Molecules 2014, 19, 7287–7307. [Google Scholar]
  18. Cellarier, E.; Durando, X.; Vasson, M.P.; Farges, M.C.; Demiden, A.; Maurizis, J.C.; Madelmont, J.C.; Chollet, P. Methionine dependency and cancer treatment. Cancer Treat. Rev. 2003, 29, 489–499. [Google Scholar] [CrossRef] [PubMed]
  19. Cavuoto, P.; Fenech, M.F. A review of methionine dependency and the role of methionine restriction in cancer growth control and life-span extension. Cancer Treat. Rev. 2012, 38, 726–736. [Google Scholar] [CrossRef] [PubMed]
  20. Rahmanto, A.S.; Davies, M.J. Selenium-containing amino acids as direct and indirect antioxidants. IUBMB Life 2012, 64, 863–871. [Google Scholar] [CrossRef] [PubMed]
  21. Mangiapane, E.; Pessione, A.; Pessione, E. Selenium and selenoproteins: an overview on different biological systems. Curr. Protein Pept. Sci. 2014, 15, 598–607. [Google Scholar] [CrossRef] [PubMed]
  22. Bothwell, I.R.; Luo, M. Large-scale, protection-free synthesis of Se-adenosyl-L-selenoethionine analogues and their application as cofactor surrogates of methyltransferases. Org. Lett. 2014, 16, 3056–3059. [Google Scholar] [CrossRef] [PubMed]
  23. Asano, M.; Iwahashi, H. Caffeic acid inhibits the formation of 7-carboxyheptyl radicals from oleic acid under flavin mononucleotide photosensitization by scavenging singlet oxygen and quenching the excited state of flavin mononucleotide. Molecules 2014, 19, 12486–12499. [Google Scholar] [CrossRef] [PubMed]
  24. Sasaki, K.; Chiba, S.; Yoshizaki, F. Effect of natural flavonoids, stilbenes and caffeic acid oligomers on protein glycation. Biomed. Rep. 2014, 2, 628–632. [Google Scholar] [PubMed]
  25. Cheng, Y.T.; Ho, C.Y.; Jhang, J.J.; Lu, C.C.; Yen, G.C. DJ-1 plays an important role in caffeic acid-mediated protection of the gastrointestinal mucosa against ketoprofen-induced oxidative damage. J. Nutr. Biochem. 2014, 25, 1045–1057. [Google Scholar] [CrossRef] [PubMed]
  26. Haghikia, A.; Linker, R.; Gold, R. Fumaric acid as therapeutic agent for multiple sclerosis. Der Nervenarzt 2014, 85, 720–726. [Google Scholar] [CrossRef] [PubMed]
  27. Ogilvie, S.; Lewis, S.J.; Dawe, R.; Foerster, J. Proteinuria with fumaric acid ester treatment for psoriasis. Clin. Exp. Dermatol. 2011, 36, 632–634. [Google Scholar] [CrossRef] [PubMed]
  28. Gold, R.; Linker, R.A.; Stangel, M. Fumaric acid and its esters: an emerging treatment for multiple sclerosis with antioxidative mechanism of action. Clin. Immunol. 2012, 142, 44–48. [Google Scholar] [PubMed]
  29. Parida, P.K.; Sau, A.; Ghosh, T.; Jana, K.; Biswas, K.; Raha, S.; Misra, A.K. Synthesis and evaluation of triazole linked glycosylated 18β-glycyrrhetinic acid derivatives as anticancer agents. Bioorg. Med. Chem. Lett. 2014, 24, 3865–3868. [Google Scholar] [CrossRef] [PubMed]
  30. Gao, C.; Dai, F.J.; Cui, H.W.; Peng, S.H.; He, Y.; Wang, X.; Yi, Z.F.; Qiu, W.W. Synthesis of novel heterocyclic ring-fused 18β-glycyrrhetinic acid derivatives with antitumor and antimetastatic activity. Chem. Biol. Drug Des. 2014, 84, 223–233. [Google Scholar] [CrossRef] [PubMed]
  31. Kim, J.; Joo, I.; Kim, H.; Han, Y. 18β-Glycyrrhetinic acid induces immunological adjuvant activity of Th1 against Candida albicans surface mannan extract. Phytomedicine 2013, 20, 951–955. [Google Scholar] [CrossRef] [PubMed]
  32. Venkateswarlu, S.; Ramachandra, M.S.; Subbaraju, G.V. Synthesis and biological evaluation of polyhydroxycurcuminoids. Bioorg. Med. Chem. 2005, 13, 6437–6380. [Google Scholar] [CrossRef]
  33. Troels, K.; Ole, B. Synthesis of L-(+)-Selenomethionine. Synthesis 1993, 11, 1065–1067. [Google Scholar]
  34. Shiv, K.D.; Anuj, K.S.; Upma, N.; Krishna, M.; Uttam, P. Design, synthesis and characterization of some bioactive conjugates of curcumin with glycine, glutamic acid, valine and demethylenated piperic acid and study of their antimicrobial and antiproliferative properties. Eur. J. Med. Chem. 2008, 43, 1837–1846. [Google Scholar] [CrossRef] [PubMed]
  35. Wisut, W.; Ubonthip, N.; Sumrit, W.; Pornchai, R. Synthesis, characterization and biological evaluation of succinate prodrugs of curcuminoids for colon cancer treatment. Molecules 2011, 16, 1888–1900. [Google Scholar] [CrossRef] [PubMed]
  36. Zhang, Q.; Zhong, Y.; Yan, L.N.; Sun, X.; Gong, T.; Zhang, Z.R. Synthesis and preliminary evaluation of curcumin analogues as cytotoxic agents. Bioorg. Med. Chem. Lett. 2011, 21, 1010–1014. [Google Scholar]
  37. Fuchs, J.R.; Pandit, B.; Bhasin, D.; Etter, J.P.; Regan, N.; Abdelhamid, D.; Li, C.; Lin, J.; Li, P.K. Structure-activity relationship studies of curcumin analogues. Bioorg. Med. Chem. Lett. 2009, 19, 2065–2069. [Google Scholar] [CrossRef] [PubMed]
  • Sample Availability: Samples of the compounds 11ah, 15ah and 19ad are available from the authors.

Share and Cite

MDPI and ACS Style

Cao, Y.-K.; Li, H.-J.; Song, Z.-F.; Li, Y.; Huai, Q.-Y. Synthesis and Biological Evaluation of Novel Curcuminoid Derivatives. Molecules 2014, 19, 16349-16372. https://doi.org/10.3390/molecules191016349

AMA Style

Cao Y-K, Li H-J, Song Z-F, Li Y, Huai Q-Y. Synthesis and Biological Evaluation of Novel Curcuminoid Derivatives. Molecules. 2014; 19(10):16349-16372. https://doi.org/10.3390/molecules191016349

Chicago/Turabian Style

Cao, Ya-Kun, Hui-Jing Li, Zhi-Fang Song, Yang Li, and Qi-Yong Huai. 2014. "Synthesis and Biological Evaluation of Novel Curcuminoid Derivatives" Molecules 19, no. 10: 16349-16372. https://doi.org/10.3390/molecules191016349

APA Style

Cao, Y.-K., Li, H.-J., Song, Z.-F., Li, Y., & Huai, Q.-Y. (2014). Synthesis and Biological Evaluation of Novel Curcuminoid Derivatives. Molecules, 19(10), 16349-16372. https://doi.org/10.3390/molecules191016349

Article Metrics

Back to TopTop