Abstract
This paper presents the design of some novel 3-acetylcoumarin derivatives, based on minimal inhibitory concentration values (MICs) previously obtained against some microorganism cultures, Gram positive and negative bacteria and fungi. Some of these molecules exhibited antibacterial activity against S. aureus, comparable to that of the standard used (impinem). The in vitro antioxidant activities of the novel 3-acetylcoumarin oxadiazoles were assayed by the quantitative 1,1-diphenyl-2-picrylhydrazyl (DPPH) radical scavenging activity method. The compounds 5c,d proved to be the most active, showing the highest capacity to deplete the DPPH radicals. Structure elucidation of the products has been accomplished on the basis of IR, 1H-NMR, 13C-NMR, NOESY and HMBC NMR data.
1. Introduction
Due to the interesting activity of 2,5-disubstitued 1,3,4-oxadiazoles as biological agents considerable attention has been focused on this class of heterocycles. The pharmaceutical importance of these compounds lies in the fact that they can be effectively utilized as antioxidant, antibacterial, antitubercular and insecticidal agents [1,2,3,4]. Some of these compounds have also analgesic, anti-inflammatory, anticancer, anti-HIV agent and antiproliferative agent activity [5,6,7,8,9,10,11,12,13].
Coumarin and its derivatives represent one of the most active classes of compound possessing a wide spectrum of biological activity [14,15,16,17,18,19,20,21,22,23,24,25,26,27,28,29,30,31]. Many of these compounds have proven to be active as antimicrobial [32], anti-inflammatory [33], and antitumor [34,35] agents and in inhibition of hepatitis C virus [36,37,38], however, their natural abundance in plants is very low and the purification processes are complex. Therefore, various methods have been developed for the total synthesis of coumarins [39,40,41], including the Perkin [42], Pechmann [43], and Knoevenagel reactions [44]. Herein, we report the highly efficient total synthesis of five novel 3-acetylcoumarin oxadiazole derivatives. To the best of our knowledge, this is the first report on the total synthesis of these compounds. The preparation of 3-acetyl ethyl(coumarin-4-oxy) acetate (2) which was used as a starting material for the synthesis of compounds 5, is also presented in this study. The chemical structures of the synthesized compounds 5 were determined by spectroscopic techniques and confirmed. Their antibacterial, antifungal, and antioxidants activities were investigated.
2. Results and Discussion
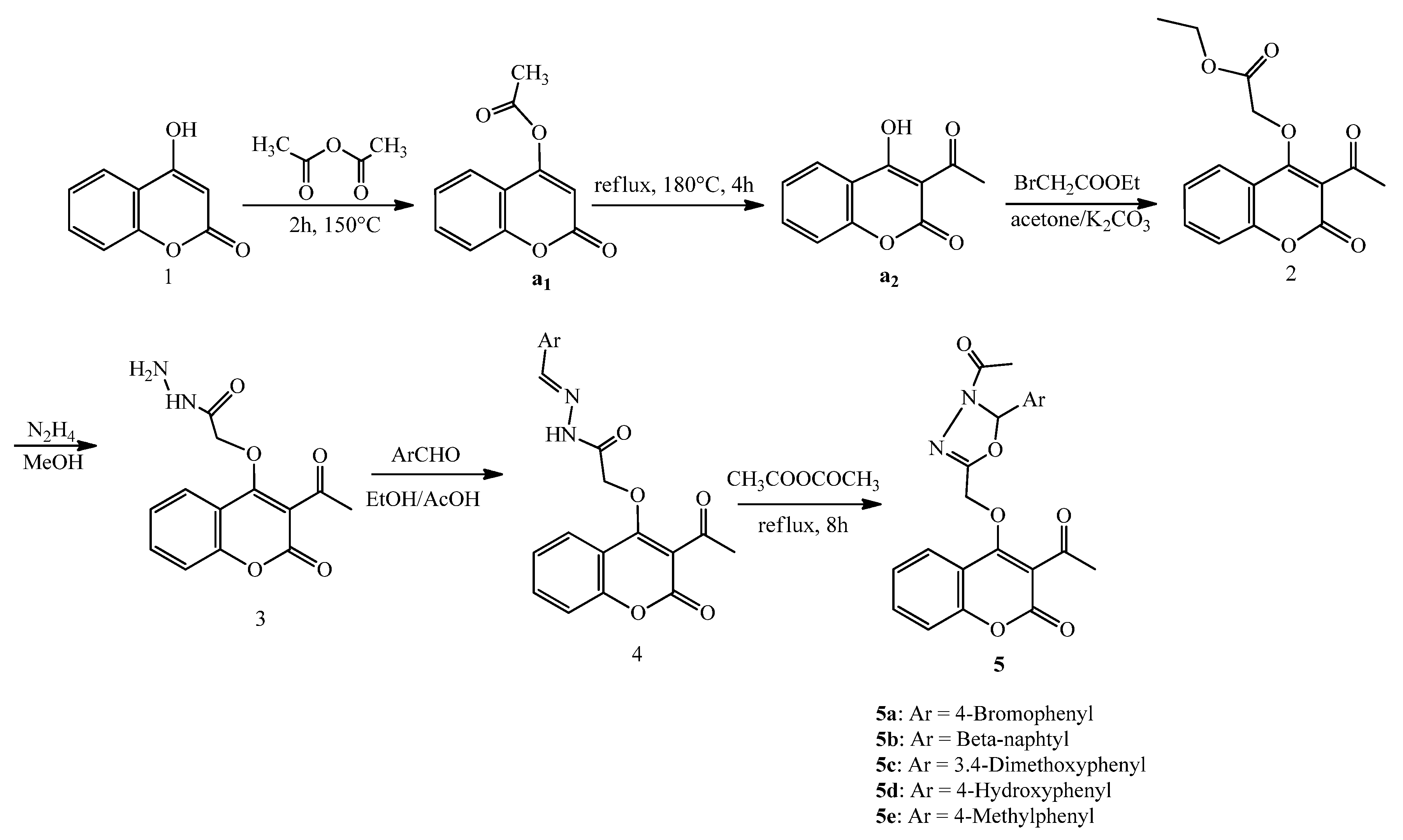
The synthesis of the target compounds was carried out according to the representative Scheme 1. The starting material 4‑hydroxycoumarin was reacted with acetic anhydride to produce the corresponding O-acyloxyl product a1.
Scheme 1.
Synthesis of 3-acetylcoumarin derivatives 5.
Scheme 1.
Synthesis of 3-acetylcoumarin derivatives 5.

It was observed that a proton on the hydroxyl group of coumarin was substituted by an acyl group when we elevated the temperature to ca. 150 °C. The subsequent reaction involving heating to over 170 °C in a sealed tube led to the rearrangement product a2 in yields comparable to those of a1. Compound 2 was prepared in 92% yield by refluxing ethyl bromoacetate with the O-acyloxyl product a2 in anhydrous acetone in the presence of anhydrous potassium carbonate.
Hydrazinolysis of 2 with 86% hydrazine hydrate in methanol at room temperature afforded hydrazide 3 in good yield. The FT-IR spectrum of compound 3 showed absorption bands in the 3293.3–3211.0 cm−1 (hydrazide NH-NH2) and 1715 cm−1 (lactonic-C=O carbonyl stretching). The 1H-NMR spectrum exhibited a singlet due to the –NH proton at δ 8.89 ppm. The –OCH2methylene protons resonated as a singlet at 4.89 ppm. Boiling hydrazide 3 with different aryl aldehydes in absolute ethanol in the presence of a catalytic amount of glacial acetic acid for 2 to 4 h afforded the corresponding compounds 4. The thus obtained compounds 4 were then refluxed with acetic anhydride for 6–8 h to give the corresponding substituted 3-acetylcoumarin oxadiazoles 5 in good yields.
All the new substituted oxadiazoles 5 have been characterized by IR, 1H-NMR, 13C-NMR spectroscopy, as well as by NOESY and HMBC NMR experiments to elucidate their structures and completely assign the structural network of both protons and carbons. The IR spectra of compound 5c, for example, showed characteristic bands at 1612 cm−1 (C=C), 1289 cm−1 (lactone C-O-C) and 1556 cm−1 (N=N). Its 1H-NMR spectrum showed the disappearance of the NH2 protons at 3.38, and instead, it displayed a signal at 8.30 ppm for the N=CH proton at 8.30 ppm. The singlet signal at δ 6.07 ppm was assigned to the H-3 proton. The methyl protons of the acyl group appear as a singlet at δ 2.38 ppm, while the H-5' proton from the oxodiazole fragment appeared as a singlet at δ 8.53 ppm. The aromatic protons (both coumarinic and oxodiazolinic) are observed between δ 7.08 and δ 7.91 ppm. The structure of compounds 5 was also established by 1H-13C HMBC 2D NMR spectroscopy, which shows the C5–C4–C3–Me linkages. A correlation between protons (b) and carbons C2 and C4 at 162.0 ppm 164.8 ppm, respectively, was observed. Another correlation was also observed between the H5 proton and an aromatic carbon at 125.5 ppm.
2.1. Antibacterial Studies
The synthesized compounds 2–5 were checked against various microorganisms such as Salmonella typhi, Schigella flexenari, Escherichia coli, Staphylococcus aureus and Bacillus subtills in order to establish their bioactivities. In these tests impinem was used as the standard drug [45]. The results obtained against these microorganisms are given in Figure 1.
The results obtained clearly show the efficiency of some of the new compounds, even at low concentrations. The results indicated that some of the synthesized compounds have higher activity than the standard.
We found that the activity of the synthesized compounds depends on their concentration and the strain of tested bacteria. Gram positive bacteria were more susceptible to the synthesized compounds than Gram negative ones. This effect can be attributed in part to the great complexity of the double membrane-containing cell envelope in Gram negative bacteria, compared to the single membrane structure of positive ones.
Figure 1.
MIC value of the synthesized compounds 2–5 in mg/mL.
Figure 1.
MIC value of the synthesized compounds 2–5 in mg/mL.

2.2. Statistical Analysis
Results were expressed as the mean ± standard error means (S.E.M.). The comparison of data within groups was performed by the analysis of variance using ANOVA test. A probability level of less than 1% (p < 0.01) was considered significant. The statistical analysis was made by using Systat 7.0.
2.3. Antifungal Activity
The antifungal activity of the newly synthesized oxadiazole 5 derivatives has been studied against the C. capsici, C. gloeosporioides, A. brassicicola and A. brassicae. Fluconazole [46] and DMSO were used as positive and negative controls, respectively. The antifungal study results are shown in Figure 2, Figure 3, Figure 4, Figure 5 and Figure 6. The results showed that all the compounds possess excellent fungal toxicity.
It has also been observed that toxicity is enhanced as the concentration of compounds increases. Compound 5d showed promising activity against all fungi at a dose of 500 ppm and even at lower concentration (Figure 2). Compounds 5b,c exhibit moderate activity at all concentrations (Figure 3, Figure 4, Figure 5 and Figure 6).
Figure 2.
Antifungal results for compound 5a.
Figure 2.
Antifungal results for compound 5a.

Positive control: fluconazole; negative control: DMSO.
Figure 3.
Antifungal results for compound 5b.
Figure 3.
Antifungal results for compound 5b.

Positive control: fluconazole; negative control: DMSO.
Figure 4.
Antifungal results for compound 5c.
Figure 4.
Antifungal results for compound 5c.

Positive control: fluconazole; negative control: DMSO.
Figure 5.
Antifungal results for compound 5d.
Figure 5.
Antifungal results for compound 5d.

Positive control: fluconazole; negative control: DMSO.
Figure 6.
Antifungal results for compound 5e.
Figure 6.
Antifungal results for compound 5e.

Positive control: fluconazole; negative control: DMSO.
2.4. Antioxidant Activities
The antiradical activities of antioxidants can be determined using the free radical, 2,2-diphenyl-1-picrylhydrazyl (DPPH*). In its radical form, DPPH* has an absorption band at 515 nm which disappears upon reduction by an antiradical compound. Compounds 5 were thus screened for in vitro antioxidant activity using the DPPH* free radical assay and the results are shown in Figure 7. The effect of the different synthetic compounds on DPPH radical scavenging was compared to those of Trolox [47], used as positive control, and appreciated by the determination of the IC50 values.
Figure 7.
.Values of IC50 exhibited by coumarinic derivatives 5a–e.
Figure 7.
.Values of IC50 exhibited by coumarinic derivatives 5a–e.

The data proved that compound 5d showed the strongest antioxidant activity.
2.5. ABTS Radical Cation Decolourization Assay
As shown for DPPH scavenging, the obtained results indicate the higher capacity of 5a–d to quench ABTS as compared to the synthetic antioxidant Trolox (Figure 8).
Figure 8.
Scavenging ability on ABTS radical of compounds 5.
Figure 8.
Scavenging ability on ABTS radical of compounds 5.

3. Experimental
3.1. General Information
Melting points were determined on a Köfler block and are uncorrected. IR spectra were recorded on a Perkin-Elmer 983 IR spectrophotometer (Perkin-Elmer, Waltham, MD, USA) as KBr pellets. The 1H-NMR spectra were recorded on a Bruker AC 300F (300 MHz) (Bruker, Rheinstetten, Germany) using DMSO-d6 or CDCl3 as solvents and TMS as internal standard. NMR assignments were obtained from examination of 1D and 2D experiments (1H, 13C, NOESY and HMBC). Mass spectra were recorded on a GC-MS solution DI Analysis Shimadzu Qp-2010 unit (Shimadzu, Kyoto, Japan). Elemental analysis was determined at the University of Rennes 1, Rennes, France. Thin layer chromatography (TLC) was carried out on silica gel plates (particle size 0.030–0.040 mm, pore diameter ca. 6 nm). Solutions were evaporated under diminished pressure unless otherwise stated. The ChemDrew-Ultra-8.0 software was used for naming the prepared compounds.
3.2. Preparation of 4-O-Acetylcoumarin (a1) and 3-Acetyl-4-hydroxycoumarin (a2)
4-Hydroxycoumarin (1, 0.01 mol) was added to a high-pressure tube containing acid anhydride (5 mL). The solution was stirred for 2 h at 150 °C. The title compound was separated by column chromatography (CHCl3/ethyl acetate/n-hexane = 8:1:1). Next the solution was stirred at 180 °C and then purified by column chromatography to obtain the rearranged compound a2.
a1. M.p.: 128–130 °C. 1H-NMR (CDCl3) δ: 6.32 (1H, s), 7.26 (1H, d, J = 7.5 Hz), 7.46 (1H, dd, J = 7.5, 2.1 Hz), IR (KBr, cm−1) 1,645, 1,680 (C=O).
a2. M.p.: 194–196 °C. 1H-NMR (CDCl3) δ: 2.73 (3H, s), 3.89 (3H, s), 6.72 (1H, d, J = 2.1 Hz), 6.85 (1H, dd, J = 8.9, 2.1 Hz), 7.92 (1H, d, J = 8.9 Hz). IR (KBr, cm−1) 1661, 1753 (C=O), 3442 (OH). LC/MS/MS (ESI) m/z, (rel. int. %): 234.9 (M+, 20), 217.3 (M+–OH, 100), 192.9 (M+‒acetyl, 62), 151.1 (74).
3.3. Preparation of Compounds 2–5
3.3.1. Preparation of 3-Acetyl Ethyl (coumarin-4-oxy) Acetate (2)
A mixture of 3-acetyl-4-hydroxycoumarin (a2, 0.1 mol), anhydrous potassium carbonate (0.1 mol), and ethyl bromoacetate (0.1 mol) was refluxed in dry acetone (10 mL) for 10 h. The resulting solution was left at R.T., and the product that separated out was filtered off and washed with acetone. Yield: 80%; M.p.: 245 °C. IR (υ, cm–1): 1732 (CO); 1525 (O-CO lactone). 1H-NMR (DMSO-d6) δ: 1.23 (t, 3H, CH3, J = 7.9 Hz), 2.26 (s, 3H, CH3), 4.23 (q, 2H, CH2, J = 7.9 Hz), 5.1 (s, 2H, OCH2), 5.93 (s, 1H, H3), 7.36–7.82 (m, 4H, Harom). 13C-NMR spectrum (DMSO-d6) δ: 14.2 (CH3), 61.4 (CO-O-CH2), 91.7 (C3), 65.7 (OCH2), 115.2–153.0 (Carom), 161.7 (C2), 164.3 (C4), 167.3 (COester), 172.5 (CO).
3.3.2. Preparation of 3-Acetylcoumarin-4-oxyacetic Hydrazide (3)
A solution of compound 2 (0.037 mol) and hydrazine hydrate (0.022 mol) in methanol (25 mL) was stirred for 7 h at room temperature. After concentrating the reaction mixture a solid mass separated out and was recrystallized using ethanol to give a white precipitate of 3-acetylcoumarin-4-oxyacetic hydrazide (3) which was crystallized to give colourless plates. Yield: 85%; M.p.: 270 °C. IR (υ cm–1): 1720 (CO); 1715 (O–CO lactone), 3293.3–3211.0 (–NHNH2). 1H-NMR (DMSO-d6) δ ppm: 5.70 (s, 3H, H3), 4.78 (s, 2H, OCH2), 4.43 (s, 2H, NH2), 7.34–8.03 (m, 4H, Harom), 8.53 (s, 1H, NH). 13C-NMR (DMSO-d6) δ ppm: 67.4 (OCH2), 91.6 (C3), 115.3–133.2 (Carom), 161.8 (C2), 164.8 (C4), 165.3 (CONH), 173.5 (CO).
3.3.3. Preparation of 3-Acetyl-(E)-N-arylidenecoumarin-4-oxyacetic Hydrazones 4
A mixture of hydrazide 3 (0.01 mol) and the appropriate aldehyde (0.01 mol) was refluxed for 5 h in a methanol–water mixture (20 mL). The reaction mixture was cooled and the separated product was filtered off, dried and recrystallized using ethanol.
3-Acetyl-(E)-N-(4-bromobenzylidene) coumarin-4-oxyacetic hydrazone (4a). Yield: 75%; M.p.: 236 °C. IR (υ cm–1): 1694 (C=O); 1435 (C=N); 3120 (NH). 1H-NMR (DMSO-d6) δ ppm: 5.86 (s, 1H, H3), 5.56 (s, 2H, OCH2), 11.82 (s, 1H, NH), 7.12–8.02 (m, 8H, Harom), 5.95 (s, 1H, N=CH). 13C-NMR (DMSO-d6) δ ppm: 66.4 (OCH2), 91.6 (C3), 115.6–133.3 (Carom), 147.5 (N=C), 161.9 (C2), 165.1 (C4), 167.6 (C1'), 166.3 (CONH), 172.5 (CO). Anal. Calcd for C18H13N2O4Br: C, 55.04; H, 3.96; Br, 17.44; N, 6.11; O, 17. Found C, 56.1; Br, 17.6; H, 3.97; N, 5.8.
3-Acetyl-(E)-N-(β-naphtyl)coumarin-4-oxyacetic hydrazone (4b). Yield: 80%; M.p.: 226 °C. IR (υ cm–1): 1692 (C=O), 1410 (C=N), 3120 (NH). 1H-NMR (DMSO-d6) δ ppm: 5.54 (s, 2H, OCH2), 5.88 (s, 1H, H3), 7.02–7.94 (m, 11H, Harom); 7.97 (s, 1H, N=CH), 11.85 (s, 1H, NH). 13C-NMR (DMSO-d6) δ ppm: 56.5 (OCH3), 60.7 (OCH3), 66.6 (OCH2), 91.7 (C3), 104.7–144.5 (Carom), 144.6 (NC), 162.8(C2), 165.2 (C4), 167.6 (C1'), 167.3 (CONH), 173.5 (CO). Anal. Calcd for C22H18N2O6: C, 69.92; H, 4.93; N, 6.52; O, 18.63 Found C, 69.8; O, 17.6; H, 4.95; N, 6.5.
3-Acetyl-(E)-N-(3,4-dimethoxybenzylidene)coumarin-4-oxyacetic hydrazone (4c). Yield: 80%; M.p.: 226 °C. IR (υ cm–1): 1692 (C=O), 1410 (C=N) 3125 (NH). 1H-NMR (DMSO-d6) δ ppm: 3.72 (s, 3H, OCH3), 3.84 (s, 3H, OCH3), 5.54 (s, 2H, OCH2), 5.86 (s, 1H, H3), 7.12–7.95 (m, 6H, Harom), 7.98 (s, 1H, N=CH), 11.84 (s, 1H, NH). 13C-NMR (DMSO-d6) δ ppm: 56.5 (OCH3), 60.8 (OCH3), 66.4 (OCH2), 91.7 (C3), 105.7–144.6 (Carom), 144.6 (NC), 162.8 (C2), 165.3 (C4), 167.7 (C1'), 165.3 (CONH), 173.5 (CO). Anal. Calcd for C20H18N2O6: C, 62.86; H, 5.28; N, 6.37; O, 25.49 Found C, 62.8; O, 25.4; H, 5.20; N, 6.3.
3-Acetyl-(E)-N-(4-hydroxybenzylidene)coumarin-4-oxyacetic hydrazone (4d). Yield: 75%; M.p.: 248 °C. IR (υ cm–1): 1715 (C=O), 1629 (C=N), 2963 (NH). 1H-NMR (DMSO-d6) δ ppm: 5.97 (s, 1H, H3), 5.73 (s, 1H, OH), 5.50 (s, 2H, OCH2), 8.25 (s, 1H, N=CH), 11.86 (s, 1H, NH), 7.40–8.28 (m, 8H, Harom). 13C-NMR (DMSO-d6) δ ppm: 66.5 (OCH2); 91.9 (C3), 116.2–134.3 (Carom), 145.2 (N=C), 162.9 (C2), 166.1 (C4), 168.4 (C1'), 166.3 (CONH), 171.5 (CO) Anal. Calcd for C18H18N2O5: C, 63.79; H, 4.84; N, 7.09; O, 24.28 Found C, 63.7; O, 24.2; H, 4.80; N, 6.9.
3-Acetyl-(E)-N-(4-methylbenzylidene)coumarin-4-oxyacetic hydrazine (4e). Yield: 73%; M.p.: 265 °C. IR (υ cm–1): 1685 (C=O), 1687 (C=N), 3107 (NH). 1H-NMR (DMSO-d6) δ ppm: 2.80 (s, 3H, CH3), 4.96 (s, 1H, H3), 5.46 (s, 2H, OCH2), 5.92 (s, 1H, N=CH), 11.67 (s, 1H, NH), 6.98–8.30 (m, 8H, Harom). 13C-NMR (DMSO-d6). δ ppm: 55.70 (OCH3), 66.5 (OCH2), 91.8 (C3), 114.7–133.4 (Carom), 144.6 (N=C), 162.8 (C2), 166.3 (CONH), 172.5 (CO), 167.5 (C1'). Anal. Calcd for C19H16N2O4: C, 67.16; H, 5.38; N, 7.12; O, 20.33 Found C, 67.1; O, 20.5; H, 3.8; N, 7.1.
3.3.4. Preparation of 3-Acetyl-2-[(coumarin-4-oxy)methyl]-4-acetyl-5-substitued-1,3,4-oxodiazolines 5
A mixture of compound 4 (0.001 mol) and acetic anhydride (10 mL) was refluxed for 8 h. The hot solution was poured onto ice water (10 mL) and the product which separated was filtered off, washed several times with water, recrystallized from ethanol and dried.
3-Acetyl-4-(4-acetyl-5-(4-bromophenyl)-4,5-dihydro-1,3,4-oxodiazol-2-yl)methoxy)-2H-chromen-2-one (5a). Yield: 75%, M.p.: 232 °C. IR (υ cm–1): 1632 (C=N), 1407 (N–N), 1247 (C–O–C). 1H-NMR (DMSO-d6) δ ppm: 2.42 (s, 3H, CH3), 5.49 (s, 2H, OCH2), 6.1 (s, 1H, H3), 7.35–7.99 (m, 8H, Harom), 5.68 (s, 1H, H5'). 13C-NMR (DMSO-d6) δ ppm: 26.2 (CH3), 69.4 (OCH2), 91.8 (C3), 115.6 (C5'), 116.5–133.3 (Carom), 162.5 (C2), 164.9 (C4), 166.7 (C=O), 171.3(C2'), 166.3(CO). Anal. Calcd for C22H17N2O6Br: C, 55.21; H, 4.03; Br, 15.97; N, 5.60; O, 19.19 Found C, 56.1; Br, 15.9; O, 19.2; H, 3.98; N, 5.8.
3-Acetyl-(4-acetyl-5-(β-naphtyl)-4,5-dihydro-1,3,4-oxodiazol-2-yl)methoxy)-2H-chromen-2-one (5b). Yield: 76%; M.p.: 248 °C. IR (υ cm–1): 1635 (C=N), 1409 (N–N), 1285 (C–O–C). 1H-NMR (DMSO-d6) δ ppm: 2.43 (s, 3H, CH3), 4.96 (s, 2H, OCH2), 5.86 (s, 1H, H3), 7.21–7.77 (m, 11H, Harom), 5.35 (s, 1H, H5'). 13C-NMR (DMSO-d6) δ ppm: 20.6 (CH3), 57.3 (OCH3), 56.5 (OCH3), 60.8 (OCH2), 91.3 (C3), 116.7 (C5'), 123.4–153.8 (Carom), 162.5 (C2), 164.6 (C4), 173.4 (CO), 193.2 (C2'), 167.3 (CO). Anal. Calcd for C26H20N2O6: C, 68.78; H, 4.92; N, 5.94; O, 20.36 Found C, 68.8; O, 20.6; H, 4.85; N, 5.8.
3-Acetyl-(4-acetyl-5-(3,4-dimethoxyphenyl)-4,5-dihydro-1,3,4-oxodiazol-2-yl)methoxy)-2H-chromen-2-one (5c): Yield: 75%; M.p.: 250 °C. IR (υ cm–1) 1635 (C=N), 1410 (N–N), 1285 (C–O–C). 1H-NMR (DMSO-d6) δ ppm: 2.42 (s, 3H, CH3), 3.77 (s, 3H, OCH3), 3.80 (s, 3H, OCH3), 4.85 (s, 2H, OCH2), 5.86 (s, 1H, H3), 7.22–7.57 (m, 6H, Harom), 5.44 (s, 1H, H5’). 13C-NMR (DMSO-d6) δ ppm: 20.8 (CH3), 56.5 (OCH3), 56.4 (OCH3), 60.7 (OCH2), 92.9 (C3), 116.7 (C5'), 124.3–155.7 (Carom), 162.5 (C2), 164.9 (C4), 172.5 (CO), 192.3 (C2), 166.5 (CO). Anal. Calcd for C24H22N2O8: C, 62.36; H, 5.23; N, 5.82; O, 26.58 Found C, 62.3; O, 26.6; H, 5.2; N, 5.8.
3-Acetyl-4-(4-acetyl-5-(4-hydroxyphenyl)-4,5-dihydro-1,3,4-oxodiazol-2-yl)methoxy)-2H-chromen-2-one (5d). Yield: 76%. M.p.: 226 °C. IR (υ cm–1): 1628 (C=N), 1415 (N–N), 1243 (C–O–C). 1H-NMR (DMSO-d6) δ ppm: 2.28 (s, 3H, CH3), 5.69 (s, 1H, OH), 5.42 (s, 2H, OCH2), 5.94 (s, 1H, H3), 7.28–8.29 (m, 8H, Harom), 5.82 (s, 1H, H5'). 13C-NMR (DMSO-d6) δ ppm: 20.7 (CH3), 66.5 (OCH2), 91.9 (C3), 115.5 (C5'), 116.4–153.1 (Carom), 157.5 (C2), 165.8 (C4), 163.6 (CO), 164.8 (C2'), 165.3 (CO). Anal. Calcd for C22H18N2O7: C, 63.15; H, 4.84; N, 6.40; O, 25.60 Found C, 63.1; O, 25.6; H, 4.9; N, 6.4.
3-Acetyl-4-(4-acetyl-5-(4-methylphenyl)-4,5-dihydro-1,3,4-oxodiazol-2-yl)methoxy)-2H-chromen-2-one (5e). Yield: 77%; M.p.: 268 °C. IR (υ cm–1): 1625 (C=N), 1385 (N–N), 1247 (C–O–C). 1H-NMR (DMSO-d6) δ ppm: 2.28 (s, 3H, CH3), 2.36 (s, 3H, CH3), 5.36 (s, 2H, OCH2), 6.2 (s, 1H, H3), 7.17–7.85 (m, 8H, Harom), 5.56 (s, 1H, H5’). 13C-NMR (DMSO-d6) δ ppm: 25.8 (CH3), 24.6 (CH3), 55.8 (OCH3), 69.4 (OCH2), 91.8 (C3), 114.2 (C5'), 116.5–153.1 (Carom), 164.0 (C2), 165.8 (C4), 167.0 (CO), 173.2 (C2'), 167.3 (CO). Anal. Calcd for C23H20N2O6: C, 66.20; H, 5.32; N, 6.43; O, 22.05 Found C, 66.1; O, 22.1; H, 5.3; N, 6.5.
3.4. Antioxidant Activity Tests
3.4.1. Free Radical Scavenging Activity Evaluation by DPPH Test
The DPPH free radical scavenging activity measurements were carried out according to the procedure of Sanchez-Moreno et al. [48] with some modifications. Briefly, the solution of compound 5 (0.1 mL) was added to 1,1-diphenyl-l-2-picrylhydrazyl radical (DPPH*; 2.46 mL, 0.025 g·L−1 in 50% ethanol) and mixed for 5 min. The absorbance of the samples was measured at 515 nm every 1 min for 5 min using a Genesys 2 spectrophotometer (Genesys 10uv scanning, Thermo Spectronic, Rochester, NY, USA). For each sample, three separate determinations were carried out. The antioxidant activity was expressed as the percentage of decline of the absorbance after 1 min, relative to the control, corresponding to the percentage of DPPH*d that was scavenged. The percentage of DPPH*d, which was scavenged (% DPPH sc) was calculated using the following formula:
where Acontrol is the absorbance of the control reaction were the sample is replaced by 500 µL ethanol. Tests were carried out in triplicate.
DPPH scavenging effect (%) = (Acontrol − Asample/Acontrol) × 100
3.4.2. Free Radical Scavenging Activity Evaluation by ABTS Radical Cation Test
ABTS radical cation (ABTS+·) was produced by reacting ABTS stock solution with 2.45 mM potassium persulfate and allowing the mixture to stand in the dark at room temperature for 24 h before use 10. Afterwards, the ABTS+· solution was diluted with ethanol to an absorbance of 0.7 at 734 nm. After addition of diluted ABTS+· solution (990 mL) to sample (10 mL), absorbance readings were taken at 30 °C exactly 6 min after initial mixing, at 734 nm, using a Genesys 2 spectrophotometer. Absorption of a blank sample containing the same amount of ethanol and ABTS+· solution acted as negative control.
4. Conclusions
In this study, an expeditious, atom economic methodology for the synthesis of novel 3-acetylcoumarin oxadiazoles has been described, and the products characterized by IR/1D/2D NMR and IR spectroscopy The antioxidant activity of the novel 3-acetylcoumarin oxadiazoles was tested and they displayed improved properties compared to Trolox. The synthesized compounds 5 were tested for antifungal activities and the results indicated significant activities as compared with fluconazole. The antimicrobial tests performed on coumarin derivatives 5 confirmed the better potential activities of these compounds against Gram-positive rather than Gram-negative bacteria.
Acknowledgments
Authors are thankful to Anis Ben Hsouna (Gafsa University, Gafsa, Tunisia) for performing the biological activity tests.
Conflicts of Interest
The authors declare no conflict of interest.
References
- Hall, A.; Brown, S.H.; Chowdhury, A.; Giblin, G.M.P.; Gibson, M.; Healy, M.P.; Livermore, D.G.; Wilson, R.J.M.; Naylor, A.; Rawlings, D.A.; et al. Identification and optimization of novel 1,3,4-oxadiazole EP1 receptor antagonists. Bioorg. Med. Chem. Lett. 2007, 17, 4450–4455. [Google Scholar] [CrossRef]
- Abdel-Hamid, M.K.; Abdel-Hafez, A.A.; El-Koussi, N.A.; Mahfouz, N.M.; Innocenti, A.; Supuran, C.T. Design, synthesis, and docking studies of new 1,3,4-thiadiazole-2-thione derivatives with carbonic anhydrase inhibitory activity. Bioorg. Med. Chem. 2007, 15, 6975–6984. [Google Scholar] [CrossRef]
- Amir, M.; Kumar, H.; Javed, S.A. Synthesis and pharmacological evaluation of condensed heterocyclic 6-substituted-1,2,4-triazolo[3,4-b]-1,3,4-thiadiazole derivatives of naproxen. Bioorg. Med. Chem. Lett. 2007, 17, 4504–4508. [Google Scholar] [CrossRef]
- Pastorin, G.; da Ros, T.; Bolcato, C.; Montopoli, C.; Moro, S.; Cacciari, B.; Baraldi, P.G.; Varani, K.; Borea, P.A.; Spalluto, G. Synthesis and biological studies of a new series of 5-heteroaryl carbamoylaminopyrazolo[4,3-e]1,2,4-triazolo[1,5-c]pyrimidines as human A3 adenosine receptor antagonists. Influence of the heteroaryl substituent on binding affinity and molecular modeling investigations. J. Med. Chem. 2006, 49, 1720–1729. [Google Scholar] [CrossRef]
- Zheng, L.; Wang, X.C. Synthesis and biological screening of some new 2,5-disubstitued 1,3,4-oxadiazoles. Int. J. Pharm. Pharm. Sci. 2011, 3, 110–114. [Google Scholar]
- Amir, M.; Shahani, S. Oxadiazole: A biologically important heterocycle. Indian J. Heterocycl. Chem. 2009, 1, 130–140. [Google Scholar]
- Shah, B.R.; Bhatt, J.J.; Patel, H.H.; Undavia, N.K.; Trivedi, P.B.; Desai, N.C. Synthesis of 2,3-disubstituted-3,1-quinazolin-4(4H)-ones as potential anticancer and anti-HIV agents. Indian J. Chem. 1995, 34B, 201–210. [Google Scholar]
- Hazarika, J.; Kataky, J.C.S. Synthesis of some novel 1,3,4-oxadiazole and its anti-bacterial and anti-fungal activity. Indian J. Heterocycl. Chem. 1998, 7, 83–92. [Google Scholar]
- Liszkiewicz, H.; Kowalska, M.W.; Wietrzyk, J.; Opolski, A. Synthesis and anti-proliferative activity in vitro of new 5-(2-amino-3-pyridyl)-2-thioxo-3H-1,3,4-oxadiazole derivatives. Indian J. Chem. 2003, 42B, 2846–2852. [Google Scholar]
- Mogilaiah, K.; Reddy, N.V. Microwave assisted heterocyclization: A rapidand efficient synthesis of 1,8-naphthyridinyl-1,3,4-oxadiazoles. Indian J. Chem. 2003, 42B, 2124–2125. [Google Scholar]
- Kode, N.R.; Eynde, J.J.V.; Mayence, A.; Wang, G.D.; Huang, T.L. Design and Synthesis of N1,N5-bis[4-(5-Alkyl-1,2,4-oxadiazol-3-yl)phenyl]glutaramides as potential antifungal prodrugs. Molecules 2013, 18, 11250–11263. [Google Scholar] [CrossRef]
- Hamdi, N.; Passarelli, V.; Romerosa, A. Synthesis, spectroscopy and electrochemistry of new 4-(4-acetyl-5-substituted-4,5-dihydro-1,3,4-oxodiazol-2-yl)methoxy)-2H-chromen-2-ones as a novel class of potential antibacterial and antioxidant derivatives. C. R. Chim. 2011, 14, 548–555. [Google Scholar] [CrossRef]
- Khan, M.S.Y.; Akhtar, M. Synthesis and analgesic activity of 2,5-disubstitued 1,3,4-oxadiazole. Indian J. Chem. 2003, 42B, 900–904. [Google Scholar]
- Gao, W.Q.; Li, Q.Y.; Chen, J.; Wang, Z.C.; Hua, C.L. Total synthesis of six 3,4-unsubstituted coumarins. Molecules 2013, 18, 15613–15623. [Google Scholar] [CrossRef]
- Penning-Van Beest, F.J.; Koerselman, J.; Herings, R.M. Risk of major bleeding during concomitant use of antibiotic drugs and coumarin anticoagulants. J. Thromb. Haemost. 2008, 6, 284–290. [Google Scholar]
- Kontogiorgis, C.; Hadjipavlou-Litina, D. Biological evaluation of several coumarin derivatives designed possible anti-inflammatory/antioxidant agents. J. EnzymeInhib. Med. Chem. 2003, 18, 63–69. [Google Scholar]
- Liu, Z.Q.; Yu, W.; Liu, Z.L. Antioxidative and prooxidative effects of coumarin derivatives on free radical initiated and photosensitized peroxidation of human low-density lipoprotein. Chem. Phys. Lipids 1999, 103, 125–135. [Google Scholar] [CrossRef]
- Smyth, T.; Ramachandran, V.N.; Smyth, W.F. A study of the antimicrobial activity of selected naturally occurring and synthetic coumarins. Int. J. Antimicrob. Ag. 2009, 33, 421–426. [Google Scholar] [CrossRef]
- Niu, X.; Xing, W.; Li, W.; Fan, T.; Hu, H.; Li, Y. Isofraxidin exhibited anti-inflammatory effects in vivo and inhibited TNF-α production in LPS-induced mouse peritoneal macrophages in vitro via the MAPK pathway. Int. Immunopharmacol. 2012, 14, 164–171. [Google Scholar] [CrossRef]
- Jiménez-Orozco, F.A.; Rosales, A.A.R.; Vega-López, A.; Domínguez-López, M.L.; García-Mondragón, M.J.; Maldonado-Espinoza, A.; Lemini, C.; Mendoza-Patiño, N.; Mandoki, J.J. Differential effects of esculetin and daphnetin on in vitro cell proliferation and in vivo estrogenicity. Eur. J. Pharmacol. 2011, 668, 35–41. [Google Scholar] [CrossRef]
- Liu, H.; Li, Z.; Yu, L.; Zhang, Y. Antitumor activity and mechanisms of scoparone. J. Zhong Guo Yao Li Tong Xun 2005, 22, 40–41. [Google Scholar]
- Liu, W.; Hua, J.; Zhou, J.; Zhang, H.; Zhu, H.; Cheng, Y.; Gust, R. Synthesis and in vitro antitumor activity of novel scopoletin derivatives. Bioorg. Med. Chem. Lett. 2012, 22, 5008–5012. [Google Scholar]
- Rouesac, F.; Leclerc, A. An efficient synthesis of isofraxidin. Synth. Commun. 1993, 23, 1147–1153. [Google Scholar] [CrossRef]
- Chen, W. Total synthesis of isofraxidin. Chin. J. Med. Chem. 1996, 6, 269–271. [Google Scholar]
- Tanaka, H.; Kato, I.; Ito, K. Total synthesis of daphnetin, a coumarin lignold. Chem. Pharm. Bull. 1986, 34, 628–632. [Google Scholar] [CrossRef]
- Ahmed, B.; Khan, S.A.; Alam, T. Synthesis and antihepatotoxic activity of some heterocyclic compounds containing the 1,4-dioxane ring system. Pharmazie 2003, 58, 173–176. [Google Scholar]
- Hwu, J.R.; Singha, R.; Hong, S.C.; Chang, Y.H.; Das, A.R.; Vliegen, I.; de Clercq, E.; Neyts, J. Synthesis of new benzimidazole coumarin conjugates as anti-hepatitis C virus agents. Antivir. Res. 2008, 77, 157–162. [Google Scholar] [CrossRef]
- Neyts, J.; de Clercq, E.; Singha, R.; Chang, Y.H.; Das, A.; Chakraborty, S.; Hong, S.C.; Tsay, S.C.; Hsu, M.H.; Hwu, J.R. Structure–activity relationship of new anti-hepatitis C virus agents: Heterobicycle-coumarin conjugates. J. Med. Chem. 2009, 52, 1486–1490. [Google Scholar] [CrossRef]
- Hwu, J.R.; Lin, S.Y.; Tsay, S.C.; de Clercq, E.; Leyssen, P.; Neyts, J. Coumarin-purine ribofuranoside conjugates as new agents against hepatitis C virus. J. Med. Chem. 2011, 54, 2114–2126. [Google Scholar] [CrossRef]
- Tsay, S.C.; Hwu, J.R.; Singha, R.; Huang, W.C.; Chang, Y.H.; Hsu, M.H.; Shieh, F.K.; Lin, C.C.; Hwang, K.C.; Horng, J.C.; et al. Coumarins hinged directly on benzimidazoles and their ribofuranosides to inhibit hepatitis C virus. Eur. J. Med. Chem. 2013, 63, 290–293. [Google Scholar] [CrossRef]
- Aslam, K.; Khosa, M.K.; Jahan, N.; Nosheen, S. Synthesis and application of coumarin. Pak. J. Pharm. 2010, 23, 449–454. [Google Scholar]
- Mahesh, K.P.; Swapnil, S.M.; Manikrao, M.S. Coumarin synthesises via Pechmann condensation in Lewis acidic chloroaluminate ionic liquid. Tetrahedron Lett. 2001, 42, 9285–9287. [Google Scholar]
- Shaabani, A.; Ghadari, R.; Rahmati, A.; Rezayan, A.H. Coumarin synthesis via knoevenagel condensation reation in 1,1,3,3-N,N,N'N'-tetramethylguanidinium trifluoroacetate ionic liquid. J. Iran Chem. Soc. 2009, 6, 710–714. [Google Scholar] [CrossRef]
- Harayama, T. Synthetic studies on aromatic heterocyclic compounds. Pharm. Soc. Jpn. 2006, 126, 543–564. [Google Scholar]
- Kraus, G.A.; Cui, W.; Seo, Y.H. The reaction of aryl triflates and aryl pivalates with electrophiles. The triflate as a meta-directing group. Tetrahedron Lett. 2002, 43, 7077–7078. [Google Scholar] [CrossRef]
- Castanet, A.S.; Colobert, F.; Broutin, P.E. Mild and regioselective iodination of electron-rich aromatics with N-iodosuccinimide and catalytic trifluoroacetic acid. Tetrahedron Lett. 2002, 43, 5047–5048. [Google Scholar] [CrossRef]
- Zabradnik, M. The Production and Application of Fluorescent Brightening Agents; John Wiley and Sons: New York, NY, USA, 1992. [Google Scholar]
- Heravi, M.; Sadjadi, S.; Oskooie, H.; Shoar, R.; Bamoharram, F. The synthesis of coumarin-3-carboxylic acids and 3-acetyl-coumarin derivatives using heteropolyacids as heterogeneous and recyclable catalysts. Catal. Commun. 2008, 9, 470–474. [Google Scholar] [CrossRef]
- Chen, W.A. Convenient total synthesis of isofraxidin, a natural coumarin. Indian J. Chem. Sect. BOrg. Chem. Incl. Med. Chem. 1996, 35, 1085–1087. [Google Scholar]
- Demyttenaere, J.; Syngel, K.V.; Markusse, A.P.; Vervisch, S.; Debenedetti, S.; de Kimpe, N. Synthesis of 6-methoxy-4H-1-benzopyran-7-ol, a character donating component of the fragrance of Wisteria sinensis. Tetrahedron 2002, 58, 2163–2166. [Google Scholar] [CrossRef]
- Crosby, D.G. Improved synthesis of scopoletin. J. Org. Chem. 1961, 26, 1215–1217. [Google Scholar] [CrossRef]
- Hauer, H.; Ritter, T.; Grotemeier, G. An improved and large scale synthesis of the natural coumarin scopoletin. Arch. Pharm. 1995, 328, 737–738. [Google Scholar] [CrossRef]
- Hao, S.; Zong, G.; Wei, Y.; Meng, Z. Synthesis and pesticidal activity of 6,7-dimethoxy coumarin. J. Qingdao Agric. Univ. 2007, 24, 241–244. [Google Scholar]
- Zhang, S.; Ma, J.; Chen, S.; Li, H.; Xin, J. Improved synthesis techniques of 6,7-dimethoxy coumarin. J. Hebei Univ. Sci. Technol. 2007, 28, 24–28. [Google Scholar]
- Manoharan, A.; Sugumar, M.; Kumar, A.; Jose, H.; Mathai, D.; Khilnani, G.C.; Kapil, A.; Francis, G.; Radhakrishnan, K.; Dutta, T.K; et al. Phenotypic & molecular characterization of AmpC β-lactamases among Escherichia coli, Klebsiella spp. & Enterobacter spp. from five Indian Medical Centers. Indian J. Med. Res. 2012, 135, 359–364. [Google Scholar]
- Scorzoni, L.; de Lucas, M.P.; Mesa-Arango, A.C.; Fusco-Almeida, A.M.; Lozano, E.; Cuenca-Estrella, M.; Mendes-Giannini, M.J.; Zaragoza, O. Antifungal efficacy during Candida krusei infection in non-conventional models correlates with the yeast in vitro susceptibility profile. PLoS One 2013, 8, e60047. [Google Scholar] [CrossRef]
- Grings, M.; Moura, A.P.; Parmeggiani, B.; Marcowich, G.F.; Amaral, A.U.; de Souza Wyse, A.T.; Wajner, M.; Leipnitz, G. Disturbance of brain energy and redox homeostasis provoked by sulfite and thiosulfate: Potential pathomechanisms involved in the neuropathology of sulfite oxidase deficiency. Gene 2013, 531, 191–198. [Google Scholar] [CrossRef]
- Ravi, K.J.; Ganga, R.B. Evaluation of in vitro antioxidant activity of Spathodea campnulata leaves. Int. J. Biol. Pharm. Res. 2013, 4, 328–332. [Google Scholar]
- Sample Availability: Samples of the compounds a1, a2 and 2–5 are available from the authors.
© 2014 by the authors. Licensee MDPI, Basel, Switzerland. This article is an open access article distributed under the terms and conditions of the Creative Commons Attribution license ( http://creativecommons.org/licenses/by/3.0/).