Next Article in Journal
Validation of a Liquid Chromatography-Electrospray Ionization-Tandem Mass Spectrometry Method for Determination of All-Trans Retinoic Acid in Human Plasma and Its Application to a Bioequivalence Study
Previous Article in Journal
Design and Synthesis of Some New 1,3,4-Thiadiazines with Coumarin Moieties and Their Antioxidative and Antifungal Activity
 
 
Font Type:
Arial Georgia Verdana
Font Size:
Aa Aa Aa
Line Spacing:
Column Width:
Background:
Article

A New Sesquilignan Glucoside from Uraria sinensis

1
Hubei Key Laboratory of Natural Medicinal Chemistry and Resource Evaluation, School of Pharmacy, Tongji Medical College, Huazhong University of Science and Technology, Wuhan 430030, China
2
First College of Clinical Medical Science of China, Three Gorges University & Yichang Central People's Hospital, Yichang 443003, China
*
Authors to whom correspondence should be addressed.
Molecules 2014, 19(1), 1178-1188; https://doi.org/10.3390/molecules19011178
Submission received: 26 November 2013 / Revised: 7 January 2014 / Accepted: 13 January 2014 / Published: 17 January 2014

Abstract

:
A new sesquilignan glucoside, urariasinoside A (1), together with eight known compounds, including two lignans, a sesquilignan, a dilignan, and four flavonoid derivatives were isolated from the aerial parts of Uraria sinensis. Their structures were determined on the basis of extensive spectroscopic analyses and comparison with literature data. Compound 1 was evaluated for in vitro cytotoxicity activity against HL-60, SMMC-7721, A549, MCF-7, SW480, and BEAS-2B cell lines.

Graphical Abstract

1. Introduction

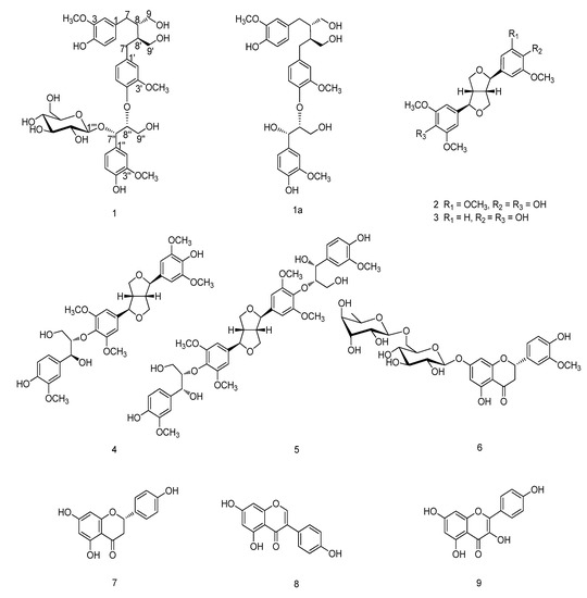
The genus Uraria (family Leguminosae), consists of 35 species, distributed throughout the tropical regions of Africa, Asia, and Australia [1]. Traditionally, some species of this genus are used as folk medicines for the treatment of gonorrhea, cough, chills and fever [2], or as therapies for swelling, coldness, ulcers and stomachalgia [3]. Pharmacological investigations have revealed that the extract of U. lagopoides has anti-inflammatory and analgesic activities [4], U. critina exerts nitric oxide-scavenging and antioxidant effects [5], and U. picta has antimicrobial activity [6]. Previous phytochemical studies on this genus reported the presence of isoflavanones, triterpenes, steroids, glycosides, and aromatic components [6,7,8]. Uraria sinensis Desv. (Hemsl.), a suffruticose sparingly branched perennial herb, is exclusively distributed in the Hubei, Sichuan, Guizhou, Yunnan, Shanxi, Gansu provinces of China [1]. To date, this species has not been investigated. As part of our ongoing search for bioactive natural compounds from the genus Uraria, we report the isolation and structure elucidation of a new sesquilignan glucoside, urariasinoside A (1), together with eight known compounds, including two lignans, a sesquilignan, a dilignan, and four flavonoid derivatives from the aerial parts of U. sinensis (Figure 1), as well as the inhibitory activities against five human cancer cell lines (HL-60, SMMC-7721, A549, MCF-7, and SW480) and a normal cell line (BEAS-2B) of compound 1.
Figure 1. Structures of compounds 19.
Figure 1. Structures of compounds 19.
Molecules 19 01178 g001

2. Results and Discussion

The EtOH extract of the aerial parts of U. sinensis was suspended in water and successively partitioned with petroleum ether, CH2Cl2, and n-butanol. The n-butanol-soluble extract was subjected to column chromatography to afford a new sesquilignan glucoside, urarisinoside A (1), along with a known compound, 5,4'-dihydroxy-3'-methoxyflavanone-7-(6''O-β-l-rhamnopyranosyl)-β-D-glucopyranoside (6) [9]. The CH2Cl2-soluble extract was subjected to repeated column chromatography to yield seven known compounds: (–)-syringaresinol (2) [10], (–)-medioresinol (3) [11], (–)-(7R,7'R,7''S,8S,8'S,8''S)-4',4''-dihydroxy-3,3',3'',5,5'-pentamethoxy-7,9':7',9-diepoxy-4,8''-oxy-8,8'-sesquineolignan-7'',9''-diol (4) [12], (+)-(7R,7'R,7''R,7'''R,8S,8'S,8''S,8'''S)-4'',4'''-dihydroxy-3,3',3'',3''',5,5'-hexamethoxy-7,9':7',9-diepoxy-4,8'':4',8'''-bisoxy-8,8'-dineolignan-7'',7''',9'',9''-tetraol (5) [12], naringenin (7) [13], quercetin (8) [14], and kaempferol (9) [14]. The known compounds were identified on the basis of NMR spectroscopic analyses and comparison with the data reported in the literature.
Compound 1 was obtained as pale yellow oil with the molecular formula C36H48O15, as evidenced by a pseudo-molecular ion peak [M+Na]+ at m/z 743.2863 in the HRESIMS spectrum. The UV spectrum suggested the existence of conjugated groups on the basis of maximum absorption bands at 228 nm and 280 nm. The IR spectrum exhibited the presence of hydroxyl groups (3364 cm−1) and benzene rings (1603 cm−1 and 1513 cm−1). Its 1H-NMR spectrum (Table 1) showed three ABX spin systems assignable to three sets of 1,3,4-trisubstituted aromatic rings at δH 6.59 (1H, d, J = 1.1 Hz), 6.63 (1H, d, J = 8.0 Hz), and 6.50 (1H, dd, J = 8.0, 1.1 Hz); 6.61 (1H, d, J = 1.0 Hz), 6.70 (1H, d, J = 8.1 Hz), and 6.53 (1H, dd, J = 8.1, 1.0 Hz); 7.12 (1H, d, J = 1.1 Hz), 6.74 (1H, d, J = 8.1 Hz), and 6.86 (1H, dd, J = 8.1, 1.1 Hz). Its 13C-NMR and DEPT spectral data (Table 1) revealed the presence of 27 carbons except for the carbon signals due to a glucopyranose moiety (δc 101.1, 75.3, 77.8, 71.9, 77.8, and 62.8) and three methoxy groups (δC 56.5, 56.4, and 56.4). Subsequently, 27 carbons were assigned to a sesquilignan moiety, including three groups of aromatic carbons: nine quaternary carbons (δC 151.4, 149.1, 148.9, 147.6 147.5, 145.6, 136.9, 133.9, and 130.5), and nine unsubstituted aromatic carbons (δC 122.8, 122.8, 122.0, 118.4, 116.0, 115.9, 114.0, 113.6, and 112.8). The remaining 9 carbons were ascribed to five methylene carbons (δC 62.2, 62.1, 61.9, 36.1, and 36.0), and four methine carbons (δC 86.1, 77.9, 44.4, and 44.0). These before mentioned 1H- and 13C-NMR data implied that compound 1 should be a sesquilignan glucoside.
In the 1H-1H COSY spectrum (Figure 2), the consecutive cross-peaks starting from the methylene protons at δH 2.52 (1H, m, H-7a) and 2.62 (1H, m, H-7b) to methine proton at δH 1.87 (1H, m, H-8), and from H-8 to the methylene protons at δH 3.56 (1H, dd, J = 11.2, 4.3Hz, H-9a) and 3.82 (1H, dd, J = 11.2, 5.1 Hz, H-9b) suggested the linkage of the C3 fragment of 7CH2-8CH-9CH2OH. The 1H–1H COSY correlation of CH2-7' with CH-8' and the correlation of CH-8' with CH2-9' revealed the connectivity of the C3 unit 7'CH2-8'CH-9'CH2OH. Additionally, the 1H-1H COSY correlation of the oxygenated methine proton at δH 5.17 (1H, d, J = 4.0 Hz, H-7'') with the oxygenated methine proton at δH 4.30 (1H, m, H-8''), and the correlation of H-8'' with the oxygenated methylene protons at δH 3.51 (1H, dd, J = 11.1, 5.1 Hz, H-9''a) and 3.84 (1H, dd, J = 11.1, 4.2 Hz, H-9''b) disclosed the fragment of the third the C3 unit 7''CH(O)-8''CH(O)-9''CH2OH. These three C3 units were connected to the above three sets of 1,3,4-trisubstituted phenyl groups respectively, according to the HMBC correlations (Figure 2) of H-7 with C-1, C-2, and C-6; of H-7' with C-1', C-2', and C-6'; and of H-7'' with C-1'', C-2'', and C-6''.
Table 1. 1H-NMR (400 MHz) and 13C-NMR (100 MHz) data of compound 1 (in CD3OD, δ in ppm, J in Hz).
Table 1. 1H-NMR (400 MHz) and 13C-NMR (100 MHz) data of compound 1 (in CD3OD, δ in ppm, J in Hz).
NO.δHδCNO.δHδC
1-133.99'b3.56 dd (11.2, 4.3)-
26.59 d (1.1)113.61''-130.5
3-149.12''7.12 d (1.1)112.8
4-145.63''-148.9
56.63 d (8.0)116.04''-147.6
66.50 dd (8.0, 1.1)122.85''6.74 d (8.1)115.9
7a2.52 m36.06''6.86 dd (8.1, 1.1)122.0
7b2.62 m-7''5.17 d (4.0)77.9
81.87 m44.08''4.30 m86.1
9a3.56 dd (11.2, 5.1)62.19''a3.51 dd (11.1, 5.1)61.9
9b3.82 dd (11.2, 4.3)-9''b3.84 dd (11.1, 4.2)-
1'-136.9Glc-1'''4.15 d (7.4)101.1
2'6.61 d (1.0)114.02'''3.32 dd (8.9, 7.4)75.3
3'-151.43'''3.27 t (8.9)77.8
4'-147.54'''3.28 m71.9
5'6.70 d (8.1)118.45'''3.11 m77.8
6'6.53 dd (8.1, 1.0)122.86'''a3.66 dd (11.8, 4.5)62.8
7'a2.52 m36.16'''b3.83 dd (11.8, 2.3)-
7'b2.62 m-3-OCH33.69 s56.4
8'1.86 m44.43'-OCH33.69 s56.4
9'a3.52 dd (11.2, 5.1)62.23''-OCH33.76 s56.5
Figure 2. Key HMBC and 1H-1H COSY correlations of compound 1.
Figure 2. Key HMBC and 1H-1H COSY correlations of compound 1.
Molecules 19 01178 g002
Moreover, the HMBC correlation (Figure 2) between H-8'' and C-4' verified ether linkage between C-8'' and C-4'. Meanwhile, the C-8/C-8' linkage was confirmed by HMBC correlations of H-8 with C-7', C-8' and C-9', and of H-8' with C-7, C-8 and C-9 in the HMBC spectrum. The signals due to methoxy protons were assigned as 3-OCH3, 3'-OCH3, and 3''-OCH3, on the basis of the cross-peaks from H-3-OCH3 to C-3, H-3'-OCH3 to C-3', and H-3''-OCH3 to C-3'' according to the HMBC spectrum. The position of 3-OCH3, 3'-OCH3, and 3''-OCH3 was also corroborated by the correlations between H-3-OCH3 and H-2, H-3'-OCH3 and H-2', and H-3''-OCH3 and H-2'' in the NOESY spectrum (Figure 3). Thus, all the information mentioned above suggested that compound 1 was a secoisolariciresinol-sesquilignan derivative related to sesquimarocanol B [15,17,18].
Figure 3. Key NOESY correlations of compound 1.
Figure 3. Key NOESY correlations of compound 1.
Molecules 19 01178 g003
The remaining proton signals from δH 3.83 to 3.32 in the 1H-NMR spectrum disclosed a set of β-glucopyranose moiety with the anomeric proton resonated at δH 4.15 (1H, d, J = 7.4 Hz, H-1'''), corresponding to six carbon signals at δc 101.1, 75.3, 77.8, 71.9, 77.8, 62.8 in 13C-NMR spectrum. The β-glucose was located at C-7'' as elucidated by the HMBC correlation between Glc-H-1''' and the oxygenated methine carbon C-7'', which was further confirmed by the NOESY correlation between H-1''' and H-7''. Herein, 1 was identified as a secoisolariciresinol-sesquilignan glucoside. Furthermore, the presence of β-D-glucose was determined by GC analysis of its trimethylsilyl thiazolidine derivative after acid hydrolysis [16].
The relative configuration of 1 was elucidated by the NOESY (Figure 3) experiment, together with comparison with data of sesquimarocanol B. Likewise, the NOESY correlations of H-8' with H-7 and H-9, of H-8-with H-7' and H-9', and the absence of the NOESY cross-peak between H-8 and H-8', pointed to the trans orientations for H-8/H-8' as that of sesquimarocanol B. Similarly, the relative stereochemistry of H-7''/H-8'' was supposed to cis configuration according to the correlation between H-7'' and H-8''.
Enzymatic hydrolysis of 1 by the cellulase liberated an aglycon 1a, which had the molecular C30H38O10, as deduced from HRESIMS at m/z 581.2344 [M+Na]+. The NMR data of 1a was very similar with that of sesquimarocanol B [15]. However, the coupling constants of H-7''/H-8'' for 1a and sesquimarocanol B were obviously different. In sesquimarocanol B, a large coupling constant (J = 6.3 Hz) suggested the threo configuration of H-7''/H-8'' [17]. Whereas in 1a, a small coupling constant (J = 4.0 Hz) of H-7''/H-8'', and the proton signal of 7'' at δH 4.88 further confirmed an erythro configuration between H-7''/H-8'' in 1, as a stereoisomer of sesquimarocanol B [19,20,21]. In addition, the absolute configuration of C-8'' was determined to be R, as the CD spectrum showed a negative Cotton effect at 239 nm [22,23,24]. Correspondingly, the absolute configuration of 7'' was elucidated as S. Finally, the structure of 1 was determined to be (7''S,8''R)-(–)-4,4'',9,9',9''-pentahydroxy-3,3',3''-trimethoxy-4',8''-oxy-8,8'-sesquineolignan-7''-O-β-D-glucopyranoside, to which the trivial name urariasinoside A was assigned.
In the other respects, previous reports of cytotoxicity activity of secoisolariciresinol-sesquilignan related structures such as sesquimarocanol B hexaacetate [16], suggest compound 1 might have potential activity as an anticancer agent. Therefore, compound 1 was evaluated for its cytotoxic activities against five human cancer cell lines: HL-60 (human myeloid leukemia), SMMC-7721 (hepatocellular carcinoma), A549 (lung), MCF-7 (breast), and SW480 (colon) by the MTT method [25]. DDP (cisplatin) and taxol were used as positive controls. However, the bioassay results revealed that compound 1 has no in vitro cytotoxicity (IC50 > 40 μM) against any of the five tested cancer cell lines.

3. Experimental

3.1. General Procedures

Optical rotations were measured on a Perkin Elmer PE-341LC polarimeter. UV spectra were measured on a Perkin Elmer Lambda 35 spectrometer. CD spectra were recorded on a JASCO J-810 CD spectrometer. IR spectra were recorded on a Bruker Vertex 70 FT-IR microscope instrument (FT-IRmicroscope transmission). NMR spectra were obtained at 400 MHz for 1H and 100 for 13C, on Bruker AM-400 MHz spectrometers with solvent peaks being used as references. Two-dimensional HSQC, HMBC, COSY, and NOESY experiments were performed using the pulse sequences provided by Bruker. HRESIMS data were measured using an API QSTAR Pulsar spectrometer. Column chromatography was performed using polyamide (10–30 mesh, Taizhou Luqiao Sijia Biochemical Plastics Factory, Taizhou, China), silica gel (100–200, 200–300 mesh, H, Qingdao Marine Chemical Inc., China), ODS (50 μm, YMC, Kyoto, Japan) and Sephadex LH-20 (Pharmacia Biotech AB, Uppsala Sweden). HPLC separation was performed on an instrument consisting of an Ultimate 3000 controller, an Ultimate 3000 pump, and an Ultimate 3000 UV detector with an YMC (250 × 10 mm, 5 μm) preparative column. GC analysis was performed on an Agilent Technologies 7820A GC instrument, OV-17 column (30 m × 0.32 mm × 0.5 μm, Lanzhou Zhongke Antai Analysis Technology Co. Ltd., Lanzhou, China), hydrogen-flame ionization detector. Enzymatic hydrolysis was treated with cellulase (Shanghai Yuanye Biology & Technology Co. Ltd., Shanghai, China). TLC was carried out on precoated silica gel GF254 plates. Spots were visualized under UV light (254 or 356 nm) or by spraying with 5% H2SO4 in 95% EtOH followed by heating.

3.2. Plant Material

The aerial parts of U. sinensis were collected from Shiyan, Hubei Province, China in September 2010 and identified by Dr. Jianping Wang of School of Pharmacy, Tongji Medical College, Huazhong University of Science and Technology. The voucher specimen (1009) was deposited in the herbarium of Hubei Key Laboratory of Natural Medicinal Chemistry and Resource Evaluation, School of Pharmacy, Tongji Medical College, Huazhong University of Science and Technology.

3.3. Extraction and Isolation

The air-dried aerial parts of U. sinensis (45 kg) were extracted three times with 95% EtOH (50 L) at room temperature for 24 hThe dried EtOH extract (4.0 kg) was suspended in H2O and then partitioned successively with petroleum ether (10.0 L × 3), CH2Cl2 (10.0 L × 3) and n-BuOH (10.0 L × 3). The n-butanol portion (375 g) was fractionated by column chromatography over polyamide (6 Kg) using H2O–EtOH of increasing polarity (100:0 (50 L × 3), 10:90 (50 L × 3), 30:70 (50 L × 3), 0:100 (50 L × 3), v/v). The eluates were combined together on the basis of TLC analysis. Then, the fractions eluted with pure water (the extract 172 g) were further subjected to silica gel column chromatography (CHCl3–MeOH–H2O 15:1:0 to 3:1:0.1, v/v/v) to afford seven fractions (Fr.1–7). Fr.6 (11.7 g) was subjected to silica gel column chromatography (CHCl3–MeOH–H2O 5:1:0.1 to 3:1:0.1, v/v/v) once again to give four subfractions (Fr.6.1–6.4). Fr.6.3 was subjected to a Sephadex LH-20 column eluted with MeOH to give six subfractions (Fr.6.3.1–6.3.6). Fr.6.3.4 was purified by silica gel H column chromatography (CHCl3–MeOH–H2O 3:1:0.1, v/v/v) to obtain compound 6 (10.5 mg). Fr.6.3.3 was subjected to ODS column chromatography eluted with 50% MeOH in H2O, and then purified by semi-preparative HPLC (37% MeOH in H2O, flow rate 1.8 mL/min, wavelength 212 nm) to yield compound 1 (5.0 mg, retention time 37 min).
The CH2Cl2 extract (150 g) was applied to silica gel column chromatography eluted with petroleum ether–acetone (10:1 to 1:1, v/v) to afford ten fractions (Fr.A–J). Compound 10 (20.0 mg) was recrystallized from Fr.G using acetone. Fr.G (5.1 g) was subjected to silica gel column chromatography (CHCl3–MeOH 20:1 to 8:1, v/v) to afford seven subfractions (Fr.G1–G7). Fr.G3 and Fr.G5 were subjected to a Sephadex LH-20 column eluted with CH2Cl2–MeOH (1:1, v/v) to give compound 8 (16.4 mg) by recrystallization. Compound 9 (14.5 mg) was obtained by recrystallization in acetone from Fr.G3.
Fr.H (20.0 g) was subjected to silica gel column chromatography (CHCl3–MeOH 30:1: to 8:1, v/v) to afford eight subfractions (Fr.H1–H8). Fr.H2 was applied to MCI gel column eluted with MeOH/H2O (8:1, v/v), and then was subjected to a Sephadex LH-20 column eluted with MeOH to give seven subfractions (Fr.H2.1–2.7). Fr.H2.2 was further purified by semi-preparative HPLC (MeOH–MeCN–H2O 35:15:50, flow rate 2.5 mL/min, wavelength 254 nm) to yield compound 2 (17.5 mg, retention time 20 min) and compound 3 (8.0 mg, retention time 23 min).
Fr.I (6.0 g) was subjected to silica gel column chromatography (CHCl3–MeOH 15:1: to 7:1, v/v) to afford nine subfractions (Fr.I1–I9). Fr.I1 was subjected to a Sephadex LH-20 column eluted with CH2Cl2–MeOH (1:1, v/v) to give four subfractions (Fr.I1.1–1.4). Fr.I1.2 was subjected to ODS column chromatography eluted with 50% MeOH in H2O, and then purified by semi-preparative HPLC (MeOH–MeCN–H2O 20:18:62, flow rate 2.5 mL/min, wavelength 212 nm) to yield compound 4 (7.2 mg, retention time 58 min).
Fr.J (25.0 g) was subjected to silica gel column chromatography (CHCl3–MeOH 12:1 to 8:1, v/v) to afford four subfractions (Fr.J1–J8). Fr.J2 was subjected to a Sephadex LH-20 column eluted with CH2Cl2–MeOH (1:1, v/v) to remove chlorophyll, and then further subjected to ODS column chromatography eluted with 50% MeOH in H2O to give two subfractions (Fr.J2.1–2.2). Fr.J2.1 was subjected to silica gel column chromatography (CHCl3–Me2CO–MeOH 30:15:0.1, v/v/v) and then purified by semi-preparative HPLC (MeOH–MeCN–H2O 29:21:50, flow rate 2 mL/min, wavelength 254 nm) to yield compound 5 (2.3 mg, retention time 30 min).
Urariasinoside A [(7''S,8''R)-(–)-4,4'',9,9',9''-pentahydroxy-3,3',3''-trimethoxy-4',8''-oxy-8,8'-sesqui-neolignan-7''-O-β-D-glucopyranoside] (1). Pale yellow oil. [α]20D: –29 (c = 0.79, MeOH); UV (MeOH) λmax (logε) nm: 280 (3.32), 228 (3.68), 207 (4.03); CD (MeOH, nm) λmax (Δε) 211 (+ 11.48), 229 (+ 1.30), 239 (− 3.74), 281 (+ 2.71), 297 (+ 1.37), 322 (+ 1.83); IR (KBr) νmax 3364, 2935, 1603, 1513, 1453, 1423, 1369, 1268, 1224, 1155, 1127, 1075, 1029 cm−1; 1H- and 13C-NMR: see Table 1; HRESIMS m/z: 743.2863 ([M+Na] +, C36H48O15Na+, calc. 743.2891).

3.4. Determination of the Absolute Configuration of Sugar Unit in 1

A solution of 1 (1.0 mg), in 2 M aqueous CF3COOH (2.0 mL) was heated at 100 °C for 3 h in a water bath. The reaction mixture was diluted in H2O (4.0 mL) and extracted with EtOAc (4.0 mL × 3), then the aqueous layer was concentrated to remove CF3COOH. The residue was dissolved in pyridine (1.0 mL), to which L-cysteine methyl ester hydrochloride (2.0 mg) in pyridine (1.0 mL) was added. Then, the mixture was kept at 60 °C for 2 h. After the reaction mixture was dried in vacuo, the residue was trimethylsilylated with 1-trimethylsilylimidazole (0.2 mL) at 60 °C for 2 h in a water bath. Finally, the mixture was partitioned between hexane and H2O (0.3 mL each) and the hexane extract was analyzed by gas chromatography (GC) under the following conditions: column temperature, 250 °C; injection temperature, 250 °C; carrier N2 gas; flow rate 1.0 mL/min. In the acid hydrolysate of 1, D-Glucose was confirmed by comparison of the retention times of their derivatives with those of D-glucose and L-glucose derivatives prepared in a similar way, which showed retention times of 13.66 and 14.34 min, respectively.

3.5. Enzymatic Hydrolysis of 1

A solution of 1 (2.67 mg) in 0.1 M acetate buffer (pH 4.0, 2.0 mL) was treated with cellulase (3.0 mg) and then the reaction mixture was stirred at 40 °C for 12 h. The reaction mixture was diluted in H2O (4.0 mL) and extracted with EtOAc (4.0 mL × 3). After that, the EtOAc extract was further purified by semi-preparative HPLC (50% MeOH in H2O, flow rate 1.8 mL/min, wavelength 212 nm) to obtain compounds 1a (1.2 mg, retention time 18.3 min).
Erythro-(–)-secoisolariciresinol-sesquilignan (1a). Pale yellow oil. [α]20D: –7.1 (c = 0.028, MeOH); 1H-NMR (CD3OD, 400 MHz) δH: 7.03 (1H, d, J = 1.8 Hz, 2''-H), 6.93 (1H, d, J = 8.2 Hz, 5''-H), 6.86 (1H, dd, J = 8.2, 1.8 Hz, 6''-H), 6.76 (1H, d, J = 8.1 Hz, 5-H), 6.68 (1H, d, J = 1.8 Hz, 2-H), 6.66 (1H, d, J = 8.0 Hz, 5'-H), 6.64 (1H, d, J = 1.9 Hz, 2'-H), 6.63 (1H, dd, J = 8.1, 1.8 Hz, 6-H), 6.54 (1H, dd, J = 8.0, 1.9 Hz, 6'-H), 4.88 (1H, d, J = 4.0 Hz, 7''-H), 4.20 (1H, m, 8''-H ), 3.86 (1H, d, J = 11.5 Hz, 9''-Ha), 3.82 (3H, s, 3''-OCH3), 3.77 (3H, s, 3-OCH3), 3.75 (3H, s, 3'-OCH3), 3.72 (1H, J = 11.5, 4.1 Hz, 9''-Hb), 3.69 (1H, overlapped, 9-Hb), 3.58 (2H, m, 9-Ha, 9'-Hb), 3.46 (1H, dd, J = 11.8, 5.2 Hz, 9'-Ha), 2.67 (2H, m, 7,7'-Ha), 2.60 (2 H, m, 7, 7'-Hb ), 2.06 (2H, m, 8,8'-H); HRESIMS m/z: 581.2344 ([M+Na] +, C30H38O10Na +, calc. 581.2363).

3.6. MTT Cytotoxicity Assay

Compound 1 was tested against five human cancer cell lines [HL-60 and SMMC-7721, A549 (lung), MCF-7 (breast), and SW480 (colon)] and a normal cell line (BEAS-2B). The antiproliferative assay was performed by the MTT colorimetric method as described previously [25]. Briefly, adherent cells were seeded into 96-well tissue culture plates with density of 1 × 105 cells/mL. After 12 h, cells were treated with the medium containing different concentrations of test compounds for 48 h. Then, attached cells were incubated with MTT (15 μL, 5 mg/mL, 1 h) and subsequently solubilized in DMSO. The optical density of absorbency at 595 nm was then measured using a microplate reader. Experiments were performed in triplicate, and the values are the averages of three (n = 3) independent experiments. DDP (cisplatin, Sigma, San Francisco, CA, USA) and taxol were used as the positive control.

4. Conclusions

Studies carried out on the EtOH extracts of U. sinensis, revealed the presence of a new sesquilignan glucoside, urariasinoside A (1), was isolated from the aerial parts of U. sinensis together with eight known compounds, including two lignans (–)-syringaresinol (2), (–)-medioresinol (3); a sesquilignan (–)-(7R,7'R,7''S,8S,8'S,8''S)-4',4''-dihydroxy-3,3',3'',5,5'-pentamethoxy-7,9':7',9-diepoxy-4,8''-oxy-8,8'-sesquineolignan-7'',9''-diol (4); a dilignan (+)-(7R,7'R,7''R,7'''R,8S,8'S,8''S,8'''S)-4'',4'''-dihydroxy-3,3',3'',3''',5,5'-hexamethoxy-7,9':7',9-diepoxy-4,8'':4',8'''-bisoxy-8,8'-dineolignan-7'',7''',9'',9'''-tetraol (5), and four flavonoids derivatives 5,4'-dihydroxy-3'-methoxyflavanone-7-(6''-O-β-l-rhamnopyranosyl)-β-d-glucopyranoside (6), naringenin (7), quercetin (8), and kaempferol (9). Compounds 29 were isolated from U. sinensis for the first time. Cytotoxicity assays revealed that compound 1 was inactive (IC50 > 40 μM) against the HL-60, SMMC-7721, A549, MCF-7, and SW480 cell lines.

Supplementary Materials

Supplementary materials can be accessed at: https://www.mdpi.com/1420-3049/19/1/1178/s1.

Acknowledgments

We gratefully acknowledge financial support of this work by the National Natural Science Foundation of China (No. 30970297, 31270390), National Science and Technology Major Project of China (No. 2011ZX09102-006-05).

Author Contributions

All listed authors contributed to this work. Yingda Yang was responsible for the extraction, isolation and identification of the pigments, and preparation of the manuscript; Zhengxi Hu contributed to perform the MTT cytotoxicity assay; Zengwei Luo, Yongbo Xue, and Guangmin Yao were responsible for the enzymatic hydrolysis reaction and the structure elucidation of new compound; Yanyan Wang and Yonghui Zhang contributed equally to the work as the corresponding authors who designed and obtained financial support.

Conflicts of Interest

The authors declare no conflict of interest.

References

  1. Hutchinson, J. The Genera of Flowering Plants; Clarendo Press: Oxford, England, 1964; pp. 481–482. [Google Scholar]
  2. Wang, J.W. Kenyan and Indian medicinal plants. Foreign Med. Sci. 2003, 25, 122. [Google Scholar]
  3. Liu, S.Y.; Liou, P.C.; Wang, J.Y.; Shyu, Y.T.; Hu, M.F.; Chang, Y.M.; Shieh, J.I. Production and Electrophoretic Analysis of Medical Plants in Taiwan; Taiwan Agricultural Research Institute special publication: Taichung, Taiwan, 1995; pp. 149–188. [Google Scholar]
  4. Hamid, F.; Abdullah, S.T.; Ali, A.; Alam, M.S.; Ansari, S.H. Antiinflammatory and analgesic activity of Uraria lagopoides. Pharm. Biol. 2004, 42, 114–116. [Google Scholar] [CrossRef]
  5. Yen, G.C.; Lai, H.H.; Chou, H.Y. Nitric oxide-scavenging and antioxidant effects of Uraria. crinita root. Food Chem. 2001, 74, 471–478. [Google Scholar] [CrossRef]
  6. Rahman, M.M.; Simon, G.; Alexander, I.G. Isoflavanones from Uraria picta and their antimicrobial activity. Phytochemistry 2007, 68, 1692–1697. [Google Scholar] [CrossRef]
  7. Chen, Y.; Si, X.L.; Wei, S.; Xu, X.J. Studies on chemical constituents of Uraria legopodioides. Chin. Tradit. Pat. Med. 2009, 31, 266–269. [Google Scholar]
  8. Wang, Y.Y.; Zhang, X.Q.; Gong, L.M.; Ruan, H.L.; PI, H.F.; Zhang, Y.H. Studies on chemical constituents in roots of Uraria crinita. Chin. Pharm. J. 2009, 44, 1217–1220. [Google Scholar]
  9. Chen, Y.; Liu, J.; Davidson, S.R.; Howarth, O.W. Isolation and structure of clematine, a new flavanone glycoside from Clematis armandii franch. Tetrahedron 1993, 49, 5169–5176. [Google Scholar] [CrossRef]
  10. Quyang, M.A.; Wein, Y.S.; Zhang, Z.K.; Kuo, Y.H. Inhibitory activity against tobacco mosaic virus (TMV) replication of pinoresinol and syringaresinollignans and their glycosides from the root of Rhus javanica var. roxburghiana. J. Agric. Food. Chem. 2007, 55, 6460–6465. [Google Scholar] [CrossRef]
  11. Li, N.; Wu, J.; Hasegawa, T.; Sakai, J.; Bai, L.; Wang, L.; Kakuta, S.; Furuya, Y.; Ogura, H.; Kataoka, T. Bioactive lignans from Peperomia duclouxii. J. Nat. Prod. 2007, 70, 544–548. [Google Scholar] [CrossRef]
  12. Xiong, L.; Zhu, C.; Li, Y.; Tian, Y.; Lin, S.; Yuan, S.; Hu, J.; Hou, Q.; Chen, N.; Yang, Y. Lignans and neolignans from Sinocalamus affinis and their absolute configurations. J. Nat. Prod. 2011, 74, 1188–1200. [Google Scholar] [CrossRef]
  13. Wadah, S.T.; Murakami, T. Chemical studies of the contents of alsophila-spinulosa tryon. Chem. Pharm. Bull. 1985, 33, 4182–4187. [Google Scholar] [CrossRef]
  14. Xiao, M.; Cao, N.; Fan, J.J.; Shen, Y.; Xu, Q. Studies on flavonoids from the leaves of Linderaaggregate. J. Chin. Med. Mat. 2011, 34, 62–64. [Google Scholar]
  15. Niemi, P.; Tamminen, T.; Smeds, A.; Viljanen, K.; Ohra-aho, T.; Holopainen, M.U.; Faulds, C.B.; Poutanen, K.; Buchert, J. Characterization of lipids and lignans in brewer’s spent grain and its enzymatically extracted fraction. J. Agric. Food. Chem. 2012, 60, 9910–9917. [Google Scholar] [CrossRef]
  16. Shuuji, H.; Hikaru, O.; Kunihide, M. Gas-liquid chromatographic separation of aldose enantiomers as trimethylsilyl ethers of methyl 2-(polyhydroxyalkyl)-thiazolidine-4(r)-carboxylates (organic,chemical). Chem. Pharm. Bull. 1987, 35, 501–506. [Google Scholar] [CrossRef]
  17. Barrero, A.F.; Haïdour, A.; Dorado, M.; Cuerva, J.M. Two sesquilignans from the wood of Abiesmarocana. Phytochemistry 1996, 41, 605–609. [Google Scholar] [CrossRef]
  18. Smeds, A.I.; Eklund, P.C.; Sjöholm, R.E.; Willför, S.M.; Nishibe, S.; Deyama, T.; Holmbom, B.R. Quantification of a broad spectrum of lignans in cereals, oilseeds, and nuts. J. Agric. Food. Chem. 2007, 55, 1337–1346. [Google Scholar] [CrossRef]
  19. Yoshinari, K.; Shimazaki, N.; Sashida, Y.; Mimaki, Y. Flavanonexyloside and lignans from Prunus jamasakura bark. Phytochemistry 1990, 29, 1675–1678. [Google Scholar] [CrossRef]
  20. Tohru, K.; Satoko, M.; Shigetoshi, K.; Takaaki, T. Studies on the constituents of medicinal and related plants in Sri Lanka. III. Novel sesquilignans from Hedyotis lawsoniae. Chem. Pharm. Bull. 1985, 33, 1444–1451. [Google Scholar] [CrossRef]
  21. Abe, F.; Yamauchi, T.; Wan, A.S. Sesqui-, sester-and trilignans from stems of Cerbera manghas and C. odollam. Phytochemistry 1988, 27, 3627–3631. [Google Scholar] [CrossRef]
  22. Gao, M.L.; Zhang, Y.L.; Lin, S. Glycosides from the root of Iodes cirrhosa. J. Nat. Prod. 2008, 71, 647–654. [Google Scholar] [CrossRef]
  23. Huo, C.; Liang, H.; Zhao, Y.; Wang, B.; Zhang, Q. Neolignan glycosides from Symplocos caudata. Phytochemistry 2008, 69, 788–795. [Google Scholar] [CrossRef]
  24. Liao, S.G.; Wu, Y.; Yue, J.M. Lignans from Wikstroemia hainanensis. Helv. Chim. Acta 2006, 89, 73–80. [Google Scholar] [CrossRef]
  25. Mossmann, T.J. Rapid colorimetric assay for cellular growth and survival: application to proliferation and cytotoxicity assays. J. Immunol. Meth. 1983, 65, 55–63. [Google Scholar] [CrossRef]
  • Sample Availability: Samples of the compounds 19 are available from the authors.

Share and Cite

MDPI and ACS Style

Yang, Y.; Hu, Z.; Luo, Z.; Xue, Y.; Yao, G.; Wang, Y.; Zhang, Y. A New Sesquilignan Glucoside from Uraria sinensis. Molecules 2014, 19, 1178-1188. https://doi.org/10.3390/molecules19011178

AMA Style

Yang Y, Hu Z, Luo Z, Xue Y, Yao G, Wang Y, Zhang Y. A New Sesquilignan Glucoside from Uraria sinensis. Molecules. 2014; 19(1):1178-1188. https://doi.org/10.3390/molecules19011178

Chicago/Turabian Style

Yang, Yingda, Zhengxi Hu, Zengwei Luo, Yongbo Xue, Guangmin Yao, Yanyan Wang, and Yonghui Zhang. 2014. "A New Sesquilignan Glucoside from Uraria sinensis" Molecules 19, no. 1: 1178-1188. https://doi.org/10.3390/molecules19011178

APA Style

Yang, Y., Hu, Z., Luo, Z., Xue, Y., Yao, G., Wang, Y., & Zhang, Y. (2014). A New Sesquilignan Glucoside from Uraria sinensis. Molecules, 19(1), 1178-1188. https://doi.org/10.3390/molecules19011178

Article Metrics

Back to TopTop