Abstract
Nine new 3′-N-phenylsulfonyl docetaxel analogs were synthesized in good yields from the key intermediate N-phenylsulfonyl oxazolidine via a six-step route. These analogs were tested for anti-hepatitis B virus (HBV) activity in vitro. Compounds 3e, 3g and 3j showed more potent inhibitory activity against HBeAg secretion than the positive control lamivudine. Further extensive SAR and mechanistic studies will be reported in due course.
1. Introduction
Hepatitis B virus (HBV) is a major cause of acute and chronic hepatitis which can lead to liver cirrhosis, liver failure and hepatocellular carcinoma [1]. It was estimated there are 350 million chronic carriers and that about 2 billion people have been infected, and an estimated 600,000 to 1.2 million people die each year from HBV-associated illnesses [2,3]. Currently, therapies for HBV infection on market include immuno-modulators, interferons (interferon-alpha and pegylated interferon) and nucleoside analogues. However, these drugs still have their drawbacks. For example, immune-modulators (IFN-a and pegIFN-a) and polymerase inhibitors (lamivudine, entecavir, telbivudine and adefovir) are associated with a low cure rate, viral resistance, poor tolerability, and inefficiency in eradicating HBV [4,5,6,7]. Therefore, there is a need to search for new anti-HBV agents with novel antiviral targets and mechanisms of action.
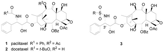
Natural products and their derivatives have always played a pivotal role as leads in drug discovery. Paclitaxel (1, Figure 1) and its semi-synthetic derivative docetaxel (Taxotere, 2), are currently considered to be the most important and promising anticancer agents in the treatment of refractory breast and ovarian cancers due to their unique mechanism of action by binding tubulin and stabilizing microtubule formation, which ultimately disrupts mitosis and causes cell death [8]. In our studies of docetaxel derivatives as anticancer agents [9,10], many analogs were synthesized, including one 3′-N-phenylsulfonyl docetaxel analog. It was found that this 3′-N-phenylsulfonyl docetaxel analog didn’t show any potent antitumor activity [11,12]. However, it has been reported that a large number of structurally novel sulfonamide derivatives have shown substantial antiviral activity both in vitro and in vivo [13,14]. Accordingly, a series of novel 3′-N-phenylsulfonyl docetaxel analogs were designed, synthesized and investigated for their HBV inhibitory activity. It was hoped that a promising lead could be emerged from this type of structure.
Figure 1.
Structure of paclitaxel, docetaxel and 3′-N-phenylsulfonyl docetaxel analogs.
Figure 1.
Structure of paclitaxel, docetaxel and 3′-N-phenylsulfonyl docetaxel analogs.

2. Results and Discussion
2.1. Chemistry
In order to synthesize these 3′-N-phenylsulfonyl docetaxel analogues, several synthetic routes were approached. The first attempt was to couple the intermediate N-de-tert-butoxy-carbonyl-7,10-ditroc-docetaxel (4) with phenylsulfonyl chloride directly (Scheme 1).
Scheme 1.
Attempted synthesis of compound 5.
Scheme 1.
Attempted synthesis of compound 5.

However, ESIMS of the product showed a quasimolecular ion peak at m/z 852 [M+Na]+, indicating a molecular weight of 829, or 18 Da lower than that of 5. Since the H-3′ peak had disappeared in 1H-NMR spectrum, it was suggested that the dehydrated product 5′ was obtained rather than 5. Obviously the elimation occurred quickly since the benzenesulfonate is a very good leaving group formed by phenylsulfonyl and hydroxyl groups.
The second attempt was to synthesize the side chain from (2R,3S)-3-amino-2-hydroxy-3-phenyl-propionic acid methyl ester (6), as illustrated in Scheme 2. Compound 6 was transformed into phenylsulfonamide 7 with phenylsulfonyl chloride, followed by saponification to afford acid 8. However, the coupling reaction between 8 and the intermediate 7,10-ditroc-10-deacetylbaccatin failed to yield 5, partially because 8 was more prone to undergo self-condensation due to the steric hindrance of the hydroxyl group in 10-DAB. Since the free hydroxyl group in 7 interfered with the reaction, we decided to protect it first. Thus, after protecting the hydroxyl group of 7 with 2,2,2-trichloroethyl chloroformate (TrocCl) followed by saponification, the carboxylic acid 10 was obtained as expected. However, the desired product 5′′ was still not formed when 10 reacted with 7,10-ditroc-10-DAB.
Scheme 2.
Another attempted synthesis of compound 5.
Scheme 2.
Another attempted synthesis of compound 5.

Ke et al. reported the synthesis of novel 3′-N-tert-butylsulfonyl analogs of docetaxel by asymmetric synthesis of the side chain oxazolidine and condensing this oxazolidine with 7,10-ditroc-10-DAB [12]. Unfortunately, the oxazolidine is only obtained as diastereomeric mixtures via five steps from (R)-tert-butylsulfinylimine. We previously reported the synthesis of fluorinated docetaxel derivatives from the enantiopure N-Boc oxazolidine side chain [9,10]. Therefore, N-phenylsulfonyl oxazolidine could be used as an important intermediate for this condensation reaction. Finally, compounds 3a–j were synthesized via a new six-step route in good yields from (2R,3S)-3-amino-2-hydroxy-3-phenyl-propionic acid methyl ester (6), a commercially available starting material, as illustrated in Scheme 3. Compound 6 was first transformed into phenylsulfonamides 7a–j with phenylsulfonyl chloride. Cyclic protection using methoxypropene in the presence of a catalytic amount of pyridinium para-toluenesulfonate (PPTS) followed by saponification of the formed intermediates 11a–j afforded acids 12a–j in 80%–95% yields. Then, key intermediates 12a–j were coupled with 7,10-ditroc-10-DAB in the presence of dicyclohexylcarbodiimide (DCC) and 4-dimethylaminopyridine (DMAP) to provide the corresponding intermediates 13a–j in 85%–95% yields. After removing the acetonide protecting group of 13a–j with 98% formic acid at room temperature, intermediates 5a–j were obtained in 57%–85% yields. After further deprotection of the 7,10-ditroc protecting groups on 5a–j with zinc in acetic acid, 3′-N-phenylsulfonyl docetaxel analogs 3a–j were synthesized in 53%–80% yields.
Scheme 3.
Synthesis of compounds 3a–j.
Scheme 3.
Synthesis of compounds 3a–j.

Reagents and conditions: (a) RSO2Cl/Et3N, CH2Cl2, 0 °C-r.t., 1 h; (b) CH2 = C(OCH3)CH3, PPTs, toluene, 85 °C, 2 h; (c) LiOH, THF/H2O, r.t., 1 h; (d) 7,10-ditroc-10-DAB, DCC, DMAP, toluene; 85 °C, 3 h; (e) HCOOH, r.t., 1.5 h; (f) Zn/HOAc, MeOH, 50 °C, 1 h.
2.2. Anti-HBV Activity
With compounds 3a–j in hand, they were tested for their antiviral activity against hepatitis B virus (HBV) in vitro [15], and the results are summarized in Table 1.
Table 1.
Anti-HBsAg and anti-HBeAg effects of compounds 3a–j in HepG2 2.2.15 cell line.
| MNTC b (in µM or µg/mL) | HBsAg inhibition (%) | HBeAg inhibition (%) | |
|---|---|---|---|
| 3a | 7.4 (6.25) | 10.7 | 19.2 |
| 3b | 14.5 (12.5) | 10.0 | 34.1 |
| 3c | 14.5 (12.5) | 0 | 11.4 |
| 3d | 28.5 (25) | 11.8 | 14.8 |
| 3e | 14.1 (12.5) | 0 | 44.4 |
| 3f | 28.9 (25) | 0 | 3.0 |
| 3g | 13.7 (12.5) | 0 | 47.0 |
| 3h | 14.2 (12.5) | 5.0 | 25.8 |
| 3i | 13.5 (12.5) | 0 | 26.0 |
| 3j | 14.1 (12.5) | 0 | 40.2 |
| Docetaxel | 7.7 (6.25) | 0 | 8.2 |
| Paclitaxel | 7.3 (6.25) | 0 | 5.3 |
| 3TC a | 873.4 (200) | 10.9 | 12.5 |
a Positive control (3TC = Lamivudine); b Maximum non-toxic concentration. Cell damage was assessed by means of the MTT assay; cell growth inhibition ≥25% was considered as cytotoxic.
Overall, the compounds showed only weak or no inhibitory activity on HBsAg secretion, except for compounds 3c and 3f, 3a–b, 3d–e and 3g–j that exhibited more potency against HBeAg secretion than the positive control lamivudine (12.5% at 873.4 µM). Especially, 3e, 3g and 3j showed inhibitory activity on HBeAg secretion by 44.4%, 47.0% and 40.2% at the maximum non-toxic concentration (12.5 µg/mL), respectively.
Preliminary structure-activity relationships (SAR) did not show a clear trend in terms of electron-withdrawing or electron-donating substituents on the phenyl ring. Only phenyl (3a), 4-methoxyl (3d), 4-chloro (3h) and benzyl (3b) analogs exihibited weaker inhibitory activity against both HBsAg secretion and HBeAg secretion. However, 4-isopropyl (3e), 4-trifluoromethyl (3g) and 2,4,6-trimethyl (3j) analogs demonstrated the most potent inhibitory activity against HBeAg secretion. Meanwhile, they were all inactive against HBsAg secretion. Accordingly, further extensive SAR study on the substituent pattern on phenyl ring and modification of the linker (based on the result of 3b) will be continued in the near future.
3. Experimental
3.1. General
Reagents were purchased from the Aldrich (Shanghai, China) and TCI Chemical (Shanghai, China) companies. All solvents are purified and dried in accordance with standard procedures, unless otherwise indicated. Reactions were monitored by TLC using Yantai (Yantai, China) GF254 silica gel plates (5 × 10 cm). Silica gel column chromatography was performed on silica gel (300–400 mesh) from Yantai. Melting points (mp) were determined using an X-4 microscope melting point apparatus and were uncorrected. All NMR spectra were recorded on a Bruker DRX-400 (400/100 MHz) spectrometer. Low-resolution mass spectra (ESI) were performed on a Shimadzu LCMS-2010EV and high-resolution mass spectra on a Bruker Daltonics, Inc. APEXIII7.0 TESLA FMS (ESI). Elemental analysis was carried out on an Elementar Vario EL instrument.
3.2. Synthesis
3.2.1. General Procedure for the Synthesis of 7a–j
To a round-bottomed flask (2R,3S)-3-amino-2-hydroxy-3-phenyl-propionic acid methyl ester (6, 0.39 g, 2 mmol) was added into THF (15 mL), which was cooled to 0 oC. To this suspension was added Et3N (1.11 mL, 8 mmol), followed by the dropwise addition of phenylsulfonyl chloride (2.2 mmol). After further stirred at this temperature for 1 h, it was diluted with DCM (30 mL). The organic layer was washed with brine, dried over anhydrous Na2SO4 and filtered. Then the filtrate was evaporated and the residue was purified by column chromatography using petroleum ether/EtOAc (2/1) to afford the products 7a–j as white solids.
2-Hydroxy-3-benzenesulfonylamino-3-phenyl-propionic acid methyl ester (7a). Yield 59% (395 mg); 1H-NMR (CD3COCD3): δ 3.60 (s, 3H, OCH3), 4.35 (d, 1H, J = 3.2 Hz, 2-CH), 4.88 (d, 1H, J = 3.2 Hz, 3-CH), 7.14 (m, 3H, 3-Ph), 7.27 (m, 2H, 3-Ph), 7.35 (t, 2H, J = 7.6 Hz, m-PhSO2), 7.46 (t, 1H, J = 7.6 Hz, p-PhSO2), 7.66 (t, 2H, J = 7.6 Hz, PhSO2); 13C-NMR (CD3COCD3): δ 172.72, 142.67, 139.31, 132.76, 129.44, 128.72, 128.26, 128.07, 127.63, 75.45, 60.92, 52.52; ESI-MS (m/z): 336 [M + H]+. HRMS (ESI) m/z calcd. for C16H17NO5SNa [M + Na]+: 358.0725, found 358.0704.
2-Hydroxy-3-phenylmethane sulfonylamino-3-phenyl-propionic acid methyl ester (7b). Yield 59% (412 mg); 1H-NMR (CD3COCD3): δ 3.69 (s, 3H, OCH3), 4.01 (d, 1H, J = 13.2 Hz, CH2 in Bn), 4.13 (d, 1H, J = 14.0 Hz, CH2 in Bn), 4.44 (d, 1H, J = 4.0 Hz, 2-CH), 4.93 (d, 1H, J = 3.6 Hz, 3-CH), 7.19 (m, 2H, 3-Ph), 7.27 (m, 3H, 3-Ph), 7.39 (m, 3H, Ph in Bn), 7.52 (m, 2H, Ph in Bn); 13C-NMR (CD3COCD3): 172.92, 140.33, 131.73, 130.88, 129.21, 129.03, 128.85, 128.66, 128.61, 75.63, 61.10, 60.41, 52.56; ESI-MS (m/z): 350 [M + H]+. HRMS (ESI) m/z calcd. for C17H19NO5SNa [M + Na]+: 372.0882, found 372.0859.
2-Hydroxy-3-(4-methyl benzenesulfonylamino)-3-phenyl-propionic acid methyl ester (7c). Yield 64% (448 mg); 1H-NMR (CD3COCD3): δ 2.31 (s, 3H, CH3 in Tosyl), 3.60 (s, 3H, OCH3), 4.34 (d, 1H, J = 2.8 Hz, 2-CH), 4.84 (d, 1H, J = 3.6 Hz, 3-CH), 7.27 (m, 5H, 3′-Ph), 7.26 (m, 2H, Ph in Tosyl), 7.53 (d, 2H, J = 8.0 Hz, Ph in Tosyl); 13C-NMR (CD3COCD3): 172.73, 143.39, 139.45, 129.92, 128.70, 128.29, 127.96, 127.73, 75.45, 60.87, 52.50, 21.29; ESI-MS (m/z): 350 [M + H]+. HRMS (ESI) m/z calcd. for C17H19NO5SNa [M + Na]+: 372.0882, found 372.0869.
2-Hydroxy-3-(4-methoxy benzenesulfonylamino)-3-phenyl-propionic acid methyl ester (7d). Yield 59% (432 mg); 1H-NMR (CD3COCD3): δ 3.63 (s, 3H, 3′-CH3), 3.81 (s, 3H, OCH3), 4.33 (d, 1H, J = 4.0 Hz, 2-CH), 4.83 (d, 1H, J = 3.2 Hz, 3-CH), 6.85 (m, 2H, PhSO2), 7.15 (m, 3H, 3-Ph), 7.26 (m, 2H, 3-Ph), 7.57 (m, 2H, PhSO2); 13C-NMR (CD3COCD3): 172.74, 163.31, 139.38, 134.30, 129.78, 128.94, 128.70, 128.29, 114.52, 75.50, 60.86, 55.98, 52.53; ESI-MS (m/z): 366 [M + H]+. HRMS (ESI) m/z calcd. for C17H19NO6SNa [M + Na]+: 388.0831, found 388.0837.
2-Hydroxy-3-(4-isopropyl benzenesulfonylamino)-3-phenyl-propionic acid methyl ester (7e). Yield 59% (445 mg); 1H-NMR (CD3COCD3): δ 1.19 (d, 6H, J = 3.2 Hz, 2CH3 in i-PrPh), 2.89 (m, 1H, CH in i-PrPh), 3.61 (s, 3H, OCH3), 4.34 (d, 1H, J = 3.2 Hz, 2-CH), 4.85 (d, 1H, J = 2.8 Hz, 3-CH), 7.12 (m, 3H, 3-Ph), 7.19 (d, 2H, J = 8.4 Hz, PhSO2), 7.23 (m, 2H, 3-Ph), 7.40 (m, 2H, PhSO2); 13C-NMR (CD3COCD3): 172.74, 154.05, 139.99, 139.20, 128.66, 128.31, 127.97, 127.87, 127.38, 75.44, 60.91, 52.51, 34.74, 23.93; ESI-MS (m/z): 378 [M + H]+. HRMS (ESI) m/z calcd. for C19H23NO5SNa [M + Na]+: 400.1195, found 400.1180.
2-Hydroxy-3-(4-fluoro benzenesulfonylamino)-3-phenyl-propionic acid methyl ester (7f). Yield 49% (346 mg); 1H-NMR (CD3COCD3): δ 3.66 (s, 3H, OCH3), 4.35 (d, 1H, J = 2.8 Hz, 2-CH), 4.88 (d, 1H, J = 3.2 Hz, 3-CH), 7.08 (t, 2H, J = 8.8 Hz, PhSO2), 7.15 (m, 3H, 3-Ph), 7.26 (m, 2H, 3-Ph), 7.68 (m, 2H, PhSO2); 13C-NMR (CD3COCD3): 172.68, 166.54, 164.06, 138.94, 130.66, 130.57, 128.73, 128.37, 128.10, 116.41, 116.18, 75.41, 61.01, 52.53; ESI-MS (m/z): 354 [M + H]+. HRMS (ESI) m/z calcd. for C16H16FNO5SNa [M + Na]+: 376.0631, found 376.0618.
2-Hydroxy-3-(4-trifluoromethyl benzenesulfonylamino)-3-phenyl-propionic acid methyl ester (7g). Yield 19% (153 mg); 1H-NMR (CD3COCD3): δ 3.65 (s, 3H, OCH3), 4.37 (d, 1H, J = 3.2 Hz, 2-CH), 4.91 (d, 1H, J = 3.2 Hz, 3-CH), 7.11 (m, 3H, 3-Ph), 7.23 (m, 2H, 3-Ph), 7.66 (d, 2H, J = 8.4 Hz, PhSO2), 7.82 (d, 2H, J = 8.0 Hz, PhSO2); 13C-NMR (CD3COCD3): 172.62, 146.30, 138.65, 133.69, 133.37, 128.73, 128.54, 128.43, 128.16, 126.52, 126.48, 126.44, 125.90, 123.20, 75.33, 61.19, 52.51; ESI-MS (m/z): 404 [M + H]+. HRMS (ESI) m/z calcd. for C17H16F3NO5SNa [M + Na]+: 426.0599, found 426.0606.
2-Hydroxy-3-(4-chloro benzenesulfonylamino)-3-phenyl-propionic acid methyl ester (7h). Yield 32% (236 mg); 1H-NMR (CD3COCD3): δ 3.65 (s, 3H, OCH3), 4.36 (d, 1H, J = 3.2 Hz, 2-CH), 4.88 (d, 1H, J = 3.2 Hz, 3-CH), 7.15 (m, 3H, 3-Ph), 7.26 (m, 2H, 3-Ph), 7.35 (d, 2H, J = 8.8 Hz, PhSO2), 7.62 (d, 2H, J = 8.8 Hz, PhSO2); 13C-NMR (CD3COCD3): 172.65, 141.42, 138.98, 138.36, 129.49, 128.74, 128.39, 128.10, 75.38, 61.05, 52.51; ESI-MS (m/z): 370 [M + H]+. HRMS (ESI) m/z calcd. for C16H16ClNO5SNa [M + Na]+: 392.0335, found 392.0342.
2-Hydroxy-3-(4-bromo benzenesulfonylamino)-3-phenyl-propionic acid methyl ester (7i). Yield 35% (290 mg); 1H-NMR (CD3COCD3): δ 3.64 (s, 3H, OCH3), 4.36 (d, 1H, J = 3.2 Hz, 2-CH), 4.88 (d, 1H, J = 3.2 Hz, 3-CH), 7.16 (m, 3H, 3-Ph), 7.26 (m, 2H, 3-Ph), 7.51 (m, 4H, PhSO2); 13C-NMR (CD3COCD3): 172.65, 141.88, 138.98, 132.51, 129.60, 128.75, 128.40, 128.09, 126.87, 75.37, 61.06, 52.51; ESI-MS (m/z): 413 [M + H]+. HRMS (ESI) m/z calcd. For C16H16BrNO5SNa [M + Na]+: 435.9830, found 435.9807.
2-Hydroxy-3-(2,4,6-trimethyl benzenesulfonylamino)-3-phenyl-propionic acid methyl ester (7j). Yield 50% (377 mg); 1H-NMR (CD3COCD3): δ 2.23 (s, 3H, CH3 in PhSO2), 2.53 (s, 6H, CH3 in PhSO2), 3.45 (s, 3H, OCH3), 4.32 (d, 1H, J = 3.2 Hz, 2-CH), 4.72 (d, 1H, J = 3.2 Hz, 3-CH), 6.90 (s, 2H, PhSO2), 7.20 (m, 3H, 3-Ph), 7.31 (m, 2H, 3-Ph); 13C-NMR (CD3COCD3): 172.67, 142.56, 139.92, 139.49, 136.23, 132.43, 128.70, 128.11, 128.05, 75.18, 60.45, 52.37, 23.09, 20.74; ESI-MS (m/z): 378 [M + H]+. HRMS (ESI) m/z calcd. for C19H23NO5SNa [M + Na]+: 400.1195, found 400.1180.
3.2.2. General Procedure for the Synthesis of 11a–j
To a stirred solution of 7a–j (0.45 mmol) and PPTs (113 mg, 0.045 mmol) in anhydrous toluene (8 mL) was added 2-methoxypropene (0.129 mL, 1.35 mmol). The reaction mixture was warmed to 85 °C , and further stirred for 2 h at this temperature. After cooled down to room temperature, the mixture was diluted with EtOAc (50 mL). The organic layer was washed with brine, dried over anhydrous Na2SO4 and filtered. The filtrate was evaporated and the residue was purified by silica gel column chromatography using petroleum ether/EtOAc (2/1) to obtain products 11a–j as colorless liquids.
2,2-Dimethyl-3-benzenesulfonyl-4-phenyl-oxazolidine-5-carboxylic acid methyl ester (11a). Yield 97% (164 mg); 1H-NMR (CD3COCD3): δ 1.69 (s, 3H, i-Pr), 1.81 (s, 3H, i-Pr), 3.66 (s, 3H, OCH3), 4.62 (d, 1H, J = 4.8 Hz, 2-CH), 5.27 (d, 1H, J = 4.8 Hz, 3-CH), 7.22 (m, 3H, 3′-Ph), 7.32 (m, 2H, 3′-Ph), 7.42 (t, 2H, J = 7.6 Hz, m-PhSO2), 7.55 (t, 1H, J = 7.6 Hz, p-PhSO2), 7.62 (t, 2H, J = 7.6 Hz, o-PhSO2); 13C-NMR (CD3COCD3): 171.03, 142.02, 139.51, 133.41, 129.60, 129.14, 128.76, 128.46, 128.32, 100.78, 82.50, 66.19, 52.76, 27.31; ESI-MS (m/z): 376 [M + H]+. HRMS (ESI) m/z calcd. for C19H21NO5SNa [M + Na]+: 398.1038, found 398.1024.
2,2-Dimethyl-3-phenylmethane sulfonyl-4-phenyl-oxazolidine-5-carboxylic acid methyl ester (11b). Yield 92% (161 mg); 1H-NMR (CD3COCD3): δ 1.60 (s, 3H, i-Pr), 1.73 (s, 3H, i-Pr), 3.79 (s, 3H, OCH3), 3.79 (d, 1H, J = 14.0 Hz, CH2 in Bn), 4.10 (d, 1H, J = 13.6 Hz, CH2 in Bn), 4.79 (d, 1H, J = 4.0 Hz, 2-CH), 5.30 (d, 1H, J = 4.4 Hz, 3-CH), 7.25 (m, 2H, 3-Ph), 7.33 (m, 3H, 3-Ph), 7.40 (m, 1H, Ph in Bn), 7.48 (m, 2H, Ph in Bn), 7.58 (m, 2H, Ph in Bn); 13C-NMR (CD3COCD3): 171.57, 140.54, 131.98, 130.12, 129.58, 129.30, 129.14, 128.97, 100.28, 82.18, 65.65, 61.03, 52.88, 28.95, 27.74; ESI-MS (m/z): 390 [M + H]+; Anal. calcd. for C20H23NO5S: C, 61.68; H, 5.95; N, 3.60. Found: C, 61.73; H, 6.05; N, 3.52.
2,2-Dimethyl-3-(4-methyl)benzenesulfonyl-4-phenyl-oxazolidine-5-carboxylic acid methyl ester (11c). Yield 80% (140 mg); 1H-NMR (CD3COCD3): δ 1.68 (s, 3H, i-Pr), 1.79 (s, 3H, i-Pr), 2.36 (s, 3H, CH3 in tosyl), 3.66 (s, 3H, OCH3), 4.60 (d, 1H, J = 4.8 Hz, 2-CH), 5.24 (d, 1H, J = 4.8 Hz, 3-CH), 7.23 (m, 5H, 3′-Ph), 7.32 (m, 2H, Ph in tosyl), 7.50 (d, 2H, J = 8.4 Hz, Ph in tosyl); 13C-NMR (CD3COCD3): 171.04, 144.23, 139.71, 139.12, 130.07, 129.10, 128.62, 128.43, 128.42, 100.68, 82.48, 66.20, 52.75, 27.22, 21.37; ESI-MS (m/z): 390 [M + H]+. HRMS (ESI) m/z calcd. for C20H23NO5SNa [M + Na]+: 412.1195, found 412.1196.
2,2-Dimethyl-3-(4-methoxy)benzenesulfonyl-4-phenyl-oxazolidine-5-carboxylic acid methyl ester (11d). Yield 99% (180 mg); 1H-NMR (CD3COCD3): δ 1.69 (s, 3H, i-Pr), 1.80 (s, 3H, i-Pr), 3.67 (s, 3H, 3-CH3), 3.85 (s, 3H, OCH3), 4.58 (d, 1H, J = 4.8 Hz, 2-CH), 5.21 (d, 1H, J = 4.8 Hz, 3-CH), 6.89 (m, 2H, PhSO2), 7.22 (m, 3H, 3-Ph), 7.29 (m, 2H, 3-Ph), 7.53 (m, 2H, PhSO2); 13C-NMR (CD3COCD3): 171.06, 163.73, 139.67, 133.52, 130.57, 129.08, 128.63, 128.38, 114.63, 100.65, 82.51, 66.12, 60.57, 56.09, 52.73, 27.15; ESI-MS (m/z): 406 [M + H]+; Anal. calcd. for C20H23NO6S: C, 59.24; H, 5.72; N, 3.45. Found: C, 59.21; H, 5.70; N, 3.49.
2,2-Dimethyl-3-(4-isopropyl)benzenesulfonyl-4-phenyl-oxazolidine-5-carboxylic acid methyl ester (11e). Yield 97% (182 mg); 1H-NMR (CD3COCD3): δ 1.22 (d, 6H, J = 7.4 Hz, 2CH3 in i-PrPh), 1.71 (s, 3H, i-Pr), 1.83 (s, 3H, i-Pr), 2.94 (m, 1H, CH in i-PrPh), 3.66 (s, 3H, OCH3), 4.59 (d, 1H, J = 4.8 Hz, 2-CH), 5.21 (d, 1H, J = 5.2 Hz, 3-CH), 7.19 (m, 3H, 3-Ph), 7.24 (d, 2H, J = 8.8 Hz, PhSO2), 7.26 (m, 2H, 3-Ph), 7.49 (d, 2H, J = 8.8 Hz, PhSO2); 13C-NMR (CD3COCD3): 170.14, 153.83, 138.44, 138.35, 128.18, 127.91, 127.68, 127.57, 126.60, 99.98, 81.68, 78.33, 65.24, 51.82, 33.87, 26.42, 23.03, 22.98; ESI-MS (m/z): 418 [M + H]+. HRMS (ESI) m/z calcd. for C22H27NO5SNa [M + Na]+: 440.1508, found 440.1501.
2,2-Dimethyl-3-(4-fluoro)benzenesulfonyl-4-phenyl-oxazolidine-5-carboxylic acid methyl ester (11f). Yield 81% (143 mg); 1H-NMR (CD3COCD3): δ 1.71 (s, 3H, i-Pr), 1.83 (s, 3H, i-Pr), 3.69 (s, 3H, OCH3), 4.62 (d, 1H, J = 4.8 Hz, 2-CH), 5.23 (d, 1H, J = 4.8 Hz, 3-CH), 7.14 (t, 2H, J = 8.8 Hz, PhSO2), 7.22 (m, 3H, 3-Ph), 7.29 (m, 2H, 3-Ph), 7.63 (m, 2H, PhSO2); 13C-NMR (CD3COCD3): 171.02, 166.85, 164.35, 139.09, 138.26, 131.43, 131.33, 129.17, 128.82, 128.60, 116.63, 116.40, 100.97, 82.52, 66.07, 52.77, 27.38; ESI-MS (m/z): 394 [M + H]+. HRMS (ESI) m/z calcd. for C19H20FNO5SNa [M + Na]+: 416.0944, found 416.0936.
2,2-Dimethyl-3-(4-trifluoromethyl)benzenesulfonyl-4-phenyl-oxazolidine-5-carboxylic acid methyl ester (11g). Yield 99% (197 mg); 1H-NMR (CD3COCD3): δ 1.74 (s, 3H, i-Pr), 1.87 (s, 3H, i-Pr), 3.69 (s, 3H, OCH3), 4.65 (d, 1H, J = 5.2 Hz, 2-CH), 5.26 (d, 1H, J = 4.8 Hz, 3-CH), 7.19 (m, 3H, 3-Ph), 7.26 (m, 2H, 3-Ph), 7.70 (d, 2H, J = 8.4 Hz, PhSO2), 7.76 (d, 2H, J = 8.0 Hz, PhSO2); 13C-NMR (CD3COCD3): 170.90, 145.58, 138.51, 134.14, 129.21, 129.17, 128.95, 128.78, 126.71, 126.68, 126.64, 126.60, 101.24, 82.49, 66.11, 52.79, 27.67; ESI-MS (m/z): 444 [M + H]+; Anal. calcd. for C20H20F3NO5S: C, 54.17; H, 4.55; N, 3.16. Found: C, 54.31; H, 4.51; N, 3.22.
2,2-Dimethyl-3-(4-chloro)benzenesulfonyl-4-phenyl-oxazolidine-5-carboxylic acid methyl ester (11h). Yield 93% (171 mg); 1H-NMR (CD3COCD3): δ 1.71 (s, 3H, i-Pr), 1.83 (s, 3H, i-Pr), 3.69 (s, 3H, OCH3), 4.63 (d, 1H, J = 5.2 Hz, 2-CH), 5.24 (d, 1H, J = 5.2 Hz, 3-CH), 7.24 (m, 3H, 3-Ph), 7.29 (m, 2H, 3-Ph), 7.41 (d, 2H, J = 8.8 Hz, PhSO2), 7.56 (d, 2H, J = 8.0 Hz, PhSO2); 13C-NMR (CD3COCD3): 170.99, 140.73, 139.10, 139.02, 130.15, 129.69, 129.21, 128.83, 128.66, 101.01, 82.50, 66.11, 52.79, 27.46; ESI-MS (m/z): 410 [M + H]+. HRMS (ESI) m/z calcd for C19H20ClNO5SNa [M + Na]+: 432.0648, found 432.0653.
2,2-Dimethyl-3-(4-bromo)benzenesulfonyl-4-phenyl-oxazolidine-5-carboxylic acid methyl ester (11i). Yield 99% (202 mg); 1H-NMR (CD3COCD3): δ 1.71 (s, 3H, i-Pr), 1.83 (s, 3H, i-Pr), 3.69 (s, 3H, OCH3), 4.63 (d, 1H, J = 5.2 Hz, 2-CH), 5.23 (d, 1H, J = 4.8 Hz, 3-CH), 7.24 (m, 3H, 3-Ph), 7.29 (m, 2H, 3-Ph), 7.49 (d, 2H, J = 8.8 Hz, PhSO2), 7.57 (d, 2H, J = 8.8 Hz, PhSO2); 13C-NMR (CD3COCD3): 170.96, 141.17, 138.99, 132.70, 130.20, 129.21, 128.81, 128.65, 127.67, 101.00, 82.48, 66.10, 52.78, 27.46; ESI-MS (m/z): 455 [M + H]+. HRMS (ESI) m/z calcd. for C19H20BrNO5SNa [M + Na]+: 476.0143, found 476.0156.
2,2-Dimethyl-3-(2,4,6-trimethyl)benzenesulfonyl-4-phenyl-oxazolidine-5-carboxylic acid methyl ester (11j). Yield 81% (152 mg); 1H-NMR (CD3COCD3): δ 1.82 (s, 3H, i-Pr), 1.92 (s, 3H, i-Pr), 2.10 (s, 3H, CH3 in PhSO2), 2.51 (s, 6H, CH3 in PhSO2), 3.74 (s, 3H, OCH3), 4.47 (d, 1H, J = 5.6 Hz, 2-CH), 4.99 (d, 1H, J = 6.0 Hz, 3-CH), 6.63 (s, 2H, PhSO2), 7.01 (m, 5H, 3-Ph); 13C-NMR (CD3COCD3): 171.11, 144.03, 140.69, 138.39, 134.00, 132.53, 128.67, 128.25, 127.46, 102.10, 83.12, 66.06, 52.72, 27.12, 23.21, 20.67; ESI-MS (m/z): 418 [M + H]+; Anal. calcd. for C22H27NO5S: C, 63.29; H, 6.52; N, 3.35. Found: C, 63.42; H, 6.48; N, 3.39.
3.2.3. General Procedure for the Synthesis of 12a–j
To a stirred solution of 11a–j (0.437 mmol) in a mixture of solvent (THF:H2O = 6 mL:2 mL) at 0 °C was added LiOH•H2O (37 mg, 0.87 mmol). The resulting mixture was warmed to room temperature and further stirred for 1 h. Then the pH of the mixture was adjusted to 2~3 by adding 1N HCl solution. After extracted with CH2Cl2 three times, the combined organic phase was dried over anhydrous Na2SO4 and evaporated to afford the colorless liquid products 12a–j.
2,2-Dimethyl-3-benzenesulfonyl-4-phenyl-oxazolidine-5-carboxylic acid (12a). Yield 97% (154 mg); 1H-NMR (CD3COCD3): δ 1.71 (s, 3H, i-Pr), 1.83 (s, 3H, i-Pr), 4.56 (d, 1H, J = 4.8 Hz, 2-CH), 5.25 (d, 1H, J = 4.4 Hz, 3-CH), 7.21 (m, 3H, 3′-Ph), 7.31 (m, 2H, 3′-Ph), 7.39 (t, 2H, J = 7.6 Hz, m-PhSO2), 7.53 (t, 1H, J = 7.6 Hz, p-PhSO2), 7.60 (t, 2H, J = 7.6 Hz, o-PhSO2); 13C-NMR (CD3COCD3) δ 171.48, 142.04, 139.68, 133.34, 129.55, 129.12, 128.69, 128.50, 128.305, 100.72, 82.50, 66.24, 27.41; ESI-MS (m/z): 362 [M + H]+. HRMS (ESI) m/z calcd. for C18H19NO5SNa [M + Na]+: 384.0882, found 384.0888.
2,2-Dimethyl-3-phenylmethane sulfonyl-4-phenyl-oxazolidine-5-carboxylic acid (12b). Yield 97% (160 mg); 1H-NMR (CD3COCD3): δ 1.61 (s, 3H, i-Pr), 1.76 (s, 3H, i-Pr), 3.79 (d, 1H, J = 14.0 Hz, CH2 in Bn), 4.10 (d, 1H, J = 14.0 Hz, CH2 in Bn), 4.76 (d, 1H, J = 4.0 Hz, 2-CH), 5.30 (d, 1H, J = 4.0 Hz, 3-CH), 7.24 (m, 3H, 3-Ph), 7.33 (m, 2H, 3-Ph), 7.40 (m, 2H, Ph in Bn), 7.59 (m, 3H, Ph in Bn); 13C-NMR (CD3COCD3) δ 172.03, 140.75, 131.99, 131.74, 130.93, 130.15, 129.56, 129.24, 129.15, 129.04, 129.00, 128.83, 128.62, 128.55, 100.23, 82.12, 75.05, 65.72, 27.81; ESI-MS (m/z): 376 [M + H]+. HRMS (ESI) m/z calcd. for C19H21NO5SNa [M + Na]+: 398.1038, found 398.1031.
2,2-Dimethyl-3-(4-methyl)benzenesulfonyl-4-phenyl-oxazolidine-5-carboxylic acid (12c). Yield 96% (158 mg); 1H-NMR (CD3COCD3): δ 1.70 (s, 3H, i-Pr), 1.82 (s, 3H, i-Pr), 2.35 (s, 3H, CH3 in Tosyl), 4.55 (d, 1H, J = 5.2 Hz, 2-CH), 5.22 (d, 1H, J = 5.2 Hz, 3-CH), 7.22 (m, 5H, Ph in Tosyl), 7.30 (m, 2H, Ph in Tosyl), 7.48 (d, 2H, Ph in Tosyl); 13C-NMR (CD3COCD3) δ 171.47, 144.15, 139.91, 139.12, 130.04, 129.09, 128.55, 128.45, 128.44, 100.63, 82.49, 66.23, 27.31, 21.37; ESI-MS (m/z): 376 [M + H]+. HRMS (ESI) m/z calcd. for C19H21NO5SNa [M + Na]+: 398.1038, found 398.1031.
2,2-Dimethyl-3-(4-methoxy)benzenesulfonyl-4-phenyl-oxazolidine-5-carboxylic acid (12d). Yield 99% (170 mg); 1H-NMR (CD3COCD3): δ 1.74 (s, 3H, i-Pr), 1.88 (s, 3H, i-Pr), 3.70 (s, 3H, 3-CH3), 4.67 (d, 1H, J = 4.8 Hz, 2-CH), 5.29 (d, 1H, J = 5.2 Hz, 3-CH), 7.21 (m, 3H, 3-Ph), 7.29 (m, 2H, 3-Ph), 7.80 (d, 2H, J = 9.2 Hz, PhSO2), 8.19 (d, 2H, J = 8.8 Hz, PhSO2); 13C-NMR (CD3COCD3) δ 170.87, 150.65, 147.26, 138.47, 129.81, 129.30, 129.06, 128.9, 124.68, 101.32, 82.43, 66.12, 52.85, 27.78; ESI-MS (m/z): 392 [M + H]+. HRMS (ESI) m/z calcd. for C19H21NO6SNa [M + Na]+: 414.0987, found 414.0998.
2,2-Dimethyl-3-(4-isopropyl)benzenesulfonyl-4-phenyl-oxazolidine-5-carboxylic acid (12e). Yield 95% (168 mg); 1H-NMR (CD3COCD3): δ 1.21 (d, 3H, J = 1.6 Hz, CH3 in i-PrPh), 1.22 (d, 3H, J = 1.2 Hz, CH3 in i-PrPh), 1.74 (s, 3H, CH3 in i-Pr), 1.85 (s, 3H, CH3 in i-Pr), 2.92 (m, 1H, CH in i-PrPh), 4.53 (d, 1H, J = 5.2 Hz, 2-CH), 5.19 (d, 1H, J = 5.2 Hz, 3-CH), 7.16 (m, 3H, 3-Ph), 7.20 (d, 2H, J = 8.4 Hz, PhSO2), 7.23 (m, 2H, 3-Ph), 7.46 (m, 2H, PhSO2); 13C-NMR (CD3COCD3) δ 171.48, 154.64, 139.36, 139.33, 129.06, 128.64, 128.55, 128.54, 127.45, 100.83, 82.59, 66.20, 34.76, 27.46, 23.95, 23.86; ESI-MS (m/z): 404 [M + H]+. HRMS (ESI) m/z calcd. for C21H25NO5SNa [M + Na]+: 426.1351, found 426.1339.
2,2-Dimethyl-3-(4-fluoro)benzenesulfonyl-4-phenyl-oxazolidine-5-carboxylic acid (12f). Yield 81% (135 mg); 1H-NMR (CD3COCD3): δ 1.73 (s, 3H, i-Pr), 1.84 (s, 3H, i-Pr), 4.58 (d, 1H, J = 5.2 Hz, 2-CH), 5.23 (d, 1H, J = 5.2 Hz, 3-CH), 7.12 (t, 2H, J = 8.8 Hz, PhSO2), 7.22 (m, 3H, 3-Ph), 7.28 (m, 2H, 3-Ph), 7.63 (m, 2H, PhSO2); 13C-NMR (CD3COCD3) δ 171.45, 166.83, 164.32, 139.32, 138.29, 138.26, 131.43, 131.33, 129.16, 128.76, 128.62, 116.60, 116.38, 100.93, 82.50, 66.12, 27.47; ESI-MS (m/z): 380 [M + H]+. HRMS (ESI) m/z calcd. for C18H18FNO5SNa [M + Na]+: 402.0787, found 402.0782.
2,2-Dimethyl-3-(4-trifluoromethyl)benzenesulfonyl-4-phenyl-oxazolidine-5-carboxylic acid (12g). Yield 78% (147 mg); 1H-NMR (CD3COCD3): δ 1.77 (s, 3H, i-Pr), 1.88 (s, 3H, i-Pr), 4.64 (d, 1H, J = 5.2 Hz, 2-CH), 5.29 (d, 1H, J = 4.8 Hz, 3-CH), 7.21 (m, 3H, 3-Ph), 7.30 (m, 2H, 3-Ph), 7.81 (d, 2H, J = 8.8 Hz, PhSO2), 8.18 (d, 2H, J = 9.2 Hz, PhSO2); 13C-NMR (CD3COCD3) δ 171.32, 150.62, 147.27, 138.73, 129.82, 129.28, 128.99, 128.89, 124.68, 101.26, 82.38, 66.18, 27.83; ESI-MS (m/z): 430 [M + H]+. HRMS (ESI) m/z calcd. for C19H18F3NO5SNa [M + Na]+: 452.0755, found 452.0737.
2,2-Dimethyl-3-(4-chloro)benzenesulfonyl-4-phenyl-oxazolidine-5-carboxylic acid (12h). Yield 100% (173 mg); 1H-NMR (CD3COCD3): δ 1.73 (s, 3H, i-Pr), 1.84 (s, 3H, i-Pr), 4.59 (d, 1H, J = 5.2 Hz, 2-CH), 5.24 (d, 1H, J = 4.8 Hz, 3-CH), 7.23 (m, 3H, 3-Ph), 7.29 (m, 2H, 3-Ph), 7.39 (d, 2H, J = 8.8 Hz, PhSO2), 7.56 (d, 2H, J = 8.0 Hz, PhSO2); 13C-NMR (CD3COCD3) δ 171.40, 140.74, 139.26, 139.04, 130.14, 129.66, 129.19, 128.76, 128.67, 100.95, 82.46, 66.14, 27.54; ESI-MS (m/z): 396 [M + H]+. HRMS (ESI) m/z calcd. for C18H18ClNO5SNa [M + Na]+: 418.0492, found 418.0504.
2,2-Dimethyl-3-(4-bromo)benzenesulfonyl-4-phenyl-oxazolidine-5-carboxylic acid (12i). Yield 99% (191 mg); 1H-NMR (CD3COCD3): δ 1.73 (s, 3H, i-Pr), 1.84 (s, 3H, i-Pr), 4.59 (d, 1H, J = 4.8 Hz, 2-CH), 5.23 (d, 1H, J = 5.2 Hz, 3-CH), 7.23 (m, 3H, 3-Ph), 7.29 (m, 2H, 3-Ph), 7.48 (d, 2H, J = 8.8 Hz, PhSO2), 7.55 (d, 2H, J = 8.8 Hz, PhSO2); 13C-NMR (CD3COCD3) δ 171.40, 141.20, 139.22, 132.67, 130.20, 129.20, 128.73, 128.70, 127.62, 100.93, 82.45, 66.14, 27.54; ESI-MS (m/z): 439 [M + H]+. HRMS (ESI) m/z calcd. for C18H18BrNO5SNa [M + Na]+: 461.9987, found 461.9997.
2,2-Dimethyl-3-(2,4,6-trimethyl)benzenesulfonyl-4-phenyl-oxazolidine-5-carboxylic acid (12j). Yield 99% (175 mg); 1H-NMR (CD3COCD3): δ 1.85 (s, 3H, i-Pr), 1.93 (s, 3H, i-Pr), 2.09 (s, 3H, CH3 in PhSO2), 2.52 (s, 6H, CH3 in PhSO2), 4.44 (d, 1H, J = 5.6 Hz, 2-CH), 5.02 (d, 1H, J = 5.6 Hz, 3-CH), 6.63 (s, 2H, PhSO2), 7.01 (m, 5H, 3-Ph); 13C-NMR (CD3COCD3) δ 171.58, 143.99, 140.68, 138.84, 134.01, 132.52, 128.65, 128.15, 127.39, 102.05, 83.10, 66.04, 27.20, 23.21, 20.68. ESI-MS (m/z): 404 [M + H]+. HRMS (ESI) m/z calcd for C21H25NO5SNa [M + Na]+: 426.1351, found 426.1345.
3.2.4. General Procedure for the Synthesis of 13a–j
To a solution of anhydrous toluene (60 mL) were added 12a–j (0.49 mmol), 7,10-ditroc-10-DAB (0.23 g, 0.24 mmol), DCC (0.15 g, 0.75 mmol) and DMAP (15 mg, 0.13 mmol). The resulting mixture was stirred at 85 °C for 3 h. After the completion, the reaction mixture was washed with brine (30 mL × 3), dried over Na2SO4, filtered and concentrated in vacuo. The obtained residue was purified by silica gel flash chromatography column (petroleum ether/ethyl acetate: 4/1) to afford 13a–j as white solids.
7,10-Di(2,2,2-trichloroethyloxycarbonyl)-10-deacetylbaccatin III-13-O-[2,2-dimethyl-3-benzene sulfonyl-4-phenyl-oxazolidine-5-carboxylate] (13a). Yield 96% (285 mg); mp 155–157 °C; 1H-NMR (CDCl3): δ 1.17 (s, 3H, 17-CH3), 1.24 (s, 3H, 16-CH3), 1.82 and 1.87 (2s, 6H, i-Pr), 1.95 (s, 3H, 19-CH3), 1.97 (s, 3H, 18-CH3), 1.99 (s, 3H, OAc), 2.13 (m, 2H, 14-CH2), 2.03 and 2.59 (2m, 2H, 6-CH2), 3.87 (d, 1H, J = 7.2 Hz, 3-CH), 4.11 and 4.27 (2d, 2H, J = 8.6 Hz, 20-CH2), 4.50 (d, 1H, J = 6.0 Hz, 2′-CH), 4.60 and 4.91 (2d, 2H, J = 12.0 Hz, Troc), 4.78 (s, 2H, Troc), 4.90 (d, 1H, J = 7.6 Hz, 5-CH), 5.23 (d, 1H, J = 6.4 Hz, 3′-CH), 5.56 (dd, 1H, J = 10.8, 7.2 Hz, 7-CH), 5.65 (d, 1H, J = 7.2 Hz, 2-CH), 6.21 (t, 1H, J = 8.4 Hz, 13-CH), 6.23 (s, 1H, 10-CH), 7.15 (m, 2H, 3′-Ph), 7.21 (m, 3H, 3′-Ph), 7.26 (t, 2H, J = 7.6 Hz, m-PhSO2), 7.41 (t, 1H, J = 7.6 Hz, p-PhSO2), 7.46 (d, 2H, J = 7.2 Hz, o-PhSO2), 7.47 (t, 2H, J = 7.6 Hz, m-OBz), 7.62 (t, 1H, J = 7.6 Hz, p-OBz), 8.01 (d, 2H, J = 7.2 Hz, o-OBz). 13C-NMR (CDCl3) δ 200.65, 170.14, 169.78, 166.84, 153.21, 142.48, 140.58, 136.95, 133.87, 132.41, 132.02, 130.05, 129.00, 128.67, 128.58, 128.46, 128.33, 128.00, 127.50, 100.95, 94.19, 83.68, 81.99, 80.43, 79.01, 78.88, 74.23, 71.49, 65.27, 58.46, 56.09, 49.21, 46.90, 43.07, 35.38, 33.91, 33.17, 28.73, 27.18, 26.23, 25.60, 24.92, 21.58, 21.03, 18.43, 14.81, 10.72. Anal. calcd. for C53H55Cl6NO18S: C, 51.39; H, 4.48; N, 1.13. Found: C, 51.52; H, 4.51; N, 1.15.
7,10-Di(2,2,2-trichloroethyloxycarbonyl)-10-deacetylbaccatin III-13-O-[2,2-dimethyl-3-phenyl methane sulfonyl-4-phenyl-oxazolidine-5-carboxylate] (13b). Yield 94% (282 mg); mp 154–156 °C; 1H-NMR (CDCl3): δ 1.20 (s, 3H, 17-CH3), 1.28 (s, 3H, 16-CH3), 1.61 (s, 3H, 19-CH3), 1.84 and 1.85 (2s, 6H, i-Pr), 2.08 (s, 3H, 18-CH3), 2.10 (s, 3H, OAc), 2.22 (m, 2H, 14-CH2), 2.04 and 2.62 (2m, 2H, 6-CH2), 3.73 (2d, 2H, J = 13.6 Hz, 3″-CH2), 3.93 (d, 1H, J = 7.2 Hz, 3-CH), 4.15 and 4.32 (2d, 2H, J = 8.4 Hz, 20-CH2), 4.70 (d, 1H, J = 5.2 Hz, 2′-CH), 4.62 and 4.94 (2d, 2H, J = 12.0 Hz, Troc), 4.80 (dd, 2H, J = 12.8, 12.0 Hz, Troc), 4.94 (d, 1H, J = 9.2 Hz, 5-CH), 5.29 (d, 1H, J = 5.2 Hz, 3′-CH), 5.61 (dd, 1H, J = 10.6, 7.0 Hz, 2-CH), 5.69 (d, 1H, J = 7.2 Hz, 2-CH), 6.27 (t, 1H, J = 8.6 Hz, 13-CH), 6.27 (s, 1H, 10-CH), 7.21 (m, 2H, 3′-Ph), 7.35 (m, 3H, 3′-Ph), 751 (t, 2H, J = 8.0 Hz, m-OBz), 7.51 (m, 2H, 3″-Ph), 7.56 (m, 2H, 3″-Ph), 7.65 (t, 1H, J = 7.6 Hz, p-OBz), 8.05 (d, 2H, J = 7.6 Hz, o-OBz). 13C-NMR (CDCl3) δ 200.67, 171.18, 170.18, 170.04, 166.86, 153.22, 153.19, 142.43, 138.48, 133.91, 132.07, 130.99, 130.07, 129.21, 129.14, 128.99, 128.80, 128.71, 128.59, 128.50, 128.17, 100.50, 94.19, 83.70, 81.67, 80.48, 79.02, 78.91, 74.24, 71.66, 64.89, 61.36, 60.41, 56.10, 49.31, 46.94, 43.10, 35.45, 33.83, 33.19, 29.70, 27.98, 27.77, 26.23, 25.57, 24.89, 2, 21.65, 21.06, 21.03, 14.96, 14.21, 10.74. Anal. calcd. for C54H57Cl6NO18S: C, 51.77; H, 4.59; N, 1.12. Found: C, 51.88; H, 4.65; N, 1.18.
7,10-Di(2,2,2-trichloroethyloxycarbonyl)-10-deacetylbaccatin III-13-O-[2,2-dimethyl-3-(4-methyl) benzene sulfonyl-4-phenyl-oxazolidine-5-carboxylate] (13c). Yield 85% (255 mg); mp 154–156 °C; 1H-NMR (CDCl3): δ 1.19 (s, 3H, 17-CH3), 1.27 (s, 3H, 16-CH3), 1.84 and 1,87 (2s, 6H, i-Pr), 1.94 (s, 3H, 19-CH3), 1.99 (s, 3H, 18-CH3), 2.00 (s, 3H, OAc), 2.16 (m, 2H, 14-CH2), 2.36 (s, 3H, 4″-CH3), 2.05 and 2.61 (2m, 2H, 6-CH2), 3.89 (d, 1H, J = 6.8 Hz, 3-CH), 4.13 and 4.29 (2d, 2H, J = 8.4 Hz, 20-CH2), 4.52 (d, 1H, J = 6.8 Hz, 2′-CH), 4.62 and 4.93 (2d, 2H, J = 12.0 Hz, Troc), 4.80 (dd, 2H, J = 14.4, 12.0 Hz, Troc), 4.92 (d, 1H, J = 7.6 Hz, 5-CH), 5.21 (d, 1H, J = 6.8 Hz, 3′-CH), 5.58 (dd, 1H, J = 10.8, 7.2 Hz, 7-CH), 5.67 (d, 1H, J = 7.2 Hz, 2-CH), 6.22 (t, 1H, J = 8.8 Hz, 13-CH), 6.25 (s, 1H, 10-CH), 7.07 (d, 2H, J = 8.4 Hz, m-PhSO2), 7.20 (m, 2H, 3′-Ph), 7.26 (m, 3H, 3′-Ph), 7.39 (d, 2H, J = 8.4 Hz, o-PhSO2), 7.50 (t, 2H, J = 7.6 Hz, m-OBz), 7.65 (t, 1H, J = 7.4 Hz, p-OBz), 8.04 (d, 2H, J = 7.6 Hz, o-OBz). 13C-NMR (CDCl3) δ 200.65, 171.15, 169.81, 166.85, 153.21, 153.20, 143.32, 142.51, 137.57, 133.88, 131.99, 130.06, 129.10, 128.99, 130.06, 129.10, 128.99, 128.68, 128.53, 128.16, 127.92, 100.81, 94.21, 94.19, 83.67, 81.94, 80.42, 79.02, 78.90, 74.23, 71.45, 65.33, 60.39, 56.08, 46.90, 43.07, 35.37, 33.10, 33.17, 29.70, 28.90, 26.99, 26.23, 25.51, 24.82, 21.57, 21.44, 21.03, 14.78, 14.20, 10.72. Anal. calcd. for C54H57Cl6NO18S: C, 51.77; H, 4.59; N, 1.12. Found: C, 51.93; H, 4.63; N, 1.16.
7,10-Di(2,2,2-trichloroethyloxycarbonyl)-10-deacetylbaccatin III-13-O-[2,2-dimethyl-3-(4-methoxy) benzene sulfonyl-4-phenyl-oxazolidine-5-carboxylate] (13d). Yield 95% (288 mg); mp 159–161 °C; 1H-NMR (CDCl3): δ 1.19 (s, 3H, 17-CH3), 1.26 (s, 3H, 16-CH3), 1.83 and 1.87 (2s, 6H, i-Pr), 1.94 (s, 3H, 19-CH3), 1.99 (s, 3H, 18-CH3), 2.01 (s, 3H, OAc), 2.15 (m, 2H, 14-CH2), 2.05 and 2.61 (2m, 2H, 6-CH2), 3.82 (s, 3H, OCH3), 3.89 (d, 1H, J = 6.8 Hz, 3-CH), 4.13 and 4.28 (2d, 2H, J = 8.4 Hz, 20-CH2), 4.51 (d, 1H, J = 6.8 Hz, 2′-CH), 4.62 and 4.93 (2d, 2H, J = 11.6 Hz, Troc), 4.80 (dd, 2H, J = 14.0, 12.0 Hz, Troc), 4.92 (d, 1H, J = 8.0 Hz, 5-CH), 5.20 (d, 1H, J = 6.4 Hz, 3′-CH), 5.58 (dd, J = 10.8, 7.2 Hz, 7-CH), 5.67 (d, 1H, J = 7.6 Hz, 2-CH), 6.22 (t, 1H, J = 9.2 Hz, 13-CH), 6.25 (s, 1H, 10-CH), 6.72 (d, 2H, J = 8.8 Hz, o-3″-PhOCH3), 7.23 (m, 5H, 3′-Ph), 7.41 (d, J = 9.2 Hz, m-3″-PhOCH3), 7.50 (t, 2H, J = 7.6 Hz, m-OBz), 7.64 (t, 1H, J = 7.6 Hz, p-OBz), 8.03 (d, 2H, J = 7.6 Hz, o-OBz). 13C-NMR (CDCl3) δ 200.66, 171.15, 170.16, 169.86, 166.82, 162.70, 153.21, 153.19, 142.51, 137.31, 133.87, 132.00, 132.19, 132.00, 130.05, 129.75, 129.01, 128.67, 128.55, 128.20, 127.93, 113.64, 100.84, 94.21, 94.19, 83.67, 81.98, 80.41, 79.02, 78.88, 74.24, 71.45, 65.28, 60.39, 56.08, 55.58, 49.23, 46.90, 43.07, 35.39, 33.86, 33.17, 28.89, 26.96, 26.23, 25.59, 24.90, 21.57, 21.04, 14.80, 14.20, 10.72. Anal. calcd. for C54H57Cl6NO19S: C, 51.12; H, 4.53; N, 1.10. Found: C, 51.33; H, 4.55; N, 1.14.
7,10-Di(2,2,2-trichloroethyloxycarbonyl)-10-deacetylbaccatin III-13-O-[2,2-dimethyl-3-(4-isopropyl) benzene sulfonyl-4-phenyl-oxazolidine-5-carboxylate] (13e). Yield 87% (267 mg); mp 165–167 °C; 1H-NMR (CDCl3): δ 1.18 (s, 3H, 17-CH3), 1.22 (d, 3H, J = 1.6 Hz, 2″-CH3), 1.24 (d, 3H, J = 1.6 Hz, 2″-CH3), 1.26 (s, 3H, 16-CH3), 1.83 and 1.89 (2s, 6H, i-Pr), 1.96 (s, 3H, 19-CH3), 1.99 (s, 3H, 18-CH3), 2.00 (s, 3H, OAc), 2.15 (m, 2H, 14-CH2), 2.05 and 2.61 (2m, 2H, 6-CH2), 2.89 (m, 1H, 2″-CH), 3.89 (d, 1H, J = 7.2 Hz, 3-CH), 4.12 and 4.28 (2d, 2H, J = 8.4 Hz, 20-CH2), 4.51 (d, 1H, J = 6.4 Hz, 2′-CH), 4.62 and 4.93 (2d, 2H, J = 12.0 Hz, Troc), 4.80 (dd, 2H, J = 14.4, 12.0 Hz, Troc), 4.92 (d, 1H, J = 8.0 Hz, 5-CH), 5.24 (m, 1H, 3′-CH), 5.58 (dd, 1H, J = 10.8, 7.2 Hz, 7-CH), 5.66 (d, 1H, J = 7.2 Hz, 2-CH), 6.22 (t, 1H, J = 9.2 Hz, 13-CH), 6.24 (s, 1H, 10-CH), 7.08 (d, 2H, J = 8.0 Hz, 3″-Ph), 7.14 (m, 2H, 3′-Ph), 7.20 (m, 3H, 3′-Ph), 7.39 (d, 2H, J = 8.8 Hz, 3″-Ph), 7.49 (t, 2H, J = 7.6 Hz, m-OBz), 7.64 (t, 1H, J = 7.6 Hz, p-OBz), 8.03 (d, 2H, J = 7.6 Hz, o-OBz). 13C-NMR (CDCl3) δ 200.66, 171.15, 170.15, 169.88, 166.82, 153.91, 153.20, 153.19, 142.51, 137.01, 133.87, 131.99, 130.05, 129.01, 128.67, 128.47, 128.18, 127.97, 127.73, 126.52, 100.94, 94.22, 94.20, 83.67, 82.01, 80.41, 79.01, 78.88, 74.24, 71.46, 65.30, 60.39, 56.07, 53.43, 46.89, 43.07, 35.39, 34.09, 33.16, 28.82, 27.06, 26.23, 23.67, 23.58, 21.55, 21.03, 14.81, 14.20, 10.72. Anal. calcd. for C56H61Cl6NO18S: C, 52.51; H, 4.80; N, 1.09. Found: C, 52.75; H, 4.88; N, 1.15.
7,10-Di(2,2,2-trichloroethyloxycarbonyl)-10-deacetylbaccatin III-13-O-[2,2-dimethyl-3-(4-fluoro) benzene sulfonyl-4-phenyl-oxazolidine-5-carboxylate] (13f). Yield 89% (268 mg); mp 166–168 °C; 1H-NMR (CDCl3): δ 1.19 (s, 3H, 17-CH3), 1.27 (s, 3H, 16-CH3), 1.84 and 1.90 (2s, 6H, i-Pr), 1.97 (s, 3H, 19-CH3), 2.01 (s, 3H, 18-CH3), 2.04 (s, 3H, OAc), 2.16 (m, 2H, 14-CH2), 2.05 and 2.62 (2m, 2H, 6-CH2), 3.90 (d, 1H, J = 6.8 Hz, 3-CH), 4.13 and 4.29 (2d, 2H, J = 8.8 Hz, 20-CH2), 4.52 (d, 1H, J = 6.4 Hz, 2′-CH), 4.62 and 4.94 (2d, 2H, J = 11.6 Hz, Troc), 4.80 (dd, 2H, J = 13.0, 11.8 Hz, Troc), 4.93 (d, 1H, J = 9.2 Hz, 5-CH), 5.25 (d, 1H, J = 6.4 Hz, 3′-CH), 5.59 (dd, 1H, J = 10.8, 7.2 Hz, 5-CH), 5.67 (d, 1H, J = 7.2 Hz, 2-CH), 6.24 (t, 1H, J = 8.4 Hz, 13-CH), 6.25 (s, 1H, 10-CH), 6.90 (t, 2H, J = 8.4 Hz, -PhF), 7.20 (m, 4H, 3′-Ph), 7.26 (m, 1H, 3′-Ph), 7.45 (m, 2H, -PhF), 7.49 (t, 2H, J = 7.6 Hz, m-OBz), 7.64 (t, 1H, J = 7.6 Hz, p-OBz), 8.03 (d, 2H, J = 7.6 Hz, o-OBz). 13C-NMR (CDCl3) δ 200.65, 171.17, 170.13, 169.77, 166.84, 166.02, 163.49, 153.21, 142.42, 136.71, 133.90, 132.05, 130.30, 130.20, 130.05, 128.97, 128.68, 128.65, 128.46, 128.11, 115.70, 115.47, 101.12, 94.18, 83.68, 82.03, 80.44, 79.00, 78.89, 74.21, 71.55, 65.15, 60.40, 56.08, 46.91, 43.07, 35.36, 33.17, 28.59, 27.26, 26.22, 21.59, 21.06, 21.02, 14.85, 14.21, 10.73. Anal. calcd. for C53H54Cl6FNO18S: C, 50.65; H, 4.33; N, 1.11. Found: C, 50.82; H, 4.37; N, 1.18.
7,10-Di(2,2,2-trichloroethyloxycarbonyl)-10-deacetylbaccatin III-13-O-[2,2-dimethyl-3-(4-trifluoro methyl) benzene sulfonyl-4-phenyl-oxazolidine-5-carboxylate] (13g). Yield 100% (312 mg); mp 165–167 °C; 1H-NMR (CDCl3): δ 1.19 (s, 3H, 17-CH3), 1.27 (s, 3H, 16-CH3), 1.84 and 1.92 (2s, 6H, i-Pr), 1.99 (s, 3H, 19-CH3), 2.02 (s, 3H, 18-CH3), 2.03 (s, 3H, OAc), 2.16 (m, 2H, 14-CH2), 2.05 and 2.62 (2m, 2H, 6-CH2), 3.90 (d, 1H, J = 6.8 Hz, 3-CH), 4.13 and 4.29 (2d, 2H, J = 8.0 Hz, 20-CH2), 4.54 (d, 1H, J = 6.4 Hz, 2′-CH), 4.63 and 4.94 (2d, 2H, J = 12.0 Hz, Troc), 4.80 (dd, 2H, J = 13.6, 12.0 Hz, Troc), 4.93 (d, 1H, J = 7.6 Hz, 5-CH), 5.29 (dd, 1H, J = 6.0 Hz, 3′-CH), 5.59 (dd, 1H, J = 10.8, 6.8 Hz, 7-CH), 5.67 (d, 1H, J = 6.8 Hz, 2-CH), 6.24 (t, 1H, J = 9.2 Hz, 13-CH), 6.26 (s, 1H, 10-CH), 7.14 (m, 1H, 3′-Ph), 7.23 (m, 4H, 3′-Ph), 7.47 (d, 2H, J = 8.4 Hz, -PhCF3), 7.53 (d, 2H, J = 8.4 Hz, -PhCF3), 7.49 (t, 2H, J = 8.0 Hz, m-OBz), 7.37 (t, 1H, J = 7.6 Hz, p-OBz), 8.02 (d, 2H, J = 7.6 Hz, o-OBz). 13C-NMR (CDCl3) δ 200.64, 171.17, 170.10, 169.66, 166.84, 153.21, 144.07, 142.32, 136.19, 134.04, 133.90, 133.71, 132.11, 130.05, 128.96, 128.68, 128.60, 127.94, 125.49, 125.45, 124.47, 121.76, 101.32, 94.18, 83.67, 82.00, 80.46, 78.98, 74.20, 71.62, 65.16, 60.40, 56.08, 46.92, 43.08, 35.36, 33.17, 28.42, 27.55, 26.22, 21.60, 21.06, 21.00, 14.85, 14.20, 10.72. Anal. calcd. for C54H54Cl6F3NO18S: C, 49.63; H, 4.17; N, 1.07. Found: C, 49.85; H, 4.22; N, 1.13.
7,10-Di(2,2,2-trichloroethyloxycarbonyl)-10-deacetylbaccatin III-13-O-[2,2-dimethyl-3-(4-chloro) benzene sulfonyl-4-phenyl-oxazolidine-5-carboxylate] (13h). Yield 91% (277 mg); mp 169–171 °C; 1H-NMR (CDCl3): δ 1.19 (s, 3H, 17-CH3), 1.27 (s, 3H, 16-CH3), 1.84 and 1.89 (2s, 6H, i-Pr), 1.96 (s, 3H, 19-CH3), 2.01 (s, 3H, 18-CH3), 2.03 (s, 3H, OAc), 2.16 (m, 2H, 14-CH2), 2.05 and 2.61 (2m, 2H, 6-CH2), 3.90 (d, 1H, J = 7.2 Hz, 3-CH), 413 and 4.29 (2d, 2H, J = 8.4 Hz, 20-CH2), 4.53 (d, 1H, J = 6.4 Hz, 2′-CH), 4.62 and 4.94 (2d, 2H, J = 11.6 Hz, Troc), 4.80 (dd, 2H, J = 13.6, 11.6 Hz, Troc), 4.93 (d, 1H, J = 8.0 Hz, 5-CH), 5.25 (d, 1H, J = 6.4 Hz, 3′-CH), 5.58 (dd, 1H, J = 10.8, 7.2 Hz, 2-CH), 5.67 (d, 1H, J = 7.2 Hz, 2-CH), 6.24 (t, 1H, J = 9.2 Hz, 13-CH), 6.25 (s, 1H, 10-CH), 7.20 (d, 2H, J = 9.2 Hz, -PhCl), 7.20 (m, 4H, 3′-Ph), 7.28 (m, 1H, 3′-Ph), 7.36 (d, 2H, J = 8.8 Hz, -PhCl), 7.49 (t, 2H, J = 7.6 Hz, m-OBz), 7.64 (t, 1H, J = 7.6 Hz, p-OBz), 8.03 (d, 2H, J = 7.6 Hz, o-OBz). 13C-NMR (CDCl3) δ 200.65, 171.18, 170.13, 169.73, 166.84, 153.21, 142.40, 139.11, 138.95, 136.66, 133.90, 138.95, 136.66, 133.90, 132.06, 130.05, 128.97, 128.92, 128.68, 128.46, 128.14, 101.10, 94.20, 94.18, 83.67, 81.98, 80.44, 78.99, 78.89, 74.21, 71.55, 65.18, 60.41, 56.08, 46.91, 43.07, 35.37, 33.17, 28.58, 27.31, 26.23, 21.60, 21.06, 21.02, 14.84, 14.21, 10.73. Anal. calcd. for C53H54Cl7NO18S: C, 50.00; H, 4.27; N, 1.10. Found: C, 50.23; H, 4.34; N, 1.15.
7,10-Di(2,2,2-trichloroethyloxycarbonyl)-10-deacetylbaccatin III-13-O-[2,2-dimethyl-3-(4-bromo) benzene sulfonyl-4-phenyl-oxazolidine-5-carboxylate] (13i). Yield 98% (309 mg); mp 166–168 °C; 1H-NMR (CDCl3): δ 1.19 (s, 3H, 17-CH3), 1.27 (s, 3H, 16-CH3), 1.84 and 1.89 (2s, 6H, i-Pr), 1.96 (s, 3H, 19-CH3), 2.01 (s, 3H, 18-CH3), 2.03 (s, 3H, OAc), 2.16 (m, 2H, 14-CH2), 2.06 and 2.62 (2m, 2H, 6-CH2), 3.90 (d, 1H, J = 6.8 Hz, 3-CH), 4.13 and 4.29 (2d, 2H, J = 8.4 Hz, 20-CH2), 4.53 (d, 1H, J = 6.0 Hz, 2′-CH), 4.62 and 4.94 (2d, 2H, J = 11.8 Hz, Troc), 4.80 (dd, 2H, J = 13.8, 11.8 Hz, Troc), 4.93 (d, 1H, J = 8.0 Hz, 5-CH), 5.25 (d, 1H, J = 6.0 Hz, 3′-CH), 5.59 (dd, 1H, J = 10.8, 7.2 Hz, 7-CH), 5.67 (d, 1H, J = 7.2 Hz, 2-CH), 6.24 (t, 1H, J = 9.2 Hz, 13-CH), 6.25 (s, 1H, 10-CH), 7.20 (m, 4H, 3′-Ph), 7.28 (m, 1H, 3′-Ph), 7.29 (d, 2H, J = 8.8 Hz, -PhBr), 7.37 (d, 2H, J = 8.8 Hz, -PhBr), 7.50 (t, 2H, J = 7.8 Hz, m-OBz), 7.64 (t, 1H, J = 7.4 Hz, p-OBz), 8.03 (d, 2H, J = 7.6 Hz, o-OBz). 13C-NMR (CDCl3) δ 200.65, 170.12, 169.73, 166.85, 153.21, 142.39, 139.64, 136.63, 133.90, 132.06, 131.66, 130.06, 129.00, 128.96, 128.71, 128.46, 128.13, 127.49, 101.10, 94.18, 83.67, 81.97, 80.44, 78.99, 78.90, 74.20, 71.56, 65.20, 60.41, 56.08, 46.91, 43.08, 35.36, 33.17, 28.58, 27.32, 26.23, 21.60, 21.01, 14.84, 14.21, 10.73. Anal. calcd. for C53H54BrCl6NO18S: C, 48.31; H, 4.13; N, 1.06. Found: C, 48.53; H, 4.23; N, 1.14.
7,10-Di(2,2,2-trichloroethyloxycarbonyl)-10-deacetylbaccatin III-13-O-[2,2-dimethyl-3-(2,4,6-trimethyl) benzene sulfonyl-4-phenyl-oxazolidine-5-carboxylate] (13j). Yield 81% (248 mg); mp 167–169 °C; 1H-NMR (CDCl3): δ 1.19 (s, 3H, 17-CH3), 1.28 (s, 3H, 16-CH3), 1.84 and 1.96 (2s, 6H, i-Pr), 1.98 (s, 3H, 19-CH3), 2.03 (s, 3H, 18-CH3), 2.08 (s, 3H, OAc), 2.12 (s, 3H, p-3″-CH3), 2.14 (m, 2H, 14-CH2), 2.05 and 2.62 (2m, 2H, 6-CH2), 2.54 (s, 6H, o-3″-CH3), 3.91 (d, 1H, J = 7.2 Hz, 3-CH), 4.13 and 4.28 (2d, 2H, J = 8.4 Hz, 20-CH2), 4.44 (d, 1H, J = 6.8 Hz, 2′-CH), 4.63 and 4.94 (2d, 2H, J = 11.8 Hz, Troc), 4.80 (s, 2H, Troc), 4.93 (d, 1H, J = 8.0 Hz, 5-CH), 5.15 (d, 1H, J = 6.8 Hz, 3′-CH), 5.59 (dd, 1H, J = 10.8, 7.2 Hz, 7-CH), 5.67 (d, 1H, J = 7.2 Hz, 2-CH), 6.27 (t, 1H, J = 8.2 Hz, 13-CH), 6.27 (s, 1H, 10-CH), 6.55 (s, 2H, 3″-Ph), 6.95–7.09 (m, 5H, 3′-Ph), 7.49 (t, 2H, J = 7.8 Hz, m-OBz), 7.63 (t, 1H, J = 7.6 Hz, p-OBz), 8.02 (d, 2H, J = 7.6 Hz, o-OBz). 13C-NMR (CDCl3) δ 200.72, 171.18, 170.17, 170.09, 166.83, 153.21, 153.19, 143.12, 142.62, 140.07, 136.70, 133.85, 132.93, 131.91, 131.69, 130.07, 129.00, 128.65, 128.00, 127.66, 126.91, 102.19, 94.20, 83.70, 82.46, 80.38, 79.02, 78.94, 74.23, 71.45, 65.32, 60.41, 56.06, 46.90, 43.06, 35.38, 33.17, 29.70, 29.05, 26.89, 26.33, 23.04, 21.53, 21.04, 20.72, 14.90, 14.21, 10.73. Anal. calcd. for C56H61Cl6NO18S: C, 52.51; H, 4.80; N, 1.09. Found: C, 52.75; H, 4.88; N, 1.17.
3.2.5. General Procedure for the Synthesis of 5a–j
To a round-bottomed flask (25 mL) were added 13a–j (0.218 mmol) and HCOOH (>98%, 5 mL). The reaction mixture was stirred at room temperature for 4 h. Then the resulting solution was neutralized by addition of saturated NaHCO3. After extracted with EtOAc three times, the combined organic phase was washed with brine, dried over Na2SO4, filtered, and concentrated in vacuo. The obtained residue was purified by silica gel flash chromatography column (acetone/petroleum ether: 1/3) to afford 5a–j as white solids.
N-De-tert-butoxycarbonyl-N-phenylsulfonyl 7,10-di(2,2,2-trichloroethyloxycarbonyl)-docetaxel (5a). Yield 72% (188 mg); mp 156–158 °C; 1H-NMR (CDCl3): δ 1.19 (s, 3H, 17-CH3), 1.25 (s, 3H, 16-CH3), 1.86 (s, 3H, 19-CH3), 1.90 (s, 3H, 18-CH3), 2.25 (m, 2H, 14-CH2), 2.34 (s, 3H, OAc), 2.06 and 2.61 (2m, 2H, 6-CH2), 3.86 (d, 1H, J = 6.8 Hz, 3-CH), 4.20 and 4.31 (2d, 2H, J = 8.4 Hz, 20-CH2), 4.54 (d, 1H, J = 3.2 Hz, 2′-CH), 4.60 and 4.91 (2d, 2H, J = 12.0 Hz, Troc), 4.78 (s, 2H, Troc), 4.93 (d, 1H, J = 9.6 Hz, 5-CH), 4.93 (m, 1H, 3′-CH), 5.52 (m, 1H, 7-CH), 5.67 (d, 1H, J = 6.8 Hz, 2-CH), 5.79 (m, 1H, -CONH-), 6.16 (t, 1H, J = 8.8 Hz, 13-CH), 6.21 (s, 1H, 10-CH), 7.09 (m, 2H, 3′-Ph), 7.18 (m, 3H, 3′-Ph), 7.28 (t, 2H, J = 8.0 Hz, m-PhSO2), 7.42 (t, 1H, J = 7.6 Hz, p-PhSO2), 7.48 (t, 2H, J = 7.6 Hz, m-OBz), 7.61 (t, 1H, J = 7.6 Hz, p-OBz), 7.62 (d, 2H, J = 7.6 Hz, o-PhSO2), 8.08 (d, 2H, J = 7.6 Hz, o-OBz). 13C-NMR (CDCl3) δ 200.62, 170.61, 166.78, 153.22, 142.02, 140.18, 136.31, 133.88, 132.62, 132.30, 130.13, 129.04, 128.81, 128.72, 128.65, 128.36, 127.05, 126.91, 94.17, 83.60, 80.95, 79.12, 78.61, 74.62, 74.12, 72.10, 60.42, 59.50, 56.27, 46.92, 43.02, 35.53, 33.28, 26.50, 22.46, 20.73, 14.91, 14.20, 10.73. Anal. calcd. for C50H51Cl6NO18S: C, 50.10; H, 4.29; N, 1.17. Found: C, 50.33; H, 4.43; N, 1.23.
N-De-tert-butoxycarbonyl-N-phenylmethylsulfonyl 7,10-di(2,2,2-trichloroethyloxycarbonyl)-docetaxel (5b). Yield 79% (208 mg); mp 149–151 °C; 1H-NMR (CDCl3): δ 1.20 (s, 3H, 17-CH3), 1.27 (s, 3H, 16-CH3), 1.76 (s, 3H, 19-CH3), 1.91 (s, 3H, 18-CH3), 2.29 (m, 2H, 14-CH2), 2.35 (s, 3H, OAc), 2.07 and 2.62 (2m, 2H, 6-CH2), 3.89 (d, 1H, J = 7.2 Hz, 3-CH), 4.04 (s, 2H, 3″-CH2), 4.22 and 4.32 (2d, 2H, J = 8.6 Hz, 20-CH2), 4.54 (br s, 1H, 2′-CH), 4.61 and 4.92 (2d, 2H, J = 11.6 Hz, Troc), 4.79 (s, 2H, Troc), 4.88 (m, 1H, 3′-CH), 4.95 (d, 1H, J = 9.2 Hz, 5-CH), 5.53 (dd, 1H, J = 10.8, 7.2 Hz, 2-CH), 5.69 (d, 1H, J = 7.2 Hz, 2-CH), 6.22 (s, 1H, 10-CH), 6.25 (t, 1H, J = 8.0 Hz, 13-CH), 7.07 (d, 2H, J = 7.2 Hz, 3″-Ph), 7.22 (t, 2H, J = 7.2 Hz, 3′-Ph), 7.35 (d, 2H, J = 7.6 Hz, 3″-Ph), 7.42 (m, 3H, 3′-Ph), 7.48 (t, 2H, J = 8.0 Hz, m-OBz), 7.63 (t, 1H, J = 7.4 Hz, p-OBz), 8.10 (d, 2H, J = 7.6 Hz, o-OBz). 13C-NMR (CDCl3) δ 200.65, 171.53, 170.52, 166.75, 153.22, 153.17, 142.17, 137.52, 133.82, 132.20, 130.71, 130.16, 129.08, 129.02, 128.83, 128.68, 128.59, 128.44, 127.48, 94.18, 83.62, 80.89, 79.12, 78.61, 74.68, 74.19, 72.15, 60.41, 60.25, 59.57, 58.47, 56.24, 46.87, 43.04, 35.54, 33.81, 33.26, 29.69, 26.45, 25.57, 24.89, 22.47, 21.05, 20.84, 18.40, 14.79, 14.20, 10.73. Anal. calcd. for C51H53Cl6NO18S: C, 50.51; H, 4.40; N, 1.15. Found: C, 50.73; H, 4.53; N, 1.16.
N-De-tert-butoxycarbonyl-N-(4-methyl)-phenylsulfonyl 7,10-di(2,2,2-trichloroethyloxycarbonyl)-docetaxel (5c). Yield 85% (224 mg); mp 157–159 °C; 1H-NMR (CDCl3): δ 1.20 (s, 3H, 17-CH3), 1.26 (s, 3H, 16-CH3), 1.88 (s, 3H, 19-CH3), 1.91 (s, 3H, 18-CH3), 2.26 (m, 2H, 14-CH2), 2.34 (s, 3H, OAc), 2.35 (s, 3H, CH3 in 4-methylphenyl), 2.08 and 2.63 (2m, 2H, 6-CH2), 3.88 (d, 1H, J = 6.8 Hz, 3-CH), 4.22 and 4.32 (2d, 2H, J = 8.4 Hz, 20-CH2), 4.56 (d, 1H, J = 3.2 Hz, 2′-CH), 4.62 and 4.93 (2d, 2H, J = 12.0 Hz, Troc), 4.80 (s, 2H, Troc), 4.91 (m, 1H, 3′-CH), 4.94 (d, 1H, J = 9.2 Hz, 5-CH), 5.54 (m, 1H, 7-CH), 5.69 (d, 1H, J = 6.8 Hz, 2-CH), 5.84 (m, 1H, -CONH-), 6.18 (t, 1H, J = 9.0 Hz, 13-CH), 6.22 (s, 1H, 10-CH), 7.08 (d, 2H, J = 8.4 Hz, m-PhSO2), 7.13 (m, 2H, 3′-Ph), 7.21 (m, 3H, 3′-Ph), 7.50 (t, 2H, J = 7.6 Hz, m-OBz), 7.53 (d, 2H, J = 8.4 Hz, o-PhSO2), 7.64 (t, 1H, J = 7.4 Hz, p-OBz), 8.10 (d, 2H, J = 7.6 Hz, o-OBz). 13C-NMR (CDCl3) δ 200.64, 170.58, 166.78, 153.22, 153.20, 143.51, 142.10, 137.25, 136.58, 133.87, 132.22, 130.14, 129.40, 129.07, 128.72, 128.62, 128.24, 127.08, 126.96, 94.17, 83.61, 80.90, 79.11, 78.63, 74.60, 74.17, 72.06, 59.51, 56.24, 46.90, 43.02, 35.50, 26.44, 22.46, 21.45, 20.79, 14.85, 10.73. Anal. calcd. for C51H53Cl6NO18S: C, 50.51; H, 4.40; N, 1.15. Found: C, 50.75; H, 4.51; N, 1.19.
N-De-tert-butoxycarbonyl-N-(4-methoxyl)-phenylsulfonyl 7,10-di(2,2,2-trichloroethyloxycarbonyl)-docetaxel (5d). Yield 79% (210 mg); mp 152–154 °C; 1H-NMR (CDCl3): δ 1.21 (s, 3H, 17-CH3), 1.27 (s, 3H, 16-CH3), 1.86 (s, 3H, 19-CH3), 1.92 (s, 3H, 18-CH3), 2.22 (m, 2H, 14-CH2), 2.36 (s, 3H, OAc), 2.08 and 2.64 (2m, 2H, 6-CH2), 3.80 (s, 3H, OCH3), 3.89 (d, 1H, J = 7.2 Hz, 3-CH), 4.22 and 4.34 (2d, 2H, J = 8.4 Hz, 20-CH2), 4.55 (d, 1H, J = 3.2 Hz, 2′-CH), 4.62 and 4.93 (2d, 2H, J = 12.0 Hz, Troc), 4.80 (s, 2H, Troc), 4.91 (m, 1H, 3′-CH), 4.96 (d, 1H, J = 9.2 Hz, 5-CH), 5.54 (dd, J = 10.8, 7.2 Hz, 7-CH), 5.69 (d, 1H, J = 6.8 Hz, 2-CH), 5.74 (m, 1H, -CONH-), 6.16 (t, 1H, J = 8.8 Hz, 13-CH), 6.23 (s, 1H, 10-CH), 6.76 (m, 2H, o-PhOCH3), 7.15 (m, 2H, 3′-Ph), 7.23 (m, 3H, 3′-Ph), 7.51 (t, 2H, J = 7.6 Hz, m-OBz), 7.58 (d, 2H, J = 8.8 Hz, m-PhOCH3), 7.64 (t, 1H, J = 7.2 Hz, p-OBz), 8.10 (d, 2H, J = 7.6 Hz, o-OBz). 13C-NMR (CDCl3) δ 200.64, 171.18, 170.57, 166.77, 162.83, 153.22, 136.72, 133.87, 132.22, 131.87, 130.13, 129.12, 128.72, 128.66, 128.27, 127.09, 113.94, 94.18, 83.60, 80.92, 79.12, 78.62, 74.13, 72.00, 60.40, 56.27, 55.57, 46.91, 43.02, 35.53, 33.80, 33.29, 26.43, 25.56, 24.88, 22.44, 21.05, 20.74, 14.90, 14.20, 10.72. Anal. calcd. for C51H53Cl6NO19S: C, 49.85; H, 4.35; N, 1.14. Found: C, 49.99, H, 4.43, N, 1.21.
N-De-tert-butoxycarbonyl-N-(4-isopropyl)-phenylsulfonyl 7,10-di(2,2,2-trichloroethyloxycarbonyl)-docetaxel (5e). Yield 77% (208 mg); mp 165–167 °C; 1H-NMR (CDCl3): δ 1.20 (br s, 6H, 2CH3 in i-Pr), 1.21 (s, 3H, 17-CH3), 1.27 (s, 3H, 16-CH3), 1.88 (s, 3H, 19-CH3), 1.92 (s, 3H, 18-CH3), 2.29 (m, 2H, 14-CH2), 2.37 (s, 3H, OAc), 2.08 and 2.64 (2m, 2H, 6-CH2), 2.88 (m, 1H, CH in i-Pr), 3.89 (d, 1H, J = 6.4 Hz, 3-CH), 4.23 and 4.32 (2d, 2H, J = 8.4 Hz, 20-CH2), 4.56 (d, 1H, J = 3.6 Hz, 2′-CH), 4.62 and 4.93 (2d, 2H, J = 11.6 Hz, Troc), 4.80 (s, 2H, Troc), 4.93 (m, 1H, 3′-CH), 4.94 (d, 1H, J = 9.2 Hz, 5-CH), 5.54 (dd, 1H, J = 10.6, 7.4 Hz, 7-CH), 5.70 (d, 1H, J = 6.8 Hz, 2-CH), 6.23 (s, 1H, 10-CH), 6.23 (t, 1H, J = 9.0 Hz, 13-CH), 7.01-7.15 (m, 8H, 3′-Ph and i-PrPh), 7.52 (m, 2H, i-PrPh), 7.52 (t, 2H, J = 7.6 Hz, m-OBz), 7.63 (t, 1H, J = 7.2 Hz, p-OBz), 8.11 (d, 2H, J = 7.6 Hz, o-OBz). 13C-NMR (100 MHz, CDCl3) δ 200.65, 171.23, 170.63, 166.74, 154.17, 153.22, 142.15, 137.36, 136.21, 133.82, 132.22, 130.15, 129.13, 128.71, 128.51, 128.21, 127.09, 126.84, 94.18, 83.62, 80.88, 79.12, 78.62, 74.66, 74.21, 72.06, 60.41, 59.63, 56.22, 46.91, 43.02, 35.62, 34.08, 33.27, 26.45, 23.65, 23.60, 22.47, 21.05, 20.87, 14.83, 14.20, 10.75. Anal. calcd. for C53H57Cl6NO18S: C, 51.30; H, 4.63; N, 1.13. Found: C, 51.53; H, 4.72; N, 1.18.
N-De-tert-butoxycarbonyl-N-(4-fluoro)-phenylsulfonyl 7,10-di(2,2,2-trichloroethyloxycarbonyl)-docetaxel (5f). Yield 50% (132 mg); mp 162–164 °C;1H-NMR (CDCl3): δ 1.21 (s, 3H, 17-CH3), 1.26 (s, 3H, 16-CH3), 1.88 (s, 3H, 19-CH3), 1.92 (s, 3H, 18-CH3), 2.27 (m, 2H, 14-CH2), 2.36 (s, 3H, OAc), 2.08 and 2.63 (2m, 2H, 6-CH2), 3.88 (d, 1H, J = 6.8 Hz, 3-CH), 4.22 and 4.33 (2d, 2H, J = 8.6 Hz, 20-CH2), 4.56 (d, 1H, J = 3.6 Hz, 2′-CH), 4.62 and 4.93 (2d, 2H, J = 11.6 Hz, Troc), 4.80 (s, 2H, Troc), 4.95 (d, 1H, J = 9.6 Hz, 3′-CH), 4.96 (d, 1H, J = 9.2 Hz, 5-CH), 5.53 (dd, 1H, J = 10.6, 7.4 Hz, 5-CH), 5.69 (d, 1H, J = 7.2 Hz, 2-CH), 5.92 (d, 1H, J = 9.2 Hz, -CONH-), 6.20 (t, 1H, J = 8.0 Hz, 13-CH), 6.23 (s, 1H, 10-CH), 6.94 (t, 2H, J = 8.4 Hz, -PhF), 7.11 (m, 2H, 3′-Ph), 7.21 (m, 3H, 3′-Ph), 7.50 (t, 2H, J = 7.6 Hz, m-OBz), 7.62 (m, 2H, -PhF), 7.63 (t, 1H, J = 7.6 Hz, p-OBz), 8.10 (d, 2H, J = 8.0 Hz, o-OBz). 13C-NMR (CDCl3) δ 200.58, 171.21, 171.08, 170.66, 166.77, 166.16, 163.63, 153.22, 141.91, 136.30, 136.12, 133.90, 132.40, 130.12, 129.71, 129.62, 129.02, 128.71, 128.69, 128.47, 127.13, 126.89, 116.05, 115.82, 94.16, 83.58, 81.01, 79.10, 78.58, 74.62, 74.10, 72.11, 60.42, 59.57, 58.48, 56.29, 46.94, 43.02, 35.51, 33.28, 26.47, 22.45, 21.05, 20.67, 18.41, 14.94, 14.20, 10.72. Anal. calcd. for C50H50Cl6FNO18S: C, 49.36; H, 4.14; N, 1.15. Found: C, 49.58; H, 4.22; N, 1.16.
N-De-tert-butoxycarbonyl-N-(4-trifluoromethyl)-phenylsulfonyl 7,10-di(2,2,2-trichloroethyloxy carbonyl)-docetaxel (5g). Yield 56% (154 mg); mp 159–161 °C; 1H-NMR (CDCl3): δ 1.21 (s, 3H, 17-CH3), 1.27 (s, 3H, 16-CH3), 1.89 (s, 3H, 19-CH3), 1.90 (s, 3H, 18-CH3), 2.29 (m, 2H, 14-CH2), 2.36 (s, 3H, OAc), 2.09 and 2.64 (2m, 2H, 6-CH2), 3.88 (d, 1H, J = 6.8 Hz, 3-CH), 4.23 and 4.33 (2d, 2H, J = 8.6 Hz, 20-CH2), 4.58 (d, 1H, J = 2.4 Hz, 2′-CH), 4.62 and 4.93 (2d, 2H, J = 11.6 Hz, Troc), 4.80 (s, 2H, Troc), 4.96 (d, 1H, J = 9.6 Hz, 5-CH), 5.01 (dd, 1H, J = 9.2, 7.2 Hz, 3′-CH), 5.53 (dd, 1H, J = 10.6, 7.4 Hz, 7-CH), 5.69 (d, 1H, J = 7.2 Hz, 2-CH), 6.00 (d, 1H, J = 9.6 Hz, -CONH-), 6.22 (t, 1H, J = 8.2 Hz, 13-CH), 6.23 (s, 1H, 10-CH), 7.07 (m, 2H, 3′-Ph), 7.17 (m, 3H, 3′-Ph), 7.50 (d, 2H, J = 8.4 Hz, -PhCF3), 7.50 (t, 2H, J = 7.6 Hz, m-OBz), 7.64 (t, 1H, J = 7.6 Hz, p-OBz), 7.70 (d, 2H, J = 8.4 Hz, -PhCF3), 8.09 (d, 2H, J = 7.2 Hz, o-OBz). 13C-NMR (CDCl3) δ 200.54, 170.86, 170.76, 166.78, 153.24, 143.76, 141.74, 135.70, 133.93, 132.53, 130.11, 128.98, 128.72, 128.68, 128.54, 127.41, 127.17, 125.79, 94.15, 83.55, 81.10, 79.10, 78.54, 74.57, 74.03, 72.12, 59.60, 58.49, 56.33, 46.97, 43.02, 35.50, 33.30, 26.52, 22.46, 21.05, 20.56, 18.42, 15.00, 14.20, 10.71. Anal. calcd. for C51H50Cl6F3NO18S: C, 48.36; H, 3.98; N, 1.11. Found: C, 48.59; H, 4.11; N, 1.15.
N-De-tert-butoxycarbonyl-N-(4-chloro)-phenylsulfonyl 7,10-di(2,2,2-trichloroethyloxycarbonyl)-docetaxel (5h). Yield 67% (180 mg); mp 162–164 °C; 1H-NMR (CDCl3): δ 1.21 (s, 3H, 17-CH3), 1.27 (s, 3H, 16-CH3), 1.88 (s, 3H, 19-CH3), 1.90 (s, 3H, 18-CH3), 2.27 (m, 2H, 14-CH2), 2.35 (s, 3H, OAc), 2.08 and 2.64 (2m, 2H, 6-CH2), 3.88 (d, 1H, J = 6.8 Hz, 3-CH), 4.22 and 4.33 (2d, 2H, J = 8.8 Hz, 20-CH2), 4.57 (br s, 1H, 2′-CH), 4.62 and 4.93 (2d, 2H, J = 12.0 Hz, Troc), 4.80 (s, 2H, Troc), 4.96 (d, 1H, J = 9.6 Hz, 5-CH), 4.97 (d, 1H, J = 9.2 Hz, 3′-CH), 5.53 (dd, 1H, J = 10.4, 7.0 Hz, 2-CH), 5.69 (d, 1H, J = 7.2 Hz, 2-CH), 5.92 (d, 1H, J = 9.2 Hz, -CONH-), 6.19 (t, 1H, J = 8.8 Hz, 13-CH), 6.23 (s, 1H, 10-CH), 7.12 (m, 2H, -PhCl), 7.23 (m, 5H, 3′-Ph), 7.50 (t, 2H, J = 7.6 Hz, m-OBz), 7.53 (d, 2H, J = 8.8 Hz, -PhCl), 7.64 (t, 1H, J = 7.6 Hz, p-OBz), 8.09 (d, 2H, J = 7.6 Hz, o-OBz). 13C-NMR (CDCl3) δ 200.57, 171.01, 170.68, 166.77, 153.22, 141.85, 139.09, 138.78, 136.12, 133.92, 132.43, 130.12, 129.00, 128.72, 128.48, 128.36, 127.14, 94.17, 83.57, 81.03, 79.10, 78.57, 74.58, 74.07, 72.12, 60.42, 59.55, 56.30, 46.95, 43.02, 35.51, 33.29, 26.49, 22.46, 20.64, 14.95, 14.20, 10.72. Anal. calcd. for C50H50Cl7NO18S: C, 48.70; H, 4.09; N, 1.14. Found: C, 48.95; H, 4.11; N, 1.18.
N-De-tert-butoxycarbonyl-N-(4-bromo)-phenylsulfonyl 7,10-di(2,2,2-trichloroethyloxycarbonyl)-docetaxel (5i). Yield 57% (158 mg); mp 155–157 °C; 1H-NMR (CDCl3): δ 1.21 (s, 3H, 17-CH3), 1.27 (s, 3H, 16-CH3), 1.88 (s, 3H, 19-CH3), 1.91 (s, 3H, 18-CH3), 2.27 (m, 2H, 14-CH2), 2.35 (s, 3H, OAc), 2.08 and 2.63 (2m, 2H, 6-CH2), 3.88 (d, 1H, J = 7.2 Hz, 3-CH), 4.22 and 4.33 (2d, 2H, J = 8.6 Hz, 20-CH2), 4.60 (t, 1H, J = 3.6 Hz, 2′-CH), 4.62 and 4.93 (2d, 2H, J = 11.6 Hz, Troc), 4.80 (s, 2H, Troc), 4.96 (d, 1H, J = 9.6 Hz, 5-CH), 4.97 (d, 1H, J = 9.2 Hz, 3′-CH), 5.53 (dd, 1H, J = 10.8, 7.2 Hz, 7-CH), 5.69 (d, 1H, J = 7.2 Hz, 2-CH), 5.92 (d, 1H, J = 9.2 Hz, -CONH-), 6.20 (t, 1H, J = 8.8 Hz, 13-CH), 6.23 (s, 1H, 10-CH), 7.11 (m, 2H, 3′-Ph), 7.24 (m, 3H, 3′-Ph), 7.40 (m, 2H, -PhBr), 7.46 (m, 2H, -PhBr), 7.50 (t, 2H, J = 7.8 Hz, m-OBz), 7.64 (t, 1H, J = 7.6 Hz, p-OBz), 8.09 (d, 2H, J = 7.6 Hz, o-OBz). 13C-NMR (CDCl3) δ 200.57, 171.21, 171.02, 170.67, 166.77, 153.22, 141.85, 139.33, 136.12, 133.91, 132.43, 131.98, 130.12, 129.01, 128.72, 128.43, 127.55, 127.15, 126.96, 94.16, 83.57, 81.03, 79.10, 78.57, 74.57, 74.08, 72.11, 60.42, 59.57, 58.48, 56.30, 53.43, 46.95, 43.03, 35.52, 33.29, 26.51, 22.46, 21.05, 20.64, 18.42, 14.95, 14.20, 10.72. Anal. calcd. for C50H50BrCl6NO18S: C, 47.00; H, 3.94; N, 1.10. Found: C, 47.30; H, 4.03; N, 1.17.
N-De-tert-butoxycarbonyl-N-(2,4,6-trimethyl)-phenylsulfonyl 7,10-di(2,2,2-trichloroethyloxy carbonyl)-docetaxel (5j). Yield 68% (183 mg); mp 151–153 °C; 1H-NMR (CDCl3): δ 1.21 (s, 3H, 17-CH3), 1.26 (s, 3H, 16-CH3), 1.87 (s, 3H, 19-CH3), 1.92 (s, 3H, 18-CH3), 2.29 (m, 2H, 14-CH2), 2.23 (s, 3H, p-3″-CH3), 2.32 (s, 3H, OAc), 2.08 and 2.63 (2m, 2H, 6-CH2), 2.50 (s, 6H, o-3″-CH3), 3.88 (d, 1H, J = 6.8 Hz, 3-CH), 4.21 and 4.33 (2d, 2H, J = 8.6 Hz, 20-CH2), 4.54 (d, 1H, J = 3.6 Hz, 2′-CH), 4.62 and 4.93 (2d, 2H, J = 11.6 Hz, Troc), 4.75 (m, 1H, 3′-CH), 4.80 (s, 2H, Troc), 4.96 (d, 1H, J = 9.6 Hz, 5-CH), 5.53 (dd, 1H, J = 10.4, 7.2 Hz, 7-CH), 5.66 (d, 1H, J = 8.8 Hz, -CONH-), 5.70 (d, 1H, J = 6.8 Hz, 2-CH), 6.12 (t, 1H, J = 8.8 Hz, 13-CH), 6.23 (s, 1H, 10-CH), 6.78 (s, 2H, 3″-Ph), 7.10-7.22 (m, 5H, 3′-Ph), 7.53 (t, 2H, J = 7.8 Hz, m-OBz), 7.67 (t, 1H, J = 7.2 Hz, p-OBz), 8.10 (d, 2H, J = 7.2 Hz, o-OBz). 13C-NMR (CDCl3) δ 200.63, 171.51, 170.31, 166.77, 153.22, 153.18, 142.38, 142.09, 138.60, 136.74, 134.20, 133.90, 132.26, 131.83, 130.08, 129.05, 128.71, 128.54, 128.35, 126.94, 94.17, 83.61, 80.90, 79.11, 78.59, 74.34, 74.10, 72.24, 59.39, 58.48, 56.24, 46.86, 43.05, 35.26, 33.27, 31.92, 29.68, 26.43, 22.87, 22.48, 20.85, 18.42, 14.73, 10.71. Anal. calcd. for C53H57Cl6NO18S: C, 51.30; H, 4.63; N, 1.13. Found: C, 51.53; H, 4.65; N, 1.17.
3.2.6. General Procedure for the Synthesis of 3a–j
To a solution of 5a–j (0.19 mmol) in methanol (10 mL) were added glacial acetic acid (4.60 mL) and zinc powder (0.46 g, 7.08 mmol). After stirred at 50 °C for 1 h, the reaction mixture was filtered to remove the zinc and solid formed. The filtrate was evaporated by distillation to give a white solid. The obtained solid was then dissolved in ethyl acetate (60 mL), which was washed with saturated NaHCO3, brine, dried over Na2SO4, and concentrated in vacuo. The obtained residue was further purified by silica gel flash chromatography column (petroleum ether/acetone: 2/1) to give 3a–j.
N-De-tert-butoxycarbonyl-N-phenylsulfonyl docetaxel (3a). White powder; Yield 75% (121 mg); mp 174–175 °C; 1H-NMR (CDCl3): δ 1.09 (s, 3H, 17-CH3), 1.19 (s, 3H, 16-CH3), 1.73 (s, 3H, 19-CH3), 1.81 (s, 3H, 18-CH3), 2.15 (m, 2H, 14-CH2), 2.30 (s, 3H, OAc), 1.82 and 2.51 (2m, 2H, 6-CH2), 3.84 (d, 1H, J = 7.2 Hz, 3-CH), 4.20 and 4.26 (2d, 2H, J = 8.4 Hz, 20-CH2), 4.23 (m, 1H, 7-CH), 4.50 (d, 1H, J = 4.0 Hz, 2′-CH), 4.89 (d, 1H, J = 9.6 Hz, 5-CH), 4.89 (m, 1H, 3′-CH), 5.22 (s, 1H, 10-CH), 5.63 (d, 1H, J = 7.2 Hz, 2-CH), 6.14 (t, 1H, J = 8.8 Hz, 13-CH), 6.35 (d, 1H, J = 6.0 Hz, -CONH-), 7.09 (m, 2H, 3′-Ph), 7.14 (m, 3H, 3′-Ph), 7.24 (t, 2H, J = 8.0 Hz, m-PhSO2), 7.40 (t, 1H, J = 7.6 Hz, p-PhSO2), 7.46 (t, 2H, J = 7.6 Hz, m-OBz), 7.58 (t, 1H, J = 7.6 Hz, p-OBz), 7.59 (d, 2H, J = 7.6 Hz, o-PhSO2), 8.07 (d, 2H, J = 7.6 Hz, o-OBz); 13C-NMR (CD3COCD3) δ 210.54, 171.85, 170.02, 165.73, 141.70, 137.67, 137.40, 136.71, 133.15, 131.98, 130.50, 130.00, 128.56, 128.48, 128.03, 127.57, 127.54, 126.77, 84.16, 80.86, 77.87, 77.76, 75.97, 75.23, 74.92, 74.28, 71.52, 71.26, 60.51, 57.63, 54.08, 46.52, 46.52, 43.25, 36.68, 36.10, 26.27, 22.17, 20.62, 13.55, 9.52; HRMS (ESI) m/z calcd. for C44H49NO14SNa+ [M+Na+]: 870.2771, found 870.2802.
N-De-tert-butoxycarbonyl-N-phenylmethylsulfonyl docetaxel (3b). White powder; Yield 74% (121 mg); mp 168–170 °C; 1H-NMR (CDCOCD3): δ 1.14 (s, 3H, 17-CH3), 1.21 (s, 3H, 16-CH3), 1.74 (s, 3H, 19-CH3), 1.89 (s, 3H, 18-CH3), 2.17 (m, 2H, 14-CH2), 2.41 (s, 3H, OAc), 1.85 and 2.46 (2m, 2H, 6-CH2), 3.89 (s, 1H, 2′-OH), 3.92 (d, 1H, J = 7.2 Hz, 3-CH), 4.09 and 4.22 (2d, 2H, J = 14.0 Hz, CH2Ph), 4.16 and 4.19 (2d, 2H, J = 8.4 Hz, 20-CH2), 4.32 (m, 1H, 7-CH), 4.36 (br s, 1H, 10-OH), 4.64 (t, 1H, J = 5.2 Hz, 2′-CH), 4.97 (d, 1H, J = 9.2 Hz, 5-CH), 5.00 (d, 1H, J = 5.6 Hz, 3′-CH), 5.12 (m, 1H, -CONH-), 5.24 (d, 1H, J = 2.0 Hz,10-CH), 5.67 (d, 1H, J = 7.6 Hz, 2-CH), 6.22 (t, 1H, J = 8.8 Hz, 13-CH), 7.25-7.36 (m, 6H, 3′-Ph and 3″-Ph), 7.47 (t, 2H, J = 7.2 Hz, m-OBz), 7.55 (m, 4H, 3″-Ph), 7.66 (t, 1H, J = 7.2 Hz, p-OBz), 8.10 (d, 2H, J = 7.2 Hz, o-OBz); 13C-NMR (CD3COCD3) δ 210.54, 172.23, 170.07, 165.76, 138.92, 137.38, 136.73, 133.15, 130.94, 130.45, 130.05, 129.98, 128.55, 128.51, 128.19, 128.14, 128.00, 127.93, 84.18, 80.83, 77.83, 75.98, 75.20, 75.00, 74.28, 71.52, 71.16, 60.70, 59.68, 57.63, 54.09, 46.48, 43.24, 36.67, 35.98, 26.22, 22.29, 20.61, 18.00, 13.52, 9.52; HRMS (ESI) m/z calcd. for C45H51NO14SNa+ [M+Na+]: 884.2928, found 884.2944.
N-De-tert-butoxycarbonyl-N-(4-methyl)-phenylsulfonyl docetaxel (3c). White powder; Yield 80% (131 mg); mp 172–174 °C; 1H-NMR (CDCl3): δ 1.10 (s, 3H, 17-CH3), 1.19 (s, 3H, 16-CH3), 1.73 (s, 3H, 19-CH3), 1.78 (s, 3H, 18-CH3), 2.14 (m, 2H, 14-CH2), 2.30 (s, 3H, OAc), 2.30 (s, 3H, CH3 in 4-methylphenyl), 1.83 and 2.52 (2m, 2H, 6-CH2), 3.84 (d, 1H, J = 6.8 Hz, 3-CH), 4.20 and 4.27 (2d, 2H, J = 8.4 Hz, 20-CH2), 4.21 (m, 1H, 7-CH), 4.50 (d, 1H, J = 3.6 Hz, 2′-CH), 4.89 (d, 1H, J = 9.2 Hz, 5-CH), 4.89 (m, 1H, 3′-CH), 5.20 (s, 1H, 10-CH), 5.63 (d, 1H, J = 7.6 Hz, 2-CH), 6.12 (m, 1H,-CONH-), 6.13 (t, 1H, J = 9.2 Hz, 13-CH), 7.04 (d, 2H, J = 8.0 Hz, m-PhSO2), 7.11 (m, 2H, 3′-Ph), 7.16 (m, 3H, 3′-Ph), 7.47 (t, 2H, J = 8.0 Hz, m-OBz), 7.49 (d, 2H, J = 8.4 Hz, o-PhSO2), 7.59 (t, 1H, J = 7.6 Hz, p-OBz), 8.07 (d, 2H, J = 7.6 Hz, o-OBz); 13C-NMR (CD3COCD3) δ 210.55, 171.86, 170.05, 165.75, 142.66, 138.85, 137.93, 137.44, 136.66, 133.17, 130.48, 130.00, 129.08, 128.92, 128.50, 128.20, 128.03, 127.79, 127.59, 127.43, 126.92, 126.84, 84.17, 80.86, 77.88, 77.77, 75.98, 75.23, 74.92, 74.29, 71.53, 71.26, 60.44, 57.64, 46.52, 43.24, 36.67, 36.09, 26.25, 22.16, 20.61, 20.47, 17.99, 13.55, 9.53; HRMS (ESI) m/z calcd. for C45H51NO14SNa+ [M+Na+]: 884.2928, found 884.2942.
N-De-tert-butoxycarbonyl-N-(4-methoxyl)-phenylsulfonyl docetaxel (3d). White powder; Yield 73% (122 mg); mp 172–174 °C; 1H-NMR (CDCOCD3): δ 1.16 (s, 3H, 17-CH3), 1.23 (s, 3H, 16-CH3), 1.74 (s, 3H, 19-CH3), 1.89 (s, 3H, 18-CH3), 2.25 (m, 2H, 14-CH2), 2.40 (s, 3H, OAc), 1.86 and 2.45 (2m, 2H, 6-CH2), 3.82 (s, 3H, OCH3), 3.93 (d, 1H, J = 6.8 Hz, 3-CH), 3.93 (s, 1H, 2′-OH), 4.16 and 4.22 (2d, 2H, J = 8.2 Hz, 20-CH2), 4.31 (m, 1H, 7-CH), 4.37 (br s, 1H, 10-OH), 4.56 (d, 1H, J = 4.0 Hz, 2′-CH), 4.91 (m, 1H, 3′-CH), 4.87 (m, 1H, -CONH-), 4.97 (d, 1H, J = 9.2 Hz, 5-CH), 5.24 (s, 1H, 10-CH), 5.69 (d, 1H, J = 6.8 Hz, 2-CH), 6.17 (t, 1H, J = 9.0 Hz, 13-CH), 6.85 (d, 2H, J = 8.8 Hz, o-PhOCH3), 7.16 (t, 1H, J = 7.2 Hz, 3′-Ph), 7.22 (t, 2H, J = 7.2 Hz, 3′-Ph), 7.28 (d, 1H, J = 7.2 Hz, 3′-Ph), 7.57 (t, 2H, J = 7.2 Hz, m-OBz), 7.60 (d, 2H, J = 8.8 Hz, m-PhOCH3), 7.67 (t, 1H, J = 7.2 Hz, p-OBz), 8.13 (d, 2H, J = 7.6 Hz, o-OBz); 13C-NMR (CD3COCD3) δ 210.55, 171.88, 170.04, 165.75, 162.51, 137.88, 137.42, 136.69, 133.36, 133.16, 130.49, 130.01, 128.92, 128.50, 128.04, 127.61, 127.47, 113.69, 84.17, 80.85, 77.88, 75.97, 75.23, 74.95, 74.28, 71.53, 71.26, 60.44, 57.63, 55.12, 46.52, 43.24, 36.68, 36.11, 26.24, 22.17, 20.62, 13.57, 9.52; HRMS (ESI) m/z calcd. for C45H51NO15SNa+ [M+Na+]: 900.2877, found 900.2889.
N-De-tert-butoxycarbonyl-N-(4-isopropyl)-phenylsulfonyl docetaxel (3e). White powder; Yield 77% (130 mg); mp 171–173 °C; 1H-NMR (CDCOCD3): δ 1.17 (s, 3H, 17-CH3), 1.20 (s, 3H, 16-CH3), 1.22 (s, 3H, CH3 in i-Pr), 1.25 (s, 3H, CH3 in i-Pr), 1.75 (s, 3H, 19-CH3), 1.91 (s, 3H, 18-CH3), 2.29 (m, 2H, 14-CH2), 2.43 (s, 3H, OAc), 1.86 and 2.47 (2m, 2H, 6-CH2), 2.90 (m, 1H, CH in i-Pr), 3.95 (d, 1H, J = 7.2 Hz, 3-CH), 3.96 (s, 1H, 2′-OH), 4.17 and 4.24 (2d, 2H, J = 8.2 Hz, 20-CH2), 4.32 (m, 1H, 7-CH), 4.38 (br s, 1H, 10-OH), 4.57 (d, 1H, J = 4.8 Hz, 2′-CH), 4.93 (d, 1H, J = 4.4 Hz, 3′-CH), 4.98 (d, 1H, J = 9.2 Hz, 5-CH), 5.25 (s, 1H, 10-CH), 5.69 (d, 1H, J = 7.6 Hz, 2-CH), 6.25 (t, 1H, J = 9.0 Hz, 13-CH), 7.17 (m, 8H, 3′-Ph and i-PrPh), 7.55 (d, 2H, J = 8.0 Hz, i-PrPh), 7.56 (t, 2H, J = 7.6 Hz, m-OBz), 7.66 (t, 1H, J = 7.2 Hz, p-OBz), 8.14 (d, 2H, J = 7.2 Hz, o-OBz); 13C-NMR (CD3COCD3) δ 210.56, 171.93, 170.08, 165.79, 153.27, 138.97, 137.49, 137.40, 136.69, 133.15, 130.50, 130.03, 128.49, 128.21, 127.96, 127.76, 127.64, 127.45, 127.06, 127.00, 126.51, 126.39, 84.19, 80.87, 77.91, 77.80, 75.99, 75.27, 74.91, 74.29, 71.52, 71.30, 60.48, 57.64, 46.51, 43.27, 36.67, 36.13, 33.84, 26.30, 23.13, 23.05, 22.21, 20.68, 17.99, 15.37, 13.58, 9.56; HRMS (ESI) m/z calcd. for C47H55NO14SNa+ [M+Na+]: 912.3241, found 912.3239.
N-De-tert-butoxycarbonyl-N-(4-fluoro)-phenylsulfonyl docetaxel (3f). White powder; Yield 53% (87 mg); mp 173–175 °C; 1H-NMR (CDCOCD3): δ 1.16 (s, 3H, 17-CH3), 1.23 (s, 3H, 16-CH3), 1.74 (s, 3H, 19-CH3), 1.90 (s, 3H, 18-CH3), 2.24 (m, 2H, 14-CH2), 2.41 (s, 3H, OAc), 1.85 and 2.46 (2m, 2H, 6-CH2), 3.93 (d, 1H, J = 7.2 Hz, 3-CH), 3.93 (s, 1H, 2′-OH), 4.16 and 4.22 (2d, 2H, J = 8.0 Hz, 20-CH2), 4.31 (m, 1H, 7-CH), 4.37 (br s, 1H, 10-OH), 4.57 (d, 1H, J = 4.8 Hz, 2′-CH), 4.95 (d, 1H, J = 4.8 Hz, 3′-CH), 4.97 (d, 1H, J = 9.0 Hz, 5-CH), 5.24 (s, 1H, 10-CH), 5.69 (d, 1H, J = 7.6 Hz, 2-CH), 6.19 (t, 1H, J = 8.8 Hz, 13-CH), 7.09 (t, 2H, J = 7.2 Hz, 3′-Ph), 7.18 (d, 1H, J = 7.2 Hz, 3′-Ph), 7.21 (d, 2H, J = 6.8 Hz, -PhF), 7.27 (d, 2H, J = 6.8 Hz, 3′-Ph), 7.57 (t, 2H, J = 8.0 Hz, m-OBz), 7.67 (t, 1H, J = 7.6 Hz, p-OBz), 7.71 (dd, 2H, J = 8.8, 5.2 Hz, -PhF), 8.12 (d, 2H, J = 8.0 Hz, o-OBz); 13C-NMR (CD3COCD3) δ 210.53, 171.84, 170.05, 165.74, 165.71, 163.21, 138.03, 138.00, 137.45, 137.37, 136.74, 133.17, 130.48, 130.00, 129.79, 129.70, 128.49, 128.07, 127.68, 127.60, 115.59, 115.36, 84.17, 80.86, 77.87, 75.97, 75.23, 74.90, 74.27, 71.52, 71.23, 60.64, 57.63, 46.51, 43.25, 36.67, 36.12, 26.23, 22.18, 20.63, 13.56, 9.53; HRMS (ESI) m/z calcd. for C44H48FNO14SNa+ [M+Na+]: 888.2677, found 888.2700.
N-De-tert-butoxycarbonyl-N-(4-trifluoromethyl)-phenylsulfonyl docetaxel (3g). White powder; Yield 57% (99 mg); mp 168–170 °C; 1H-NMR (CDCOCD3): δ 1.16 (s, 3H, 17-CH3), 1.23 (s, 3H, 16-CH3), 1.74 (s, 3H, 19-CH3), 1.91 (s, 3H, 18-CH3), 2.24 (m, 2H, 14-CH2), 2.42 (s, 3H, OAc), 1.86 and 2.47 (2m, 2H, 6-CH2), 3.93 (s, 1H, 2′-OH), 3.93 (d, 1H, J = 6.0 Hz, 3-CH), 4.16 and 4.23 (2d, 2H, J = 8.0 Hz, 20-CH2), 4.32 (m, 1H, 7-CH), 4.37 (br s, 1H, 10-OH), 4.59 (d, 1H, J = 4.8 Hz, 2′-CH), 4.97 (d, 1H, J = 8.8 Hz, 5-CH), 4.98 (d, 1H, J = 4.4 Hz, 3′-CH), 5.24 (s, 1H, 10-CH), 5.69 (d, 1H, J = 6.8 Hz, 2-CH), 6.23 (t, 1H, J = 9.0 Hz, 13-CH), 7.16 (m, 3H, 3′-Ph), 7.24 (d, 1H, J = 6.8 Hz, 3′-Ph), 7.56 (t, 2H, J = 7.6 Hz, m-OBz), 7.66 (t, 1H, J = 7.6 Hz, p-OBz), 7.66 (d, 2H, J = 8.0 Hz, -PhCF3), 7.84 (d, 2H, J = 8.0 Hz, -PhCF3), 8.12 (d, 2H, J = 8.0 Hz, o-OBz); 13C-NMR (CD3COCD3) δ 210.51, 171.79, 170.06, 165.75, 145.38, 137.35, 137.03, 136.77, 133.16, 132.87, 132.55, 130.48, 130.00, 128.48, 128.06, 127.75, 127.66, 125.67, 125.63, 125.00, 122.30, 84.17, 80.87, 77.87, 75.97, 75.24, 74.82, 74.27, 71.52, 71.23, 60.81, 57.63, 46.51, 43.25, 36.66, 36.13, 26.24, 22.20, 20.65, 13.55, 9.53; HRMS (ESI) m/z calcd. for C45H48F3NO14SNa+ [M+Na+]: 938.2645, found 938.2651.
N-De-tert-butoxycarbonyl-N-(4-chloro)-phenylsulfonyl docetaxel (3h). White powder; Yield 65% (109 mg); mp 178–180 °C; 1H-NMR (CDCOCD3): δ 1.16 (s, 3H, 17-CH3), 1.23 (s, 3H, 16-CH3), 1.74 (s, 3H, 19-CH3), 1.90 (s, 3H, 18-CH3), 2.24 (m, 2H, 14-CH2), 2.41 (s, 3H, OAc), 1.86 and 2.47 (2m, 2H, 6-CH2), 3.93 (d, 1H, J = 6.0 Hz, 3-CH), 3.93 (s, 1H, 2′-OH), 4.16 and 4.22 (2d, 2H, J = 8.0 Hz, 20-CH2), 4.32 (m, 1H, 7-CH), 4.38 (br s, 1H, 10-OH), 4.58 (d, 1H, J = 4.8 Hz, 2′-CH), 4.95 (d, 1H, J = 4.8 Hz, 3′-CH), 4.97 (d, 1H, J = 10.2 Hz, 5-CH), 5.25 (s, 1H, 10-CH), 5.69 (d, 1H, J = 7.2 Hz, 2-CH), 6.20 (t, 1H, J = 9.0 Hz, 13-CH), 7.21 (m, 3H, 3′-Ph), 7.28 (d, 1H, J = 6.8 Hz, 3′-Ph), 7.36 (d, 2H, J = 8.4 Hz, -PhCl), 7.57 (t, 2H, J = 7.6 Hz, m-OBz), 7.65 (d, 2H, J = 8.8 Hz, -PhCl), 7.67 (t, 1H, J = 7.2 Hz, p-OBz), 8.12 (d, 2H, J = 7.2 Hz, o-OBz); 13C-NMR (CD3COCD3) δ 210.53, 171.83, 170.07, 165.76, 140.49, 137.60, 137.44, 137.39, 136.74, 133.19, 130.47, 130.00, 128.67, 128.62, 128.50, 128.09, 127.70, 127.60, 84.18, 80.86, 77.88, 75.98, 75.24, 74.86, 74.28, 71.53, 71.25, 60.67, 57.64, 46.51, 43.26, 36.66, 36.12, 26.27, 22.20, 20.65, 13.57, 9.55; HRMS (ESI) m/z calcd. for C44H48ClNO14SNa+ [M+Na+]: 904.2382, found 904.2359.
N-De-tert-butoxycarbonyl-N-(4-bromo)-phenylsulfonyl docetaxel (3i). White powder; Yield 61% (107 mg); mp 179–181 °C; 1H-NMR (CDCOCD3): δ 1.16 (s, 3H, 17-CH3), 1.24 (s, 3H, 16-CH3), 1.74 (s, 3H, 19-CH3), 1.90 (s, 3H, 18-CH3), 2.24 (m, 2H, 14-CH2), 2.41 (s, 3H, OAc), 1.86 and 2.46 (2m, 2H, 6-CH2), 3.93 (s, 1H, 2′-OH), 3.93 (d, 1H, J = 6.0 Hz, 3-CH), 4.16 and 4.22 (2d, 2H, J = 8.0 Hz, 20-CH2), 4.32 (m, 1H, 7-CH), 4.37 (br s, 1H, 10-OH), 4.58 (t, 1H, J = 5.0 Hz, 2′-CH), 4.95 (d, 1H, J = 5.2 Hz, 3′-CH), 4.95 (m, 1H, -CONH-), 4.97 (d, 1H, J = 7.6 Hz, 5-CH), 5.24 (d, 1H, J = 2.0 Hz,10-CH), 5.69 (d, 1H, J = 7.2 Hz, 2-CH), 6.20 (t, 1H, J = 9.0 Hz, 13-CH), 7.22 (m, 3H, 3′-Ph), 7.28 (d, 1H, J = 6.8 Hz, 3′-Ph), 7.53 (t, 2H, J = 7.6 Hz, m-OBz), 7.58 (d, 4H, J = 8.4 Hz, -PhBr), 7.67 (t, 1H, J = 7.2 Hz, p-OBz), 8.12 (d, 2H, J = 7.2 Hz, o-OBz); 13C-NMR (CD3COCD3) δ 210.52, 171.81, 170.04, 165.74, 140.96, 137.43, 137.34, 136.76, 133.17, 131.68, 130.48, 130.00, 128.71, 128.49, 128.10, 127.71, 127.58, 126.11, 84.16, 80.86, 77.87, 75.97, 75.23, 74.86, 74.27, 71.52, 71.24, 60.67, 57.64, 46.51, 43.26, 36.68, 36.13, 26.28, 22.19, 20.63, 13.55, 9.53; HRMS (ESI) m/z calcd. for C44H48BrNO14SNa+ [M+Na+]: 948.1877, found 948.1870.
N-De-tert-butoxycarbonyl-N-(2,4,6-trimethyl)-phenylsulfonyl docetaxel (3j). White powder; Yield 65% (110 mg); mp 165–167 °C; 1H-NMR (CDCOCD3): δ 1.13 (s, 3H, 17-CH3), 1.21 (s, 3H, 16-CH3), 1.73 (s, 3H, 19-CH3), 1.87 (s, 3H, 18-CH3), 2.16 (m, 2H, 14-CH2), 2.20 (s, 3H, p-3″-CH3), 2.36 (s, 3H, OAc), 1.84 and 2.45 (2m, 2H, 6-CH2), 2.55 (s, 6H, o-3″-CH3), 3.83 (s, 1H, 2′-OH), 3.90 (d, 1H, J = 7.2 Hz, 3-CH), 4.16 and 4.19 (2d, 2H, J = 8.0 Hz, 20-CH2), 4.30 (m, 1H, 7-CH), 4.35 (br s, 1H, 10-OH), 4.53 (t, 1H, J = 4.0 Hz, 2′-CH), 4.75 (d, 2H, J = 4.8 Hz, -CONH-), 4.96 (d, 1H, J = 9.6 Hz, 5-CH), 5.00 (m, 1H, 3′-CH), 5.23 (d, 1H, J = 2.0 Hz,10-CH), 5.68 (d, 1H, J = 7.2 Hz, 2-CH), 6.09 (t, 1H, J = 8.4 Hz, 13-CH), 6.85 (s, 2H, 3″-Ph), 7.17-7.28 (m, 5H, 3′-Ph), 7.61 (t, 2H, J = 8.0 Hz, m-OBz), 7.71 (t, 1H, J = 7.4 Hz, p-OBz), 8.11 (d, 2H, J = 7.6 Hz, o-OBz); 13C-NMR (CD3COCD3) δ 210.52, 171.94, 169.86, 165.72, 141.79, 138.47, 137.86, 137.33, 136.77, 135.17, 133.22, 131.57, 130.46, 129.91, 128.52, 127.97, 127.61, 127.36, 84.13, 80.86, 77.77, 77.67, 75.93, 75.13, 74.77, 74.29, 71.52, 71.32, 60.19, 57.63, 46.50, 43.24, 36.67, 35.82, 26.21, 22.36, 22.21, 20.49, 19.91, 13.46, 9.47. HRMS (ESI) m/z calcd. for C47H55NO14SNa+ [M+Na+]: 912.3241, found 912.3264.
3.3. Biological Assays: Anti-HBV Tests
Drug stock solutions were prepared in DMSO and stored at −70 °C. Upon dilution into culture medium, the final DMSO concentration was <1% DMSO (v/v), a concentration without effect on cell replication. Cell culture and other procedures were the same as those reported previously [15]. A HepG2-derived human hepatablastoma cell line, 2.2.15, was used in this study, which was transfected with cloned HBV DNA to produce HBV particles. All stock cultures were grown in T-25 flasks containing the DMEM supplemented with 10% (v/v) fetal bovine serum, 0.03% (v/v) L-glutamine, 100 mg/mL penicillin, 100 mg/mL streptomycin, and 380 mg/mL G418 at 37 °C in a humidified atmosphere containing 5% CO2. After the HepG2 2.2.15 cell suspensions seeded in 24-well microtiter plates were cultured for 48 h, they were incubated at 37 °C for 9 d in the presence of various concentrations of drugs (200, 100, 50, 25, 12.5 and 6.25 mg/mL respectively) from DMSO-diluted stock, and the medium was refreshed every 3 d. Then the culture supernatants were harvested to detect the HBsAg and HBeAg secretion using diagnostic ELISA kits (Shanghai SIIC KEHUA Biotech Co., Ltd., Shanghai, China) as described in triplicate, and the standard error of the mean (SEM) of inhibition values varied no more than 5%. Cell damage was assessed using the MTT assay.
4. Conclusions
In conclusion, we have provided a convenient route for the synthesis in high yields of 3′-N-phenylsulfonyl docetaxel analogs from the key intermediate N-phenylsulfonyl oxazolidine. Among them, compounds 3e, 3g and 3j showed more potent inhibitory activity against HBeAg secretion than the positive control lamivudine.
Supplementary Materials
Supplementary materials can be accessed at: http://www.mdpi.com/1420-3049/18/9/10189/s1.
Acknowledgments
Financial support by the National Natural Science Foundation of China (No: 81172920, 21242003), the Shanghai Municipal Committee of Science and Technology (No: 10431903100), and the National Basic Research Program of China (973 Program, No: 2010CB912603) are acknowledged. We would like to thank Pei Zhou for the biological assays.
Conflicts of Interest
The authors declare no conflict of interest.
References
- Ganem, D.; Prince, A.M. Hepatitis B virus infection—natural history and clinical consequences. N. Engl. J. Med. 2004, 350, 1118–1129. [Google Scholar] [CrossRef]
- Stein, L.L.; Loomba, R. Drug targets in hepatitis B virus infection. Infect. Disord. Drug Targets 2009, 9, 105–116. [Google Scholar] [CrossRef]
- Hassan, H.H.A.M. Current chemical approaches directed toward new and effective therapeutic agents against chronic hepatitis infections. Curr. Org. Chem. 2009, 13, 379–406. [Google Scholar] [CrossRef]
- Ferir, G.; Kaptein, S.; Neyts, J.; De Clercq, E. Antiviral treatment of chronic hepatitis B virus infections: the past, the present and the future. Rev. Med. Virol. 2008, 18, 19–34. [Google Scholar] [CrossRef]
- Ghany, M.; Liang, T.J. Drug targets and molecular mechanisms of drug resistance in chronic hepatitis B. Gastroenterology 2007, 132, 1574–1585. [Google Scholar] [CrossRef]
- Shaw, T.; Bartholomeusz, A.; Locarnini, S. HBV drug resistance: mechanisms, detection and interpretation. J. Hepatol. 2006, 44, 593–606. [Google Scholar] [CrossRef]
- Clercq, D.E. Emerging antiviral drugs. Expert Opin. Emerg. Drugs 2008, 13, 393–416. [Google Scholar] [CrossRef]
- Schiff, P.B.; Fant, J.; Horwitz, S.B. Promotion of microtubule assembly in vitro by taxol. Nature 1979, 277, 665–667. [Google Scholar] [CrossRef]
- Lu, H.F.; Sun, X.; Xu, L.; Lou, L.G.; Lin, G.Q. Design, synthesis and biological evaluation of novel fluorinated docetaxel analogues. Eur. J. Med. Chem. 2009, 44, 482–491. [Google Scholar] [CrossRef]
- Lu, H.F.; Xie, C.; Chang, J.; Lin, G.Q.; Sun, X. Synthesis, cytotoxicity, metabolic stability and pharmacokinetic evaluation of fluorinated docetaxel analogues. Eur. J. Med. Chem. 2011, 46, 1743–1748. [Google Scholar] [CrossRef]
- Cassidy, P.B.; Moos, P.J.; Kelly, R.C.; Fitzpatrick, F.A. Cyclooxygenase-2 induction by paclitaxel, docetaxel, and taxane analogues in human monocytes and murine macrophages: structure-activity relationships and their implications. Clin. Cancer Res. 2002, 8, 846–855. [Google Scholar]
- Ke, B.; Qin, Y.; Zhao, F.; Qu, Y. Synthesis and biological evaluation of novel 3'-N-tert-butylsulfonyl analogues of docetaxel. Bioorg. Med. Chem. Lett. 2008, 18, 4783–4785. [Google Scholar] [CrossRef]
- Supuran, C.T.; Innocenti, A.; Mastrolorenzo, A.; Scozzafava, A. Antiviral sulfonamide derivatives. Mini Rev. Med. Chem. 2004, 4, 189–200. [Google Scholar] [CrossRef]
- Scozzafava, A.; Owa, T.; Mastrolorenzo, A.; Supuran, C.T. Anticancer and antiviral sulfonamides. Curr. Med. Chem. 2003, 10, 925–953. [Google Scholar] [CrossRef]
- Wu, T.; Huang, H.; Zhou, P. The inhibitory effects of Enduracidin on Hepatitis B virus in vitro. Viro. Sin. 1998, 13, 45–49. [Google Scholar]
- Sample Availability: Samples of the compounds are available from the authors.
© 2013 by the authors; licensee MDPI, Basel, Switzerland. This article is an open access article distributed under the terms and conditions of the Creative Commons Attribution license (http://creativecommons.org/licenses/by/3.0/).