Abstract
We report herein an original and rapid synthesis of 2,3-diaryl N-tosylaziridines by TDAE strategy starting from ortho- or para-nitro(dichloromethyl)benzene derivatives and N-tosylimines. A mixture of cis/trans isomers was isolated from 1-(dichloromethyl)-4-nitrobenzene, whereas only trans-aziridines were obtained from ortho-nitro derivatives.
1. Introduction
Aziridines are found in a number of natural products exhibiting various biological properties, such as antitumor and antibiotic activities [1]. They are known to be valuable building blocks since they can undergo ring-opening reactions leading to a variety of amine products [2,3,4,5]. Therefore, the preparation of aziridines has received increasing attention in recent years. Various synthetic methods have been developed to prepare aziridines such as nitrene transfer to olefins [6,7,8,9,10,11], carbene addition to imines [12,13], aza-Darzens reaction [14], and ylide addition to imines [15,16].
Tetrakis(dimethylamino)ethylene (TDAE) is an organic reducing agent, which reacts with halogenated derivatives to generate a carbanion under mild conditions [17,18,19]. Since 2003, we have introduced a new program directed toward the development of original synthetic methods using TDAE methodology in medicinal chemistry [20,21,22,23,24,25,26,27].
In particular, we have shown that, from o- and p-nitrobenzyl chlorides, TDAE can generate a nitrobenzyl carbanion able to react with various electrophiles such as aromatic aldehydes, α-ketoester, ketomalonate, α-ketolactam, and sulfonimine derivatives [28,29,30,31].
Recently, we reported the reaction of 2-(dibromomethyl)quinoxaline and 2-(dibromomethyl)-1,4-dimethoxy-9,10-anthraquinone with aromatic aldehydes in the presence of TDAE, providing a mixture of cis/trans isomers of corresponding epoxides [32,33].
In order to extend this reactivity to the synthesis of aziridines, we explored the reaction of gem-dihalogenated derivatives with imines in the presence of TDAE. We chose the sulfonylaldimines for their ability to react, shown in fluorine chemistry [34] and, more recently, in anthraquinonic series [31] in the presence of TDAE. As part of our research program for new bioactive compounds [35,36,37,38], we report herein an original and efficient synthesis of 2,3-diaryl N-tosylaziridines using readily available N-tosylimines and nitro(dichloromethyl)benzene derivatives by the TDAE strategy.
2. Results and Discussion
The required starting materials 1–3 were prepared in good yields (76–87%) by chlorination of the corresponding aromatic benzaldehydes using SOCl2 in DMF at 80 °C for 2 h (Scheme 1). Arylsubstituted N-tosylimines 4a–g were prepared by condensation of various benzaldehydes and p-toluenesulfonamide in the presence of AlCl3 in a solvent-free procedure described by Sharghi [39].
Scheme 1.
Synthesis of nitro(dichloromethyl)benzene derivatives 1–3.
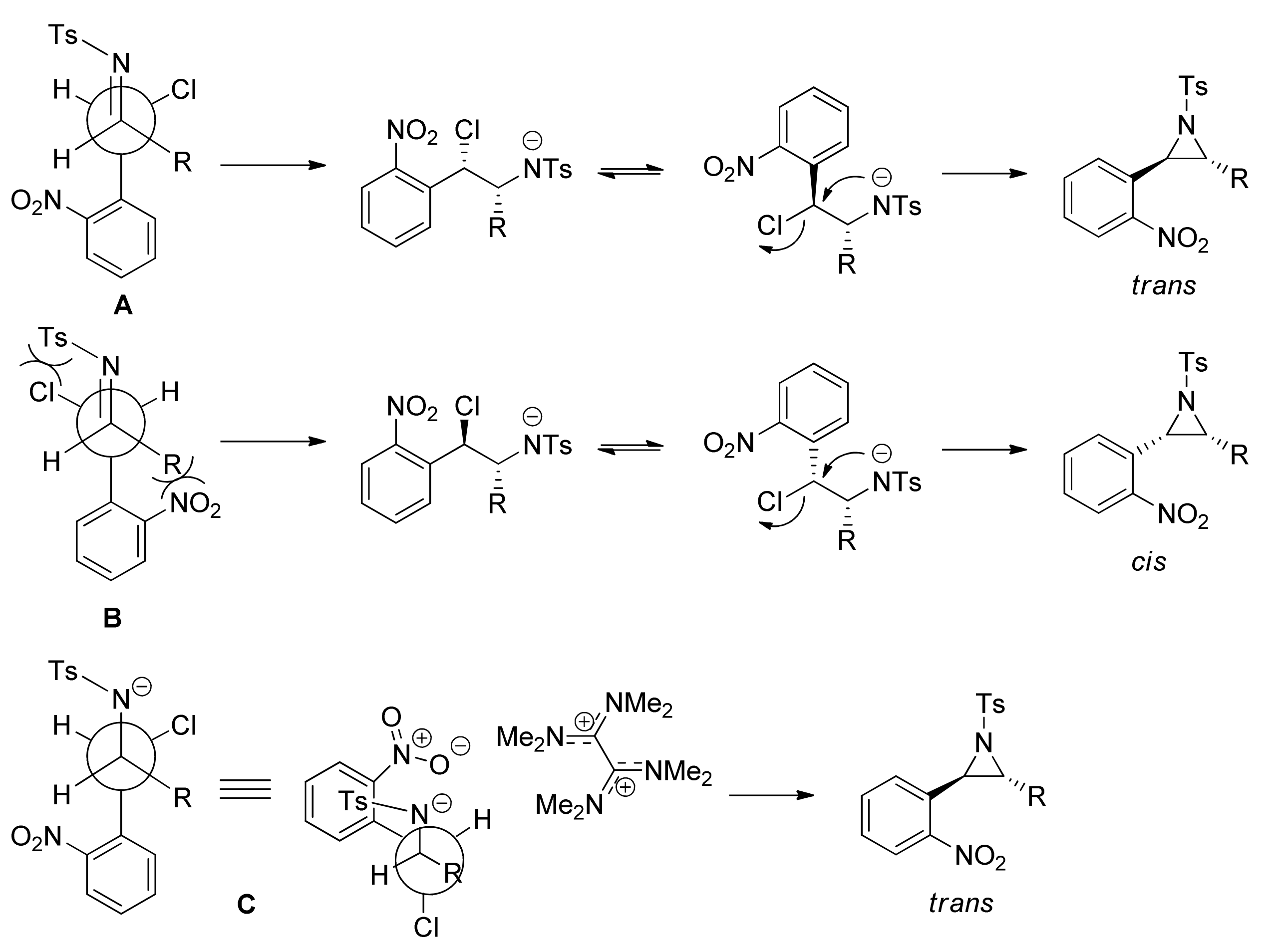
The reaction of 1-(dichloromethyl)-4-nitrobenzene 1 with two equiv. of aromatic N-tosylimines 4a–g in the presence of TDAE at −20 °C for 1 h, followed by 2 h at rt, led to a mixture of cis/trans isomers of the corresponding aziridines 5a–g in good yields (70–81%) as shown in Scheme 2 and reported in Table 1. Both electron-withdrawing and electron-donating substituents on the phenyl ring of the N-tosylimines were suitable for this reaction. 1H-NMR spectral studies identified the aziridines 5a–g as trans or cis isomers by their coupling constant. Two distinct doublets appeared in 3.39–4.60 ppm region with J = 4.3–4.7 Hz or J = 7.3–9.4 Hz, each of the signals corresponding to one proton. The low coupling constant here is consistent with a trans-isomer as reported in the literature [40], higher values being indicative of the cis-isomer of aziridine [41].
Scheme 2.
TDAE-promoted reactivity of 1-(dichloromethyl)-4-nitrobenzene (1) and aromatic N-tosylimines 4a–g.
Table 1.
Reaction of 1-(dichloromethyl)-4-nitrobenzene (1) with aromatic N-tosylimines 4a–g using TDAE strategy. a
The formation of these aziridines 5a–g may be explained by nucleophilic addition of α-chlorocarbanion, formed by TDAE acting with 1-(dichloromethyl)-4-nitrobenzene (1), on the C=N double-bond of N-tosylimines 4a–g followed by an intramolecular nucleophilic substitution. The greater stabilization of the cis isomer is explained by steric hindrance [15]: the largest group on the three-membered ring is the tosyl group and this will preferentially be anti to the other substituents to minimize 1,2-steric interactions, which forces the two remaining groups to be cis to each other.
The reaction of 1-(dichloromethyl)-2-nitrobenzene (2) and 1-(dichloromethyl)-4,5-dimethoxy-2-nitrobenzene (3) with two equiv. of various N-tosylimines 4a–g in the presence of TDAE at –20 °C for 1 h followed by 2 h at rt led only to the corresponding trans-aziridines 6a–g and 7a–g in good yields (61–80%) as shown in Table 2 (Scheme 3). This total trans diastereoselectivy can be explained by analysing the relevant transition states (Scheme 4). The very high steric hindrance of the ortho-nitro subtituent of 2 and 3 with aromatic ring of sulfonimines has a significant effect. Clearly, transition state A is less sterically hindered than transition state B, which explains the preferential formation of the trans aziridines. To explain this total trans diastereoselectivity, a different coordination transition state could also be envisaged. In this hypothesis, the bis cation deriving from TDAE [42] coordinates both the TsN− anion and NO2 group, thus stabilizing a transition state where TsN− anion and NO2 group are on the same side like transition state C and increasing the formation of the trans aziridine that must be considered the cinetic compound.
Table 2.
Reaction of 1-(dichloromethyl)-2-nitrobenzene derivatives 2–3 with aromatic N-tosylimines 4a–g using TDAE strategy. a
Scheme 3.
TDAE-promoted reactivity 1-(dichloromethyl)-2-nitrobenzene derivatives 2–3 and aromatic N-tosylimines 4a–g.
Scheme 4.
Diastereoselectivity of the aziridine formation.
3. Experimental
3.1. General
Melting points were determined on a Büchi melting point B-540 apparatus and are uncorrected. Element analyses were performed on a Thermo Finnigan EA1112 at the spectropole of the Aix-Marseille University. Both 1H- and 13C-NMR spectra were determined on a Bruker AC 200 spectrometer. The 1H- and the 13C- chemical shifts are reported from CDCl3 peaks: 1H (7.26 ppm) and 13C (76.9 ppm). Multiplicities are represented by the following notations: s, singlet; d, doublet; t, triplet; q, quartet; m, a more complex multiplet or overlapping multiplets. The following adsorbents were used for column chromatography: silica gel 60 (Merck, particle size 0.063–0.200 mm, 70–230 mesh ASTM). TLC was performed on 5 cm × 10 cm aluminium plates coated with silica gel 60 F254 (Merck) in an appropriate solvent.
3.2. General Procedure for the Preparation of 1–3
Benzaldehyde derivative (13 mmol) was dissolved in thionyl chloride (10 mL), and then to the mixture was added 1 mL of DMF. The reaction mixture was stirred for 2 h at 80 °C. Then, the solvent was removed under vacuum. The residue was dissolved in dichloromethane (100 mL), washed with H2O (3 × 100 mL) and dried over MgSO4. After evaporation, the crude product was purified by silica gel chromatography with dichloromethane: petroleum ether (1:1) to give the corresponding dichlorobenzene derivatives 1–3. Analyses for compounds 1 and 2 are in agreement with those reported in the literature [43,44].
1-(Dichloromethyl)-4,5-dimethoxy-2-nitrobenzene (3). 76% yield; white solid; mp 110 °C; 1H-NMR (200 MHz, CDCl3) δH 3.98 (s, 3H), 4.05 (s, 3H), 7.54 (s, 1H), 7.56 (s, 1H), 7.73 (s, 1H); 13C-NMR (50 MHz, CDCl3) δC 56.6, 56.7, 66.4, 107.2, 110.8, 129.4, 149.8, 153.8. Anal. Calcd for C9H9Cl2NO4: C, 40.63; H, 3.41; N, 5.26. Found: C, 40.86; H, 3.26; N, 5.39.
3.3. General Procedure for TDAE Reaction
Into a two-necked flask equipped with a drying tube (silica gel) and a nitrogen inlet was added 15 mL of an anhydrous THF solution of dichloride derivative 1–3 (1 equiv.) and N-tosylimine 4a–g (2 equiv.). The solution was cooled to −20 °C, maintained at this temperature for 30 min and then was added dropwise (via a syringe) the TDAE (1 equiv.). The solution was vigorously stirred at −20 °C for 1 h and then maintained at rt for 2 h. After this time, TLC analysis (CH2Cl2) clearly showed that compound (1–3) was totally consumed. The solution was filtered (to remove the octamethyl-oxamidinium dichloride) and hydrolyzed with H2O (70 mL). The aqueous solution was extracted with chloroform (3 × 40 mL), the combined organic layers washed with H2O (2 × 40 mL) and dried over MgSO4. Evaporation of the solvent furnished an orange viscous liquid as crude product. Purification by silica gel chromatography (CH2Cl2/petroleum ether: 70/30) and recrystallization from isopropanol gave corresponding aziridines (5–7). Analyses for compounds 5a, 5d, 5g and 6a are in agreement with those reported in the literature [45].
2-(4-Nitrophenyl)-3-o-tolyl-1-tosylaziridine (5b). cis-isomer; white solid; mp 202 °C; 1H-NMR (200 MHz, CDCl3) δH 2.13 (s, 3H), 2.45 (s, 3H), 4.28 (d, 1H, J = 7.3 Hz), 4.33 (d, 1H, J = 7.3 Hz), 6.91–7.14 (m, 4H), 7.22 (d, 2H, J = 8.6 Hz), 7.38 (d, 2H, J = 7.8 Hz), 7.87–7.99 (m, 4H). 13C-NMR (50 MHz, CDCl3) δC 21.6, 21.7, 45.6, 47.9, 123.0, 125.6, 127.9, 128.0, 128.2, 129.7, 129.8, 130.0, 131.5, 134.4, 134.5, 135.9, 139.6, 145.2. trans-isomer; white solid; mp 161 °C; 1H-NMR (200 MHz, CDCl3) δH 2.38 (s, 3H), 2.41 (s, 3H), 4.20 (d, 1H, J = 4.7 Hz), 4.35 (d, 1H, J = 4.7 Hz), 7.17–7.28 (m, 6H), 7.59–7.66 (m, 4H), 8.21 (d, 2H, J = 8.7 Hz). 13C-NMR (50 MHz, CDCl3) δC 18.8, 21.6, 45.6, 47.8, 123.0, 125.6, 127.9, 128.0, 128.1, 128.1, 129.0, 129.7, 129.9, 134.3, 135.9, 139.5, 145.2, 147.3. Anal. Calcd for C22H20N2O4S: C, 64.69; H, 4.94; N, 6.86; S, 7.85. Found: C, 64.79; H, 4.97; N, 6.85; S, 7.92.
2-(2-Chlorophenyl)-3-(4-nitrophenyl)-1-tosylaziridine (5c). cis-isomer; white solid; mp 193 °C; 1H-NMR (200 MHz, CDCl3) δH 2.45 (s, 3H), 3.39 (d, 1H, J = 7.6 Hz), 3.46 (d, 1H, J = 7.6 Hz), 7.04–7.20 (m, 4H), 7.26 (d, 2H, J = 8.6 Hz), 7.38 (d, 2H, J = 8.2 Hz), 7.93 (d, 2H, J = 8.6 Hz), 7.97 (d, 2H, J = 8.2 Hz). 13C-NMR (50 MHz, CDCl3) δC 21.6, 46.0, 46.9, 123.1, 126.5, 128.0, 128.3, 129.0, 129.3, 129.4, 129.5, 130.0, 133.2, 134.1, 139.1, 145.3, 147.4. trans-isomer; white solid; mp 185 °C; 1H-NMR (200 MHz, CDCl3) δH 2.42 (s, 3H), 4.10 (d, 1H, J = 4.5 Hz), 4.56 (d, 1H, J = 4.5 Hz), 7.22–7.41 (m, 6H), 7.69 (d, 2H, J = 8.7 Hz), 7.73 (d, 2H, J = 8.7 Hz), 8.23 (d, 2H, J = 8.7 Hz). 13C-NMR (50 MHz, CDCl3) δC 21.6, 47.2, 49.8, 123.5, 127.0, 127.7, 128.4, 129.4, 129.6, 130.0, 130.0, 131.2, 134.5, 136.1, 139.5, 144.8, 148.1. Anal. Calcd for C21H17ClN2O4S: C, 58.81; H, 4.00; N, 6.53; S, 7.48. Found: C, 58.88; H, 3.99; N, 6.43; S, 7.49.
2-(3-Fluorophenyl)-3-(4-nitrophenyl)-1-tosylaziridine (5e). cis-isomer; white solid; mp 108 °C; 1H-NMR (200 MHz, CDCl3) δH 2.47 (s, 3H), 4.22 (d, 1H, J = 9.4Hz), 4.32 (d, 1H, J = 9.4Hz), 6.69–6.88 (m, 3H), 7.04–7.16 (m, 1H), 7.23 (d, 2H, J = 8.3 Hz), 7.39 (d, 2H, J = 8.3 Hz), 7.96 (d, 2H, J = 8.3 Hz) 7.99 (d, 2H, J = 8.3 Hz). 13C-NMR (50 MHz, CDCl3) δC 21.7, 46.3, 47.1 (d, J = 2.6 Hz), 114.5 (d, J = 22.7 Hz), 115.2 (d, J = 21.1 Hz) 123.2 (d, J = 2.9 Hz), 123.3, 128.0, 128.5, 129.9, 130.1, 133.7 (d, J = 8.0 Hz), 134.2, 139.1, 145.4, 147.6, 162.4 (d, J = 247.0 Hz). trans-isomer; white solid; mp 143 °C; 1H-NMR (200 MHz, CDCl3) δH 2.41 (s, 3H), 4.22 (d, 1H, J = 4.4 Hz), 4.26 (d, 1H, J = 4.4 Hz), 7.70 (d, 2H, J = 8.8 Hz), 7.24–7.41 (m, 4H), 7.60 (d, 2H, J = 8.8 Hz), 7.67 (d, 2H, J = 8.2 Hz), 8.21 (d, 2H, J = 8.8 Hz). 13C NMR (50 MHz, CDCl3) δC 21.6, 49.0, 50.1 (d, J = 2.2 Hz), 115.2 (d, J = 22.7 Hz), 116.1 (d, J = 21.2 Hz), 123.7, 124.0 (d, J = 2.9 Hz), 127.5, 129.2, 129.7, 130.0, 134.7 (d, J = 7.7 Hz), 136.4, 140.2, 144.7, 148.1, 162.7 (d, J = 247.4Hz). Anal. Calcd for C21H17FN2O4S: C, 61.16; H, 4.15; N, 6.79; S, 7.77. Found: C, 60.51; H, 4.19; N, 6.62; S, 7.66.
2-(4-Nitrophenyl)-3-(3-(trifluoromethyl)phenyl)-1-tosyl-aziridine (5f). cis-isomer; white solid; mp 63 °C; 1H-NMR (200 MHz, CDCl3) δH 2.44 (s, 3H), 4.30 (d, 1H, J = 7.7 Hz), 4.34 (d, 1H, J = 7.7 Hz), 7.21–7.41 (m, 8H), 7.95 (d, 2H, J = 8.4 Hz), 7.99 (d, 2H, J = 8.4 Hz). 13C-NMR (50 MHz, CDCl3) δC 21.6, 46.4, 46.9, 123.3, 124.4 (q, J = 4.0 Hz), 125.0 (q, J = 4.0 Hz), 128.0, 128.5, 128.8, 130.0, 130.5 (q, J = 33.0 Hz), 130.7, 132.3, 133.9, 138.9, 142.5 (q, J = 238.9 Hz), 145.6, 147.5. trans-isomer; white solid; mp 164 °C; 1H-NMR (200 MHz, CDCl3) δH 2.40 (s, 3H), 4.25 (d, 1H, J = 4.3 Hz), 4.35 (d, 1H, J = 4.3 Hz), 7.20–7.25 (m, 4H), 7.54–7.65 (m, 4H), 7.97 (d, 2H, J = 8.8 Hz), 8.20 (d, 2H, J = 8.8 Hz). 13C-NMR (50 MHz, CDCl3) δC 21.5, 48.5, 50.1, 123.7, 125.3 (q, J = 3.7Hz), 125.8 (q, J = 3.7 Hz), 127.5, 129.1, 129.7, 130.1, 130.9 (q, J = 32.6 Hz), 131.6, 133.1, 136.1, 140.1, 140.5 (q, J = 238.1 Hz), 144.9, 148.1. Anal. Calcd for C22H17F3N2O4S: C, 57.14; H, 3.71; N, 6.06; S, 6.93. Found: C, 55.46; H, 3.74; N, 5.92; S, 6.71.
trans-2-(2-Nitrophenyl)-3-o-tolyl-1-tosylaziridine (6b). White solid; mp 160 °C; 1H-NMR (200 MHz, CDCl3) δH 2.27 (s, 3H), 2.41 (s, 3H), 3.87 (d, 1H, J = 4.8 Hz), 5.16 (d, 1H, J = 4.8 Hz), 7.16–7.20 (m, 4H), 7.26–7.32 (m, 1H), 7.48–7.77 (m, 6H), 8.15 (dd, 1H, J = 8.1, 1.1 Hz). 13C-NMR (50 MHz, CDCl3) δC 19.3, 21.5, 43.6, 51.9, 124.9, 125.7, 127.9, 128.5, 128.6, 129.1, 129.2, 129.4, 129.7, 129.8, 131.4, 134.2, 135.4, 139.6, 144.3, 148.1. Anal. Calcd for C22H20N2O4S: C, 64.69; H, 4.94; N, 6.86; S, 7.85. Found: C, 64.81; H, 4.96; N, 6.82; S, 7.57.
trans-2-(2-Chlorophenyl)-3-(2-nitrophenyl)-1-tosyl-aziridine (6c). White solid; mp 153 °C; 1H-NMR (200 MHz, CDCl3) δH 2.42 (s, 3H), 4.25 (d, 1H, J = 4.8 Hz), 5.04 (d, 1H, J = 4.8 Hz), 7.21–7.35 (m, 5H), 7.51–7.72 (m, 5H), 7.87 (d, 1H, J = 7.6 Hz), 8.20 (d, 1H, J = 7.6 Hz). 13C-NMR (50 MHz, CDCl3) δC 21.6, 46.0, 49.3, 125.0, 126.4, 127.8, 129.1, 129.5, 129.6, 129.9, 130.0, 130.1, 130.2, 130.3, 134.2, 135.7, 136.0, 144.6, 148.5. Anal. Calcd for C21H17ClN2O4S: C, 58.81; H, 4.00; N, 6.53; S, 7.48. Found: C, 58.72; H, 3.99; N, 6.50; S, 7.46.
trans-2-(2-Bromophenyl)-3-(2-nitrophenyl)-1-tosyl-aziridine (6d). White solid; mp 153 °C; 1H-NMR (200 MHz, CDCl3) δH 2.41 (s, 3H), 4.26 (d, 1H, J = 4.9 Hz), 5.00 (d, 1H, J = 4.9 Hz), 7.21–7.26 (m, 2H), 7.29–7.42 (m, 2H), 7.51–7.72 (m, 6H), 7.89–7.92 (m, 1H), 8.18 (dd, 1H, J = 8.1 Hz, J = 1.0 Hz). 13C-NMR (50 MHz, CDCl3) δC 21.5, 46.4, 51.1, 125.0, 127.3, 127.8, 128.1, 129.4, 129.6, 129.7, 129.8, 130.0, 130.3, 131.3, 132.3, 134.1, 135.6, 144.6, 148.5. Anal. Calcd for C21H17BrN2O4S: C, 53.29; H, 3.62; N, 5.92; S, 6.77. Found: C, 53.36; H, 3.66; N, 5.96; S, 6.78.
trans-2-(3-Fluorophenyl)-3-(2-nitrophenyl)-1-tosyl-aziridine (6e). White solid; mp 154 °C; 1H-NMR (200 MHz, CDCl3) δH 2.42 (s, 3H), 3.91 (d, 1H, J = 4.6 Hz), 5.03 (d, 1H, J = 4.6 Hz), 7.01–7.26 (m, 4H), 7.31–7.36 (m, 2H), 7.48–7.69 (m, 5H), 8.17 (d, 1H, J = 7.9 Hz). 13C-NMR (50 MHz, CDCl3) δC 21.6, 45.5, 51.6 (d, J = 2.2 Hz), 116.1 (d, J = 20.8 Hz), 116.5 (d, J = 22.7 Hz), 125.0, 125.3 (d, J = 2.9 Hz), 127.8, 129.4, 129.5, 129.8, 129.9, 130.5, 133.1 (d, J = 8.0 Hz), 134.2, 135.8, 144.6, 148.2, 162.4 (d, J = 246.6 Hz). Anal. Calcd for C21H17FN2O4S: C, 61.16; H, 4.15; N, 6.79; S, 7.77. Found: C, 61.29; H, 4.20; N, 6.75; S, 7.72.
trans-2-(2-Nitrophenyl)-3-(3-(trifluoromethyl)phenyl)-aziridine (6f). White solid; mp 145 °C; 1H-NMR (200 MHz, CDCl3) δH 2.41 (s, 3H), 3.91 (d, 1H, J = 4.5 Hz), 5.13 (d, 1H, J = 4.5 Hz), 7.21 (d, 2H, J = 8.1 Hz), 7.49–7.84 (m, 9H), 8.18 (d, 1H, J = 8.4 Hz). 13C-NMR (50 MHz, CDCl3) δC 21.5, 44.9, 51.6, 121.5 (q, J = 272.2 Hz), 125.0, 125.8 (q, J = 3.7 Hz), 126.8 (q, J = 3.7 Hz), 127.7, 128.9, 129.5, 129.6, 129.8, 130.4 (q, J = 32.2 Hz), 130.6, 131.5, 132.8, 134.3, 135.5, 144.8, 148.1. Anal. Calcd for C22H17F3N2O4S: C, 57.14; H, 3.71; N, 6.06; S, 6.93. Found: C, 56.96; H, 3.72; N, 6.11; S, 6.72.
trans-2-(4-Fluorophenyl)-3-(2-nitrophenyl)-1-tosylaziridine (6g). White solid; mp 135 °C; 1H-NMR (200 MHz, CDCl3) δH 2.42 (s, 3H), 3.86 (d, 1H, J = 4.6 Hz), 5.10 (d, 1H, J = 4.6 Hz), 7.04 (t, 2H, J = 8.4 Hz), 7.23 (t, 2H, J = 8.4 Hz), 7.47–7.63 (m, 7H), 8.15 (d, 1H, J = 7.8 Hz). 13C-NMR (50 MHz, CDCl3) δC 21.6, 44.9, 52.4, 115.3 (d, J = 21.6 Hz), 125.0, 126.2 (d, J = 3.3 Hz), 127.7, 129.3, 129.5, 129.6, 131.1, 131.7 (d, J = 8.4 Hz), 134.3, 136.0, 144.5, 148.1, 162.5 (d, J = 248.4 Hz). Anal. Calcd for C21H17FN2O4S: C, 61.16; H, 4.15; N, 6.79; S, 7.77. Found: C, 61.31; H, 4.20; N, 6.79; S, 7.71.
trans-2-(4,5-Dimethoxy-2-nitrophenyl)-3-phenyl-1-tosylaziridine (7a). White solid; mp 154 °C; 1H-NMR (200 MHz, CDCl3) δH 2.39 (s, 3H), 3.74 (s, 3H), 3.88 (d, 1H, J = 4.4 Hz), 3.94 (s, 3H), 5.15 (d, 1H, J = 4.4 Hz), 6.91 (s, 1H), 7.19–7.23 (m, 2H), 7.34–7.37 (m, 3H), 7.59–7.63 (m, 4H), 7.71 (s, 1H). 13C-NMR (50 MHz, CDCl3) δC 21.5, 45.3, 53.7, 56.1, 56.4, 107.8, 110.6, 126.1, 127.8, 128.2, 129.0, 129.5, 129.9, 130.2, 136.5, 140.3, 144.2, 148.5, 153.7. Anal. Calcd for C23H22N2O6S: C, 60.78; H, 4.88; N, 6.16; S, 7.06. Found: C, 60.80; H, 4.92; N, 6.20; S, 7.03.
trans-2-(4,5-Dimethoxy-2-nitrophenyl)-3-o-tolyl-1-tosylaziridine (7b). White solid; mp 167 °C; 1H-NMR (200 MHz, CDCl3) δH 2.38 (s, 6H), 3.76 (s, 3H), 3.82 (d, 1H, J = 4.8 Hz), 3.93 (s, 3H), 5.18 (d, 1H, J = 4.8 Hz), 6.98 (s, 1H), 7.18 (d, 4H, J = 7.3 Hz), 7.24–7.32 (m, 2H), 7.56 (d, 1H, J = 8.2 Hz), 7.65 (d, 1H, J = 7.3 Hz), 7.70 (s, 1H). 13C-NMR (50 MHz, CDCl3) δC 19.4, 21.4, 44.3, 52.5, 56.1, 56.4, 107.8, 110.7, 125.7, 126.4, 127.9, 128.5, 128.7, 129.2, 129.4, 129.8, 135.9, 139.9, 140.2, 144.2, 148.4, 153.7. Anal. Calcd for C24H24N2O6S: C, 61.52; H, 5.16; N, 5.98; S, 6.84. Found: C, 61.86; H, 5.21; N, 5.98; S, 6.78.
trans-2-(2-Chlorophenyl)-3-(4,5-dimethoxy-2-nitrophenyl)-1-tosylaziridine (7c). White solid; mp 144 °C; 1H-NMR (200 MHz, CDCl3) δH 2.41 (s, 3H), 3.83 (s, 3H), 3.95 (s, 3H), 4.17 (d, 1H, J = 4.9 Hz), 5.07 (d, 1H, J = 4.9 Hz), 7.09 (s, 1H), 7.24 (d, 2H, J = 8.2 Hz), 7.29–7.40 (m, 3H), 7.65 (d, 2H, J = 8.2 Hz), 7.72–7.76 (m, 2H).13C-NMR (50 MHz, CDCl3) δC 21.5, 46.3, 50.0, 56.2, 56.4, 107.9, 111.3, 125.0, 126.8, 127.9, 129.1, 129.4, 129.5, 130.1, 130.3, 136.0, 136.4, 140.8, 144.5, 148.8, 153.6. Anal. Calcd for C23H21ClN2O6S: C, 56.50; H, 4.33; N, 5.73; S, 6.56. Found: C, 56.44; H, 4.33; N, 5.71; S, 6.57.
trans-2-(2-Bromophenyl)-3-(4,5-dimethoxy-2-nitrophenyl)-1-tosylaziridine (7d). White solid; mp 164 °C; 1H-NMR (200 MHz, CDCl3) δH 2.40 (s, 3H), 3.85 (s, 3H), 3.94 (s, 3H), 4.19 (d, 1H, J = 4.8 Hz), 5.02 (d, 1H, J = 4.8 Hz), 7.14 (s, 1H), 7.21–7.25 (m, 3H), 7.34 (t, 2H, J = 7.3 Hz), 7.53–7.72 (m, 3H), 7.74 (s, 1H). 13C-NMR (50 MHz, CDCl3) δC 21.5, 47.0, 51.7, 56.3, 56.4, 107.9, 111.6, 124.6, 126.3, 127.4, 127.9, 129.5, 130.1, 130.4, 131.2, 132.3, 135.9, 140.9, 144.5, 148.8, 153.4. Anal. Calcd for C23H21BrN2O6S: C, 51.79; H, 3.97; N, 5.25; S, 6.01. Found: C, 51.77; H, 3.93; N, 5.22; S, 5.88.
trans-2-(4,5-Dimethoxy-2-nitrophenyl)-3-(3-fluorophenyl)-1-tosylaziridine (7e). White solid; mp 161 °C; 1H-NMR (200 MHz, CDCl3) δH 2.41 (s, 3H), 3.75 (s, 3H), 3.84 (d, 1H, J = 4.4 Hz), 3.95 (s, 3H), 5.08 (d, 1H, J = 4.4 Hz), 6.91 (s, 1H), 7.03–7.12 (m, 1H), 7.23–7.29 (m, 3H), 7.33–7.45 (m, 2H), 7.65 (d, 2H, J = 8.3 Hz), 7.72 (s, 1H). 13C-NMR (50 MHz, CDCl3) δC 21.6, 45.7, 52.7, 56.2, 56.5, 107.9, 110.7, 116.2 (d, J = 20.8 Hz), 116.9 (d, J = 22.7 Hz), 125.7, 127.9, 129.5, 129.6, 129.8 (d, J = 8.0 Hz), 132.9 (d, J = 8.0 Hz), 136.3, 144.6, 148.7, 153.8, 160.0, 162.5 (d, J = 248.6 Hz). Anal. Calcd for C23H21FN2O6S: C, 58.47; H, 4.48; N, 5.93; S, 6.79. Found: C, 58.55; H, 4.54; N, 5.92; S, 6.76.
trans-2-(4,5-Dimethoxy-2-nitrophenyl)-3-(3-(trifluoromethyl)phenyl)-1-tosylaziridine (7f). White solid; mp 163 °C; 1H-NMR (200 MHz, CDCl3) δH 2.39 (s, 3H), 2.76 (s, 3H), 3.85 (d, 1H, J = 4.5 Hz), 3.93 (s, 3H), 5.14 (d, 1H, J = 4.5 Hz), 6.94 (s, 1H), 7.21 (d, 2H, J = 8.1 Hz), 7.48–7.68 (m, 5H), 7.71 (s, 1H), 7.88 (d, 1H, J = 7.4 Hz). 13C-NMR (50 MHz, CDCl3) δC 21.4, 45.3, 52.3, 56.2, 56.4, 107.8, 110.6, 125.5 (q, J = 272.6 Hz), 125.8 (q, J = 3.7 Hz), 126.9 (q, J = 4.0 Hz), 127.7, 128.8, 128.8, 129.6, 130.4 (q, J = 32.6 Hz), 131.3, 133.1, 135.9, 140.2, 144.7, 148.7, 153.8. Anal. Calcd for C24H21F3N2O6S: C, 55.17; H, 4.05; N, 5.36; S, 6.14. Found: C, 55.21; H, 4.19; N, 5.41; S, 6.05.
trans-2-(4,5-Dimethoxy-2-nitrophenyl)-3-(4-fluorophenyl)-1-tosylaziridine (7g). White solid; mp 158 °C; 1H-NMR (200 MHz, CDCl3) δH 2.41 (s, 3H), 3.72 (s, 3H), 3.82 (d, 1H, J = 4.4 Hz), 3.90 (s, 3H), 5.13 (d, 1H, J = 4.4 Hz), 6.86 (s, 1H), 7.06 (t, 2H, J = 8.6 Hz), 7.23–7.28 (m, 2H), 7.58–7.78 (m, 5H). 13C-NMR (50 MHz, CDCl3) δC 21.5, 45.5, 53.1, 56.1, 56.4, 107.9, 110.5, 115.3 (d, J = 21.6 Hz), 126.1 (d, J = 2.2 Hz), 126.2, 127.8, 129.6, 131.9 (d, J = 8.4 Hz), 136.6, 140.3, 144.4, 148.6, 153.8, 162.8 (d, J = 248.8 Hz). Anal. Calcd for C23H21FN2O6S: C, 58.47; H, 4.48; N, 5.93; S, 6.79. Found: C, 58.53; H, 4.51; N, 5.90; S, 6.62.
4. Conclusions
TDAE methodology is extended here to the reaction of ortho- or para-nitro dichloromethylbenzene derivatives 1–3 with various aromatic N-tosylimines 4a–g, leading to the corresponding aziridines 5–7 in good yields (61–81%). The diastereoselectivity of the reaction is shown to be sensitive to steric hindrance. Further research is in progress to extent this method to other dichloride derivatives and to explore the ring opening reactions of the aziridines.
Acknowledgments
This work was supported by the Centre National de la Recherche Scientifique. We express our thanks to V. Remusat for recording the 1H and 13C-NMR spectra.
Conflict of Interest
The authors declare no conflict of interest.
References
- Müller, P.; Fruit, C. Enantioselective catalytic aziridinations and asymmetric nitrene insertions into ch bonds. Chem. Rev. 2003, 103, 2905–2920. [Google Scholar] [CrossRef] [PubMed]
- McCoull, W.; Davis, F.A. recent synthetic applications of chiral aziridines. Synthesis 2000, 1347–1365. [Google Scholar] [CrossRef]
- Hu, X.E. Nucleophilic ring opening of aziridines. Tetrahedron 2004, 60, 2701–2743. [Google Scholar] [CrossRef]
- Taylor, A.M.; Schreiber, S.L. Aziridines as intermediates in diversity-oriented syntheses of alkaloids. Tetrahedron Lett. 2009, 50, 3230–3233. [Google Scholar] [CrossRef] [PubMed]
- Lu, P. Recent developments in regioselective ring opening of aziridines. Tetrahedron 2010, 66, 2549–2560. [Google Scholar] [CrossRef]
- Watson, I.D.G.; Yu, L.L.; Yudin, A.K. advances in nitrogen transfer reactions involving aziridines. Acc. Chem. Res. 2006, 39, 194–206. [Google Scholar] [CrossRef] [PubMed]
- Davies, H.M.L.; Manning, J.R. Catalytic C-H functionalization by metal carbenoid and nitrenoid insertion. Nature 2008, 451, 417–424. [Google Scholar] [CrossRef] [PubMed]
- Giri, R.; Shi, B.F.; Engle, K.M.; Maugel, N.; Yu, J.Q. Transition metal-catalyzed C–H activation reactions: diastereoselectivity and enantioselectivity. Chem. Soc. Rev. 2009, 38, 3242–3272. [Google Scholar] [CrossRef] [PubMed]
- Minakata, S. Utilization of N−X bonds in the synthesis of N-Heterocycles. Acc. Chem. Res. 2009, 42, 1172–1182. [Google Scholar] [CrossRef] [PubMed]
- Collet, F.; Lescot, C.; Dauban, P. Catalytic C–H amination: the stereoselectivity issue. Chem. Soc. Rev. 2011, 40, 1926–1936. [Google Scholar] [CrossRef] [PubMed]
- Lebel, H.; Spitz, C.; Leogane, O.; Trudel, C.; Parmentier, M. Stereoselective rhodium-catalyzed amination of alkenes. Org. Lett. 2011, 13, 5460–5463. [Google Scholar] [CrossRef] [PubMed]
- Hansen, K.B.; Finney, N.S.; Jacobsen, E.N. Carbenoid transfer to Imines: A new asymmetric catalytic synthesis of Aziridines. Angew. Chem., Int. Ed. 1995, 34, 676–678. [Google Scholar] [CrossRef]
- Juhl, K.; Hazell, R.G.; Jørgensen, K.A. Catalytic enantioselective formation of aziridines from α-imino esters. J. Chem. Soc., Perkin Trans. 1, 1999; 2293–2297. [Google Scholar]
- Davis, F.A.; Liu, H.; Zhou, P.; Fang, T.; Reddy, G.V.; Zhang, Y. Aza-Darzens Asymmetric Synthesis of N-(p-Toluenesulfinyl)aziridine 2-Carboxylate Esters from Sulfinimines (N-Sulfinyl Imines). J. Org. Chem. 1999, 64, 7559–7567. [Google Scholar] [CrossRef]
- Aggarwal, V.K.; Charmant, J.P.H.; Ciampi, C.; Hornby, J.M.; O'Brien, C.J.; Hynd, G.; Parsons, R. Additions of stabilised and semi-stabilised sulfur ylides to tosyl protected imines: are they under kinetic or thermodynamic control? J. Chem. Soc., Perkin Trans. 1 2001, 3159–3166. [Google Scholar] [CrossRef]
- Fang, F.; Li, Y.; Tian, S.-K. Stereoselective olefination of N-Sulfonyl Imines with stabilized phosphonium ylides for the synthesis of electron-deficient Alkenes. Eur. J. Org. Chem. 2011, 1084–1091. [Google Scholar] [CrossRef]
- Takechi, N.; Aït-Mohand, S.; Médebielle, M.; Dolbier, W.R., Jr. Nucleophilic trifluoromethylation of acyl chlorides using the trifluoromethyl iodide/TDAE reagent. Tetrahedron Lett. 2002, 43, 4317–4319. [Google Scholar] [CrossRef]
- Pooput, C.; Médebielle, M.; Dolbier, W.R., Jr. A new and efficient method for the synthesis of trifluoromethylthio- and selenoethers. Org. Lett. 2004, 6, 301–303. [Google Scholar] [CrossRef] [PubMed]
- Pooput, C.; Médebielle, M.; Dolbier, W.R., Jr. Nucleophilic perfluoroalkylation of aldehydes, ketones, Imines, Disulfides, and diselenides. J. Org. Chem. 2006, 71, 3564–3568. [Google Scholar] [CrossRef] [PubMed]
- Montana, M.; Terme, T.; Vanelle, P. Original synthesis of α-chloroketones in azaheterocyclic series using TDAE approach. Tetrahedron Lett. 2006, 47, 6573–6576. [Google Scholar] [CrossRef]
- Montana, M.; Crozet, M.D.; Castera-Ducros, C.; Terme, T.; Vanelle, P. Rapid synthesis of new azaheterocyclic hydroxymalonate derivatives using TDAE approach. Heterocycles 2008, 75, 925–932. [Google Scholar]
- Since, M.; Terme, T.; Vanelle, P. Original TDAE strategy using α-halocarbonyl derivatives. Tetrahedron 2009, 65, 6128–6134. [Google Scholar] [CrossRef]
- Juspin, T.; Terme, T.; Vanelle, P. TDAE strategy using α-Diketones: Rapid access to 2,3-diphenylquinoline and Acenaphtho[1,2-b]quinoline derivatives. Synlett 2009, 1485–1489. [Google Scholar] [CrossRef]
- Nadji-Boukrouche, A.R.; Khoumeri, O.; Terme, T.; Liacha, M.; Vanelle, P. Original TDAE reactivity in benzoxa- and benzothiazolone series. ARKIVOC 2010, 358–370. [Google Scholar]
- Montana, M.; Terme, T.; Vanelle, P. TDAE-initiated synthesis of oxiranes in heterocyclic series: Reaction of 2-(Dibromomethyl)quinoxaline with α-Dicarbonyl derivatives. Lett. Org. Chem. 2010, 7, 453–456. [Google Scholar] [CrossRef]
- Juspin, T.; Giuglio-Tonolo, G.; Terme, T.; Vanelle, P. First TDAE-mediated double addition of nitrobenzylic anions to aromatic dialdehydes. Synthesis 2010, 844–848. [Google Scholar]
- Khoumeri, O.; Terme, T.; Vanelle, P. Rapid and efficient synthesis of 2-substituted-tetrahydropyrido[3,4-b]quinoxalines using TDAE strategy. Tetrahedron Lett. 2012, 53, 2410–2413. [Google Scholar] [CrossRef]
- Giuglio-Tonolo, G.; Terme, T.; Médebielle, M.; Vanelle, P. Original reaction of p-nitrobenzyl chloride with aldehydes using tetrakis(dimethylamino)ethylene (TDAE). Tetrahedron Lett. 2003, 44, 6433–6435. [Google Scholar] [CrossRef]
- Giuglio-Tonolo, G.; Terme, T.; Médebielle, M.; Vanelle, P. Nitrobenzylation of α-carbonyl ester derivatives using TDAE approach. Tetrahedron Lett. 2004, 45, 5121–5124. [Google Scholar] [CrossRef]
- Khoumeri, O.; Terme, T.; Vanelle, P. Original and efficient synthesis of substituted 3,4-Dihydronaphtho[2,3-g]quinoline-2,6,11(1H)-triones. Synthesis 2009, 3677–3683. [Google Scholar] [CrossRef]
- Khoumeri, O.; Giuglio-Tonolo, G.; Crozet, M.D.; Terme, T.; Vanelle, P. Original synthesis of 2-substituted-4,11-dimethoxy-1-(phenylsulfonyl)-2,3-dihydro-1H-naphtho[2,3-f]indole-5,10-diones using TDAE and Cu-catalyzed reaction strategy. Tetrahedron 2011, 67, 6173–6180. [Google Scholar] [CrossRef]
- Montana, M.; Terme, T.; Vanelle, P. Original synthesis of oxiranes via TDAE methodology: Reaction of 2,2-dibromomethylquinoxaline with aromatic aldehydes. Tetrahedron Lett. 2005, 46, 8373–8376. [Google Scholar] [CrossRef]
- Khoumeri, O.; Montana, M.; Terme, T.; Vanelle, P. First TDAE approach in quinonic series: Synthesis of new 2-substituted 1,4-dimethoxy-9,10-anthraquinones. Tetrahedron 2008, 64, 11237–11242. [Google Scholar] [CrossRef]
- Xu, W.; Dolbier, W.R., Jr. nucleophilic trifluoromethylation of imines using the cf3i/tdae reagent. J. Org. Chem. 2005, 70, 4741–4745. [Google Scholar] [CrossRef] [PubMed]
- Vanelle, P.; De Meo, M.P.; Maldonado, J.; Nouguier, R.; Crozet, M.P.; Laget, M.; Dumenil, G. Genotoxicity in oxazolidine derivatives: Influence of the nitro group. Eur. J. Med. Chem. 1990, 25, 241–250. [Google Scholar] [CrossRef]
- El-Kashef, H.S.; El-Emary, T.I.; Gasquet, M.; Timon-David, P.; Maldonado, J.; Vanelle, P. New pyrazolo[3,4-b]pyrazines: Synthesis and biological activity. Pharmazie 2000, 55, 572–576. [Google Scholar]
- Boufatah, N.; Gellis, A.; Maldonado, J.; Vanelle, P. Efficient microwave-assisted synthesis of new sulfonylbenzimidazole-4,7-diones: Heterocyclic quinones with potential antitumor activity. Tetrahedron 2004, 60, 9131–9137. [Google Scholar] [CrossRef]
- Gellis, A.; Kovacic, H.; Boufatah, N.; Vanelle, P. Synthesis and cytotoxicity evaluation of some benzimidazole-4,7-diones as bioreductive anticancer agents. Eur. J. Med. Chem. 2008, 43, 1858–1864. [Google Scholar] [CrossRef] [PubMed]
- Sharghi, H.; Hosseini-Sarvari, M.; Ebrahimpourmoghaddam, S. A novel method for the synthesis of N-sulfonyl aldimines using AlCl3 under solvent-free conditions (SFC). ARKIVOC 2007, 2007, 255–264. [Google Scholar]
- Xie, W.; Fang, J.; Li, J.; Wang, P.G. Aziridine synthesis in protic media by using lanthanide triflates as catalysts. Tetrahedron 1999, 55, 12929–12938. [Google Scholar] [CrossRef]
- Rasmussen, K.G.; Jørgensen, K.A. Catalytic formation of aziridines from imines and diazoacetate. J. Chem. Soc., Chem. Commun. 1995, 1401(1402). [Google Scholar] [CrossRef]
- Carpenter, W. The Reactions of Tetrakis(dimethylamino)ethylene with Polyhalogenated Compounds. J. Org. Chem. 1965, 30, 3082–3084. [Google Scholar] [CrossRef]
- Fergus, S.; Eustace, S.J.; Hegarty, A.F. nitrile ylide dimerization: investigation of the carbene reactivity of nitrile ylides. J. Org. Chem. 2004, 69, 4663–4669. [Google Scholar] [CrossRef] [PubMed]
- Makosza, M.; Owczarczyk, Z. Reactions of organic anions. 161. Dihalomethylation of nitroarenes via vicarious nucleophilic substitution of hydrogen with trihalomethyl carbanions. J. Org. Chem. 1989, 54, 5094–5100. [Google Scholar] [CrossRef]
- Liu, X.-G.; Wie, Y.; Shi, M. Phosphite-mediated annulation: an efficient protocol for the synthesis of multi-substituted cyclopropanes and aziridines. Tetrahedron 2010, 66, 304–313. [Google Scholar] [CrossRef]
Sample Availability: Samples of the compounds 5a–g, 6a–g and 7a–g, are available from the authors. |
© 2013 by the authors. This article is an open access article distributed under the terms and conditions of the Creative Commons Attribution license (http://creativecommons.org/licenses/by/3.0/).



