Abstract
In this study, boron-containing primary amines were synthesized for use as building blocks in the study of peptoids. In the first step, Gabriel synthesis conditions were modified to enable the construction of seven different aminomethylphenyl boronate esters in good to excellent yields. These compounds were further utilized to build peptoid analogs via an Ugi four-component reaction (Ugi-4CR) under microwave irradiation. The prepared Ugi-4CR boronate esters were then successfully converted to the corresponding boronic acids. Finally, the peptoid structures were successfully modified by cross-coupling to aryl/heteroaryl chlorides via a palladium-mediated Suzuki coupling reaction to yield the corresponding derivatives in moderate to good yields.
1. Introduction
Peptides are a form of naturally occurring polymer [Figure 1(a)], which have many significant pharmacological properties such as high specificity, high potency toward their target [], and low accumulation in the body []. As a result, many drugs currently on the market are based on the peptide structure, including vancomycin (VancocinTM), oxytocin (OxytocinTM), enfuvirtide (FuzeonTM), and eptifibatide (IntegrilinTM). However, peptides also have a number of drawbacks when used as pharmaceuticals, including low cell permeability [] and vulnerability to proteolytic degradation [,]. Peptoids, oligo-N-substituted glycines [Figure 1(b)], are a class of biomimetic molecule designed to mimic peptides and proteins, whilst providing the advantages of protease resistance [] and improved cell permeability []. These features have driven research into the application of peptoids as therapeutic agents. Recent examples include transcription factor mimics [], protein–protein interaction inhibitors [], antimicrobial agents [,], and lung surfactant mimics []. There are two major strategies used for synthesizing peptoids. The first of these is the two stage sub-monomer method developed by Zuckermann and co-workers []. The protocol proceeds via acylation of an amine with an activated ester of 2-bromo (or chloro) acetic acid, followed by displacement of the halide with a primary amine [Scheme 1(a)]. The second strategy is via the Ugi four-component reaction [Ugi-4CR, Scheme 1(b)] [,], where a carboxylic acid, an isocyanide, an aldehyde (or ketone), and a primary amine are reacted in a one-pot method to generate the desired peptoid. Aside from their different synthetic approaches, both strategies rely on primary amines as the only source to introduce the side chain to the peptoid backbone.
Figure 1.
Structures of (a) peptide; (b) peptoid.
Scheme 1.
(a) Zuckermann peptoid synthesis; (b) Ugi-4CR peptoid synthesis.
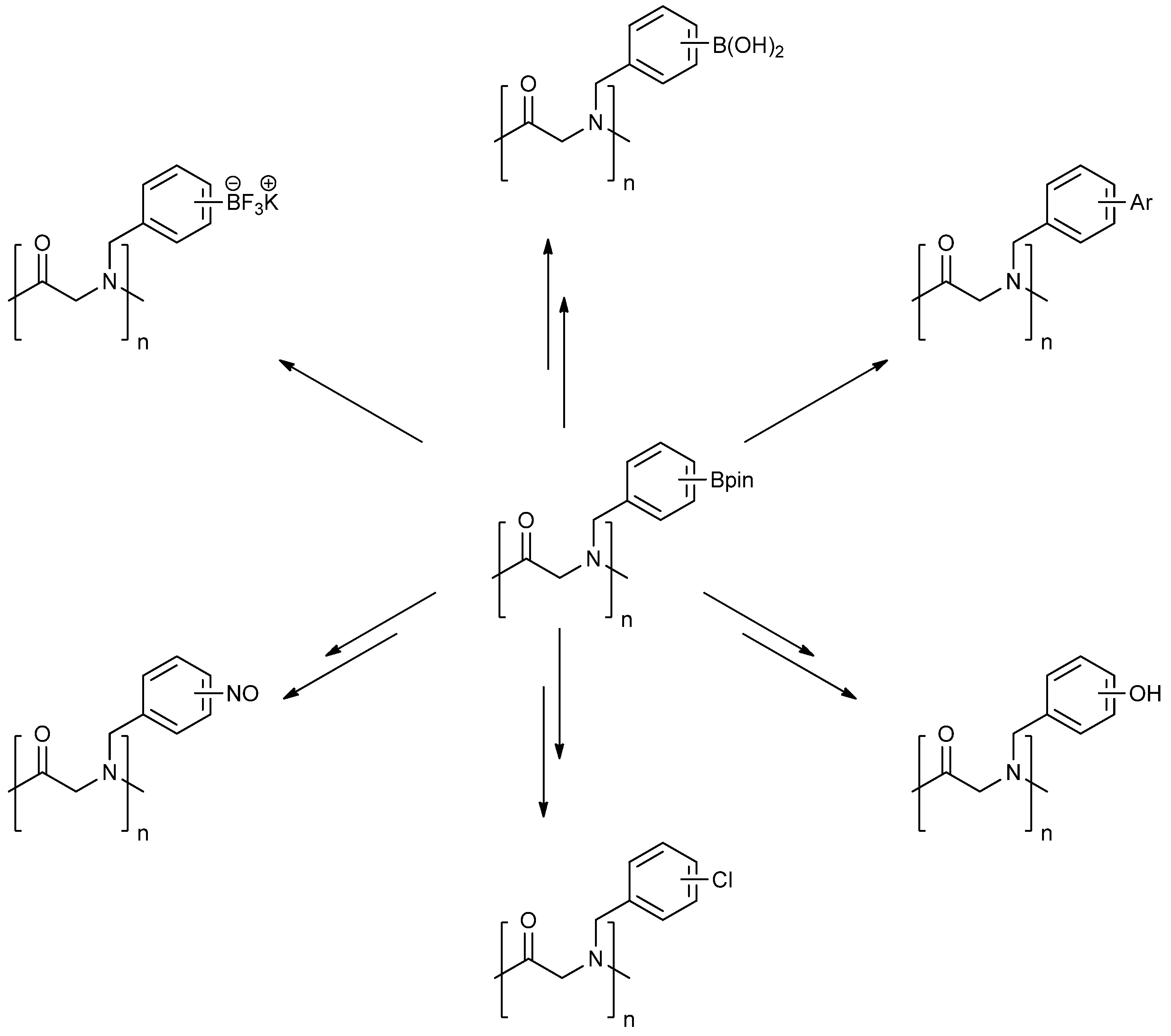
Many studies have shown that both inter- and intramolecular interactions between the side chains of peptoid play a crucial role in determining its folding, conformation [,] and the functions [,]. Hence, primary amines can be used as the tool to investigate the role of individual monomer units involved in the peptoid folding/helix-stabilizing process. Boron-containing primary amines have unique properties for facilitating the study of this type of event, as they can be first incorporated into the parent peptoid backbone, and then the boron moiety can be converted into a variety of functional groups [,,,,,,] (Figure 2). This transformation provides a valuable platform for evaluation of the relationships between the side chains and the peptoid folding patterns.
Figure 2.
Functional group transformations from boronate ester.
2. Results and Discussion
Although there are many synthetic methods that can be used to prepare amines [,], strategies for the specific synthesis of primary amines are relatively limited. The use of a reductive amination reaction is one such approach [,], whereby first an imine intermediate is formed and then a metal hydride reducing agent such as sodium cyanoborohydride is employed to reduce the imine double bond. The use of a protecting group is crucial when using this method in order to prevent over-alkylation, as an unprotected starting material will often result in the formation of undesired secondary or tertiary amine byproducts [,,]. However, this need for the incorporation of a protecting group presents a number of disadvantages, including an increase in the total number of synthetic steps (protection and deprotection steps) and a decrease in atom economy. An alternative strategy for producing primary amines is via Gabriel synthesis []. In this method, the potassium salt of phthalimide is reacted with a primary alkyl halide to give the corresponding N-alkylphthalimide. This then reacts with hydrazine to give the desired primary amine. This synthetic strategy avoids the formation of secondary or tertiary amine byproducts without the need for a protecting group. Although this is one of the most commonly used methods, the synthesis of boron-containing primary amines via Gabriel synthesis is relatively unexplored []. This is partly because the reaction conditions are often harsh, and there are concerns over whether the boron functional group can survive intact in such an environment. In this report, we demonstrate the synthesis of boron-containing primary amines via a modified Gabriel synthesis.
The synthesis proceeded via the mixing of formylphenyl boronic acid with pinacol and magnesium sulfate in methanol to give the corresponding boronate ester. The progress was monitored using 11B-NMR spectroscopy, and when the reaction was seen to be completed, the crude solution was filtered. Sodium borohydride was then added to the filtrate, and the reaction was allowed to react at room temperature for 5 hours to afford the desired products 2a–g in good to excellent yields (Table 1).
Table 1.
Synthesis of hydroxymethylphenyl boronate esters.
| Enrty | Aldehyde | Product | Yields (%) a |
|---|---|---|---|
| 1 | ![]() | ![]() | 88 |
| 2 | ![]() | ![]() | 86 |
| 3 | ![]() | ![]() | 69 |
| 4 | ![]() | ![]() | 90 |
| 5 | ![]() | ![]() | 95 |
| 6 | ![]() | ![]() | 94 |
| 7 | ![]() | ![]() | 97 |
a In two steps; b 2a was also prepared under similar synthetic conditions []; c preparation of 2f using different synthetic conditions was also reported [].
Although THF is often used as the solvent in syntheses involving phthalimide, in the present study the desired product could not be isolated using this as either the solvent or co-solvent (Table 2, entries 1 and 2). Instead DMF was found to be the optimal solvent for this reaction (Table 2, entry 3). The use of 1.5 equiv. of potassium phthalimide gave the best yield (96%, entry 3), with a reduced amount resulting in lower yields (entries 4 and 5). In addition, six further analogs 3a–g were successfully synthesized in moderate to excellent yields (entries 6–11).
Table 2.
Optimization of phthalimidophenyl boronate esters synthesis.
| Enrty | R1 | Solvent | PhthK (equiv.) | Product | Yields (%) |
|---|---|---|---|---|---|
| 1 | ![]() | THF | 1.5 | 3a | N.R. |
| 2 | ![]() | DMF/THF | 1.5 | 3a | N.R. |
| (v:v=1:4) | |||||
| 3 | ![]() | DMF | 1.5 | 3a | 96 |
| 4 | ![]() | DMF | 1.2 | 3a | 87 |
| 5 | ![]() | DMF | 1.0 | 3aa | 80 |
| 6 | ![]() | DMF | 1.5 | 3b | 80 |
| 7 | ![]() | DMF | 1.5 | 3c | 75 |
| 8 | ![]() | DMF | 1.5 | 3d | 85 |
| 9 | ![]() | DMF | 1.5 | 3e | 53 |
| 10 | ![]() | DMF | 1.5 | 3f | 97 |
| 11 | ![]() | DMF | 1.5 | 3g | 48 |
a 3a was also synthesized by the similar synthetic condition [].
The next step involved the use of the Ing-Manske procedure for the synthesis of the desired aminomethylphenyl boronate ester from the phthalimidophenyl boronate ester, and optimization of the reaction conditions. Initially, 3a was reacted with six equivalents of hydrazine in ethanol under reflux for 8 h, giving the desired product 4a in poor yield (Table 3, entry 1). Increasing the reaction time in addition to the amount of hydrazine used significantly improved the yield to 47% (Table 3, entry 2).
Table 3.
Synthesis of aminomethylphenyl boronate esters.
| Enrty | R1 | Solvent | Time | Hydrazine | Product | Yields (%) |
|---|---|---|---|---|---|---|
| (h) | (equiv.) | |||||
| 1 | ![]() | EtOH | 8 | 6 | 4a | 7 |
| 2 | ![]() | EtOH | 12 | 8 | 4a | 47 |
| 3 | ![]() | MeOH | 12 | 3 | 4a a | 73 |
| 4 | ![]() | THF | 12 | 3 | 4a | 87 |
| 5 | ![]() | THF | 12 | 3 | 4b | 82 |
| 6 | ![]() | THF | 12 | 3 | 4c | 98 |
| 7 | ![]() | THF | 12 | 3 | 4d | 36 |
| 8 | ![]() | THF | 12 | 3 | 4e | 91 |
| 9 | ![]() | THF | 12 | 3 | 4f | 66 |
| 10 | ![]() | THF | 12 | 3 | 4g | 58 |
a 4a was also synthesized by the similar synthetic condition [].
Other solvent systems were also investigated, and it was found that the yield was improved from 47% to 73% when methanol was used instead of ethanol (entry 3). Additionally, the use of THF improved the yield even further from 73% to 87% (entry 4). By employing these optimized conditions, 4b–g were obtained in good to excellent yield (entries 5–10). Interestingly, phthalimidophenyl trifluoroborate failed to provide the desired aminomethylphenyl trifluoroborate under the same reaction conditions, due to stability issues of the boron moiety.
Three of the synthesized boron-containing primary amines 4a–c were subsequently utilized as building blocks for the microwave-assisted Ugi-4CR reaction, and the desired products 5a–d were successfully obtained in moderate to good yields (Scheme 2).
Scheme 2.
Synthesis of peptoid boronate esters via Ugi-4CR.
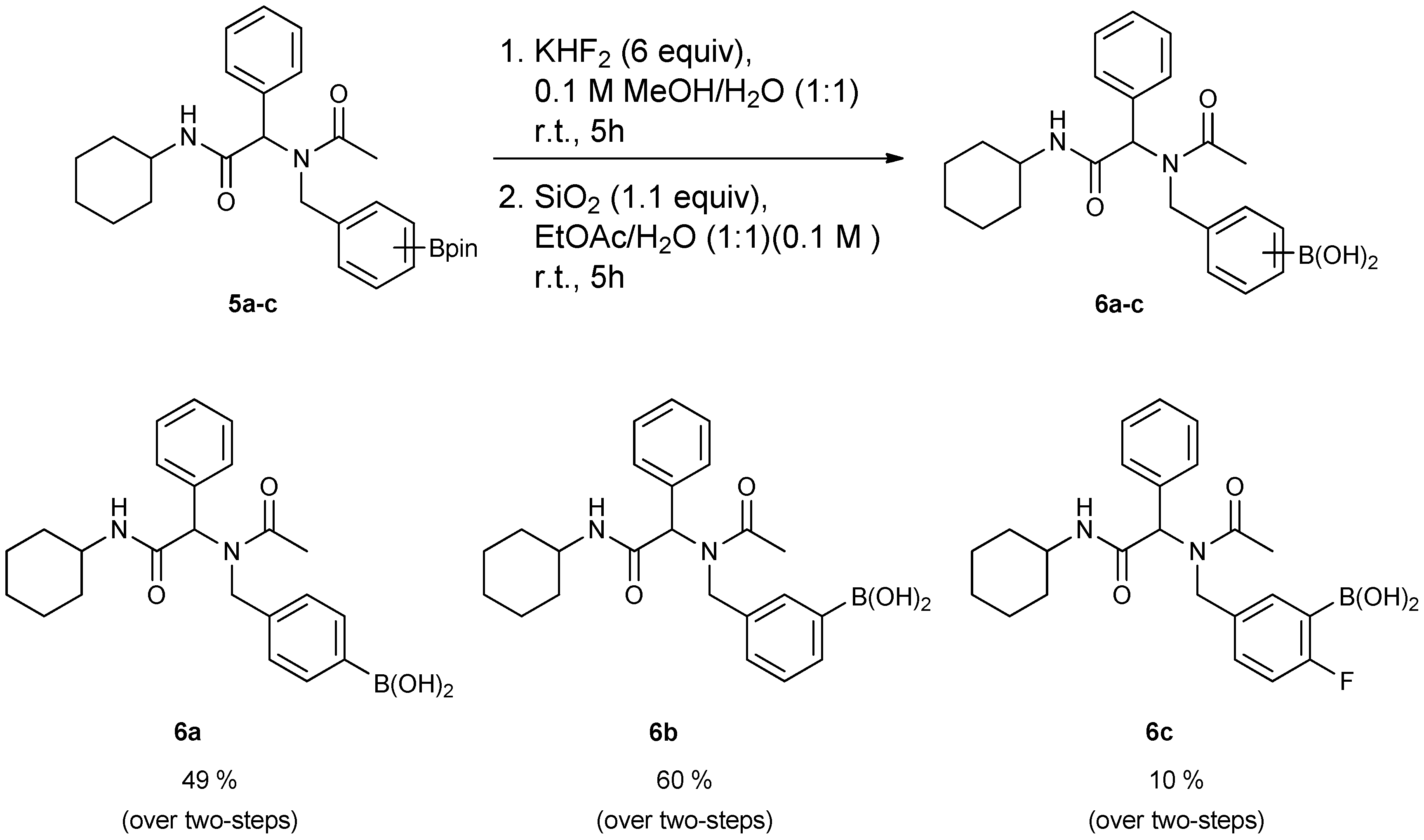
After successful synthesis of Ugi-4CR boronate esters 5a–d, transformation into the corresponding boronic acids 6a–c was performed. The boronate esters were first converted into potassium organotrifluoroborates that then underwent hydrolysis to give the desired boronic acids. Although it was possible to isolate each of the boronic acids, the substrate bearing an electron-withdrawing group 5c gave a particularly low yield over the two steps Scheme 3.
The structural diversity of the Ugi-4CR boronate esters was further increased by using a palladium-mediated Suzuki coupling reaction, where aryl/heteroaryl chlorides were cross-coupled to the boron- containing analogs to give 8a–b in moderate to good yields (Scheme 4).
Scheme 3.
Synthesis of peptoid boronic acids from the corresponding boronate esters.
Scheme 4.
Pd mediated Suzuki cross coupling of boron containing Ugi-4CR substrate.
3. Experimental
3.1. General Information
All starting materials were obtained from commercial suppliers and used without further purification unless otherwise noted. Reactions were performed on a CEM Co., Discovery microwave reactor with sealed vessels. Unless otherwise specified 1H-, and 13C-NMR spectra were recorded on a Bruker AC-300 FT-NMR spectrometer at 300 and 76 MHz, respectively. 11B-NMR spectra were recorded on a Bruker Avance 600 FT-NMR spectrometer at 193 MHz. All 11B chemical shifts were referenced to external BF3·OEt2 (0.0 ppm). Data is represented as follows: chemical shifts (ppm), multiplicity: (s = singlet, d = doublet, t = triplet, m = multiplet, br = broad), coupling constant J (Hz). Melting points were determined by using a Fargo MP-2D melting point apparatus and were uncorrected. High resolution ESI mass spectra were obtained on a Finnigan MAT 95S instrument. The desired products 4a–g were purified by a RP-HPLC using ODS-A C18 reverse phase column (5 μm, 10 mm × 250 mm) and following gradient elutions with solvent A: 0.1% TFA/ water, solvent B: 0.1% TFA/acetonitrile; from 0% to 90% of B over 90 min, a flow rate: 2.0 mL/min; detection: UV, 215 and 254 nm.
3.2. General Procedure A for the Synthesis of Boron-Containing Primary Alcohols 2a–g
[4-(4,4,5,5-Tetramethyl-1,3,2-dioxaborolan-2-yl)phenyl]methanol (2a). To a mixture of a 4-formylbenzenboronic acid (1a, 375 mg, 2.50 mmol), pinacol (355 mg, 3.00 mmol) and anhydrous magnesium sulfate (625 mg, 5.00 mmol), methanol was added (12.50 mL). The mixture was stirred at room temperature for 6 h. After the reaction was completed, the crude solution was filtered, and then sodium borohydride (47 mg, 1.25 mmol) was added to the filtrate. Afterwards, the reaction mixture was stirred for an additional 5 h. Once the reaction was completed, the reaction mixture was filtered and the filtrate was concentrated in vacuo to give the desired product 2a as a white solid (m.p. 75–77 °C) in 88% yield (513 mg); 1H-NMR (CD3OD-d4) δ ppm 7.71 (d, J = 8.0 Hz, 2H), 7.35 (d, J = 7.8 Hz, 2H), 4.62 (s, 2H), 1.34 (s, 12H); 13C-NMR (CD3OD-d4) δ ppm 146.23, 135.93, 127.26, 85.19, 65.24, 25.34; 11B-NMR (CDCl3) δ ppm 34.82.
[3-(4,4,5,5-Tetramethyl-1,3,2-dioxaborolan-2-yl)phenyl]methanol (2b). Following the General Procedure A, the desired compound was synthesized utilizing 3-formylbenzenboronic acid (1b, 375 mg, 2.50 mmol), pinacol (355 mg, 3.00 mmol), anhydrous magnesium sulfate (601 mg, 5.00 mmol), sodium borohydride (47 mg, 1.25 mmol), and methanol (12.50 mL) giving compound 2b as a white solid (m.p. 48–50 °C) in 86% yield (502 mg); 1H-NMR (CD3OD-d4) δ ppm 7.74 (s, 1 H), 7.64 (d, J = 7.2 Hz, 1H), 7.46 (d, J = 7.4 Hz, 1H), 7.34 (t, J = 7.4 Hz, 1H), 4.60 (s, 2H), 1.34 (s, 12H); 13C-NMR (CD3OD-d4) δ ppm 142.11, 134.76, 134.50, 131.23, 128.93, 85.23, 65.35, 25.35; 11B-NMR (CDCl3) δ ppm 30.97.
[4-Fluoro-3-(4,4,5,5-tetramethyl-1,3,2-dioxaborolan-2-yl]phenyl)methanol (2c). Following the General Procedure A, the desired compound was synthesized utilizing 2-fluoro-3-formylbenzenboronic acid (1c, 420 mg, 2.50 mmol), pinacol (355 mg, 3.00 mmol), anhydrous magnesium sulfate (601 mg, 5.00 mmol), sodium borohydride (47 mg, 1.25 mmol), and methanol (12.50 mL) giving compound 2c as a white solid (m.p. 80–82 °C) in 69% yield (435 mg); 1H-NMR (CD3OD-d4) δ ppm 7.68 (t, J = 3.4 Hz, 1H), 7.49–7.44 (m, 1H), 7.01 (t, J = 6.5 Hz, 1H), 4.57 (s, 2H), 1.34 (s, 12H); 13C-NMR (CD3OD-d4) δ ppm 166.42 (d, J = 249.0 Hz), 136.7, 135.1, 135.0, 131.9, 131.9, 114.7, 114.5, 114.2, 83.7, 62.9, 23.7, 23.7, 23.6; 11B-NMR (CDCl3) δ ppm 30.2.
[4-Chloro-3-(4,4,5,5-tetramethyl-1,3,2-dioxaborolan-2-yl)phenyl]methanol (2d). Following the General Procedure A, the desired compound was synthesized utilizing 2-chloro-5-(hydroxymethyl)phenylboronic acid (1d, 242 mg, 1.30 mmol), pinacol (184 mg, 1.56 mmol), anhydrous magnesium sulfate (313 mg, 2.60 mmol), sodium borohydride (25 mg, 0.65 mmol), and methanol (6.50 mL) giving compound 2d as a oil in 90% yield (314 mg); 1H-NMR (CD3OD-d4) δ ppm 7.66 (d, J = 1.8 Hz, 1H), 7.39–7.31 (m, 2H), 4.57 (s, 2H), 1.39 (t, J = 18.1 Hz, 12H); 13C-NMR (CDCl3) δ ppm 138.4, 138.1, 134.5, 130.2, 129.2, 84.0, 63.7, 24.5, 24.3; 11B-NMR (CDCl3) δ ppm 30.6.
[2-Fluoro-5-(4,4,5,5-tetramethyl-1,3,2-dioxaborolan-2-yl)phenyl]methanol (2e). Following the General Procedure A, the desired compound was synthesized utilizing 4-fluoro-3-formylphenylboronic acid (1e, 218 mg, 1.30 mmol), pinacol (184 mg, 1.56 mmol), anhydrous magnesium sulfate (313 mg, 2.60 mmol), sodium borohydride (25 mg, 0.65 mmol), and methanol (6.50 mL) giving compound 2e as a white solid (m.p. 44–47 °C) in 95% yield (312 mg); 1H-NMR (CD3OD-d4) δ ppm 7.87 (d, J = 8.1 Hz, 1H), 7.71–7.09 (m, 1H), 7.05 (t, J = 10.4 Hz, 1H), 4.67 (s, 2H), 1.34 (s, 12H); 13C-NMR (CD3OD-d4) δ ppm 164.4(d, J = 250.5 Hz), 137.6, 137.2, 137.1, 129.2, 129.1, 115.8, 115.7, 85.4, 58.9, 25.3, 25.2; 11B-NMR (CDCl3) δ ppm 30.6.
[3-Fluoro-4-(4,4,5,5-tetramethyl-1,3,2-dioxaborolan-2-yl)phenyl]methanol (2f). Following the General Procedure A, the desired compound was synthesized utilizing 2-fluoro-4-formylphenylboronic acid (1f, 218 mg, 1.30 mmol), pinacol (184 mg, 1.56 mmol), anhydrous magnesium sulfate (313 mg, 2.60 mmol), sodium borohydride (25 mg, 0.65 mmol), and methanol (6.50 mL) giving compound 2f as a white solid (m.p. 35–38 °C) in 94% yield (308 mg); 1H-NMR (CDCl3) δ ppm 7.60 (t, J = 6.8 Hz, 1H), 6.99 (d, J = 7.5 Hz, 1H), 6.93 (d, J = 10.4 Hz, 1H), 4.53 (s, 2H), 1.29 (s, 12H); 13C-NMR (CDCl3) δ ppm 167.4 (d, J = 250.5 Hz), 147.2, 136.9, 136.8, 121.5, 113.3, 113.1, 83.9, 64.2, 30.3, 24.8; 11B-NMR (CDCl3) δ ppm 29.9.
[2-Methyl-5-(4,4,5,5-tetramethyl-1,3,2-dioxaborolan-2-yl)phenyl]methanol (2g). Following the General Procedure A, the desired compound was synthesized utilizing 3-formylbenzenboronic acid (1g, 213 mg, 1.30 mmol), pinacol (184 mg, 1.56 mmol), anhydrous magnesium sulfate (313 mg, 2.60 mmol), sodium borohydride (25 mg, 0.65 mmol), and methanol (6.50 mL) giving compound 2g as a white solid (m.p. 60–63 °C) in 97% yield (312 mg); 1H-NMR (CD3OD-d4) δ ppm 7.74 (s, 1H), 7.55 (d, J = 7.4 Hz, 1H), 7.16 (d, J = 7.4 Hz, 1H), 4.62 (s, 2H), 2.36 (s, 3H), 1.34 (s, 12H); 13C-NMR (CD3OD-d4) δ ppm 141.1, 139.8, 135.4, 135.1, 130.8, 85.1, 63.5, 25.3, 25.2, 19.1; 11B-NMR (CDCl3) δ ppm 30.9.
3.3. General Procedure B for the Synthesis of Boron-Containing Primary Phthalimides 3a–g
2-[4-(4,4,5,5-Tetramethyl-1,3,2-dioxaborolan-2-yl)benzyl]isoindoline-1,3-dione (3a). Compound 2a (585 mg, 2.50 mmol), and dichloromethane (25.00 mL) were added to a dry flask containing a magnetic stir bar under a nitrogen atmosphere. The flask was cooled to 0 °C, then methanesulfonyl chloroide (0.29 mL, 3.75 mmol) and N,N-diisopropylethylamine (DIPEA, 0.87 mL, 5.00 mmol) were slowly added to the flask. The reaction mixture was stirred at 0 °C for 3 h. After the reaction was completed, the reaction mixture was diluted with dichloromethane (25.00 mL) before H2O (25.00 mL) was added. The organic layer was then washed with brine and dried with MgSO4. The resulting organic layer was then filtered and the filtrate was concentrated in vacuo. The resulting crude material was re-dissolved in DMF (4.68 mL) after which both potassium phthalimide salt (695 mg, 3.75 mmol), and K2CO3 (1,036 mg, 7.50 mmol) were added to the solution. The reaction was then allowed to stir at room temperature for 3 days. After the reaction was completed, the distilled H2O (20.00 mL) was slowly added to the reaction mixture to afford the formation of a solid precipitate. The reaction mixture was then filtered and the filtered cake was collected. The filtered cake was re-dissolved in tert-butanol/H2O (4:1, v/v) (10.00 mL) before a freeze-drying process was applied to remove the remaining DMF. The desired product 3a was obtained as a white solid (m.p. 166–169 °C) in 96% yield (872 mg); 1H-NMR (CDCl3) δ ppm 7.84–7.82 (m, 2 H), 7.74 (d, J = 7.85 Hz, 2 H), 7.71–7.68 (m, 2H), 7.42 (d, J = 7.85 Hz, 2H), 4.85 (s, 2H), 1.34 (s, 12H); 13C-NMR (CDCl3) δ ppm 167.90, 139.26, 135.12, 133.93, 132.04, 127.76, 123.29, 83.73, 41.60, 24.77; 11B-NMR (CDCl3) δ ppm 30.94.
2-[3-(4,4,5,5-Tetramethyl-1,3,2-dioxaborolan-2-yl)benzyl]isoindoline-1,3-dione (3b). Following the General Procedure B, the desired compound was synthesized utilizing 2b (767 mg, 3.28 mmol), methanesulfonyl chloride (0.38 mL, 4.92 mmol), DIPEA (1.14 mL, 6.56 mmol), potassium phthalimide salt (911 mg, 4.92 mmol), and potassium carbonate (1,360 mg, 9.84 mmol) giving compound 3b as a white solid (m.p. 170–173 °C) in 80% yield (953 mg); 1H-NMR (CDCl3) δ ppm 7.76–7.83 (m, 3H), 7.72–7.68 (m, 3H), 7.51 (d, J = 7.70 Hz, 1H), 7.32 (t, J = 7.5 Hz, 1H), 4.85 (s, 2H), 1.33 (s, 12H); 13C-NMR (CDCl3) δ ppm 135.60, 134.78, 134.25, 133.91, 132.13, 131.36, 128.05, 123.31, 83.82, 41.59, 24.84; 11B-NMR (CDCl3) δ ppm 30.88.
2-[4-Fluoro-3-(4,4,5,5-tetramethyl-1,3,2-dioxaborolan-2-yl)benzyl]isoindoline-1,3-dione (3c). Following the General Procedure B, the desired compound was synthesized utilizing 2c (378 mg, 1.50 mmol), methanesulfonyl chloroide (0.17 mL, 2.25 mmol), DIPEA (0.52 mL, 3.00 mmol), potassium phthalimide salt (417 mg, 2.25 mmol), and potassium carbonate (622 mg, 4.5 mmol) giving compound 3c as a white solid (m.p. 55–58 °C) in 75% yield (429 mg); 1H-NMR (CDCl3) δ ppm 7.84–7.78 (m, 3H), 7.78–7.67 (m, 2H), 7.52–7.7.47 (m, 1H), 6.95 (t, J = 8.8 Hz, 1H), 4.80 (s, 2H), 1.34 (s, 12H); 13C-NMR (CDCl3) δ ppm 167.93, 137.12, 137.07, 133.96, 133.73, 133,67, 132.03, 131.63, 123.47, 123.32, 115.61, 115.45, 83.95, 40.80, 24.75; 11B-NMR (CDCl3) δ ppm 30.19.
2-[4-Chloro-3-(4,4,5,5-tetramethyl-1,3,2-dioxaborolan-2-yl)benzyl]isoindoline-1,3-dione (3d). Following the General Procedure B, the desired compound was synthesized utilizing 2d (348 mg, 1.30 mmol), methanesulfonyl chloroide (0.15 mL, 1.95 mmol), DIPEA (0.45 mL, 2.60 mmol), potassium phthalimide salt (360 mg, 1.95 mmol), and potassium carbonate (539 mg, 3.90 mmol). Compound 3d was obtained as a white solid (m.p. 102–104 °C) in 85% yield (439 mg); 1H-NMR (CDCl3) δ ppm 7.78–7.74 (m, 2H), 7.71 (d, J = 2.0 Hz, 1H), 7.66–7.62 (m, 2H), 7.35 (q, J1 = 6.1 Hz, J2 = 2.1 Hz, 1H), 7.23 (d, J = 8.3 Hz, 1H), 4.75 (s, 2H), 1.32 (s, 12H); 13C-NMR (CDCl3) δ ppm 167.8, 139.0, 136.5, 134.1, 134.0, 132.1, 131.9, 129.6, 123.3, 84.2, 40.9, 24.8; 11B-NMR (CDCl3) δ ppm 30.6.
2-[2-Fluoro-5-(4,4,5,5-tetramethyl-1,3,2-dioxaborolan-2-yl)benzyl]isoindoline-1,3-dione (3e). Following the General Procedure B, the desired compound was synthesized utilizing 2e (272 mg, 1.08 mmol), methanesulfonyl chloroide (0.13 mL, 1.62 mmol), DIPEA (0.38 mL, 2.16 mmol), potassium phthalimide salt(300 mg, 1.62 mmol), and potassium carbonate (447 mg, 3.24 mmol) giving 3e as a white solid (m.p. 139–142 °C) in 53% yield (218 mg); 1H-NMR (CDCl3) δ ppm 7.85–7.79 (m, 3H), 7.73–768 (m, 3H), 7.02 (q, J1 = 1.8 Hz, J2 = 8.2 Hz, 1H), 4.91 (s, 2H), 1.32 (s, 12H); 13C-NMR (CDCl3) δ ppm 167.8, 163.0 (d, J = 252.0 Hz), 137.2, 136.7, 136.6, 133.9, 132.1, 123.4, 122.5, 122.4, 115.1, 114.9, 83.9, 35.6, 35.5, 24.8; 11B-NMR (CDCl3) δ ppm 30.6.
2-[3-Fluoro-4-(4,4,5,5-tetramethyl-1,3,2-dioxaborolan-2-yl)benzyl]isoindoline-1,3-dione (3f). Following the General Procedure B, the desired compound was synthesized utilizing 2f (293 mg, 1.16 mmol), methanesulfonyl chloroide (0.14 mL, 1.74 mmol), DIPEA (0.39 mL, 2.32 mmol), potassium phthalimide salt (322 mg, 1.74 mmol), and potassium carbonate (480 mg, 3.48 mmol) giving compound 3f as a white solid (m.p. 101–103 °C) in 97% yield (429 mg); 1H-NMR (CDCl3) δ ppm 7.85–7.81 (m, 2H), 7.73–7.66 (m, 3H), 7.17 (d, J = 7.7 Hz, 1H), 7.06 (d, J = 9.9 Hz, 1H), 4.82 (s, 2H), 1.32 (s, 12H); 13C-NMR (CDCl3) δ ppm 167.7, 167.2 (d, J = 252.0 Hz), 142.0, 141.9, 137.2, 137.2, 134.1, 131.9, 123.5, 123.4, 115.2, 114.9, 83.8, 40.9, 24.7; 11B-NMR (CDCl3) δ ppm 30.06.
2-[2-Methyl-5-(4,4,5,5-tetramethyl-1,3,2-dioxaborolan-2-yl)benzyl]isoindoline-1,3-dione (3g). Following the General Procedure B, the desired compound was synthesized utilizing 2g (598 mg, 2.41 mmol), methanesulfonyl chloroide (0.28 mL, 3.62 mmol), DIPEA (0.83 mL, 4.83 mmol), potassium phthalimide salt (670 mg, 3.62 mmol), and potassium carbonate (1,000 mg, 7.24 mmol) giving compound 3g as a white solid (m.p. 168–171 °C) in 48% yield (438 mg); 1H-NMR (CDCl3) δ ppm 7.81–7.76 (m, 3H), 7.68–7.61 (m, 3H), 7.16 (d, J = 7.4 Hz, 1H), 4.86 (s, 2H), 2.49 (s, 3H), 1.29 (s, 12H); 13C-NMR (CDCl3) δ ppm 167.8, 139.5, 134.9, 134.2, 133.7, 133.4, 131.8, 129.7, 126.5, 122.9, 83.4, 39.1, 24.6, 19.6; 11B-NMR (CDCl3) δ ppm 31.1.
3.4. General Procedure C for the Synthesis of Boron-Containing Primary Amines 4a–g
[4-(4,4,5,5-Tetramethyl-1,3,2-dioxaborolan-2-yl)phenyl]methanamine (4a). Compound 3a (196 mg, 0.54 mmol) was added to a dry flask containing magnetic stir and dissolved in THF (5.50 mL). Afterwards, hydrazine hydrate (0.08 mL, 1.62 mmol) was added to the reaction mixture. The reaction was stirred under a reflux for 12 h. The resulting dried crude material was then re-suspended with chloroform (50.00 mL), filtered, and the filtrate was concentrated in vacuo. The crude material was purified by High Performance Liquid Chromatography (HPLC) to give the desired product 4a as a white solid (m.p. 85 °C) in 87% yield (111 mg); 1H-NMR (CDCl3) δ ppm 7.78 (d, J = 7.9 Hz, 2H), 7.32 (d, J = 8.0 Hz, 2H), 3.88 (s, 2H), 1.34 (s, 12H); 13C-NMR (CDCl3) δ ppm 136.72, 135.56, 127.18, 84.11, 43.94, 25.02; 11B-NMR (CD3OD-d4) δ ppm 30.90; HRMS (ESI, positive ion) (m/z): [M+H]+ calcd for C13H20BNO2, 234.1669; found, 234.1651.
[3-(4,4,5,5-Tetramethyl-1,3,2-dioxaborolan-2-yl)phenyl]methanamine (4b). Following the General Procedure C, the desired compound was synthesized utilizing 3b (250 mg, 0.69 mmol), THF (7.00 mL), and hydrazine hydrate (0.10 mL, 2.07 mmol) giving compound 4b as a white solid (m.p. 91 °C) in 82% yield (131 mg); 1H-NMR (CDCl3) δ ppm 7.74–7.68 (m, 2H), 7.42–7.32 (m, 2H), 3.86 (s, 2H), 1.34 (s, 12H); 13C-NMR (CDCl3) δ ppm 142.78, 133.58, 133.48, 130.30, 128.23, 84.03, 46.69, 25.07; 11B-NMR (CD3OD-d4) δ ppm 30.94; HRMS (ESI, positive ion) (m/z): [M+H]+ calcd for C13H20BNO2, 234.1669; found, 234.1644.
[4-Fluoro-3-(4,4,5,5-tetramethyl-1,3,2-dioxaborolan-2-yl)phenyl]methanamine (4c). Following the General Procedure C, the desired compound was synthesized utilizing 3c (953 mg, 2.50 mmol), THF (25.00 mL), and hydrazine hydrate(0.36 mL, 7.50 mmol) giving compound 4c as a white solid (m.p. 62 °C) with 98% yield (616 mg); 1H-NMR (CDCl3) δ ppm 7.66–7.63 (m, 1H), 7.40–7.34 (m, 1H), 6.99 (t, J = 5.9 Hz, 1H), 3.83 (s, 2H), 1.34 (s, 12H); 13C-NMR (CDCl3) δ ppm 166.44 (d, J = 249.9 Hz), 138.64, 135.58, 135.47, 132.37, 132.25, 116.48, 116.31, 84.13, 45.92, 25.03; 11B-NMR (CD3OD-d4) δ ppm 30.12; HRMS (ESI, positive ion) (m/z): [M+H]+ calcd for C13H19BFNO2, 252.1574; found, 252.1548.
[4-Chloro-3-(4,4,5,5-tetramethyl-1,3,2-dioxaborolan-2-yl)phenyl]methanamine (4d). Following the General Procedure C, the desired compound was synthesized utilizing 3d (524 mg, 1.32 mmol), THF (13.00 mL), and hydrazine hydrate (0.20 mL, 3.96 mmol) giving compound 4d as a white solid (m.p. 56 °C) in 36% yield (128 mg); 1H-NMR (CDCl3) δ ppm 7.59 (s, 1H), 7.31–7.26 (m, 2H), 4.19 (s, 2H), 1.27 (s, 12H); 13C-NMR (CDCl3) δ ppm 135.26, 134.97, 131.96, 130.91, 130.59, 84.37, 45.76, 24.95; 11B-NMR (CD3OD-d4) δ ppm 30.45; HRMS (ESI, positive ion) (m/z): [M+H]+ calcd for C13H19BClNO2, 268.1279; found, 268.1153.
[2-Fluoro-5-(4,4,5,5-tetramethyl-1,3,2-dioxaborolan-2-yl)phenyl]methanamine (4e). Following the General Procedure C, the desired compound was synthesized utilizing 3e (679 mg, 1.78 mmol), THF (18.00 mL), and hydrazine hydrate (0.26 mL, 5.34 mmol) giving compound 4e as a white solid (m.p. 78 °C) in 91% yield (405 mg); 1H-NMR (CDCl3) δ ppm 7.76–7.66 (m, 2H), 7.02 (t, 1H), 3.91 (s, 2H), 1.33 (s, 12H); 13C-NMR (CDCl3) δ ppm 163.27 (d, J = 126.8 Hz), 138.35, 136.29, 136.24, 124.02, 123.93, 83.96, 36.59, 24.88; 11B-NMR (CD3OD-d4) δ ppm 30.05; HRMS (ESI, positive ion) (m/z): [M+H]+ calcd for C13H19BFNO2, 252.1574; found, 252.1549.
[3-Fluoro-4-(4,4,5,5-tetramethyl-1,3,2-dioxaborolan-2-yl)phenyl]methanamine (4f). Following the General Procedure C, the desired compound was synthesized utilizing 3f (907 mg, 2.38 mmol), THF (24.00 mL), and hydrazine hydrate (0.34 mL, 7.15 mmol) giving compound 4f as a white solid (m.p. 52 °C) in 66% yield (396 mg); 1H-NMR (CDCl3) δ ppm 7.70 (t, J = 6.5 Hz, 1H), 7.10 (d, J = 7.8 Hz, 1H), 7.04 (d, J = 9.7 Hz, 1H), 3.93 (s, 2H), 1.30 (s, 12H); 13C-NMR (CDCl3) δ ppm 167.24 (d, J = 252.2 Hz), 137.98, 137.87, 124.21, 116.05, 115.72, 84.37, 43.20, 25.02, 24.93; 11B-NMR (CDCl3-d3) δ ppm 30.16; HRMS (ESI, positive ion) (m/z): [M+H]+ calcd for C13H19BFNO2, 252.1574; found, 252.1549.
[2-Methyl-5-(4,4,5,5-tetramethyl-1,3,2-dioxaborolan-2-yl)phenyl]methanamine (4g). Following the General Procedure C, the desired compound was synthesized utilizing 3g (690 mg, 1.83 mmol), THF (18.00 mL), and hydrazine hydrate (0.26 mL, 5.49 mmol) giving compound 4g as a white solid (m.p. 59 °C) in 58% yield (262 mg); 1H-NMR (CDCl3) δ ppm 7.62–7.60 (m, 2H), 7.17 (d, J = 6.7 Hz, 1H), 3.75 (s, 2H), 2.38 (s, 3 H), 1.34 (s, 12H); 13C-NMR (CDCl3) δ ppm 140.44, 136.90, 134.49, 134.32, 130.10, 83.71, 42.04, 24.91, 19.68; 11B-NMR (CDCl3) δ ppm 31.01; HRMS (ESI, positive ion) (m/z): [M+H]+ calcd for C14H22BNO2, 248.1489; found, 248.9602.
3.5. General Procedure D for the Synthesis of Ugi-4CR Boronate esters 5a–c
N-Cyclohexyl-2-phenyl-2-{N-[4-(4,4,5,5-tetramethyl-1,3,2-dioxaborolan-2-yl)benzyl] acetamido}acetamide (5a). A 10 mL glass tube containing 4a (396 mg, 1.70 mmol), benzylaldehyde (0.17 mL, 1.70 mmol) and MeOH (3.40 mL) was first microwave irradiated for 120 min (50 °C, 150 W) under medium speed magnetic stirring. Acetic acid (0.12 mL, 2.04 mmol) and cyclohexyl isocyanide (0.21 mL, 1.70 mmol) were then added to the reaction mixture. Additional microwave irradiation was applied for 120 min (50 °C, 150 W) under moderate magnetic stirring. After the reaction was completed, MeOH was removed in vacuo. The crude material was re-dissolved in ethyl acetate and the resulting organic solution was washed with 1 M aqueous HCl solution. This was followed by adding a saturated aqueous solution of K2CO3 combined with brine. The resulting organic layer was collected, dried by MgSO4, and then concentrated in vacuo. Afterwards, the crude material was purified by flash column chromatography on silica gel using n-hexane/ethyl acetate = 1:1 as the eluent to afford the desired product 5a as a white solid (m.p. 100 °C) in 69% yield (575 mg); 1H-NMR (CDCl3) δ ppm 7.59 (d, J = 7.7 Hz, 2H), 7.44–7.18 (m, 5H), 7.10–6.90 (m, 2H), 6.08 (s, 0.55H), 5.79 (b, 0.45H), 4.66 (q, J1 = 41.9, J2 = 18.1, 2H), 3.77 (br, 1H), 2.00–1.03 (m, 22H); 13C-NMR (CDCl3) δ ppm 172.9, 168.8, 141.1, 135.4, 135.0, 129.8, 128.9, 128.7, 128.6, 127.5, 125.5, 83.9, 62.3, 50.8, 48.7, 32.9, 26.1, 25.6, 25.0, 24.9, 24.9, 22.6; 11B-NMR (CD3OD-d4) δ ppm 31.2; HRMS (ESI, positive ion) (m/z): [M+H]+ calcd for C29H39BN2O4, 491.3079; found, 491.3067.
N-Cyclohexyl-2-phenyl-2-{N-[3-(4,4,5,5-tetramethyl-1,3,2-dioxaborolan-2-yl)benzyl]acetamido}acetamide (5b). Following the General Procedure D, the desired compound was synthesized utilizing 4b (394 mg, 1.69 mmol), benzylaldehyde (0.17 mL, 1.69 mmol), cyclohexyl isocyanide (0.21 mL, 1.69 mmol), acetic acid (0.12 mL, 2.03 mmol), and MeOH (3.40 mL) giving compound 5b as a white solid (m.p. 91 °C) in 52% yield (430 mg); 1H-NMR (Bruker AC-600 FT-NMR spectrometer at 600 MHz, CDCl3) δ ppm 7.57 (d, J = 7.2 Hz, 1H), 7.33–7.09 (m, 8 H), 5.92 (s, 1H), 5.67 (br, 0.45H), 4.65 (q, J1 = 46.5, J2 = 17.4, 2H), 3.75 (br, 1H), 2.10 (s, 3H), 1.64–1.05 (m, 22H); 13C-NMR (Bruker AC-600 FT-NMR spectrometer at 150.9 MHz, CDCl3) δ ppm 22.3, 24.8, 25.2, 32.6, 48.7, 50.9, 63.0, 83.8, 127.8, 128.7, 128.9, 129.0, 129.5, 132.4, 133.4, 134.8, 136.3, 168.7, 173.3; 11B-NMR (CD3OD-d4) δ ppm 31.08; HRMS (ESI, positive ion) (m/z): [M+H]+ calcd for C29H39BN2O4, 491.3079; found, 491.3057.
N-Cyclohexyl-2-{N-[4-fluoro-3-(4,4,5,5-tetramethyl-1,3,2-dioxaborolan-2-yl)benzyl]acetamido}-2-phenylacetamide (5c). Following the General Procedure D, the desired compound was synthesized utilizing 4c (733 mg, 2.92 mmol), benzylaldehyde (0.30 mL, 2.92 mmol), cyclohexyl isocyanide (0.36 mL, 2.92 mmol), acetic acid (0.20 mL, 3.50 mmol), and MeOH (4.00 mL) giving 5c a white solid (m.p. 110 °C) in 74% yield (1,100 mg); 1H-NMR (CDCl3) δ ppm 7.32–7.06 (m, 7H), 6.81(br, 1H), 6.00 (s, 0.50H), 5.66 (br, 0.50H), 4.62 (q, J1 = 44.0, J2 = 17.3, 2H), 3.76 (m, 1H), 2.06 (s, 3H), 1.85–1.06 (m, 22H); 13C-NMR (CDCl3) δ ppm 172.62, 168.62, 166.97, 165.31, 135.11, 134.32, 134.28, 132.68, 130.92, 130.87, 129.73, 128.76, 128.55, 115.15, 83.91, 62.39, 49.99, 48.61, 31.91, 29.34, 24.82, 24.58, 22.47; 11B-NMR (CDCl3) δ ppm 29.94; HRMS (ESI, positive ion) (m/z): [M+H]+ calcd for C30H40BFN2O4, 509.2985; found, 509.3139.
N-Cyclohexyl-2-phenyl-2-{N-[4-(4,4,5,5-tetramethyl-1,3,2-dioxaborolan-2-yl)benzyl]acetamido}propionamide (5d). Following the General Procedure D, the desired compound was synthesized utilizing 4a (487 mg, 2.09 mmol), benzylaldehyde (0.21 mL, 2.09 mmol), cyclohexyl isocyanide (0.26 mL, 2.09 mmol), propionic acid (0.19 mL, 2.50 mmol), and MeOH (4.00 mL) giving 5d as a white solid (m.p. 102 °C) in 44% yield (464 mg); 1H-NMR (CDCl3) δ ppm 7.59 (d, J = 7.3 Hz, 2H), 7.34–7.23 (m, 5H), 6.93 (d, J = 7.2, 2H), 6.09 (s, 0.48H), 5.66 (b, 0.52H), 4.66 (q, J1 = 46.4, J2 = 18.1, 2H), 3.78 (br, 1H), 2.37–1.04 (m, 27H); 13C-NMR (CDCl3) δ ppm 175.9, 168.8, 141.1, 135.2, 134.7, 129.7, 128.7, 128.5, 125.2, 83.7, 62.4, 49.9, 48.5, 32.7, 26.2, 25.4, 24.8, 24.7, 9.2; 11B-NMR (CDCl3) δ ppm 30.6; HRMS (ESI, positive ion) (m/z): [M+H]+ calcd for C30H41BN2O4, 505.3157; found, 505.3219.
3.6. General Procedure E for the Synthesis of Ugi-4CR Boronic Acid Derivatives 6a–c
[4-({N-[2-(Cyclohexylamino)-2-oxo-1-phenylethyl]acetamido}methyl)phenyl]boronic acid (6a). Compound 5a (917 mg, 1.87 mmol) and KHF2 (876 mg, 11.22 mmol) were added to a flask containing magnetic stir, which was then suspended in MeOH/H2O (1:1, v/v, 9.35 mL). The reaction mixture was stirred vigorously at room temperature for 6 hours, and the solvents were removed in vacuo. The resulting mixture of solids were dried under a dry-freezing vacuum overnight and then subjected to extraction with hot acetone (100.00 mL). The resulting acetone extracts were concentrated in vacuo. SiO2 (123 mg, 2.05 mmol) was added to this crude material which was re-suspended in H2O/ethyl acetate (1:1, v/v) (5.5 mL). The reaction was stirred at room temperature until 11B-NMR indicated completion of the reaction (5 h). The reaction mixture was filtered to remove SiO2, and the filter cake was thoroughly rinsed with ethyl acetate. The aqueous layer was separated from the organic layer, and the aqueous layer was extracted with ethyl acetate (2 × 15 mL). The organic layer was collected and dried with MgSO4. This organic solution was then filtered, and concentrated in vacuo to afford the desired pure product 6a as a white solid (m.p. 177 °C) in 49% yield (374 mg); 1H-NMR (CD3OD-d4) δ ppm 7.56–7.20 (m, 6H), 6.94–6.89 (m, 3H), 6.09 (s, 0.81H), 5.67 (br, 0.23H), 4.64 (q, J1 = 88.5, J2 = 19.4, 2H), 3.69–3.54 (br, 1H), 2.08 (s., 3H), 1.96–1.06 (m, 10H); 13C-NMR (CD3OD-d4) δ ppm 175.4, 171.6, 136.4, 135.1, 134.7, 131.2, 130.2, 129.8, 129.7, 127.6, 126.3, 63.9, 51.3, 50.2, 33.6, 33.6, 26.7, 26.2, 26.2, 22.7; 11B-NMR (CD3OD-d4) δ ppm 28.09; HRMS (ESI, positive ion) (m/z): [M+H]+ calcd for C23H29BN2O4, 409.2297; found, 409.2310.
[3-({N-[2-(Cyclohexylamino)-2-oxo-1-phenylethyl]acetamido}methyl)phenyl]boronic acid (6b). Following the General Procedure E, the desired compound was synthesized utilizing 5b (431 mg, 0.88 mmol), KHF2 (412 mg, 5.28 mmol), SiO2 (58 mg, 0.96 mmol), and MeOH/H2O (1:1, v/v, 4.5 mL) giving 6b as a white solid (m.p. 150 °C) in 60% yield (215 mg); 1H-NMR (CD3OD-d4) δ ppm 7.51–6.98 (m, 9H), 6.10 (s, 0.81H), 5.66 (br, 0.19H), 4.69 (q, J1 = 70.7, J2 = 18.1, 2H), 3.66 (br, 1H), 2.09 (s, 3H), 1.82–1.03 (m, 10H); 13C-NMR (CD3OD-d4) δ ppm 175.25, 171.43, 170.26, 138.30, 138.05, 136.65, 136.35, 133.93, 133.37, 133.08, 132.87, 132.46, 131.90, 131.01, 130.36, 130.08, 129.95, 129.65, 129.48, 128.85, 128.61, 128.46, 128.31, 66.41, 63.76, 51.21, 50.11, 33.46, 26.60, 26.09, 26.04, 22.56; 11B-NMR (CD3OD-d4) δ ppm 28.58; HRMS (ESI, positive ion) (m/z): [M+H]+ calcd for C23H29BN2O4, 409.2318; found, 409.2297.
[5-({N-[2-(Cyclohexylamino)-2-oxo-1-phenylethyl]acetamido}methyl)-2-fluorophenyl]boronic Acid (6c). Following the General Procedure E, the desired compound was synthesized utilizing 5c (46 mg, 0.09 mmol), KHF2 (42 mg; 0.54 mmol), SiO2 (6 mg; 0.10 mmol), and MeOH/H2O (1:1, v/v, 2.0 mL) giving compound 6c as a white solid (m.p. 61 °C) with 10% yield (4 mg); 1H-NMR (Bruker AC-600 FT-NMR spectrometer at 600 MHz, CD3OD-d4) δ ppm 7.27–7.20 (m, 5H), 6.97–6.82 (m, 3H), 6.10 (s, 0.72H), 5.66 (br, 0.28H), 4.65 (q, J1 = 127.8, J2 = 17.4, 2H), 3.65 (br, 1H), 2.19 (s, 0.89H), 2.08 (s, 2.11H), 1.85–1.59 (m, 5H), 1.34–1.14 (m, 5H); 13C-NMR (CD3OD-d4) δ ppm 175.21, 174.62, 171.36, 170.35, 136.51, 136.34, 135.62, 134.81, 134.08, 132.57, 131.10, 129.68, 115.57, 115.41, 114.83, 66.27, 63.48, 50.51, 50.02, 33.51, 33.46, 26.60, 26.10, 26.05, 22.49; 11B-NMR (CD3OD-d4) δ ppm 28.46; HRMS (ESI, positive ion) (m/z): [M+H]+ calcd for C23H28BFN2O4, 427.2202; found, 427.2204
3.7. General Procedure F for the Synthesis 8a–b
2-[N-([1,1'-Biphenyl]-3-ylmethyl)acetamido]-N-cyclohexyl-2-phenylacetamid (8a). Compound 5b (284 mg, 0.58 mmol), bromobenzene (0.08 mL, 0.75 mmol), and Pd(PPh3)2Cl2 (40 mg, 0.06 mmol) were added to a flask containing a magnetic stir with EtOH (5.80 mL). Triethylamine (0.18 mL, 1.28 mmol) was then added to the reaction mixture and the reaction mixture was stirred under reflux condition for 10 h under a N2 atmosphere. After cooling the mixture to room temperature, solvent was removed in vacuo. The crude material was diluted with ethyl acetate (5.00 mL) and water (5.00 mL). The aqueous layer was separated from the organic layer, and the aqueous layer was extracted with ethyl acetate (2 × 15 mL). Organic layers were then combined, washed with brine solution, and dried with MgSO4, and solvent was removed in vacuo. The crude material was then purified by flash column chromatography on silica gel using n-hexane/ethyl acetate = 1:1 as the eluent to give the desired product 8a as a white solid (m.p. 180 °C) in 57% yield (146 mg); white solid; 1H-NMR (Bruker AC-600 FT-NMR spectrometer at 600 MHz, CD3OD-d4) δ ppm 7.47–7.19 (m, 12H), 7.07 (s, 1H), 6.96 (d, J = 7.8 Hz, 1H), 6.15 (s, 0.77H), 5.68 (br, 0.23H), 4.75 (q, J1 = 115.8, J2 = 18.0, 2H), 3.65 (m, 1H), 2.11 (s, 3H), 1.82–1.08 (m, 10H); 13C-NMR (Bruker AC-600 FT-NMR spectrometer at 150.9 MHz, CD3OD-d4) δ ppm 175.41, 171.51, 142.75, 142.33, 140.03, 136.65, 131.20, 130.26, 130.00, 129.93, 129.72, 128.56, 128.15, 126.67, 126.21, 125.77, 63.73, 51.35, 50.19, 33.63. 26.75, 26.25, 26.20, 22.72; HRMS (ESI, positive ion) (m/z): [M+H]+ calcd for C29H32N2O2, 441.2543; found, 441.2542.
N-[2-(Cyclohexylamino)-2-oxo-1-phenylethyl]-N-[4-(6-methoxypyrimidin-4-yl)benzyl]propionamide (8b). Following the General Procedure F, the desired compound was synthesized, utilizing N-[2-(cyclohexylamino)-2-oxo-1-phenylethyl]-N-[4-(4,4,5,5-tetramethyl-1,3,2-dioxaborolan-2-yl)benzyl]-propionamide (5d, 236 mg, 0.52 mmol), 4-chloro-6-methoxypyrimidine (105.24 mg, 0.728 mmol), Pd(PPh3)2Cl2 (15 mg, 0.06 mmol), and triethylamine (0.17 mL, 1.23 mmol) giving compound 8b as a white solid (m.p. 174 °C) in 82% yield (223 mg); 1H-NMR (CDCl3) δ ppm 8.76 (s, 1 H), 7.78 (d, J = 8.2 Hz, 1H), 7.32–6.66 (m, 9H), 6.11 (s, 0.42H), 5.93 (b, 0.58H), 4.68 (q, J1 = 51.4, J2 = 18.2, 2H), 3.97 (s, 3H), 3.77 (m, 1H), 2.40–2.13 (m, 2H), 1.84–1.02 (m, 13H); 13C-NMR (CDCl3) δ ppm 176.29, 175.82, 169.97, 164.83, 158.44, 141.87, 135.43, 129.84, 128.87, 128.79, 128.71, 127.10, 126.57, 117.01, 103.40, 62.73, 54.01, 49.91, 48.76, 32.85, 27.41, 25.56, 24.91, 24.83, 9.46; HRMS (ESI, positive ion) (m/z): [M+H]+ calcd for C29H34N4O3, 487.2710; found, 487.2702.
4. Conclusions
In summary, seven boron-containing primary amines were successfully synthesized from the corresponding formylphenyl boronate esters. Further, the synthesized amines were incorporated into the peptoid-like backbone in moderate to good yields via an Ugi-4CR reaction under microwave-assisted conditions. The boronate ester group of the peptoid-like analogs was successfully transformed to provide the corresponding boronic acids using a simple two-step protocol. In addition, the structure of the peptoid-like boronate esters was further modified by coupling to aryl/heteroaryl chlorides via palladium-mediated Suzuki cross-coupling reactions. These results suggest that boron-containing primary amines could be a unique building block for use in the progression of the field of peptoid research.
Supplementary Materials
Supplementary materials can be accessed at: http://www.mdpi.com/1420-3049/18/10/12346/s1.
Acknowledgments
This research was supported by the National Science Council in Taiwan (NSC-99-2113-032-002-MY2, NSC-101-2113-M-032-001-MY2). We thank Department of Chemistry of Tamkang University for the equipment and financial support. We thank Shen-Shen Chen for conducting 11B-NMR experiments, and we thank Instrumentation Center of National Taiwan University for conducting HRMS experiments.
Conflicts of Interest
The authors declare no conflict of interest.
References
- Wright, G.D. The Antibiotic Resistome: The nexus of chemical and genetic diversity. Nat. Rev. Microbiol. 2007, 5, 175–186. [Google Scholar] [CrossRef]
- Miller, S.M.; Simon, R.J.; Ng, S.; Zuckermann, R.N.; Kerr, J.M.; Moos, W.H. Comparison of the proteolytic susceptibilities of homologous l-amino acid, d-amino acid, and N-substituted glycine peptide and peptoid oligomers. Drug Dev. Res. 1995, 35, 20–32. [Google Scholar] [CrossRef]
- Borchardt, R.T. Optimizing oral absorption of peptides using prodrug strategies. J. Control Release 1999, 62, 231–238. [Google Scholar] [CrossRef]
- Pollaro, L.; Heinis, C. Strategies to prolong the plasma residence time of peptide drugs. Med. Chem. Commun. 2010, 1, 319–324. [Google Scholar] [CrossRef]
- Werle, M.; Bernkop-Schnürch, A. Strategies to improve plasma half life time of peptide and protein drugs. Amino Acids 2006, 30, 351–367. [Google Scholar] [CrossRef]
- Miller, S.M.; Simmon, R.J.; Ng, S.; Zuckermann, R.N.; Kerr, J.M.; Moos, W.H. Proteolytic studies of homologous peptide and N-substituted glycine peptoid oligomers. Bioorg. Med. Chem. Lett. 1994, 4, 2657–2662. [Google Scholar] [CrossRef]
- Yu, P.; Liu, B.; Kodadek, T. A highly-throughput assay for assessing the cell permeability of combinatorial libraries. Nat. Biotechnol. 2005, 23, 746–751. [Google Scholar] [CrossRef]
- Xiao, X.; Yu, P.; Lim, H.-S.; Sikder, D.; Kodadeck, T. Design and synthesis of a cell-permeable synthetic transcription factor mimic. J. Comb. Chem. 2007, 9, 592–600. [Google Scholar] [CrossRef]
- Hara, T.; Durell, S.R.; Myers, M.C.; Appella, D.H. Probing the structural requirements of peptoids that inhibit HDM2-p53 Interactions. J. Am. Chem. Soc. 2006, 128, 1995–2004. [Google Scholar]
- Patch, J.A.; Barron, A.E. Helical peptoid mimics of magainin-2 amide. J. Am. Chem. Soc. 2003, 125, 12092–12093. [Google Scholar] [CrossRef]
- Chongsiriwatana, N.P.; Patch, J.A.; Czyzewski, A.M.; Dohm, M.T.; Ivankin, A.; Gidalevitz, D.; Zuckermann, R.N.; Barron, A.E. Peptoids that mimic the structure, function, and mechanism of helical antimicrobial peptides. Proc. Natl. Acad. Sci. USA 2008, 105, 2794–2799. [Google Scholar] [CrossRef]
- Seurynck-Servoss, S.L.; Dohm, M.T.; Barron, A.E. Effects of including an N-terminal insertion region and arginine-mimetic side chains in helical peptoid analogues of lung surfactant protein B. Biochemistry 2006, 45, 11809–11818. [Google Scholar] [CrossRef]
- Zuckermann, R.N.; Martin, E.J.; Spellmeyer, D.C; Stauber, G.B.; Shoemaker, K.R.; Kerr, J.M.; Figliozzi, G.M.; Goff, D.A.; Siani, M.A.; Simmon, R.J.; et al. Discovery of nanomolar ligands for 7-transmembrane G-protein-coupled receptors from a diverse N-(substituted)glycine peptoid library. J. Med. Chem. 1994, 37, 2678–2685. [Google Scholar] [CrossRef]
- Zhu, J. Recent developments in the isonitrile-based multicomponent synthesis of heterocycles. Eur. J. Org. Chem. 2003, 1133–1144. [Google Scholar] [CrossRef]
- Barreto, A.F.S.; Vercillo, O.E.; Birkett, M.A.; Caulfield, J.C.; Wessojohann, L.A.; Andrade, C.K.Z. Fast and efficient microwave-assisted synthesis of functionalized peptoids via Ugi reactions. Org. Biomol. Chem. 2011, 9, 5024–5027. [Google Scholar] [CrossRef]
- Gellman, S.H. Foldamers: A manifesto. Acc. Chem. Res. 1998, 31, 173–180. [Google Scholar] [CrossRef]
- Hill, D.J.; Mio, M.J.; Prince, R.B.; Hughes, T.S.; Moore, J.S. A field guide to foldamers. Chem. Rev. 2001, 101, 3893–4011. [Google Scholar] [CrossRef]
- Seo, J.; Barron, A.E.; Zuckermann, R.N. Novel peptoid building blocks: Synthesis of functionalized aromatic helix-inducing submonomers. Org. Lett. 2010, 12, 492–495. [Google Scholar] [CrossRef]
- Fowler, S.A.; Luechapanichkul, R.; Blackwell, H.E. Synthesis and characterization of nitroaromatic peptoids: Fine tuning peptoid secondary structure through monomer position and functionality. J. Org. Chem. 2009, 74, 1440–1449. [Google Scholar] [CrossRef]
- Murphy, J.M.; Tzschucke, C.C.; Hartwig, J.F. One-pot synthesis of arylboreonic acids and aryl trifluoroborates by Ir-catalyzed borylation of arenes. Org. Lett. 2007, 9, 757–760. [Google Scholar] [CrossRef]
- Molander, G.A.; Cavalcanti, L.N. Nitrosation of aryl and heteroaryltrifluoroborates with nitrosonium tetrafluoroborate. J. Org. Chem. 2012, 77, 4402–4413. [Google Scholar] [CrossRef]
- Molander, G.A.; Cavalcanti, L.N. Metal-free chlorodeboronation of organotrifluoroborates. J. Org. Chem. 2011, 76, 7195–7203. [Google Scholar] [CrossRef]
- Kabalka, G.W.; Mereddy, A.R. Synthesis of organic bromides via organotrifluoroborates. Organometallics 2004, 23, 4519–4521. [Google Scholar] [CrossRef]
- Molander, G.A.; Cavalcanti, L.N.; Canturk, B.; Pan, P.-S.; Kenedy, L.E. Efficient hydrolysis of organotrifluoroborates via silica gel and water. J. Org. Chem. 2009, 74, 7364–7369. [Google Scholar] [CrossRef]
- Molander, G.A.; Cavalcanti, L.N. Oxidation of organotrifluoroborates via oxone. J. Org. Chem. 2011, 76, 623–630. [Google Scholar] [CrossRef]
- Miyaura, N.; Suzuki, A. Stereoselective synthesis of arylated (E)-alkenes by the reaction of alk-1-enylboranes with aryl halides in the presence of palladium catalyst. J. Chem. Soc. Chem. Commun. 1979, 866–867. [Google Scholar] [CrossRef]
- Salvatore, R.N.; Yoon, C.H.; Jung, K.W. Synthesis of secondary amines. Tetrahedron 2001, 57, 7785–7811. [Google Scholar] [CrossRef]
- Gomez, S.; Peters, J.A.; Maschmeyer, T. The reductive amination of aldehydes and ketones and the hydrogenation of nitriles: mechanistic aspects and selectivity control. Adv. Synth. Catal. 2002, 344, 1037–1057. [Google Scholar] [CrossRef]
- Abdel-Magid, A.F.; Mehrman, S.J. A review on the use of sodium triacetoxyborohydride in the reductive amination of ketones and aldehydes. Org. Process Res. Dev. 2006, 10, 971–1031. [Google Scholar] [CrossRef]
- Borch, R.F.; Bernstein, M.D.; Dupont Durst, H. The cyanohydridoborate anion as a selective reducing agent. J. Am. Chem. Soc. 1971, 93, 2897–2904. [Google Scholar] [CrossRef]
- Baxter, E.W.; Reitz, A.B. Reductive aminations of carbonyl compounds with borohydride and borane reducing agents. Org. React. 2004, 59, 1–714. [Google Scholar]
- Bódis, J.; Lefferts, L.; Müller, T.E.; Pestman, R.; Lercher, J.A. Activity and selectivity control in reductive amination of butyraldehyde over noble metal cataysts. Catal. Lett. 2005, 104, 23–28. [Google Scholar]
- Tripathi, R.P.; Verma, S.S.; Pandey, J.; Tiwari, V.K. Recent development on catalytic reductive amination and applications. Curr. Org. Chem. 2008, 12, 1093–1115. [Google Scholar]
- Zwierzak, A. An optimized version of Gabriel-type nucleophilic amination. Synth. Commun. 2000, 30, 2287–2293. [Google Scholar] [CrossRef]
- Ramalingam, K.; Nowotnik, D.P. Synthesis of some isothiocyanatophenylboronic acids. Org. Prep. Proc. Int. 1991, 23, 729–734. [Google Scholar] [CrossRef]
- Filippis, A.; Morin, C.; Thimon, C. Synthesis of some para-functionalized phenylboronic acid derivatives. Synth. Commun. 2002, 32, 2669–2676. [Google Scholar] [CrossRef]
- Hagen, H.; Marzenell, P.; Jentzsch, E.; Wenz, F.; Veldwijk, M.R.; Mokhir, A. Aminoferrocene-based prodrugs activated by reactive oxygen species. J. Med. Chem. 2012, 55, 924–934. [Google Scholar] [CrossRef]
- Sample Availability: Samples of the compounds are available from the authors.
© 2013 by the authors; licensee MDPI, Basel, Switzerland. This article is an open access article distributed under the terms and conditions of the Creative Commons Attribution license (http://creativecommons.org/licenses/by/3.0/).





































