Synthesis and Antibacterial Evaluation of Novel Heterocyclic Compounds Containing a Sulfonamido Moiety
Abstract
:1. Introduction
2. Results and Discussion
2.1. Chemistry
2.2. Antibacterial Activity Evaluation
2.2.1. Agar Diffusion Method
2.2.2. Filter Paper Disc-Diffusion Method
3. Experimental
3.1. General
3.1.1. Ethyl {[4-N-(4,6-dimethylpyrimidin-2-yl)sulfamoyl]phenylazo}cyanoacetate (3)
3.1.2. Reaction of 3 with Acetylacetone or Acetoacetanilide; Formation of 5 and 7
3.1.3. Reaction of 3 with β-ketoesters, β-cyanoesters and β-dicarbonitriles; Formation of 9a–c and 11
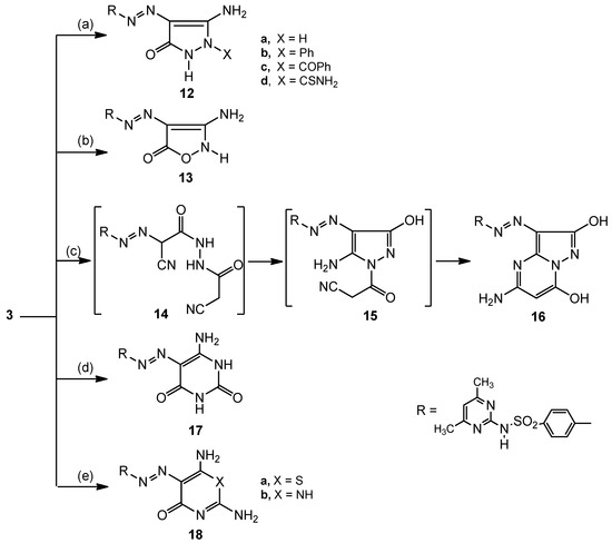
3.1.4. Reaction of 3 with Diamino Compounds; Formation of 12a–d
3.1.5. 3-Amino-4-{[4-N-(4,6-dimethylpyrimidin-2-yl)sulfamoyl]phenylazo}-isoxazol-5(2H)one (13)
3.1.6. 5-Amino-3-{[4-N-(4,6-dimethylpyrimidin-2-yl)sulfamoyl]phenylazo}-2,7-dihydroxypyrazolo-[1,5-a]pyrimidine (16)
3.1.7. Reaction of 3 with Urea, Thiourea & Guanidine; Formation of 17, 18a,b
3.2. Antibacterial Screening
3.2.1. Agar Diffusion Method [24]
3.2.2. Filter Paper Disc-Diffusion Method [25]
4. Conclusion
Acknowledgments
References
- Surpuran, C.T.; Scozzafava, A.; Jurca, B.C.; Ilies, M.A. Carbonic anhydrase inhibitors. Part 49. Synthesis of substituted ureido and thioureido derivatives of aromatic / heterocyclic sulfonamides with increased affinities for isozyme I. Eur. J. Med. Chem. 1998, 33, 83–93. [Google Scholar] [CrossRef]
- Di Fiore, A.; Monti, S.M.; Innocenti, A.; Winuma, J.-Y.; De Simone, G.; Supuran, C.T. Carbonic anhydrase inhibitors: Crystallographic and solution binding studies for the interaction of a boron-containing aromatic sulfamide with mammalian isoforms I–XV. Bioorg. Med. Chem. Lett. 2010, 20, 3601–3605. [Google Scholar] [CrossRef] [PubMed]
- Smaine, F.-Z.; Pacchiano, F.; Rami, M.; Barragan-Montero, V.; Vullo, D.; Scozzafava, A.; Winuma, J.-Y.; Supuran, C.T. Carbonic anhydrase inhibitors: 2-Substituted-1,3,4-thiadiazole-5-sulfamides act as powerful and selective inhibitors of the mitochondrial isozymes VA and VB over the cytosolic and membrane-associated carbonic anhydrases I, II and IV. Bioorg. Med. Chem. Lett. 2008, 18, 6332–6335. [Google Scholar] [CrossRef] [PubMed]
- Gadad, A.K.; Mahajanshetti, C.S.; Nimbalkar, S.; Raichurkar, A. Synthesis and antibacterial activity of some 5-guanylhydrazone/thiocyanato-6-arylimidazo[2,1-b]-1,3,4-thiadiazole-2-sulfonamide derivatives. Eur. J. Med. Chem. 2000, 35, 853–857. [Google Scholar] [CrossRef]
- Sondhi, S.M.; Johar, M.; Singhal, N.; Dastidar, S.G.; Shukla, R.; Raghubir, R. Synthesis and anticancer, anti-inflammatory and analgesic activity evaluation of some drugs and acridine derivatives. Monatsh. Chem. 2000, 131, 511–520. [Google Scholar] [CrossRef]
- Dow, R.L.; Paight, E.S.; Schneider, S.R.; Hadcock, J.R.; Hargrove, D.M.; Martin, K.A.; Maurer, T.S.; Nardone, N.A.; Tess, D.A.; DaSilva-Jardinea, P. Potent and selective, sulfamide-based human β3-adrenergic receptor agonists. Bioorg. Med. Chem. Lett. 2004, 14, 3235–3240. [Google Scholar] [PubMed]
- Patel, S.D.; Habeski, W.M.; Cheng, A.C.; de la Cruz, E.; Loh, C.; Kablaoui, N.M. Quinazolin-4-piperidin-4-methyl sulfamide PC-1 inhibitors: Alleviating hERG interactions through structure based design. Bioorg. Med. Chem. Lett. 2009, 19, 3339–3343. [Google Scholar] [CrossRef] [PubMed]
- Ezabadi, I.R.; Canoutsis, C.; Zoumpoulakis, P.; Geronikaki, A.; Sokovic, M.; Glamocilija, J.; Ciric, A. Sulfonamide-1,2,4-triazole derivatives as antifungal and antibacterial agents: Synthesis, biological evaluation, lipophilicity, and conformational studies. Bioorg. Med. Chem. 2008, 16, 1150–1161. [Google Scholar] [CrossRef] [PubMed]
- Chen, Z.; Xu, W.; Liu, K.; Yang, S.; Fan, H.; Bhadury, P.S.; Hu, D.-Y.; Zhang, Y. Synthesis and antiviral activity of 5-(4-chlorophenyl)-1,3,4-thiadiazole sulfonamides. Molecules 2010, 15, 9046–9056. [Google Scholar] [CrossRef] [PubMed]
- Azab, M.E.; Ibraheem, M.E.A.; Madkour, H.M.F. The utility of 2-(5,6,7,8-tetrahydro-benzo[b]thieno[2,3-d]pyrimidin-4-yloxy)acethydrazide in heterocyclic synthesis. Phosphorus Sulfur Silicon Relat. Elem. 2006, 181, 1299–1313. [Google Scholar] [CrossRef]
- Salem, M.A.I.; Soliman, E.A.; Smith, M.B.; Mahmoud, M.R.; Azab, M.E. Utility of 1-(2,4-Dimethoxyphenyl)-3-arylprop-2-ene-1-ones as ring transformer in preparing heterocyclic compounds and their potential biological activities. Phosphorus Sulfur Silicon Relat. Elem. 2004, 179, 61–76. [Google Scholar] [CrossRef]
- Azab, M.E. Utility of enaminonitrile moiety in the synthesis of some biologically active thienopyrimidine derivatives. Phosphorus Sulfur Silicon Relat. Elem. 2008, 183, 1766–1782. [Google Scholar] [CrossRef]
- Madkour, H.M.F.; Azab, M.E.; Ibraheem, M.A.E. 5,6,7,8-Tetrahydrobenzo[b]thieno-[2,3-d]pyrimidin-4(3H)-one as a synthon of heterocyclic systems. Bullgarian Chem. Commun. 2009, 41, 12–18. [Google Scholar]
- Mahmoud, M.R.; El-Bassiouny, F.A.; Azab, M.E.; El-Kady, M.Y.; Rashed, H.M. Heteroannulation of chromene derivatives. Synthesis of chromeno[4,3-e]indazolne, chromeno[4,3-f]quinazoline and pyrano[3,2-c]chromene derivatives. J. Chem. Res. 2009, 1, 41–45. [Google Scholar] [CrossRef]
- Youssef, A.M.S.; Azab, M.E.; Youssef, M.M. Bromination and diazo-coupling of pyridinethiones; Microwave assisted synthesis of isothiazolopyridine, pyridothiazine and pyridothiazepines. Molecules 2012, 17, 6930–6943. [Google Scholar] [CrossRef] [PubMed]
- Abu-Hashem, A.A.; Youssef, M.M. Synthesis of new visnagen and khellin furochromone pyrimidine derivatives and their anti-inflammatory and analgesic activity. Molecules 2011, 16, 1956–1972. [Google Scholar] [CrossRef] [PubMed]
- Faty, R.M.; Youssef, M.M.; Youssef, A.M.S. Microwave assisted synthesis and unusual coupling of some novel pyrido[3,2-f][1,4]thiazepines. Molecules 2011, 16, 4549–4559. [Google Scholar] [CrossRef] [PubMed]
- Saad, H.A.; Youssef, M.M.; Mosselhi, M.A. Microwave assisted synthesis of some new fused 1,2,4-triazine bearing thiophene moiety of expected pharmacological activity. Molecules 2011, 16, 4937–4957. [Google Scholar] [CrossRef] [PubMed]
- Saleh, M.A.; Abdel-Megeed, M.F.; Abdo, M.A.; Shokr, A.M. Synthesis of novel 3H-quinazolin-4-ones containing pyrazolinone, pyrazole and pyrimidinone moieties. Molecules 2003, 8, 363–373. [Google Scholar] [CrossRef]
- Ammar, Y.A.; Saleh, N.M.; Micky, J.A.; Abbas, H.A.S.; El-Gaby, M.S.A. Activated nitriles in heterocyclic chemistry: Facile synthesis and antimicrobial activity of some pyrimidine, pyrazolopyrimidine and pyrazolotriazine derivatives containing sulfonamido moiety. Ind. J. Chem. 2004, 43B, 2203–2211. [Google Scholar] [CrossRef]
- El-Gaby, M.S.A.; Taha, N.M.; Micky, J.A.; El-Sharief, M.A.M. Preparation of some novel 3,5-diaminopyrazole, pyrazolo[l,5-a][1,3,5]triazine and pyrazolo[l,5-a]-pyrimidine derivatives containing sulfonamido moieties as antimicrobial agents. Acta Chim. Solv. 2002, 49, 159–171. [Google Scholar]
- Mohareb, R.M.; Sherif, S.M.; Gaber, H.M.; Ghabrial, S.S.; Aziz, S.I. Thiophenyl-hydrazonoacetates in heterocyclic synthesis. Heteroatom Chem. 2004, 15, 15–20. [Google Scholar] [CrossRef]
- Moustafa, H.M.; Khodary, A.; Abdel-Ghany, H. Synthesis of 3,4-biheterylthieno-[2,3-b]thiophenes. Part I: Synthesis of 3,4-bi(1',3',4'-thiadiazolyl-, s-triazolyl-, 1',3',4'-thiadiazinyl-, 1',3',4'-triazinyl-, thiazolyl-, 1',3'-thiazinyl- and primidinyl-) thieno[2,3-b]thiophenes. Phosphorus Sulfur Silicon Relat. Elem. 2003, 178, 1689–1701. [Google Scholar] [CrossRef]
- Carrod, L.P.; Grady, F.D. Antibiotic and Chemotherapy, 3rd ed.; Churchill livingstone: Edinburgh, UK, 1972; p. 477. [Google Scholar]
- Coffen, D.L.; Korzan, D.G. Synthetic quinine analogs. III. Frangomeric and anchimeric processes in the preparation and reactions of α,β-epoxy ketones. J. Org. Chem. 1971, 36, 390–395. [Google Scholar] [CrossRef]
Sample Availability: Samples of the compounds 3, 5, 7, 9a–c, 11, 12a–d, 13, 16, 17, 18a,b are available from the authors. |



| Compound No. | Gram positive | Gram negative | ||
|---|---|---|---|---|
| Staphylococcus aureus | Bacillus cereus | Serratia marcesens | Proteus mirabilis | |
| 3 | ++ | ++ | ++ | ++ |
| 5 | - | - | + | + |
| 7 | ++ | ++ | + | + |
| 9a | + | + | + | + |
| 9b | + | - | + | + |
| 9c | + | + | - | - |
| 11 | + | + | + | + |
| 12a | +++ | +++ | +++ | +++ |
| 12b | ++ | +++ | ++ | ++ |
| 12c | ++ | ++ | ++ | ++ |
| 12d | +++ | ++ | + | ++ |
| 13 | + | + | + | + |
| 16 | ++ | ++ | +++ | +++ |
| 17 | ++ | +++ | +++ | ++ |
| 18a | + | + | +++ | + |
| 18b | ++ | ++ | +++ | +++ |
| Comp. No. | Inhibition zone (mm) | |||
|---|---|---|---|---|
| Gram-positive | Gram-negative | |||
| Staphylococcus aureus | Bacillus cereus | Serratia marcesens | Proteus mirabilis | |
| 3 | 12 | 10 | 11 | 8 |
| 5 | 0 | 0 | 5 | 7 |
| 7 | 13 | 11 | 6 | 6 |
| 9a | 3 | 5 | 3 | 4 |
| 9b | 6 | 7 | 2 | 6 |
| 9c | 6 | 6 | 8 | 5 |
| 11 | 5 | 7 | 7 | 8 |
| 12a | 17 | 16 | 16 | 18 |
| 12b | 15 | 12 | 13 | 11 |
| 12c | 12 | 11 | 10 | 10 |
| 12d | 16 | 12 | 7 | 11 |
| 13 | 7 | 7 | 5 | 8 |
| 16 | 13 | 11 | 16 | 17 |
| 17 | 17 | 12 | 18 | 14 |
| 18a | 9 | 8 | 15 | 7 |
| 18b | 12 | 13 | 17 | 15 |
| Chloram-phenicol® | 18 | 19 | 22 | 21 |
| Ampicilin® | 19 | 22 | 24 | 20 |
© 2013 by the authors; licensee MDPI, Basel, Switzerland. This article is an open access article distributed under the terms and conditions of the Creative Commons Attribution license (http://creativecommons.org/licenses/by/3.0/).
Share and Cite
Azab, M.E.; Youssef, M.M.; El-Bordany, E.A. Synthesis and Antibacterial Evaluation of Novel Heterocyclic Compounds Containing a Sulfonamido Moiety. Molecules 2013, 18, 832-844. https://doi.org/10.3390/molecules18010832
Azab ME, Youssef MM, El-Bordany EA. Synthesis and Antibacterial Evaluation of Novel Heterocyclic Compounds Containing a Sulfonamido Moiety. Molecules. 2013; 18(1):832-844. https://doi.org/10.3390/molecules18010832
Chicago/Turabian StyleAzab, Mohammad Emad, Mohamed M. Youssef, and Eman A. El-Bordany. 2013. "Synthesis and Antibacterial Evaluation of Novel Heterocyclic Compounds Containing a Sulfonamido Moiety" Molecules 18, no. 1: 832-844. https://doi.org/10.3390/molecules18010832
APA StyleAzab, M. E., Youssef, M. M., & El-Bordany, E. A. (2013). Synthesis and Antibacterial Evaluation of Novel Heterocyclic Compounds Containing a Sulfonamido Moiety. Molecules, 18(1), 832-844. https://doi.org/10.3390/molecules18010832
