Novel Antimicrobial Organic Thermal Stabilizer and Co-Stabilizer for Rigid PVC
Abstract
:1. Introduction
2. Results and Discussion
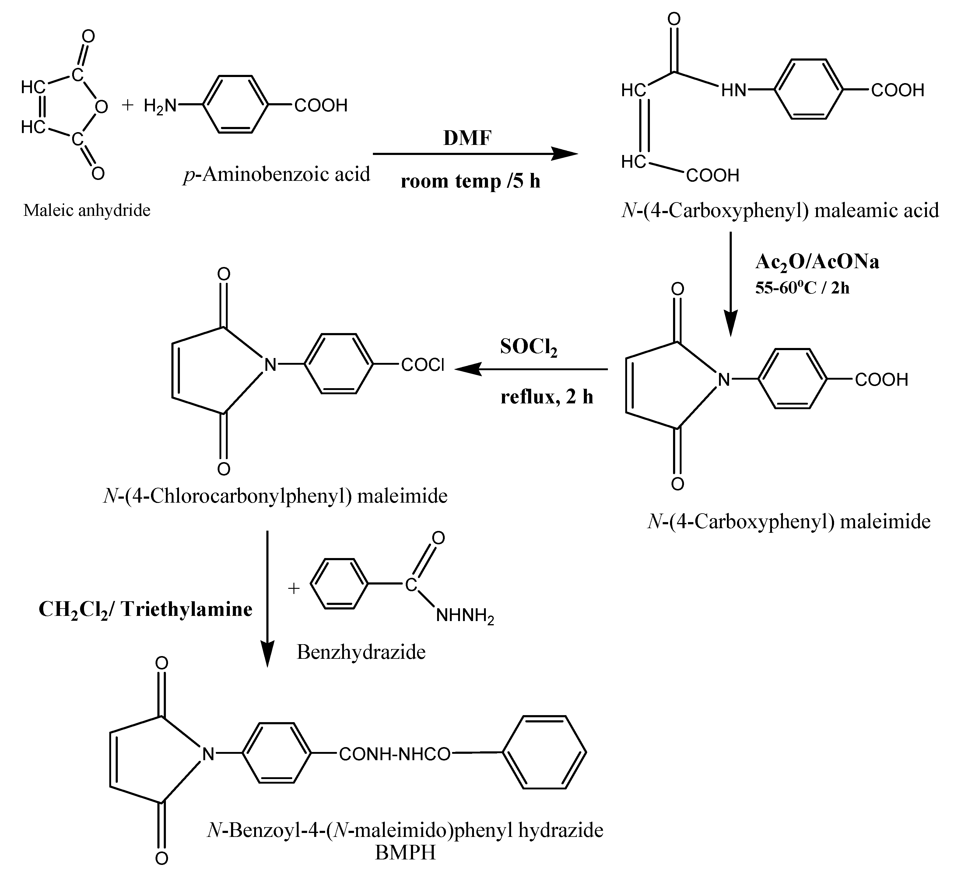
2.1. Preparation and Characterization of N-benzoyl-4-(N-maleimido)-phenylhydrazide (BMPH)
2.2. Stabilization of Thermally Degraded Rigid PVC Using BMPH
2.3. Elucidation of the Molecular Mass by GPC
2.4. Thermogravimetric Analysis
2.5. Effect of Mixed Stabilizers on the Stabilization Efficiency of Thermally Degraded Rigid PVC
2.6. Biological Activity for BMPH against Bacterial and Fungal Strains Isolated from Animal Origin
3. Experimental
3.1. General
3.2. Methods
3.2.1. Preparation of N-Benzoyl-4-(N-maleimido)phenyl hydrazide (BMPH)
3.2.2. Preparation of Stabilized PVC Samples
3.2.3. Method of Evaluation of the Stabilizing Efficiency
3.2.4. Thermogravimetric Analysis
3.2.5. Molecular Mass Determination by GPC
3.2.6. Antimicrobial Activity of BMPH
4. Conclusions
References
- Chytrý, V.; Obereigner, B.; Lim, D. Study of Thermal Decomposition of Poly (vinyl chloride) Type Polymers with the Use of Model Substances—II: Pyrolysis of Trans-1,3-Dichloro-1- Pentene, Trans-5-Chloro-3-Heptene, cis-4-Chloro-2-Pentene and of Stereoisomers of 2,4-Dichloropentane in the Gas Phase. Eur. Polym. J. 1971, 7, 1111–1118. [Google Scholar]
- Braun, D. Thermal Degradation of Poly (vinyl chloride). In Developments in Polymer Degradation; Grassie, N., Ed.; Applied Science Publishers: London, UK, 1981; p. 101. [Google Scholar]
- Prezzavento, B.A. The Efficient Routine Use of Automated Colorimetry in the Evaluation of the Thermal Degradation of PVC Formulations. J. Vinyl Technol. 1991, 13, 138–143. [Google Scholar] [CrossRef]
- Hawkins, W.L. Polymer Stabilization; Wiley-Interscience: New York, NY, USA, 1972. [Google Scholar]
- Iván, B.; Kennedy, J.P.; Kélen, T.; Tüdòs, F.; Nagy, T.T.; Turcsanyi, B. Degradation of PVCs Obtained by Controlled Chemical Dehydrochlorination. J. Polym. Sci. Polym. Chem. Ed. 1983, 21, 2177–2188. [Google Scholar] [CrossRef]
- Caraculacu, A.; Bezdadea, E.C.; Istrate, G. Structure of Branching in PVC. J. Polym. Sci. 1970, 8, 1239–1246. [Google Scholar] [CrossRef]
- Landler, Y.; Lebel, P. Greffage sur Polychlorure de Vinyle par Préozonisation. J. Polym. Sci. 1960, 48, 477–489. [Google Scholar] [CrossRef]
- Zeppenfeld, G. Die Anwendung der Eisenrhodanidmethode zur Quantitativen Bestimmung des Peroxidgehaltes in Strahlenoxydiertem Polyvinylchloride. Makromol. Chem. 1966, 90, 169–176. [Google Scholar] [CrossRef]
- Schwenk, U.; Streitberger, H.; König, I. Über die Spaltung von PVC mit Alkali in Tetrahydrofuran. Angew. Makromol. Chem. 1975, 47, 43–59. [Google Scholar] [CrossRef]
- Kalouskova, R.; Novotna, M.; Vymazal, Z. Investigation of Thermal Stabilization of Poly (vinyl chloride) by Lead Stearate and its Combination with Synthetic Hydrotalcite. Polym. Degrad. Stab. 2004, 85, 903–909. [Google Scholar] [CrossRef]
- Deanin, R.D.; Reynolds, H.H.; Ozcayir, Y. Thermal Stabilization of Polyvinyl chloride by group II Metal Laurates1,2. J. Appl. Polym. Sci. 1969, 13, 1247–1252. [Google Scholar] [CrossRef]
- Allen, D.W.; Brooks, J.S.; Clarkson, R.W.; Unwin, J.; Smith, P.J. A 119mSn Mossbauer Study of the Thermal Degradation of PVC Stabilised by Various Organotin(IV) and Tin(II) Compounds. Polym. Degrad. Stab. 1985, 13, 191–200. [Google Scholar] [CrossRef]
- Sabaa, M.W.; Mikhael, M.G.; Mohamed, N.A.; Yassin, A.A. N-Substituted Maleimides as Thermal Stabilizers for Rigid Polyvinylchloride. Angew. Makromol. Chem. 1989, 168, 23–35. [Google Scholar] [CrossRef]
- Sabaa, M.W.; Mikhael, M.G.; Mohamed, N.A.; Yassin, A.A. N-Substituted maleimides as thermal stabilizers for plasticized Poly (vinyl chloride). Polym. Degrad. Stab. 1990, 27, 319–336. [Google Scholar] [CrossRef]
- Yassin, A.A.; Sabaa, M.W.; Abdel-Naby, A.S. Cyanoguanidine and Its Complexes as Thermal Stabilizers for Rigid Poly (vinyl chloride). Polym. Degrad. Stab. 1991, 31, 189–202. [Google Scholar] [CrossRef]
- Mohamed, N.A.; Sabaa, M.W. N-Acryloyl-N′-Cyanoacetohydrazide as a Thermal Stabilizer for Rigid Poly (vinyl chloride). Polym. Int. 1998, 45, 147–156. [Google Scholar] [CrossRef]
- Sabaa, M.W.; Abdel-Naby, A.S. 1-Cyanoethanoyl-4-acryloyl thiosemicarbazide and iIts Metal Complexes as Thermal Stabilizers for Rigid Poly (vinyl chloride). Polym. Degrad. Stab. 1999, 64, 185–190. [Google Scholar] [CrossRef]
- Sabaa, M.W.; Mohamed, R.R. Organic Thermal Stabilizers for Rigid Poly (vinyl chloride). Part XIII: Eugenol (4-allyl-2-methoxy-phenol). Polym. Degrad. Stab. 2007, 92, 587–595. [Google Scholar] [CrossRef]
- Mohamed, N.A.; Al-afaleq, E.I. Aromatic 1,3,4-Oxadiazoles as Thermal Stabilizers for Rigid Poly (vinyl chloride). Polymer 1999, 40, 617–627. [Google Scholar] [CrossRef]
- Mohamed, N.A.; Yassin, A.A.; Khalil, Kh.D.; Sabaa, M.W. Organic Thermal Stabilizers for Rigid Poly (vinyl chloride) I. Barbituric and Thiobarbituric Acids. Polym. Degrad. Stab. 2000, 70, 5–10. [Google Scholar] [CrossRef]
- Mohamed, N.A.; Sabaa, M.W.; Khalil, Kh.D.; Yassin, A.A. Organic Thermal Stabilizers for Rigid Poly (vinyl chloride) III. Crotonal and Cinnamal Thiobarbituric Acids. Polym. Degrad. Stab. 2001, 72, 53–61. [Google Scholar] [CrossRef]
- Sabaa, M.W.; Mohamed, R.R.; Yassin, A.A. Organic Thermal Stabilizers for Rigid poly (vinyl chloride) VIII. Phenylurea and Phenylthiourea Derivatives. Polym. Degrad. Stab. 2003, 81, 37–45. [Google Scholar] [CrossRef]
- Sabaa, M.W.; Oraby, E.H.; Abdel-Naby, A.S.; Mohamed, R.R. Organic Thermal Stabilizers for Rigid Poly (vinyl chloride). Part XII: N-Phenyl-3-Substituted-5-Pyrazolone Derivatives. Polym. Degrad. Stab. 2006, 91, 911–923. [Google Scholar] [CrossRef]
- Mohamed, R.R. N’-Acryloyl Benzhydrazide as a Thermal Stabilizer for Rigid poly (vinyl chloride). J. Vinyl Addit. Technol. 2008, 14, 184–190. [Google Scholar] [CrossRef]
- Sabaa, M.W.; Mohamed, R.R.; Oraby, E.H. Vanillin–Schiff’s Bases as Organic Thermal Stabilizers and Co-Stabilizers for Rigid Poly (vinyl chloride). Eur. Polym. J. 2009, 45, 3072–3080. [Google Scholar] [CrossRef]
- Sabaa, M.W.; Rabie, S.T.; Mohamed, R.R. Novel Antimicrobial and Antitumor Organic Thermal Stabilizers for Rigid Poly (vinyl chloride). J. Therm. Anal. Calorim. 2011, 1–11. [Google Scholar] [CrossRef]
- Gad, A.M.; El-Dissouky, A.; Mansour, E.M.; El-Maghraby, A. Thermal Stability of Poly Acryloyl Benzoic Hydrazide and Its Complexes with Some Transition Metals. Polym. Degrad. Stab. 2000, 68, 153–158. [Google Scholar] [CrossRef]
- Chen, X.; Li, C.; Zhang, L.; Xu, S.; Zhou, Q.; Zhu, Y.; Qu, X. Main Factors in Preparation of Antibacterial Particles /PVC Composite. China Particuol. 2004, 2, 226–229. [Google Scholar] [CrossRef]
- Cheng, Q.; Li, C.; Pavlinek, V.; Saha, P.; Wang, H. Surface-Modified Antibacterial TiO2/Ag+ Nanoparticles: Preparation and Properties. Appl. Surf. Sci. 2006, 252, 4154–4160. [Google Scholar] [CrossRef]
- Tomohito, K.; Masahiko, O.; Guido, G.; Tadaaki, M.; Toshiaki, Y. Antibacterial Effect of Thiocyanate Substituted Poly (vinyl chloride). J. Polym. Res. 2011, 18, 945–947. [Google Scholar]
- Sabaa, M.W.; Mikhael, M.G.; Mohamed, N.A.; Yassin, A.A. N-substituted Maleimides as Thermal Stabilizers for Rigid Poly (vinyl chloride). Angew. Makromol. Chem. 1989, 168, 23–25. [Google Scholar] [CrossRef]
- Mohamed, N.A. Aromatic Hydrazides as Stabilizers for Rigid PVC Against Thermo-Oxidative Degradation. Polym. Degrad. Stab. 1997, 56, 317–329. [Google Scholar] [CrossRef]
- Scott, G.; Tahan, M.; Vyvoda, J. The Effect of Thermal Processing on PVC—IV. Photo-Oxidation of Stabilized PVC. Eur. Polym. J. 1979, 15, 51–54. [Google Scholar] [CrossRef]
- Oishi, T.; Fujimoto, M. Synthesis and Polymerization of N-[4-N′-(a-Methylbenzyl) aminocarbonylphenyl]maleimide. J. Polym. Sci. Polym. Chem. 1992, 30, 1821–1830. [Google Scholar] [CrossRef]
- Rao, B.S. Novel Bismaleimides via epoxy-carboxy addition reaction: Synthesis characterization and thermal stability. J. Polym. Sci. Polym. Lett. 1988, 26, 3–10. [Google Scholar] [CrossRef]
- Vymazal, Z.; Czako, E.; Meissner, B.; Stepek, J. Déhydrochloruration du PCV en utilisant une Correction Pour des Conditions Isothermes. Appl. Polym. Sci. 1974, 18, 2861–2863. [Google Scholar] [CrossRef]
- Bauer, A.W.; Kirby, W.M.; Sherris, C.; Turck, M. Antibiotic Susceptibility Testing by a Standardized Single Disk Method. Am. J. Clin. Pathol. 1966, 45, 493–496. [Google Scholar] [CrossRef] [PubMed]
- Pfaller, M.A.; Burmeister, L.; Bartlett, M.A.; Rinaldi, M.G. Multicenter Evaluation of Four Methods of Yeast Inoculums Preparation. J. Clin. Microbiol. 1998, 26, 1437–1441. [Google Scholar]
- Jorgensen, J.H. Antimicrobial susceptibility testing of bacteria that grow aerobically. Infect. Dis. Clin. N. Am. 1993, 7, 393–409. [Google Scholar]
- Robert, C.A.; Christine, W.; Robert, C.M.J. Antimicrobial Susceptibility of Flavobacteria. Antimicrob. Agents Chemother. 1978, 14, 483–487. [Google Scholar]
- Reference Method for Broth Dilution Antifungal Susceptibility Testing of Conidium-Forming Filamentous Fungi; Proposed Guideline M38-A; National Committee for Clinical Laboratory Standards (NCCLS): Wayne, PA, USA, 2008.
- Method for Antifungal Disk Diffusion Susceptibility Testing of Yeast; Proposed Guideline M44-P; National Committee for Clinical Laboratory Standards (NCCLS): Wayne, PA, USA, 2003.
- Liebowitz, L.D.; Ashbee, H.R.; Evans, E.G.V.; Chong, Y.; Mallatova, N.; Zaidi, M.; Gibbs, D. Global Antifungal Surveillance Group. A Two Year Global Evaluation of the Susceptibility of Candida Species to Fluconazole by Disk Diffusion. Diagn. Microbiol. Infect. Dis. 2001, 4, 27–33. [Google Scholar] [CrossRef]
- Matar, M.J.L.; Ostrosky, Z.; Paetznick, V.L.; Rodriguez, J.R.; Chen, E.; Rex, J.H. Correlation Between E-Test, Disk Diffusion and Microdilution Methods for Antifungal Susceptibility Testing of Fluconazole and Voriconazole. Antimicrob. Agents Chemother. 2003, 47, 1647–1651. [Google Scholar] [CrossRef] [PubMed]
Sample Availability: Not available. |






| Type of stabilizer | Ts/min |
|---|---|
| Blank PVC | 0 |
| DBLC | 7 |
| Ca-Zn stearate | 6 |
| BMPH | 22 |
| BMPH + Ca-Zn stearate (75%:25%) | 30 |
| BMPH + Ca-Zn stearate (50%:50%) | 50 |
| BMPH + Ca-Zn stearate (25%:75%) | 35 |
| BMPH + DBLC (75%:25%) | 31 |
| BMPH + DBLC (50%:50%) | 50 |
| BMPH + DBLC (25%:75%) | 30 |
| Type of stabilizer | Color at 0 min | Color at 15 min | Color at 25 min | Color at 35 min | Color at 45 min |
|---|---|---|---|---|---|
| Blank PVC | White | Light brown | Dark brown | Black | Black |
| DBLC | White | Light brown | Brown | Dark brown | Dark brown |
| Ca-Zn stearate | White | Orange | Light brown | Dark brown | Dark brown |
| BMPH | White | yellow | yellow | Dark yellow | Light brown |
| Sample | Degradation Time/min | Mw (g/mol) × 104 | Mn (g/mol) × 104 | PD |
|---|---|---|---|---|
| PVC Blank | 0 | 24.473 | 9.1520 | 2.674 |
| PVC | 30 | 18.702 | 4.2958 | 4.3535 |
| PVC + BMPH | 30 | 20.570 | 6.0777 | 3.3845 |
| T (°C) | Blank PVC | PVC + BMPH |
| Initial Decomposition Temperature (IDT) | 180 °C | 265 °C |
| T (°C) | Mass loss (%) | |
| 200 | 5 | 0 |
| 250 | 11 | 0 |
| 280 | 32 | 23 |
| 300 | 44 | 40 |
| 350 | 61 | 53 |
| 400 | 65 | 60 |
| Mixed stabilizer | BMPH + DBLC 0%:100% | BMPH + DBLC 25%:75% | BMPH + DBLC 50%:50% | BMPH + DBLC 75%:25% | BMPH + DBLC 100%:0% |
| Color | Very dark brown | Brown | Yellow | Dark yellow | Dark yellow |
| Mixed stabilizer | BMPH + Ca-Zn stearate 0%:100% | BMPH + Ca-Zn stearate 25%:75% | BMPH + Ca-Zn stearate 50%:50% | BMPH + Ca-Zn stearate 75%:25% | BMPH + Ca-Zn stearate 100%:0% |
| Color | Dark brown | Brown | Yellow | Dark yellow | Dark yellow |
| S. pneumonia G (+ve) | S. aureus G (+ve) | S. typhimurium G (-ve) | E. coli G (-ve) | C. albicans | A. flavus | |
|---|---|---|---|---|---|---|
| BMPH | 26 | 16 | 24 | 20 | 21 | 15 |
| Ciprofloxacin (100 µg/mL) (Antibacterial agent) | 50 | 40 | 40 | 34 | ||
| Flucanazole (100 µg/mL) (Antifungal agent) | 45 | 55 |
© 2012 by the authors; licensee MDPI, Basel, Switzerland. This article is an open access article distributed under the terms and conditions of the Creative Commons Attribution license (http://creativecommons.org/licenses/by/3.0/).
Share and Cite
Fahmy, M.M.; Mohamed, R.R.; Mohamed, N.A. Novel Antimicrobial Organic Thermal Stabilizer and Co-Stabilizer for Rigid PVC. Molecules 2012, 17, 7927-7940. https://doi.org/10.3390/molecules17077927
Fahmy MM, Mohamed RR, Mohamed NA. Novel Antimicrobial Organic Thermal Stabilizer and Co-Stabilizer for Rigid PVC. Molecules. 2012; 17(7):7927-7940. https://doi.org/10.3390/molecules17077927
Chicago/Turabian StyleFahmy, Mona M., Riham R. Mohamed, and Nadia A. Mohamed. 2012. "Novel Antimicrobial Organic Thermal Stabilizer and Co-Stabilizer for Rigid PVC" Molecules 17, no. 7: 7927-7940. https://doi.org/10.3390/molecules17077927
APA StyleFahmy, M. M., Mohamed, R. R., & Mohamed, N. A. (2012). Novel Antimicrobial Organic Thermal Stabilizer and Co-Stabilizer for Rigid PVC. Molecules, 17(7), 7927-7940. https://doi.org/10.3390/molecules17077927
