Next Article in Journal
Astragalus membranaceus Extract Activates Immune Response in Macrophages via Heparanase
Previous Article in Journal
Liquiritigenin Inhibits Tumor Growth and Vascularization in a Mouse Model of Hela Cells
 
 
Font Type:
Arial Georgia Verdana
Font Size:
Aa Aa Aa
Line Spacing:
Column Width:
Background:
Article

Synthesis and Biological Evaluation of Thiophene Derivatives as Acetylcholinesterase Inhibitors

by
Mohamed M. Ismail
1,
Mona M. Kamel
1,
Lamia W. Mohamed
1,*,
Samar I. Faggal
1 and
Mai A. Galal
2
1
Pharmaceutical Organic Chemistry Department, Faculty of Pharmacy, Cairo University, El-Kasr El-Aini Street, Cairo 11562, Egypt
2
Pharmacology and Toxicology Department, Faculty of Pharmacy, Cairo University, Cairo 11562, Egypt
*
Author to whom correspondence should be addressed.
Molecules 2012, 17(6), 7217-7231; https://doi.org/10.3390/molecules17067217
Submission received: 26 April 2012 / Revised: 31 May 2012 / Accepted: 5 June 2012 / Published: 12 June 2012
(This article belongs to the Section Medicinal Chemistry)

Abstract

:
A series of new thiophene derivatives has been synthesized using the Gewald protocol. The acetylcholinesterase inhibition activity was assayed according to Ellman’s method using donepezil as reference. Some of the compounds were found to be more potent inhibitors than the reference. 2-(2-(4-(4-Methoxyphenyl)piperazin-1-yl)acetamido)-4,5,6,7-tetrahydrobenzo[b]thiophene-3-carboxamide (IIId) showed 60% inhibition, compared to only 40% inhibition by donepezil.

1. Introduction

Alzheimer’s disease (AD) is a neurodegenerative disorder of the central nervous system (CNS) characterized by premature mental deterioration [1]. Cognitive deficits in AD was found to be associated with disruption of central cholinergic transmission [2]. The successful development of AChE inhibitors was based on the well accepted hypothesis that the decline in cognitive and mental functions associated with AD is related to loss of cortical cholinergic transmission [1].
The structural diversity of known AChE inhibitors and the possibility to explore distinct mode of action have stimulated studies that confirmed the activity of new AChE inhibitors such as tacrine (1) [3], donepezil (2) [4] and rivastigmine (3) [5] (Figure 1). Donepezil (E 2020) initiated a new class of AChE inhibitors with longer and more selective action with manageable adverse effects [1]. Recent data has demonstrated that the effect of AChE inhibitors are not necessarily confined to cholinesterase inhibition but that they also improve the symptoms of AD through regulation of the processing and secretion of amyloid precursor protein (APP) [6].
Figure 1. Structures of some acetylcholinesterase inhibitor drugs.
Figure 1. Structures of some acetylcholinesterase inhibitor drugs.
Molecules 17 07217 g001
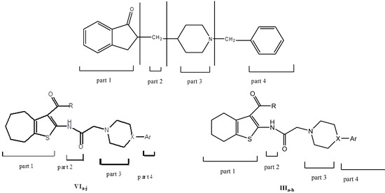
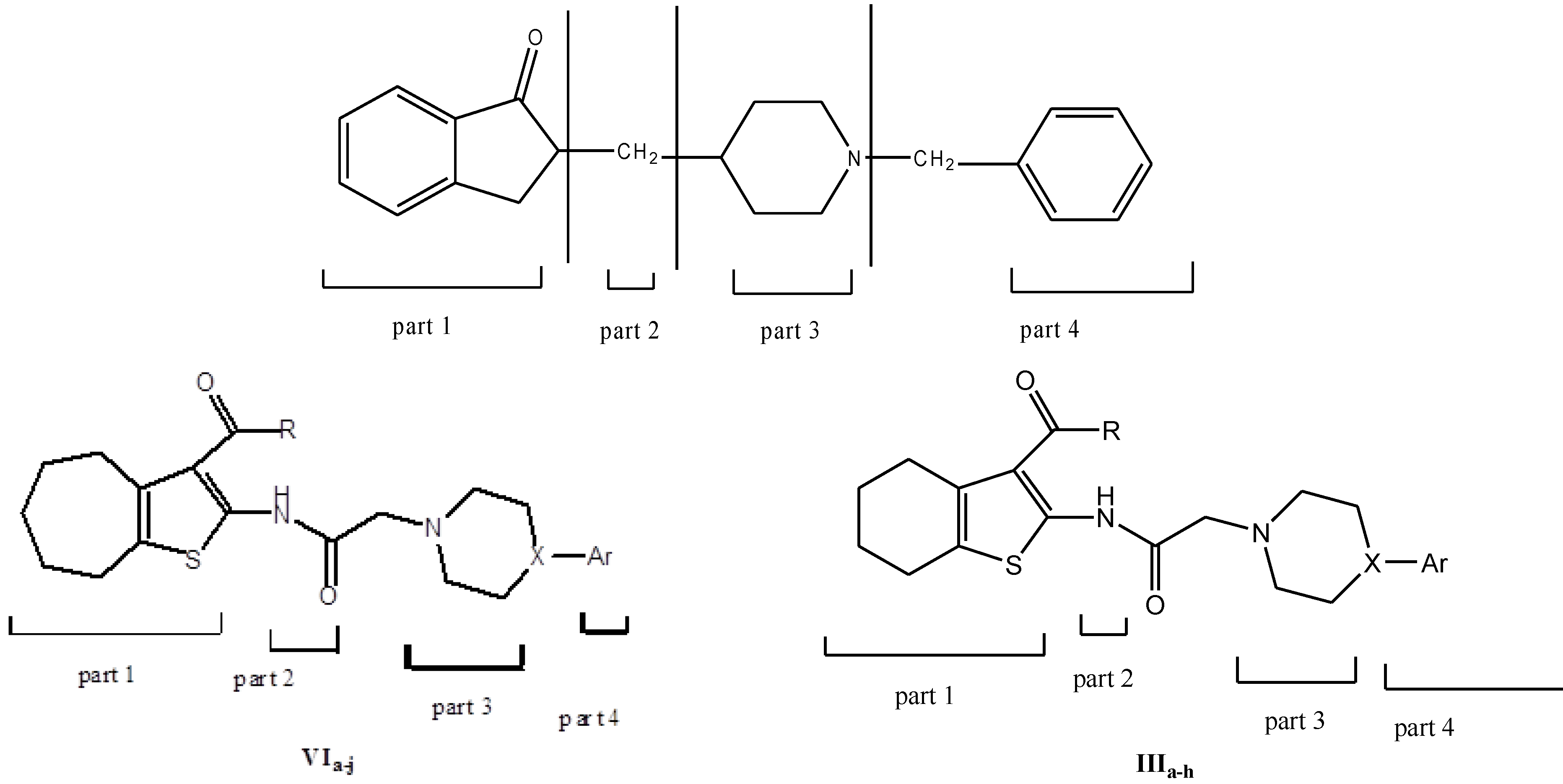
In the present study, and in order to obtain analogues of donepezil that could retain its main spatial and physicochemical characteristics, the indanone moiety of donepezil was replaced by a thiophene ring with a carbonyl group at position 3, an acetamido group was used as a spacer connecting the thiophene ring with arylpiperidines and piperazines [7]. In addition to the focus on the N-benzylpiperidines and N-benzylpiperazines due to their specificity and potency [8]. Structure elucidation of the newly synthesized derivatives was performed and furthermore, the new derivatives were tested for their capacity to inhibit acetylcholinesterase enzyme.

2. Results and Discussion

2.1. Chemistry

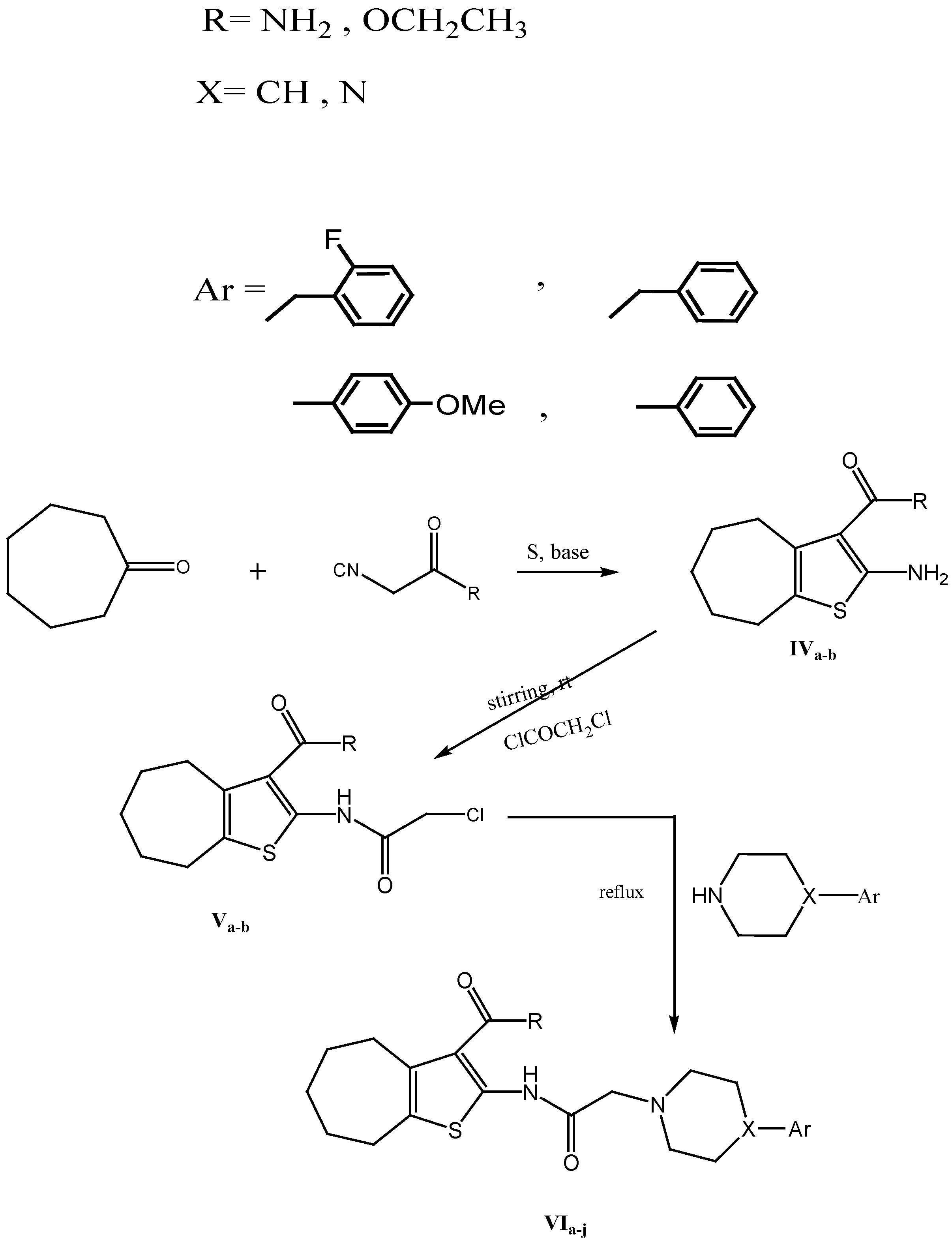
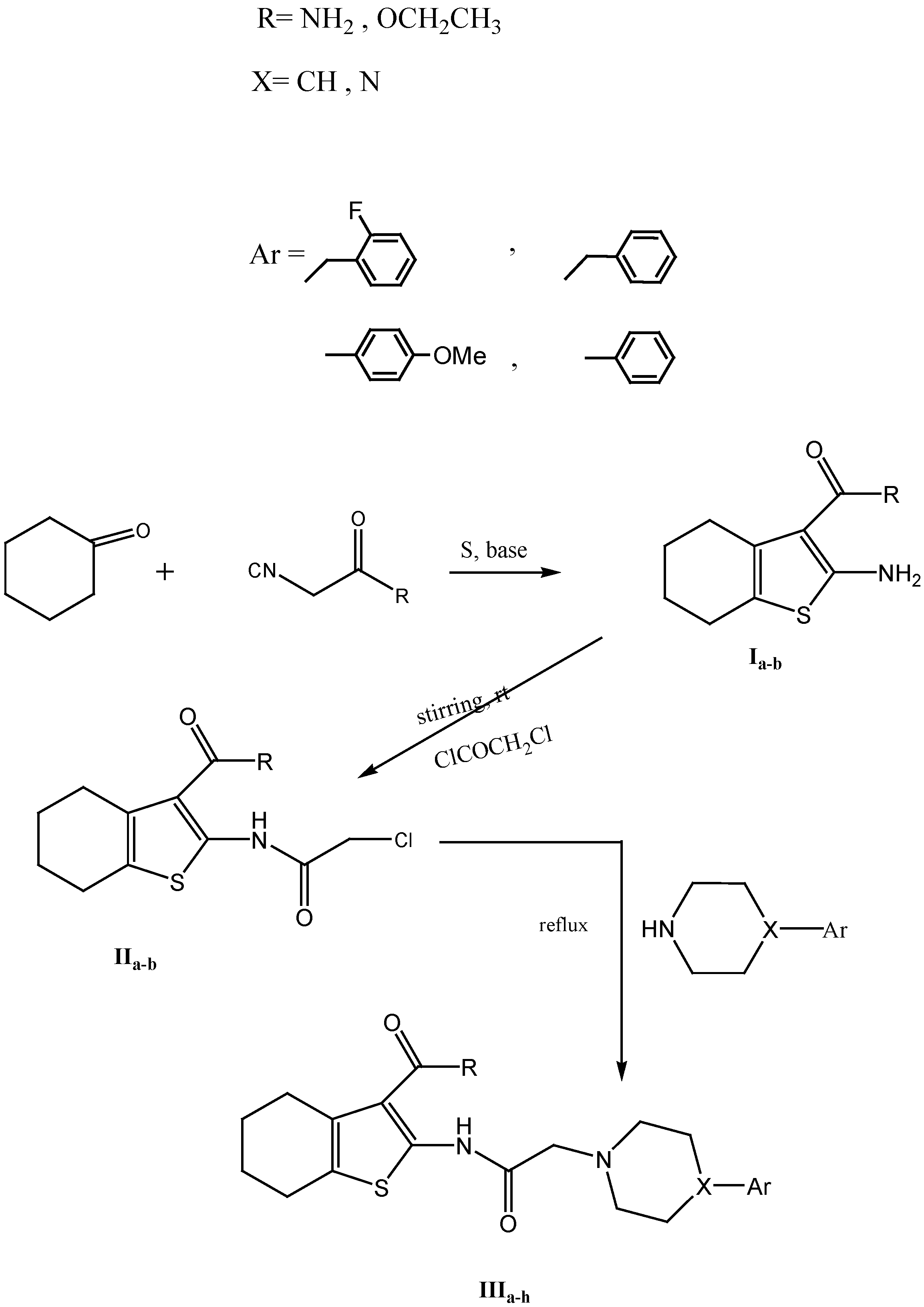
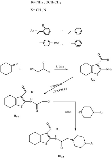
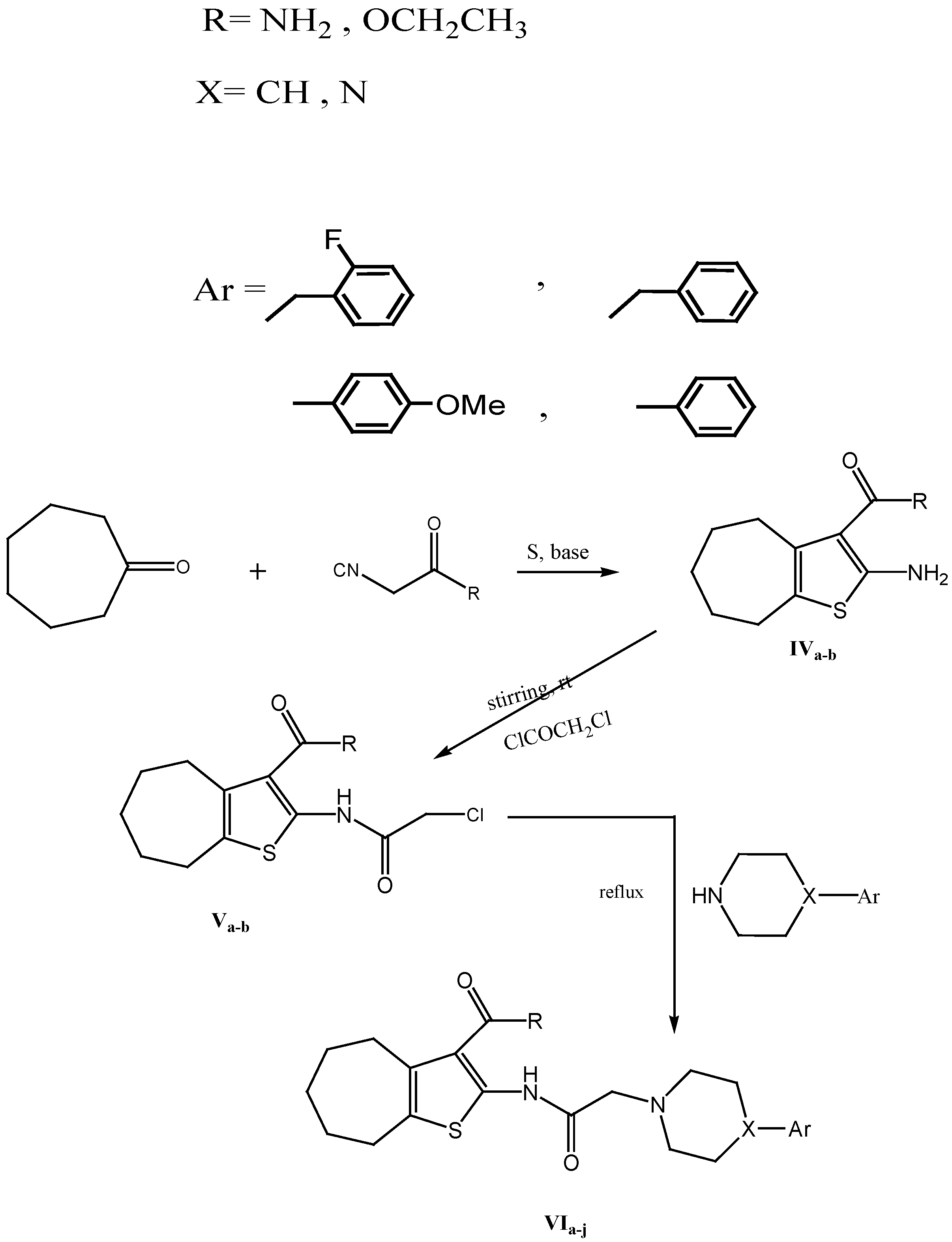
The synthetic pathway for the synthesis of the designed compounds is shown in Scheme 1 and Scheme 2. The starting tetrahydrobenzothiophenes Ia,b were synthesized adopting a direct Gewald method, while the synthesis of IVa was achieved via a modified direct Gewald procedure. On the other hand, IVb was synthesized using Arya`s method, where the reaction proceeded in two steps. The produced Ia,b and IVa,b was reacted with chloroacetyl chloride by stirring in acetic acid at room temperature to afford IIa,b and Va,b. The IR spectrum of Va showed the appearance of an absorption band at 3,390–3,209 cm−1 due to NH and NH2 groups together with absorption bands at 1,670 and 1,627 cm−1 corresponding to two C=O groups The 1H-NMR spectrum showed a singlet signal at δ 4.43 ppm corresponding to CH2Cl protons, while the mass spectrum showed the isotopic pattern of chlorine, as well as an exchangeable singlet at δ 11.11 ppm corresponding to the NH protons.
Scheme 1. Synthesis of target compounds IIIah.
Scheme 1. Synthesis of target compounds IIIah.
Molecules 17 07217 g006
Scheme 2. Synthesis of target compounds VIa-j.
Scheme 2. Synthesis of target compounds VIa-j.
Molecules 17 07217 g007
Upon the reaction of IIa,b and IVa,b with different amines taking into consideration the desired structure similarity to donepezil, the reaction proceeded for different reflux times adopting several solvent systems while the reactions were monitored using thin layer chromatography.
The structure of the produced final derivatives was confirmed by IR, 1H-NMR, 13C-NMR, mass spectrometry and microanalyses. The IR spectra showed the appearance of an absorption band in the 3105–3000 cm−1 range corresponding to C-H aromatic. Additionally, the 1H-NMR showed the appearance of aromatic protons in the range of δ 6.80–7.45 ppm. Moreover, compounds IIId and Vd showed the appearance of a singlet peak in the range of δ 3.68–4.23 ppm corresponding to the methoxy protons. The 13C-NMR of compound IIIb,d showed aromatic carbon atoms in the δ 113.05–152.89 ppm range. In addition, the carbon atoms of the piperazine ring appeared in the 13C-NMR in a range of δ 49.31–52.47 and 52.80–52.96 ppm, respectively.

2.2. Pharmacology

Donepezil, which is a benzylpiperidine derivative, was chosen as a reference standard drug as it shows potent reversible acetylcholinesterase inhibitor activity [9]. The new derivatives were designed with structural similarity to donepezil where the indanone moiety was replaced by the tetrahydrobenzo[b]- thiophene ring which is expected to act as the peripheral anionic site, while the N atom from the piperazine group acted as the positively charged centre presented in many potent AChE inhibitors and the phenyl group attached to the piperazine acted as the choline binding site [10] (Figure 2).
Figure 2. Design strategy of the newly synthesized derivatives.
Figure 2. Design strategy of the newly synthesized derivatives.
Molecules 17 07217 g002
In vitro tests showed that substitution at the ortho position of the benzyl ring specifically by a fluorine atom enhances activity [7]. In addition, it was reported that the carbonyl of the acetamido group (COCH2) was crucial for activity [11].
On the previous basis, Ellman’s assay method was performed on all of the newly synthesized compounds and on donepezil as standard to measure their inhibitory activity against the enzyme acetylcholinesterase. Some of them such IIIa, IIId, VIb, VIg and VIh displayed inhibitory activity (56.67, 60, 56.6 and 51.67%, respectively), better than donepezil, which tested under the same conditions showed 40% inhibition. On the other hand, compounds IIIb and IIIf showed similar activity to donepezil.

2.3. Molecular Modelling

The crystal structure of AChE cocrystallized with donepezil shows that donepezil binds in the active site cleft by several interactions through π–π interaction between the indanone moiety and Trp 279 which were considered to be responsible for the observed affinity. In addition there is another π–π interaction between the benzyl ring and Trp 84, and finally, a π- cation interaction between Phe 330 and the charged nitrogen atom of the piperidine ring. No direct hydrogen bond between the enzyme and donepezil could be detected in the structure. Compounds IIIa, IIIb, IIIe, IIIh, VIa, VIf and VIg showed good energy scores in addition to their superimposition with donepezil in the active site of AChE. These derivatives formed additional hydrogen bond interactiond with Phe 288 at the AChE active site showing better fitting to the receptor which revealed that these derivatives could have similar or even better activity pharmacological activity than donepezil.

3. Experimental

3.1. Chemistry

All melting points were determined on a Stuart apparatus and the values given are uncorrected. IR spectra (KBr, cm−1) were determined on a Shimadzu IR 435 spectrophotometer (Faculty of Pharmacy, Cairo University, Egypt). 1H-NMR and 13C-NMR spectra were recorded on Varian Gemini 200 MHz and 300 MHz spectrophotometers (Microanalysis Center, Cairo University, Egypt) using TMS as internal standard. Chemical shift values are recorded in ppm on δ scale. Mass spectra were recorded on a Hewlett Packard 5988 spectrometer (Microanalysis Center, Cairo University, Egypt). Elemental analyses were carried out at the Microanalysis Center, Cairo University, Egypt; found values were within ±0.35% of the theoretical ones. Progress of the reactions was monitored using TLC sheets precoated with UV fluorescent silica gel Merck 60F 254 and were visualized using UV lamp. Compounds Ia, Ib [12], IVa [13], IVb [14], IIa, IIb and Vb [15] were synthesized according to reported procedures.

3.1.1. General Procedure for the Synthesis of IIIa–h

To a solution of each of IIa,b (0.01 mol) in an appropriate solvent (20 mL), an appropriate amine (0.02 mol) was added and the mixture was heated under reflux for 4–12 h. The product was cooled, the separated solid was filtered, dried and crystallized from ethanol.
2-(2-(4-Benzylpiperidin-1-yl)acetamido)-4,5,6,7-tetrahydrobenzo[b]thiophene-3-carboxamide (IIIa). Solvent: ethanol; time of reflux: 12 h; m.p.: 192–194 °C; yield: 80%; IR: 3406, 3290 (NH2, NH), 3050 (CH aromatic), 2927, 2912 (CH aliphatic), 1681, 1662 (C=O); 1H-NMR (CDCl3) δ: 1.62–1.69 (m, 5H, 2CH2 + CH piperidine), 1.87 (m, 4H, 2CH2), 2.6 (m, 4H, 2CH2), 2.74 (m, 4H, 2 CH2 piperidine), 3.01 (s, 2H, CH2 benzyl), 5.8 (s, 2H, CO-CH2-N), 7.22 (s, 2H, NH2, D2O exchangeable), 7.14–7.31 (m, 5H, aromatic H), 12.63 (s, 1H, NH, D2O exchangeable) ppm; MS (m/z, % abundance): 411 (M+, 8.42%). Anal. calcd. for C23H29N3O2S: C 67.12, H 7.10, N 10.21; found C 66.90, H 6.88, N 9.99.
2-(2-(4-Benzylpiperazin-1-yl)acetamido)-4,5,6,7-tetrahydrobenzo[b]thiophene-3-carboxamide (IIIb). Solvent: ethanol; time of reflux: 12 h; m.p.: 200–202 °C; yield: 80%; IR: 3394, 3209 (NH2, NH), 3030 (CH aromatic), 2927, 2850 (CH aliphatic), 1685, 1650 (C=O); 1H-NMR (DMSO-d6) δ: 1.72 (s, 4H, 2CH2), 2.49 (m, 4H, 2CH2), 2.6 (m, 4H, 2CH2 piperazine), 2.9 (m, 4H, 2CH2 piperazine), 3.18(s, 2H, CO-CH2-N), 3.47 (s, 2H, CH2 benzyl), 7.27 (s, 2H, NH2, D2O exchangeable), 7.26–7.32 (m, 5H, aromatic protons), 12.27 (s, 1H, NH, D2O exchangeable) ppm; 13C-NMR (DMSO) δ: 22.41–25.17 (4CH2), 52.47 (2CH2 piperazine), 52.96 (2CH2 piperazine), 60.49 (CO-CH2-N), 62.01 (CH2 benzyl), 116.23–141.68 (aromatic C), 166.98 (C=O), 167.31 (C=O) ppm; MS (m/z, % abundance): 412 (M+, 12.31%); Anal. calcd. for C22H28N4O2S: C 64.05, H 6.84, N 13.58; found: C 64.19, H 6.92, N 13.54.
2-(2-(4-(2-Fluorobenzyl)piperazin-1-yl)acetamido)-4,5,6,7-tetrahydrobenzo[b]thiophene-3-carboxamide (IIIc). Solvent: dioxane; time of reflux: 4 h; m.p.: 196–198 °C; yield: 76%; IR: 3495, 3309 (NH2, NH), 3100 (CH aromatic), 2939, 2873 (CH aliphatic), 1675, 1651 (C=O); 1H-NMR (DMSO-d6) δ: 1.62 (m, 4H, 2CH2), 1.87 (m, 4H, 2CH2), 2.65–2.75 (m, 8H, 4CH2 piperazine), 3.21 (s, 2H, CO-CH2-N), 3.63 (s, 2H, CH2 benzyl), 7.22 (s, 2H,NH2, D2O exchangeable), 6.99–7.42 (m, 4H, aromatic H), 12.63 (s, 1H, NH, D2O exchangeable) ppm; MS (m/z, % abundance): 430 (M+, 15.45%); Anal. calcd. for C22H27FN4O2S: C 61.37, H 6.32, N 13.01; found: C 61.29, H 6.36, N 13.22.
2-(2-(4-(4-Methoxyphenyl)piperazin-1-yl)acetamido)-4,5,6,7-tetrahydrobenzo[b]thiophene-3-carboxamide (IIId). Solvent: ethanol; time of reflux: 8 h; m.p.: 234–236 °C; yield: 70%; IR: 3500, 3310 (NH2, NH), 3050 (CH aromatic), 2921 (CH aliphatic), 1681, 1651 (C=O); 1H-NMR (DMSO-d6) δ: 1.72 (m, 4H, 2CH2), 2.49–2.5 (m, 4H, 2CH2), 2.63–2.65 (m, 4H, CH2 piperazine), 3.18 (m, 4H, 2CH2 piperazine), 3.3 (s, 2H, CO-CH2-N), 3.69 (s, 3H, OCH3), 6.88 (s, 2H, NH2, D2O exchangeable), 6.81–6.91 (dd, 4H, aromatic H), 12.35 (s, 1H, NH ,D2O exchangeable) ppm; MS (m/z, % abundance): 428 (M+, 31.44%); Anal. calcd. for C22H28N4O3 S: C 61.66, H 6.59, N 13.07; found C 62.21, H 6.36, N 13.12.
Ethyl 2-(2-(4-benzylpiperidin-1-yl)acetamido)-4,5,6,7-tetrahydrobenzo[b]thiophene-3-carboxylate (IIIe). Solvent: ethanol; time of reflux: 8 h; m.p.: 80–82 °C; yield: 65%; IR: 3190 (NH), 3028 (CH aromatic), 2931, 2850 (CH aliphatic), 1670 (2C=O); 1H-NMR (CDCl3) δ: 1.35 (t, 3H, OCH2CH3), 1.54–1.58 (m, 5H, 2CH2 + CH piperidine), 1.71 (m, 4H, 2CH2), 2.11 (m, 4H, 2CH2), 2.76 (m, 4H, 2CH2 piperidine), 3.17 (s, 2H, CH2 benzyl), 3.36 (s, 2H, CO-CH2-N), 4.3(q, 2H, OCH2CH3), 7.15–7.30 (m, 5H, aromatic H), 12.63 (s, 1H, NH, D2O exchangeable) ppm; MS (m/z, % abundance): 440 (M+, 23.98%); Anal. calcd. for C25H32N2O3: C 68.15, H 7.32, N 6.36; found C 67.55, H6.80, N 6.22.
Ethyl 2-(2-(4-benzylpiperazin-1-yl)acetamido)-4,5,6,7-tetrahydrobenzo[b]thiophene-3-carboxylate (IIIf). Solvent: Acetonitrile; time of reflux: 12 h; m.p.: 96–98 °C; yield: 60%; IR: 3178 (NH), 3028 (CH aromatic), 2935, 2858 (CH aliphatic), 1670 (2C=O); 1H-NMR (CDCl3) δ: 1.38–1.42 (t, 3H, OCH2CH3), 1.79 (m, 4H, 2CH2), 2.65 (m, 4H, 2CH2), 2.68 (m, 4H, 2CH2 piperazine), 2.8 (m, 4H, 2CH2 piperazine), 3.3 (s, 2H, CO-CH2-N), 3.66 (s, 2H, CH2 benzyl), 4.37 (q, 2H, OCH2CH3), 7.27–7.39 (m, 5H, aromatic H), 12.18 (s,1H, NH, D2O exchangeable) ppm; MS (m/z, % abundance): 441 (M+, 9.77%); Anal. calcd. for C24H31N3O3S: C 65.28, H 7.08, N 9.52; found: C 65.32, H7.12, N9.58.
Ethyl 2-(2-(4-(2-fluorobenzyl)piperazin-1-yl)acetamido)-4,5,6,7-tetrahydrobenzo[b]thiophene-3 carboxylate (IIIg). Solvent: ethanol; time of reflux: 8 h; m.p.: 134–136 °C; yield: 62%; IR: 3450 (NH), 3105 (CH aromatic), 2920 (CH aliphatic), 1674 (2C=O); 1H-NMR (DMSO-d6) δ: 1.29 (t, 3H, OCH2CH3), 1.71 (m, 4H, 2CH2), 2.5 (m, 4H, 2CH2), 2.62 (m, 4H, 2CH2 piperazine), 3.06 (m, 4H, 2CH2 piprazine), 3.3 (s, 2H, CO-CH2-N), 3.62 (s, 2H, CH2 benzyl), 4.19 (q, 2H, OCH2CH3), 7.16–7.45 (m, 4H, aromatic H), 12.02 (s, 1H, NH, D2O exchangeable) ppm; MS (m/z, % abundance): 459 (M+, 0.02%); Anal. calcd. for C24H30FN3O3S: C 62.72, H 6.58, N 9.14; found: C 62.79, H6.53, N9.16.
Ethyl 2-(2-(4-(4-methoxyphenyl)piperazin-1-yl)acetamido)-4,5,6,7-tetrahydrobenzo[b]thiophene-3-carboxylate (IIIh). Solvent: ethanol; time of reflux: 8 h; m.p.: 145–147 °C; yield: 73%; IR: 3240 (NH), 3050 (CH aromatic), 2947, 2904 (CH aliphatic), 1675, 1666 (C=O); 1H-NMR (DMSO-d6) δ: 1.25–1.3 (t, 3H, OCH2CH3), 1.72 (m, 4H, 2CH2), 2.49–2.6 (m, 4H, 2CH2), 2.67 (m, 4H, 2CH2, piperazine), 3.13 (m, 4H, 2CH2 piperazine), 3.3 (s, 2H, CO-CH2-N), 3.7 (s, 3H,OCH3), 4.26 (q, 2H, OCH2CH3), 6.81–6.93 (dd, 4H, aromatic H), 12.04 (s,1H, NH, D2O exchangeable) ppm; 13C-NMR (DMSO): 13.98 (OCH2CH3), 22.19–25.71 (4CH2), 49.31 (2CH2 piperazine), 52.80 (2CH2 piperazine), 55.12 (OCH3), 59.96 (CO-CH2-N), 60.26 (OCH2CH3), 114.25–152.84 (aromatic C), 164.52 (C=O), 167.68 (C=O) ppm; MS (m/z, % abundance): 457 (M+, 28.79%); Anal. calcd. for C24H31N3O4S; calcd. C 63.00, H 6.83, N 9.18; found: C 63.13, H6.89, N9.21.
2-(2-Chloroacetamido)-5,6,7,8-tetrahydro-4H-cyclohepta[b]thiophene-3-carboxamide (Va). Chloroacetyl chloride (3.69 g, 0.033 mol) was added to a solution of each of IVa (6.3g, 0.03 mol) in acetic acid (20 mL). The reaction mixture was stirred at room temperature for 1 hour. The product was filtered, dried and crystallized from ethanol. M.p.: 220–222 °C; yield 55%; IR: 3390–3209 (NH2, NH), 2920 (CH aliphatic), 1670, 1627 (C=O); 1H-NMR (DMSO-d6) δ: 1.55–1.59 (m, 4H, 2CH2), 1.73–1.75 (m, 2H, CH2), 2.67–2.71 (m, 4H, 2CH2), 4.43 (s, 2H, CO-CH2-Cl), 7.5 (s, 2H, NH2, D2O exchangeable), 11.11 (s, 1H, NH, D2O exchangeable) ppm; MS (m/z, % abundance): 286 (M+, 40.43%), 288 (M + 2, 19.42%); Anal. calcd. for C12H15ClN2O2S: C 50.26, H 5.27, N 9.77; found: C 50.29, H5.28, N9.73.

3.1.2. General Procedure of the Preparation of Compounds VIaj

To a solution of each of IVa,b (0.01 mol) in an appropriate solvent (20 mL), an appropriate amine (0.02 mol) was added and the mixture was heated under reflux for 4–12 h. The product was poured into ice-cold water (25 mL), and then extracted with chloroform. The chloroform layer was dried over anhydrous sodium sulphate. The reaction was filtered and the solvent was evaporated under reduced pressure to give an oily product. The oily product was treated with ether (25 mL) and the solid obtained was filtered, dried and crystallized from ethanol.
2-(2-(4-Benzylpiperidin-1-yl)acetamido)-5,6,7,8-tetrahydro-4H-cyclohepta[b]thiophene-3-carboxamide (VIa). Solvent: Acetonitrile; time of reflux: 12 h; m.p.: 83–85 °C; yield: 65%; IR: 3325 (NH2, NH), 3059, 3024 (CH aromatic), 2920 (CH aliphatic), 1654 (2C=O); 1H-NMR (DMSO-d6) δ: 1.55–1.58 (m, 4H, 2CH2,), 1.78 (m, 2H, CH2), 2.49 (m, 4H, 2CH2), 2.67–2.74 (m, 5H, 2CH2+ CH piperidine), 3.3 (m, 4H, 2CH2 piperidine), 3.8 (s, 2H, CH2 benzyl), 5.1(s, 2H, CO-CH2-N), 7.17–7.29 (m, 5H, aromatic H), 7.45 (s, 2H, NH2, D2O exchangeable), 10.8 (s, 1H, NH, D2O exchangeable) ppm; MS (m/z, % abundance): 425.558 (M+); Anal. calcd. for C24H31N3O2S: C 67.73, H 7.34, N 9.87; found: C 67.48, H7.35, N9.81.
2-(2-(4-Benzylpiperazin-1-yl)acetamido)-5,6,7,8-tetrahydro-4H-cyclohepta[b]thiophene-3-carboxamide (VIb). Solvent: Acetonitrile; time of reflux: 12; m.p.:108–110 °C; yield: 60%; IR: 3441, 3340 (NH2, NH), 3062, 3028 (CH aromatic), 2916 (CH aliphatic), 1651(2C=O); 1H-NMR (DMSO-d6) δ: 1.52–1.56 (m, 4H, 2CH2), 1.78 (m, 2H, CH2), 2.49 (m, 4H, 2CH2), 2.7 (m, 4H, 2CH2 piperazine), 3.13 (m, 4H, 2CH2 piperazine), 3.55 (s, 2H, CO-CH2-N), 4.09 (s, 2H,CH2 benzyl), 7.28–7.32 (m, 5H, aromatic H), 7.45 (s, 2H, NH2, D2O exchangeable), 11.17 (s, 1H, NH, D2O exchangeable) ppm; MS (m/z, % abundance): 426.560 (M+); Anal. calcd. for C23H30N4O2S: C 64.76, H 7.09, N 13.13; found: C 64.82, H 7.11, N13.18.
2-(2-(4-(2-Fluorobenzyl)piperazin-1-yl)acetamido)-5,6,7,8-tetrahydro-4H-cyclohepta[b]thiophene-3-carboxamide (VIc). Solvent: Dioxane; time of reflux: 4 h; m.p.:170–172 °C; yield: 60%; IR: 3394, 3321 (NH2, NH), 3070 (CH aromatic), 2920 (CH aliphatic), 1660–1631 (C=O); 1H-NMR(CDCl3) δ: 1.52–1.56 (m, 4H, 2CH2), 1.78 (m, 2H, CH2), 2.49 (m, 4H, 2CH2), 2.59 (m, 4H, 2CH2 piperazine), 3.05 (m, 4H, 2CH2 piperazine), 3.29 (s, 2H, CO-CH2-N), 3.6 (s, 2H, CH2 benzyl), 7.15–7.44 (m, 4H, aromatic H), 7.22 (s, 2H, NH2, D2O exchangeable), 8.84 (s, 1H, NH, D2O exchangeable) ppm; MS (m/z, % abundance): 444.917 (M+); Anal. calcd. for C23H29FN4O2S: C 62.14, H 6.58, N 12.60; found: C 62.23, H6.56, N12.65.
2-(2-(4-(4-Methoxyphenyl)piperazin-1-yl)acetamido)-5,6,7,8-tetrahydro-4H-cyclohepta[b]thiophene-3-carboxamide (VId). Solvent: acetonitrile; time of reflux: 12 h; m.p.: 190–192 °C; yield: 60%; IR: 3345, 3440 (NH2, NH), 3089 (CH aromatic), 2954 (CH aliphatic), 1778, 1724 (C=O); 1H-NMR (DMSO-d6) δ: 1.56 (m, 4H, 2CH2), 1.8 (m, 2H, CH2), 2.49 (m, 4H, 2CH2), 2.7 (m, 4H, 2CH2 piperazine), 3.16 (m, 4H, 2CH2 piperazine), 3.8 (s, 2H, CO-CH2-N), 4.23 (s, 3H,OCH3), 6.83–7.00 (dd, 4H, aromatic H), 7.48 (s, 2H,NH2, D2O exchangeable), 11.17 (s, 1H, NH, D2O exchangeable) ppm; MS (m/z, % abundance): 442.657 (M+); Anal. calcd. for C23H30N4O3S: C 62.42, H 6.83, N 12.66; found C 62.47, H 6.88, N 12.60.
2-(2-(4-Phenylpiperazin-1-yl)acetamido)-5,6,7,8-tetrahydro-4H-cyclohepta[b]thiophene-3-carboxamide (VIe). Solvent: acetonitrile; time of reflux: 12 h; m.p.: 158–160 °C; yield: 60%; IR: 3394 (NH2, NH), 3050 (CH aromatic), 2920 (CH aliphatic), 1651 (2C=O); 1H-NMR (DMSO-d6) δ: 1.56 (m, 4H, 2CH2), 1.79 (m, 2H, CH2), 2.49 (m, 4H, 2CH2), 2.7 (m, 4H, 2CH2 piperazine), 3.2 (m, 4H, 2CH2 piperazine), 3.8 (s, 2H, CO-CH2-N), 6.80–7.27 (m, 5H, aromatic H), 7.48 (s, 2H, NH2, D2O exchangeable), 11.17 (s, 1H, NH, D2O exchangeable) ppm; MS (m/z, % abundance): 412 (M+, 0.75%); Anal. calcd. for C22H28N4O2S: C 64.05, H 6.84, N 13.58; found C 63.94, H6.84, N 13.52.
Ethyl 2-(2-(4-benzylpiperidin-1-yl)acetamido)-5,6,7,8-tetrahydro-4H-cyclohepta[b]thiophene-3-carboxylate (VIf). Solvent: ethanol; time of reflux: 8 h; m.p.: 155–157 °C; yield: 56%; IR: 3332 (NH), 3000 (CH aromatic), 2916 (CH aliphatic), 1716, 1658 (C=O); 1H-NMR(CDCl3) δ: 1.37–1.42 (t, 3H, OCH2CH3), 1.59–1.67 (m, 6H, 3CH2), 1.83 (m, 4H, 2CH2), 2.7 (m, 5H, 2CH2 + CH piperidine), 3.03 (m, 4H, 2CH2 piperidine), 3.56 (s, 2H, CH2 benzyl), 4.33 (s, 2H, CO-CH2-N), 4.39 (q, 2H, OCH2CH3), 7.26–7.27 (m, 5H, aromatic H), 11.78( s,1H, NH, D2O exchangeable) ppm; MS (m/z, % abundance): 453 (M+−H, 1.05%); Anal. calcd. for C26H34N2O3S: C 68.69, H 7.54, N 6.16; found C 68.73, H 7.58, N 6.18.
Ethyl 2-(2-(4-benzylpiperazin-1-yl)acetamido)-5,6,7,8-tetrahydro-4H-cyclohepta[b]thiophene-3-carboxylate (VIg). Solvent: Acetonitrile; time of reflux: 12; m.p.: 153–155 °C; yield: 56%; IR: 3345 (NH), 3020 (CH aromatic), 2920 (CH aliphatic), 1716, 1658 (C=O); 1H-NMR (CDCl3) δ: 1.37–1.42 (t, 3H, OCH2CH3), 1.59–1.69 (m, 6H, 3CH2), 1.83 (m, 4H, 2CH2), 2.7 (m, 4H, 2CH2 piperazine), 3.03 (m, 4H, 2CH2 piperazine), 3.56 (s, 2H, CO-CH2-N), 4.33 (s, 2H, CH2 benzyl), 4.39 (q, 2H, OCH2CH3), 7.26–7.37 (m, 5H, aromatic H), 11.78 (s, 1H, NH, D2O exchangeable) ppm; MS: (m/z, % abundance) 455 (M+, 12.34%); Anal. calcd. for C25H33N3O3S: C 65.90, H 7.30, N 9.22; found C 65.94, H 7.31, N 9.29.
Ethyl 2-(2-(4-(2-fluorobenzyl)piperazin-1-yl)acetamido)-5,6,7,8-tetrahydro-4H-cyclohepta [b]thiophene-3-carboxylate (VIh). Solvent: Ethanol; time of reflux: 8 h; m.p.: 163–165 °C; yield: 55%; IR: 3345 (NH), 3020 (CH aromatic), 2920 (CH aliphatic), 1716, 1658 (C=O); 1H-NMR (CDCl3) δ: 1.37–1.42 (t, 3H, OCH2CH3), 1.57–1.67 (m, 6H, 3CH2), 1.85 (m, 4H, 2CH2), 2.71 (m, 4H, 2CH2 piperazine), 3.03 (m, 4H, 2CH2 piperazine), 3.56 (s, 2H, CO-CH2-N), 4.33 (s, 2H, CH2 benzyl), 4.39 (q, 2H, OCH2CH3), 7.16–7.45 (m, 4H, aromatic H), 11.78 (s, 1H, NH, D2O exchangeable) ppm; MS (m/z, % abundance): 473 (M+, 100%); Anal. calcd. for C25H32FN3O3S: C 63.40, H 6.81, N 8.87; found: C 63.49, H 6.84, N 8.83.
Ethyl 2-(2-(4-(4-methoxyphenyl)piperazin-1-yl)acetamido)-5,6,7,8-tetrahydro-4H-cyclohepta[b]thiophene-3-carboxylate (VIi). Solvent: Ethanol; time of reflux: 8; m.p.: 128–130 °C; yield: 60%; IR: 3259 (NH), 3020 (CH aromatic), 2924, 2850 (CH aliphatic), 1683 (C=O); 1H-NMR (DMSO-d6) δ :1.26–1.33 (t, 3H, OCH2CH3), 1.54 (m, 4H, 2CH2), 1.8 (m, 2H, CH2), 2.5 (m,4H, 2CH2), 2.66 (m, 4H, 2CH2 piperazine), 3.0 (m, 4H, 2CH2 piperazine), 3.3 (s, 2H, CO-CH2-N), 3.68 (s, 3H, OCH3), 4.27 (q, 2H, OCH2CH3), 6.81–6.92 (dd, 4H, aromatic H), 11.8(s,1H, NH, D2O exchangeable) ppm; 13C-NMR (DMSO-d6) δ: 14.13 (OCH2CH3), 26.54–31.54 (5CH2), 49.42 (2CH2 piperazine), 52.89 (2CH2 piperazine), 55.12 (OCH3), 60.36 (CO-CH2-N + OCH2CH3), 113.05–152.89 (aromatic C), 164.58 (C=O), 167.73 (C=O) ppm; MS (m/z, % abundance): 471 (M+, 28.99%); Anal. calcd. for C25H33N3O4S: C 63.67, H 7.05, N 8.91; found C 63.6, H 7.05, N 8.90.
Ethyl 2-(2-(4-phenylpiperazin-1-yl)acetamido)-5,6,7,8-tetrahydro-4H-cyclohepta[b]thiophene-3-carbox-ylate (VIj). Solvent: Ethanol; time of reflux: 8 h; m.p.: 138–140 °C; yield: 65%;IR: 3332 (NH), 3100 (CH aromatic), 2920 (CH aliphatic), 1716, 1658 (C=O); 1H-NMR (DMSO-d6) δ: 1.29–1.30 (t, 3H, OCH2CH3), 1.32 (m, 2H, CH2), 1.54 (m, 4H, 2CH2), 1.8 (m, 2H, CH2), 2.71 (m, 4H, 2CH2 piperazine), 2.98 (m, 2H, CH2), 3.32 (m, 4H, CH2 piperazine), 3.3 (s, 2H, CO-CH2-N), 4.26 (q, 2H, OCH2CH3), 6.93–7.24 (m, 5H, aromatic H), 11.83 (s, 1H, NH, D2O exchangeable) ppm. MS (m/z, % abundance): 441 (M+, 17.79%); Anal. calcd. for C24H31N3O3S: C 65.28, H 7.08, N 9.52; found C 65.26, H 7.09, N 9.47.

3.2. Pharmacology

All of the newly synthesized compounds were subjected to an AChE inhibitory activity test. Donepezil, which is a benzylpiperidine derivative, was chosen as a reference standard drug as it shows potent anticholinesterase activity. Adult male albino Wister rats weighing 180–200 g were used in the present study. Rats were purchased from the animal house of El-Nile Company (Cairo, Egypt). Rats were kept under constant laboratory conditions and were allowed free access to food and water throughout the period of investigation. The tested compounds were orally administered at concentration of 2.6351 mM (equivalent to that of donepezil). The compounds were mixed with Tween 80, diluted with distilled water and administered orally. After 30 minutes rats were killed, decapitated, then brains were carefully removed and homogenized in normal saline (pH 7.4).
Inhibitory activity against AChE was evaluated at 37 °C by the colorimetric method reported by Ellman et al. [16]. The principle of the assay is based on that the thio-ester substrate acetylthiocholine (AchSC) is hydrolyzed by the enzyme, releasing a sulfhydrylic group able to react with bis (3-carboxy-4-nitrophenyl) disulfide (Ellman’s reagent). The kinetics of this activity is then followed with the use of a spectrophotometer at 412 nm for 2 min. Absorbance is measured at 0, 1 and 2 min and the mean change in absorbance (ΔA) is calculated for each sample the values were recorded. The AChE inhibition was determined for each compound. Each assay was run in triplicate and each reaction was repeated three independent times (Table 1).
Table 1. Inhibition of AChE activity of donepezil and the synthesized anticholinesterase compounds.
Table 1. Inhibition of AChE activity of donepezil and the synthesized anticholinesterase compounds.
Compound NumberCholine Esterase Content (U/gm Wet Weight)% Inhibition
Normal saline2815.20 ± 171.330%
donepezil1689.20 ± 172.4240%
IIIa1219.20 ± 87.7856.67%
IIIb1689.12 ± 136.7940%
IIIc2404.65± 200.3314.58%
IIId1126.08 ± 87.7860%
IIIe1853.24 ± 183.1834.17%
IIIf1736.04 ± 119.6238.33%
IIIg22287.70 ± 400.6020.83%
IIIh1829.88 ± 136.7935%
VIa2111.40 ± 209.8325%
VIb1360.68 ± 114.9351.67%
VIc1876.80 ± 82.9433.33%
VId1906.12 ± 168.4632.29%
VIe2017.56 ± 93.8428.33%
IVf1876.68 ± 104.9233.34%
IVg1219.20 ± 87.78 56.67%
IVh1360.56 ± 87.76 51.67%
IVi2533.68 ± 201.8110%
IVj2627.52 ± 46.926.67%

3.3. Molecular Modelling

Docking was carried out on an Intel Pentium 1.6 GHz processor, 512 MB memory with Windows XP operating system using Molecular Operating Environment (MOE 2008.10; Chemical Computing Group, Montereal, Canada) as the computational software. The 3D structure of the acetylcholine esterase complexed with donepezil was obtained from the Protein Data Bank (PDB ID: 1EVE) at Research Collaboration for Structural Bioinformatics (RCSB) protein data bank base [17] with a 2.5 A resolution. In the present work, all the prepared new compounds were docked using a rigid receptor/ fexible ligand approach adopting five energy maps which are hydrophobicity, electrostatic, hydrogen bond formation and two Van der Waal parameters. The docking scores were expressed in negative energy terms; the lower the binding free energy, the better the binding affinity. The data obtained from docking of the target compounds were explained in Table 2, Figure 3, Figure 4 and Figure 5.
Table 2. MOE Scores of Donepezil, compounds IIIa–h and VIa–j, and bonds formed with amino acid residues and their lengths.
Table 2. MOE Scores of Donepezil, compounds IIIa–h and VIa–j, and bonds formed with amino acid residues and their lengths.
Compound NumberType of Interaction (Amino Acid Residues, Length of Bond in A)Binding Energy Score (Kcal/mol)
Donepezilπ-π (Trp279), π-π, π-cation (Trp84), π-cation (Phe330) −31.1758
IIIaπ-π (Trp279), π-π (Trp84), H-bond (Tyr121, 2.92), π-cation (Trp334), H-bond (Phe288, 2.82)−29.5362
IIIbπ-π (Trp84), π-cation (Trp334), π-cation (Phe330), H-bond (Phe331, 2.00) −29.2693
IIIcπ-π (Trp279), π-cation (Tyr334), π-cation (His440) −25.7001
IIIdπ-π (Trp84), H-bond (Tyr121, 2.7), H-bond (Phe331, 1.74), H-bond (Phe288, 2.68)−22.5618
IIIeπ-π (Trp279), π-π (Trp84), π-cation (Tyr334)−28.4632
IIIfπ-π (Trp279), π-π (Trp84), π-cation (Tyr334)−27.6379
IIIgπ-π(Trp279) −20.3797
IIIhπ-π (Trp279), π-π (Trp84)−28.0285
VIaπ-π (Trp279), π-π(Trp84), H-bond (Tyr70, 1.94)−27.0547
VIbπ-π, π-cation (Trp84), π-cation (Phe330) −26.6091
VIcπ-π (Trp279), π-π, π-cation (Trp84), π-cation (Phe330) −26.2333
VIdπ-π (Trp279), π-π (Trp84)−21.6314
VIeπ-π (Trp84), H-bond (Tyr121, 2.58)−23.8446
VIfπ-π (Trp279), π-π (Trp84), π-cation (Tyr334), H-bond (Tyr121, 2.98)−29.9461
VIgπ-π (Trp279), π-π (Trp84), π-cation (Phe330) −30.4078
VIhπ-π (Trp279), π-π (Trp84), π-cation (Phe330) −26.7772
VIiH-bond (Tyr121, 2.84), H-bond (Gly119, 2.86), H-bond (ser200, 2.51)−21.0334
VIjH-bond (Tyr121, 2.74), π-π (Trp84)−23.3871
Figure 3. Interactions of donepezil with the amino acids of the active site of AChE.
Figure 3. Interactions of donepezil with the amino acids of the active site of AChE.
Molecules 17 07217 g003
Figure 4. (a) Docked conformation alignment of IIIa (red) and its original co-crystallized ligand (grey) in the AChE binding site generated by MOE docking. (b) simplified structure showing interaction between IIIa and the aromatic residues in the AChE active site.
Figure 4. (a) Docked conformation alignment of IIIa (red) and its original co-crystallized ligand (grey) in the AChE binding site generated by MOE docking. (b) simplified structure showing interaction between IIIa and the aromatic residues in the AChE active site.
Molecules 17 07217 g004
Figure 5. (a) Docked conformation alignment of IIId (red) and its original co-crystallized ligand (grey) in the AChE binding site generated by MOE docking. (b) simplified structure showing interaction between IIId and the aromatic residues in the AChE active site.
Figure 5. (a) Docked conformation alignment of IIId (red) and its original co-crystallized ligand (grey) in the AChE binding site generated by MOE docking. (b) simplified structure showing interaction between IIId and the aromatic residues in the AChE active site.
Molecules 17 07217 g005

4. Conclusions

Compound IIId showed better inhibitory activity than donepezil owing mainly to its amide group carbonyl that leads to extra binding to the receptor by an H-bond with Phe288, also due to the fact that this particular derivative can bind to the receptor with three different H-bonds leading to better fitting to the receptor. Compounds VIb, VIg and VIh bearing benzylpiperazine and 2-fluorobenzyl piperazine groups with no H-bonding to the receptor showed less inhibitory activity than IIId but still better activity than donepezil. Compounds IIIb and IIIf having a benzylpiperazine group showed moderate activity, but still retained similar inhibitory activity to donepezil owing to the fitting to the receptor with an extra H-bond of IIIb and the π-cation interaction of both compounds. From the previous results, the extra binding to the receptor with the H-bond lead to better pharmacological activity.

Acknowledgment

We would like to thank Khaled Abuzid for his help in processing the paper.

References and Notes

  1. Andreani, A.; Cavalli, A.; Granaiola, M.; Leoni, A.; Locatelli, A.; Morigi, R.; Rambaldi, M.; Recanatini, M.; Roda, A. Synthesis and screening for anticholinesterase activity of (1-benzyl-4-oxopiperidin-3ylidine) methylindoles and pyrroles related to Donepezil. J. Med. Chem. 2006, 44, 4011–4014. [Google Scholar]
  2. Viegas, C.; Bolzani, V.S.; Pimentel, L.S.B.; Castro, N.G.; Cabral, R.F.; Costa, R.S.; Floyd, C.; Rocha, M.S.; Young, M.C.M.; Barreiro, E.J.; et al. New selective acetylcholinesterase inhibitors designed from natural piperidine alkaloids. Bioorg. Med. Chem. 2005, 13, 4184–4190. [Google Scholar] [CrossRef]
  3. Racchi, M.; Azzucchelli, M.A.; Porrello, E.; Lanni, C.; Govoni, S. Acetylcholinesterase inhibitors: Novel activities of old molecules. Phamacol. Res. 2004, 50, 441–451. [Google Scholar]
  4. Wilkinson, D. Pharmacotherapy of Alzheimer’s disease. Psychiatry 2008, 7, 9–14. [Google Scholar] [CrossRef]
  5. Williams, B.R.; Nazarians, A.; Gill, M.A. A review of rivastigmine: A reversible cholinesterase inhibitor. Clin. Ther. 2003, 25, 1634–1638. [Google Scholar] [CrossRef]
  6. Pákáski, M.; Kálmán, J. Interactions between amyloid and cholinergic mechanisms in Alzheimer’s disease. Neurochem. Int. 2008, 53, 103–111. [Google Scholar] [CrossRef]
  7. Omran, Z.; Cailly, T.; Lescot, E.; Oliveira Santos, J.S.; Agondanou, J.H.; Lisowski, V.; Fabis, F.; Godard, A.M.; Stiebing, S.; Flem, G.L.; et al. Synthesis and biological evaluation as AChE inhibitors of new indanones and thiaindanones related to donepezil. Eur. J. Med. Chem. 2005, 40, 1222–1245. [Google Scholar]
  8. Tong, W.; Collantes, E.R.; Chen, Y.; Welsh, W.J. A comparative molecular field analysis study of N-benzyl piperidines as acetylcholinesterase inhibitors. J. Med. Chem. 1996, 39, 380–387. [Google Scholar] [CrossRef]
  9. Kawakami, Y.; Inoue, A.; Kawai, T.; Wakita, M.; Sugimoto, H.; Hopfinger, A.J. The rational for E2020 as a potent acetylcholinesterase inhibitor. Bioorg. Med. Chem. 1996, 4, 1429–1431. [Google Scholar] [CrossRef]
  10. Zhou, X.; Wang, X.B.; Wang, T.; Kong, L.Y. Design, synthesis and acetylcholinesteraseinhibitory activity of novel coumarin analogues. Bioorg. Med. Chem. 2008, 16, 8011–8021. [Google Scholar]
  11. Sugimoto, H.; Yamanishi, Y.; Limura, Y.; Kawakami, Y. Donepezil hydrochloride (E 2020) and other acetylcholinesterase inhibitors. Curr. Med. Chem. 2000, 7, 303–317. [Google Scholar]
  12. Gewald, K.; Schinke, E.; Böttcher, H. 2-Amino-thiophene aus methylenaktiven nitrilen, carbonylverbindungen und schwefel. Chem. Ber. 1966, 99, 94–103. [Google Scholar] [CrossRef]
  13. Arya, V.P. Synthesis of new heterocycles: Part VI—Synthesis of certain novel condensed thiophenes. Indian J. Chem. 1972, 10, 1141–1150. [Google Scholar]
  14. Prasad, M.R.; Raziya, S.; Kishore, D.P. Microwave assisted synthesis of some novel thiadiazolothienopyrimidines. J. Chem. Res. 2007, 31, 133–135. [Google Scholar]
  15. Kamel, M.M.; Mohamed, M.S.; Shaban, M.A.; El-Zanfally, S.H. Synthesis of some novel tetracyclodiazepines of biological interest. Alex. J. Pharm. Sci. 1995, 9, 79–84. [Google Scholar]
  16. Ellman, G.L.; Courtney, K.D.; Andres, V.; Featherstone, R.M. A new and rapid colorimetric determination of acetylcholinesterase activity. Biochem. Pharmacol. 1961, 7, 88–95. [Google Scholar] [CrossRef]
  17. Kryger, G.; Silman, I.; Sussman, J.L. Structure of acetylcholinesterase complexed with E2020 (Aricept): Implications for the design of new anti-Alzheimer drugs. Structure 1999, 7, 297–307. [Google Scholar] [CrossRef]
  • Samples Availability: Samples of the compounds IIIah and Viaj are available from the authors.

Share and Cite

MDPI and ACS Style

Ismail, M.M.; Kamel, M.M.; Mohamed, L.W.; Faggal, S.I.; Galal, M.A. Synthesis and Biological Evaluation of Thiophene Derivatives as Acetylcholinesterase Inhibitors. Molecules 2012, 17, 7217-7231. https://doi.org/10.3390/molecules17067217

AMA Style

Ismail MM, Kamel MM, Mohamed LW, Faggal SI, Galal MA. Synthesis and Biological Evaluation of Thiophene Derivatives as Acetylcholinesterase Inhibitors. Molecules. 2012; 17(6):7217-7231. https://doi.org/10.3390/molecules17067217

Chicago/Turabian Style

Ismail, Mohamed M., Mona M. Kamel, Lamia W. Mohamed, Samar I. Faggal, and Mai A. Galal. 2012. "Synthesis and Biological Evaluation of Thiophene Derivatives as Acetylcholinesterase Inhibitors" Molecules 17, no. 6: 7217-7231. https://doi.org/10.3390/molecules17067217

APA Style

Ismail, M. M., Kamel, M. M., Mohamed, L. W., Faggal, S. I., & Galal, M. A. (2012). Synthesis and Biological Evaluation of Thiophene Derivatives as Acetylcholinesterase Inhibitors. Molecules, 17(6), 7217-7231. https://doi.org/10.3390/molecules17067217

Article Metrics

Back to TopTop