Abstract
3-Oxo-3-phenyl-2-(p-tolylhydrazono)propanal (1a) undergoes condensation with ethyl cyanoacetate in acetic acid in the presence of ammonium acetate to yield either 2-hydroxy-6-phenyl-5-p-tolylazonicotinic acid ethyl ester (6a) or 2-amino-6-phenyl-5-p-tolyl-azonicotinic acid ethyl ester (8), depending on the reaction conditions. Similarly, other 3-oxo-3-aryl-2-arylhydrazonopropanals 1a,b condense with active methylene nitriles 2c,d to yield arylazonicotinates 6b,c. In contrast, 2-[(4-nitrophenyl)-hydrazono]-3-oxo-3-phenyl-propanal (1c) reacts with ethyl cyanoacetate to yield ethyl 6-(4-nitrophenyl)-2-oxo-2,6-dihydropyrido[3,2–c]cinnoline-3-carboxylate (11), via a novel 6π-electrocyclization pathway. Finally, 3-oxo-2-(phenylhydrazono)-3-p-tolylpropanal (1d) condenses with 2a–c to yield pyridazinones 13a–c.
1. Introduction
The chemistry of arylhydrazonopropanals 1 has attracted considerable attention [1,2]. These substances have proven to be valuable precursors of 3-aroylpyrzoles [3], 3-aroylpyridazine-4,6-dicaboxylic acids [4], 3-aroylcinnolines [5], as well as novel 3-aroyl-1,6-dihydropyridazines [6]. Although condensation reactions of arylhydrazonopropanals with active methylene nitriles were originally reported to afford pyridazin-6-imines [3], more recent studies in our laboratories have demonstrated that arylazonicotinates are also formed in some of these processes [7,8,9].
Because arylazonicotinates are a valuable class of arylazopyridine dyes whose chemistry has attracted some interest as new disperse dyes [10,11], it seemed of value to undertake an investigation aimed at exploring the potential utility of arylhydrazonopropanals as precursors for the preparation of these targets. A recent investigation, described below, has led to the synthesis of two different types of substances, including 2-hydroxyarylazonicotinic acid ethyl esters and 2-aminoarylazonicotinic acid ethyl esters, along with ethyl 6-(4-nitrophenyl)-2-oxo-2,6-dihydropyrido[3,2–c]cinnoline-3-carboxylate, which forms via a pathway involving a novel 6π-electrocyclization reaction.
2. Results and Discussion
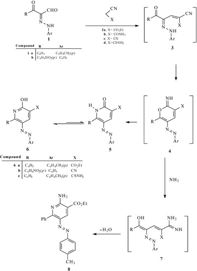
In the first phase of the current effort, we observed that reaction of the 3-oxo-3-phenyl-2-(p-tolylhydrazono)propanal (1a) with ethyl cyanoacetate in acetic acid for 30 min in the presence of a catalytic amount of ammonium acetate leads to formation of the ethyl 2-hydroxy-6-phenyl-5-p-tolylazonicotinate (6a; Scheme 1) whose structure was established by X-ray crystallographic analysis (Figure 1) [12].
In contrast, when the condensation reaction of 1a with ethyl cyanoacetate is conducted in the presence of excess of ammonium acetate, ethyl 2-amino-6-phenyl-5-p-tolylazonicotinate (8) is produced. The structure of 8 was also assigned by using X-ray crystallographic methods (Figure 2) [12].
It is believed that these processes involve initial reaction of 1a with ethyl cyanoacetate to yield the hydrazono-enone 3 that then cyclizes to generate the pyran-imine 4. In the absence of ammonium ion, 4 undergoes a Dimroth type rearrangement to yield 6a. However, in the presence of a high concentration of ammonium acetate, pyran-imine 4 participates in a ring opening to yield amidine 7 that then cyclizes followed by water elimination to yield 8.
In a similar manner, the 3-oxo-3-aryl-2-arylhydrazonopropanals 1a,b undergo condensation reactions with other active methylene nitriles 2c,d (Scheme 1) to yield the corresponding arylazonicotinates 6b,c (catalytic ammonium acetate).
In contrast to the reactivity profiles displayed by its analogs, the 2-[(4-nitrophenyl)-hydrazono]-3-oxo-3-phenylpropanal (1c) reacts with ethyl cyanoacetate (90 min) to afford the novel ethyl 6-(4-nitrophenyl)-2-oxo-2,6-dihydropyrido[3,2-c]cinnoline-3-carboxylate (11; Scheme 2). This substance is believed to be formed via a 6π-electrocyclization reaction of the initially formed arylazonicotinate 9 (analogous to 5 in Scheme 1) that generates the tricyclic intermediate product 10, which then aromatizes to produce the pyrido[3,2–c]cinnoline 11. The high electrocyclization reactivity of 9 appears to be a consequence of the presence of the electron-withdrawing nitro substituent that apparently alters in a favorable way the frontier orbital interactions involved in the pericyclic process.
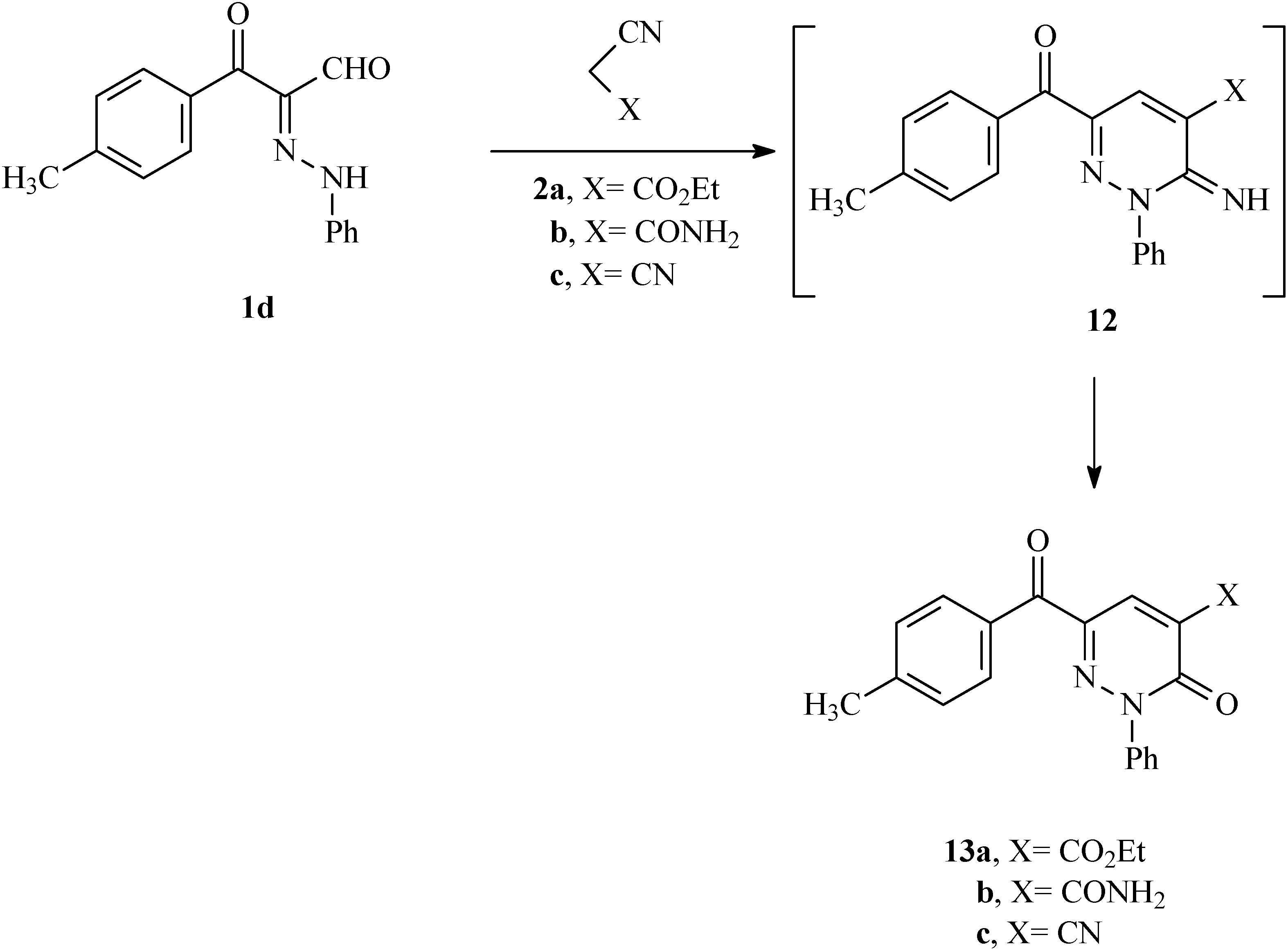
In the final phase of the current effort, we observed that reactions of the 3-oxo-2-(phenylhydrazono)-3-p-tolylpropanal (1d) with active methylene nitriles 2a–c in the presence of catalytic amounts of ammonium acetate in acetic acid for 30 min lead to the respective pyridazinones 13a–c, which are likely formed via the intermediacy of the readily hydrolyzed imine analogs 12 (Scheme 3). The structure of 13a was established by X-ray crystallography (Figure 3) [12].
The differences in the reactivity profiles of 1a–c vs. 1d may be a result of the decreased nucleophilicity of the aroyl carbon in the later substance, enabling cyclization of the hydrazone moiety to predominate.
Scheme 1.
Synthesis of 2-hydroxy-6-substituted-5-arylazonicotinates derivatives 6a–c and 2-amino-6-phenyl-5-p-tolylazo-nicotinate 8.
Figure 1.
Ball and stick drawing of 6a.
Figure 2.
Ball and stick drawing of 8a.
Scheme 2.
Synthesis of ethyl 6-(4-nitrophenyl)-2-oxo-2,6-dihydropyrido[3,2-c]cinnoline-3-carboxylate (11).
Scheme 3.
Synthesis of 6-(4-methylbenzoyl)-3-oxo-2-phenyl-2,3-dihydropyridazine derivatives 13a–c.
Figure 3.
ORTEP drawing of 13a.
Currently, we are utilizing the 2-hydroxy-and 2-aminoazonicotinates dyes as disperse dyes and applying them to polyester fabrics by using high temperature dyeing method. We are also inspecting the biological activity of these disperse dyes against Gram positive bacteria, Gram negative bacteria and yeast.
3. Experimental
3.1. General
Melting points were recorded on a Gallenkamp apparatus. IR spectra were recorded using KBr pellets on a Jasco FTIR-6300 FT-IR spectrophotometer. 1H- and 13C-NMR spectra were recorded on Bruker DPX 400 MHz or AvanceII 600 MHz super-conducting NMR spectrometers (proton spectra measured at 400, 600 MHz and carbon spectra at 100 and 150 MHz, respectively). Mass spectra were measured on a high resolution GC/MS DFS-Thermo. Microanalyses were performed on Elementar-Vario Micro cube Analyzer. X-Ray analyses were performed using a Rigaku Rapid II diffractometer.
3.2. General Procedure for the Preparation of Compounds 6a–c
Independent mixtures of 1a,b (0.01 mol), active methylenenitrile derivatives 2a or 2c or 2d (0.01 mol), and ammonium acetate (0.5 g) in acetic acid (10 mL) were stirred at reflux for 30 min (progress of the reactions was monitored by using TLC using 1:1 ethyl acetate-petroleum ether as eluent). The mixtures were cooled and then poured into ice-water. The solids that formed were collected by using filtration and crystallized from proper solvents to give 6a–c.
2-Hydroxy-6-phenyl-5-p-tolylazonicotinic acid ethyl ester (6a). This compound was obtained as dark brown crystals (83%); mp 180–182 °C; IR (KBr): = 3401 (OH), 1692 (CO) cm−1; 1H-NMR (DMSO-d6): δ = 1.35 (t, 3H, J = 7.2 CH3), 2.50 (s, 3H, CH3), 4.36 (q, 2H, J = 7.2 CH2), 7.32 (d, 2H, J = 8.0 Hz arom-H), 7.48–7.50 (m, 3H, arom-H), 7.60 (d, 2H, J = 8.0 Hz arom-H), 7.78–7.79 (m, 2H, arom-H), 7.98 (s, 1H, OH, D2O exchangeable). 8.54 (s, 1H, arom-H); 13C-NMR (DMSO-d6): δ = 166.5, 161.0, 158.5, 154.5, 150.6, 142.9, 138.3, 136.5, 131.0, 130.8, 129.8, 127.4, 122.3, 105.2, 61.0, 20.9, 14.1; MS, m/z (%), 359 ([M-2]+, 100), 331 (7), 241 (10), 213 (23), 196 (12), 168 (8), 148.1 (17), 115 (14), 91 (35). HRMS: m/z (EI) for C21H19N3O3; calcd. 361.1417; found: 361.1417.
2-Hydroxy-6-(4-nitrophenyl)-5-phenylazonicotinonitrile (6b). This compound was obtained as a dark brown powder (91%); mp 276–278 °C; IR (KBr): = 3446 (OH), 2201 (CN) cm−1; 1H-NMR (DMSO-d6): 7.25–7.62 (m, 6H, arom-H, OH), δ = 7.27 (d, 1H, J = 8.8 Hz arom-H), 8.01–8.08 (m, 1H, arom-H), 8.20 (d, 1H, J = 8.8 Hz arom-H), 8.27–8.36 (m, 2H, arom-H), 13C-NMR (DMSO-d6): δ = 159.8, 152.2, 151.1, 147.6, 141.7, 139.6, 139.0, 131.1, 129.7, 129.2, 126.3, 123.4, 123.1, 114.0, MS, m/z (%), 343 ([M-2]+, 10), 313 (8), 284 (16), 207 (36), 193 (12), 150 (26), 93 (100), 77 (54). Anal. Calcd for C18H11N5O3: C, 62.61; H, 3.21; N, 20.28. Found: C, 62.78; H, 3.28; N, 20.20
2-Hydroxy-6-phenyl-5-p-tolylazothionicotinamide (6c). This compound was obtained as a dark brown powder (77%); mp 276–278 °C; IR (KBr): = 3441 (OH), 3385, 3291 (NH2), 1660 (CO) cm−1; 1H- NMR (DMSO-d6): δ = 2.26 (s, 3H, CH3), 7.02–8.01 (m, 9H, arom-H), 8.57 (s, 1H, OH), 8.76 (s, 1H, arom-H), 12.38 (s, 2H, NH2, D2O exchangeable). 13C-NMR (DMSO-d6): δ = 190.3, 162.2, 158.0, 152.7, 141.7, 138.8, 137.3, 135.8, 131.7, 130.6, 129.4, 129.0, 124.5, 94.0, 20.8; MS, m/z (%), 348 ([M]+, 6), 333 (7), 315 (42), 257 (4), 183 (6), 119 (100), 91 (50), 77 (20). Anal. Calcd for C19H16N4OS: C, 65.50; H, 4.63; N, 16.08; S, 9.20. Found: C, 65.60; H, 4.30; N, 16.43; S, 8.73.
3.3. 2-Amino-6-phenyl-5-p-tolylazonicotinic Acid Ethyl Ester (8)
Independent mixtures of 1a (0.01 mol), ethyl cyanoacetate 2a (0.01 mol), and ammonium acetate (3 g) in acetic acid (10 mL) were stirred at reflux for 30 min (progress of the reactions was monitored by using TLC using 1:1 ethyl acetate-petroleum ether as eluent). The mixtures were cooled and then poured into ice-water. The solids that formed were collected by using filtration and crystallized from proper solvents to give 8 as wine red crystals (83%) (mp 210–212 °C); IR (KBr): = 3402, 3275 (NH2) 1693 (CO) cm−1; 1H-NMR (DMSO-d6): δ = 1.37 (t, 3H, J = 7.2 CH3), 2.50 (s, 3H, CH3), 4.39 (q, 2H, J = 7.2 CH2), 7.31 (d, 2H, J = 8.4 Hz arom-H), 7.47–7.48 (m, 3H, arom-H), 7.98 (s, 2H, NH2, D2O exchangeable). 7.59 (d, 2H, J = 8.4 Hz arom-H), 7.80–7.82 (m, 2H, arom-H), 8.54 (s, 1H, arom-H); 13C-NMR (DMSO-d6): δ = 166.2, 161.3, 159.5, 150.4, 140.6, 137.2, 136.5, 130.8, 129.8, 129.2, 127.4, 127.2, 122.3, 104.9, 61.0, 20.9, 14.1; MS, m/z (%), 359 ([M-1]+, 100), 315 (9), 290 (12), 241 (6), 213 (20), 196 (9), 168 (5), 140 (9), 105 (26), 91 (36), 77 (16). Anal. Calcd for C21H20N4O2: C, 69.98; H, 5.59; N, 15.55. Found: C, 69.99; H, 5.50; N, 15.25.
3.4. Synthesis of Ethyl 6-(4-nitrophenyl)-2-oxo-2,6-dihydropyrido[3,2-c]cinnoline-3-carboxylate (11)
A mixture of 1c (0.01 mol), ethyl cyanoacetate (0.01 mol), and ammonium acetate (0.5 g) in acetic acid (10 mL) was stirred at reflux for 90 min (progress of the reaction was monitored by using TLC using 1:1 ethyl acetate: petroleum ether). The mixture was cooled and then poured into ice-water. The solid that formed was collected by using filtration and crystallized from dioxane to give 11. This compound was obtained as a dark brown powder (62%); mp 148–150 °C; IR (KBr): = 1694 (CO) cm−1; 1H-NMR (DMSO-d6): δ = 1.35 (t, 3H, J = 7.2 CH3), 4.37 (q, 2H, J = 7.8 CH2), 7.51–7.55 (m, 3H, arom-H), 7.78–8.04 (m, 3H, arom-H), 8.28–8.38 (m, 2H, arom-H), 8.62 (s, 1H, arom-H); 13C-NMR (DMSO-d6): δ = 189.4, 166.0, 163.8, 160.2, 155.7, 147.6, 142.2, 136.9, 131.0, 130.2, 129.8, 128.2, 127.4, 125.1, 123.2, 105.3, 61.2, 14.1; MS, m/z (%), 390 ([M]+, 100), 361 (9), 321 (7), 257 (5), 241 (8), 213 (24), 196 (14), 168 (11), 140 (22), 105 (31), 77 (16). Anal. Calcd for C20H14N4O5: C, 61.54; H, 3.62; N, 14.35. Found: 61.61; H, 3.57; N, 14.58.
3.5. General Procedure for the Preparation of Compounds 13a–c
Independent mixtures of 1d (0.01 mol), active methylenenitrile derivatives 2a–c (0.01 mol), and ammonium acetate (0.5 g) in acetic acid (10 mL) were stirred at reflux for 30 min (progress of the reactions was monitored by using TLC using 1:1 ethyl acetate-petroleum ether as eluent). The mixtures were cooled and then poured into ice-water. The solids that formed were collected by using filtration and crystallized from proper solvents to give 13a–c.
6-(4-Methylbenzoyl)-3-oxo-2-phenyl-2,3-dihydropyridazine-4-carboxylic acid ethyl ester (13a). This compound was obtained as buff crystals (55%); mp 108–110 °C; IR (KBr): = 1746 (CO) cm−1; 1H-NMR (DMSO-d6): δ = 1.32 (t, 3H, J = 7.2 CH3), 2.37 (s, 3H, CH3), 4.34 (q, 2H, J = 7.2 CH2), 7.33 (d, 2H, J = 8.0 Hz arom-H), 7.45–7.49 (m, 1H, arom-H), 7.51–7.55 (m, 2H, arom-H), 7.59–7.63 (m, 2H, arom-H), 7.93 (d, 2H, J = 8.4 Hz arom-H), 8.31 (s, 1H, arom-H); 13C-NMR (DMSO-d6): δ = 188.3, 162.6, 155.9, 144.4, 141.6, 141.1, 132.3, 132.1, 131.0, 130.7, 129.2, 128.8, 126.0, 115.2, 61.8, 21.2, 13.9; MS, m/z (%), 362 ([M]+, 48), 315 (18), 290 (16), 261 (6), 182 (12), 119 (100), 91 (46), 77 (26). HRMS: m/z (EI) for C21H18N2O4; calcd. 362.1261; found: 362.1261.
6-(4-Methylbenzoyl)-3-oxo-2-phenyl-2,3-dihydropyridazine-4-carboxylic acid amide (13b). This compound was obtained as a brown powder (52%); mp 243–245 °C; IR (KBr): = 3343, 3156 (NH2), 1698 (CO) cm−1; 1H-NMR (DMSO-d6): δ = 1.37 (s, 3H, CH3), 7.33 (d, 2H, J = 8.0 Hz arom-H), 7.47–7.56 (m, 3H, arom-H), 7.63 (d, 2H, J = 7.8 Hz arom-H), 7.93 (d, 2H, J = 8.0 Hz arom-H), 8.27 (s, 2H, NH2, D2O exchangeable). 8.56 (s, 1H, arom-H); 13C-NMR (DMSO-d6): δ = 188.4, 162.1, 159.5, 144.1, 142.6, 141.1, 132.5, 132.3, 130.9, 130.7, 129.0, 128.9, 128.8, 126.1, 21.2; MS, m/z (%), 333 ([M]+, 100), 318 (15), 261 (5), 214 (5), 182 (9), 119 (100), 91 (36), 77 (20). Anal. Calcd for C19H15N3O3: C, 68.46; H, 4.54; N, 12.61. Found: 68.93; H, 4.56; N, 13.02.
6-(4-Methylbenzoyl)-3-oxo-2-phenyl-2,3-dihydropyridazine-4-carbonitrile (13c). This compound was obtained as brown powder crystals (64%); mp 186–188 °C; IR (KBr): 2209 (CN), 1656 (CO) cm−1; 1H-NMR (DMSO-d6): δ = 2.32 (s, 3H, CH3), 7.25 (d, 2H, J = 8.0 Hz arom-H), 7.46–7.58 (m, 5H, arom-H), 7.85 (d, 2H, J = 8.0 Hz arom-H), 8.60 (s, 1H, arom-H); 13C-NMR (DMSO-d6): δ = 187.6, 162.0, 156.1, 144.4, 141.6, 140.5, 138.6, 132.0, 130.7, 130.2, 126.1, 125.6, 115.2, 113.7, 21.0, MS, m/z (%), 315 ([M]+, 60), 257 (6), 211 (8), 183 (14), 119 (100), 91 (42), 77 (20). HRMS: m/z (EI) for C19H13N3O2; calcd. 315.1001; found: 315.1001.
4. Conclusions
In conclusion, in the investigation described above, we have observed that 3-oxo-2-arylhydrazonopropanals that do not possess strongly electron-withdrawing aryl substituents react with active methylene nitriles to afford 2-arylhydroxyazonicotinates and 2-arylaminoazonicotinates, in a manner that depends on the concentrations of ammonium acetate. In the case of the p-nitro-substituted members of this family, a facile 6π-electrocyclization reaction takes place on the hydrazono-pyridone intermediate to yield the corresponding ethyl 6-(4-nitrophenyl)-2-oxo-2,6-dihydropyrido[3,2-c]cinnoline-3-carboxylate, a likely result of a substituent effect on frontier orbital interactions that favor the pericyclic process.
Acknowledgments
The authors are grateful to M. H. Elnagdi for his help and valuable advice. Support of this work provided by Kuwait University through a research grant (SC 05/09) and the facilities of Analab/SAF, supported by research grants (GS03/08), (GS01/01), (GS01/03) and (GS01/05) are highly appreciated.
- Sample Availability: Samples of compounds 6a–c, 8, 11 and 13a–c are available from the authors.
References and Notes
- Al-Omran, F.; Al-Awadi, N.; Abdel Khalik, M.M.; Kaul, K.; ElKhair, A.A.; Elnagdi, M.H. 1-Substituted 3-dimethylaminoprop-2-en-1-ones as building blocks in heterocyclic synthesis. Routes to 6-aryl and 6-Heteroaryl-2H-pyran-2-ones and 4-aryl-1,2-dihydropyridine-2(1H)-ones. J. Chem. Res. (s) 1997, 84–85. [Google Scholar]
- Abdelhamid, I.A.; Nasra, M.A.; Elnagdi, M.H. Chemistry of 2-arylhydraizonals. Synlett 2009, 20, 3237–3251. [Google Scholar]
- Al-Saleh, B.; Behbehani, H.; El-Apasery, M.A.; Einagdi, M.H. Enaminones as building blocks in heterocyclic synthesis. Synthesis of polyfunctionally substituted 3-azolylpyridines and azolylazoloazines by thermal and microwave heating. J. Chem. Res. 2004, 8, 575–577. [Google Scholar]
- Al-Omran, F.; Abdelkhalik, M.M.; El-Khair, A.A.; Elnagdi, M.H. Studies with functionally substituted heteroaromatics. A novel route for the synthesis of 1-aryl-6-pyridazinones, 1-arylpyridazin-6-imines, and 1-aryl-6-imino-4-pyridazinals. Synthesis 1997, 1, 91–94. [Google Scholar]
- Al-Awadi, N.A.; Elnagdi, M.H.; Ibrahim, Y.A.; Kaul, K.; Kumar, A. Efficient synthesis of 3-aroylcinnolines from aryl methyl Ketones. Tetrahedron 2001, 57, 1609–1614. [Google Scholar]
- Al-Awadi, N.A.; Ibrahim, M.R.; Abdelhamid, I.A.; Elnagdi, M.H. Arylhydrazonals as the aldehyde component in Baylis-Hillman reactions. Tetrahedron 2008, 64, 8202–8205. [Google Scholar]
- Al-Mousawi, S.M.; Moustafa, M.S.; Abdelshafy, I.A.; Elnagdi, M.H. Reassignment of the structures of condensation products of α-keto α'-formylarylhydrazones with ethyl cyanoacetate: A novel route to ethyl 5-arylazo-2-hydroxynicotinates. Tetrahedron Lett. 2011, 52, 202–204. [Google Scholar]
- El-Apasery, M.A.; Al-Mousawi, S.M.; Mahmoud, H.; Elnagdi, M.H. Novel Routes to Biologically Active Enaminones, Dienoic Acid Amides, Arylazonicotinates and Dihydropyridazines under Microwave Irradiation. Int. Res. J. Pure Appl. Chem. 2011, 1, 69–93. [Google Scholar]
- Al-Mousawi, S.M.; El-Apasery, M.A.; Mahmoud, H.; Elnagdi, M.H. Studies with Biologically Active Enaminones: An Easy Method for Structural Elucidation of Products Produced from Enaminone Starting Materials through Pathways Employing Microwave Irradiation. Int. Res. J. Pure Appl. Chem. 2012, in press. [Google Scholar]
- Khan, M.K.; Abdul, M.J.; Shahnaz, P.; Rasheeda, P.; Moazzam, H.S. Synthesis of ethyl 4,6-dihydroxy-2-oxo-1-phenyl-5-arylazopyridine-3-carboxylate, part (IV): new disperse dyes. J. Chem. Soc. Pakistan 2010, 32, 505–510. [Google Scholar]
- Rasheeda, P.; Shahnaz, P.; Ausaf, A.; Khan, K.M. 1H NMR, mass spectroscopic studies and color fastness properties of methyl-4,6-dihydroxy-2-oxo-1-phenyl-5-arylazopyridine-3-carboxylate, part III: new disperse dyes. Nat. Prod. Res. 2007, 21, 7–12. [Google Scholar] [CrossRef]
- CCDC 829544, 848749 and 848618 contain the supplementary crystallographic data for compound 7a, 9a and 14a in this paper. These data can be obtained free of charge from the Cambridge Crystallographic Data Centre via www.ccdc.cam.ac.uk.
© 2012 by the authors; licensee MDPI, Basel, Switzerland. This article is an open-access article distributed under the terms and conditions of the Creative Commons Attribution license (http://creativecommons.org/licenses/by/3.0/).





