Green and Highly Efficient Synthesis of 2-Arylbenzothiazoles Using Glycerol without Catalyst at Ambient Temperature
Abstract
:1. Introduction
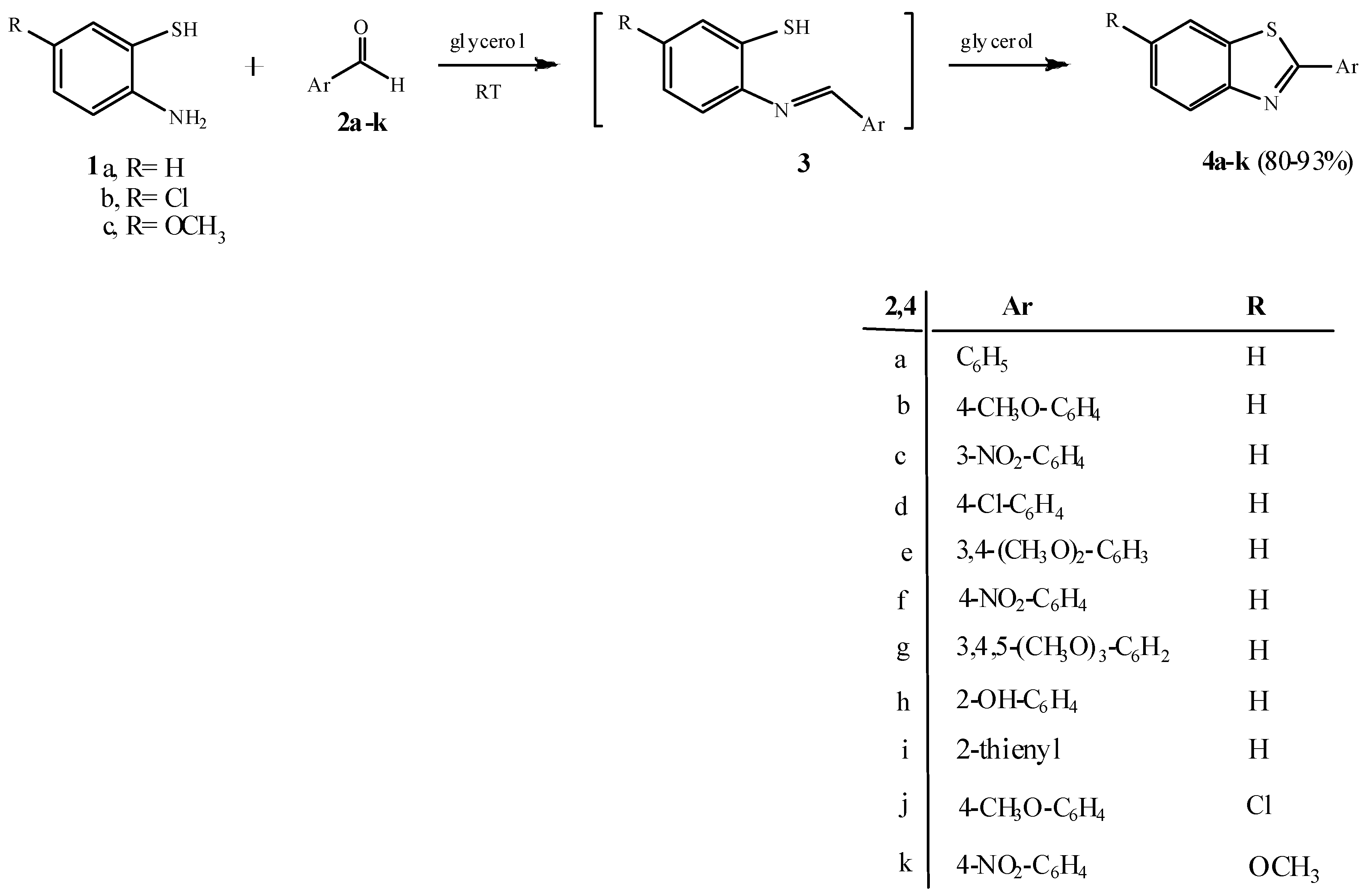
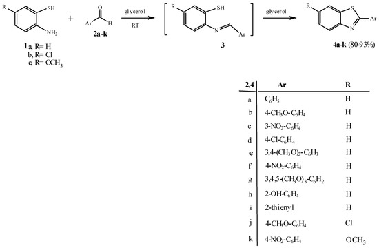
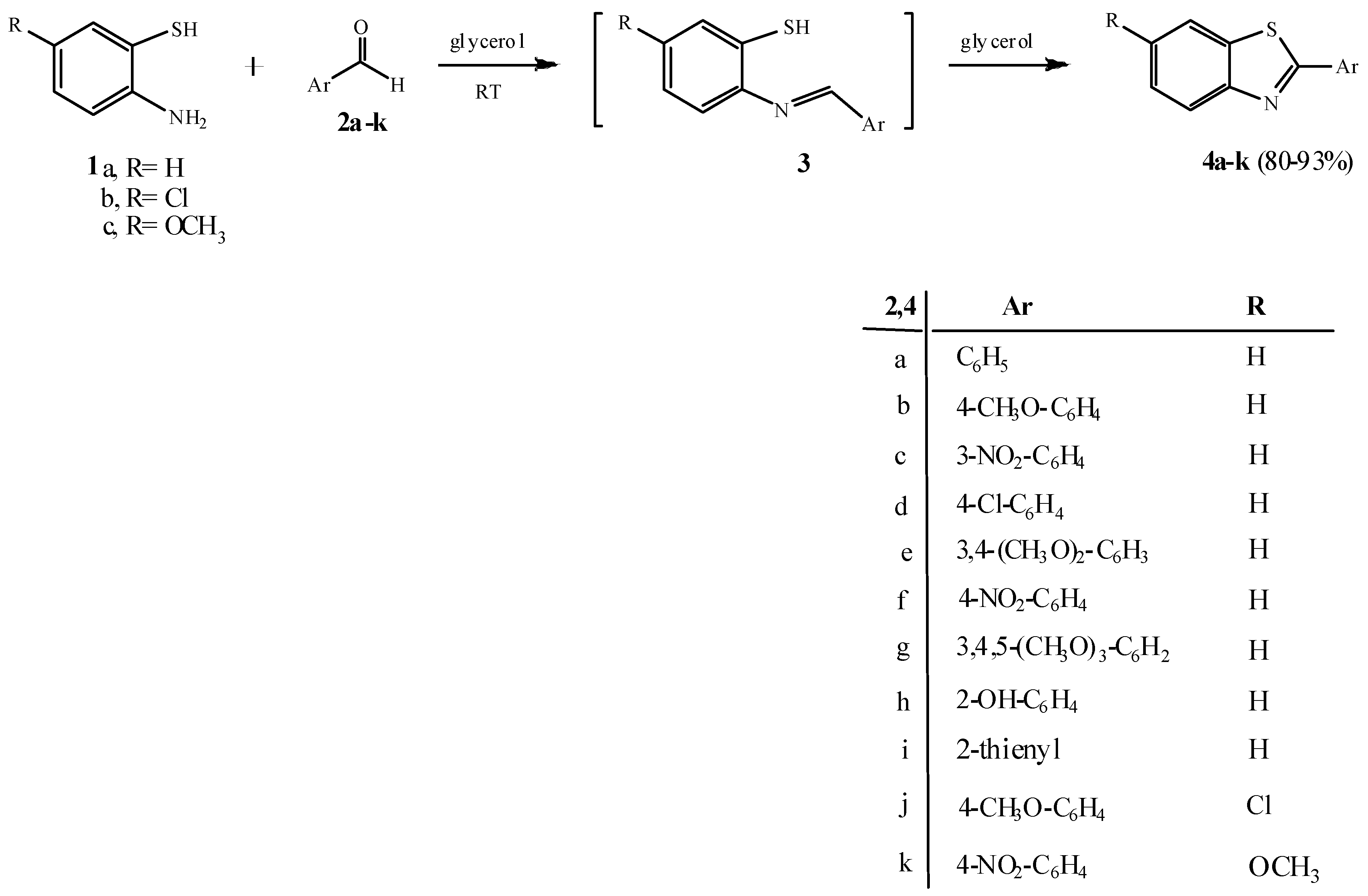
2. Results and Discussion
3. Experimental
3.1. General
3.2. Synthesis of 2-Arylbenzothiazoles 4a–k
4. Conclusions
References and Notes
- Anastas, P.T.; Warner, J.C. Green Chemistry: Theory and Practice; Oxford University Press: New York, NY, USA, 1998. [Google Scholar]
- Candeias, N.R.; Branco, L.C.; Gois, P.M.P.; Afonso, C.A.M.; Trindade, A.F. More Sustainable approaches for the synthesis of N-based heterocycles. Chem. Rev. 2009, 109, 2703–2802. [Google Scholar] [CrossRef] [PubMed]
- Gu, Y.; Jerome, F. Glycerol as a sustainable solvent for green chemistry. Green Chem. 2010, 12, 1127–1138. [Google Scholar] [CrossRef]
- Tasler, S.; Muller, O.; Wieber, T.; Herz, T.; Peyoraro, W.S.; Lang, M.; Krauss, R.; Totzke, F.; Zirrgiebel, U.; Ehlert, J.E.; et al. Substituted 2-arylbenzothiazoles as kinase inhibitors: Hit-to-lead optimization. Bioorg. Med. Chem. 2009, 19, 6728–6737. [Google Scholar] [CrossRef] [PubMed]
- Kashiyama, E.; Hutchinson, I.; Chua, M.S.; Stinson, S.F.; Phillipes, L.R.; Kaur, G.; Sausville, E.A.; Bradshaw, T.D.; Westwell, A.D.; Stevens, M.F. Antitumor benzothiazoles 8. Synthesis, metabolic and biological properties of the C- and N-oxidation products of antitumor 2-(4-aminophenyl)benzothiazole. J. Med. Chem. 1999, 42, 4172–4184. [Google Scholar] [CrossRef] [PubMed]
- Mathis, C.A.; Bacski, B.J.; Kajdasz, S.T.; McLellan, M.E.; Frosch, M.P.; Hyman, B.T.; Holt, D.P.; Wany, Y.; Huany, G.-F.; Debnath, M.L.; et al. A Lipophilic thioflavin-T. derivatives for positron emission tomography (PET) imagin of amyloid brain. Bioorg. Med. Chem. Lett. 2002, 12, 295–298. [Google Scholar] [CrossRef]
- Yamamoto, K.; Fujitta, M.; Tabashi, K.; Kawashima, Y.; Kato, E.; Oya, M.; Iso, T.; Iwao, J. Novel calcium antagonists. Synthesis and structure-activity relationship studies of benzothiazoline derivatives. J. Med. Chem. 1988, 31, 919–930. [Google Scholar] [CrossRef] [PubMed]
- Yoshida, H.; Nakao, R.; Nohta, H.; Yamaguchi, M. Chemiluminescent properties of some luminol-related compounds-part 3. Dyes Pigm. 2000, 47, 239–245. [Google Scholar] [CrossRef]
- Lee, B.C.; Jung, J.H.; Jeong, J.M.; Kim, S.E. Aromatic radioflurination and biological evaluation of 2-aryl-6-[18F]fluorobenzthiazoles as a potential positron emission tomography imaging probe for β-amyloid plakues. Bioorg. Med. Chem. 2011, 19, 2980–2990. [Google Scholar] [CrossRef] [PubMed]
- Xie, Y.; Deng, S.; Chen, Z.; Yan, S.; landry, D.W. Identification of small-molecule inhibitors of the AB-ABAD interaction. Bioorg. Med. Chem. Lett. 2006, 16, 4657–4660. [Google Scholar] [CrossRef] [PubMed]
- Alagille, D.; Baldwin, R.M.; Tamagnan, G.D. One-pot synthesis of 2-arylbenzothiazole (BTA) and benzoxazole precoursers for in vivo imaging of β-amyloid plaques. Tetrahedron Lett. 2005, 46, 1349–1351. [Google Scholar] [CrossRef]
- Majo, V.J.; Prabhakaran, J.; Mann, J.J.; Kumar, J.S.D. An efficient palladium catalyzed synthesis of 2-arylbenzothiazoles. Tetrahedron Lett. 2003, 44, 8535–8537. [Google Scholar] [CrossRef]
- Sharghi, H.; Asemani, O. Methansulfonic acid/SiO2 as an efficient combination for the synthesis of 2-substituted aromatic and aliphatic benzothiazoles from carboxylic acids. Synth. Commun. 2009, 39, 860–867. [Google Scholar] [CrossRef]
- Ranu, B.C.; Jana, R.; Dey, S. An efficient and green synthesis of 2-arylbenzothiazoles in an ionic liquid [PmIm]Br under microwave irradiation. Chem. Lett. 2004, 33, 274–275. [Google Scholar] [CrossRef]
- Li, Y.; Wang, Y.L.; Wang, J.Y. A simple iodine promoted synthesis of 2-substituted benzothiazoles by condensation of aldehydes with 2-aminothiophenol. Chem. Lett. 2006, 35, 460–461. [Google Scholar] [CrossRef]
- Moghadhan, F.M.; Ismaili, H.; Bardajee, C.R. Zirconium (IV) oxide chloride and anhydrous copper (II) sulfate mediated synthesis of 2-substituted benzothiazoles. Heteroatom Chem. 2006, 17, 136–141. [Google Scholar] [CrossRef]
- Robukhin, S.V.; Plaskon, A.S.; Volochnyuk, D.M.; Tolmachev, A.A. Synthesis of fused imidazoles and benzothiazoles from (hetero) aromatic ortho-diamines or ortho-aminothiophenols and aldehydes promoted by chlorotrimethylsilane. Synthesis 2006, 2006, 3715–3726. [Google Scholar] [CrossRef]
- Praveen, C.; Hemanthkumar, K.; Muralidharan, D.; Perumal, P.T. Oxidative cyclization of thiophenolic and phenolic Schiff’s bases promoted by PCC. A new oxidant for 2-substituted benzothiazoles and benzoxazoles. Tetrahedron 2008, 64, 2369–2374. [Google Scholar] [CrossRef]
- Al-Qalaf, F.; Mekheimer, R.A.; Sadek, K.U. Cerium (IV) ammonium nitrate (CAN) catalyzed one-pot synthesis of 2-arylbenzothiazoles. Molecules 2008, 13, 2908–2914. [Google Scholar] [CrossRef] [PubMed]
- Itoh, T.; Nagata, K.; Ishikawa, H.; Ohsawa, A. Synthesis of 2-arylbenzothiazoles and imidazoles using scandium triflate as a catalyst for both a ring closing and an oxidation step. Heterocycles 2004, 63, 2769–2783. [Google Scholar] [CrossRef]
- Bahrami, K.; Khodaei, M.M.; Naali, F. Mild and highly efficient method for the synthesis of imidazoles and 2-arylbenzothiazoles. J. Org. Chem. 2008, 73, 6835–6837. [Google Scholar] [CrossRef] [PubMed]
- Wilfred, C.D.; Taylor, R.J.K. Preparation of 2-substituted benzimidazoles and related heterocycles directly from activated alcohols using top methodology. Synlett 2004, 2004, 1628–1630. [Google Scholar] [CrossRef]
- Prutap, U.R.; Mali, J.R.; Jawale, D.V.; Mane, R.A. Baker’s yeast catalyzed synthesis of benzothiazoles in an organic medium. Tetrahedron Lett. 2009, 50, 1352–1354. [Google Scholar] [CrossRef]
- Riadi, Y.; Mamouni, R.; Azzelaou, R.; El Haddad, M.; Routier, S.; Guillaumet, G.; Lazar, S. An efficient and reusable heterogenious catalyst animal bone meal for the synthesis of benzimidazoles, benzoxazoles and benzothiazoles. Tetrahedron Lett. 2011, 52, 3492–3495. [Google Scholar] [CrossRef]
- Okimoto, M.; Yoshida, T.; Hoshi, M.; Hattori, K.; Komata, M.; Tomozawa, K.; Chiba, T. Electrooxidative cyclization of benzylideneaminothiophenols to the corresponding 2-arylbenzo-thiazoles. Heterocycles 2008, 75, 35–42. [Google Scholar] [CrossRef]
- Khan, K.M.; Rahim, F.; Halim, S.A.; Taha, M.; Khan, M.; Perveen, S.; Haq, Z.; Mesaik, M.A.; Choudhary, M.I. Synthesis of novel inhibitors of β-glucuronidase based on benzothiazole skeleton and study of their binding affinity by molecular docking. Bioorg. Med. Chem. 2011, 19, 4286–4294. [Google Scholar] [CrossRef] [PubMed]
- Azizi, N.; Amiri, A.K.; Baghi, R.; Bolourtchian, M.; Hashemi, M.M. PTSA catalyzed simple and green synthesis of benzothiazole derivatives in water. Monatsh. Chem. 2009, 140, 1471–1473. [Google Scholar] [CrossRef]
- Deligeorgiev, T.G.; Kaloyanova, S.; Vasilev, A.; Vaquero, J.J. Novel green procedure for the synthesis of 2-arylbenzothiazoles under microwave irradiation in PEG 200 or PEG 400. Phosphorus Sulfur Silicon Relat. Elem. 2010, 185, 2292–2302. [Google Scholar] [CrossRef]
- Sadjadi, S.; Sepehrian, H. Cu(OAc)2/MCM-41: An efficient and solid acid catalyst for synthesis of 2-arylbenzothiazoles under ultrasound irradiation. Ultrason. Sonochem. 2011, 18, 480–483. [Google Scholar] [CrossRef] [PubMed]
- Veisi, H.; Ghorbani-Vaghei, R.; Fraji, A.; Ozturk, T. Application of N,N′-diiodo-N,N′-1,2-ethandiylbis(p-toluene sulfonamide) as a new reagent for synthesis of 2-arylbenzimidazoles and 2-arylbenzothiazoles under solvent-free conditions. Chin. J. Chem. 2010, 28, 2249–2254. [Google Scholar] [CrossRef]
- Mukhopadhyay, C.; Datta, A. Water-promoted dowex 50W catalyzed highly efficient green protocol for 2-arylbenzothiazole formation. J. Heterocycl. Chem. 2009, 46, 91–95. [Google Scholar] [CrossRef]
- Xiao, H.-L.; Chen, J.-X.; Liu, M.-C.; Zhu, D.-J.; Ding, J.-C.; Wu, H.-Y. Trichloroisocyanuric acid (TCCA) as a mild and efficient catalyst for the synthesis of 2-arylbenzothiazoles. Chem. Lett. 2009, 38, 170–171. [Google Scholar] [CrossRef]
- Chakraborti, A.K.; Rudrawar, S.; Jadhav, K.B.; Kaur, G.; Chankeshwara, S.V. “On water” organic synthesis: A highly efficient and clean synthesis of 2-aryl/heteroaryl/styryl benzothiazoles and 2-alkyl/aryl alkyl benzothiazolines. Green Chem. 2007, 9, 1335–1340. [Google Scholar] [CrossRef]
- Maleki, B.; Azarifar, D.; Hojati, S.F.; Gholizadeh, M.; Veisi, H.; Salehabadi, H.; Khodaverdian Moghadam, M. Efficient 2,4,6-trichloro-1,3,5-triazine-catalyzed synthesis of 2-arylbenzothiazoles and bisbenzothiazoles by condensation of 2-aminithiophenol with aldehydes under mild conditions. J. Heterocycl. Chem. 2011, 48, 449–453. [Google Scholar] [CrossRef]
- Maleki, B.; Salehabadi, H.; Khodaverdian Moghaddam, M. Room-temperature synthesis of 2-arylbenzothiazoles using sulfuric acid immobilized on silica as a reusable catalyst under heterogeneous conditions. Acta Chim. Solv. 2010, 57, 741–745. [Google Scholar]
- Rostami, A.; Yari, A. Sulfamic acid as a recyclable and green catalyst for rapid and highly efficient synthesis of 2-arylbenzothiazols in water at room temperature. J. Iran. Chem. Soc. 2012. [Google Scholar] [CrossRef]
- Siddappa, C.; Kambappa, V.; Umashankara, M.; Rangappa, K.S. One-pot approach for the synthesis of 2-arylbenzothiazoles via a two-component coupling of gem-dibromomethylarenes and o-aminothiophenols. Tetrahedron Lett. 2011, 52, 5474–5477. [Google Scholar] [CrossRef]
- Cheng, Y.; Yang, J.; Qu, Y.; Li, P. Aerobic visible-light photoredox radical C-H functionalization: Catalytic synthesis of 2-substituted benzothiazoles. Org. Lett. 2012, 14, 98–101. [Google Scholar] [CrossRef] [PubMed]
- Mekheimer, R.A.; Abdel-Hameed, A.; Sadek, K.U. Solar thermochemical reactions: Four component synthesis of polyhydroquinoline derivatives induced by solar thermal energy. Green Chem. 2008, 10, 592–593. [Google Scholar] [CrossRef]
- Sadek, K.U.; Mekheimer, R.A.; Mohamed, T.M.; Moustafa, M.S.; Elnagdi, M.H. Regioselectivity in the multicomponent reaction of 5-aminopyrazoles, cyclic 1,3-diketones and dimethylformamide dimethylacetal under controlled microwave heating. Beilstein J. Org. Chem. 2012, 8, 18–24. [Google Scholar] [CrossRef] [PubMed]
- Mekheimer, R.; Hilmy, N.M.; Abdel Hameed, A.; Dacrory, S.; Sadek, K.U. Simple, three component, highly efficient green synthesis of thiazolo[3,2-a]pyridine derivatives under neat conditions. Synth. Commun. 2011, 41, 2511–2516. [Google Scholar] [CrossRef]
Sample Availability: Samples of the compounds 4a–k are available from the authors. |


© 2012 by the authors; licensee MDPI, Basel, Switzerland. This article is an open access article distributed under the terms and conditions of the Creative Commons Attribution license (http://creativecommons.org/licenses/by/3.0/).
Share and Cite
Sadek, K.U.; Mekheimer, R.A.; Hameed, A.M.A.; Elnahas, F.; Elnagdi, M.H. Green and Highly Efficient Synthesis of 2-Arylbenzothiazoles Using Glycerol without Catalyst at Ambient Temperature. Molecules 2012, 17, 6011-6019. https://doi.org/10.3390/molecules17056011
Sadek KU, Mekheimer RA, Hameed AMA, Elnahas F, Elnagdi MH. Green and Highly Efficient Synthesis of 2-Arylbenzothiazoles Using Glycerol without Catalyst at Ambient Temperature. Molecules. 2012; 17(5):6011-6019. https://doi.org/10.3390/molecules17056011
Chicago/Turabian StyleSadek, Kamal Usef, Ramadan Ahmed Mekheimer, Afaf Mohamed Abdel Hameed, Fatma Elnahas, and Mohamed Hilmy Elnagdi. 2012. "Green and Highly Efficient Synthesis of 2-Arylbenzothiazoles Using Glycerol without Catalyst at Ambient Temperature" Molecules 17, no. 5: 6011-6019. https://doi.org/10.3390/molecules17056011
APA StyleSadek, K. U., Mekheimer, R. A., Hameed, A. M. A., Elnahas, F., & Elnagdi, M. H. (2012). Green and Highly Efficient Synthesis of 2-Arylbenzothiazoles Using Glycerol without Catalyst at Ambient Temperature. Molecules, 17(5), 6011-6019. https://doi.org/10.3390/molecules17056011
