Inhibition of Melanogenesis Versus Antioxidant Properties of Essential Oil Extracted from Leaves of Vitex negundo Linn and Chemical Composition Analysis by GC-MS
Abstract
1. Introduction
2. Results and Discussion
2.1. Inhibition of Melanogenesis by V. negundo Linn Essential Oil
2.1.1. Inhibitory Effect of V. negundo Linn Essential Oil on Mushroom Tyrosinase Activity

2.1.2. Effect of V. negundo Linn Essential Oil on Melanin Synthesis in B16F10 Cells

2.1.3. Effects of V. negundo Linn Essential Oil on Tyrosinase Activity in B16F10 Cells

2.2. Antioxidant Capacity of V. negundo Linn Essential Oil
2.2.1. DPPH Assay

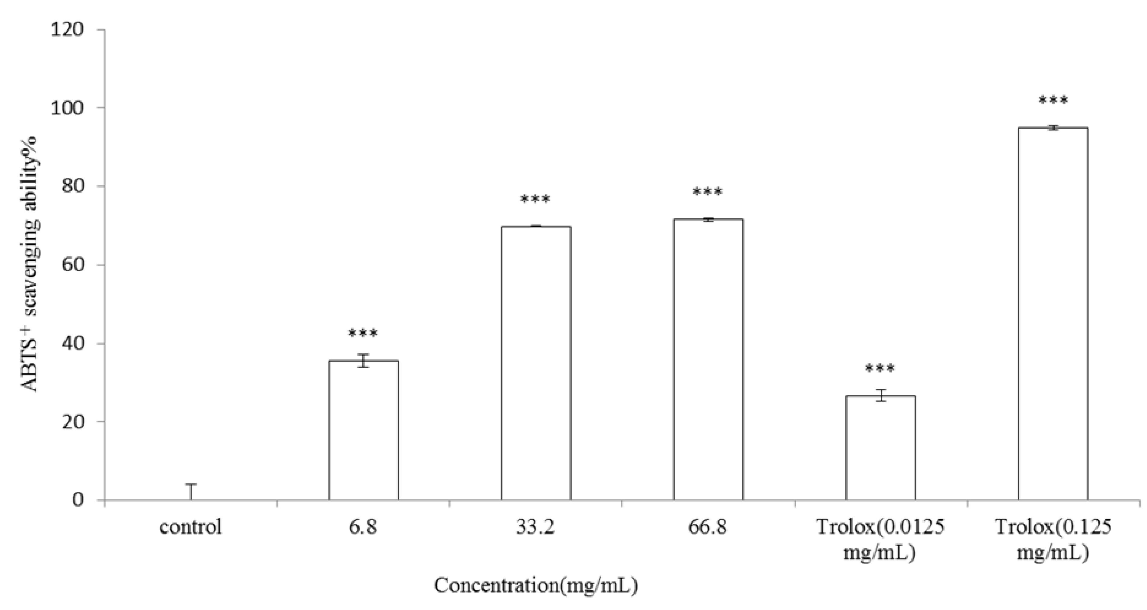
2.2.2. ABTS Assay

2.2.3. Determination of Reducing Power of V. negundo Linn Essential Oil

2.2.4. Metal-Ion Chelating Activity of V. negundo Linn Essential Oil

2.3. Chemical Composition of V. negundo Linn Essential Oil
| Rta | Compound b | M. f. c | Peak area (%) | Classification |
|---|---|---|---|---|
| 23.99 | Sabinene | C10H16 | 19.04 | monoterpene |
| 26.80 | Eucalyptol | C10H17O | 0.40 | ether |
| 27.25 | o-Cymene | C10H14 | 5.90 | aromatic compound |
| 27.47 | β-Terpinyl acetate | C12H20O2 | 8.99 | ester |
| 28.18 | 1R- α-Pinene | C10H16 | 0.21 | monoterpene |
| 30.94 | Linalool | C10H18O | 4.27 | alcohol |
| 33.03 | Menthone | C10H18O | 4.96 | ketone |
| 33.97 | (−)-Menthol | C10H19O | 1.44 | alcohol |
| 34.15 | (−)-Terpinen-4-ol | C10H19O | 2.82 | alcohol |
| 39.07 | Linalyl formate | C11H18O2 | 3.72 | ester |
| 46.54 | Nerol acetate | C12H20O2 | 1.18 | ester |
| 47.46 | Geranyl acetate | C11H20O2 | 0.88 | ester |
| 48.83 | Caryophyllene | C15H24 | 18.27 | Sesquiterpene |
| 49.54 | α-Bergamotene | C15H24 | 0.53 | Sesquiterpene |
| 50.13 | Humulene | C15H24 | 0.58 | Sesquiterpene |
| 51.37 | Eremophilene | C15H24 | 12.76 | Sesquiterpene |
| 52.11 | β-Bisabolene | C15H24 | 0.94 | Sesquiterpene |
| 54.31 | Caryophyllene oxide | C15H24O | 11.33 | Sesquiterpene |
| Unknown | 1.78 |
3. Experimental
3.1. Plant Material and Isolation of Essential Oils
3.2. Mushroom Tyrosinase Actvity Assay
3.3. Intracellular Melanin Content Measurement
3.4. Intracellular Tyrosinase Activity Assay
3.5. DPPH Scavenging Activity Assay
3.6. ABTS+ Scavenging Capacity Assay
3.7. Determination of Reducing Power
3.8. Measurement of Metal-Ion Chelating Capacity
3.9. Gas Chromatography-Mass Spectrometry (GC-MS)
3.10. Statistical Analysis
4. Conclusions
Acknowledgements
References and Notes
- Seo, S.Y.; Sharma, V.K.; Sharma, N. Mushroom tyrosinase: Recent prospects. J. Agric. Food. Chem. 2003, 51, 2837–2853. [Google Scholar]
- Briganti, S.; Camera, E.; Picardo, M. Chemical and instrumental approaches to treat hyperpigmentation. Pigment Cell Res. 2003, 16, 101–110. [Google Scholar]
- Garcia, A.; Fulton, J.E., Jr. The combination of glycolic acid and hydroquinone or kojic acid for the treatment of melasma and related conditions. Dermatol. Surg. 1996, 22, 443–447. [Google Scholar]
- Virador, V.M.; Kobayashi, N.; Matsunaga, J.; Hearing, V.J. A standardized protocol for assessing regulators of pigmentation. Anal. Biochem. 1999, 270, 207–219. [Google Scholar]
- Wang, K.-H.; Lin, R.-D.; Hsu, F.-L.; Huang, Y.-H.; Chang, H.-C.; Huang, C.-Y.; Lee, M.-H. Cosmetic applications of selected traditional Chinese herbal medicines. J. Ethnopharmacol. 2006, 106, 353–359. [Google Scholar]
- Halliwell, B. Free radicals, antioxidants, and human disease: Curiosity, cause, or consequence? Lancet 1994, 344, 721–724. [Google Scholar] [CrossRef]
- Finkel, T.; Holbrook, N.J. Oxidants, oxidative stress and the biology of ageing. Nature 2000, 408, 239–247. [Google Scholar]
- Shahidi, F.; Janithaa, P.K.; Wanasundaraa, P.D. Phenolic antioxidants. Crit. Rev. Food Sci. Nutr. 1992, 32, 67–103. [Google Scholar]
- büyükokuroğlu, M.E.; gülçİn, İ.; Oktay, M.; küfrevİoğlu, Ö.İ. In vitro antioxidant properties of dantrolene sodium. Pharmacol. Res. 2001, 44, 491–494. [Google Scholar] [CrossRef]
- Gülçin, İ.; Oktay, M.; Küfrevioğlu, Ö.İ.; Aslan, A. Determination of antioxidant activity of lichen Cetraria islandica (L) Ach. J. Ethnopharmacol. 2002, 79, 325–329. [Google Scholar] [CrossRef]
- Ito, N.; Hirose, M.; Fukushima, S.; Tsuda, H.; Shirai, T.; Tatematsu, M. Studies on antioxidants: Their carcinogenic and modifying effects on chemical carcinogenesis. Food. Chem. Toxicol. 1986, 24, 1071–1082. [Google Scholar]
- Yasui, H.; Sakurai, H. Age-dependent generation of reactive oxygen species in the skin of live hairless rats exposed to UVA light. Exp. Dermatol. 2003, 12, 655–661. [Google Scholar]
- Funasaka, Y.; Komoto, M.; Ichihashi, M. Depigmenting effect of alpha-tocopheryl ferulate on normal human melanocytes. Pigment Cell Res. 2000, 13 Suppl. 8, 170–174. [Google Scholar]
- Gupta, R.K.; Tandon, V.R. Antinociceptive activity of Vitex-negundo Linn leaf extract. Indian J. Physiol. Pharmacol. 2005, 49, 163–170. [Google Scholar]
- Tandon, V.R.; Gupta, R.K. An experimental evaluation of anticonvulsant activity of Vitex-negundo. Indian J. Physiol. Pharmacol. 2005, 49, 199–205. [Google Scholar]
- Zheng, C.J.; Huang, B.K.; Han, T.; Zhang, Q.Y.; Zhang, H.; Rahman, K.; Qin, L.P. Antinociceptive activities of the liposoluble fraction from Vitex negundo seeds. Pharm. Biol. 2010, 48, 651–658. [Google Scholar] [CrossRef]
- Dharmasiri, M.G.; Jayakody, J.R.; Galhena, G.; Liyanage, S.S.; Ratnasooriya, W.D. Anti-inflammatory and analgesic activities of mature fresh leaves of Vitex negundo. J. Ethnopharmacol. 2003, 87, 199–206. [Google Scholar] [CrossRef]
- Azhar ul, H.; Malik, A.; Khan, M.T.H.; Anwar ul, H.; Khan, S.B.; Ahmad, A.; Choudhary, M.I. Tyrosinase inhibitory lignans from the methanol extract of the roots of Vitex negundo Linn. and their structure-activity relationship. Phytomedicine 2006, 13, 255–260. [Google Scholar] [CrossRef]
- Busca, R.; Rallotti, R. Cyclic AMP a key messenger in the regulation of skin pigmentation. Pigment Cell Res. 2000, 13, 60–69. [Google Scholar]
- Emerit, I. Free radicals and aging of the skin. EXS 1992, 62, 328–341. [Google Scholar]
- Yu, L.; Haley, S.; Perret, J.; Harris, M.; Wilson, J.; Qian, M. Free radical scavenging properties of wheat extracts. J. Agric. Food Chem. 2002, 50, 1619–1624. [Google Scholar]
- Mallavarapu, G.R.; Ramesh, S.; Kaul, P.N.; Bhattacharya, A.K.; Rao, B.R. Composition of the essential oil of the leaves of Vitex negundo. Planta Med. 1994, 60, 583–584. [Google Scholar] [CrossRef]
- Bilodeau, M.L.; Greulich, J.D.; Hullinger, R.L.; Bertolotto, C.; Ballotti, R.; Andrisani, O.M. BMP-2 stimulates tyrosinase gene expression and melanogenesis in differentiated melanocytes. Pigment Cell Res. 2001, 14, 328–336. [Google Scholar]
- Tsuboi, T.; Kondoh, H.; Hiratsuka, J.; Mishima, Y. Enhanced melanogenesis induced by tyrosinase gene-transfer increases boron-uptake and killing effect of boron neutron capture therapy for amelanotic melanoma. Pigment Cell Res. 1998, 11, 275–282. [Google Scholar]
- Yang, J.-Y.; Koo, J.-H.; Song, Y.-G.; Kwon, K.-B.; Lee, J.-H.; Sohn, H.-S.; Park, B.-H.; Jhee, E.-C.; Park, J.-W. Stimulation of melanogenesis by scoparone in B16 melanoma cells. Acta Pharmacol. Sin. 2006, 27, 1467–1473. [Google Scholar]
- Brand-Williams, W.; Cuvelier, M.E.; Berset, C. Use of a free radical method to evaluate antioxidant activity. LWT-Food Sci. Technol. 1995, 28, 25–30. [Google Scholar] [CrossRef]
- Sánchez-Moreno, C.; Larrauri, J.A.; Saura-Calixto, F. A procedure to measure the antiradical efficiency of polyphenols. J. Sci. Food Agric. 1998, 76, 270–276. [Google Scholar]
- Re, R.; Pellegrini, N.; Proteggente, A.; Pannala, A.; Yang, M.; Rice-Evans, C. Antioxidant activity applying an improved ABTS radical cation decolorization assay. Free Radic. Biol. Med. 1999, 26, 1231–1237. [Google Scholar]
- Oyaizu, M. Studies on products of browing reaction: Antioxidative activity of product of browing reaction preapared from glucosamine. Jpn. J. Nutr. 1986, 44, 307–315. [Google Scholar]
- Dinis, T.C.P.; Madeira, V.M.C.; Almeida, L.M. Action of phenolic derivatives (acetaminophen, salicylate, and 5-aminosalicylate) as inhibitors of membrane lipid peroxidation and as peroxyl radical scavengers. Arch. Biochem. Biophys. 1994, 315, 161–169. [Google Scholar] [CrossRef]
- Adama, R.P. Identification of Essential Oil Components by Gas Chromatography/Mass Spectroscopy; Allured Publishing Co.: Carol Stream, IL, USA, 1995; pp. 57–332. [Google Scholar]
- Vandendool, H.; Kratz, P.D. A generalization of the retention index system including linear temperature programmed gas-liquid partition chromatography. J. Chromatogr. A 1963, 11, 463–471. [Google Scholar]
- Sample Availability: Samples of the compounds are available from the authors.
© 2012 by the authors; licensee MDPI, Basel, Switzerland. This article is an open-access article distributed under the terms and conditions of the Creative Commons Attribution license (http://creativecommons.org/licenses/by/3.0/).
Share and Cite
Huang, H.-C.; Chang, T.-Y.; Chang, L.-Z.; Wang, H.-F.; Yih, K.-H.; Hsieh, W.-Y.; Chang, T.-M. Inhibition of Melanogenesis Versus Antioxidant Properties of Essential Oil Extracted from Leaves of Vitex negundo Linn and Chemical Composition Analysis by GC-MS. Molecules 2012, 17, 3902-3916. https://doi.org/10.3390/molecules17043902
Huang H-C, Chang T-Y, Chang L-Z, Wang H-F, Yih K-H, Hsieh W-Y, Chang T-M. Inhibition of Melanogenesis Versus Antioxidant Properties of Essential Oil Extracted from Leaves of Vitex negundo Linn and Chemical Composition Analysis by GC-MS. Molecules. 2012; 17(4):3902-3916. https://doi.org/10.3390/molecules17043902
Chicago/Turabian StyleHuang, Huey-Chun, Tzu-Yun Chang, Long-Zen Chang, Hsiao-Fen Wang, Kuang-Hway Yih, Wan-Yu Hsieh, and Tsong-Min Chang. 2012. "Inhibition of Melanogenesis Versus Antioxidant Properties of Essential Oil Extracted from Leaves of Vitex negundo Linn and Chemical Composition Analysis by GC-MS" Molecules 17, no. 4: 3902-3916. https://doi.org/10.3390/molecules17043902
APA StyleHuang, H.-C., Chang, T.-Y., Chang, L.-Z., Wang, H.-F., Yih, K.-H., Hsieh, W.-Y., & Chang, T.-M. (2012). Inhibition of Melanogenesis Versus Antioxidant Properties of Essential Oil Extracted from Leaves of Vitex negundo Linn and Chemical Composition Analysis by GC-MS. Molecules, 17(4), 3902-3916. https://doi.org/10.3390/molecules17043902
